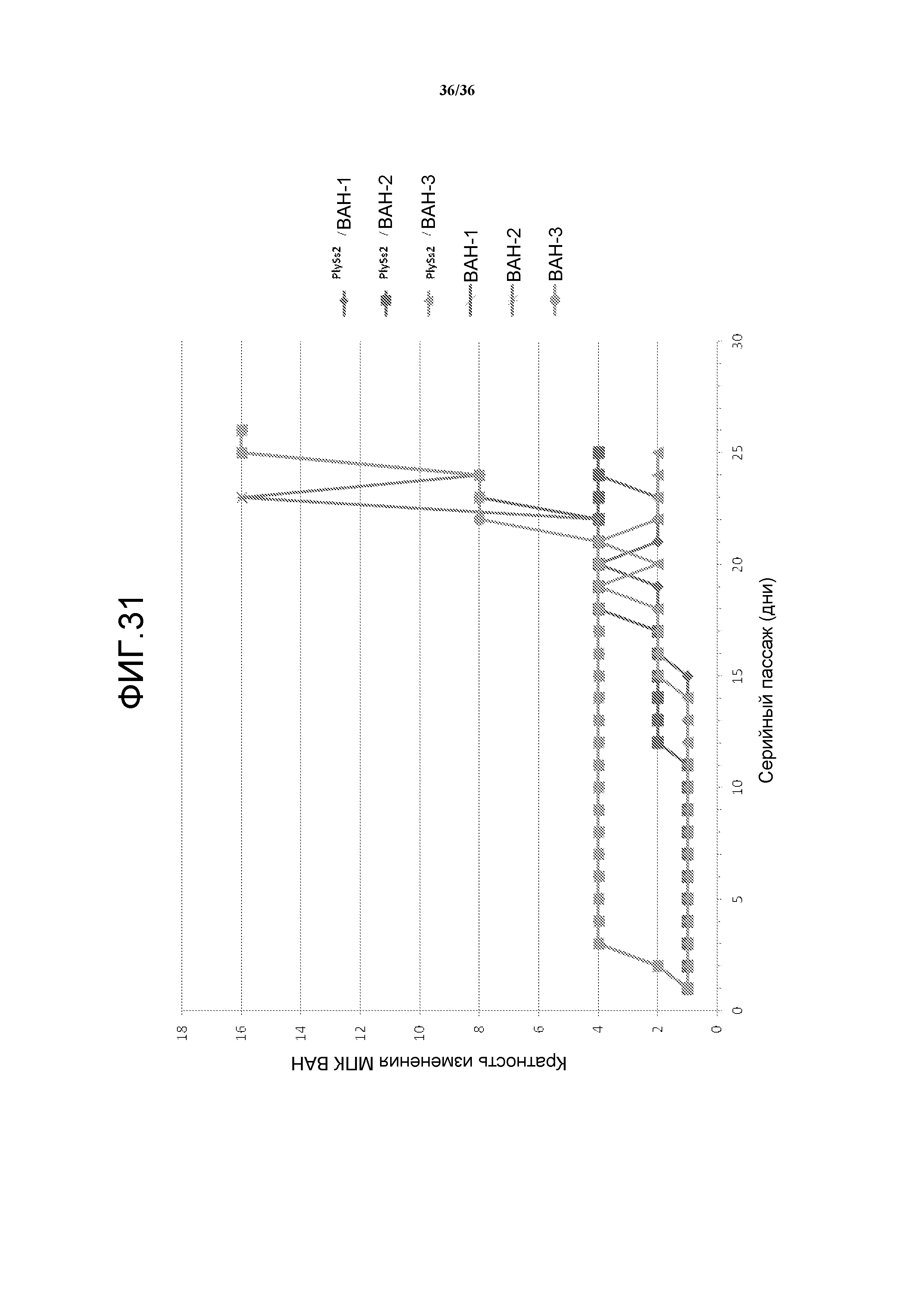
Группа изобретений относится к медицине и раскрывает композицию и способы для лизиса, ингибирования, снижения развития резистентности грам-положительных бактерий, конкретно стафилококка и стрептококка, а также потенцирования антибиотической активности с использованием комбинаций лизина PlySs2 и одного или нескольких антибиотиков, включающих даптомицин, ванкомицин и оксациллин. Группа изобретений позволяет расширить арсенал терапевтических средств. 6 н. и 14 з.п. ф-лы, 36 ил., 10 пр., 16 табл.
1. Способ лизиса бактерий 2. Способ по п.1, где антибиотик и лизин PlySs2 вводят при дозах более низких, чем минимально эффективная доза. 3. Способ по п.1, где антибиотик вводят при дозах более низких, чем рекомендуемая доза. 4. Способ по любому из пп.1-3, где лизин PlySs2 содержит аминокислотную последовательность SEQ ID NO: 1 или ее варианты, имеющие по меньшей мере 90% идентичности с полипептидом SEQ ID NO: 1, и является эффективным для лизиса бактерий 5. Способ ингибирования антибиотикорезистентных бактерий 6. Способ по п.5, где лизин содержит аминокислотную последовательность SEQ ID NO: 1 или ее варианты, имеющие по меньшей мере 90% идентичности с полипептидом SEQ ID NO: 1, и является эффективным для лизиса бактерий 7. Способ по п.5, где бактерии представляют собой 8. Способ снижения развития резистентности у бактерий 9. Способ по п.8, где антибиотик и лизин вводят при дозах более низких, чем минимально эффективная доза. 10. Способ по п.8, где антибиотик вводят при дозах более низких, чем рекомендуемая доза. 11. Способ по п.8, где лизин содержит аминокислотную последовательность SEQ ID NO: 1 или ее варианты, имеющие по меньшей мере 90% идентичности с полипептидом SEQ ID NO: 1, и является эффективным для лизиса бактерий 12. Способ увеличения эффективности антибиотика, выбранного из ванкомицина, даптомицина или оксациллина, включающий введение антибиотика вместе с лизином PlySs2, содержащим аминокислотную последовательность SEQ ID NO: 1 или ее варианты, имеющие по меньшей мере 80% идентичности, 85% идентичности, 90% идентичности, 95% идентичности или 99% идентичности с полипептидом SEQ ID NO: 1, и эффективным для лизиса бактерий 13. Способ по п.12, где антибиотик является по меньшей мере в 16 раз более эффективным в комбинации с лизином PlySs2. 14. Способ по п.12, где антибиотик является по меньшей мере в 50 раз более эффективным в комбинации с лизином PlySs2. 15. Способ по п.12, где лизин PlySs2 является по меньшей мере в два раза более эффективным в комбинации с антибиотиком. 16. Способ по п.12, где лизин PlySs2 является по меньшей мере в четыре раза более эффективным в комбинации с антибиотиком. 17. Способ потенцирования антибиотической активности против бактерий 18. Способ по п.15 или 16, где бактерии представляют собой 19. Композиция для применения при подавлении бактерий 20. Композиция по п.19, где доза антибиотика является более низкой, чем доза минимальной подавляющей концентрации (МПК).
ОБЛАСТЬ ТЕХНИКИ, К КОТОРОЙ ОТНОСИТСЯ ИЗОБРЕТЕНИЕ [0001] Настоящее изобретение относится, в целом, к профилактике, уменьшению интенсивности заболевания и лечению от грам-положительных бактерий, включая стафилококковые бактерии, с использованием комбинации лизина, в частности стрептококкового лизина, конкретно, лизина PlySs2, и одного или нескольких антибиотиков. УРОВЕНЬ ТЕХНИКИ ИЗОБРЕТЕНИЯ [0002] Развитие бактерий, резистентных к лекарственным средствам является основной проблемой в медицине по мере того, как все больше антибиотиков применяют для лечения широкого ряда болезней и других состояний. Применение большего числа антибиотиков и количества бактерий, проявляющих резистентность, вынуждает использовать более длительное время для лечения. Кроме того, неспецифические антибиотики широкого спектра действия, некоторые из которых оказывают вредные воздействия на пациента, применяются в настоящее время более часто. Проблема, относящаяся к этому возросшему применению, состоит в том, что многие антибиотики не проникают с легкостью через слизистые оболочки. [0003] Грам-положительные бактерии окружены клеточной стенкой, содержащей полипептиды и полисахарид. Грам-положительные бактерии включают, но не ограничены ими, роды Actinomyces, Bacillus, Listeria, Lactococcus, Staphylococcus, Streptococcus, Enterococcus, Mycobacterium, Corynebacterium и Clostridium. Медицински значимые виды включают Streptococcus pyogenes, Streptococcus pneumoniae, Staphylococcus aureus и Enterococcus faecalis. Виды Bacillus, которые являются спорообразующими, вызывают сибирскую язву и гастроэнтерит. Спорообразующие виды Clostridium являются ответственными за ботулизм, столбняк, газовую гангрену и псевдомембранный колит. Виды Corynebacterium вызывают дифтерию, а виды Listeria вызывают менингит. [0004] Новые подходы к противомикробной терапии включают антибиотики на основе ферментов («энзибиотики»), такие как лизины бактериофагов. Фаги используют эти лизины для расщепления клеточной стенки их бактериальных хозяев, высвобождая вирусное потомство посредством гипотонического лизиса. Аналогичные конечные результаты получают, когда очищенные, рекомбинантные лизины добавляют извне к Грам-положительным бактериям. Высокая летальная активность лизинов против грам-положительных патогенов делает их привлекательными кандидатами для разработки в качестве терапевтических средств (Fischetti, V.A. (2008) Curr Opinion Microbiol 11:393-400; Nelson, D.L. et al (2001) Proc Natl Acad Sci USA 98:4107-4112). Лизины бактериофагов первоначально были предложены для эрадикации носоглоточного носительства патогенных стрептококков (Loeffler, J.M. et al (2001) Science 294: 2170- 2172; Nelson, D. et al (2001) Proc Natl Acad Sci USA 98:4107-4112). Лизины являются частью литического механизма, используемого двухцепочечной ДНК (дцДНК) фага для координации лизиса хозяина с завершением вирусной сборки (Wang, I.N. et al (2000) Annu Rev Microbiol 54:799-825). Лизины представляют собой гидролазы пептидогликана, которые разрушают связи в бактериальной стенке, быстро гидролизуя ковалентные связи существенно важные для целостности пептидогликана, вызывая бактериальный лизис и сопутствующее высвобождение потомства фага. [0005] Члены семейства лизинов имеют модульную конструкцию, в которой каталитический домен сопряжен с доменом специфичности или связывания (Lopez, R. et al (1997) Microb Drug Resist 3: 199-211). Лизины могут быть клонированы из последовательностей вирусных профагов в бактериальных геномах и применяться для лечения (Beres, S B. et al (2007) PLoS ONE 2(8): 1-14). При добавлении извне, лизины способны получить доступ к связям Грам-положительной клеточной стенки (Fischetti, V.A. (2008) Curr Opinion Microbiol 11: 393-400). Было установлено, что литические ферменты бактериофагов являются применимыми при оценке и конкретном лечении различных типов инфекций у субъектов посредством различных путей введения. Например, Патент США 5604109 (Fischetti et al.) относится к быстрому обнаружению стрептококков Группы А в клинических образцах, через ферментативное расщепление посредством полуочищенного лизинового фермента, ассоциированного с фагом стрептококков Группы C. Работа с этим ферментом стала базисом для дополнительного исследования, ведущего к способам лечения заболеваний. Патенты Fischetti и Loomis (Патенты США 5985271, 6017528 и 6056955) раскрывают применение лизинового фермента, продуцируемого стрептококковыми бактериями группы C, инфицированными бактериофагом C1. Патент США 6248324 (Fischetti and Loomis) раскрывает композицию для лечения дерматологических инфекций посредством применения литического фермента в носителе, подходящем для местного нанесения на кожные ткани. Патент США 6254866 (Fischetti and Loomis) раскрывает способ лечения бактериальных инфекций пищеварительного тракта, который включает введение литического фермента, специфичного для инфицирующих бактерий. Носитель для доставки по меньшей мере одного литического фермента в пищеварительный тракт выбирают из группы, состоящей из клизм с суппозиториями, сиропов или пилюль с энтеросолюбильным покрытием. Патент США 6264945 (Fischetti и Loomis) раскрывает способ и композицию для лечения бактериальных инфекций посредством парентерального введения (внутримышечно, подкожно или внутривенно) по меньшей мере одного литического фермента, продуцируемого бактериями, инфицированными бактериофагом, специфичным для данных бактерий, и соответствующего носителя для доставки литического фермента в пациента. [0006] Ассоциированные с фагом литические ферменты были идентифицированы и клонированы из различных бактериофагов, эффективность каждого из которых при лизисе специфичных бактериальных штаммов была продемонстрирована. Патент США 7402309, 7638600 и опубликованная заявка РСТ WO2008/018854 предоставляют различающиеся ассоциированные с фагом литические ферменты, применимые в качестве антибактериальных средств для лечения или снижения степени инфекций Bacillus anthracis. Патент США 7569223 описывает литические ферменты для Streptococcus pneumoniae. Лизин, применимый для Enterococcus (E. faecalis и E. faecium, включая ванкомицин-резистентные штаммы) описан в патенте США 7582291. US 2008/0221035 описывает мутантные лизины Ply GBS, высокоэффективные при лизисе стрептококков Группы B. Химерный лизин, обозначенный ClyS, с активностью против стафилококковых бактерий, включая Staphylococcus aureus, подробно описан в WO 2010/002959. [0007] Исходя из их свойства быстрого, активного и специфичного разрушения клеточной стенки и бактерицидных свойств, было предложено использовать лизины в качестве противомикробных терапевтических средств для борьбы с грам-положительными патогенами посредством атаки на экспонированные пептидогликановые клеточные стенки снаружи клетки (Fenton, M et al (2010) Bioengineered Bugs 1:9-16; Nelson, D et al (2001) Proc Natl Acad Sci USA 98:4107-4112). Эффективности действия различных лизинов в качестве средств монотерапии были продемонстрированы на моделях фарингита у грызунов (Nelson, D et al (2001) Proc Natl Acad Sci USA 98:4107-4112), пневмонии (Witzenrath, M et al (2009) Crit Care Med 37:642-649), отита среднего уха (McCullers, J.A. et al (2007) PLOS pathogens 3:0001-0003), абсцессов (Pastagia, M et al Antimicrobial agents and chemotherapy 55:738-744), бактериемии (Loeffler, J.M. et al (2003) Infection and Immunity 71:6199-6204), эндокардита (Entenza, J.M. et al (2005) Antimicrobial agents and chemotherapy 49:4789-4792) и менингита (Grandgirard, D et al (2008) J Infect Dis 197: 1519-1522). В дополнение, лизины, в целом, являются специфичными для их бактериальных хозяйских видов и не лизируют нецелевые организмы, включая симбиотические бактерии человека, которые могут быть благоприятными по отношению к желудочно-кишечному гомеостазу (Blaser, M. (2011) Nature 476:393-394; Willing, B.P. et al (2011) Nature reviews. Microbiology 9:233-243) [0008] Антибиотики в клинической практике включают несколько антибиотиков, которые обычно воздействуют на биосинтез пептидогликана клеточной стенки у грам-положительных бактерий. Они включают гликопептиды, которые, как класс ингибируют синтез пептидогликана, препятствуя введению пептидных субъединиц с N-ацетилмурамовой кислотой (NAM) и N-ацетилглюкозамином (NAG) в пептидогликановый матрикс. Доступные гликопептиды включают ванкомицин и тейкопланин, причем ванкомицин является препаратом первого ряда и клинического применения при бактериемии, в частности, против стафилококковых инфекций. Пенициллины действуют посредством ингибирования образования пептидогликановых сшивок. Общепринятые пенициллины включают оксациллин, ампициллин и клоксациллин. Линезолид (Зивокс) представляет собой ингибитор синтеза белка, и находится в классе антибактериальных средств, именуемых оксазолидиноны (Ford CW et al (1996) Antimicrob Agents Chemoth 40(6): 1508-1513; Swaney SM et al (1998) Antimicrob Agents Chemoth 42(12):3251-3255; Патент США 6444813). [0009] Даптомицин (Кубицин), также обозначаемый LY 146032, представляет собой липопептидное антибактериальное средство, состоящее из пептида из 13 аминокислот, связанного с 10-углеродным липофильным хвостом (Miao V et al (2005) Microbiology 15l(Pt5): 1507-1523; Steenbergen JN et al (2005) J Antimicrob Chemother 55(3):283-288; и описан в патенте США 5912226). Эта структура приводит в результате к новому механизму действия, разрушению бактериальной мембраны через образование трансмембранных каналов, которые вызывают утечку внутриклеточных ионов, приводящую к деполяризации клеточной мембраны и ингибированию макромолекулярного синтеза. Спектр активности даптомицина ограничен Грам-положительными организмами, включающими ряд высокорезистентных видов (метициллин-резистентный S. aureus (MRSA), S. aureus с промежуточной чувствительностью к ванкомицину (VISA), ванкомицин-резистентный S. aureus (VRSA), ванкомицин-резистентный Enterococcus (VRE)). В исследованиях он проявляет себя как более быстрое бактерицидное средство, чем ванкомицин. Его разрешенный режим дозирования составляет 4 мг/кг ВВ (внутривенно) один раз в день. Регулирование дозы является необходимым при почечной дисфункции. Первичная токсичность даптомицина представляет собой обратимые зависимые от дозы миалгии и слабость. Даптомицин был разрешен для лечения осложненных инфекций кожи и мягких тканей, вызываемых грам-положительными бактериями, бактериемии, вызванной Staphylococcus aureus, и правостороннего эндокардита, вызванного S. aureus. Продолжаются испытания по оценке эффективности действия даптомицина при лечении осложненных инфекций мочевыводящих путей и эндокардита/бактериемии. Его разрешенный режим дозирования составляет 4 мг/кг ВВ один раз в день. Регулирование дозы является необходимым при почечной дисфункции. Первичная токсичность даптомицина представляет собой обратимые зависимые от дозы миалгии и слабость. Резистентность к даптомицину встречается как in vitro, так и in vivo после подвергания воздействию даптомицина. Механизм(ы) резистентности не определен полностью, но вероятно относится к изменениям клеточной мембраны. Множественные пассажи стафилококков и энтерококков при субподавляющих концентрациях лекарственного средства приводило к увеличению МПК поэтапным образом. Даптомицин активно связывается с легочным поверхностно-активным веществом и не может эффективно применяться при лечении пневмонии (Baltz RH (2009) Curr Opin Chem Biol 13(2): 144-151). [00010] Антибиотики широкого спектра действия при клиническом применении для лечения инфекций от грам-положительных бактерий, в частности, включающие реанимационные антибиотики, такие как ванкомицин, ограничены по применению и применимости вследствие их побочных эффектов в виде расстройства желудка и диареи и развития резистентности, особенно, в связи с продолжающимся или длительным применением. [00011] Недостатки и проблемы, связанные с применяемыми в настоящее время традиционными антибактериальными средствами, наглядно показывают, что в данной области все еще существует потребность в дополнительных специфичных антибактериальных средствах, комбинациях и терапевтических модальностях, в особенности лишенных высоких рисков приобретенной резистентности. Соответственно, существует коммерческая необходимость в новых антибактериальных подходах, особенно тех, что функционируют через новые модальности или обеспечивают новые комбинации для эффективного лизиса патогенных бактерий. [00012] Цитирование ссылок в настоящем описании не должно толковаться как допущение, что данные ссылки составляют предшествующий уровень техники по отношению к настоящему изобретению. КРАТКОЕ ИЗЛОЖЕНИЕ СУЩНОСТИ ИЗОБРЕТЕНИЯ [00013] Настоящее изобретение относится к комбинациям лизина(ов) бактериофага с антибиотиком для быстрого и эффективного лизиса грам-положительных бактерий. В соответствии с изобретением, лизин PlySs2, который демонстрирует широкий спектр бактерицидной активности против множества бактерий, в частности, грам-положительных бактерий, включая бактериальные штаммы Staphylococcus и Streptococcus, предоставляет заметный синергизм в комбинации с антибиотиком(ами) и может значительно снижать эффективные дозы, соответствующие МПК, требуемым для антибиотика(ов). [00014] Лизин может быть комбинирован с антибиотиком(ами) широкого спектра действия против грам-положительных бактерий, включающими один или несколько из ванкомицина, даптомицина, линезолида или оксациллина, включая родственные или аналогичные антибиотики. В конкретном аспекте, лизин PlySs2 комбинируют с даптомицином для обеспечения синергетической литической активности против грам-положительных бактерий, включая Staphylococci, в частности, включая MRSA. В конкретном аспекте, лизин PlySs2 комбинируют с ванкомицином для обеспечения синергетической литической активности против Streptococci, включая MRSA. В конкретном аспекте, лизин PlySs2 комбинируют с линезолидом для обеспечения синергетической литической активности против Streptococci, включая MRSA. В аспекте изобретения, комбинация с лизином PlySs2 значительно снижает дозу антибиотика, требуемую для лизиса грам-положительных бактерий, таких как S. aureus. [00015] В соответствии с изобретением, комбинации лизина PlySs2 и антибиотика, включающие антибиотики различных типов или классов, в частности, включающие даптомицин, ванкомицин, линезолид или оксациллин, являются эффективными для лизиса грам-положительных бактерий, включая S. aureus, при более низких дозах или с более низкой МПК, чем оба по отдельности. В аспекте изобретения, предоставлены низкодозированные готовые формы лизина и антибиотика, включающие готовые формы, подходящие для ведения в комбинации или раздельно одновременно или последовательно, где доза для эффективных лизиса или деколонизации грам-положительной инфекции является более низкой, чем доза, требуемая, если оба компонента предоставлены по отдельности. В частности, предоставлены низкодозовые готовые формы антибиотика для ведения в комбинации с лизином, конкретно, лизином PlySs2, вводимые одновременно или последовательно, где доза антибиотика для эффективного лизиса или деколонизации грам-положительной инфекции являются более низкими в комбинации с лизином, чем доза, требуемая, если антибиотик предоставлен или вводится по отдельности. [00016] В аспекте изобретения, лизины, эффективные против Staphylococci, комбинируют с одним или несколькими из даптомицина, ванкомицина, линезолида или оксациллина, или родственными антибиотическими соединениями, для лизиса грам-положительных бактерий, включая S. aureus, при более низких дозах или при более низкой МПК, чем при введении обоих компонентов по отдельности. В аспекте изобретения, лизины, эффективные против Staphylococci комбинируют с даптомицином, или родственными антибиотическими соединениями, для лизиса грам-положительных бактерий, включая S. aureus, при более низких дозах или при более низкой МПК, чем при введении обоих компонентов по отдельности. В аспекте изобретения, лизины, эффективные против Staphylococci комбинируют с одним или несколькими из ванкомицина, или родственными антибиотическими соединениями, для лизиса грам-положительных бактерий, включая S. aureus, при более низких дозах или при более низкой МПК, чем при введении обоих компонентов по отдельности. В конкретном аспекте, антибиотик комбинируют с лизином PlySs2 или его вариантом. В аспекте изобретения, комбинация лизина с даптомицином устраняет эффект поверхностно-активного вещества на снижение активности даптомицина. В комбинации с лизином, таким как лизин PlySs2, даптомицину придается эффективность при лизисе S. aureus и при лечении или улучшения состояния при бактериемии у животного. Таким образом, в аспекте изобретения, предоставлен способ для деколонизации, подавления или лечения инфекции S. aureus у животного, включающий введение животному композиции, содержащей лизин PlySs2 и даптомицин или комбинации лизина PlySs2 и даптомицина. [00017] В соответствии с настоящим изобретением, предоставлены композиции и способы, включающие PlySs2 и один или несколько антибиотиков, для профилактики, разрушения и лечения бактериальной инфекции или колонизации. В своем самом широком аспекте, настоящее изобретение предоставляет применение и использование лизина, имеющего литическую активность широкого спектра действия против множества бактерий, в частности, грам-положительных бактерий, включая бактериальные штаммы Staphylococcus, Streptococcus, Enterococcus и Listeria, в комбинации с антибиотиком, в частности, в комбинации с даптомицином, ванкомицином, линезолидом или оксациллином, или родственным антибиотиком, для профилактики, уменьшения интенсивности заболевания или лечения от грам-положительных бактерий или грам-положительных бактериальных инфекций. Изобретение, таким образом, предусматривает лечение, деколонизацию и/или обеззараживание бактерий посредством введения комбинации лизина PlySs2 и одного или нескольких антибиотиков или контакта с комбинацией лизина PlySs2 и одного или нескольких антибиотиков, где подозревают присутствие одного или нескольких родов грам-положительных бактерий, в частности, одного или несколько из родов бактерий Staphylococcus, Streptococcus, Enterococcus и Listeria, или, где они присутствуют. В одном таком аспекте, лизин PlySs2 комбинируют с даптомицином. В дополнительном аспекте, лизин PlySs2 комбинируют с ванкомицином. В еще одном аспекте, лизин PlySs2 комбинируют с линезолидом. В дополнительном аспекте, лизин PlySs2 комбинируют с оксациллином. В каждом случае антибиотик включает или охватывает родственные антибиотики, включая антибиотики такого же класса или семейства или антибиотики с аналогичными или родственными структурами. [00018] В соответствии с настоящим изобретением, лизин бактериофага, извлеченный из бактерий Streptococcus suis используют в способах и композициях изобретения. Лизиновый полипептид(ы), применяемый в настоящем изобретении, в частности, лизин PlySs2, как предоставлено в настоящем описании и на ФИГУРЕ 29 (SEQ ID NO: 1), является уникальным при демонстрации литической активности широкого спектра действия против множества бактерий, в частности, грам-положительных бактерий, включая бактериальные штаммы Staphylococcus, Streptococcus, Enterococcus и Listeria. В одном таком аспекте, лизин PlySs2 способен к лизису штаммов бактерий Staphylococcus aureus в комбинации с антибиотиком, в частности, в комбинации с даптомицином, ванкомицином, оксациллином или линезолидом, как демонстрируется в настоящем описании. PlySs2 является эффективным против антибиотико-резистентных Staphylococcus aureus, таких как метициллин-резистентного Staphylococcus aureus (MRSA), ванкомицин-резистентного Staphylococcus aureus (VRSA), даптомицин-резистентного Staphylococcus aureus (DRSA) и линезолид-резистентного Staphylococcus aureus (LRSA). PlySs2 является эффективным против Staphylococcus aureus, обладающего промежуточной чувствительностью к ванкомицину (VISA). [00019] В аспекте изобретения, предоставлен способ лизиса грам-положительных бактерий, включающий стадию контактирования бактерий с комбинацией PlySs2 лизина и одного или нескольких антибиотиков, комбинацией, содержащей количество изолированного полипептида лизина, эффективного чтобы лизировать грам-положительные бактерии, включая S. aureus, изолированного полипептида лизина, содержащего полипептид лизина PlySs2 или его варианты, эффективные для лизиса грам-положительных бактерий, где количество PlySs2, требуемое для эффективного лизиса грам-положительных бактерий, включая S. aureus, в присутствии антибиотика, является существенно меньшим, чем в отсутствии антибиотика. Изолированный полипептид лизина PlySs2 может содержать аминокислотную последовательность, предоставленную на ФИГУРЕ 29 (SEQ ID NO: 1), или ее варианты, имеющие по меньшей мере 80% идентичности, 85% идентичности, 90% идентичности, 95% идентичности или 99% идентичности с полипептидом ФИГУРЫ 29 (SEQ ID NO: 1) и эффективную для лизиса грам-положительных бактерий. [00020] В аспекте изобретения, предоставлен способ лизиса грам-положительных бактерий, включающий стадию контактирования бактерий с комбинацией лизина PlySs2 и одного или нескольких антибиотиков, комбинацией, содержащей количество изолированного полипептида лизина, эффективного для лизиса грам-положительных бактерий, включая S. aureus, изолированного полипептида лизина, содержащего полипептид лизина PlySs2 или его варианты, эффективные для лизиса грам-положительных бактерий, где количество антибиотика, требуемое для эффективного лизиса грам-положительных бактерий, включая S. aureus, в присутствии PlySs2 является значительно меньшим, чем в отсутствии PlySs2. [00021] Как демонстрируется в соответствии с настоящим изобретением, лизин, как предоставлено в настоящем документе, в частности, включая лизин с активностью против бактерий Staphylococcus и Streptococcus, конкретно, включая PlySs2, действует синергетически с антибиотиками, в частности, антибиотиками различных классов и различным антибактериальным механизмом. Таким образом, в соответствии с изобретением лизины PlySs2 или их активные варианты демонстрируют повышенную активность в комбинации с антибиотиками, включая каждый из типов антибиотиков, воздействующих на синтез клеточной стенки, таких как гликопептиды, пенициллины, которые ингибируют образование пептидогликана, ингибиторы синтеза белка и липопептидные антибиотики. В каждом случае антибактериальная активность как лизина, так и антибиотика, значительно повышается в комбинации. Комбинация с гликопептидным антибиотиком подтверждается ванкомицином, комбинация с классом пенициллинов подтверждается оксациллином, комбинация с антибиотиком-ингибитором синтеза белка, включая класс оксазолидинонов, подтверждается линезолидом, и комбинация с липопептидным антибиотиком подтверждается даптомицином. Настоящее изобретение включает и предусматривает комбинации и повышенную активность с демонстрируемыми антибиотиками, а также с альтернативными членами их класса или родственным антибиотиком. [00022] Таким образом, в аспекте изобретения, предоставлен способ лизиса грам-положительных бактерий, включающий стадию контактирования бактерий с комбинацией лизина и даптомицина или родственного антибиотика, комбинацией, содержащей количество изолированного полипептида лизина, эффективного для лизиса грам-положительных бактерий, включая S. aureus, где количество даптомицина или родственного антибиотика, требуемое для эффективного лизиса грам-положительных бактерий, включая S. aureus, в присутствии лизина, является значительно меньшим, чем в отсутствии лизина. [00023] В дополнительном аспекте, предоставлен способ лизиса грам-положительных бактерий, включающий стадию контактирования бактерий с комбинацией лизина и ванкомицина или родственного антибиотика, комбинацией, содержащей количество изолированного полипептида лизина, эффективного для лизиса грам-положительных бактерий, включая S. aureus, где количество ванкомицина или родственного антибиотика, требуемое для эффективного лизиса грам-положительных бактерий, включая S. aureus, в присутствии лизина является значительно меньшим, чем в отсутствии лизина. [00024] В дополнительном аспекте, предоставлен способ лизиса грам-положительных бактерий, включающий стадию контактирования бактерий с комбинацией лизина и оксациллина или родственного антибиотика, комбинацией, содержащей количество изолированного полипептида лизина, эффективного для лизиса грам-положительных бактерий, включая S. aureus, где количество оксациллина или родственного антибиотика, требуемое для эффективного лизиса грам-положительных бактерий, включая S. aureus, в присутствии лизина является значительно меньшим, чем в отсутствии лизина. [00025] В дополнительном аспекте, предоставлен способ лизиса грам-положительных бактерий, включающий стадию контактирования бактерий с комбинацией лизина и линезолида или родственного антибиотика, комбинацией, содержащей количество изолированного полипептида лизина, эффективного для лизиса грам-положительных бактерий, включая S. aureus, где количество линезолида или родственного антибиотика, требуемое для эффективного лизиса грам-положительных бактерий, включая S. aureus, в присутствии лизина является значительно меньшим, чем в отсутствии лизина. [00026] Изобретение также предоставляет способ лизиса антибиотико-резистентных грам-положительных бактерий, включающий контактирование антибиотико-резистентных бактерий с лизином, способным к лизису стафилококковых бактерий. В одном таком аспекте, антибиотико-резистентные бактерии контактируют с лизином, конкретно, PlySs2, в комбинации с антибиотиком, к которому бактерии являются чувствительными, или в комбинации с антибиотиком, к которому бактерии являются резистентными. В одном таком аспекте способа, лизин представляет собой PlySs2. В одном таком аспекте, лизин представляет собой полипептид, содержащий аминокислотную последовательность, предоставленную на ФИГУРЕ 29 (SEQ ID NO: 1) или ее варианты, имеющую по меньшей мере 80% идентичности, 85% идентичности, 90% идентичности, 95% идентичности или 99% идентичности с полипептидом ФИГУРЫ 29 (SEQ ID NO: 1), и эффективный для лизиса грам-положительных бактерий, в частности, S. aureus. [00027] Изобретение предоставляет такой способ лизиса даптомицин-резистентных грам-положительных бактерий, включающий контактирование даптомицин-резистентных бактерий с лизином, способным к лизису стафилококковых бактерий. Такой способ может включать комбинацию лизина с даптомицином и/или с еще одним антибиотиком. В одном таком аспекте способа, лизин представляет собой PlySs2, как предоставлено в настоящем документе. [00028] Изобретение дополнительно предоставляет такой способ лизиса ванкомицин-резистентных грам-положительных бактерий, включающий контактирование ванкомицин-резистентных бактерий с лизином, способным к лизису стафилококковых бактерий. Такой способ может включать комбинацию лизина с ванкомицином и/или еще одним антибиотиком. В одном таком аспекте способа, лизин представляет собой PlySs2. [00029] В аспекте вышеуказанных способов, способы осуществляют in vitro, ex vivo или наряду с имплантацией или размещением устройства in vivo, таким образом, чтобы стерилизовать или провести обеззараживание раствора, материала или устройства, конкретно предназначенного для применения человеком или в человеке. [00030] В дополнительном аспекте, предоставлен способ увеличения эффективности антибиотика при лизисе или деколонизации грам-положительных бактерий, включающий стадию контактирования бактерий с комбинацией лизина, конкретно, PlySs2, и одного или нескольких антибиотиков, где количество антибиотика, требуемое для эффективного лизиса или деколонизации грам-положительных бактерий, включая S. aureus в присутствии лизина, является значительно меньшим, чем в отсутствии лизина. В одном таком аспекте, предоставляется способ для увеличения или содействия эффективности даптомицина или родственного антибиотика против стрептококковой пневмонии, включающий введение лизина, конкретно PlySs2, в комбинации с даптомицином. В конкретном таком способе или аспекте, даптомицин является эффективным против стрептококковой пневмонии, при введении в комбинации с лизином или после введения лизина, конкретно PlySs2, при дозе даптомицина, которая является неэффективной в отсутствии лизина, конкретно PlySs2. [00031] Изобретение предоставляет способ уменьшения популяции грам-положительных бактерий, включающий стадию контактирования бактерий с композицией, содержащей количество изолированного полипептида лизина независимо неэффективного для лизиса грам-положительных бактерий, и количество антибиотика независимо неэффективного для лизиса грам-положительных бактерий. Антибиотик может представлять собой гликопептид, пенициллин, ингибитор синтеза белка, оксазалидинон или липопептид. Такой способ может включать антибиотик, выбранный из ванкомицина, даптомицина, линезолида и оксациллина. В аспекте, изолированный полипептид лизина содержит аминокислотную последовательность ФИГУРЫ 29 или SEQ ID NO: 1, или ее варианты, имеющие по меньшей мере 80% идентичности с полипептидом ФИГУРЫ 29 или SEQ ID NO: 1 и эффективные для лизиса грам-положительных бактерий. [00032] Изобретение предоставляет способ уменьшения популяции грам-положительных бактерий, включающий стадию контактирования бактерий с композицией, содержащей количество изолированного полипептида лизина, независимо неэффективного для лизиса грам-положительных бактерий, и количество даптомицина, независимо неэффективного для лизиса грам-положительных бактерий. В аспекте, изолированный полипептид лизина содержит аминокислотную последовательность ФИГУРЫ 29 (SEQ ID NO: 1) или ее варианты, имеющие по меньшей мере 80% идентичности с полипептидом ФИГУРЫ 29 (SEQ ID NO: 1), и эффективные для лизиса грам-положительных бактерий. [00033] В любых таких вышеуказанном способе или способах, чувствительные, лизируемые, диспергируемые или обработанные бактерии могут быть выбраны из Staphylococcus aureus, Listeria monocytogenes, Staphylococcus simulans, Streptococcus suis, Staphylococcus epidermidis, Streptococcus equi, Streptococcus equi zoo, Streptococcus agalactiae (GBS), Streptococcus pyogenes (GAS), Streptococcus sanguinis, Streptococcus gordonii, Streptococcus dysgalactiae, Streptococcus Группы G, Streptococcus Группы E, Enterococcus faecalis и Streptococcus пневмонии. [00034] В соответствии с любым из способов изобретения, чувствительные бактерии могут представлять собой антибиотикоустойчивые бактерии. Бактерии могут представлять собой метициллин-резистентный Staphylococcus aureus (MRSA), Staphylococcus aureus, обладающий промежуточной чувствительностью к ванкомицину (VISA), ванкомицин-резистентный Staphylococcus aureus (VRSA), даптомицин-резистентный Staphylococcus aureus (DRSA) или линезолид-резистентный Staphylococcus aureus (LRSA). Чувствительные бактерии могут представлять собой клинически значимые или патогенные бактерии, в частности, для людей. В аспекте способа(ов), полипептид(ы) лизин является эффективным для лизиса бактериальных штаммов Staphylococcus, Streptococcus, Enterococcus и Listeria. [00035] В дополнительном аспекте или варианте осуществления способов и композиций, предоставленных в настоящем описании, еще один отдельный стафилококковый специфический лизин применяют в настоящем описании по отдельности или в комбинации с лизином PlySs2, как предоставлено и описано в настоящем описании. В одном таком аспекте или варианте осуществления способов и композиций, предоставленных в настоящем описании, стафилококковый специфический лизин ClyS применяют в настоящем описании по отдельности или в комбинации с лизином PlySs2, как предоставлено и описано в настоящем описании. [00036] Изобретение предоставляет способы увеличения или содействия антибиотической активности, включающие введение, вместе или последовательно, комбинации лизина, конкретно PlySs2 лизина, и одного или нескольких антибиотиков. В его аспекте, антибиотическую активность увеличивают или ей содействуют в по меньшей мере 10 раз, по меньшей мере 16 раз, по меньшей мере 20 раз, по меньшей мере 24 раза, по меньшей мере 30 раз, по меньшей мере 40 раз, по меньшей мере 50 раз, по меньшей мере 70 раз, по меньшей мере 80 раз, по меньшей мере 100 раз, более чем в 10 раз, более чем в 20 раз, более чем в 50 раз, более чем в 100 раз. Изобретение предоставляет способы увеличения или содействия активности лизина, конкретно лизина PlySs2, включающие введение, вместе или последовательно, комбинации лизина, конкретно, лизина PlySs2, и одного или нескольких антибиотиков. В его аспекте, активность лизина, конкретно PlySs2 увеличивают по меньшей мере в 2 раза, по меньшей мере 4 раза, по меньшей мере 8 раз, по меньшей мере 10 раз, вплоть до 10 раз, вплоть до 16 раз, вплоть до 20 раз. [00037] Изобретение включает способ потенцирования антибиотической активности против грам-положительных бактерий в биологических жидкостях, имеющих активность, подобную активности поверхностно-активного вещества, включающий введение антибиотика в комбинации с лизином PlySs2, содержащим аминокислотную последовательность, предоставленную на ФИГУРЕ 29 (SEQ ID NO: 1), или ее варианты, имеющие по меньшей мере 80% идентичности, 85% идентичности, 90% идентичности, 95% идентичности или 99% идентичности с полипептидом ФИГУРЫ 29 (SEQ ID NO: 1), и эффективным для лизиса грам-положительных бактерий, где антибиотик является эффективным в комбинации с PlySs2 при дозах, при которых антибиотик является неэффективным в отсутствии PlySs2. В аспекте способа, антибиотик представляет собой даптомицин или родственное соединение. В аспекте, бактерии представляют собой S. pneumoniae. [00038] Другие цели и преимущества станут очевидными для специалистов в данной области из обзора следующего описания, которое представлено со ссылками на следующие иллюстративные чертежи. КРАТКОЕ ОПИСАНИЕ ЧЕРТЕЖЕЙ [00039] ФИГУРА 1 отображает кривые время-эрадикация для различных штаммов MRSA в присутствии добавленных даптомицина, ванкомицина или лизина PlySs2. [00040] ФИГУРА 2 отображает кривые время-эрадикация для различных штаммов MSSA в присутствии добавленных даптомицина, ванкомицина, оксациллина или лизина PlySs2. [00041] ФИГУРА 3 предоставляет сводный график кривых время-эрадикация для различных штаммов MRSA и MSSA в присутствии добавленных даптомицина, ванкомицина или лизина PlySs2. [00042] ФИГУРА 4A-4F предоставляет композитные кривые время-эрадикация PlySs2 и антибиотиков для клеток S. aureus in vitro. (A, B) Композитные кривые время-эрадикация PlySs2 по сравнению с оксациллином (ОКСА), ванкомицином (ВАН), и даптомицином (ДАП) против наборов из 20 штаммов MSSA и 42 штаммов MRSA, соответственно. При каждом индивидуальном анализе, концентрации лекарственного средства соответствуют штамм-специфическим значениям 1X МПК. Средние значения (± стандартная ошибка среднего) показаны для каждой временной точки. (C, D) Анализ методом титрования PlySs2 против наборов из 15 современных клинических изолятов MSSA и MRSA, соответственно. При каждом индивидуальном анализе, концентрации PlySs2 соответствуют штамм-специфическим значениям МПК. Использовали концентрации 4X, 1X, и 0,25X МПК. (E,F) Фотографии, полученные с помощью трансмиссионного электронного микроскопа, (3300× увеличение) клеток S. aureus (штамм MW2) перед и после 3-секундной обработки 8 г/мл PlySs2. Масштабные метки соответствуют 2 мкМ. Лизис приводит в результате к потере окрашенных темным цветом цитоплазматических компонентов. [00043] ФИГУРА 5 показывает кривые время-эрадикация для штаммов MRSA, обработанных PlySs2 и ванкомицином по отдельности или в комбинации при отмеченных дозах, соответствующих суб-МПК. [00044] ФИГУРА 6 показывает кривые время-эрадикация для штаммов MRSA, обработанных PlySs2 и даптомицином по отдельности или в комбинации при отмеченных дозах, соответствующих суб-МПК. [00045] ФИГУРА 7 отображает кривые время-эрадикация для штамма MRSA 650 (052C Tomasz) в присутствии добавленных даптомицина и лизина PlySs2 по отдельности или в комбинации при отмеченных МПК или дозе. [00046] ФИГУРА 8A-8F показывает, что PlySs2 синергетически взаимодействует с антибиотиками по множеству штаммов in-vitro и отображает результаты время-эрадикация для штаммов MSSA, обработанных PlySs2 и оксациллином (A,B); штаммов MRSA, обработанных Plyss2 и ванкомицином (C,D), штаммов MRSA, обработанных PlySs2 и даптомицином (E,F). На панелях A, C и E показаны данные время-эрадикация для трех индивидуальных штаммов, штамма JMI 7140 MSSA, штамма JMI 3340 MRSA и штамма JMI 3345 MRSA, соответственно. (A) Показаны значения для роста, контроля роста (отсутствие PlySs2 или антибиотика), PlySs2 0,13X МПК, оксациллина (ОКСА) 0,5X МПК, комбинации PlySs2+Oкса при указанных концентрациях лекарственного средства. (C) Показаны значения для роста, контроля роста (отсутствие PlySs2 или антибиотика), PlySs2 0,13X МПК, ванкомицина (ВАН) 0,5X МПК, комбинации PlySs2+ВАН при указанных концентрациях лекарственного средства. (E) Показаны значения для роста, контроля роста (отсутствие PlySs2 или антибиотика), PlySs2 0,25 X МПК, даптомицина (ДАП) 0,5X МПК, комбинации PlySs2+ДАП при указанных концентрациях лекарственного средства. На панелях B, D, и F показаны лог-изменение в кое/мл между культурой, обработанной комбинацией, и необработанным контролем роста в течение 6 часов для коллекций штаммов. Горизонтальные пунктирные линии показывают 2 log границу, требуемую для балльной оценки синергизма время-эрадикация. Снижения по log10 количеств колоний (или ΔLog10 Кое/мл) показаны для культур, обработанных в течение 6 часов комбинацией лекарственных средств, в сравнении с культурами, обработанными наиболее активным одиночным средством. Синергизм определяют по CLSI, как ≥2-log10 снижение по Кое/мл и обозначают на фигуре пунктирной линией. Разъяснение: ΔLog10 Кое/мл = изменение log10 колониеобразующих единиц. [00047] ФИГУРА 9 предоставляет панель дозовых разведений парных комбинаций даптомицина и PlySs2 при отмеченных концентрациях на штамме 553 MRSA в присутствии восстановителя (BME). [00048] ФИГУРА 10 предоставляет панель дозовых разведений парных комбинаций даптомицина и PlySs2 при отмеченных концентрациях на штамме 553 MRSA в отсутствии восстановителя (BME). [00049] ФИГУРА 11 предоставляет панель дозовых разведений парных комбинаций даптомицина и PlySs2 при отмеченных концентрациях на штамме 223 MRSA в присутствии BME. [00050] ФИГУРА 12 предоставляет панель дозовых разведений парных комбинаций даптомицина и PlySs2 при отмеченных концентрациях на штамме 223 MRSA в отсутствии BME. [00051] ФИГУРА 13 предоставляет панель дозовых разведений парных комбинаций даптомицина и PlySs2 при отмеченных концентрациях на штамме 270 MRSA в присутствии и отсутствии BME. [00052] ФИГУРА 14 предоставляет панель дозовых разведений парных комбинаций даптомицина и PlySs2 при отмеченных концентрациях на штамме 269 MRSA в присутствии и отсутствии BME. [00053] ФИГУРА 15 предоставляет панель дозовых разведений парных комбинаций даптомицина и PlySs2 при отмеченных концентрациях на штамме 241 MRSA в присутствии и отсутствии BME. [00054] ФИГУРА 16 предоставляет панель дозовых разведений парных комбинаций даптомицина и PlySs2 при отмеченных концентрациях на штамме 263 MRSA в присутствии и отсутствии BME. [00055] ФИГУРА 17 предоставляет панель дозовых разведений парных комбинаций даптомицина и PlySs2 при отмеченных концентрациях на штамме 650 MRSA в присутствии и отсутствии BME. [00056] ФИГУРА 18 предоставляет панель дозовых разведений парных комбинаций даптомицина и PlySs2 при отмеченных концентрациях на штамме 828 MRSA в присутствии и отсутствии BME. [00057] ФИГУРА 19 отображает представительные изоболограммы, отображающие значения ФПК лизина PlySs2 в сопоставлении со значениями ФПК антибиотика. PlySs2 в сопоставлении с антибиотиками оксациллином, ванкомицином и даптомицином отображен против штаммов MSSA и штаммов MRSA, как отмечено. Оксациллин и PlySs2 оценивают в сопоставлении со штаммом JMI 33611 MSSA. PlySs2 и ванкомицин оценивают в сопоставлении с штаммом JMI MSSA 9365 и штаммом MRSA JMI 6456. Даптомицин и PlySs2 оценивают в сопоставлении с штаммом JMI 33611 MSSA и JMI 3345 MRSA. [00058] ФИГУРА 20A и 20B предоставляет зависимость от времени окрашивания S. aureus BODIPY-меченым даптомицином (A) и ванкомицином (B) в отсутствии и присутствии субколичеств МПК PlySs2. [00059] ФИГУРА 21 отображает кратность изменения значения МПК против штамма MW2 MRSA и штамма ATCC 29213 MSSA, обработанных PlySs2 или даптомицином в присутствии переменных количеств поверхностно-активного вещества (от 1,25 до 15% поверхностно-активного вещества). [00060] ФИГУРА 22 предоставляет панель дозовых разведений парных комбинаций даптомицина и PlySs2 при отмеченных концентрациях на штамме 269 MRSA в присутствии 15% поверхностно-активного вещества (Survanta). [00061] ФИГУРА 23 предоставляет составной график % выживаемости мышей (50 животных), стимулированных штаммом 269 (MW2) MRSA, имеющим мощности бактериального инокулята, равные 1,1-3,1×106КОЕ, и обработанных даптомицином или PlySs2 по отдельности или в комбинации в нескольких экспериментах. [00062] ФИГУРА 24 отображает % выживаемости мышей, стимулированных штаммом 220 MRSA при 2,65×106КОЕ и обработанных указанными дозами даптомицина или PlySs2 по отдельности или в комбинации. [00063] ФИГУРА 25 отображает % выживаемости мышей, стимулированных штаммом 833 MRSA при 1,4×l06КОЕ и обработанных указанными дозами даптомицина или PlySs2 по отдельности или в комбинации. [00064] ФИГУРА 26 отображает % выживаемости мышей, стимулированных штаммом 833 MRSA при 2,0×106КОЕ и обработанных указанными дозами даптомицина или PlySs2 по отдельности или в комбинации. [00065] ФИГУРА 27A-27F отображает кривые выживаемости при комбинационной терапии в сравнении с монотерапиями на мышиных моделях бактериемии. Мышей стимулировали либо 7,5×106 кое/мышь внутрибрюш. (модель с низкой стимуляцией - панель a) или 109 кое/мышь внутрибрюш. (модель с высокой стимуляцией - панели b-f) при времени 0, и обрабатывали либо антибиотиком, PlySs2, комбинацией PlySs2 и антибиотика или контролем, и полученные в результате данные по выживаемости показаны в формате Каплана-Мейера. Все дозы вводили в виде разовой болюсной дозы за исключением ванкомицина (BID, панель e) и оксациллина (QID, панель f), которые вводили в виде многократных доз в течение первого 24-часового периода. Пути введения представляли собой PlySs2 (внутрибрюш.), даптомицин и ванкомицин (подкожный), и оксациллин (внутримышечный). Значения P рассчитывали для комбинации в сопоставлении с антибиотиком по отдельности. (A) Модель с низкой стимуляцией с использованием штамма MW2 MRSA с даптомицином при 2 мг/кг и PlySs2 при 1,25 мг/кг. Дозирование через 4 часа после инокуляции, n=30, P<0,0001. (B) Модель с высокой стимуляцией с использованием штамма MW2 MRSA с даптомицином при 50 мг/кг и PlySs2 при 5,25 мг/кг. Дозирование через 2 часа после инокуляции, n=45, P<0,0001. (C) то же, что и для B с использованием штамма 738 MRSA, n=30, P<0,0001. (D) то же, что и для B с использованием штамма 832 MRSA, n=30, P<0,0001. (E) Модель с высокой стимуляцией с использованием штамма MW2 MRSA с ванкомицином при 110 мг/кг BID и PlySs2 при 5,25 мг/кг. Дозирование, инициированное через 2 часа после инокуляции, n=30, P<0,0001. (F) Модель с высокой стимуляцией с использованием штамма ATCC 25923 MSSA с оксациллином при 200 мг/кг QID и PlySs2 при 5,25 мг/кг. Дозирование, инициированное через 2 часа после инокуляции, n=30 P<0,0001. [00066] ФИГУРА 28 отображает МПК даптомицина и PlySs2 на штамме MSSA и штамме MRSA с количеством пассажей и развитием устойчивости к даптомицину. МПК PlySs2 падает, показывая увеличенную чувствительность к PlySs2 вместе с увеличенной устойчивостью к даптомицину. [00067] ФИГУРА 29 предоставляет аминокислотную последовательность (SEQ ID NO: 1) и кодирующую последовательность нуклеиновой кислоты (SEQ ID NO: 2) лизина PlySs2. N-концевой CHAP-домен и С-концевой SH-3-домен PlySs2 лизина заштрихованы, с CHAP-доменом (SEQ ID NO: 3), начинающимся с LNN… и заканчивающимся … YIT, и SH-3-доменом (SEQ ID NO: 4), начинающимся с RSY … заканчивающимся … VAT. Остатки активного центра CHAP-домена (Cys26, His102, Glu118, и Asn120), идентифицированные по гомологии с PDB 2K3A (Rossi P et al (2009) Proteins 74:515-519), подчеркнуты. [00068] ФИГУРА 30 отображает кратность изменения значения МПК даптомицина как функцию дней серийного пассажа в условиях селекции по резистентности в присутствии даптомицина по отдельности или даптомицина с суб-МПК количествами PlySs2 лизина для множества культур (три независимых культуры каждого). [00069] ФИГУРА 31 отображает кратность изменения значения МПК ванкомицина как функцию дней серийного пассажа в условиях селекции по резистентности в присутствии даптомицина по отдельности или даптомицин с суб-МПК количествами PlySs2 лизина для множества культур (три независимых культуры каждого). ПОДРОБНОЕ ОПИСАНИЕ [00070] В соответствии с настоящим изобретением могут применяться общепринятые методы молекулярной биологии, микробиологии и технологии рекомбинантных ДНК в пределах компетентности в данной области. Такие методы поясняются в полном объеме в литературе. См., например, Sambrook et al, «Molecular Cloning: Laboratory Manual» (1989); «Current Protocols in Molecular Biology» Volumes I-III [Ausubel, R.M., ed. (1994)]; «Cell Biology: Laboratory Handbook» Volumes I-III [J.E. Celis, ed. (1994))]; «Current Protocols in Immunology» Volumes I-III [Coligan, J.E., ed. (1994)]; «Oligonucleotide Synthesis» (M.J. Gait ed. 1984); «Nucleic Acid Hybridization» [B.D. Hames & S.J. Higgins eds. (1985)]; «Transcription And Translation» [B.D. Hames & S.J. Higgins, eds. (1984)]; «Animal Cell Culture» [R.I. Freshney, ed. (1986)]; «Immobilized Cells And Enzymes» [IRL Press, (1986)]; B. Perbal, «A Practical Guide To Molecular Cloning» (1984). [00071] Следовательно, при появлении в настоящем описании, следующие термины будут иметь определения, приведенные ниже. [00072] Термины «лизин(ы)PlySs», «лизин PlySs2», «PlySs2» и любые варианты, не перечисленные конкретно, могут применяться в настоящем описании взаимозаменяемо, и, при использовании на протяжении настоящей заявки и формулы изобретения относятся к белковому материалу, включающему одиночные белки или множество белков, и распространяются на эти белки, имеющие данные по аминокислотной последовательности, описанные в настоящем описании, и представленные на ФИГУРЕ 29 и SEQ ID NO: 1, и профиль активностей, приведенный в настоящем описании и в формуле изобретения. Соответственно, белки, проявляющие по существу эквивалентные или измененные активности, предусматриваются аналогичным образом. Эти модификации могут быть преднамеренными, например, такими, как модификации, полученные посредством сайт-направленного мутагенеза, или могут быть случайными, такими, как модификации, полученные посредством мутаций у хозяев, которые являются продуцентами комплекса или его указанных субъединиц. Также, термины «лизин(ы) PlySs», «лизин PlySs2», «PlySs2» предназначены для включения в пределы их объема, белков, конкретно перечисленных в настоящем описании, а также всех по существу гомологичных аналогов, фрагментов или усечений и аллельных вариаций. Лизин PlySs2 описан в патентной заявке США 61/477,836 и заявке РСТ PCT/US2012/34456. Более недавняя статья Gilmer et al описывает лизин PlySs2 (Gilmer DB et al (2013) Antimicrob Agents Chemother Epub 2013 April 9 [PMID 23571534]). [00073] Термин «ClyS», «лизин ClyS» относится к химерному лизину ClyS, с активностью против стафилококковых бактерий, включая Staphylococcus aureus, подробно описанному в WO 2010/002959 и описанному также в Daniel et al (Daniel, et al (2010) Antimicrobial Agents и Chemother 54(4): 1603-1612). Примерная аминокислотная последовательность ClyS предоставлена в SEQ ID NO: 5. [00074] «Литический фермент» включает любой литический фермент бактериальной клеточной стенки, который лизирует одну или несколько бактерий в подходящих условиях и в течение значимого периода времени. Примеры литических ферментов включают, не ограничиваясь ими, различные амидазные литические ферменты клеточной стенки. В конкретном аспекте, литический фермент относится к литическому ферменту бактериофага. «Литический фермент бактериофага» относится к литическому ферменту, экстрагированному или выделенному из бактериофага, или синтезированному литическому ферменту с аналогичной белковой структурой, которая поддерживает функциональность литического фермента. [00075] Литический фермент способен к специфическому расщеплению связей, которые присутствуют в пептидогликане бактериальных клеток, чтобы разрушить бактериальную клеточную стенку. В настоящее время также постулируют, что пептидогликан бактериальной клеточной стенки является высококонсервативным среди большинства бактерий, и расщепление только нескольких связей может разрушить бактериальную клеточную стенку. Примерами литических ферментов, которые расщепляют эти связи, являются мурамидазы, глюкозаминидазы, эндопептидазы или N-ацетил-мурамоил-L-аланинамидазы. Fischetti et al (1974) сообщал, что фермент лизин стрептококкового фага C1 представлял собой амидазу. Garcia et al (1987, 1990) сообщал, что Cp1 лизин из S. pneumoniae из фага Cp-1 представлял собой лизоцим. Caldentey и Bamford (1992) сообщали, что литический фермент из фага phi 6 Pseudomonas представлял собой эндопептидазу, расщепляющую пептидный мостик, образованный мелодиаминопимелиновой кислотой и D-аланином. Литические ферменты фага T1 и T6 E. coli представляют собой амидазы, как и литический фермент из фага (ply) Listeria (Loessner et al, 1996). Существуют также другие литические ферменты, известные в данной области, которые способны к расщеплению бактериальной клеточной стенки. [00076] Термин «Литический фермент, генетически кодируемый бактериофагом», включает полипептид, способный к лизису бактерий-хозяев, например, обладая по меньшей мере некоторой литической активностью по отношению к клеточной стенке против бактерий-хозяев. Полипептид может иметь последовательность, которая охватывает нативную последовательность литического фермента и его вариантов. Полипептид может быть выделен из разных источников, таких как, бактериофаг («фаг»), или получен посредством рекомбинантных или синтетических методов. Полипептид может, например, содержать холинсвязывающую часть по карбоксильной концевой стороне и может характеризоваться ферментной активностью, способной к расщеплению пептидогликана клеточной стенки (такой как амидазной активности для действия на амидные связи в пептидогликане) по аминоконцевой стороне. Были описаны литические ферменты, которые включают множество ферментных активностей, например, два ферментативных домена, таких как лизин PlyGBS. Дополнительно, были описаны другие литические ферменты, содержащие только каталитический домен и не содержащие домена для связывания с клеточной стенкой. [00077] «Нативная последовательность ассоциированного с фагом литического фермента» включает полипептид, имеющий такую же аминокислотную последовательность, как и фермент, полученный из бактериального генома (т.е. профага). Такая нативная последовательность фермента может быть выделена или может быть получена рекомбинантными или синтетическими средствами. [00078] Термин «нативная последовательность фермента» охватывает природные формы (например, альтернативно сплайсированные или измененные формы) и природные варианты фермента. В одном варианте осуществления изобретения, нативная последовательность фермента представляет собой зрелый или непроцессированный полипептид, который генетически кодируется геном из бактериофага, специфичного для Streptococcus suis. Разумеется, возможными и известными являются несколько вариантов, как признают в публикациях, таких как Lopez et al., Microbial Drug Resistance 3: 199-211 (1997); Garcia et al., Gene 86: 81-88 (1990); Garcia et al., Proc. Natl. Acad. Sci. USA 85: 914-918 (1988); Garcia et al., Proc. Natl. Acad. Sci. USA 85: 914-918 (1988); Garcia et al., Streptococcal Genetics (J.J. Ferretti и Curtis eds., 1987); Lopez et al., FEMS Microbiol. Lett. 100: 439-448 (1992); Romero et al., J. Bacteriol. 172: 5064-5070 (1990); Ronda et al., Eur. J. Biochem. 164: 621-624 (1987) и Sanchez et al., Gene 61: 13-19 (1987). Содержание каждой из этих ссылок, в частности, списки последовательностей и связанный с ними текст, в котором сравнивают последовательности, включая утверждения о гомологии последовательностей, конкретно, полностью включено посредством ссылки. [00079] «Вариантная последовательность литического фермента» включает литический фермент, характеризуемый полипептидной последовательностью, которая отличается от последовательности литического фермента, но сохраняет функциональную активность. Литический фермент может, в некоторых вариантах осуществления, генетически кодироваться бактериофагом, специфичным для Streptococcus suis, как в случае PlySs2, имеющего конкретную идентичность аминокислотной последовательности с последовательностью (последовательностями) его литического фермента, как предоставлено на ФИГУРЕ 29 и в SEQ ID NO: 1. Например, в некоторых вариантах осуществления, функционально активный литический фермент может лизировать бактерии Streptococcus suis, и другие чувствительные бактерии, как предоставлено в настоящем документе, включая показанные данные в таблице 1, 2 и 3, посредством разрушения клеточной стенки бактерий. Активный литический фермент может иметь 60, 65, 70, 75, 80, 85, 90, 95, 97, 98, 99 или 99,5% идентичности аминокислотной последовательности с последовательностью(последовательностями) литического фермента, предоставленными на ФИГУРЕ 29 (SEQ ID NO: 1, SEQ ID NO: 3 или SEQ ID NO: 4). Такие ассоциированные с фагом варианты литического фермента включают, например, полипептиды литического фермента, где один или несколько аминокислотных остатков являются добавленными, или подвергнутыми делеции по N- или C-концу последовательности из этой последовательности(ей) литического фермента, предоставленных на ФИГУРЕ 29 (SEQ ID NO: 1). [00080] В конкретном аспекте, ассоциированный с фагом литический фермент будет иметь по меньшей мере приблизительно 80% или 85% идентичности аминокислотной последовательности с нативными последовательностями ассоциированного с фагом литического фермента, в частности, по меньшей мере приблизительно 90% (например, 90%) идентичности аминокислотной последовательности. Наиболее конкретно, ассоциированный с фагом вариант литического фермента будет иметь по меньшей мере приблизительно 95% (например 95%) идентичности аминокислотной последовательности с этими нативными последовательностью(ями) ассоциированного с фагом литического фермента, предоставленными на ФИГУРЕ 29 (SEQ ID NO: 1) для лизина PlySs2, или, как описано ранее, для ClyS, включая WO 2010/002959, а также как описано у Daniel et al (Daniel, et al (2010) Antimicrobial Agents и Chemother 54(4): 1603- 1612) и SEQ ID NO: 5. [00081] «Процент идентичности аминокислотной последовательности» по отношению к идентифицированным последовательностям ассоциированного с фагом литического фермента определяют в настоящем описании, как процентное содержание аминокислотных остатков в кандидатной последовательности, которые являются идентичными с аминокислотными остатками в последовательности ассоциированного с фагом литического фермента, после выравнивания последовательностей в одной и той же рамке считывания и введения пробелов, если необходимо, для достижения максимального процента идентичности последовательности, и без учета каких либо консервативных замен как части идентичности последовательности. [00082] «Процент идентичности последовательности нуклеиновой кислоты» по отношению к идентифицированным в настоящем описании последовательностям ассоциированного с фагом литического фермента, определяют как процентное содержание нуклеотидов в кандидатной последовательности, которые являются идентичными с нуклеотидами в последовательности ассоциированного с фагом литического фермента, после выравнивания последовательностей и введения пробелов, если необходимо, для достижения максимального процента идентичности последовательности. [00083] Для определения процента идентичности двух нуклеотидных или аминокислотных последовательностей, последовательности выравнивают с целью оптимального сравнения (например, пробелы могут быть введены в последовательность первой нуклеотидной последовательности). Нуклеотиды или аминокислоты в соответствующих нуклеотидных или аминокислотных положениях затем сравнивают. Когда положение в первой последовательности занято такими же нуклеотидом или аминокислотой, как соответствующее положение во второй последовательности, тогда молекулы являются идентичными по этому положению. Процент идентичности между двумя последовательностями является функцией количества идентичных положений, разделенных между последовательностями (т.е. % идентичности = # идентичных положений/суммарное # положений X 100). [00084] Определение процента идентичности между двумя последовательностями может проводиться с использованием математического алгоритма. Неограничивающий пример математического алгоритма, используемого для сравнения двух последовательностей представляет собой алгоритм из Karlin et al., Proc. Natl. Acad. Sci. USA, 90:5873-5877 (1993), который включен в программу NBLAST, которую можно применять для идентификации последовательностей, имеющих желательные идентичности с нуклеотидными последовательностями изобретения. Чтобы получить выравнивания с пробелами с целью сравнения, может использоваться Gapped BLAST, как описано в Altschul et al, Nucleic Acids Res, 25:3389-3402 (1997). При использовании программ BLAST и Gapped BLAST, могут применяться параметры по умолчанию соответствующих программ (например, NBLAST). См. программы, предоставленные Национальным центром биотехнологической информации, Национальной медицинской библиотекой, Национальными институтами здравоохранения. [00085] «Полипептид» включает полимерную молекулу, состоящую из множества аминокислот, объединенных вместе линейным образом. Полипептид может, в некоторых вариантах осуществления, соответствовать молекулам, кодируемым полинуклеотидной последовательностью, которая является природной. Полипептид может включать консервативные замены, где природная аминокислота заменена аминокислотой, имеющей аналогичные свойства, где такие консервативные замены не изменяют функцию полипептида. [00086] Термин «измененные литические ферменты» включает перетасованные и/или химерные литические ферменты. [00087] Было обнаружено, что литические ферменты фага, специфичные для бактерий, инфицированных специфичным фагом, эффективно и производительно разрушают клеточную стенку рассматриваемой бактерии. Полагают, что у литического фермента отсутствует протеолитическая ферментативная активность, и, он, следовательно, является неразрушающим по отношению к белкам и тканям млекопитающих, когда присутствует во время расщепления бактериальной клеточной стенки. Кроме того, поскольку было обнаружено, что действие литических ферментов фага, в отличие от антибиотиков, было довольно специфичным для целевого патогена(ов), вероятно, что нормальная флора будет оставаться по существу в неизменном виде (M.J. Loessner, G. Wendlinger, S. Scherer, Mol Microbiol 16, 1231-41. (1995), включенная в настоящее описание посредством ссылки). Действительно, лизин PlySs2, при демонстрации уникально широкого спектра лизиса бактериальных видов и штаммов, является сравнительно и особенно неактивным против бактерий, содержащих нормальную флору, включая E. coli, как описано в настоящем описании. [00088] Литический фермент или полипептид для использования в изобретении может продуцироваться бактериальным организмом после его инфицирования конкретным бактериофагом или может быть продуцирован или получен рекомбинантно или синтетически в качестве профилактического средства для предотвращения от заболевания тех субъектов, которые были подвержены воздействию других субъектов, имевших симптомы инфекции, или в качестве терапевтического средства для субъектов, которые уже заболели в результате инфекции. Ввиду того, что последовательности полипептидов лизина и нуклеиновые кислоты, кодирующие полипептиды лизина, описаны и являются предметом ссылок в настоящем описании, литические фермент(ы)/полипептид(ы) могут предпочтительно продуцироваться посредством изолированного гена для литического фермента из генома фага, при помещении гена в вектор переноса, и клонировании указанного вектора переноса в систему экспрессии, с использованием стандартных методов в данной области, включая иллюстрируемые примерами в настоящем описании. Литические фермент(ы) или полипептид(ы) могут являться процессированными, химерными, перетасованными или «природными», и могут находиться в комбинации. Релевантный патент США №5604109 полностью включен в настоящее описание посредством ссылки. «Измененный» литический фермент может продуцироваться различными путями. В предпочтительном варианте осуществления, ген для измененного литического фермента из генома фага помещают в вектор переноса или перемещаемый вектор, предпочтительно плазмиду, и плазмиду клонируют в вектор экспрессии или систему экспрессии. Вектор экспрессии для продуцирования полипептида лизина или фермента изобретения может быть подходящим для E. coli, Bacillus, или ряда других подходящих бактерий. Векторная система может также представлять собой бесклеточную систему экспрессии. Все из методов экспрессирования гена или набора генов являются известными в данной области. Литический фермент может также быть создан посредством инфицирования Streptococcus suis бактериофагом, специфичным для Streptococcus suis, где указанный по меньшей мере один литический фермент эксклюзивно лизирует клеточную стенку указанного Streptococcus suis, обладая по большей мере минимальными эффектами на другую, например, природную или симбиотическую присутствующую бактериальную флору. [00089] «Химерный белок» или «гибридный белок» содержит всю или (предпочтительно, биологически активную) часть полипептида, используемого в изобретении, функционально связанного с гетерологичным полипептидом. Химерные белки или пептиды продуцируются, например, посредством комбинирования двух или нескольких белков, имеющих два или несколько активных центров. Химерные белок и пептиды могут действовать независимо на одну и ту же или различные молекулы, и, следовательно, иметь потенциал для лечения двух или нескольких различных бактериальных инфекций в одно и то же время. Химерные белки и пептиды также могут применяться для лечения бактериальной инфекции посредством расщепления клеточной стенки в более чем одном расположении, таким образом, потенциально обеспечивая более быстрый или эффективный (или синергетический) лизис от единственной молекулы лизина или химерного пептида. [00090] «Гетерологичная» область конструкции ДНК или конструкции пептида представляет собой идентифицируемый сегмент ДНК внутри более крупной молекулы ДНК или пептида внутри более крупной молекулы пептида, которая не обнаруживается в ассоциации с более крупной молекулой в природе. Таким образом, когда гетерологичная область кодирует ген млекопитающего, ген будет обычно фланкирован ДНК, которая не фланкирует геномную ДНК млекопитающих в геноме организма-источника. Еще одним примером гетерологичной кодирующей последовательности является конструкция, где кодирующая последовательность сама по себе не обнаруживается в природе (например, кДНК, где геномная кодирующая последовательность содержит интроны, или синтетические последовательности, имеющие кодоны, отличающиеся от нативного гена). Аллельные вариации или природные мутационные события не способствуют возникновению гетерологичной области ДНК или пептида, определенных в настоящем описании. [00091] Термин «функционально связанный» означает, что полипептид раскрытия и гетерологичный полипептид гибридизируются внутри рамки. Гетерологичный полипептид может быть гибридизирован по N-концу или C-концу полипептида раскрытия. Химерные белки получают ферментативно химическим синтезом, или посредством технологии рекомбинантных ДНК. Несколько химерных литических ферментов были получены и исследованы. Одним примером применимого гибридного белка является гибридный белок GST, в котором полипептид раскрытия гибридизирован с C-концом последовательности GST. Такой химерный белок может способствовать очистке рекомбинантного полипептида раскрытия. [00092] В еще одном варианте осуществления, химерный белок или пептид содержат гетерологичную сигнальную последовательность по их N-концу. Например, нативная сигнальная последовательность полипептида раскрытия может быть удалена и заменена на сигнальную последовательность из еще одного известного белка. [00093] Гибридный белок может комбинировать полипептид лизина с белком или полипептидом, имеющими различную способность, или обеспечивающими дополнительную способность или добавленный признак полипептиду лизина. Гибридный белок может представлять собой иммуноглобулиновый гибридный белок, в котором весь полипептид или часть полипептида раскрытия гибридизирована с последовательностями, полученными из члена семейства иммуноглобулиновых белков. Иммуноглобулин может представлять собой антитело, например, антитело, направленное к поверхности белка или эпитопа чувствительных или целевых бактерий. Иммуноглобулиновый гибридный белок может изменять биодоступность когнатного лиганда полипептида раскрытия. Ингибирование лиганд/рецепторного взаимодействия может быть применимым терапевтически, как для лечения связанных с бактериями заболеваний и расстройств, так и для модуляции (т.е. инициирования или ингибирования) выживаемости клеток. Гибридный белок может включать средство для направления или нацеливания лизина на конкретные ткани или органы или на поверхности, такие как устройства, пластик, мембраны. Химерные и гибридные белки и пептиды раскрытия могут быть получены посредством стандартных технологий рекомбинантных ДНК. [00094] Модифицированная или измененная форма белка или пептидов и пептидных фрагментов, раскрытых в настоящем описании, включает белок или пептиды и пептидные фрагменты, которые химически синтезируют или получают посредством технологий рекомбинантных ДНК или применяя оба подхода. Эти методы включают, например, химеризацию и перетасовку. Как используют в настоящем описании, перетасованные белки или пептиды, генные продукты или пептиды для нескольких родственных белков фага или пептидных фрагментов белка статистически расщепляли и повторно собирали в более активный или специфичный белок. Перетасованные молекулы олигонуклеотидов, пептидов или пептидных фрагментов отбирают или подвергают скринингу для идентификации молекулы, имеющей желательное функциональное свойство. Перетасовку можно применять для создания белка, который является более активным, например, в 10-100 раз более активным, чем матричный белок. Матричный белок выбирают среди различных разновидностей белков лизина. Перетасованные белок или пептиды составляют, например, один или несколько доменов связывания и один или несколько каталитических доменов. Когда белок или пептид получают посредством химического синтеза, он предпочтительно не содержит по существу химических предшественников или других химикатов, т.е. его отделяют от химических предшественников или других химикатов, которые вовлечены в синтез белка. Соответственно, такие препараты белка имеют менее чем приблизительно 30%, 20%, 10%, 5% (массы сухого вещества) химических предшественников или соединений, отличающихся от полипептида, представляющего интерес. [00095] Настоящее изобретение также имеет отношение к другим вариантам полипептидов, применимых в изобретении. Такие варианты могут иметь измененную аминокислотную последовательность, которая может функционировать либо как агонисты (миметики) или как антагонисты. Варианты могут быть генерированы посредством мутагенеза, т.е. дискретной точечной мутации или процессирования. Агонист может сохранять по существу такую же биологическую активность, или ряд биологических активностей природной формы белка. Антагонист белка может ингибировать одну или несколько из активностей природной формы белка посредством, например, конкурентного связывания с восходящим или нисходящим компонентом клеточного сигнального каскада, который включает целевой белок. Таким образом, конкретные биологические эффекты могут быть достигнуты посредством лечения с использованием варианта с ограниченной функцией. Лечение субъекта с использованием варианта, имеющего ряд биологических активностей природной формы белка, может иметь меньшее количество побочных эффектов у субъекта относительно лечения с использованием природной формы белка. Варианты белка, используемые в раскрытии, которые функционируют либо как агонисты (миметики) или как антагонисты, могут быть идентифицированы посредством скрининга комбинаторных библиотек мутантов, таких как процессированных мутантов раскрытого белка. В одном варианте осуществления, мозаичную библиотеку вариантов генерируют посредством комбинаторного мутагенеза на уровне нуклеиновой кислоты и кодируют посредством мозаичной генной библиотеки. Существуют различные методы, которые могут использоваться для получения библиотек потенциальных вариантов раскрытых полипептидов из вырожденной олигонуклеотидной последовательности. Библиотеки фрагментов кодирующей последовательности раскрытых полипептидов могут применяться для генерации мозаичной популяции полипептидов для скрининга и последующей селекции вариантов, активных фрагментов или процессированных вариантов. Несколько технологий известны в данной области для скрининга генных продуктов комбинаторных библиотек, полученных посредством точечных мутаций или процессирования, и для скрининга библиотек кДНК для генных продуктов, имеющих выбранное свойство. Наиболее широко применяемые технологии, которые подвержены высокоскоростному анализу для скрининга крупных генных библиотек, обычно включают клонирование генной библиотеки в реплицируемые векторы экспрессии, трансформацию соответствующих клеток с помощью полученной в результате библиотеки векторов, и экспрессию комбинаторных генов в условиях, при которых обнаружение желательной активности способствует выделению вектора, кодирующего ген, продукт которого был обнаружен. В данном контексте, наименьшая часть белка (или нуклеиновой кислоты, которая кодирует белок) в соответствии с вариантами осуществления, представляет собой эпитоп, который является распознаваемым в качестве специфичного для фага, который создает белок лизина. Соответственно, наименьший полипептид (и ассоциированная нуклеиновая кислота, которая кодирует полипептид), которые, как можно ожидать, связываются с мишенью или рецептором, таким как антитело, и являются применимыми для нескольких вариантов осуществления могут иметь длину в 8, 9, 10, 11, 12, 13, 15, 20, 25, 30, 35, 40, 45, 50, 55, 60, 65, 75, 85 или 100 аминокислот. Несмотря на то, что небольшие последовательности с длиной в 8, 9, 10, 11, 12 или 15 аминокислот надежно содержат достаточную структуру для действия в качестве мишеней или эпитопов, более короткие последовательности с длиной в 5, 6 или 7 аминокислот могут проявлять целевую или эпитопную структуру при некоторых условиях и иметь значение в варианте осуществления. Таким образом, наименьшая часть белка(ов) или полипептидов лизина, предоставленных в настоящем описании, включая представленное на ФИГУРЕ 29 (SEQ ID NO: 1), включает полипептиды с длиной в пределах 5, 6, 7, 8, 9, 10, 12, 14 или 16 аминокислот. [00096] Биологически активные части белка или пептидного фрагмента вариантов осуществлений, описанных в настоящем описании, включают полипептиды, содержащие аминокислотные последовательности, в достаточной степени идентичные аминокислотной последовательности раскрытого белка лизина или полученные из нее, которые включают меньшее количество аминокислот, чем непроцессированный белок лизина, и проявляют по меньшей мере одну активность соответствующего непроцессированного белка. Обычно, биологически активные части содержат домен или мотив с по меньшей мере одной активностью соответствующего белка. Иллюстративная последовательность домена для N-концевого CHAP-домена лизина настоящего изобретения предоставлена на ФИГУРЕ 29 и SEQ ID NO: 3. Иллюстративная последовательность домена для С-концевого SH3-домена лизина настоящего изобретения предоставлена на ФИГУРЕ 29 и SEQ ID NO: 4. Биологически активная часть белка или белкового фрагмента раскрытия может представлять собой полипептид, который имеет длину, например, на 10, 25, 50, 100 аминокислот меньше или больше. Более того, другие биологически активные части, в которых другие области белка были подвергнуты делеции или добавлены, могут быть получены посредством рекомбинантных технологий и оценены на предмет наличия одной или нескольких из функциональных активностей нативной формы полипептида вариантов осуществлений. [00097] Могут быть получены гомологичные белки и нуклеиновые кислоты, которые разделяют функциональность с такими небольшими белками и/или нуклеиновыми кислотами (или областями белка и/или нуклеиновой кислоты более крупных молекул), как будет ясно специалистам в данной области. Такие малые молекулы и короткие области более крупных молекул, которые могут являться гомологичными, конкретно предназначены в качестве вариантов осуществления. Предпочтительно, гомология таких значимых областей составляет по меньшей мере 50%, 65%, 75%, 80%, 85% и предпочтительно по меньшей мере 90%, 95%, 97%, 98%, или по меньшей мере 99% в сравнении с полипептидами лизина, предоставленными в настоящем описании, включая представленные на ФИГУРЕ 29. Эти процентные значения гомологии не включают изменения вследствие консервативных аминокислотных замен. [00098] Две аминокислотные последовательности являются «по существу гомологичными», когда по меньшей мере приблизительно 70% аминокислотных остатков (предпочтительно по меньшей мере приблизительно 80%, по меньшей мере приблизительно 85%, и предпочтительно по меньшей мере приблизительно 90 или 95%) являются идентичными, или представляют консервативные замены. Последовательности сравниваемых лизинов, таких как сравниваемые PlySs2 лизины, или сравниваемые ClyS лизины, являются по существу гомологичными, когда один или более или несколько, или вплоть до 10%, или вплоть до 15%, или вплоть до 20% аминокислот полипептида лизина замещены на аналогичную или консервативную аминокислотную замену, и, где сравниваемые лизины имеют профиль активностей, антибактериальные эффекты, и/или бактериальные специфичности лизина, такого как лизин PlySs2 и/или лизин ClyS, раскрытые в настоящем описании. [00099] Предпочтительно, чтобы аминокислотные остатки, описанные в настоящем описании, находились в «L» изомерной форме. Однако, остатки в «D» изомерной форме могут быть заменены на любой остаток L-аминокислоты, поскольку желательное функциональное свойство связывания с иммуноглобулином сохраняется полипептидом. NH2 относится к свободной амино группе, присутствующей на амино-конце полипептида. COOH относится к свободной карбокси-группе, присутствующей на карбокси-конце полипептида. Следуя стандартной номенклатуре полипептидов, J. Biol. Chem., 243:3552-59 (1969), сокращенные обозначения аминокислотных остатков показаны в следующей Таблице Соответствия: [000100] Мутации могут быть проделаны в аминокислотных последовательностях или в последовательностях нуклеиновых кислот, кодирующих полипептиды и лизины настоящего описания, включая последовательности лизина, приведенные на ФИГУРЕ 29 (SEQ ID NO: 1), или в активных фрагментах или продуктах их процессирования, таким образом, что конкретный кодон заменяют на кодон, который кодирует отличающуюся аминокислоту, причем аминокислоту заменяют на другую аминокислоту, или одну или несколько аминокислот подвергают делеции. Такую мутацию обычно проводят, делая возможным наименьшее количество изменений аминокислот или нуклеотидов. Заменяющая мутация этого типа может быть проведена для замены аминокислоты в полученном в результате белке неконсервативным образом (например, посредством изменения кодона для аминокислоты, принадлежащей к группе аминокислот, имеющих конкретный размер или характеристику, на аминокислоту, принадлежащую к другой группе), или консервативным образом (например, посредством изменения кодона для аминокислоты, принадлежащей к группе аминокислот, имеющих конкретный размер или характеристику, на аминокислоту, принадлежащую к той же самой группе). Такая консервативная замена обычно приводит к меньшему изменению в структуре и функции полученного в результате белка. Неконсервативная замена более вероятно изменяет структуру, активность или функцию полученного в результате белка. Настоящее изобретение следует рассматривать как включающее последовательности, содержащие консервативные замены, которые не изменяют значительно активность или характеристики связывания полученного в результате белка. [000101] Таким образом, специалист в данной области, на основании обзора последовательности полипептида лизина PlySs2, представленной в настоящем описании, и собственного уровня знаний и публичной информации, доступной для других полипептидов лизина, может проводить изменения или замены аминокислот в последовательности полипептида лизина. Изменения аминокислот могут быть проделаны для замены или замещения одной или более, одной или нескольких, от одной до пяти, от одной до десяти, или такого другого количества аминокислот в последовательности лизина(ов), предоставленных в настоящем описании, для генерации мутантов или их вариантов. Такие мутанты или их варианты могут быть предсказаны для функции или тестированы на предмет функции или способности к лизису бактерий, включая стафилококковые, стрептококковые, листериевые или энтерококковые бактерии, и/или обладания сравниваемой активности к лизину(ам), описанных и конкретно предоставленных в настоящем описании. Таким образом, изменения могут быть проделаны в последовательности лизина, и мутанты или варианты, имеющие изменение в последовательности могут подвергаться тестированию с использованием аналитических тестов и методов, описанных и иллюстрируемых в настоящем описании, включая приведенные в примерах. Специалист в данной области, на основании доменной структуры данных лизина(ов) может предсказать одну или более, одну или несколько аминокислот, подходящих для замещения или замены и/или, одну или несколько аминокислот, которые не являются подходящими для замещения или замены, включая целесообразные консервативные или неконсервативные замены. [000102] В этой связи, и с иллюстративной ссылкой на лизин PlySs2, отмечают, что, несмотря на то, что полипептид лизина PlySs2 представляет дивергентный класс литического фермента профага, лизин содержит N-концевой CHAP-домен (цистеин-гистидинамидогидролазы/пептидазы) (SEQ ID NO: 3) и C-концевой домен SH3-типа 5 (SEQ ID NO: 4), как показано на ФИГУРЕ 29. Домены изображают в аминокислотной последовательности в раздельных областях с цветной штриховкой, причем CHAP-домен соответствует первой заштрихованной области аминокислотной последовательности, начинающейся с LNN… а домен SH3-типа 5 соответствует второй заштрихованной области, начинающейся с RSY… CHAP-домены включены в несколько ранее охарактеризованных лизинов стрептококковых и стафилококковых фагов. Таким образом, специалист в данной области может целесообразно проделать и тестировать замещения или замены в CHAP-домене и/или SH-3-домене PlySs2. Сравнения последовательностей с базой данных Genbank могут быть проделаны с каждой последовательностью или обеими последовательностями CHAP- и/или SH-3-доменов или с полной аминокислотной последовательностью лизина PlySs2, например, для идентификации аминокислоты для замещения. Например, CHAP-домен содержит консервативные цистеиновые и гистидиновые аминокислотные последовательности (первый цистеин и гистидин в CHAP-домене), которые являются характеристическими и консервативными в CHAP-доменах различных полипептидов. Разумно предсказать, например, что консервативные цистеиновые и гистидиновые остатки должны сохраняться в мутантном или вариантном PlySs2 так, чтобы поддерживать активность или способность. Примечательно, что мутант или вариант, имеющий аланин, замещаемый валином по аминокислотному положению валина 19 в аминокислотной последовательности PlySs2 ФИГУРЫ 29 (SEQ ID NO: 1), является активным и способным к лизису грам-положительных бактерий аналогичным образом и настолько же эффективно, как лизин PlySs2 ФИГУРЫ 29 (SEQ ID NO: 1). [000103] Далее следует один пример различных классификационных групп аминокислот: Аминокислоты с неполярными R группами Аланин, Валин, Лейцин, Изолейцин, Пролин, Фенилаланин, Триптофан, Метионин Аминокислоты с незаряженными полярными R группами Глицин, Серин, Треонин, Цистеин, Тирозин, Аспарагин, Глутамин Аминокислоты с заряженными полярными R группами (отрицательно заряженные при рН 6,0) Аспарагиновая кислота, Глутаминовая кислота Основные аминокислоты (положительно заряженные при pH 6,0) Лизин, Аргинин, Гистидин (при pH 6,0) [000104] Еще одна классификация может включать группу аминокислот с фенильными группами: Фенилаланин, Триптофан, Тирозин [000105] Еще одна классификация может быть выделена в соответствии с молекулярной массой (т.е. размером R групп): [000106] Особенно предпочтительные замены представляют собой: - Lys на Arg и наоборот, таким образом, чтобы мог сохраняться положительный заряд; - Glu на Asp и наоборот, таким образом, чтобы мог сохраняться отрицательный заряд; - Ser на Thr таким образом, чтобы могла сохраняться свободная -OH; и - Gln на Asn таким образом, чтобы могла сохраняться свободная NH2. [000107] Иллюстративные и предпочтительные консервативные аминокислотные замены включают любую из замены: глутамина (Q) на глутаминовую кислоту (E) и наоборот; лейцина (L) на валин (V) и наоборот; серина (S) на треонин (T) и наоборот; изолейцина (I) на валин (V) и наоборот; лизина (K) на глутамин (Q) и наоборот; изолейцина (I) на метионин (M) и наоборот; серина (S) на аспарагин (N) и наоборот; лейцина (L) на метионин (M) и наоборот; лизина (L) на глутаминовую кислоту (E) и наоборот; аланина (A) на серин (S) и наоборот; тирозина (Y) на фенилаланин (F) и наоборот; глутаминовой кислоты (E) на аспарагиновую кислоту (D) и наоборот; лейцина (L) на изолейцин (I) и наоборот; лизина (K) на аргинин (R) и наоборот. [000108] Аминокислотные замены могут также быть введены для замены аминокислоты с особенно предпочтительным свойством. Например, Cys может быть введен для создания потенциального участка для образования дисульфидных мостиков с еще одним Cys. His может быть введен в качестве конкретно «каталитического» участка (т.е. His может действовать в качестве кислоты или основания и является наиболее часто встречающейся аминокислотой в биохимическом катализе). Pro может быть введен вследствие его особенно плоской структуры, которая индуцирует β-складки в структуре белка. [000109] В соответствии с настоящим изобретением предоставлены композиции и способы на основе комбинаций лизина бактериофага(ов) с антибиотиком для быстрого и эффективного лизиса грам-положительных бактерий. В соответствии с изобретением, лизин PlySs2, который демонстрирует литическую активность широкого спектра действия против множества бактерий, в частности, грам-положительных бактерий, включая бактериальные штаммы Staphylococcus и Streptococcus, предоставляет отчетливый синергизм в комбинации с антибиотиком(ами) и может значительно снижать эффективные дозы, соответствующие МПК, требуемые для антибиотика(ов). [000110] Как демонстрируется и предоставлено в настоящем описании, лизин, в частности, лизин PlySs2 способен к синергетическому взаимодействию с антибиотиками, включая антибиотики различных типов и классов, включая ванкомицин, даптомицин, линезолид и оксациллин, в процессе, характеризуемом улучшенной бактерицидной активностью, более быстрой проницаемостью антибиотиков и подавлением резистентности. В мышиных моделях бактериемии, как демонстрируется в настоящем описании, попарные комбинации PlySs2 с антибиотиками придают увеличение выживаемости с высоким значением относительно монотерапий. Таким образом, комбинации лизина/антибиотика, относительно принятых в настоящее время стандартных терапий, будут более эффективными терапиями для лечения бактериемии в клинике. [000111] Изобретение дополнительно демонстрирует PlySs2-зависимое усиление действия антибиотиков в комбинации как в тестах in-vitro, так и на мышиной модели S. aureus-индуцируемой бактериемии в условиях, при которых дозы, имитирующие человеческие дозы антибиотиков при монотерапии неэффективны. В настоящем описании представлены данные, иллюстрирующие механизм PlySs2-опосредованного усиления активности антибиотика и указывающие на общий синергизм между лизинами и антибиотиками. Синергизм имеет важное значение для выработки эффективной новой общей антиинфекционной стратегии, основанной на совместном введении лизина и антибиотиков. В частности, как каждое из средств, так и оба средства, лизины и антибиотики могут вводиться при значительно сниженных дозах и количествах, с увеличенной бактерицидной и бактериостатической активностью и с пониженным риском появления резистентности к антибиотику или средству. [000112] В то время как лизин, конкретно, лизин PlySs2, признан в качестве средства для монотерапии, настоящее изобретение предоставляет то, что лизин, конкретно лизин PlySs2, отчетливо демонстрирует значительную степень синергизма in vitro и in vivo с различными антибиотиками. В то время как в представленных примерах синергизм подтверждается кривыми время-эрадикация и анализами методом «шахматной доски» с множеством штаммов и антибиотиков, степень синергизма in vitro, в частности, иллюстрируют с использованием аналитического теста на МПК с использованием двойного средства, в котором всего лишь 0,25X МПК PlySs2 снижало МПК даптомицина от 1 мкг/мл до 0,0075 мкг/мл, т.е. имеет место 128-кратное снижение. Данный синергетический эффект наблюдают для всех 12 штаммов MRSA при степени увеличения активности в интервале от 64 до 256 раз. Два противомикробных средств, антибиотики плюс лизин, в комбинации, следовательно производят более чем простой последовательный лизис (снижение полной популяции под действием лизина с последующим антибиотическим лизисом остаточных бактерий), поскольку 7,5 нг/мл даптомицина являются крайне недостаточными для лизиса в качестве единственного средства. [000113] На моделях бактериемии, предоставленных и продемонстрированных в настоящем описании, лечение с использованием комбинационной терапии соответственно превосходило монотерапию антибиотиками с использованием полных доз, имитирующих дозы для людей. Приведенное демонстрируется как для ванкомицина, так и даптомицина, принятых в настоящее время антибиотиков для стандартного лечения бактериемии, вызываемой MRSA, а также для оксациллина, бета-лактама, принятого в настоящее время антибиотика для стандартного лечения бактериемии, вызываемой MSSA. Эти результаты имеют ясные клинические аспекты и обеспечивают новые эффективные режимы комбинационной терапии, с использованием лизина(ов) и антибиотика(ов) для лечения бактериемии, а также других серьезных инфекций. Предоставлены способы и композиции, основанные на комбинационной терапии лизин плюс антибиотик с использованием более низких доз этих средств с увеличенной эффективностью действия и более низким риском резистентности. В действительности настоящие способы и композиции являются эффективными против резистентных бактерий, включая резистентные к антибиотикам стафилококковые бактерии. [000114] В клинических применениях, изобретение предоставляет способы лечения бактериемии посредством введения комбинации лизин/антибиотик, конкретно, комбинации PlySs2/антибиотик. При концентрации выше его МПК, быстродействующий лизин будет эффективно уменьшать популяцию патогена. Как только концентрация лизина падает ниже МПК, комбинационная партнерская активность антибиотика будет увеличиваться синергетически присутствием лизина в течение приблизительно одного или более двух фармакоконетических периодов полужизни лизина, продлевая время, при котором усиленный синергизмом лизис является активным. Таким образом, комбинация PlySs2/антибиотик будет обеспечивать более мощные и эффективные антибактериальные терапии, чем доступные в настоящее время возможности монотерапии. [000115] Лизин PlySs2 проявляет активность и способность к лизису многочисленных различных штаммов и видов грам-положительных бактерий, включая стафилококковые, стрептококковые, листериевые или энтерококковые бактерии. В частности, и значительно, PlySs2 является активным при лизисе штаммов Staphylococcus, включая Staphylococcus aureus, в частности, как чувствительных к антибиотикам, так и различных антибиотик-резистентных штаммов. PlySs2 является также активным при лизисе штаммов Streptococcus, и показывает особенно эффективный лизис против стрептококковых штаммов Группы А и Группы B. Способность лизина PlySs2 против бактерий отображена ниже в таблице 1, основанной на оценках log лизиса с использованием изолированных штаммов in vitro. [000116] Фраза «моноклональное антитело» в ее различных грамматических формах относится к антителу, имеющему только один вид антитела, комбинирующего участок, способный к иммунореактивности с конкретным антигеном. Моноклональное антитело, таким образом, обычно проявляет единичную активность связывания для любого антигена, с которым оно вступает в иммунную реакцию. Моноклональное антитело может, следовательно, содержать молекулу антитела, имеющую множество участков, комбинирующих антитело, причем каждый является иммуноспецифичным для различного антигена; например, биспецифичное (химерное) моноклональное антитело. [000117] Термин «специфичный» может применяться для ссылки на ситуацию, при которой один элемент пары специфичного связывания не будет показывать значительного связывания с молекулами, отличными от его партнера(ов) для специфичного связывания. Термин является также применимым, где, например, антигенсвязывающий домен является специфичным для конкретного эпитопа, которого несет ряд антигенов, и в этом случае элемент специфичного связывания, несущий антигенсвязывающий домен будет способен к связыванию различных антигенов, несущих эпитоп. [000118] Термин «содержит», обычно применяется в смысле включает, иначе говоря, допускает присутствие одного или нескольких признаков или компонентов. [000119] Термин «состоящий по существу из» относится к продукту, в частности, пептидной последовательности, определенное количество остатков которой не присоединено ковалентно к более крупному продукту. В случае рассматриваемого пептида изобретения, специалисты в данной области смогут учесть то, что минорные модификации по направлению к N- или С-концу пептида, однако, могут предусматриваться, такие как химическая модификация конца с добавлением защитной группы или т.п., например амидирование C-конца. [000120] Термин «изолированный» относится к состоянию, при котором лизиновые полипептид(ы) изобретения, или нуклеиновая кислота, кодирующая такие полипептиды будут представлены, в соответствии с настоящим изобретением. Полипептиды и нуклеиновая кислота не будут содержать или не будут содержать по существу материал, с которым они природным образом связаны, такой как другие полипептиды или нуклеиновые кислоты, с которыми их обнаруживают в их природном окружении, или окружение, в котором их получают (например, клеточная культура), когда такое получение осуществляют на практике посредством технологии рекомбинантных ДНК in vitro или in vivo. Полипептиды и нуклеиновая кислота могут быть составлены вместе с разбавителями или адъювантами и еще для практических целей являться изолированными - например, полипептиды будут обычно смешивать с полимерами или мукоадгезивами или другими носителями, или будут смешаны с фармацевтически приемлемыми носителями или разбавителями, при использовании в диагностике или терапии. [000121] Нуклеиновые кислоты, способные кодировать лизиновые полипептид(ы) PlySs2 S. suis, применимые и применяемые в изобретении, предоставлены в настоящем описании. Представительные последовательности нуклеиновой кислоты в данном контексте представляют собой полинуклеотидные последовательности, кодирующие полипептид ФИГУРЫ 29 (SEQ ID NO: 1), и последовательности, которые гибридизируются, в строгих условиях, с комплементарными последовательностями ДНК последовательности(ей) ФИГУРЫ 29 (SEQ ID NO: 2). Дополнительные варианты этих последовательностей и последовательностей нуклеиновых кислот, которые гибридизируются с последовательностями, показанными на фигурах, также предусматриваются для применения при получении лизирующих ферментов в соответствии с раскрытием, включая природные варианты, которые могут быть получены. Большое разнообразие изолированных последовательностей нуклеиновых кислот или последовательностей кДНК, которые кодируют ассоциированные с фагом лизирующие ферменты, и частичные последовательности, которые гибридизируются с такими генными последовательностями, являются применимыми для рекомбинантного получения лизиновых фермента(ов) или полипептида(ов) изобретения. [000122] «Репликон» представляет собой любой генетический элемент (например, плазмиду, хромосому, вирус), который функционирует как автономная единица репликации ДНК in vivo; т.е. способная к репликации под своим собственным контролем. [000123] «Вектор» представляет собой репликон, такой как плазмида, фаг или космида, к которому может быть присоединен еще один сегмент ДНК, таким образом, чтобы вызвать репликацию присоединенного сегмента. [000124] «Молекула ДНК» относится к полимерной форме дезоксирибонуклеотидов (аденина, гуанина, тимина или цитозина) в ее либо одноцепочечной форме или форме двухцепочечной спирали. Этот термин относится только к первичной и вторичной структуре молекулы и не ограничивает ее какими-либо конкретными третичными формами. Таким образом, данный термин включает двухцепочечную ДНК, обнаруженную, в том числе, в линейных молекулах ДНК (например, рестрикционных фрагментах), вирусах, плазмидах и хромосомах. При обсуждении структуры конкретных молекул двухцепочечной ДНК, последовательности в настоящем описании могут быть описаны в соответствии с обычной договоренностью о представлении только последовательности в направлении от 5' до 3' вдоль нетранскрибируемой цепи ДНК (т.е. цепи, имеющей последовательность, гомологичную мРНК). [000125] «Точка начала репликации» относится к тем последовательностям ДНК, которые участвуют в синтезе ДНК. [000126] «Кодирующая последовательность» ДНК представляет собой последовательность двухцепочечной ДНК, которая транскрибируется и транслируется в полипептид in vivo, когда ее помещают под контроль соответствующей регуляторной последовательности. Границы кодирующей последовательности определяются инициирующим кодоном по 5'-(амино) концу и терминирующим кодоном по 3'-(карбоксильному) концу. Кодирующая последовательность может включать, но не ограничена ими, прокариотные последовательности, кДНК из эукариотных мРНК, геномные последовательности ДНК из эукариотных (например, млекопитающих) ДНК, и даже синтетические последовательности ДНК. Последовательность сигнала полиаденилирования и терминации транскрипции будут обычно располагаться 3' по отношению к кодирующей последовательности. [000127] Транскрипционные и трансляционные контрольные последовательности представляют собой регуляторные последовательности ДНК, такие как промоторы, энхансеры, сигналы полиаденилирования, терминаторы и т.п., которые обеспечивают экспрессию кодирующей последовательности в клетке-хозяине. [000128] «Промоторная последовательность» представляет собой регуляторную область ДНК, способную к связыванию РНК-полимеразы в клетке и инициации транскрипции нисходящей (в направлении к 3'-концу) кодирующей последовательности. С целью определения объема настоящего изобретения, промоторная последовательность связана по своему 3'-концу посредством сайта инициации транскрипции и продлевается в восходящем направлении (направлении к 5'-концу), для включения минимального количества оснований или элементов, необходимых для инициации транскрипции на уровнях, обнаруживаемых выше фона. В пределах промоторной последовательности будет обнаруживаться сайт инициации транскрипции (обычно определяемый посредством картирования с помощью нуклеазы SI), а также белоксвязывающие домены (консенсусные последовательности), отвечающие за связывание РНК-полимеразы. Эукариотные промоторы часто, но не всегда, будут содержать «TATA»-боксы и «CAT»-боксы. Прокариотные промоторы содержат последовательности Шайна-Дальгарно в дополнение к -10 и -35 консенсусным последовательностям. [000129] «Последовательность контроля экспрессии» представляет собой последовательность ДНК, которая контролирует и регулирует транскрипцию и трансляцию еще одной последовательности ДНК. Кодирующая последовательность находится «под контролем» транскрипционных и трансляционных контрольных последовательностей в клетке, когда РНК-полимераза транскрибирует кодирующую последовательность в мРНК, которая затем транслируется в белок, кодируемый кодирующей последовательностью. [000130] «Сигнальная последовательность» может быть включена перед кодирующей последовательностью. Данная последовательность кодирует сигнальный пептид, N-концевой для полипептида, который сообщается с клеткой-хозяином, чтобы направить полипептид к клеточной поверхности или секретировать полипептид в среду, и данный сигнальный пептид удаляется клеткой-хозяином перед тем, как белок покидает клетку. Можно найти сигнальные последовательности, ассоциированные с различными белками, нативными для прокариотов и эукариотов. [000131] Термин «олигонуклеотид», как его используют в настоящем описании, по отношению к зонду настоящего изобретения, определяют как молекулу, состоящую из двух или нескольких рибонуклеотидов, предпочтительно более чем трех. Его точный размер будет зависеть от многих факторов, которые, в свою очередь, зависят от конечной функции и применения олигонуклеотида. [000132] Как используют в настоящем описании, термины «рестрикционные эндонуклеазы» и «рестрикционные ферменты» относятся к бактериальным ферментам, каждый из которых разрезает двухцепочечную ДНК по специфичной нуклеотидной последовательности или рядом с ней. [000133] Клетка была «трансформирована» экзогенной или гетерологичной ДНК, когда такая ДНК была введена внутрь клетки. Трансформирующая ДНК может быть интегрирована или не интегрирована (ковалентно связана) в хромосомную ДНК, составляющую геном клетки. У прокариотов, дрожжей и клеток млекопитающих, например, трансформирующая ДНК может поддерживаться на эписомальном элементе, таком как плазмида. По отношению к эукариотным клеткам, стабильно трансформированная клетка является клеткой, в которой трансформирующая ДНК становится интегрированной в хромосому, таким образом, что она наследуется дочерними клетками через репликацию хромосомы. Эта стабильность демонстрируется способностью эукариотной клетки основывать клеточные линии или клоны, состоящие из популяции дочерних клеток, содержащих трансформирующую ДНК. «Клон» является популяцией клеток, производимой из одиночной клетки или общего предка посредством митоза. «Клеточная линия» является клоном первичной клетки, которая способна к устойчивому росту in vitro в течение многих поколений. [000134] Две последовательности ДНК являются «гомологичными по существу», когда по меньшей мере приблизительно 75% (предпочтительно по меньшей мере приблизительно 80%, и наиболее предпочтительно по меньшей мере приблизительно 90 или 95%) нуклеотидов совпадают на протяжении определенной длины последовательностей ДНК. Последовательности, которые являются гомологичными по существу, могут быть идентифицированы посредством сравнения последовательностей с использованием стандартного программного обеспечения, доступного в банках данных последовательностей, или в эксперименте с Саузерн-гибридизацией, например, в жестких условиях, как определено для данной конкретной системы. Определение соответствующих условий гибридизации находится в пределах компетентности в данной области. См., например, Maniatis et al., выше; DNA Cloning, Vols. I & II, выше; Nucleic Acid Hybridization, выше. [000135] Молекулы ДНК и нуклеотидные последовательности, которые являются производными нуклеотидных последовательностей, конкретно раскрытых в настоящем описании, и которые отличаются от раскрытых нуклеотидных последовательностей делецией, присоединением или заменой нуклеотидов, в то же время еще кодирующие белок, который обладает функциональной характеристикой лизинового полипептида(ов), являются предусмотренными посредством раскрытия. Также включенными являются малые молекулы ДНК, которые получают из раскрытых молекул ДНК. Такие малые молекулы ДНК включают олигонуклеотиды, подходящие для использования в качестве гибридизационных зондов или праймеров полимеразной цепной реакции (ПЦР). Как таковые, эти малые молекулы ДНК будут содержать по меньшей мере сегмент литического фермента, генетически кодируемого бактериофагом Staphylococcus suis и, с целью проведения ПЦР, будут содержать по меньшей мере последовательность из 10-15 нуклеотидов и, более предпочтительно, последовательность из 15-30 нуклеотидов из гена. Молекулы ДНК и нуклеотидные последовательности, которые являются производными из раскрытых молекул ДНК, описанных выше, могут также определяться как последовательности ДНК, которые гибридизируются в строгих условиях с раскрытыми последовательностями ДНК или их фрагментами. [000136] В предпочтительных вариантах осуществления настоящего раскрытия, строгие условия могут быть определены как условия, при которых молекулы ДНК с более чем 25% вариацией последовательности (также называемой «несоответствием») не будут гибридизоваться. В более предпочтительном варианте осуществления, строгие условия являются условиями, при которых молекулы ДНК с более чем 15% несоответствием не будут гибридизоваться, и еще более предпочтительно, строгие условия являются условиями, при которых последовательности ДНК с более чем 10% несоответствием не будут гибридизоваться. Предпочтительно, строгие условия являются условиями, при которых последовательности ДНК с более чем 6% несоответствием не будут гибридизоваться. [000137] Вырождение генетического кода дополнительно расширяет объем вариантов осуществлений, так как оно обеспечивает основные вариации в нуклеотидной последовательности молекулы ДНК, в то же время поддерживая аминокислотную последовательность кодируемого белка. Таким образом, нуклеотидная последовательность гена может быть изменена по этому положению на любой из трех кодонов, не оказывая воздействия на аминокислотный состав кодируемого белка или характеристик белка. Генетический код и вариации в нуклеотидных кодонах для конкретных аминокислот являются хорошо известными специалисту в данной области. На основании вырождения генетического кода, вариантные молекулы ДНК могут быть получены из молекул кДНК, раскрытых в настоящем описании, с использованием стандартных технологий мутагенеза ДНК, описанных выше, или посредством синтеза последовательностей ДНК. Последовательности ДНК, которые не гибридизуются в строгих условиях с раскрытыми последовательностями кДНК вследствие вариации последовательности, основанной на вырождении генетического кода, охвачены в настоящем описании посредством данного раскрытия. [000138] Таким образом, следует учитывать, что также в пределах объема настоящего изобретения включены последовательности ДНК, кодирующие лизин настоящего изобретения, включая PlySs2 и PlySsl, последовательности, которые кодируют полипептид, имеющий аминокислотную последовательность, идентичную представленной на ФИГУРЕ 29 (SEQ ID NO: 1), но которые, к тому же, являются вырожденными или вырожденными до иллюстративных последовательностей нуклеиновых кислот, представленных на ФИГУРЕ 29 (SEQ ID NO: 2). Под «вырожденными до» подразумевают, что различный трехбуквенный кодон используется для определения конкретной аминокислоты. В данной области хорошо известны кодоны, которые могут применяться взаимозаменяемо для кодировки каждой конкретной аминокислоты. [000139] Специалист в данной области признает, что технологии мутагенеза ДНК, описанные здесь, и известные в данной области, позволяют продуцировать широкое разнообразие молекул ДНК, которые кодируют лизин бактериофага Streptococcus suis и еще поддерживают существенные характеристики литических полипептидов, описанных и предоставленных в настоящем описании. Вновь полученные белки также могут быть отобраны, чтобы получить вариации характеристики литического полипептида(ов), как будет более полно описано ниже. Такие производные включают производные с вариациями в аминокислотной последовательности, включающей минорные делеции, присоединения и замены. [000140] В то время как сайт для введения вариации аминокислотной последовательности может быть заранее задан, нет необходимости заранее задавать мутацию саму по себе. Аминокислотные замены состоят обычно из одиночных остатков или могут состоять из одного или более, одного или нескольких, одного, двух, трех, четырех, пяти, шести или семи остатков; вставки обычно имеют порядок приблизительно от 1 до 10 аминокислотных остатков; и делеции будут находиться в интервале приблизительно от 1 до 30 остатков. Делеции или вставки могут находиться в одиночной форме, но предпочтительно их получают в виде смежных пар, т.е. делеции из 2 остатков или вставки из 2 остатков. Замены, делеции, вставки или любое их сочетание могут комбинироваться для приближения к конечной конструкции. Заместительные варианты представляют собой варианты, в которых по меньшей мере один остаток в аминокислотной последовательности был удален, а отличающийся остаток вставляют на его место. Такие замены могут быть проведены таким образом, чтобы не генерировать существенного воздействия на характеристики белка, или, когда желательно провести тонкую модуляцию характеристик белка. Аминокислоты, которые могут быть заменены на исходную аминокислоту в белке, и, которые считаются консервативными заменами, описаны выше и будут распознаваться специалистом в данной области. [000141] Как хорошо известно в данной области, последовательности ДНК могут быть экспрессированы посредством их функционального связывания с экспрессионными контрольными последовательностями в соответствующем векторе экспрессии и использования данного вектора экспрессии для трансформации соответствующего одноклеточного хозяина. Такое функциональное связывание последовательности ДНК данного изобретения с экспрессионной контрольной последовательностью, как известно, включает, если уже не части последовательности ДНК, предоставление инициирующего кодона, ATG, в корректной рамке считывания выше последовательности ДНК. Большое разнообразие комбинаций хозяин/вектор экспрессии может использоваться при экспрессировании последовательностей ДНК данного изобретения. Применимые векторы экспрессии, например, могут состоять из сегментов хромосомных, нехромосомных и синтетических последовательностей ДНК. Любая из большого разнообразия экспрессионных контрольных последовательностей – последовательностей, которые контролируют экспрессию последовательности ДНК, функционально связанной с нею - могут использоваться в данных векторах для экспрессии последовательностей ДНК данного изобретения. Большое разнообразие одноклеточных клеток-хозяев также является применимым при экспрессировании последовательностей ДНК данного изобретения. Эти хозяева могут включать хорошо известные эукариотные и прокариотные хозяева, такие как штаммы E. coli, Pseudomonas, Bacillus, Streptomyces, грибки, такие как дрожжи, и клетки животных, клетки человека и клетки растений в культуре ткани. Специалист в данной области будет в состоянии выбрать надлежащие векторы, экспрессионные контрольные последовательности и хозяева без чрезмерного экспериментирования для совершения желательной экспрессии без отступления от объемов притязаний данного изобретения. [000142] Предоставленные изобретением терапевтические или фармацевтические композиции, содержащие литические фермент(ы)/полипептид(ы), применяемые в способах и областях применения, предоставлены в настоящем описании, также как и родственные способы применения. Терапевтические или фармацевтические композиции могут содержать один или несколько литических полипептид(ов), и необязательно включают природные, процессированные, химерные или перетасованные литические ферменты, комбинированные с одним или несколькими антибиотиками, необязательно комбинированные с подходящими эксципиентами, носителями или средами. Изобретение предоставляет терапевтические композиции или фармацевтические композиции лизинов, включая PlySs2, в комбинации с антибиотиками для применения при лизисе, ослаблении, деколонизации, профилактике или лечении от грам-положительных бактерий, включая бактериальные инфекции или родственные состояния. Изобретение предоставляет терапевтические композиции или фармацевтические композиции лизинов, включая PlySs2, в комбинации с ванкомицином, линезолидом или даптомицином для применения при лизисе, ослаблении, деколонизации, профилактике или лечении от грам-положительных бактерий, включая бактериальные инфекции или родственные состояния. Изобретение предоставляет терапевтические композиции или фармацевтические композиции лизинов, включая PlySs2, в комбинации с даптомицином для применения при лизисе, ослаблении, деколонизации, профилактике или лечении от грам-положительных бактерий, включая бактериальные инфекции или родственные состояния. Композиции, содержащие лизин PlySs2, включая его процессированные формы или варианты, в комбинации с антибиотиком, включая даптомицин, предоставлены в настоящем описании для применения при лизисе, ослаблении, деколонизации, профилактике или лечения от грам-положительных бактерий, включая бактериальные инфекции или родственные состояния, в частности, вызываемые Streptococcus, Staphylococcus, Enterococcus или Listeria, включая Streptococcus pyogenes и резистентный к антибиотикам Staphylococcus aureus. [000143] Фермент(ы) или полипептид(ы), включенные в терапевтические композиции могут представлять собой один или несколько или любую комбинацию неизмененных ассоциированных с фагом литических фермента(ов), процессированных литических полипептидов, вариантных литических полипептида(ов) и химерных и/или перетасованных литических ферментов. Дополнительно, могут применяться различные литические полипептид(ы), генетически кодируемые различными фагами, для лечения от таких же бактерий. Данные литические ферменты могут также представлять собой любую комбинацию «неизмененных» литических ферментов или полипептидов, процессированных литических полипептида(ов), вариантных литических полипептида(ов), и химерных и перетасованных литических ферментов. Литические фермент(ы)/полипептид(ы) в терапевтической или фармацевтической композиции для грам-положительных бактерий, включая Streptococcus, Staphylococcus, Enterococcus и Listeria, могут применяться по отдельности или в комбинации с антибиотиками или, если существуют другие инвазивные бактериальные организмы, подлежащие лечению, в комбинации с другими ассоциированными с фагом литическими ферментами, специфичными для других бактерий, являющихся целевыми. Литический фермент, процессированный фермент, вариантный фермент, химерный фермент, и/или перетасованный литический фермент могут применяться совместно с холиновым белком. Количество холинового белка может также варьироваться. Различные антибиотики могут необязательно включаться в терапевтическую композицию с ферментом(ами) или полипептидом(ами) и с присутствием лизостафина или без него. Более одного литического фермента или полипептида может быть включено в терапевтическую композицию. [000144] Фармацевтическая композиция может также включать один или несколько измененных литических ферментов, включая изоферменты, аналоги или их варианты, получаемые посредством химического синтеза или технологий рекомбинантных ДНК. В частности, измененный литический белок может быть получен посредством аминокислотной замены, делеции, процессирования, химеризации, перетасовки или их комбинации. Фармацевтическая композиция может содержать комбинацию из одного или нескольких природных литических белков и одного или нескольких процессированных, вариантных, химерных или перетасованных литических белков. Фармацевтическая композиция может также содержать пептид или пептидный фрагмент из по меньшей мере одного литического белка, являющегося производным от одинаковых или различных видов бактерий, с необязательным добавлением одного или нескольких дополнительных средств и фармацевтически приемлемого носителя или разбавителя. [000145] Фармацевтические композиции настоящего изобретения содержат дополнительное средство - один или несколько общепринятых антибиотиков – в частности, предоставленных в настоящем описании. Антибиотики могут быть подразделены в широкие группы на антибиотики, воздействующие на биосинтез пептидогликана клеточной стенки, и антибиотики, воздействующие на синтез ДНК или белка в грам-положительных бактериях. Синтез ингибиторов клеточной стенки, включая пенициллин и подобные ему антибиотики, разрушают жесткую внешнюю клеточную стенку таким образом, что относительно неподдерживаемая клетка набухает и постепенно разрывается. Дополнительное средство может представлять собой антибиотик, такой как эритромицин, кларитромицин, азитромицин, рокситромицин, другие члены семейства макролидов, пенициллины, цефалоспорины и любые их комбинации в количествах, которые являются эффективными для синергетического усиления терапевтического эффекта литического фермента. Практически любой другой антибиотик может применяться вместе с измененным и/или неизмененным литическим ферментом. Антибиотики, воздействующие на биосинтез пептидогликана клеточной стенки, включают: гликопептиды, которые ингибируют синтез пептидогликана, предотвращая введение пептидных субъединиц N-ацетилмурамовой кислоты (NAM) и N-ацетилглюкозамина (NAG) в пептидогликановый матрикс. Доступные гликопептиды включают ванкомицин и тейкопланин; пенициллины, которые действуют посредством ингибирования образования пептидогликановых сшивок. Функциональная группа пенициллинов, β-лактамный фрагмент, связывает и ингибирует DD-транспептидазу, которая связывает молекулы пептидогликана в бактериях. Гидролитические ферменты продолжают разрушать клеточную стенку, вызывая цитолиз или гибель вследствие осмотического давления. Общеизвестные пенициллины включают оксациллин, ампициллин и клоксациллин; и полипептиды, которые препятствуют дефосфорилированию C55-изопренилпирофосфата, молекулы, которая несет билдинг-блоки пептидогликана вне плазматической мембраны. Полипептидом, наносящим ударное воздействие на клеточную стенку, является бацитрацин. Другие применимые и значимые антибиотики включают ванкомицин, линезолид и даптомицин. [000146] Другие литические ферменты могут быть включены в носитель для лечения от других бактериальных инфекций. Фармацевтическая композиция может также содержать пептид или пептидный фрагмент по меньшей мере одного литического белка, одного холинового белка, или по меньшей мере одного холинового и одного литического белка, причем каждый из литического и холинового белков получают из одинаковых или различных видов бактерий, с необязательным добавлением дополнительных средств и подходящего носителя или разбавителя. [000147] Также предоставлены композиции, содержащие молекулы нуклеиновой кислоты, которые, либо по отдельности или в комбинации с другими молекулами нуклеиновой кислоты, обладают способностью экспрессировать эффективное количество литических полипептида(ов) или пептидного фрагмента литических полипептида(ов) in vivo. Также предоставлены клеточные культуры, содержащие данные молекулы нуклеиновой кислоты, полинуклеотиды и векторы, несущие и экспрессирующие эти молекулы in vitro или in vivo. [000148] Терапевтические или фармацевтические композиции могут содержать литические полипептид(ы) и антибиотик(и), комбинированные с различными носителями для лечения болезней, вызываемых чувствительными грам-положительными бактериями. Носитель подходящим образом содержит минорные количества добавок, таких как вещества, которые усиливают изотоничность и химическую устойчивость. Такие материалы являются нетоксичными по отношению к реципиентам при используемых дозировках и концентрациях, и включают буферы, такие как фосфатный, цитратный, сукцинатный, уксусно-кислотный и другие органические кислоты или их соли; антиоксиданты, такие как аскорбиновая кислота; низкомолекулярные (менее чем из приблизительно десяти остатков) полипептиды, например, полиаргинин или трипептиды; белки, такие как сывороточный альбумин, желатин или иммуноглобулины; гидрофильные полимеры, такие как поливинилпирролидон; глицин; аминокислоты, такие как глутаминовая кислота, аспарагиновая кислота, гистидин, или аргинин; моносахариды, дисахариды и другие углеводы, включая целлюлозу или ее производные, глюкозу, маннозу, трегалозу или декстрины; хелатирующие средства, такие как ЭДТА; сахароспирты, такие как маннит или сорбит; противоионы, такие как натрий; неионогенные поверхностно-активные вещества, такие как полисорбаты, полоксамеры или полиэтиленгликоль (ПЭГ); и/или нейтральные соли. Глицерин или глицерол (1,2,3-пропантриол) является доступным для приобретения для фармацевтического применения. ДМСО представляет собой апротонный растворитель с отличительной способностью усиливать проницаемость многих местно применяемых лекарственных средств. Среда носителя может также включать раствор Рингера, забуференный раствор и раствор декстрозы, в частности тогда, когда получают раствор для внутривенного введения. [000149] Эффективные мощности дозы или количества измененных или неизмененных литического фермента/полипептида(ов) настоящего изобретения и для применения в настоящем изобретении будут зависеть отчасти от того, будут ли литический фермент/полипептид(ы) применяться терапевтически или профилактически, продолжительности воздействия инфекционных бактерий на реципиента, размеров и массы тела индивидуума и т.д. Продолжительность применения композиции, содержащей фермент/полипептид(ы) также зависит от того, проводится ли применение с профилактическими целями, где применение может являться почасовым, ежедневным или еженедельным, в течение короткого периода времени, или будет ли применение проводится с терапевтическими целями, где может потребоваться более интенсивный режим применения композиции, такой, что применение может длиться в течение часов, дней или недель, и/или на суточной основе, или при временных интервалах в течение дня. Любая использованная дозированная форма должна предоставлять минимальное число единиц в течение минимального количества времени. Носители, которые классифицируют как носители с «длительным» или «медленным» высвобождением (такие как, например, некоторые назальные спреи или пастилки) могут обладать более низкой концентрацией активных (ферментных) единиц на мл или обеспечивать такую концентрацию, но в течение более длительного периода времени, в то время как носители с «коротким» или «быстрым» высвобождением (такие как, например, полоскание) могут обладать более высокой концентрацией активных (ферментных) единиц на мл или обеспечивать такую концентрацию, но в течение более короткого периода времени. Количество активных единиц на мл и продолжительность времени воздействия зависят от природы инфекции, вне зависимости от того, является ли лечение профилактическим или терапевтическим и других переменных. Существуют ситуации, где может быть необходимо иметь более высокую дозировку единиц/мл или более низкую дозировку единиц/мл. [000150] Литический фермент/полипептид(ы) должен находиться в окружении, имеющем pH, который обеспечивает активность литического фермента/полипептида(ов). Стабилизирующий буфер может обеспечить оптимальную активность фермента/полипептида(ов) лизина. Буфер может содержать восстановитель, такой как дитиотреитол или бета-меркаптоэтанол (BME). Стабилизирующий буфер может также представлять собой или включать хелатирующий металлы реагент, такой как динатриевая соль этилендиаминтетрауксусной кислоты, или он может также содержать фосфатный или цитрат-фосфатный буфер или любой другой буфер. [000151] Интересно отметить, что окружение и некоторые аспекты локализации лечения могут воздействовать на эффективность антибиотика. Например, даптомицин сильно связывается с легочным поверхностно-активным веществом и, следовательно, не является эффективным при лечении бактериальной пневмонии, включая стафилококковую пневмонию. Настоящее изобретение демонстрирует замечательные эффективность и синергизм PlySs2 и даптомицина в комбинации против чувствительных бактерий. В дополнение, лизин PlySs2 и даптомицин в комбинации остаются очень эффективными в присутствии доступного для приобретения поверхностно-активного вещества, которое имитирует легочное поверхностно-активное вещество. Таким образом, PlySs2 способствует и усиливает эффективность антибиотика, конкретно, даптомицина, и служит для обеспечения эффективности и активности даптомицина даже в присутствии поверхностно-активного вещества. [000152] Поверхностно-активное вещество мягкого действия может быть включено в терапевтическую или фармацевтическую композицию в количестве, эффективном для усиления терапевтического эффекта литического фермента/полипептида(ов), которые могут применяться в композиции. Подходящие поверхностно-активные вещества мягкого действия включают, в числе других, сложные эфиры полиоксиэтиленсорбитана и жирных кислот (ряд Твина), октилфеноксиполиэтоксиэтанол (ряд Тритона-X), н-Октил-.бета.-D-глюкопиранозид, н-октил-.бета.-D-тиоглюкопиранозид, н-Децил-.бета.-D-глюкопиранозид, н-Додецил-.бета.-D-глюкопиранозид и биологические поверхностно-активные вещества, например, жирные кислоты, глицериды, моноглицериды, дезоксихолат и сложные эфиры дезоксихолата. [000153] Консерванты могут также применяться в данном изобретении и предпочтительно содержат приблизительно от 0,05% до 0,5% масс. от общей массы композиции. Применение консервантов гарантирует то, что, если продукт является зараженным микробами, готовая форма будет предотвращать или уменьшать рост микроорганизмов. Некоторые консерванты, применимые в данном изобретении, включают метилпарабен, пропилпарабен, бутилпарабен, хлороксиленол, бензоат натрия, DMDM Гидантоин, 3-Йод-2-пропилбутилкарбамат, сорбат калия, диглюконат хлоргексидина или их комбинацию. [000154] Терапевтическая композиция может дополнительно содержать другие ферменты, такие как фермент лизостафин для лечения от любых бактерий Staphylococcus aureus, присутствующих наряду с чувствительными грам-положительными бактериями. Лизостафин, генный продукт Staphylococcus simulans, проявляет бактериостатический и бактерицидный эффект на S. aureus посредством ферментативного разрушения полиглициновых сшивок клеточной стенки (Browder et al., Res. Comm., 19: 393-400 (1965)). Ген для лизостафина был впоследствии клонирован и секвенирован (Recsei et al., Proc. Natl. Acad. Sci. USA, 84: 1127-1131 (1987). Терапевтическая композиция может также включать мутанолизин и лизоцим. [000155] Средства применения терапевтической композиции, содержащей литический фермент/полипептид(ы) и антибиотик(и), включают, но не ограничены ими прямые, косвенные, связанные с носителем, и особые средства или любую комбинацию средств. Непосредственное средство применения литического фермента/полипептида(ов) может представлять собой любое подходящее средство, чтобы непосредственно привести полипептид в контакт с очагом инфекции или бактериальной колонизации, таким как в области носа (например, назальные спреи), дермальные или кожные средства применения (например, мази или составы для местного применения), суппозитории, тампоны и т.д. Средства для назального применения включают например, назальные спреи, капли для носа, мази для носа, промывки для носа, назальные инъекции, тампонады для носа, бронхиальные спреи и ингаляторы, или опосредованно посредством применения пастилок(леденцов) для горла, промывания рта или полоскания, или посредством применения мазей, наносимых в ноздри, или на лицо или любую комбинацию из этих и аналогичных способов применения. Формы, в которых литический фермент может вводиться, включают, но не ограничены ими, пастилки, лепешки, леденцы, инъекционные средства, жевательные резинки, таблетки, порошки, спреи, жидкости, мази и аэрозоли. [000156] Способ применения для литического фермента и антибиотика включает ряд различных типов и комбинаций носителей, которые включают, но не ограничены ими, водную жидкость, жидкость на спиртовой основе, водорастворимый гель, лосьон, мазь, неводную жидкую основу, основу из минерального масла, смесь минерального масла и вазелина, ланолин, липосомы, белковые носители, такие как сывороточный альбумин или желатин, порошкообразную целлюлозную кармель и их комбинации. Способ доставки носителя, содержащего терапевтическое средство, включает, но не ограничен ими, мазок, спрей, пластырь с замедленным высвобождением, салфетка с абсорбированной жидкостью и их комбинации. Литический фермент может быть нанесен на бандаж, либо непосредственно или в одном из других носителей. Бандажи могут поставляться на рынок влажными или сухими, где фермент находится в лиофилизированной форме на бандаже. Этот способ нанесения является наиболее эффективным для лечения инфицированной кожи. Носители местных композиций могут содержать полутвердые и гелеобразные среды, которые включают полимерный загуститель, воду, консерванты, активные поверхностно-активные вещества или эмульгаторы, антиоксиданты, светозащитные средства и растворитель или смешанную систему растворителей. Полимерные загустители, которые могут применяться, включают загустители, известные специалисту в данной области, такие как гидрофильные и гидроспиртовые желирующие средства, часто применяемые в косметической и фармацевтической отраслях промышленности. Другие предпочтительные желирующие полимеры включают гидроксиэтилцеллюлозу, целлюлозную камедь, декадиеновый кроссполимер MVE/MA, сополимер PVM/MA или их комбинацию. [000157] Композиция, содержащая литический фермент/полипептид(ы) и антибиотик(и), может вводиться в форме леденца, жевательной резинки, пастилки, лепешки, таблетки, порошка, аэрозоля, жидкости, жидкого спрея или зубной пасты для профилактики или лечения бактериальных инфекций, связанных с заболеваниями верхних дыхательных путей. Пастилка, таблетка, или жевательная резинка, в которую добавляют литический фермент/полипептид(ы), может содержать сахар, кукурузный сироп, различные красители, подсластители, не являющиеся сахарами, ароматизаторы, любые связующие или их комбинации. Аналогично, любые продукты на основе камедей могут содержать камедь акации, карнаубский воск, лимонную кислоту, кукурузный крахмал, пищевые красители, ароматизаторы, подсластители, не являющиеся сахарами, желатин, глюкозу, глицерин, жевательную основу, шеллак, сахарин натрия, сахар, воду, белый воск, целлюлозу, другие связующие и их комбинации. Пастилки могут дополнительно содержать сахарозу, кукурузный крахмал, камедь акации, трагакантовую камедь, анетол, семя льна, олеосмолу, минеральное масло и целлюлозу, другие связующие и их комбинации. Заместители сахара могут также применяться вместо декстрозы, сахарозы или других сахаров. Композиции, содержащие литические ферменты или их пептидные фрагменты, могут быть направлены на слизистую оболочку, где, оставаясь, они лизируют колонизирующие болезненные бактерии. Слизистая оболочка, как раскрыто и описано в настоящем описании, включает, например, верхние и нижние дыхательные пути, глаз, щечную полость, нос, прямую кишку, влагалище, зубодесневой карман, кишки и толстую кишку. Вследствие природных механизмов устранения с поверхности или очистки слизистых тканей, традиционные дозированные формы не сохраняются на участке применения в течение какого-либо значимого отрезка времени. [000158] Может являться преимущественным иметь материалы, которые проявляют адгезию к слизистым тканям, для введения с одним или несколькими ферментами фагов и другими дополнительными средствами в течение некоторого времени. Материалы, имеющие способность к контролируемому высвобождению, являются особенно желательными, и применение мукоадгезивов с замедленным высвобождением заслуживает значительного внимания. Известны другие подходы, включающие мукоадгезивы, которые являются комбинацией гидрофильных и гидрофобных материалов. Мицеллы и многослойные мицеллы могут также применяться для контроля высвобождения фермента. Материалы, имеющие способность к нацеливанию на поверхности или прилипанию к поверхностям, такие как пластмасса, мембраны, устройства, используемые в клинической практике, включая, в частности, любой материал или компонент который помещают в организм, и является подверженным бактериальной адгезии или развитию биопленки, такой как катетеры, клапаны, протезные устройства, насосы для лекарственных средств или соединений, стенты, ортопедические материалы и т.д., могут комбинироваться, смешиваться или совмещаться с лизином(ами), применяемыми в настоящем изобретении. [000159] Терапевтические или фармацевтические композиции изобретения могут также содержать полимерные мукоадгезивы, включающие привитой сополимер, содержащий гидрофильную основную цепь и гидрофобные привитые цепи для контролируемого высвобождения биологически активных средств. Композиции для данного применения могут необязательно содержать другие полимерные материалы, такие как пластификаторы из поли(акриловой кислоты), поли-(винилпирролидона) и карбоксиметилцеллюлозы натрия, и другие фармацевтически приемлемые эксципиенты в количествах, которые не вызывают неблагоприятного эффекта на мукоадгезивность композиции. [000160] Литические фермент/полипептид(ы) и антибиотик(и) изобретения могут вводиться для применения в соответствии с изобретением посредством фармацевтически применимых или приемлемых средств, включающих местные, пероральные или парентеральные. Например, литический фермент/полипептид(ы) могут вводиться внутримышечно, интратекально, чрескожно, подкожно или внутривенно для лечения от инфекций, вызываемых грам-положительными бактериями. В случаях, где парентеральная инъекция является выбранным способом введения, предпочтительно используют изотоническую готовую форму. Как правило, добавки для изотоничности могут включать хлорид натрия, декстрозу, маннит, сорбит и лактозу. В некоторых случаях, изотонические растворы, такие как забуференный фосфатом физиологический раствор являются предпочтительными. Стабилизаторы включают желатин и альбумин. К готовой лекарственной форме может быть добавлено вазоконстрикторное средство. Фармацевтические препараты в соответствии с этим применением предоставляются стерильными и апирогенными. [000161] Для любого соединения, терапевтически эффективная доза может оцениваться первоначально либо в аналитических тестах с культурами клеток или на животных моделях, обычно, мышах, кроликах, собаках или свиньях. Животную модель также применяют для достижения желательного интервала концентраций и пути введения. Такая информация может затем использоваться для определения применимых доз и путей для ведения у людей. Точную дозировку выбирает индивидуальный терапевт с учетом пациента, подлежащего лечению. Дозировку и введение регулируют для обеспечения достаточных уровней активного фрагмента или для поддержания желательного эффекта. Дополнительные факторы, которые могут учитываться включают тяжесть болезненного состояния, возраст, массу тела и пол пациента; диету, желательную продолжительность лечения, способ введения, время и частоту введения, комбинацию(и) лекарственных средств, чувствительности реакции, и переносимость/ответ к терапии. Фармацевтические композиции пролонгированного действия могут вводиться каждые 3-4 дня, каждую неделю, или однократно каждые две недели в зависимости от времени полужизни и скорости выведения конкретной лекарственной формы. [000162] Эффективные мощности дозы или количества литического фермента/полипептида(ов), подлежащих введению, и продолжительность лечения будут зависеть отчасти от серьезности инфекции, массы тела пациента, в частности, человека, продолжительности воздействия инфекционных бактерий на реципиента, количества квадратных сантиметров кожи или ткани, которые являются инфицированными, глубины инфекции, серьезности инфекции, и разнообразного ряда других переменных. Композиция может применяться в любом месте, от одного до нескольких раз в день или неделю, и может применяться в течение короткого времени, такого как дни, или вплоть до нескольких недель или длительного периода времени, такого как много недель или вплоть до месяцев. Применение может длиться в течение дней или недель. Любая используемая дозированная форма должна обеспечивать минимальное число единиц в течение минимального количества времени. Концентрация активных единиц ферментов, предполагаемая для эффективного количества или дозировки ферментов, может быть выбрана соответствующим образом. [000163] Используемые лизин и антибиотики для применения в композициях и способах изобретения могут вводиться одновременно или последовательно. Лизин и антибиотические средства могут вводиться в однократной дозе или многократных дозах, поодиночке или в комбинации. Лизин и антибиотик могут вводиться посредством одинакового способа введения или посредством различных способов введения, и могут вводиться один раз, дважды или множество раз, один или несколько в комбинации или индивидуально. Таким образом, лизин может вводиться в первоначальной дозе, сопровождаемой последующими дозой или дозами, в частности, в зависимости от ответа и бактериального лизиса или деколонизации, и может комбинироваться или чередоваться с дозой(ами) антибиотика. В конкретном аспекте изобретения и принимая во внимание снижение развития резистентности к антибиотикам посредством введения лизина, конкретно PlySs2, вместе с антибиотиком, комбинации антибиотика и лизина могут вводиться в течение более длительных периодов, и дозирование может быть расширено без риска резистентности. В дополнение, поскольку дозы, требуемые для эффективного действия каждого из антибиотика и лизина, значительно снижаются при комбинировании или совместном введении одновременно или последовательно, пациента можно лечить более агрессивно и более продолжительно без риска или с пониженным риском развития резистентности. [000164] Термин «средство» означает любую молекулу, включая полипептиды, антитела, полинуклеотиды, химические соединения и малые молекулы. В частности, термин средство включает соединения, такие как тестируемые соединения, добавленные дополнительные соединение(я) или соединения лизинового фермента. [000165] Термин «агонист» относится к лиганду, который стимулирует рецептор, с которым связывается лиганд в самом широком смысле. [000166] Термин «аналитический тест» означает любой процесс, применяемый для измерения специфического свойства соединения. «Скрининговое исследование» означает процесс, применяемый для характеризации или выбора соединений, на основании их активности из коллекции соединений. [000167] Термин «предотвращение» или «предупреждение» относится к снижению степени риска приобретения или развития заболевания или расстройства (т.е. тому, что препятствует развитию по меньшей мере одного из клинических симптомов заболевания) у субъекта, который может подвергаться воздействию болезнетворного агента, или быть предрасположенным к заболеванию перед наступлением заболевания. [000168] Термин «профилактика» является родственным и охватывается термином «предотвращение», и относится к мероприятию или процедуре, целью которых является предотвратить, в большей степени, чем лечить или излечивать заболевание. Неограничивающие примеры профилактических мероприятий могут включать введение вакцин; введение низкомолекулярного гепарина стационарным пациентам, имеющим риск тромбоза вследствие, например, иммобилизации; и введение противомалярийного средства, такого как хлорохин, перед посещением географического региона, где малярия является эндемическим заболеванием или риск заразиться малярией является высоким. [000169] «Терапевтически эффективное количество» означает, что количество лекарственного средства, соединения, противомикробного средства, антитела, полипептида или фармацевтического средства, которое будет вызывать биологический или медицинский ответ субъекта, который предполагается медицинским доктором или другим клиницистом. В частности, по отношению к грам-положительным бактериальным инфекциям и росту грам-положительных бактерий, термин «эффективное количество» подразумевает включение эффективного количества соединения или средства, которое принесет приблизительно биологически значимое уменьшение количества или степени инфекции грам-положительных бактерий, включая обладающего бактерицидным и/или бактериостатическим эффектом. Фразу «терапевтически эффективное количество» применяют в настоящем описании для обозначения количества, достаточного для предотвращения, и предпочтительно снижения на по меньшей мере приблизительно 30 процентов, более предпочтительно на по меньшей мере 50 процентов, наиболее предпочтительно на по меньшей мере 90 процентов, клинически значимого изменения роста или количества инфекционных бактерий, или другого признака патологии, такого как, например, повышенное лихорадочное состояние или уровень лейкоцитов в крови, при проявлении его присутствия и активности. [000170] Термин «проведение лечения» или «лечение» любого заболевания или инфекции относится, в одном варианте осуществления, к уменьшению интенсивности заболевания или инфекции (т.е. прекращению заболевания или роста возбудителя инфекции или бактерий или снижению проявления, степени или тяжести по меньшей мере одного из его клинических симптомов). В еще одном варианте осуществления «проведение лечения» или «лечение» относится к уменьшению интенсивности по меньшей мере одного физического параметра, который может не ощущаться субъектом. В еще одном варианте осуществления, «проведение лечения» или «лечение» относится к модуляции заболевания или инфекции, либо физически (например, стабилизации ощущаемого симптома), физиологически, (например, стабилизации физического параметра) или им обеим. В дополнительном варианте осуществления, «проведение лечения» или «лечение» относится к замедлению прогрессирования заболевания или снижению инфицирования. [000171] Следует отметить, что в контексте способов лечения, которые осуществляют in vivo, или медицинских и клинических способов лечения в соответствии с настоящей заявкой и формулой изобретения, термин субъект, пациент или индивидуум предназначен для обозначения человека. [000172] Термины «грам-положительные бактерии», «Грам-положительные бактерии», «грам-положительные» и любые варианты, не перечисленные конкретно, могут применяться в настоящем описании взаимозаменяемо, и в применении ко всему тексту настоящей заявки и формулы изобретения относятся к Грам-положительным бактериям, которые являются известными и/или могут быть идентифицированы по присутствию некоторых характеристик клеточной стенки и/или клеточной мембраны и/или посредством окрашивания красителем Грама. Грам-положительные бактерии являются известными и легко могут идентифицированы и могут быть выбраны из, но не ограничиваясь ими, родов Listeria, Staphylococcus, Streptococcus, Enterococcus, Mycobacterium, Corynebacterium и Clostridium, и включают любые и все их распознанные или нераспознанные виды или штаммы. В аспекте изобретения, чувствительные к лизину PlyS грам-положительные бактерии включают бактерии, выбранные из одного или нескольких из Listeria, Staphylococcus, Streptococcus и Enterococcus. [000173] Термин «бактерицидный» относится к способности к лизису бактериальных клеток. [000174] Термин «бактериостатический» относится к способности к ингибированию бактериального роста, включая ингибирование растущих бактериальных клеток. [000175] Фраза «фармацевтически приемлемые» относится к молекулярным видам и композициям, которые являются физиологически переносимыми и обычно не приводят к аллергической или аналогичной нежелательной реакции, таким как расстройство желудка, головокружение и т.п., при введении человеку. [000176] Изобретение может быть лучше понято при ссылке на следующие неограничивающие Примеры, которые предоставлены в качестве иллюстрации изобретения. Следующие примеры представлены, чтобы более полно иллюстрировать предпочтительные варианты осуществления изобретения и не должны никаким образом рассматриваться, однако, как ограничивающие широкий объем притязаний изобретения. ПРИМЕР 1 [000177] Лизин PlySs2 демонстрирует способность к лизису различных штаммов клинически значимых грам-положительных бактерий, включая резистентные к антибиотикам штаммы, такие как метициллин- и ванкомицин-резистентные и чувствительные штаммы Staphylococcus aureus (MRSA, MSSA, VRSA, VISA), даптомицин-резистентный Staphylococcus aureus (DRSA), и линезолид-резистентный Staphylococcus aureus (LRSA). PlySs2 представляет собой уникальный лизин, имея литическую активность по отношению к широкому спектру видов, и может лизировать множество видов бактерий, в частности, грам-положительных бактерий, бактериальные штаммы включая Staphylococcus, Streptococcus, Enterococcus и Listeria. Табличное представление данных по чувствительности (отображенных с использованием значений МПК и мкМ концентраций) стафилококков к лизину PlySs2 и различным антибиотикам показано в таблице 2. Значения минимальной подавляющей концентрации (МПК) определяли с использованием метода микроразведения в бульоне в соответствии со стандартами и как описано в документе M07-A9 Института клинических и лабораторных стандартов (CLSI) (Methods for dilutional antimicrobial sensitivity tests for bacteria that grow aerobically. Volume 32 (Wayne [PA]: Институт клинических и лабораторных стандартов [US], 2012). Данное значение представляет собой МПК, определение в присутствии восстановителя (такого как DTT или BMS) в аналитическом тесте для определения МПК. Восстановитель добавляют с целью улучшения воспроизводимости результатов между анализами и среди анализов при определении значений МПК. [000178] Активность PlySs2 против различных грам-положительных и грам-отрицательных организмов представлена в таблице 3, которая включает значения МПК и интервал для различных организмов. Активность PlySs2 против антибиотико-резистентных Staphylococcus aureus представлена в таблице 4. PlySs2 имеет мощную ингибирующую рост активность против всех тестируемых штаммов Staphylococcus aureus, включая изоляты 103 MSSA и 120 MRSA (МПК = 8 мкг/мл), а также стрептококки Групп А и B и Staphylococcus lugdiensis (таблица 3). Небольшую активность или отсутствие активности наблюдали для коллекции других Грам-положительных бактерий, а также для всех тестируемых Грам-отрицательных бактерий. Несмотря на то, что PlySs2 эффективно лизирует резистентные к антибиотикам и чувствительные S. aureus, а также многочисленные другие клинически значимые грам-положительные бактерии, он является заметно неэффективным против многочисленных симбиотических бактерий, таких как Escherichia coli, как показано выше в таблице 1 и в таблице 5 ниже, которые представляют чувствительность бактерий кишечника человека и МПК PlySs2. [000179] В то время как PlySs2 является эффективным против многих различных клинически значимых бактерий, он сохраняет благоприятную особенность многих лизинов, состоящую в отсутствии широкого спектра действия по лизису бактерий, следовательно, побочные эффекты, такие как нарушение кишечной флоры, наблюдаемые для многих антибиотиков, будут минимизированы. В дополнение, лизины продемонстрировали низкую вероятность бактериальной резистентности. Примечательно обширная клинически значимая литическая способность PlySs2 делает его уникально применимым для клинической ситуации, включая те случаи, где присутствует полностью нехарактеризованная или смешанная бактериальная инфекция. [000180] Staphylococcus aureus представляет собой возбудитель нескольких серьезных инфекционных заболеваний и неотложная ситуация с антибиотик-резистентными штаммами S. aureus приводит к значительным трудностям при лечении, интенсифицируя потребность в новых противомикробных средствах. В настоящее время, от 40 до 60% внутрибольничных инфекций S. aureus являются резистентными к оксациллину (Massey RC et al (2006) Nat Rev Microbiol 4:953-958), и более 60% изолятов являются резистентными к метициллину (Gill SR et al (2005) J Bacteriol 187:2426-2438). Ряд новых противомикробных средств, таких как линезолид, квинупристин-далфопристин, даптомицин, телаванцин, новые гликопептиды, цефтаролин и цефтобипрол, были внедрены или находятся в клинической разработке (Aksoy DY и S Unal (2008) Clin Microbiol Infect 14:411-420). Как вариант, применяемые в настоящее время антибиотики, к которым штаммы, такие как MRSA являются резистентными, могут быть вновь востребованы как жизнеспособные кандидаты при лечении MRSA, при использовании в комбинации с другими средствами, предлагая новое направление развития потенциальных противоинфекционных средств. Применимость и использование лизина в комбинации с антибиотиком имеет потенциал обхода бактериальной резистентности благодаря очень низкой вероятности развития резистентности к лизиновому компоненту. [000181] Чтобы более полно оценить применимость PlySs2 к клиническим стафилококковым инфекциям, были предприняты исследования активности по времени гибели против многочисленных штаммов Staphylococcus aureus, включая метициллин-резистентные и метициллин-чувствительные штаммы. Аналитические тесты на зависимость остаточной микробиологической нагрузки от времени проводили в соответствии с методологией CLSI (документ CLSI M07-A9 столбец 32 № 2) на 42 метициллин-резистентных штаммах S. aureus (MRSA) и 20 метициллин-чувствительных штаммах S. aureus (MSSA). Культуры каждого штамма (5,5X105-1X106 исходный инокулят) обрабатывали лизином PlySs2 и антибиотиками даптомицином, оксациллином или ванкомицином для сравнения в течение 6 часов с аэрацией. Штаммы MRSA и MSSA обрабатывали PlySs2, даптомицином и ванкомицином. Штаммы MSSA также обрабатывали оксациллином. Использовали концентрации, соответствующие 1X МПК для различных антибиотиков, на основании опубликованных и установленных значений МПК для антибиотиков. Обработку лизином PlySs2 проводили при приблизительно 1X МПК, как было определено прежде (см. таблицу 2 выше). Аликвоты культур удаляли ежечасно вплоть до 6 часов (временные отметки отбора проб через 15 и 30 мин, l час, 2 часа, 3 часа, 4 часа, 5 часов и 6 часов), и добавляли к раствору PBS/активированный уголь (чтобы инактивировать каждое лекарственное средство), которые затем серийно разбавляли и помещали в планшеты для оценки жизнеспособности бактерий. Полученный в результате log Кое/мл наносили на кривые для каждой культуры. Контроли роста включали для каждого штамма и представляли бактериальный рост в отсутствии какого-либо антибактериального средства. Иллюстративные логарифмические кривые время-эрадикация для выбранных штаммов MRSA показаны на ФИГУРЕ 1. Иллюстративные логарифмические кривые время-эрадикация для выбранных штаммов MSSA показаны на ФИГУРЕ 2. Сводный график исследований активности по времени гибели с штаммами MRSA и MSSA показан на ФИГУРЕ 3. [000182] Перечень штаммов, используемых в исследованиях, представленных в настоящем описании, включая перекрестную ссылку для признанных и доступных наименований штаммов предоставлен ниже в таблице 6. [000183] PlySs2 имеет кинетику быстрого лизиса in vitro [000184] Кинетика быстрого лизиса является желательной в клинических условиях для лечения пациентов со скоротечными (молниеносными) бактериальными инфекциями. Для тестирования скорости противомикробной активности in vitro, авторы изобретения применяли аналитические тесты для установления зависимости время-эрадикация (Mueller M et al (2004) Antimicrob Agents Chemotherapy 48:369-377), в которых концентрации, соответствующие 1X МПК лекарственного средства, тестировали для всех из 20 различных штаммов MSSA и 42 штаммов MRSA. PlySs2 достигал бактерицидных уровней (Methods for dilution antimicrobial susceptibility tests for bacteria that grow aerobically. Vol. 32 (Wayne (PA): Институт клинических и лабораторных стандартов (US), 2012) (≥3- log10 снижение по КОЕ) в пределах 30 минут (ФИГУРА 4A и B). Напротив, для даптомицина требовалось 6 часов, чтобы достичь бактерицидных уровней, в то время как ванкомицин и оксациллин достигали только 2-log10 лизиса в пределах 6 часов. Кинетику быстрого лизиса также получали для PlySs2 против наборов из 15 различных современных изолятов MSSA (ФИГУРА 4C) или изолятов MRSA (ФИГУРА 4D), что иллюстрирует эффективную бактерицидную активность PlySs2 на значимых клинических изолятах. Высокая активность PlySs2 была дополнительно проиллюстрирована посредством электронной микроскопии, показывающей обширный бактериолизис кокков S. aureus через только 15 секунд обработки; скорость действия PlySs2 согласуется с бактерицидным эффектом немедленно при контакте (ФИГУРА 4E). [000185] Все тестируемые штаммы MRSA и MSSA быстро лизируются с PlySs2, при максимальном лизисе (т.е. ≥3 log снижение), наблюдаемом обычно в интервале первого часа инкубации с лизином и log сниженными до 1 log Кое/мл (эффективный нижний предел теста) в большинстве случаев. Даптомицин или ванкомицин снижают рост большинства штаммов MRSA и MSSA на 2-3 log, наблюдаемых обычно в течение нескольких часов инкубации или более, причем даптомицин является наиболее эффективным против большинства штаммов. Оксациллин был наименее эффективным из антибиотических средств против штаммов MSSA. Во всех случаях, лизис при использовании PlySs2 был выше и быстрее, чем для любого антибиотика. [000186] Исследования были расширены с включением тестирования различных штаммов S. aureus, включая S. aureus с промежуточной чувствительностью к ванкомицину (VISA), ванкомицин-резистентный S. aureus (VRSA), линезолид-резистентный S. aureus (LRSA) и даптомицин-резистентный S. aureus (DRSA), с лизином PlySs2, даптомицином, ванкомицином и линезолидом, с использованием методов, описанных выше. Табулирование результатов исследований, предпринятых со штаммами MSSA, MRSA, VISA, VRSA, LRSA и DRSA Staphylococcus aureus, представлено в таблице 2 выше с минимальными подавляющими концентрациями (МПК) PlySs2, и различными антителами, предоставленными для различных штаммов. ПРИМЕР 2 [000187] В то время как лизин PlySs2 по отдельности осуществляет лизис более быстро, чем антибиотики по отдельности, как показано выше, никакая информация, касающаяся способности или эффективности PlySs2 в комбинации с антибиотиками не является известной или доступной. Исследования бактериального лизиса предпринимали, чтобы оценить комбинации лизина PlySs2 с антибиотиком против Staphylococcus aureus in vitro. [000188] Аналитические тесты на зависимость остаточной микробиологической нагрузки от времени проводили, как описано выше, на нескольких штаммах MRSA с добавлением PlySs2 или антибиотика по отдельности или в комбинации при различных концентрациях. Культуры каждого штамма (5,5×105-1×106 исходного инокулята) обрабатывали лизином PlySs2, антибиотиком (даптомицином или ванкомицином), или комбинацией PlySs2 и антибиотика в течение 6 часов с аэрацией. В каждом случае использовали суб-МПК дозы PlySs2 и антибиотика, чтобы наблюдать синергизм и увеличенную эффективность комбинационного средства. Контроли роста были включены для каждого штамма и представляют бактериальный рост в отсутствии какого-либо антибактериального средства. Кривые время-эрадикация для двух штаммов MRSA с добавлением ½ МПК PlySs2 и ¼ МПК ванкомицина показаны на ФИГУРЕ 5. При этих суб-МПК дозах, ванкомицин или PlySs2 являются неэффективными или низкоэффективными по отдельности вплоть до 6 часов. Комбинации из ½ МПК PlySs2 и ¼ МПК ванкомицина приводили в результате к до 4 log лизиса MRSA в культуре в пределах 6 часов. [000189] Логарифмические кривые время-эрадикация для двух штаммов MRSA с добавлением ¼ МПК PlySs2 и 1/8 МПК даптомицина показаны на ФИГУРЕ 6. Комбинации из ¼ МПК PlySs2 и 1/8 МПК даптомицина приводили к приблизительно 4 log лизиса MRSA в культуре в пределах 6 часов. ФИГУРА 7 отображает еще одно исследование комбинации на основании значений 1X МПК PlySs2 и даптомицина на штамме MRSA 650 (штамм О52C Tomasz - 1X109 исходный инокулят). Лизин PlySs2 добавляют при l6 мкг/мл, даптомицин добавляют при 1 мкг/мл. В то время как каждое единственное средство по отдельности приводит к 4-5 log лизиса при добавленных концентрациях, комбинация PlySs2 и даптомицина обеспечивает полный лизис (log лизиса до предела обнаружения анализа) в пределах 2 часов. ПРИМЕР 3 [000190] Комбинационная терапия является особенно эффективной, когда лекарственные средства действуют синергетически (Cottarel G & Wierzbowski J (2007) Trends Biotechnology 25:547-555). Оценку синергизма между PlySs2 и активными против клеточной оболочки антибиотиками осуществляли посредством анализа зависимости время-эрадикация, предпочтительного метода для исследования синергетической противомикробной активности in vitro (Mueller M et al (2004) Antimicrob Agents and Chemotherapy 48:369-377; Methods for dilution antimicrobial susceptibility tests for bacteria that grow aerobically, Vol. 32 (Wayne (PA): Институт клинических и лабораторных стандартов (US), 2012). Исследования синергизма дополнительно оценивали с антибиотиком оксациллином, который является членом семейства пенициллинов и лизирует бактерии иным образом в сопоставлении с либо ванкомицином или даптомицином. Результаты исследований с оксациллином либо по отдельности или в присутствии лизина PlySs2 показаны на ФИГУРЕ 8. Кривые время-эрадикация генерировали с использованием суб-МПК концентраций PlySs2, даптомицина, ванкомицина и оксациллина либо по отдельности или в комбинации против клинических изолятов MRSA (ФИГУРА 8C-8F) или клинических изолятов MSSA (ФИГУРА 8A-8B). Синергизм определяли как ≥2-log10 снижение Кое/мл при 6-часовой временной отметки для комбинации в сравнении с наиболее активным моносредством. На основании этих критериев, PlySs2 действовал синергетически со всеми антибиотиками, оцениваемыми против всех оцениваемых представительных штаммов MRSA и MSSA (см. ФИГУРЫ 4-8). Расширенный набор изолятов исследовали аналогично, и синергизм наблюдали в 45 из 49 анализов для MSSA и 24 из 26 для MRSA с PlySs2, комбинированным с различными антибиотиками, включая оксациллин, ванкомицин и даптомицин (таблицы 7-11, представленные ниже). Перечень условных обозначений для таблиц 7-11: 1Показаны номера штаммов ATCC, прошедших контроль качества, и изолятов JMI. 2Концентрации PlySs2 и антибиотика, используемые в экспериментах по исследованию синергетической зависимости время-эрадикация. Значения тщательно определяли в исследованиях по поиску диапазона доз, и они представляют концентрации, которые наиболее близко приближаются к идеальным уровням PlySs2 (то есть, приводящим в результате к ~2-log10 снижению жизнеспособности в сравнении с контролем роста), и антибиотика (то есть, приводящим в результате к <1 log снижению жизнеспособности в сравнении с контролем роста). 3Снижения log10 количества колоний (или ΔLog10 Кое/мл) показаны для культур, обработанных в течение 6 часов комбинацией лекарственных средств, в сравнении с культурами, обработанными наиболее активным моносредством. 4Синергизм определяют по CLSI21 как ≥2-log10 снижение Кое/мл. Аддитивные взаимодействия определяют как <2-log10 снижение Кое/мл. 5xМПК, обозначает процентную долю МПК, представленную каждой концентрацией. Например, значение xМПК, равное 0,5 означает, что оптимальная синергетическая концентрация для конкретного лекарственного средства составляет ½ конкретного значения МПК для конкретного изолята или штамма. Значение xМПК представляет собой, следовательно, концентрацию лекарственного средства, используемую при анализе синергетической зависимости время-эрадикация, разделенную на МПК для данного лекарственного средства против конкретного штамма в отсутствии восстановителя. Обозначение: ΔLog10 Кое/мл = изменение log10 колониеобразующих единиц; МПК = минимальная подавляющая концентрация. ПРИМЕР 4 [000191] Тестирование МПК методом микроразведения в бульоне проводили с использованием 96-луночной панели в соответствии с методами, описанными выше, для Примера 1 (методология CLSI, документ CLSI M07-A9, столбец 32 №2). В настоящих исследованиях, однако, как лизин PlySs2, так и антибиотик даптомицин присутствуют вместе в каждой лунке при различных исходных концентрациях. Исследования проводили с 12 различными штаммами MRSA S. aureus. В каждом случае, сначала определяли МПК PlySs2 для штамма. МПК ДАП для каждого штамма были основаны на тестировании МПК методом микроразведения в бульоне в соответствии с опубликованной методологией и подтверждены опубликованными и доступными данными для тестируемых изолятов. 5,5×105-1×106 клеток добавляли в каждую лунку и выращивали в присутствии различных количеств лизина PlySs2 и даптомицина в течение 24 часов при 37°C без аэрации. Значения МПК определяли на глаз и подтверждали посредством выращивания бактерий для определения числа жизнеспособных клеток в каждой лунке 96-луночного планшета. Культуры оценивали в присутствии и отсутствии восстановителя (например, бета-меркаптоэтанола (BME), дитиотреитола (DTT)). Значения МПК являются более низкими относительно в присутствии восстановителя и повторяемость улучшается с восстановителем. [000192] Определения МПК в случае двойного средства. Аналитический тест на МПК для двойного средства является производным от стандартного метода микроразведения в бульоне (Methods for dilution antimicrobial susceptibility tests for bacteria that grow aerobically (2012) Vol. 32 (Институт клинических и лабораторных стандартов (US), Wayne (PA)). В то время как при анализе МПК разбавляют одно лекарственное средство вдоль x-оси, при комбинированных анализах МПК разбавляют два лекарственных средства вместе вдоль x-оси. От двух до четырех 96-луночных полипропиленовых планшетов для микротитрования (Becton, Dickenson, and Company) комбинируют, чтобы получить желательные схемы разбавления. Сначала PlySs2 разбавляют двухкратно вертикально сверху вниз в столбце 1, получая концентрационный интервал от 2,048 до 1 мкг/мл. Затем добавляют даптомицин при постоянной концентрации (4 мкг/мл) в каждую лунку столбца 1. Все из лунок столбца 1, следовательно, содержат интервал разбавления PlySs2 против фонового значения, равного 4 мкг/мл даптомицина. Столбец 1 далее разбавляют двухкратно вдоль всей x-оси, таким образом, что все лунки столбца 11 имеют концентрацию даптомицина, равную 0,0037 мкг/мл. После разбавления лекарственных средств, добавляют клетки (~5×l05 КОЕ/мл) и после 24 часов инкубации при 35°C в окружающем воздухе значения МПК регистрируют как наиболее разбавленные концентрации лекарственного средства, ингибирующие бактериальный рост. [000193] Иллюстративные результаты с восемью штаммами MRSA отображены на ФИГУРАХ 9-18. На каждой из ФИГУР 9-18, двенадцатилуночный удвоенный интервал разбавления проходит в правую сторону для каждого ряда панели. Каждая панель представляет лунку 96-луночного планшета. Указанные бактериальные штаммы затем инокулировали в каждую лунку и инкубировали в течение 24 часов, и в это время исследовали рост. Незаштрихованные панели указывают лунки, в которых комбинации лекарственных средств ингибировали рост. Желтые (светлые)-заштрихованные панели указывают на самые низкие концентрации комбинации лекарственных средств, которые ингибировали рост (по существу, соответствующие МПК). Красные (темные)-заштрихованные панели указывают на бактериальный рост (другими словами комбинации средств, которые не ингибировали рост). Исследования проводили в присутствии и отсутствии восстановителя. В каждом случае, с восстановителем или без него, наблюдали значительный синергизм, с многократным снижением требуемого количества как лизина, так и антибиотика, когда они оба были предоставлены в комбинации. Снижение требуемого антибиотика было особенно значительным с добавленным лизином. [000194] Суммарные экспериментальные результаты с двенадцатью штаммами MRSA обобщены в таблице 12 ниже. Как показано ниже и отображено на ФИГУРАХ 9-18, комбинирование PlySs2 и антибиотика (даптомицина) вместе может синергетически достигать 2-4-кратного снижения эффективной МПК PlySs2. Примечательно, что комбинирование PlySs2 и даптомицина вместе может синергетически достигать 16-256-кратной увеличенной чувствительности (кратности снижения) для эффективной МПК антибиотика даптомицина. ПРИМЕР 5 [000195] Дополнительную оценку синергизма предпринимали, посредством проведения анализов методом «шахматной доски» и расчета значений показателя фракционной подавляющей концентрации (FICI) (Tallarida RJ (2012) J Pharmacol и Exper Therapeutics 342:2-8). Эти исследования проводили с использованием иллюстративных антибиотиков даптомицина, ванкомицина и оксациллина. С использованием данной оценки, синергизм определяют как подавляющую активность, более высокую, чем можно было бы предсказать при добавлении двух лекарственных средств вместе (ФПК ≤0,5). Представительные изоболограммы для различных антибиотиков против штаммов MRSA и MSSA представлены на ФИГУРЕ 19. Синергизм наблюдали при 79% (даптомицин), 86% (ванкомицин) и 100% (оксациллин) для 29 штаммов MSSA и для 89% (даптомицин) и 69% (ванкомицин) для 26 штаммов MRSA. Результаты приведены ниже в табличной форме в таблицах 13-15. При анализе методом «шахматной доски», взаимодействия лекарственных средств определяют как либо синергетические, аддитивные или антагонистические на основании ФПКмин для каждой комбинации. ФПК для лекарственного средства определяют как МПК лекарственного средства в комбинации, разделенную на МПК лекарственного средства, применяемого по отдельности. ФПКмин основан на сумме ФПК для каждого лекарственного средства. Если ФПКмин ≤0,5, комбинацию интерпретируют как являющуюся синергетической; между >0,5 и ≤2 как аддитивную; и >2 как антагонистическую. ПРИМЕР 6 PlySs2 ускоряет связывание антибиотика с клеточной оболочкой [000196] В качестве дополнения к исследованиям синергизма, исследовали связывание даптомицина и ванкомицина с клеточной оболочкой с использованием BODIPY-флуоресцеин-меченых антибиотиков в присутствии и отсутствии суб-МПК уровней CF-301. Анализ зависимости связывания даптомицина от времени (ФИГУРА 20A) показывает проникновение антибиотика только через 15 минут в присутствии CF-301 (при l/32аяМПК) в сопоставлении с 3 часами без CF-301. Аналогично, мечение клеточной стенки с ванкомицином происходит в пределах 5 минут в присутствии CF-301 (l/8ая МПК) в сопоставлении с 30 минутами без CF-301 (ФИГУРА 20B). Для обоих антибиотиков, мечение впервые наблюдали на бактериальных плоскостях раздела. ПРИМЕР 7 [000197] Даптомицин активно связывается с легочным поверхностно-активным веществом и, следовательно, не является эффективным при лечении стафилококковой пневмонии. Принимая во внимание эффективность PlySs2 и даптомицина в комбинации против чувствительных бактерий, показанную выше, лизин PlySs2 и даптомицин оценивали по отдельности и в комбинации в присутствии доступного для приобретения поверхностно-активного вещества, для имитации легочного поверхностно-активного вещества. [000198] В этих исследованиях использовали штамм MW2 MRSA и штамм ATCC 29213 MSSA. Даптомицин и лизин PlySs2 сначала оценивали по отдельности в присутствии поверхностно-активного вещества (Survanta, Abbott Laboratories). Значения МПК даптомицина и PlySs2 для каждого штамма определяли в присутствии Survanta с использованием методов микроразведения в бульоне. Серии с двойным разведением устанавливали в присутствии и отсутствии поверхностно-активного вещества при концентрациях в интервале от 0% до 15%. Значения МПК оценивали в баллах на глаз при 24 часах и подтверждали посредством подсчета количества КОЕ во всех лунках. Об аналогичном исследовании сообщалось Silverman et al., 2005 (JID, volume 191, 2149-52) с использованием штамма 581 MSSA. Затем рассчитывали кратность изменения МПК для даптомицина и CF301 при каждой концентрации поверхностно-активного вещества (в сравнении со значениями МПК, полученными в отсутствии поверхностно-активного вещества). Кратность изменения МПК при концентрациях поверхностно-активного вещества для каждого штамма отображена на ФИГУРЕ 21. В присутствии Survanta в качестве поверхностно-активного вещества, МПК даптомицина ингибируется в 256 раз. При концентрации поверхностно-активного вещества, равной 1,25%, даптомицин ингибируется более чем в 20 раз. Напротив, МПК PlySs2 ингибируется в 8 раз, последовательно на протяжении всего интервала от 1,25 до 15% поверхностно-активного вещества. [000199] Эффекты комбинаций лизина PlySs2 и даптомицина оценивали в присутствии 15% поверхностно-активного вещества (Survanta) в комбинационном исследовании МПК. Экспериментальная модель является аналогичной модели, описанной выше для комбинационных исследований МПК без поверхностно-активного вещества (см. Пример 3). Результаты оценки синергизма в присутствии поверхностно-активного вещества показаны на ФИГУРЕ 22. Вкратце, концентрации лизина PlySs2 плюс даптомицин показанные в крайних левых лунках разводили двухкратно во всех двенадцати лунках каждого ряда. Клетки штамма 269 (MW2) MRSA (5,5×105-1×106) затем добавляли в каждую лунку и инкубировали в течение 24 часов перед оценкой роста. Незаштрихованные лунки указывают на подавление роста. Желтые (светлые)-заштрихованные лунки указывают на наиболее разбавленные комбинации лекарств, которые все еще подавляют рост (т.е. МПК). Красные (темные)-заштрихованные лунки указывают на комбинации лекарств, которые допускают рост. Синергетическая доза PlySs2 составляет 2 мкг/мл или 1/8 МПК для тестируемого штамма. В данном исследовании, даптомицин является эффективным до 0,25 мкг/мл, которая соответствует 1/1024 МПК даптомицина. ПРИМЕР 8 Комбинация в сопоставлении с монотерапией на мышиных моделях бактериемии [000200] Исследования на животных предпринимали, чтобы оценить эффект PlySs2 в комбинации с антибиотиком против инфекции S. aureus in vivo на мышиных моделях бактериемии. Мышам BALB/c посредством внутрибрюшинной инъекции вводили различные уровни инокулятов штаммов MRSA, и животные затем получали дозы лекарственного средства - либо антибиотика, лизина PlySs2 или комбинации антибиотика и PlySs2. [000201] В первой серии исследований с использованием инокулятов в интервале 106 бактерий, 35 мкг даптомицина вводили посредством подкожной инъекции (пк) через 5 часов после инфицирования бактериями, в однократной дозе. Эта доза является эквивалентной дозе даптомицина 1,75 мг/кг для мыши с массой 20 граммов, в то время как эквивалентная доза даптомицина для человека у мышей была бы 50 мг/кг. Дозирование, равное 1,75 мг/кг даптомицина у мышей эквивалентно приблизительно 3,5% эквивалентной дозы для человека. PlySs2 вводили посредством внутрибрюшинной инъекции (ВБ) три раза в день (TID), вместе с 15 мкг PlySs2, вводимыми через 5 часов, 9 часов и 13 часов после инфицирования бактериями (15 мкг приблизительно равны дозе 0,8 мг/кг для мыши с массой 20 граммов). Животных подвергали мониторингу и процент выживаемости регистрировали каждые три часа вплоть до 24 часов после инфицирования. Оценивали выживаемость животных с дозами MRSA (штамм 269 или MW2), равными 1,8×106, 1,1×106, 3,0×106 и 3,1×106 бактерий, и сводный график данных по выживаемости представлен на ФИГУРЕ 23 для данного штамма MRSA. Аналогичные исследования проводили с другими штаммами S. aureus (штаммы 220 и 833) с получением сравнимых результатов (ФИГУРЫ 24-26). Во всех случаях, выживаемость животных значительно повышалась посредством комбинационного дозирования с лизином PlySs2 и антибиотиком даптомицином. Эти исследования предоставляют доказательства in vivo эффективности действия комбинационной терапии лизина PlySs2 с антибиотиком даптомицином в сравнении с лизином PlySs2 или антибиотиком даптомицином по отдельности. [000202] Исследования с высокодозовым инокулятом [000203] Дополнительные исследования на животных с моделью мышиной бактериемии проводили для оценки способности PlySs2 увеличивать эффективность действия антибиотиков для стандартного лечения in vivo. У модели с низкой стимуляцией (до 7×106 КОЕ инокулята с дозированием через 4 часа), монотерапия, вводимая в виде однократной дозы, равной либо 1,25 мг/кг PlySs2 или 2 мг/кг даптомицина, приводила в результате к 13% и 23% выживаемости через 72 часа соответственно (ФИГУРА 27A). При комбинации PlySs2 с даптомицином значительное увеличение наблюдали с 72-часовым коэффициентом выживаемости, равным 73% (P<0,0001). Комбинация PlySs2 с даптомицином следовательно превосходила каждое средство по отдельности в условиях низкой стимуляции. [000204] Для тестирования того, насколько устойчивой может быть комбинационная терапия PlySs2, авторы изобретения увеличили бактериальный инокулят до значения, где воспроизведенные человеческие дозы однокомпонентных антибиотиков были малоэффективными. У данной модели с высокой стимуляцией (инокулят с 109 КОЕ при дозировании через 2 часа), воспроизведенные человеческие дозы либо даптомицина (50 мг/кг один раз в день)26 или ванкомицина (110 мг/кг дважды в день)27 в качестве средств монотерапии обеспечивали 24-часовые коэффициенты выживаемости, равные 47% и 20%, соответственно, и 72-часовые коэффициенты выживаемости, равные 31% и 3%, соответственно (ФИГУРА 27B и 27E). PlySs2, вводимый в качестве средства монотерапии, аналогично обеспечивал коэффициенты выживаемости, равные 56/60% и 18/3% при 24 и 72 часах, соответственно. Напротив, PlySs2 в комбинации либо с даптомицином или ванкомицином позволял достичь 24-часовых коэффициентов выживаемости, равных 87% и 93% через 24 часа и 82% и 67% через 72 часа, соответственно, демонстрируя превосходство комбинационных терапий над режимами монотерапии при этих условиях стимуляции инфекции. Дополнительные эксперименты с комбинацией PlySs2/даптомицин проводили с двумя дополнительными штаммами MRSA, получая аналогичные результаты (ФИГУРА 27C и 27D). Когда PlySs2 дополнительно тестировали в комбинации с оксациллином с использованием штамма MSSA в качестве инокулята, результаты комбинационного лечения снова превосходили результаты лечения средствами монотерапии (ФИГУРА 27F). Рассматриваемые вместе, результаты демонстрируют, что комбинации PlySs2/антибиотик являются более эффективными, чем режимы монотерапии для лечения бактериемии, и, что статистически значимые результаты получают со всеми различными антибиотиками для стандартного лечения и со всем множеством штаммов S. aureus (P<0,0001 во всех случаях). [000205] Лизин PlySs2 демонстрирует чувствительную к дозе, кинетику быстрого лизиса in-vivo [000206] На мышиной модели бактериемии, PlySs2 проявляет отчетливую зависимость доза-ответ с увеличением выживаемости по сравнению с наблюдаемой для контроля с имитацией инъекции при всего лишь 0,25 мг/кг и значительную защиту при дозе 5 мг/кг (данные не показаны). Чтобы оценить скорость бактерицидной активности PlySs2 in vivo, значения КОЕ для MRSA измеряли в крови инфицированных мышей перед и после введения PlySs2. При дозировании, равном 5,25 мг/кг PlySs2 через 2 часа после инфицирования, 0,5-log10 снижение КОЕ происходило через 15 минут и 2-log10 логарифмическое снижение наблюдали в пределах 60 минут лечения, демонстрируя быструю бактерицидную активность PlySs2 в кровотоке инфицированных животных (данные не показаны). [000207] Мышиная модель бактериемии [000208] Самки мышей BALB/c (инбредный штамм), имеющие возраст 5-7 недель, массу тела, равную 16,0-19,5 г приобретали у Jackson Laboratories, Bar Harbor, Maine и использовали во всех экспериментах с мышами. Бактериальные инокуляты, находящиеся в экспоненциальной фазе роста, генерировали посредством обеспечения роста бактериальных клеток до оптической плотности, равной ~0,5 при 600 нм, собирали, промывали и концентрировали между 1,5×107 - 2×109 КОЕ/мл. Бактериальный сгусток суспендировали в подобающем объеме 5% (м/о) муцина (Sigma Lot# SLBD5666V или SLBD5666V) для достижения конкретного инокулята и помещали на влажный лед. Пятьсот мкл (~7,5×106 - 1×109 КОЕ) вводили мышам посредством внутрибрюшинной инъекции. Дозы исследуемых лекарственных средств доводили по массе вместе с вводимым объемом инъекции между 160-200 мкл. Выживаемость после инфицирования оценивали каждые 3 или 6 часов в течение первых 24 часов, затем при 48 и 72 часах. Эксперименты повторяли 2-3 раза с каждой экспериментальной группой, содержащей 10-20 мышей. Все экспериментальные манипуляции с использованием возбудителя инфекции проводили в боксе BSL-2. Мертвых животных удаляли по мере наблюдения за смертностью. ПРИМЕР 9 [000209] Эксперименты с серийными пассажами проводили со штаммом ATCC 700699 MRSA и штаммом ATCC 25923 MSSA для генерации и оценки резистентности к даптомицину и лизину PlySs2. Эти исследования проводили для оценки и определения того, коррелирует ли резистентность к даптомицину с резистентностью или чувствительностью к лизину, включающую конкретно резистентность или чувствительность к лизину PlySs2. Сначала, генерировали даптомицин-резистентные клоны (с увеличением значений МПК), поэтапно, в течение 21 дня роста in vitro. Затем, серию даптомицин-резистентных клонов оценивали по отношению к значениям МПК для лизина, посредством оценки МПК лизина PlySs2. Результаты показаны на ФИГУРЕ 28. У даптомицин-резистентных клонов, МПК даптомицина возрастает от 1 до 18 мкг/мл. МПК лизина PlySs2 снижается от 8 до 2-4 мкг/мл. Данные исследования показывают, что устойчивость к даптомицину коррелирует с чувствительностью к лизину PlySs2. Эти исследования были первыми исследованиями оценки устойчивости к даптомицину и чувствительности к лизину. Примечательно, что при этих условиях устойчивость к даптомицину придает увеличенный ответ на лизин, обеспечивая повышенное обоснование для комбинационного или серийного введения и терапии. ПРИМЕР 10 [000210] Исследования резистентности с серийными пассажами предпринимали для оценки способности PlySs2 подавлять резистентность антибиотика при неотложных состояниях при использовании в комбинации с различными антибиотиками для стандартной терапии, применяемыми для лечения инфекций Staphylococcus aureus. Методы, применяемые для проведения экспериментов с серийными пассажами в случаях средства для монотерапии и комбинации описаны у Palmer et al (Palmer et al (2011) Antimicrobial Agents and Chemotherapy 55:3345-56) и Berti et al (Berti et al (2012) Antimicrobial Agents and Chemotherapy 56:5046-53), соответственно. Увеличения значений МПК для антибиотика оценивали в трех повторностях для штамма MRSA (MW2) Staphylococcus aureus, выращенного либо в присутствии антибиотика по отдельности или в присутствии антибиотика плюс суб-МПК значения PlySs2. МПК для PlySs2 для штамма MW2 составляет 32 мкг/мл (без DTT). Таким образом, суб-МПК значения, равные 4 мкг/мл (соответствующие 1/8 МПК) или 8 мкг/мл (соответствующие 1/4 МПК) выбирали в качестве концентрации PlySs2 для этих экспериментов. Как даптомицин, так и ванкомицин тестировали в качестве иллюстративных антибиотиков в данном исследовании. [000211] В случае экспериментов с даптомицином, было обнаружено, что в ходе 30-дневного исследования, резистентность к даптомицину значительно увеличивалась для всех трех культур только с даптомицином (ФИГУРА 30). Для этих культур значения МПК даптомицина увеличивались от исходного значения, равного 1 мкг/мл, до трех конечных значений, равных 128, 128 и 64 мкг/мл – 64-128-кратное увеличение. Для культур, пассажи которых проводили в присутствии суб-МПК количеств PlySs2 (4 мкг/мл) плюс даптомицин, значения МПК даптомицина в конце 30-дневного эксперимента с серийным пассажем были значительно более низкими - 4, 4, и 4 мкг/мл (4-х кратное увеличение). Следовательно, суб-МПК концентрации PlySs2 подавляли способность штамма MRSA проявлять резистентность к даптомицину в 8-16 раз относительно условий с даптомицином по отдельности. Устойчивость к даптомицину увеличивалась только в 4 раза в присутствии PlySs2 лизина. [000212] В случае экспериментов с ванкомицином, было обнаружено, что в ходе 25-дневного исследования, резистентность к ванкомицину значительно увеличивалась для всех трех культур только с ванкомицином. В этих культурах значения МПК ванкомицина увеличивались от исходного значения, равного 1 мкг/мл, до трех конечных значений, равных 16, 16 и 16 мкг/мл (16-кратное увеличение). Для культур, пассажи которых проводили в присутствии суб-МПК количеств PlySs2 (8 мкг/мл) плюс ванкомицин, значения МПК ванкомицина в конце 25-дневного эксперимента с серийным пассажем были значительно более низкими - 4, 4, и 2 мкг/мл (2-4-кратное увеличение). Следовательно, суб-МПК концентрации PlySs2 подавляли способность штамма MRSA проявлять резистентность к ванкомицину в 4-8 раз относительно условий с ванкомицином по отдельности. Устойчивость к даптомицину увеличивалась только приблизительно в 4 раза в присутствии PlySs2 лизина. [000213] ССЫЛКИ 1. Klevens, R.M., et al. Invasive Methicillin-Resistant Staphylococcus aureus Infections in the United States. JAMA 298, 1763-1771 (2007). 2. Brink, A.J. Does resistance in severe infections caused by methicillin-resistant Staphylococcus aureus give you the 'creeps'? Current opinion in critical care 18, 451-459 (2012). 3. Ben-David, D., Novikov, I. & Mermel, L.A. Are there differences in hospital cost between patients with nosocomial methicillin-resistant Staphylococcus aureus bloodstream infection and those with methicillin-susceptible S. aureus bloodstream infection? Infection control and hospital epidemiology: the official journal of the Society of Hospital Epidemiologists of America 30, 453-460 (2009). 4. Fischetti, V.A. Bacteriophage lysins as effective antibacterials. Current opinion in microbiology 11, 393-400 (2008). 5. Fenton, M., Ross, P., McAuliffe, O., O'Mahony, J. & Coffey, A. Recombinant bacteriophage lysins as antibacterials. Bioengineered Bugs 1, 9-16 (2010). 6. Nelson, D., Loomis, L. & Fischetti, V.A. Prevention and elimination of upper respiratory colonization of mice by group A streptococci by using a bacteriophage lytic enzyme. Proceedings of the National Academy of Sciences of the United States of America 98, 4107-4112 (2001). 7. Witzenrath, M., et al. Systemic use of the endolysin Cpl-1 rescues mice with fatal pneumococcal pneumonia. Critical care medicine 37, 642-649 (2009). 8. McCullers, J.A., Karlstrom, A., Iverson, A.R., Loeffler, J.M. & Fischetti, V.A. Novel Strategy to Prevent Otitis Media Cauesed by Colonizing Streptococcus pneumoniae. PLOSpathogens 3, 0001-0003 (2007). 9. Pastagia, M., et al. A novel chimeric lysin shows superiority to mupirocin for skin decolonization of methicillin-resistant and - sensitive Staphylococcus aureus strains. Antimicrobial agents and chemotherapy 55, 738-744 (2011). 10. Loeffler, J.M., Djurkovic, S. & Fischetti, V.A. Phage Lytic Enzyme Cpl-1 as a Novel Antimicrobial for Pneumococcal Bacteremia. Infection and Immunity 71, 6199-6204 (2003). 11. Entenza, J.M., Loeffler, J.M., Grandgirard, D., Fischetti, V.A. & Moreillon, P. Therapeutic effects of bacteriophage Cpl-1 lysin against Streptococcus pneumoniae endocarditis in rats. Antimicrobial agents and chemotherapy 49, 4789-4792 (2005). 12. Grandgirard, D., Loeffler, J.M., Fischetti, V.A. & Leib, S.L. Phage lytic enzyme Cpl-1 for antibacterial therapy in experimental pneumococcal meningitis. The Journal of infectious diseases 197, 1519-1522 (2008). 13. Blaser, M. Stop killing beneficial bacteria. Nature 476, 393-394 (2011). 14. Willing, B.P., Russell, S.L. & Finlay, B.B. Shifting the balance: antibiotic effects onhost-microbiota mutualism. Nature reviews. Microbiology 9, 233-243 (2011). 15. Gilmer, D.B., Schmitz, J.E., Euler, C. & Fischetti, V.A. Novel Bacteriophage Lysin with Broad Lytic Activity Protects against Mixed Infection by Methicillin-Resistant Staphylococcus aureus and Streptococcus pyogenes TBD (2012). 16. Schuch, R., Fischetti, V.A. & Nelson, D.C. A Genetic Screen to Identify Bacteriophage Lysins. in Bacteriophages: Methods and Protocols, Volume 2: Molecular and Applied Aspects, Vol. 502 307-319(2009). 17. Bateman, A. & Rawlings, N.D. The CHAP domain: a large family of amidases including GSP amidase and peptidoglycan hydrolases. Trends Biochem Sci 28, 234-237 (2003). 18. Whisstock, J.C. & Lesk, A.M. SH3 domains in prokaryotes. Trends in Biochemical Sciences 24, 132-133 (1999). 19. Rossi, P., et al. Structural elucidation of the Cys-His-Glu-Asn proteolytic relay in the secreted CHAP domain enzyme from the human pathogen Staphylococcus saprophyticus. Proteins 74, 515-519 (2009). 20. Mueller, M., de la Pena, A. & Derendorf, H. Issues in Pharmacokinetics and Pharmacodynamics of Anti-Infective Agents: Kill Curves versus MIC. Antimicrobial agents and chemotherapy 48, 369-377 (2004). 21. Methods for dilution antimicrobial susceptibility tests for bacteria that grow aerobically. Vol. 32 (Wayne (PA): Clinical and Laboratory Standards Institute (US), 2012). 22. Friedman, L., Alder, J.D. & Silverman, J.A. Genetic changes that correlate with reduced susceptibility to daptomycin in Staphylococcus aureus. Antimicrobial agents and chemotherapy 50, 2137-2145 (2006). 23. Donlan, R.M. & Costerton, J.W. Biofilms: Survival Mechanisms of Clinically Relevant Microorganisms. Clinical Microbiology Reviews 15, 167-193 (2002). 24. Cottarel, G. & Wierzbowski, J. Combination drugs, an emerging option for antibacterial therapy. Trends in biotechnology 25, 547-555 (2007). 25. Tallarida, R.J. Revisiting the isobole and related quantitative methods for assessing drug synergism. The Journal of pharmacology and experimental therapeutics 342, 2-8 (2012). 26. LaPlante, K.L., Leonard, S.N., Andes, D.R, Craig, W.A. & Rybak, M.J. Activities of clindamycin, daptomycin, doxycycline, linezolid, trimethoprim-sulfamethoxazole, and vancomycin against community-associated methicillin-resistant Staphylococcus aureus with inducible clindamycin resistance in murine thigh infection and in vitro pharmacodynamic models. Antimicrobial agents and chemotherapy 52, 2156-2162 (2008). 27. Crandon, J.L., Kuti, J.L. &Nicolau, D.P. Comparative efficacies of human simulated exposures of telavancin and vancomycin against methicillin-resistant Staphylococcus aureus with a range of vancomycin MICs in a murine pneumonia model. Antimicrobial agents and chemotherapy 54, 5115-5119 (2010). 28. Abad, C.L., Kumar, A. & Safdar, N. Antimicrobial therapy of sepsis and septic shock--when are two drugs better than one? Critical care clinics 27, el-27 (2011). 29. Fischbach, M.A. Combination therapies for combating antimicrobial resistance. Current opinion in microbiology 14, 519-523 (2011). 30. Loeffler, J.M., Nelson, D. & Fischetti, V.A. Rapid killing of Streptococcus pneumoniae with a bacteriophage cell wall hydrolase. Science 294, 2170-2172 (2001). 31. Costerton, J.W. Bacterial Biofilms: A Common Cause of Persistent Infections. Science 284, 1318-1322 (1999). 32. Kiedrowski, M.R. & Horswill, A.R. New approaches for treating staphylococcal biofilm infections. Annals of the New York Academy of Sciences 1241, 104-121 (2011). 33. Domenech, M., Garcia, E. & Moscoso, M. In vitro destruction of Streptococcus pneumonia biofilms with bacterial and phage peptidoglycan hydrolases. Antimicrobial agents and chemotherapy 55,4144-4148 (2011). 34. Meng, X., et al. Application of a bacteriophage lysin to disrupt biofilms formed by the animal pathogen Streptococcus suis. Applied and environmental microbiology 11, 8272-8279 (2011). 35. Schuch, R., Nelson, D. & Fischetti, V. A bacteriolytic agent that detects and kills Bacillus anthracis. Nature 418, 884-889 (2002). 36. Fischetti, V.A., Nelson, D. & Schuch, R. Reinventing phage therapy: are the parts greater than the sum? Nature Biotechnology 24, 1508-1511 (2006). 37. Manoharadas, S., Witte, A. & Blasi, U. Antimicrobial activity of a chimeric enzybiotic towards Staphylococcus aureus. Journal of biotechnology 139, 118-123 (2009). 38. Rashel, M., et al. Efficient elimination of multidrug-resistant Staphylococcus aureus by cloned lysin derived from bacteriophage phi MR11. The Journal of infectious diseases 196, 1237-1247 (2007). 39. Daniel, A., et al. Synergism between a novel chimeric lysin and oxacillin protects against infection by methicillin-resistant Staphylococcus aureus. Antimicrobial agents and chemotherapy 54, 1603-1612 (2010). 40. Kokai-Kun, J.F., Chanturiya, T. & Mond, J.J. Lysostaphin as a treatment for systemic Staphylococcus aureus infection in a mouse model. The Journal of antimicrobial chemotherapy 60, 1051-1059 (2007). 41. Dhand, A., et al. Use of antistaphylococcal beta-lactams to increase daptomycin activity in eradicating persistent bacteremia due to methicillin-resistant Staphylococcus aureus: role of enhanced daptomycin binding. Clinical infectious diseases : an official publication of the Infectious Diseases Society of America 53, 158-163 (2011). 42. Matias, V.R. & Beveridge, T.J. Cryo-electron microscopy of cell division in Staphylococcus aureus reveals a mid-zone between nascent cross walls. Molecular microbiology 64, 195-206 (2007). 43. Kashyap, D.R, et al. Peptidoglycan recognition proteins kill bacteria by activating protein-sensing two-component systems. Nature medicine 17, 676-683 (2011). 44. Moise, P.A., North, D., Steenbergen, J.N. & Sakoulas, G. Susceptibility relationship between vancomycin and daptomycin in Staphylococcus aureus: facts and assumptions. Lancet Infect Dis 9, 617-624 (2009). 45. Jobson, S., Moise, P.A. & Eskandarian, R. Retrospective observational study comparing vancomycin versus daptomycin as initial therapy for Staphylococcus aureus infections. Clinical therapeutics 33, 1391-1399 (2011). 46. Schweizer, M.L., et al. Comparative effectiveness of nafcillin or cefazolin versus vancomycin in methicillin-susceptible Staphylococcus aureus bacteremia. BMC infectious diseases 11, 279 (2011). 47. Berti, A.D., et al. Altering the proclivity towards daptomycin resistance in methicillin-resistant Staphylococcus aureus using combinations with other antibiotics. Antimicrobial agents and chemotherapy 56, 5046-5053 (2012). 48. Sopirala, M.M., et al. Synergy testing by Etest, microdilution checkerboard, and time-kill methods for pan-drug-resistant Acinetobacter baumannii. Antimicrobial agents and chemotherapy 54, 4678-4683 (2010). 49. Methods for dilution antimicrobial susceptibility tests for bacteria that grow aerobically. Vol. 32 (Clinical and Laboratory Standards Institute (US), Wayne (PA), 2012). 50. Clinical Microbiology Procedures Handbook 3rd Ed. Washington DC, (ASM Press, 2010). 51. Pereira, P.M., Filipe, S.R., Tomasz, A. & Pinho, M.G. Fluorescence ratio imaging microscopy shows decreased access of vancomycin to cell wall synthetic sites in vancomycin-resistant Staphylococcus aureus. Antimicrobial agents and chemotherapy 51, 3627-3633 (2007). 52. Zhang, Y. I-TASSER server for protein 3D structure prediction. BMC bioinformatics 9, 40 (2008). 53. Pettersen, E.F., et al. UCSF Chimera-a visualization system for exploratory research and analysis. Journal of computational chemistry 25, 1605-1612 (2004). [000214] Данное изобретение может воплощаться в других формах или осуществляться другими путями без отступления от его сущности или незаменимых характеристик. Раскрытие настоящего изобретения, следовательно, должно рассматриваться во всех аспектах как иллюстративное, а не ограничивающее, причем объем притязаний данного изобретения обозначен посредством прилагаемой Формулы изобретения, и все изменения, которые появляются в пределах значения и интервала эквивалентности, подразумеваются включенными в ее объем. [000215] Различные ссылки цитируются по всему тексту данного описания, каждая из которых полностью включена в настоящее описание посредством ссылки.ТАБЛИЦА СООТВЕТСТВИЯ СИМВОЛ АМИНОКИСЛОТА 1-Буквенный 3-Буквенный Y Tyr тирозин G Gly глицин F Phe фенилаланин M Met метионин А Ala аланин S Ser серин I Ile изолейцин L Leu лейцин T Thr треонин V Val валин P Pro пролин K Lys лизин H His гистидин Q Gln глутамин E Glu глутаминовая кислота W Trp триптофан R Arg аргинин D Asp аспарагиновая кислота N Asn аспарагин C Cys цистеин Глицин 75 Аланин 89 Серин 105 Пролин 115 Валин 117 Треонин 119 Цистеин 121 Лейцин 131 Изолейцин 131 Аспарагин 132 Аспарагиновая кислота 133 Глутамин 146 Лизин 146 Глутаминовая кислота 147 Метионин 149 Гистидин (при pH 6,0) 155 Фенилаланин 165 Аргинин 174 Тирозин 181 Триптофан 204 













