Использование: для рентгенофлуоресцентного определения примесей. Сущность изобретения заключается в том, что рентгенофлуоресцентное определение содержаний примесей конструкционных материалов включает измерение интенсивностей аналитических линий контролируемых примесей в группе образцов этого материала, дополнительно измеряют интенсивности аналитических линий примесей в стандартных образцах референтного материала, содержащего те же примеси, по результатам этих измерений строят градуировочные графики зависимости интенсивности аналитических линий элементов от содержания, при этом дополнительно проводят измерение обзорного спектра исследуемого конструкционного материала и определяют основной элемент исследуемого конструкционного материала наполнителя, дополнительно измеряют интенсивности аналитических линий элементов контролируемых примесей в образцах, состоящих из этого элемента, абсорбционные факторы и наклоны градуировочных графиков рассчитывают для образцов, состоящих из среднего значения содержания элемента в референтных градуировочных образцах и наполнителя исследуемого конструкционного материала, после чего получают истинные содержания примесей в исследуемом конструкционном материале умножением условных содержаний на отношение наклонов градуировочных графиков в референтном и исследуемом материалах по соответствующим математическим формулам. Технический результат: обеспечение возможности высокоточного рентгенофлуоресцентного определения примесей в разнообразных материалах. 1 ил., 1 табл.
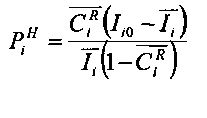
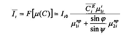
Способ рентгенофлуоресцентного определения содержаний примесей конструкционных материалов, включающий измерение интенсивностей аналитических линий контролируемых примесей в группе образцов этого материала, дополнительно измеряют интенсивности аналитических линий примесей в стандартных образцах референтного материала, содержащего те же примеси, по результатам этих измерений строят градуировочные графики зависимости интенсивности аналитических линий элементов от содержания, по которым рассчитывают экспериментальные наклоны градуировочных графиков, рассчитывают условные содержания примесей в исследуемом конструкционном материале по построенным градуировочным графикам, определяют средние содержания примесей в контролируемом материале, рассчитают по фундаментальным уравнениям, выражающим зависимость интенсивности аналитических линий от состава, средние значения интенсивности аналитической линии примесей в исследуемом конструкционном материале, находят значения абсорбционных факторов для аналитических линий элементов примесей в исследуемом конструкционном материале и рассчитывают наклоны градуировочных графиков для аналитических линий элементов примесей в исследуемом конструкционном материале, после чего вычисляют отношения наклонов градуировочных графиков для аналитических линий элементов примесей и, помножив условные содержания на эти отношения, получают истинные содержания примесей в исследуемом конструкционном материале, отличающийся тем, что дополнительно проводят измерение обзорного спектра исследуемого конструкционного материала и определяют основной элемент исследуемого конструкционного материала наполнителя, дополнительно измеряют интенсивности аналитических линий элементов контролируемых примесей в образцах, состоящих из этого элемента, абсорбционные факторы и наклоны градуировочных графиков рассчитывают для образцов, состоящих из среднего значения содержания элемента в референтных градуировочных образцах и наполнителя исследуемого конструкционного материала, после чего получают истинные содержания примесей в исследуемом конструкционном материале умножением условных содержаний на отношение наклонов градуировочных графиков в референтном и исследуемом материалах по формулам
,
,
,
,
,
где
- наклон градуировочного графика для интенсивностей аналитических линий элемента i в стандартных образцах референтного материала;
ΔIi - изменение скорости счета аналитической линии элемента i;
ΔCi - изменение содержания элемента i;
- среднее значение интенсивности аналитической линии примеси в образце, состоящем из среднего значения содержаний примеси в референтном материале и элементе наполнителя конструкционного материала;
Ii0 - интенсивность аналитической линии элемента контролируемой примеси в образце, состоящем из этого элемента;
- среднее значение содержаний примеси в референтном материале;
- массовый коэффициент поглощения первичного излучения элементом i;
и
- массовые коэффициенты поглощения первичного и флуоресцентного излучения пробой, состоящей из среднего значения содержания примеси в референтном материале и элементе наполнителя конструкционного материала;
sinφ/sinψ - коэффициент, учитывающий геометрию спектрометра;
φ и ψ- углы падения первичного и отбора флуоресцентного излучения;
- абсорбционный фактор для аналитической линии элемента i в исследуемом конструкционном материале;
- наклон градуировочного графика для аналитической линии элемента i в исследуемом конструкционном материале;
- условное содержание элемента i контролируемой примеси;
- истинное содержание элемента i контролируемой примеси в исследуемом конструкционном материале.
Изобретение относится к области аналитической химии и технической физики, а также к различным областям науки, техники и технологии, где требуется информация о содержании примесей в материалах известного состава, в том числе при разработке технологии и производстве конструкционных материалов, сертификации конечных продуктов обогатительных комбинатов и т.д. Изобретение может быть использовано в аналитических производственных и исследовательских лабораториях, выполняющих анализ материалов на рентгеновских спектрометрах, в том числе и определение примесей при входном контроле конструкционных материалов. К конструкционным материалам относятся материалы, из которых изготовляются детали конструкций (машин и сооружений), воспринимающих силовую нагрузку. Определяющими параметрами конструкционных материалов являются механические свойства, что отличает их от других технических материалов (оптических, изоляционных, смазочных, лакокрасочных, декоративных, абразивных и др.). Основой конструкционных материалов являются металлические сплавы на основе железа, меди, алюминия, титана и других. Примесные элементы в этих материалах обычно присутствуют в содержаниях до 1%. Известен способ рентгенофлуоресцентного анализа, позволяющий определять элементы в гомогенных пробах без использования стандартных образцов (СО) состава того же материала, что и анализируемые пробы [1]. Сущность известного способа, получившего название способ фундаментальных параметров [СФП], заключается в измерении небольшого числа эталонных образцов, состоящих как из чистых элементов (Ci=100%), так и СО любых материалов с высоким содержанием этих элементов, и последующем расчете содержаний элементов в исследуемых материалах с применением фундаментальных зависимостей интенсивности характеристических линий рентгеновских спектров от состава образцов. Недостатком прототипа является низкая точность определения малых содержаний, особенно важная для примесей, а также необходимость в специальном программном обеспечении, которое далеко не всегда присутствует в обязательном программном обеспечении рентгеновских спектрометров. Другой известный способ, являющийся наиболее близким к заявленному изобретению и выбранный в качестве аналога [2], позволяет с высокой точностью определять содержания примесных элементов. Сущность его заключается в градуировке рентгеновского спектрометра с применением стандартных образцов состава (СО) с известными содержаниями определяемого элемента. Способ включает измерение интенсивностей аналитических линий элементов СО исследуемого материала, построение этим СО функциональных зависимостей содержаний контролируемых элементов от интенсивностей аналитических линий и определение содержаний примесей в исследуемых материалах с использованием полученных функциональных зависимостей. Применяемые для этой цели СО должны быть изготовлены из того же материала, что и анализируемые пробы. Это означает, что СО и анализируемые пробы должны быть близкими по составу. Недостатком этого способа при анализе широкого круга конструкционных материалов является необходимость наличия большой базы дорогостоящих СО различного состава и назначения. Известен способ рентгенофлуоресцентного анализа, позволяющий определять примесные элементы в гомогенных пробах конструкционных материалов без использования СО состава исследуемого конструкционного материала и являющийся прототипом предлагаемого способа [3]. Сущность его заключается в градуировке рентгеновского спектрометра с применением СО состава другого (референтного) материала с известными содержаниями определяемого элемента, построение этим СО функциональных зависимостей содержаний контролируемых элементов от интенсивностей аналитических линий и определение условных содержаний примесей в исследуемом конструкционном материале с использованием полученных функциональных зависимостей. Для получения истинных содержаний контролируемых примесей в исследуемом конструкционном материале необходимо полученные условные содержания примесей помножить на отношение наклонов функциональных (градуировочных) зависимостей в референтном и исследуемом материалах. Такой способ позволяет обойтись ограниченным количеством комплектов СО состава (в пределе одним) для определения содержаний примесей для широкого круга анализируемых конструкционных материалов. Недостатком этого способа является необходимость априорного знания элемента наполнителя исследуемого материала и истинных содержаний примесей в исследуемом материале для расчета наклона функциональной (градуировочной) зависимости в исследуемом материале, и способ демонстрирует только возможность проведения анализа без рекомендаций к практическому применению. Техническим результатом заявленного изобретения является возможность практической реализации способа, описанного в прототипе, за счет использования имеющихся комплектов СО, не принадлежащих к типу материала, для которого надо определить содержания примесей. Заявленное изобретение направлено на достижение технического результата и свободно от указанных недостатков. Указанная цель достигается тем, что по результатам измерения аналитических линий примесей в СО имеющегося другого (референтного) материала рассчитывают градуировочные характеристики контролируемых примесей в референтном материале и, используя полученные значения, рассчитывают условные содержания примесей в исследуемом конструкционном материале. Далее, используя фундаментальные зависимости интенсивности характеристических линий рентгеновских спектров от состава, рассчитывают отношения наклонов градуировочных характеристик для малых содержаний примесей в анализируемом и референтном материалах и, умножив условные содержания примесей на эти отношения, получают истинное содержание примесей в исследуемом материале. Основным фактором, влияющим на интенсивность рентгеновской флуоресценции элемента в среде, является отношение абсорбционных свойств наполнителя (остальная часть пробы без определяемого элемента) к абсорбционным свойствам определяемого элемента. Для простейшего случая (монохроматическое возбуждение при отсутствии дополнительного возбуждения) можно записать: где Jiи Ji0 - скорости счета аналитических линий контролируемого элемента i с концентрацией Ci в образце и в чистом элементе (C1=100%); Количественной характеристикой зависимости интенсивности аналитической линии элемента в материалах с разным наполнителем (остаток материала кроме элемента i) являются абсорбционные факторы где Тогда выражение для интенсивности флуоресценции можно записать в виде: Для расчета абсорбционных факторов используют преобразованную относительно Это позволяет учесть влияние на Расчетные зависимости, иллюстрирующие относительные интенсивности Ka линии меди от концентрации в железе и в алюминии, приведены на фиг. 1. Графики рассчитаны для спектрометра «СПЕКТРОСКАН MAKC-G» (рентгеновская трубка прострельного типа БХ-7 с серебряным анодом, напряжение на аноде 40 кВ, окно Be 0,2 мм, толщина анода 7 мкм, угол падения электронов на анод 90°, угол отбора первичного излучения φ=80°, угол отбора флуоресцентного излучения ψ=30°). Как следует из фиг. 1, при одном и том же содержании интенсивность меди в разных наполнителях может меняться в несколько раз, что особенно выражено для малых содержаний. Это не позволяет непосредственно применять градуировки, полученные для одного материала, при определении содержаний тех же элементов в другом материале. Наиболее важной особенностью аналитических характеристик при определении примесей является наклон градуировочного графика В результате расчета могут быть получены наклоны градуировочных графиков для меди в алюминии где Пример эффективности предложенного способа продемонстрирован экспериментальной проверкой, которая проводилась на портативном рентгеновском сканирующем спектрометре «СПЕКТРОСКАН МАКС-G» в режиме, используемом при проведении расчета и при силе анодного тока 0,100 мА и экспозиции 100 с. Градуировочная характеристика для меди была построена по комплекту ГСО углеродистых сталей РГ24-РГ31 производства ЗАО Институт стандартных образцов (г. Екатеринбург). По построенной градуировочной характеристике необходимо определить медь в ГСО А4431-А4435 алюминиевых сплавах марок АМц, АМцС, ММ производства ЗАО «МЦЕНСКПРОКАТ» (лаборатория стандартных образцов, г. Мценск). Экспериментальное значение наклона градуировочного графика для меди в углеродистых сталях, рассчитанное по формуле где ΔICu - изменение скорости счета аналитической линии меди при изменении содержания меди на величины ΔCCu, составило Среднее значение содержания меди в ГСО углеродистых сталей комплекта РГ24-РГ31 составляет 0.278%. Для этого значения было рассчитано значение абсорбционного фактора для меди в алюминии Измеренная интенсивность образца 100% меди I0 составила 1092900 имп./с. Расчет дифференциальной чувствительности для меди в алюминиевых сплавах по формуле (4) дал значение Отношение наклонов градуировочных графиков в референтном и в исследуемом материалах составило Из измеренных значений интенсивностей меди в алюминиевых сплавах был вычтен постоянный фон 178 имп./с. По градуировочной зависимости для меди в углеродистых сталях были рассчитаны условные содержания меди в алюминиевых сплавах Результатом определения является истинное содержание меди в алюминиевом сплаве В таблице 1 приведены результаты расчетов Как следует из таблицы 1, точность определение меди в алюминиевых сплавах по градуировочной зависимости референтного материала удовлетворяет требованиям ГОСТа, предъявляемым к точности проведения анализа. Численные значения величин отношения расхождений между рассчитанными и аттестованными значениями содержаний по абсолютной величине к требованиям к точности результатов определения меди Как показывают приведенные данные, технико-экономическая эффективность заявленного изобретения заключается в возможности высокоточного рентгенофлуоресцентного определения примесей в разнообразных материалах, имея ограниченный набор дорогостоящих комплектов стандартных образцов, что существенно снижает стоимость проводимых анализов. Использование предлагаемого способа позволит повысить готовность лаборатории к выполнению работ и сократит затраты на приобретение стандартных образцов. К примесям также можно отнести компоненты материалов, часто не нормируемые техническими условиями, содержание которых может находиться в пределах от n×10-5 до 1%. Типичными примерами вредных примесей в чистых металлах и реактивах являются примеси серы, фосфора и некоторых других элементов в марочных сплавах, в концентратах руд цветных и черных металлов, серы в нефти и нефтепродуктах, токсичных элементов в почвах, водах и в продуктах питания. В то же время примеси золота, платиновых металлов, тантала, галлия и других редких и рассеянных элементов в рудах и продуктах их переработки представляют существенный интерес для их добычи. Источники информации 1. Criss J.W., Birks L.S. Calculation methods for fluorescent X-Ray spectrometry. // Anal. Chem. 1968. V. 40, №7. P. 1080-1091. Аналог. 2. Патент РФ на изобретение №2427825. Рентгеноспектральный способ определения содержания углерода в сталях и устройство для определения содержания углерода в сталях / Родинков О.В., Калинин Б.Д., Руднев А.В. // Заявка №2010111009 24 марта 2010 г.; опубл. 27 августа 2011 г. Бюл. «Изобретения, полезные модели» №24. 3. Калинин Б.Д., Плотников Р.И. Рентгенофлуоресцентное определение легирующих и примесных элементов в гомогенных материалах при отсутствии адекватных градуировочных образцов // Аналитика и контроль. 2010. Т. 14, №4. С. 236-242. 4. Калинин Б.Д., Плотников Р.И., Токтарева Е.Г. Инструментальная погрешность рентгеноспектрального анализа продуктов черной металлургии // Заводская лаборатория. 1982. Т. 48, №12. С. 26-28. 5. Павлинский Г.В., Величко Ю.И., Ревенко А.Г. Программа расчета интенсивностей аналитических линий рентгеновского спектра флуоресценции // Заводская лаборатория, 1977. Т. 43, №4. С. 433-436. 6. ГОСТ 11739.13-98. Сплавы алюминиевые литейные и деформируемые. Методы определения меди. 7. ГОСТ 28033-89. Сталь. Метод рентгенофлуоресцентного анализа. - массовый коэффициент поглощения первичного излучения элементом i;
и
- массовые коэффициенты поглощения первичного и флуоресцентного излучения пробой; (sinφ/sinψ) - коэффициент, учитывающий геометрию спектрометра (φ и ψ - соответственно углы падения первичного и отбора флуоресцентного излучения).
- отношения абсорбционных свойств наполнителя к абсорбционным свойствам определяемого элемента [4],
.
и
- массовые коэффициенты ослабления первичного и флуоресцентного излучения наполнителем Н;
и
- массовые коэффициенты ослабления первичного и флуоресцентного излучения элементом i.
формулу (2):
всех факторов, в первую очередь наиболее важных из них - полихроматичности первичного излучения и дополнительного возбуждения элемента i флуоресценцией элементов наполнителя расчетом Ji и Ji0 по программе расчета теоретических интенсивностей с учетом всех влияющих факторов [5].
или дифференциальная чувствительность (количество импульсов на процент в секунду = имп./%*с) для элемента i в наполнителе Н в области малых содержаний. При содержаниях до 1% градуировочный график линеен и наклон градуировочного графика можно получить дифференцированием по С формулы (2):
, для меди в железе
и отношение наклонов градуировочных графиков
. Если для определения содержания меди в алюминиевом сплаве использовать градуировочную характеристику для меди в углеродистых сталях, то полученную условную концентрацию следует умножить на коэффициент KCu
- истинное содержание меди в анализируемом материале (содержание меди в алюминиевом сплаве);
- условное содержание меди в анализируемом материале (содержание меди, определенное по градуировочному графику меди в углеродистых сталях).
9

(для образца с содержанием меди 0.278% и остальное алюминий).

и затем помножены на отношение наклонов градуировочных графиков в референтном и в исследуемом материалах по формуле
.
и
. В той же таблице для каждого СО приведены скорости счета (ICu, имп./с), аттестованные содержания меди (CCu, %) и абсолютная погрешность аттестованных значений при доверительной вероятности 0,95 в процентах (Δатт), абсолютные расхождения между рассчитанными и аттестованными значениями содержаний (ΔCCu, %), требования к точности результатов определения меди (ΔСГОСТ, %) соответственно для алюминиевых сплавов и для сталей [6, 7] и отношения расхождений между рассчитанными и аттестованными значениями содержаний по абсолютной величине к требованиям к точности результатов определения меди
.

для исследуемого и референтного материалов близки, что демонстрирует эффективность предлагаемого способа.