Устройство относится к области измерительной техники и может быть использовано в геодезии; при строительстве протяженных гидротехнических сооружений; при создании приборов и устройств, требующих привязки к уровню горизонта; а также в технике физического эксперимента. Технический результат от применения данного предложения заключается в повышении точности измерения угла наклона. Устройство для измерения угла наклона плоскости содержит два жидкостных конденсатора, помещенные в сосуды из диэлектрического материала. Сосуды установлены на общей подложке и сообщаются между собой с помощью соединительной трубки. К верхним обкладкам конденсаторов подключают индуктивности фиксированной величины. Индуктивность и емкость конденсатора в каждом сосуде образует резонансную LC схему, которая подключается к частотозадающему входу автогенератора. Частоту автогенераторов одновременно измеряют с помощью прибора. Работа устройства основана на определении высоты столба жидкости в двух жидкостных конденсаторах, помещенных в сообщающихся сосудах, по частоте автогенератора, которую можно измерить с более высокой точностью. По измеренным значениям частот вычисляют угол наклона с применением соответствующих формул. Температурное влияние на точность измерения угла наклона плоскости корректируется исходя из известной зависимости элементов устройства и параметров жидкости от температуры. 1 з.п. ф-лы, 4 ил.
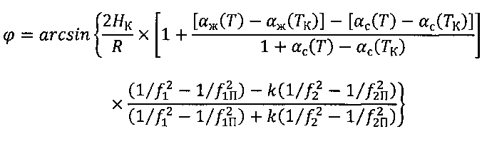
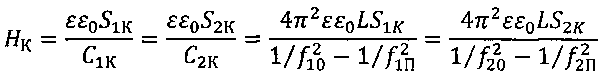
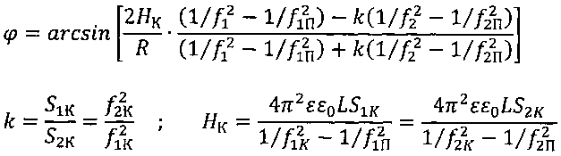
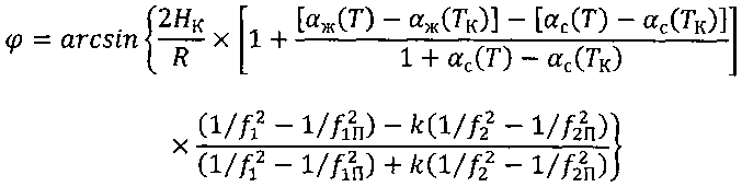
1. Устройство для измерения угла наклона плоскости, образованного линией горизонта и линией, проходящей через центры основания сосудов, содержащее два жидкостных конденсатора, каждый из которых представляет собой сосуд из диэлектрического материала, сообщающиеся между собой с помощью соединительной трубки и расположенные на определенном расстоянии относительно друг друга на общей подложке, причем нижние обкладки конденсаторов подключены к нулевому потенциалу устройства, а верхние обкладки плавают на поверхности жидкости, отличающееся тем, что в устройство введены два автогенератора, прибор для измерения частоты и две индуктивности фиксированной величины, каждая из которых подключена к верхней обкладке соответствующего конденсатора, индуктивности совместно с емкостями конденсаторов образуют резонансные LC схемы, которые подключены к частотозадающим входам автогенераторов, а выходы автогенераторов подключены к прибору одновременного измерения частоты автогенераторов, значения которых позволяют вычислить угол наклона плоскости по формуле: 2. Устройство по п.1, отличающееся тем, что учитывая температуру окружающей среды непосредственно при измерении, корректируется значение угла наклона по формуле:
где:,
φ - измеряемый угол наклона плоскости;
k - коэффициент отношения калиброванных площадей обкладок конденсаторов;
HK - калиброванное значение высоты столба жидкости в сосудах;
R - расстояние между сосудами, определяемое по линии между центрами их оснований;
ε0 - диэлектрическая постоянная вакуума;
ε - диэлектрическая проницаемость жидкости;
S1K - калиброванная площадь верхней обкладки конденсатора в первом сосуде;
S2k - калиброванная площадь верхней обкладки конденсатора во втором сосуде;
L=L1+L2 - суммарное значение индуктивности LC схемы;
f1K - частота первого автогенератора при калибровке;
f2K - частота второго автогенератора при калибровке;
f1П_ частота первого автогенератора в режиме определения паразитной емкости его и соединительных проводов;
f2П - частота второго автогенератора в режиме определения паразитной емкости его входа и соединительных проводов;
f1 - частота первого автогенератора при измерении угла наклона плоскости;
f2 - частота второго автогенератора при измерении угла наклона плоскости.
Где:
φ - измеряемый угол наклона плоскости;
HK - калиброванное значение высоты столба жидкости в сосуде;
R - расстояние между сосудами, определяемое по линии между центрами их оснований;
ТK - фиксированная температура при калибровке;
αж(Т) - значение коэффициента температурного расширения жидкости при температуре измерения угла наклона плоскости;
αж(ТK) - значение коэффициента температурного расширения жидкости при температуре калибровки;
αс(Т) - значение коэффициента температурного расширения материала сосуда при температуре измерения угла наклона;
αс(TK) - значение коэффициента температурного расширения материала сосуда при температуре калибровки;
k - коэффициент отношения калиброванных площадей обкладок конденсаторов;
f1 - частота первого автогенератора при измерении угла наклона плоскости;
f2 - частота второго автогенератора при измерении угла наклона плоскости;
f1П - частота первого автогенератора в режиме определения паразитной емкости его входа и соединительных проводов;
f2П - частота второго автогенератора в режиме определения паразитной емкости его входа и соединительных проводов.
Область техники Устройство относится к области измерительной техники и может быть использовано в геодезии; при строительстве протяженных гидротехнических сооружений; при создании приборов и устройств, требующих привязки к уровню горизонта; а также в технике физического эксперимента. Уровень техники Многие приборы для измерения угла наклона поверхности работают на принципе сообщающихся сосудов: теодолиты, манометры, нивелиры. Для определения угла наклона с помощью сообщающихся сосудов требуется знать уровень жидкости в них и расстояние между сосудами. Точность измерений таких приборов зависит от устройства измерения высоты столба жидкости в сосуде. Для измерения высоты столба жидкости используется либо шкала, нанесенная на сосуд, либо шкала, специально разработанная для данного устройства. Как правило, точность измерения с помощью обычных шкал не превышает 0.5 мм. Лучшую точность имеют инклинометры, обладающие двойной шкалой измерения. Их точность для большинства моделей составляет ±0.1°. Лучшую точность имеют инклинометры NB3 фирмы Seika (0.001° в диапазоне углов ±10°) [1], что для ряда приложений является не достаточным как по диапазону измеряемых углов, так и точности измерения. Для решения данной задачи были предложены различные способы и устройства. Известен способ определения угла наклона и датчик угла наклона [2], в котором применяется магнитная жидкость, помещенная в U-образный трубчатый гидроуровень, на одном из концов которого выполнена обмотка, связанная с электрической схемой. При наклоне U-образного трубчатого гидроуровня магнитная жидкость попадает в зону обмотки. По изменению электрической характеристики обмотки регистрируется уровень жидкости в трубке, требуемый для вычисления угла наклона. Известен способ определения угла наклона и устройство для его осуществления [3], основанный на перемещении тела качения относительно стационарного положения в камере с жидкостью под действием силы тяжести. Перемещение тела происходит в чувствительной зоне, создаваемой активным элементом, расположенным ниже корпуса камеры. Расстояние между активным элементом и телом качения регулируется. В зависимости от способа создания чувствительной зоны активный элемент может состоять из: 1) металлических обкладок, расположенных концентрическим образом и образующих электрическую емкость между собой; 2) катушки индуктивности: 3) постоянного магнита. В качестве тела качения может использоваться шар, диск или цилиндр, а поверхность качения выполняют в виде сферы, конуса или поверхности с заданной кривизной. Поверхность для перемещения тела качения имеет фиксированный угол относительно уровня горизонта. При наклоне поверхности качения, превышающем заданный угол, тело начинает катиться под действием силы тяжести до точки, касательная в которой параллельна уровню горизонта. Амплитуда сигнала, формируемого активным элементом, зависит от положения тела качения, что позволяет определять угол наклона. У этого известного технического решения имеются недостатки: - при реализации поверхности для качения в симметричном виде в плоскости XY (сфера, конус и другие, заявляемые автором) направление качения, а следовательно, и угол наклона, является неопределенным при заявленных способах регистрации, так как при одинаковом отклонении в любую сторону амплитуда сигнала будет идентичной; - точность регистрации угла наклона зависит от крутизны катящей поверхности и будет падать с ее увеличением, что требуется для увеличения диапазона измеряемых углов; - способ определения имеет температурную зависимость, по крайней мере, при емкостном варианте регистрации сигнала, связанную с температурной зависимостью диэлектрической постоянной жидкости. Известен способ определения угла наклона плоскости по величине емкости конденсаторов, помещенных в сообщающиеся сосуды [4], выбранный в качестве прототипа. Устройство для реализации этого способа содержит два жидкостных конденсатора, помещенные в сосуды из диэлектрического материала. Сосуды установлены на общей подложке на определенном расстоянии относительно друг друга и соединены между собой трубкой. Верхние обкладки конденсаторов плавают на поверхности жидкости, а нижние обкладки подключены к нулевому проводу устройства. Высота столба жидкости в сосудах, необходимая для вычисления угла наклона, определяется путем одновременного измерения емкости конденсаторов, помещенных в сосуды, между обкладками которых находится жидкость. По измеренным значениям емкостей вычисляют угол наклона плоскости, определяемый линией горизонта и линией, проходящей через центры основания сосудов. Влияние неточности измерения размеров устройства компенсируется с помощью предварительной калибровки. Влияние температуры на точность измерения емкости также учитывается по зависимости диэлектрической проницаемости жидкости и материала сосудов от температуры. Ставилась задача разработать устройство измерения угла наклона плоскости с точностью измерения угла (10-6-10-7)° для техники физического эксперимента, что почти на два порядка превышает точность измерения прототипа. Устройство должно отличаться высокой надежностью, доступностью в реализации и удобством в применении. Например, проектируемый ускоритель в рамках международного проекта "Компактный Линейный Коллайдер" (The Compact Linear Collider) [5] должен обеспечить электронный пучок по вертикальной координате порядка 5·10-9 метра [6]. Для обеспечения требований монтаж ускорительных элементов пучка, криомодулей, необходимо выполнять с прецизионной точностью. Поэтому задача контроля угла наклона криомодулей при их установке является важной проблемой. Раскрытие изобретения Поставленная задача решается тем, что берется известный способ измерения угла наклона с помощью сообщающихся сосудов посредством измерения уровня жидкости в сосудах емкостным методом. Устройство для реализации способа включает два жидкостных конденсатора, сообщающихся между собой с помощью соединительной трубки. Каждый конденсатор представляет собой сосуд из диэлектрического материала. Сосуды помещаются на общей подложке на определенном расстоянии относительно друг друга. Нижние обкладки конденсаторов крепятся к дну сосуда и подключаются к нулевому потенциалу, а верхние обкладки свободно плавают на поверхности жидкости, помещенной в сосуды. При такой реализации конденсаторов их емкость пропорциональна величине столба жидкости в сосуде, требуемой для вычисления угла наклона плоскости. Кроме того, в устройство введены два автогенератора, прибор для измерения частоты и для каждого конденсатора две индуктивности фиксированной величины, соединенные последовательно. Один вывод соединенных индуктивностей подключается к верхней обкладке соответствующего конденсатора, а другой - к нулевому проводу устройства. Индуктивности совместно с конденсаторами образуют резонансные LC схемы, которые подключены к частотозадающим входам автогенераторов. Выходы автогенераторов подключены к прибору одновременного измерения частоты автогенераторов, значения которых позволяют вычислить угол наклона плоскости по формуле: φ - измеряемый угол наклона плоскости; R - расстояние между сосудами, определяемое по линии между центрами их оснований; k - коэффициент отношения калиброванных площадей обкладок конденсаторов; HК - калиброванное значение высоты столба жидкости в сосудах при нулевом угле наклона; ε0 - диэлектрическая постоянная вакуума; ε - диэлектрическая проницаемость жидкости; S1К - калиброванная площадь верхней обкладки конденсатора в первом сосуде; S2К - калиброванная площадь верхней обкладки конденсатора во втором сосуде; L=L1+L2 - суммарная индуктивность LC схемы. Отношение индуктивностей L2/(L1 и L2) позволяет регулировать амплитуду автогенератора; f1К - частота первого автогенератора при калибровке; f2К - частота второго автогенератора при калибровке; f1П - частота первого автогенератора в режиме определения паразитной емкости соединительных проводов и входа автогенератора; f2П - частота второго автогенератора в режиме определения паразитной емкости соединительных проводов и входа автогенератора; f1 - частота первого автогенератора при измерении угла наклона; f2 - частота второго автогенератора при измерении угла наклона. При измерении угла наклона подложка с конденсаторами устанавливается на измеряемую плоскость. В соответствии с принципом работы сообщающихся сосудов уровень жидкости относительно линии горизонта в них будет одинаковым. При этом в зависимости от наклона в одном сосуде высота жидкости относительно нулевого угла наклона уменьшится, а в другом увеличится на одну и ту же величину, что приведет к изменению значения емкостей конденсаторов. Для определения угла наклона плоскости измеряют резонансные частоты каждой LC схемы, образованной индуктивностью фиксированной величины и емкостью конденсатора. Для этого к верхним обкладкам конденсаторов подключают индуктивности фиксированного номинала L=L1+L2, которые совместно с емкостью конденсаторов образуют параллельные резонансные LC схемы. Каждая LC схема используется в качестве частотозадающего узла автогенератора, частота которого пропорциональна высоте столба жидкости и зависит от угла наклона плоскости. Амплитуда сигнала автогенератора регулируется отношением индуктивностей в цепи обратной связи L2/(L1+L2). Приборы измерения частоты имеют более высокую точность, поэтому измерение емкости с использованием частотного преобразования с помощью LC схемы позволяет существенно улучшить точность определения угла наклона плоскости. Чтобы повысить точность определения угла наклона предлагаемого устройства, площади обкладок конденсаторов, высоту столба жидкости в сосудах и паразитные емкости соединительных проводов калибруют при нулевом угле наклона. Для учета влияния температуры одновременно с измерением угла наклона плоскости измеряют температуру окружающей среды и корректируют погрешность изменения столба жидкости в сосудах, связанную с температурным расширением используемой жидкости и материала сосудов, исходя из их известной зависимости от температуры, а угол наклона вычисляют по формуле: φ - измеряемый угол наклона плоскости; HК - калиброванное значение высоты столба жидкости в сосуде при нулевом угле наклона; R - расстояние между сосудами, определяемое по линии между центрами их оснований; Т - температура окружающей среды при измерении наклона; ТК - температура окружающей среды во время калибровки; αж(Т) - значение коэффициента температурного расширения жидкости при температуре измерения угла наклона; αж(ТК) - значение коэффициента температурного расширения жидкости при температуре калибровки; αс(Т) - значение коэффициента температурного расширения материала сосуда при температуре измерения угла наклона; αс(TК) - значение коэффициента температурного расширения материала сосуда при температуре калибровки; f1 - частота первого автогенератора при измерении угла наклона; f2 - частота второго автогенератора при измерении угла наклона; f1П - частота первого автогенератора в режиме определения паразитной емкости соединительных проводов и входа автогенератора; f2П - частота второго автогенератора в режиме определения паразитной емкости соединительных проводов и входа автогенератора. Совокупность указанных решений позволяет повысить точность измерения угла наклона и обеспечить требования, предъявляемые в технике физического эксперимента. Заявляемое техническое решение поясняется чертежами: 1. На фигуре 1 (приложение 1) показано устройство измерения угла наклона плоскости в режиме калибровки. 2. На фиг. 2 (приложение 1) показано устройство для измерения угла наклона плоскости в режиме измерения. 3. На фиг. 3 (приложение 2) приведена зависимость диэлектрической проницаемости воды от температуры. 4. На фиг. 4 (приложение 3) показан вариант реализации схемы автогенератора. Элементы устройства показаны на фиг. 1 (приложение 1) в режиме калибровки и фиг. 2 (приложение 1) - в режиме измерения угла наклона плоскости. Предлагаемое устройство включает: 1 и 5 - индуктивности резонансных LC схем; 2 и 4 - автогенераторы; 3 - прибор для одновременного измерения частоты автогенераторов; 6 и 7 - сообщающиеся сосуды; 8 и 9 - верхние обкладки конденсаторов; 12 - соединительная трубка; 13 - подложка для установки сосудов; 14 и 15 - нижние обкладки конденсаторов. Схема автогенератора реализована на основе операционного усилителя с температурной компенсацией - U1. Резонансная LC схема состоит из емкости конденсатора - С, соединенного параллельно с индуктивностями фиксированной величины L1 и L2, причем L=L1+L2. Суммарное значение индуктивностей совместно с емкостью конденсатора определяет частоту колебаний автогенератора. Делитель из индуктивностей (L1 и L2) позволяет подстроить амплитуду сигнала автогенератора пропорционально L2/(L1+L2). Работа устройства основана на принципе сообщающихся сосудов, который позволяет определить угол наклона плоскости по разности высот столбов жидкости в сосудах и расстоянию между сосудами: φ - измеряемый угол наклона; H1 - уровень жидкости в первом сосуде; Н2 - уровень жидкости во втором сосуде; R - расстояние между сосудами. Точность измерения высоты столба жидкости в сосуде можно повысить за счет преобразования высоты жидкости в сосуде в частоту резонансной LC схемы, образованной внешней индуктивностью L фиксированного номинала и емкостью жидкостного конденсатора С. В этом случае формула для вычисления угла наклона плоскости имеет вид: где: φ - измеряемый угол наклона; HК - калиброванная высота столба жидкости в сосудах при нулевом угле наклона; R - расстояние между сосудами, определяемое по линии между центрами их оснований; f1 - частота первого автогенератора при измерении угла наклона; f2 - частота второго автогенератора при измерении угла наклона. Чтобы обеспечить высокую точность определения угла наклона, площади верхних обкладок конденсаторов и высоту столба жидкости в сосудах калибруют при нулевом угле наклона и измеренной температуре. Элементы способа в режиме калибровки показаны на фиг. 1 (приложение 1). Калибровка позволяет учесть паразитную емкость соединительных проводов, нелинейные эффекты на краях конденсаторов, компенсировать ошибку измерения площади обкладок, с высокой точностью определить первоначальную высоту столба жидкости в сосудах и более точно определить расстояние между сосудами. Калибровка выполняется следующим образом. Предварительно измеряется площадь верхних обкладок конденсаторов (8, 9), которые равны S1И и S2И соответственно для первого и второго конденсатора. Нижние обкладки конденсаторов (14, 15) крепятся на дне сосудов и могут иметь большую площадь. Они соединяются с проводом нулевого потенциала устройства. Критичной является площадь верхних обкладок. Далее сосуды 6 и 7 закрепляют на подложке 13, которую устанавливают на плоскость с нулевым уклоном. Между собой сосуды сообщаются с помощью трубки 12. При отключенных обкладках конденсаторов измеряют паразитные емкости входов автогенераторов и проводов, соединяющих обкладки с входами автогенераторов 2 и 4. В предлагаемом устройстве верхние обкладки конденсаторов подключают к частотозадающим входам автогенераторов 2 и 4. К этим входам также подключают последовательно соединенные индуктивности L1 и L2 фиксированной величины, нижний вывод которых подключается к нулевому проводу устройства. Паразитные емкости проводов и входа автогенератора совместно с индуктивностями 1 и 5 образуют резонансные LC схемы L=L1+L2. Частота автогенераторов определяется фиксированной величиной индуктивности L и паразитной емкостью входа автогенератора и соединительных проводов. Она измеряется прибором измерения частоты 3. По измеренным частотам вычисляются суммарную паразитную емкость в каждом канале регистрации: ΔC1=1/(2πf1П)2·L ΔC2=1/(2πf2П)2·L ΔC1 - паразитная емкость входа автогенератора и проводов для подключения конденсатора в первом сосуде; ΔС2 - паразитная емкость входа автогенератора и проводов для подключения конденсатора во втором сосуде; f1П - частота первого автогенератора в режиме определения паразитной емкости; f2П - частота второго автогенератора в режиме определения паразитной емкости; L=L1+L2 - суммарное значение индуктивности LC схемы. Затем к проводам подключают верхние обкладки конденсаторов 8 и 9, и в сосуды 6 и 7 наливают определенное количество жидкости. В этом случае уровни жидкости в сосудах 10, 11 будут одинаковыми, а емкости конденсаторов между обкладками 8, 14 (С10) и обкладками 9, 15 (С20) будут отличаться только за счет разницы площадей обкладок, краевых эффектов и определяться соотношениями: С10 - значение емкости первого конденсатора в режиме калибровки; С20 - значение емкости второго конденсатора в режиме калибровки; ε0 - диэлектрическая постоянная вакуума; ε - диэлектрическая проницаемость жидкости; Отношение величин емкостей С10 и С20 с учетом измеренных поправок ΔС1, ΔС2 равно отношению калиброванных площадей конденсаторов, которое будет константой при любом количестве жидкости в сосудах. Это позволяет компенсировать относительную ошибку в измерении площадей и учесть краевые эффекты обкладок конденсаторов. k - коэффициент отношения калиброванных площадей конденсаторов. Калиброванные значения площадей обкладок выражаются соотношениями: S1К=S1И±ΔS1 S2К=S2И±ΔS2 S1К - калиброванная площадь верхней обкладки первого конденсатора; S2К - калиброванная площадь верхней обкладки второго конденсатора; S1И - измеренное значение площади верхней обкладки в первом сосуде; S2И - измеренное значение площади верхней обкладки во втором сосуде; ΔS1 - ошибка измерения площади верхней обкладки в первом сосуде; ΔS2 - ошибка измерения площади верхней обкладки во втором сосуде. Сосуды изготавливаются одинаковыми по форме и объему. Верхние обкладки конденсаторов также желательно сделать идентичными. Коэффициент k можно определить через измеренные площади обкладок конденсаторов: При равной ошибке измерения площадей обкладок конденсаторов справедливы соотношения: p=S1И/S2И - отношение измеренных площадей обкладок конденсаторов. Минимальная ошибка определения площадей обкладок конденсаторов соответствует случаям, когда равные ошибки имеют противоположные знаки: Знак ошибки площадей выбирается с учетом величин k и p. В случае k<p выбирается положительный знак для ошибки ΔS1 и отрицательный для ΔS2. Для случая k>p знаки ошибок заменяются на противоположные. Следует подчеркнуть, что коэффициент k определяется независимым отношением емкостей при калибровке, а коэффициент p определяется отношением измеренных площадей верхних обкладок конденсаторов. При другой комбинации знаков величина ошибок приближается к значению измеряемой площади, что для данной модели оценки ошибок является неправдоподобным и не рассматривается. Калиброванные значения емкостей в сосудах C1К (обкладки 8, 14) и C2К (обкладки 9, 15) определяются по измеренным частотам автогенераторов: C1К=C10-ΔC1=1/(2πf10)2·L-1/(2πf1П)2·L C2К=C20-ΔC2=1/(2πf20)2·L-1/(2πf2П)2·L C1К - калиброванное значение емкости первого конденсатора; C2К - калиброванное значение емкости второго конденсатора; С10 - емкость первого конденсатора в режиме калибровки; С20 - емкость второго конденсатора в режиме калибровки; ΔС1 - паразитная емкость входа автогенератора и проводов для подключения конденсатора в первом сосуде; ΔС2 - паразитная емкость входа автогенератора и проводов для подключения конденсатора во втором сосуде; f10 - частота первого автогенератора в режиме калибровки; f20 - частота второго автогенератора в режиме калибровки; f1П - частота первого автогенератора в режиме определения паразитной емкости проводов и входа автогенератора; f2П - частота второго автогенератора в режиме определения паразитной емкости проводов и входа автогенератора; L=L1+L2 - суммарное значение индуктивности контура. При калиброванном значении площадей обкладок конденсаторов и их емкостей можно прокалибровать уровень жидкости в сосудах при нулевом наклоне HК, который равен: Высота столба жидкости, налитой в сосуды, зависит и от диэлектрической проницаемости жидкости. В качестве жидкости предпочтительно выбрать воду. Она обладает высоким значением коэффициента диэлектрической проницаемости (~80), что позволяет сделать компактными размеры сосудов, и безопасна в работе. График зависимости диэлектрической проницаемости воды ε от температуры T приведен на фиг. 3 (приложение 2). Зависимость имеет вид: ε=0.00079T2-0.4Т+88. Относительная ошибка значения диэлектрической проницаемости составляет менее 10-7 во всем диапазоне рабочих температур. Ошибка измерения высоты HК складывается из ошибки определения площади конденсатора, ошибки измерения емкости и ошибки значения диэлектрической проницаемости. Калибровка площадей конденсаторов и их емкостей с использованием преобразования в частоту позволяет получить ошибку порядка 5×10-8. Ошибка измерения емкостей с помощью частотного преобразования составляет менее 10-7. Поэтому суммарная ошибка определения высоты HК с учетом калибровки не превышает 2×10-7. При оценке точности определения угла наклона следует также учесть ошибку определения расстояния между сосудами. Приборы измерения расстояния в интервале 50-100 см имеют относительную ошибку 10-5-10-6, что существенно ниже точности измерения других параметров устройства. Точность определения расстояния между сосудами можно также повысить за счет калибровки. Для этого устройство устанавливается на плоскость с фиксированным углом наклона. Поскольку остальные параметры устройства прокалиброваны с точностью лучше 10-7, то в формуле зависимости угла наклона неизвестным выбирается расстояние между сосудами, которое определяется с точностью, аналогичной измерению других параметров. Процесс измерения угла наклона иллюстрирует фиг. 2 (приложение 1). При указанном на фигуре наклоне часть жидкости из сосуда 7 по соединительной трубке 12 будет перетекать в сосуд 6 до установления одинакового уровня в обоих сосудах относительно уровня горизонта. При этом высота столба жидкости 10 в сосуде 6 относительно нулевого угла наклона увеличится на величину h, а высота столба жидкости 11 в сосуде 7 уменьшится на величину h, что приведет к изменению емкостей конденсаторов. Емкость конденсатора в сосуде 6 (обкладки 8, 14) уменьшится и составит Емкость конденсатора в сосуде 7 (обкладки 9, 15) увеличится и составит: Значения емкостей C1 и С2 позволяют определить величину изменения столба жидкости в сосудах h: Величины емкостей С1 и С2 определяются по измеренным частотам автогенераторов: C1=1/(2πf1)2L, C2=1/(2πf2)2L f1 - частота автогенератора 2 при измерении угла наклона плоскости; f2 - частота автогенератора 4 при измерении угла наклона плоскости; C1 - емкость первого конденсатора (обкладки 8, 14) при измерении угла наклона плоскости; C2 - емкость второго конденсатора (обкладки 9, 15) при измерении угла наклона плоскости; ΔC1 - паразитная емкость входа автогенератора 2 и проводов для подключения конденсатора в первом сосуде; ΔC2 - паразитная емкость входа автогенератора 4 и проводов для подключения конденсатора во втором сосуде; k - коэффициент отношения калиброванных площадей обкладок конденсаторов; L=L1+L2 - суммарное значение индуктивности контура. Из тригонометрических соотношений следует, что угол наклона равен: где: φ - измеряемый угол наклона; HК - калиброванное значение высоты столба жидкости в сосуде; R - расстояние между сосудами, определяемое по линии между центрами их оснований; k - коэффициент отношения калиброванных площадей верхних обкладок конденсаторов; f1 - частота автогенератора 2 при измерении угла наклона; f2 - частота автогенератора 4 при измерении угла наклона; f1П - частота первого автогенератора в режиме определения паразитной емкости входа автогенератора и проводов для подключения конденсатора в первом сосуде; f2П - частота второго автогенератора в режиме определения паразитной емкости входа автогенератора и проводов для подключения конденсатора во втором сосуде. Современные приборы измерения емкости позволяют измерить ее величину с точностью 10-5 пФ. Измерение емкости с помощью предложенного технического решения повышает точность ее измерения, а, следовательно, и точность определения угла наклона плоскости, на два порядка, что подтверждается приведенной ниже оценкой. Частота резонансной LC схемы и ее изменение от емкости определяются соотношениями: При частоте автогенератора 1.5·107 Гц и точности ее измерения 0.1 Гц, емкости конденсатора 30 пФ, точность измерения емкости составит dC=4·10-7 пФ. Стандартные приборы измерения частоты имеют точность измерения 10-3 Гц, поэтому точность измерения емкости 10-7 пФ вполне достижима. Основной вклад в ошибку измерения угла наклона будет вносить точность измерения расстояния между сосудами R, которая в результате калибровки также существенно улучшается. Для учета влияния температуры одновременно с измерением емкостей конденсаторов измеряют температуру окружающей среды и корректируют погрешность изменения столба жидкости в сосудах, связанную с температурным расширением используемой жидкости и материала сосудов, исходя из их известной зависимости от температуры, а угол наклона вычисляют по формуле: где: φ - измеряемый угол наклона плоскости; HК - калиброванное значение высоты столба жидкости в сосуде; R - расстояние между сосудами, определяемое по линии между центрами их оснований; Т - температура окружающей среды при измерении угла наклона; ТК - температура окружающей среды при калибровке; αж(T) - значение коэффициента температурного расширения жидкости при температуре измерения угла наклона; αж(ТК) - значение коэффициента температурного расширения жидкости при температуре калибровки; αс(Т) - значение коэффициента температурного расширения материала сосуда при температуре измерения угла наклона; αс(TК) - значение коэффициента температурного расширения материала сосуда при температуре калибровки; f1 - частота первого автогенератора при измерении угла наклона; f2 - частота второго автогенератора при измерении угла наклона; f1П - частота первого автогенератора в режиме определения паразитной емкости входа автогенератора и проводов для подключения конденсатора в первом сосуде; f2П - частота второго автогенератора в режиме определения паразитной емкости входа автогенератора и проводов для подключения конденсатора во втором сосуде. Для реализации устройства известны требующиеся приборы и детали. Стеклянную трубку, соединяющую сосуды, можно выбрать в каталоге и заказать в компании SCHOT Tubing [7]. Малый диаметр трубки позволяет компенсировать вибрацию жидкости. Компания выпускает трубки диаметром 1-10 мм и длиной до 3 м. Точность измерения температуры с помощью цифрового термометра РМТЕМР1 [8] равна 0.2° и отвечает предъявляемым требованиям. В качестве прибора измерения частоты можно использовать частотомер фирмы Agilent Technologies 53131А [9], который позволяет регистрировать частоту с точностью 5·10-4 Гц. На фиг. 4 (приложение 3) приведен вариант схемы автогенератора. Отличительной особенностью схемы является высокая стабильность частоты и слабое влияние температуры. В схеме отсутствуют резисторы, наиболее подверженные температурному влиянию, а операционные усилители должны выбираться с учетом наличия в их схеме внутренней температурной компенсации. Литература [1] Датчик угла наклона NB3 фирмы SEIKA Mikrosystemtechnik GmbH, www.prosensor.ru/article63.html [2] Патент на изобретение №2397443 RU [3] Патент на изобретение №2455616 RU [4] Патент на изобретение №2521270 RU [5] The Compact Linear Collider http://clic-study.org [6] "CLIC design, parameters and layout" http://clic-study.org [7] Стеклянные трубки компании SCHOT Tubing www.schot.com [8] Термометр цифровой PMTEMP1 www.chipdip.ru [9] Частотомер 53131A, Agilent Technologies.