Изобретение относится к устройствам отвода низкопотенциального тепла от систем космических аппаратов. Капельный холодильник-излучатель содержит теплоноситель с системой его хранения и подачи, генератор капель, перекачивающие насосы, трубопроводы, нагреватели элементов и коллектор капель, выполненный в виде каплеприемника. К горловине каплеприемника герметично присоединена по меньшей мере одна смачиваемая теплоносителем капиллярная эластичная трубка, второй конец которой соединен с перекачивающим насосом и снабжен вытеснительным механизмом. Коллектор капель снабжен жестким треком с прижатой к нему капиллярной эластичной трубкой. Техническим результатом изобретения является повышение надежности устройства отвода тепла. 2 з.п. ф-лы, 1 ил.
1. Капельный холодильник-излучатель, содержащий теплоноситель с системой его хранения и подачи, генератор капель, перекачивающие насосы, трубопроводы, нагреватели элементов и коллектор капель, отличающийся тем, что коллектор капель выполнен в виде каплеприемника, к горловине которого герметично присоединена, по меньшей мере, одна смачиваемая теплоносителем капиллярная эластичная трубка, второй конец которой соединен с перекачивающим насосом, и содержит вытеснительный механизм, взаимодействующий с капиллярной эластичной трубкой и обеспечивающий выдавливание из нее теплоносителя. 2. Капельный холодильник-излучатель по п. 1, отличающийся тем, что вытеснительный механизм выполнен в виде, по меньшей мере, двух нажимных элементов, выполненных с возможностью вращения относительно общей оси и взаимодействующих с капиллярной эластичной трубкой, находящейся в состоянии натяжения. 3. Капельный холодильник-излучатель по п. 1, отличающийся тем, что коллектор капель снабжен жестким треком, к которому посредством вытеснительного механизма прижата капиллярная эластичная трубка.
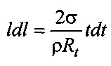
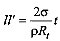
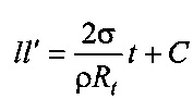
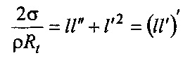
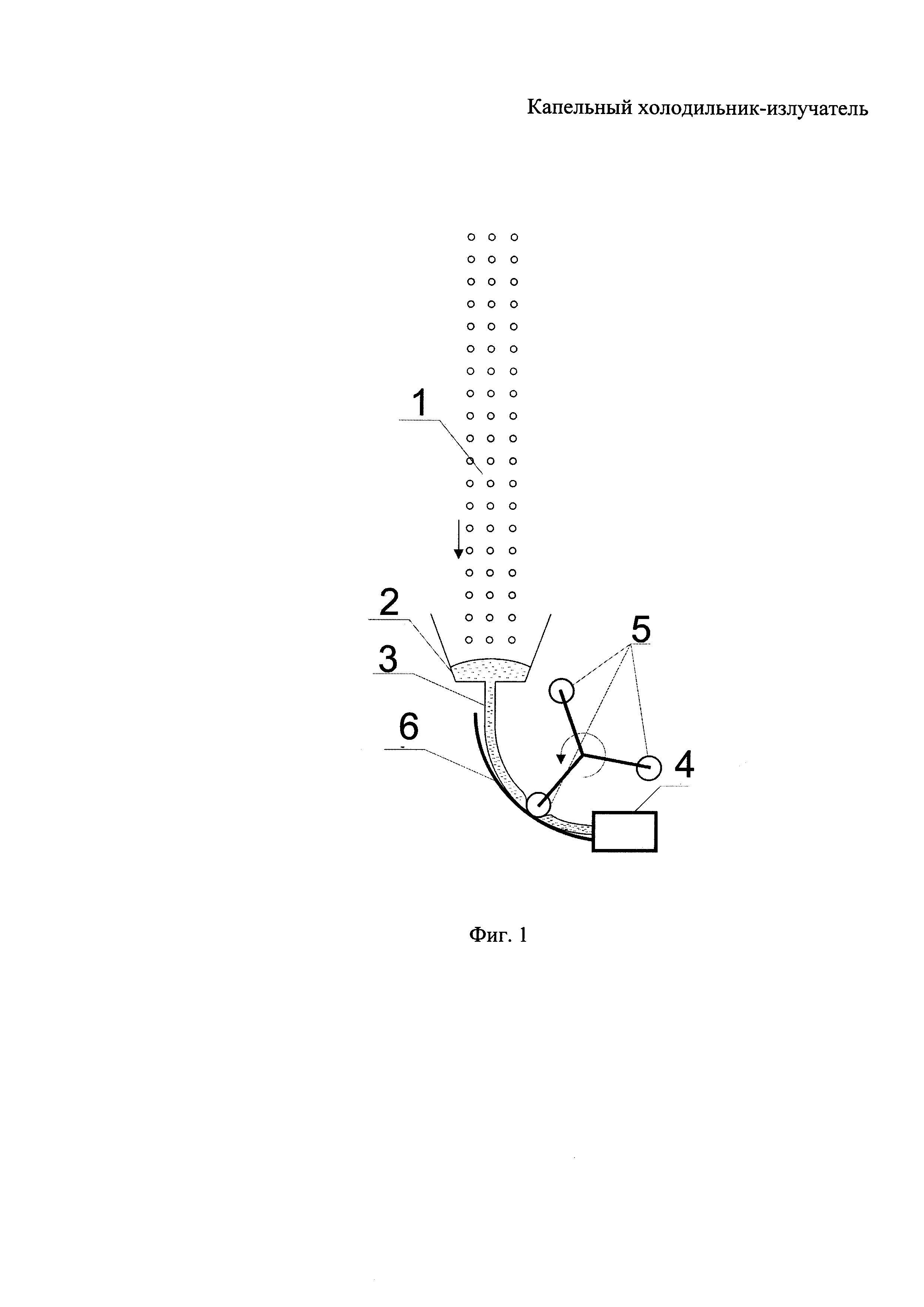
Изобретение относится к области космической техники, а конкретнее к устройствам отвода низкопотенциального тепла от систем космических аппаратов. Одним из перспективных способов отвода тепла от космических аппаратов (КА) является капельный холодильник-излучатель (КХИ), состоящий из системы хранения и подачи теплоносителя, генератора капель, коллектора капель, перекачивающего насоса, трубопроводов. Общая схема работы КХИ изложена в статье [1]. КХИ содержит зону нагрева теплоносителя капельного холодильника-излучателя в энергетической системе космического аппарата, зону преобразования жидкого теплоносителя в поток капель, летящих в свободном космическом пространстве, коллектор капель для их сбора из космического пространства и подачу в энергетическую систему. Известно несколько способов для сбора капель КХИ. Эти способы изложены, например, в статье [2] и патентах [3, 4]. В статье [2] для сбора капель предлагается использовать большой вращающийся барабан, куда попадают капли капельного потока. За счет вращения барабана появляется центробежная сила достаточная для обеспечения подачи масла в перекачивающий насос. Такой насос достаточно неудобен, так как требует больших подвижных агрегатов. В патентах [3, 4] описан коллектор капель, содержащий щелевые каналы; щелевые каналы, выпускают вспомогательный поток жидкости. Вспомогательный поток жидкости представляет собой плоский поток жидкости текущий вдоль твердой поверхности. Основной поток попадает на вспомогательный, вспомогательный увлекает основной поток за собой. Вспомогательный поток и увлекаемый основной поток попадают во входную часть перекачивающего насоса и создают избыточное давление на входе в перекачивающий насос. Следует сказать, что при реализации такого насоса возникнет множество трудностей, описанных в патенте [3]. Для борьбы с возникающими трудностями в патенте [3] описан целый ряд элементов. В итоге конструкция получается сложной, из-за большого количества функциональных элементов высока вероятность отказа устройства при его эксплуатации. Наиболее близким к заявляемому изобретению является капельный холодильник-излучатель, описанный в патенте [4], содержащий теплоноситель с системой его хранения и подачи, генератор капель, перекачивающие насосы, трубопроводы, нагреватели элементов и коллектор капель, который выполнен пассивным, причем его внутренняя поверхность образована стенками одного или нескольких щелевых каналов, по которым подается теплоноситель. Известное устройство, выбранное в качестве прототипа, также характеризуется выше упомянутыми недостатками, присущими устройству по патенту [3]. Задачей заявляемого изобретения является создание капельного холодильника-излучателя, лишенного вышеупомянутых недостатков и оснащенного подающим на вход перекачивающего насоса теплоноситель коллектором капель, конструктивное исполнение которого характеризуется простой и надежностью и исключает разбрызгивание собираемого теплоносителя. Технический результат достигается тем, что в капельном холодильнике-излучателе, содержащем теплоноситель с системой его хранения и подачи, генератор капель, перекачивающие насосы, трубопроводы, нагреватели элементов и коллектор капель, коллектор капель выполнен в виде каплеприемника, к горловине которого герметично присоединена, по меньшей мере, одна смачиваемая теплоносителем капиллярная эластичная трубка, второй конец которой соединен с перекачивающим насосом, и снабжен вытеснительным механизмом, взаимодействующим с капиллярной эластичной трубкой и обеспечивающим выдавливание из нее теплоносителя. Кроме того, вытеснительный механизм выполнен в виде, по меньшей мере, двух нажимных элементов, выполненных с возможностью вращения относительно общей оси и взаимодействующих с капиллярной эластичной трубкой, находящейся в состоянии натяжения. Кроме того, коллектор капель снабжен жестким треком, к которому посредством вытеснительного механизма прижата капиллярная эластичная трубка. Сущность изобретения поясняется фиг. 1, на которой схематически представлен узел коллектора капель КХИ, общий вид. Капельный холодильник-излучатель содержит теплоноситель с системой его хранения и подачи, генератор капель, перекачивающие насосы, трубопроводы, нагреватели элементов и коллектор капель. Коллектор капель 1, поступающих на его вход, выполнен в виде каплеприемника 2, к горловине которого герметично присоединена, по меньшей мере, одна смачиваемая теплоносителем капиллярная эластичная трубка 3, второй конец которой соединен с перекачивающим насосом 4, и снабжен вытеснительным механизмом, взаимодействующим с капиллярной эластичной трубкой 3 и обеспечивающим выдавливание из нее теплоносителя. В частных случаях реализации предлагаемого устройства вытеснительный механизм выполнен в виде, по меньшей мере, двух нажимных элементов 5, например роликов или башмаков, установленных с возможностью их вращения относительно общей оси и взаимодействующих с капиллярной эластичной трубкой 3, находящейся в состоянии натяжения. Коллектор капель может быть снабжен жестким треком 6, к которому посредством вытеснительного механизма прижата капиллярная эластичная трубка 3. Поток капель 1 теплоносителя поступает в емкость каплеприемника 2, из которого накапливаемая жидкость теплоносителя за счет капиллярного эффекта затекает в эластичную трубку 3. Капиллярная эластичная трубка 3 (в частных случаях реализации изобретения может быть использовано несколько упомянутых трубок) расположена непосредственно возле жесткого трека 6. Вытеснительный элемент, выполненный, например в виде нажимных элементов 5, выдавливает жидкость теплоносителя из трубки 3 в перекачивающий насос 4. В данном случае реализации заявляемого устройства принцип работы коллектора капель, снабженного вытеснительным механизмом, похож на принцип работы перистальтического насоса. В других случаях реализации вытеснительный механизм может быть выполнен в виде размещенного внутри трубки 3 вращающегося элемента, например винта, ускоряющего движение жидкости вдоль трубки и выдавливание ее в перекачивающий насос (принцип работы похож на винтовой насос). Для оценки применимости заявляемого способа оценим достижимый расход через капиллярную эластичную трубку 3 за счет капиллярных сил при использовании в качестве теплоносителя вакуумного масла ФМ-1. Сила поверхностного натяжения, создаваемая в трубке: Fk=2πRtσ, где σ - коэффициент поверхностного натяжения на границе раздела масло-стенка, Rt - радиус трубки, Fk - сила поверхностного натяжения. Для оценки скорости заполнения трубки можно написать простое уравнение в предположении, что жидкость имеет скорость только внутри трубки, а снаружи от трубки имеет скорость близкую к нулю. Тогда сила поверхностного натяжения разгоняет жидкость, которая уже затекла в трубку и втягивает новую жидкость в трубку, получаем: пусть l - длина трубки, заполненной жидкостью теплоносителя. Тогда: Граничные условия в данном случае l(0)=dl/dt(0)=0 Таким образом, получаем, что скорость движения жидкости в капилляре постоянна и равна: Коэффициент поверхностного натяжения ФМ1 σ=0.0365 Н/м. Плотность масла 1000 кг/м3. Оценим диаметр трубки, необходимый для достижения скорости течения масла в 10 см/с, такой скорости должно быть достаточно, так как в капельном холодильнике-излучателе предполагаемая скорость движения капель должна быть около 1 м/с. Соответственно диаметр требуемой трубки будет равен 14 мм. Что вполне достижимо и реализуемо. Источники информации 1. Конюхов Г.В., Коротеев А.А. Капельные холодильники-излучатели космических энергетических установок нового поколения // Труды МАИ. - 2006. - №. 25. - С. 3-272. 2. Mattick А.Т., Hertzberg A. Liquid droplet radiators for heat rejection in space // Journal of Energy. - 1981. - T. 5. - №. 6. - C. 387-393. 3. RU 2401778 «Капельный холодильник-излучатель», опубл. 2010. 4. RU 2247064 «Капельный холодильник-излучатель», опубл. 2005.
,
,
,
,
.
,
,

.
.