Изобретение относится к химической промышленности, а именно к способу получения этоксиянтарной кислоты. Предлагаемый способ предусматривает получение этоксиянтарной кислоты обработкой малеинового ангидрида этиловым спиртом в присутствии этилата алюминия в среде этилового спирта или ксилола. Образующуюся алюминиевую соль этилового эфира этоксиянтарной кислоты гидролизуют по известной схеме. Целевой продукт выделяют экстрацией горячим 1,2-дихлорэтаном. 4 пр.
Способ получения этоксиянтарной кислоты формулы (I) характеризующийся тем, что целевой продукт получают обработкой малеинового ангидрида этиловым спиртом в присутствии этилата алюминия в среде этилового спирта или ксилола с последующим гидролизом образующейся алюминиевой соли этилового эфира этоксиянтарной кислоты и экстракцией целевого продукта горячим 1,2-дихлорэтаном.
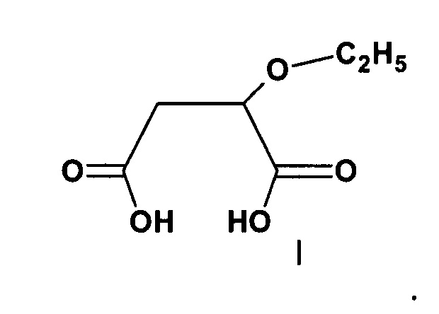
Изобретение относится к способу получения этоксиянтарной кислоты формулы (I): Этоксиянтарная кислота используется для получения дезинфицирующих средств (WO 9804659, 1998), для получения имидов обладающих фунгицидной активностью (US 4460782). Недавно было установлено, что применение соли осельтамивира с этоксиянтарной кислотой (противовирусный препарат) значительно увеличивает эффективность применения препарата (RU 2639158) по сравнению с используемым фосфатом осельтамивира. Известный метод получения этоксиянтарной кислоты предусматривает использование диэтилового эфира малеиновой кислоты или фумаровой кислоты. Эфиры получают длительной обработкой малеинового ангидрида или сотвествующих кислот этанолом в присутствии кислотного катализатора. Длительность стадии составляет от 18 до 24 часов. Образующийся диэтиловый эфир малеиновой или фумаровой кислот очищают перегонкой под вакуумом. На следующей стадии полученный эфир в течение 24 ч. обрабатывают этилатом натрия (схема 1) в среде абсолютного этанола (Реактивы и особо чистые вещества. Выпуск 6. М., НИИТЭХИМ 1978 г.). Образующийся этиловый эфир этоксиянтарной кислоты очищают фракционной перегонкой под вакуумом, а затем подвергают щелочному гидролизу. Полученную динатриевую соль этоксиянтарной кислоты подкисляют кислотой и затем выделяют целевой продукт. При этом выход промежуточного этилового эфира этоксиянтарной кислоты в пересчете на исходную кислоту не превышает 60-70%. Этот же метод получения алкоксиянтарных кислот, в том числе и этоксиянтарной, кислоты описан в патенте US 4460782, посвященному получению фунгицида 2-этокси-N-(3,5-дихлорфенил)сукцинимида. При получении метоксиянтарной кислоты из диметилового эфира малеиновой кислоты выход продукта составил 70,4%. Метод обеспечивает получение чистого продукта, но требует перегонки двух промежуточных продуктов под глубоким вакуумом (Рост=5-7 мм рт. ст.). Другой описанный в литературе двухстадийный метод (Santosh В. Mhaske, Narshinha P. Argade. Base-Induced Alcoholysis of N-Arylmaleimides: Facile in situ Oxa-Michael Addition to Alkyl Maleanilates: Two-Step One-Pot Rapid Access to Alkoxysuccinic Acids. Synthesis 2003, No. 6, 863-870) предусматривает получение имида малеиновой кислоты из малеинового ангидрида и п-толуидина (схема 2). Полученный имид достаточно легко в присутствии углекислого калия присоединяет этанол по двойной связи с образованием имида этоксиянтарной кислоты. После кипячения в соляной кислоте реакционную смесь упаривают под вакуумом и экстракцией этилацетатом извлекают этоксиянтарную кислоту (схема 3). Выход этоксиянтарной кислоты в пересчете на малеиновый ангидрид (без учета стадии очистки) составляет 80%. Несмотря на достаточно высокий выход продукта и сравнительно небольшую продолжительность каждой стадии процесса (от 1 до 3 часов) метод требует выделения промежуточных продуктов. Кроме того, метод не гарантирует получения продукта, пригодного для изготовления фармацевтического препарата, поскольку очистка этоксиянтарной кислоты от солей толуидина представляет собой сложную задачу. В литературе (J. Westrenen, R. М. Roggen, М. A. Hoefnagel, J. A. Peters, A. P.G. Kieboom, Н. Веккит.Tetrahedron Vol. 46, No. 16, pp. 5741-5758, 1990) описано присоединение спиртов к солям малеиновой кислоты, катализируемое ионами поливалентных металлов. Лучшие результаты при присоединении этиленгликоля получены при использовании La(III), Nd(III), Eu(III), Ho(III), Yb(III). Определенную активность проявляют соли Со(II), Ni(II), Zn(II), Al (III), Fe(III), Zr(IV), Ti(IV). При этом в качестве исходного вещества использовали хорошо растворимую в спиртах литиевую соль малеиновой кислоты и хлориды указанных металлов. В другой статье описана возможность получения этоксиянтарной кислоты присоединением этанола к малеиновой кислоте в присутствии ионов лантана (Е. G.K. Quartey, J.A. Peters, Н. van Веккит, Т. Anthonsen. Acta Chemica Scansdiavica, vol. 50; №9; 1996; p. 825-831). При обработке литиевой соли малеиновой кислоты хлоридом лантана в среде сухого этанола в течение 24 часов при температуре 175°С с выходом 79,5% образуется этоксиянтарная кислота. Поскольку и катализатор (LaCl3⋅Н2О) и малеат лития (Li2C4H2O4⋅H2O) содержат в своем составе воду, которая также может присоединяться по двойной связи, в качестве примеси с выходом 15,5% образуется яблочная кислота. Другой примесью является фумаровая кислота (выход 3,0%). Справочные данные (Д.Р. Стел, Таблицы давления паров индивидуальных веществ, М.: Изд-во Иностранной литературы, 1949, 71 с) указывают, что при температуре 175°С давление паров спирта достигает почти 20 атм. Следовательно описанный метод требует применения оборудования рассчитанного на высокое давление (20 атм) и использование высокотемпературного теплоносителя для обеспечения температуры 175°С. Задачей изобретения является создание технологичного способа получения этоксиянтарной кислоты, позволяющего получать продукт пригодный для получения фармацевтической субстанции. Поставленная задача решается предложенным способом получения этоксиянтарной кислоты, а именно обработкой доступного малеинового ангидрида этиловым спиртом в присутствии этилата алюминия с последующим гидролизом образующегося моноэфира по известной схеме и экстракцией целевого продукта горячим 1,2-дихлорэтаном. Реакция может проводиться в среде сухого этилового спирта или в среде ксилола. При смешении компонентов одновременно протекают две реакции (схема 4). Малеиновый ангидрид реагирует с этанолом, образуя моноэфир малеиновой кислоты, который с этилатом алюминия образует алюминиевую соль этилового эфира малеиновой кислоты. Одновременно малеиновый ангидрид напрямую реагирует с этилатом алюминия с выделением тепла и образованием алюминиевой соли этилового эфира малеиновой кислоты. Поскольку алюминий имеет валентность III, в образующейся соли на один атом алюминия может приходиться от одной до трех молекул моноэфира малеиновой кислоты. При дальнейшем нагревании происходит присоединение этанола по двойной связи алюминиевой соли моноэфира малеиновой кислоты и образование алюминиевой соли этилового эфира этоксиянтарной кислоты. При проведении реакции в среде этанола компоненты смешивают в автоклаве и выдерживают 3-4 часа при температуре 130-135°С (схема 4). Давление паров при этой температуре не превышает 5 атм. Этилат алюминия может использоваться в виде раствора в ксилоле. Такой раствор первоначально образуется при взаимодействии алюминия с этанолом в среде ксилола (SU 1065399). В этом случае реакция протекает аналогичным образом в среде ксилола (схема 4). Благодаря высокой температуре кипения ксилола (136°С для п-ксилола) реакция протекает при атмосферном давлении и температуре кипения реакционной массы (110-122°С). Для получения алюминиевой соли этилового эфира этоксиянтарной кислоты достаточно 4-5 ч кипячения. Выход этоксиянтарной кислоты зависит от соотношения этилата алюминия и малеинового ангидрида. При проведении реакции в сухом этиловом спирте и использовании 0,33 моля и 0,2 молей этилата алюминия на один моль малеинового ангидрида выход этокиянтарной кислоты составляет 94% и 85%) соответственно. При снижении количества этилата алюминия до 0,1 моля на 1 моль ангидрида выход этоксиянтарной кислоты снижается до 80%. При проведении реакции в среде ксилола и соотношении 0,36 моля этилата алюминия (ксилольный раствор) на один моль малеинового ангидрида выход этоксиянтарной кислоты составляет 91%. При снижении количества этилата алюминия до 0,3 моля на один моль малеинового ангидрида выход целевого продукта снижается до 81%. Полученную алюминиевую соль этилового эфира этоксиянтарной кислоты гидролизуют по известной схеме (US 4460782) обработкой щелочью и последующим подкислением соляной кислотой (схема 5). Для этого в спиртовый раствор алюминиевой соли этилового эфира этоксиянтарной кислоты, полученный после завершения выдержки, добавляют водный раствор гидроокиси натрия в количестве 2,2 моля (на моль исходного) и кипятят реакционную массу течение 3-4 часов с отгонкой этанола. Этого времени достаточно для полного гидролиза и образования динатриевой соли этоксиянтарной кислоты. Полученный раствор подкисляют соляной кислотой до рН=6-7 для нейтрализации избыточной щелочи и полного выпадения гидроокиси алюминия. Выделившуюся гидроокись алюминия удаляют фильтрованием либо на центрифуге. Полученный раствор динатриевой соли этоксиянтарной кислоты (схема 5) подкисляют соляной кислотой (избыток 3-5%) и после упаривания под вакуумом получают смесь этоксиянтарной кислоты с хлористым натрием. При проведении реакции в смеси ксилола с этанолом гидролиз этилового эфира этоксиянтарной кислоты совмещают с отгонкой ксилола. Для этого после добавления щелочи смесь нагревают до кипения и проводят азеотропную отгонку ксилола. После завершения отгонки получают водный раствор динатриевой соли этоксиянтарной кислоты с осадком гидроокиси алюминия. Полученную суспензию подкисляют соляной кислотой до рН=6-7 и отделяют фильтрованием гидроокись алюминия. После подкисления фильтрата соляной кислотой и упаривания под вакуумом получают смесь этоксиянтарной кислоты с хлористым натрием. Этокиянтарную кислоту выделяют экстракцией. В качестве экстрагента можно использовать этилацетат, диэтиловый эфир, 1,2-дихлорэтан. Поскольку реакция проходит не количественно, в смеси этоксиянтарной кислоты с хлористым натрием присутствует фумаровая кислота. При использовании в качестве экстрагентов этилацетата и эфира почти вся фумаровая кислота экстрагируется вместе с этоксиянтарной кислотой. Поэтому содержание фумаровой кислоты в целевом продукте может достигать 5%. При использовании в качестве экстрагента горячего 1,2-дихлорэтана продукт полностью выделяется в кристаллическом виде после охлаждения экстракта, а содержание фумаровой кислоты в целевом продукте при любых условия синтеза не превышает 1,8%. Применение заявленного изобретения позволяет в несколько раз снизить длительность синтеза и тем самым уменьшить трудоемкость получения целевого продукта, а также получать целевой продукт, пригодный для изготовления из него фармацевтической субстанции. Суммарное время синтеза (с учетом гидролиза) не превышает 8 часов, максимальная температура реакционной массы не превышает 135°С, а давление не превышает 5 атм. Это позволяет использовать для получения целевого продукта стандартное оборудование. Содержание фумаровой кислоты в целевом продукте при любых условия синтеза, согласно заявленному изобретению, не превышает 1,8%. В синтезе используют этилат алюминия полученный по известному методу (SU 1065399) с применением в качестве активатора этилата натрия. Поэтому этилат алюминия содержит в своем составе до 1,0% этилата натрия, который также способствует протеканию реакции. Примеры, иллюстрирующие изобретение. Пример 1. В автоклав из нержавеющей стали с мешалкой загружают 42,5 г (0,434 моля) малеинового ангидрида, 23,2 г (0,143 моля) этилата алюминия, 100 мл безводного этанола и герметизируют. Включают перемешивание, подают обогрев и за 20-30 мин поднимают температуру до 132-135°С. Реакционную массу выдерживают при этой температуре 4 часа и охлаждают до температуры 50-60°С. Во время выдержки давление в автоклаве достигает 4,5-5,0 атм. Автоклав вскрывают, полученный раствор приливают в колбу с раствором 37,4 г (0,868 моля) NaOH в 220 мл воды, смесь нагревают до кипения и кипятят в течение 2-3 часов с отгонкой спирта до достижения температуры в парах 95-100°С. Образующуюся суспензию охлаждают, добавляют 15 мл 36% соляной кислоты до рН=6-7 и выдерживают до 1 часа для полного осаждения гидроокиси алюминия. Суспезию фильтруют либо центрифугируют, осадок гидроокиси алюминия промывают водой. Полученный раствор подкисляют 60 мл 36% соляной кислоты и упаривают досуха под вакуумом. Смесь этоксиянтарной кислоты и NaCl обрабатывают 400 мл 1,2-дихлорэтана при температуре 75-80°С и фильтруют в горячем виде под вакуумом. Осадок хлористого натрия промывают 40 мл горячего 1,2-дихлорэтана. Фильтрат охлаждают и выдерживают при перемешивании и комнатной температуре не менее 4 ч. Осадок отфильтровывают, промывают 2×30 мл 1,2-дихлорэтана. После сушки на воздухе получают 66,5 г (94,5%) этоксиянтарной кислоты с Тпл.=87-88°С и содержанием фумаровой кислоты 1,0%. Спектр ЯМР1Н (ацетон-d6, δ м.д.) 2,04-2,08 (м, 3 Н, СН3), 2,60-2,84 (м, 2 Н, СН2), 3,48-3,59 (м, 1 Н, СН2), 3,58-3,78 (м, 1 Н, СН2), 4,24-4,30 (м, 1 Н, СН), 8,0-11,0 (уш. с., 2 Н, ОН). Спектр ЯМР13С (ацетон-d6, δ м.д.) 172,18 (С=O); 170,86 (С=O); 74,93 (СН); 65,99 (СН2); 37,31 (СН2); 14,54 (СН3). Пример 2. Проводят аналогично примеру 1, но используют 14,1 г (0,0868 моля) этилата алюминия и увеличивают время выдержки в автоклаве до 6 ч. После сушки на воздухе получают 59,8 г (85,0%) этоксиянтарной кислоты с Тпл.=86-88°С и содержанием фумаровой кислоты 1,8%. Пример 3. В колбу, снабженную мешалкой, термометром, обратным холодильником загружают 222 г раствора этилата алюминия в п-ксилоле с содержанием 53,5 г (0,33 моля) этилата алюминия. Включают перемешивание и за 3-5 мин добавляют 89,3 г (0,911 моля) малеинового ангидрида и затем приливают 85,0 мл (1,48 моля) абсолютного этанола. Через 5-10 мин после окончания теплого эффекта подают обогрев и за 30 мин нагревают массу до кипения (110°С). Реакционную массу кипятят с обратным холодильником 4 часа и охлаждают до температуры 50-60°С. Полученную реакционную массу смешивают в другой колбе с раствором 80,0 г (2 моля) NaOH в 480 мл воды. Подсоединяют насадку для азеотропной отгонки и отгоняют п-ксилол, затем водный этанол до достижения температуры паров 99-100°С. Остаток в колбе охлаждают, нейтрализуют избыток щелочи 36% соляной кислотой (15 мл) до рН=5,5. Через полчаса суспезию фильтруют, осадок гидроокиси алюминия промывают водой. Полученный раствор подкисляют 170 мл 36% соляной кислоты и упаривают досуха под вакуумом. Смесь этоксиянтарной кислоты и NaCl обрабатывают 800 мл 1,2-дихлорэтана при температуре 75-80°С и фильтруют в горячем виде под вакуумом. Осадок хлористого натрия промывают тремя порциями по 50 мл горячего 1,2-дихлорэтана. Фильтрат охлаждают и выдерживают при перемешивании и комнатной температуре не менее 4 ч. Осадок отфильтровывают, промывают двумя порциями по 60 мл 1,2-дихлорэтана. После сушки на воздухе получают 134,6 г (91,2%) этоксиянтарной кислоты с Тпл.=85-88°С и содержанием фумаровой и малеиновой кислот 1,28% и 0,04% соответственно. Спектр ЯМР1Н (ацетон-d6, δ м.д.) 2,04-2,08 (м, 3 Н, СН3), 2,60-2,84 (м, 2 Н, СН2), 3,48-3,59 (м, 1 Н, СН2), 3,58-3,78 (м, 1 Н, СН2), 4,24-4,30 (м, 1 Н, СН), 8,0-11,0 (уш. с., 2 Н, ОН). Спектр ЯМР13С (ацетон-d6, δ м.д.) 172,18 (С=O); 170,86 (С=O); 74,93 (СН); 65,99 (СН2); 37,31 (СН2); 14,54 (СН3). Пример 4. Проводят аналогично примеру 3, но используют 184 г раствора этилата алюминия в п-ксилоле с содержанием 44,2 г (0,273 моля) этилата алюминия и увеличивают время кипячения до 6 ч. После сушки на воздухе получают 119,5 г (81,0%) этоксиянтарной кислоты с Тпл.=85-87°С и содержанием фумаровой и малеиновой кислот 1,12% и 0,37% соответственно.




