Изобретение относится к области косметологии и представляет собой косметический продукт со свойствами репарации ДНК клеток кожи, содержащий активный ингредиент, состоящий из набора липосом, в которых содержатся репаративные ферменты, такие как арабидопсис, экстракт планктона, лизат фермента бифидобактерий, лизат микрококков, второй активный ингредиент, состоящий из набора липосом, инкорпорирующих такие аминокислоты, как аргинин, глицин, пролин, фенилаланин, цистеин, серии, тирозин, глютамин, или метионин, и третий активный ингредиент - соль цинка, также инкапсулированная в липосомы. Изобретение обеспечивает эффективную репарацию ДНК клеток кожи. 4 з.п. ф-лы, 5 ил., 1 табл.
1. Косметический продукт со свойствами репарации ДНК клеток кожи, содержащий: - активный ингредиент, состоящий из набора липосом, в которых содержатся репаративные ферменты, такие как арабидопсис, экстракт планктона, лизат фермента бифидобактерий, лизат микрококков; - второй активный ингредиент, состоящий из набора липосом, инкорпорирующих такие аминокислоты, как аргинин, глицин, пролин, фенилаланин, цистеин, серии, тирозин, глютамин, или метионин; - третий активный ингредиент - соль цинка, также инкапсулированная в липосомы. 2. Косметический продукт, обладающий свойствами репарации ДНК клеток кожи, согласно п. 1 характеризуется тем, что в липосомы инкапсулируют отдельно аминокислоты, репаративные ферменты и соль цинка. 3. Косметический продукт, обладающий свойствами репарации ДНК клеток кожи, согласно п. 1 характеризуется тем, что в состав набора липосом входит фосфатидилхолин с чистотой более 94%. 4. Косметический продукт, обладающий свойствами репарации ДНК клеток кожи, согласно п. 1 характеризуется процентным содержанием липосом с инкорпорированными аминокислотами, составляющими от 5 до 10%. 5. Косметический продукт, обладающий свойствами репарации ДНК клеток кожи, согласно п. 1 характеризуется процентным содержанием соли цинка, составляющим от 10 до 15%.
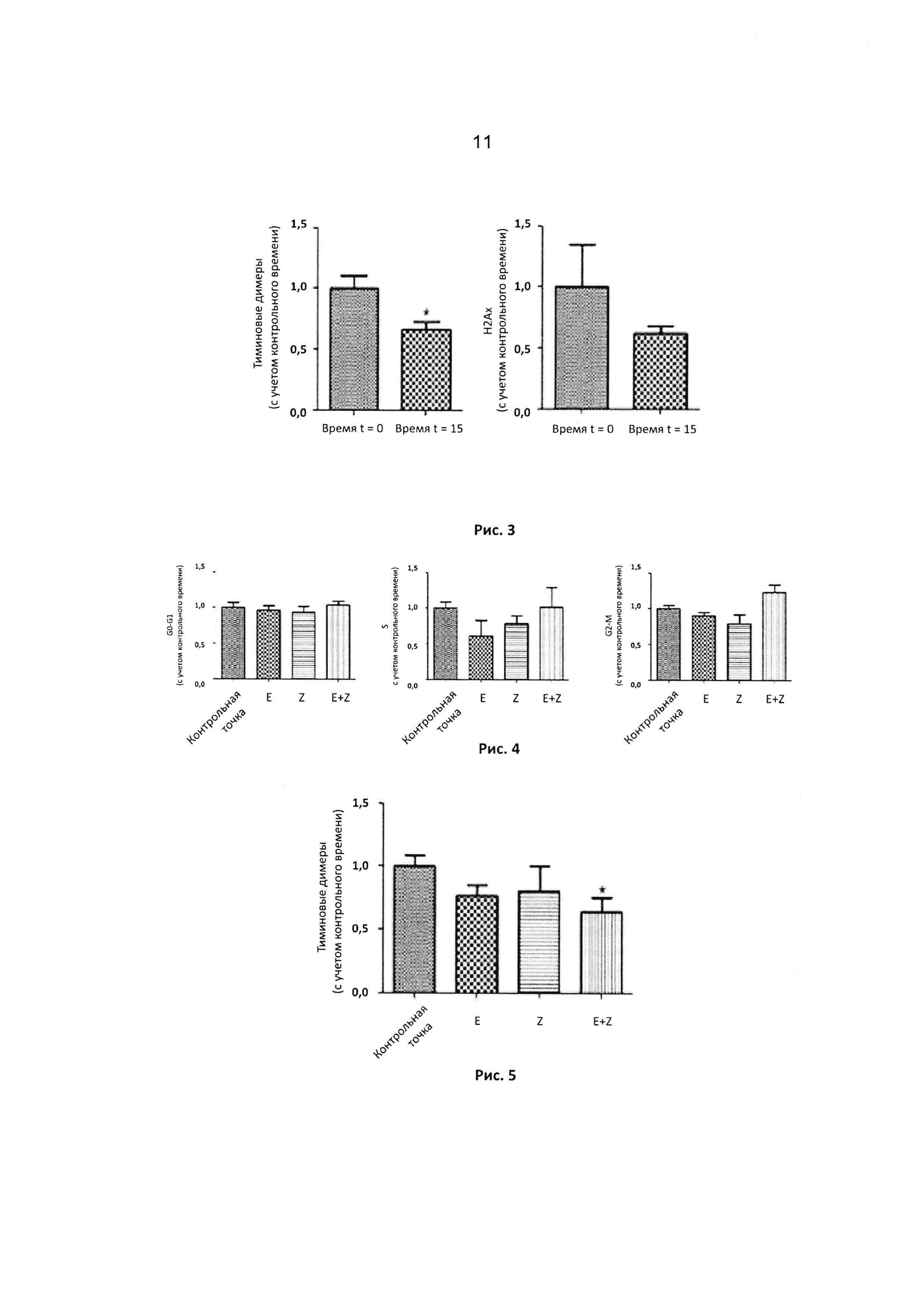
ОБЪЕКТ ИЗОБРЕТЕНИЯ Предлагаемое изобретение представляет собой инновационный косметический продукт со свойствами репарации ДНК клеток кожи, которые были повреждены в результате воздействия на кожу УФ-излучения; продукт может применяться в сфере красоты, косметологии, а также в дерматологических центрах. ПРЕДПОСЫЛКИ СОЗДАНИЯ ИЗОБРЕТЕНИЯ На сегодняшний день существуют различные признанные препараты, репарирующие ДНК клеток кожи, с содержанием разных типов активных ингредиентов, однако еще не было признанных препаратов, включающих в себя фосфолипидные однослойные липосомы с такими активными компонентами, как: аминокислоты, соли цинка и ферменты, репарирующие ДНК клеток кожи. На сегодняшний день наиболее близким документом является патент ЕР 0707844, описывающий продукт для репарации клеточных ДНК после воздействия УФ-излучения, содержащий в качестве активных ингредиентов витамины и полипептидные комплексы, тирозин или его производные, гликопротеины с ионами меди, цинка или магний, а также ферменты, репарирующие ДНК клеток кожи. В описываемом в упомянутом патенте продукте, в дополнение к инкорпорированию фотолиазы, используются производные тирозина, витамины в комплексе с белком и форксолином, что отличает его от продукта, описываемого в настоящей спецификации. Кроме того, различные активные ингредиенты инкапсулируются в одну и ту же липосому, что отличает препарат от описываемого здесь изобретения, в котором каждый активный ингредиент инкапсулируется в липосомы отдельно, что обеспечивает большую стабильность каждой липосомы и, как результат, конечного продукта. Не существует известных продуктов, репарирующих клеточные ДНК после воздействия УФ-излучения, с характеристиками, совпадающими с настоящим изобретением. Фосфатидилхолин, входящий в состав липосом, - это лецитин с чистотой >94%, в то время как чистота лецитина для упомянутого выше патента составляет >25%. ОПИСАНИЕ ИЗОБРЕТЕНИЯ Предлагаемый в рамках данного изобретения продукт представляет собой липосомное косметическое средство, в липосомы которого в качестве активных ингредиентов инкорпорирована смесь аминокислот: аргинин, глицин, пролин, фенилаланин, цистеин, серии, тирозин, глутамин, метионин, а также соли цинка (хлорид, глюконат, хлоргидрат, и т.п.), в дополнение к другим репаративным ферментам, таким как арабидопсис (Arabidopsis thaliana), экстракт планктона, лизат фермента бифидобактерий, лизат микрококков. Наличие метаболических путей объясняет инкорпорирование в изобретение перечисленных ниже аминокислот, несмотря на то, что они не включены в формулу: Серин: является предшественником цистеина и глицина. Тирозин: его предшественником является фенилаланин. Он является продуктом гидроксилирования фенилаланина. Метионин: промежуточный продукт синтеза цистеина. Цистеин получает атом серы из метионина. Глутамин: синтезируется в результате химической реакции между ионами глутамина и аммония; глутамин может превращаться в глутамат, и пролин формируется из пента-карбонатной цепи глутаминовой кислоты. В результате воздействия на кожу солнечного УФ-излучения повреждаются ДНК клеток кожи. Помимо других способов, для оценки данных повреждений могут использоваться димеры тимина и цитозина, производящиеся в цепи клеточной ДНК. ПРЕДПОЧТИТЕЛЬНЫЙ ВАРИАНТ ВОПЛОЩЕНИЯ ИЗОБРЕТЕНИЯ В качестве предпочтительного варианта воплощения предлагается липосомный косметический продукт в разных косметических формах, таких как раствор, сыворотка, эмульсия, суспензия и т.д., в котором в одном из вариантов различные компоненты могут находиться в приведенных ниже пропорциях активных ингредиентов и липосом (см. таблицу). ОПИСАНИЕ ИЗОБРАЖЕНИЙ В качестве дополнения к изображениям и для лучшего понимания характеристик изобретения к данной спецификации в качестве неотъемлемой составной части прилагается ряд изображений. Часть включенных в данную спецификацию изображений соотносится с испытаниями данных типов продуктов на зародышах рыбы вида оризия, продемонстрировавших нам наличие способности продукта к репарации ДНК клеток кожи. В то же время мы увидим, как механизм действия, заключающийся в упомянутой репарации ДНК клеток кожи, соотносится с активацией экспрессии белков Р53 и Р21 (будет измеряться с помощью количественной ПЦР (кПЦР)). На данных рисунках в графической форме отображается следующая информация: На Рис. 1 приведена диаграмма воздействия УФ-излучения на цепи ДНК, а также изображение образования тиминовых димеров между двумя ветвями одной спирали ДНК. На Рис. 2 представлена диаграмма повреждений ДНК в контрольный момент времени 0 и через 15 минут. Исследование выполняется с использованием НЕОБРАБОТАННЫХ образцов, у которых повреждения ДНК (время = 0) усиливаются, но клетки используют собственные эндогенные механизмы для репарации данных повреждений, и в момент времени 15' уровень ТД сходен с контрольным. На Рис. 3 показано изменение экспрессии гистона Н2Ах и уровень тиминовых димеров с учетом контрольного времени 0 и через 15 минут. Однако мы знаем, что фосфорилированный Н2Ах действует как ловушка для ферментных соединений для репарации ДНК. Результаты во временных точках t = 0 и t 15' не являются статистически значимыми. На Рис 4 отображаются изменения клеток в фазах клеточного цикла G0-G1, G2-M и S во временной точке 0 и через 15 минут. Обработка НЕ вызывает статистически значимых изменений распределения клеток в фазах клеточного цикла, которые могут повлиять на результат. На Рис. 5 показан уровень ТД в контрольном случае (включает в себя использование базового крема без активных ингредиентов), случае Е: включает в себя базовый крем с репаративными ферментами, Z: базовый крем с аминокислотами и солью Zn, и E+Z: базовый крем с репаративными ферментами + аминокислоты + соль Zn. Сочетание E+Z снижает уровень ТД на 36% по сравнению с контрольным. КЛИНИЧЕСКИЕ ИСПЫТАНИЯ С целью определения эффективности предлагаемого в качестве изобретения продукта проводятся клинические исследования, в ходе которых используется 3 косметических состава Е, Z и E+Z. Проводится исследование in vitro на 4-х дневных зародышах рыб на элеутеро-эмбриональной стадии. Из трех используемых в исследовании продуктов: продукт Е содержит набор липосом с репаративными ферментами (арабидопсис (Arabidopsis thaliana), экстракт планктона, лизат фермента бифидобактерий, лизат микрококков), продукт Z содержит набор липосом с аминокислотами (аргинин, глицин, пролин, фенилаланин, цистеин) и хлорид цинка, а продукт E+Z содержит набор липосом с ферментами, указанными для продукта Е, плюс AK и Zn продукта Z. В первую очередь анализировалась возможная токсичность для образцов и время лечение, которое необходимо использовать в рамках исследования. Подготавливаются контрольные образцы без облучения, с облучением и без лечения, с облучением и лечением после облучения. Продукты наносятся на зародыши до или после облучения с целью определить возможную репарацию ДНК после вызванных повреждений. С этой целью проводится анализ на наличие тиминовых димеров, поскольку УФ-излучение вызывает формирование пиримидиновых димеров в ДНК, которые можно зафиксировать при помощи антител, специфичных к данным димерам (тимин и цитозин). Используя специфичные антитела, мы оценим увеличение
