патент
№ RU 2561008
МПК G01S13/95

ОДНОВОЛНОВЫЙ РАДИОЛОКАЦИОННЫЙ СПОСОБ ИЗМЕРЕНИЯ РАЗМЕРА ГРАДОВЫХ ЧАСТИЦ В ОБЛАКАХ В ЗОНЕ ИХ РОСТА

Авторы:
Байсиев Хаджи-Мурат Хасанович
Номер заявки
2014109826/28
Дата подачи заявки
13.03.2014
Опубликовано
20.08.2015
Страна
RU
Как управлять
интеллектуальной собственностью
Чертежи 
4
Реферат

Изобретение относится к области радиолокационной метеорологии и может быть использовано для измерения размера градовых частиц в зоне их роста. Сущность: по данным аэрологического зондирования атмосферы строят график изменения температуры и скорости восходящих воздушных потоков по высоте облака. По данному графику определяют значение максимальной скорости восходящих потоков в слое облачной среды, находящемся в зоне отрицательных температур. Затем осуществляют радиолокационное зондирование облака на одной длине волны. По данным радиолокационного зондирования проводят горизонтальные сечения изоконтуров радиолокационной отражаемости облачной среды вблизи уровня максимальной скорости восходящих потоков. Определяют значение максимальной отражаемости облачной среды, с учетом которого вычисляют максимальный размер градовых частиц в зоне их роста. Технический результат: упрощение измерения размера градовых частиц в зоне их роста. 2 з.п. ф-лы, 4 ил.

Формула изобретения

1. Одноволновый радиолокационный способ измерения размера градовых частиц в облаках в зоне их роста, включающий радиолокационное зондирование облака на заданной длине волны, прием отраженного сигнала от облака с последующей обработкой сигнала и определением отражаемости в заданных пространственных точках облачной среды и нахождение по данным радиолокационного зондирования размера градовых частиц расчетным путем, отличающийся тем, что зондирование облака осуществляют на одной длине волны, при этом предварительно по данным аэрологического зондирования атмосферы строят график изменения температуры и скорости восходящих воздушных потоков по высоте облака, затем по данному графику определяют значение максимальной скорости восходящих потоков в слое облачной среды, находящемся в зоне отрицательных температур, после этого, используя данные радиолокационного зондирования, проводят горизонтальные сечения изоконтуров радиолокационной отражаемости облачной среды вблизи уровня максимальной скорости восходящих потоков и по ним определяют значение максимальной отражаемости облачной среды, затем вычисляют максимальный размер градовых частиц в зоне их роста по формуле

где dmax - максимальный размер градовых частиц, см;
ηmax - максимальная отражаемость облачной среды, см-1;
A и B - эмпирические коэффициенты.

2. Способ измерения размера градовых частиц в облаке по п.1, отличающийся тем, что максимальную отражаемость облачной среды в зоне роста града определяют по нескольким горизонтальным сечениям изоконтуров радиолокационной отражаемости, при этом первое сечение проходит по уровню максимальной скорости восходящих потоков, а остальные сечения проходят выше этого уровня, при этом расстояние между сечениями составляет преимущественно 500 м.

3. Способ измерения размера градовых частиц в облаке по п.1, отличающийся тем, что зондирование облачной среды осуществляют на длине волны 10 см, при этом эмпирические коэффициенты расчетной формулы при зондировании облака на данной длине волны составляют: A=2,43·106 и B=0,79.

Описание

[1]

Изобретение относится к области радиолокационной метеорологии и может быть использовано для определения размера градовых частиц с использованием одноволнового метеорадиолокатора.

[2]

Известны различные способы определения размера градовых частиц методом прямого инструментального измерения градин после падения их на землю, либо методом измерения реплик, оставляемых градинами на поверхности специальных градовых подушек, называемых иначе наземными градовыми индикаторами (Тлисов М.И., Хучунаев Б.М. Исследование физических характеристик градобитий при помощи наземных индикаторов. - Труды ВГИ, 1986, вып.69, с.81-86).

[3]

Наземные градовые индикаторы представляют собой пенополистироловую пластину, покрытую тонкой алюминиевой фольгой толщиной 100 мкм. Град, падая на поверхность индикатора, оставляет отпечатки (реплики), по которым определяют размеры градовых частиц.

[4]

К существенным недостаткам известного способа можно отнести необходимость калибровки индикаторов, которая производится с помощью стальных, пластиковых либо ледяных ядер, сталкивающихся с чувствительной поверхностью подушки.

[5]

Кроме того, реализация способа требует значительного ручного труда при подсчетах и измерении отпечаток градин, а также требует создания мощной градомерной сети на обширных территориях, что практически невозможно из-за значительных трудозатрат.

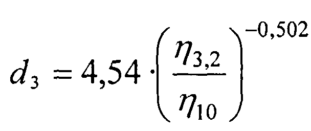
[6]

Наиболее близким по технической сущности к заявляемому объекту является способ определения размера градовых частиц путем радиолокационного зондирования градового облака с последующим определением радиолокационной отражаемости на двух длинах волн и нахождения среднекубического размера градовых частиц по формуле

[7]

[8]

где d3 - среднекубический диаметр градин, см;

[9]

η3,2 и η10 - значения отражаемости на длинах волн 3,2 см и 10 см;

[10]

4,54 и 0,502 - эмпирические коэффициенты

[11]

(Руководство по применению радиолокаторов МРЛ-4, МРЛ-5 и МРЛ-6. / М.Т. Абшаев, И.И. Бурцев, С.И. Ваксенбург, Г.Ф. Шевела. - Л.: Гидрометеоиздат, 1980, с.66-67. ПРОТОТИП).

[12]

В сравнении с наземной градомерной сетью радиолокационный способ имеет ряд существенных преимуществ, поскольку обеспечивает измерение размеров градовых частиц на значительных площадях, ограниченных радиусом действия локатора 130÷150 км. Вместе с тем известный способ обладает рядом существенных недостатков, что обусловлено тем, что сам метеорадиолокатор МРЛ-5 представляет собой довольно сложное устройство, где каждый канал по существу является самостоятельной станцией и вносит свои аппаратурные погрешности при измерениях. В настоящее время на смену двухволновых радиолокационных станций типа МРЛ приходят более совершенные одноволновые станции типа ДМРЛ. В этой связи становится актуальным разработка новых одноволновых методов измерения микроструктурных параметров облака, каковыми являются спектр размеров и концентрация облачных частиц.

[13]

Техническим результатом от использования заявленного технического решения является разработка одноволнового радиолокационного способа измерения размера градовых частиц в облаках в зоне их роста и упрощение процедуры измерения данным методом.

[14]

Технический результат достигается тем, что в известном способе измерения размера градовых частиц в облаках в зоне их роста, включающем радиолокационное зондирование облака на заданной длине волны, прием отраженного сигнала от облака с последующей обработкой сигнала и определением отражаемости в заданных пространственных точках облачной среды и нахождением по данным радиолокационного зондирования размера градовых частиц расчетным путем, согласно способу зондирование облака осуществляют на одной длине волны, при этом, предварительно, по данным аэрологического зондирования атмосферы строят график изменения температуры и скорости восходящих воздушных потоков по высоте облака, затем по данному графику определяют значение максимальной скорости восходящих потоков в слое облачной среды, находящемся в зоне отрицательных температур, после этого, используя данные радиолокационного зондирования, проводят горизонтальные сечения изоконтуров радиолокационной отражаемости облачной среды вблизи уровня максимальной скорости восходящих потоков и по ним определяют значение максимальной отражаемости облачной среды, затем вычисляют максимальный размер градовых частиц в зоне их роста по формуле

[15]

[16]

где dmax - максимальный размер градовых частиц, см;

[17]

ηmax - максимальная отражаемость облачной среды, см-1;

[18]

A и B - эмпирические коэффициенты.

[19]

Технический результат достигается и тем, что максимальную отражаемость облачной среды в зоне их роста града определяют по нескольким горизонтальным сечениям изоконтуров радиолокационной отражаемости, при этом первое сечение проходит по уровню максимальной скорости восходящих потоков, а остальные сечения проходят выше этого уровня, при этом расстояние между сечениями составляет, преимущественно, 500 м.

[20]

Технический результат достигается и тем, что зондирование облачной среды осуществляют на длине волны 10 см, при этом эмпирические коэффициенты расчетной формулы, при зондировании облака на данной длине волны, составляют A=2,43·106 и B=0,79.

[21]

Коэффициенты «А» и «В» найдены методом анализа статистических данных измерений размера градовых частиц в облаках, полученных в результате многолетних исследований процесса роста града в градовых облаках дистанционными и контактными методами. При этом учитывались наиболее типичные значения толщины пленки воды на поверхности градин, характеристики спектра градовых частиц и соотношения сухих и мокрых градин в спектре. Полученная расчетная формула наиболее оптимально выражает конечный результат проведенных исследований.

[22]

На фиг.1 представлен график изменения температуры и скорости восходящих потоков по высоте развивающегося градового облака.

[23]

На фиг.2-фиг.4 представлены сечения радиолокационной отражаемости облачной среды вблизи уровня максимальной скорости восходящих потоков.

[24]

Предлагаемый способ реализуется следующим образом:

[25]

- по данным аэрологического зондирования атмосферы строят график изменения температуры и скорости восходящих воздушных потоков по высоте облака;

[26]

- по данному графику определяют значение максимальной скорости восходящих потоков в слое облачной среды, находящемся в зоне отрицательных температур;

[27]

- затем проводят горизонтальные сечения изоконтуров радиолокационной отражаемости облачной среды в зоне, примыкающей сверху к уровню максимальной скорости восходящих потоков;

[28]

- по данным сечениям определяют значение максимальной отражаемости облачной среды вблизи уровня максимальной скорости восходящих потоков;

[29]

- по значению максимальной отражаемости облачной среды определяют максимальный размер градовых частиц в зоне их роста по формуле.

[30]

Пример конкретного выполнения способа

[31]

На фиг.1 приведен график изменения скорости вертикальных потоков воздушной среды и температуры в облаке, построенный по результатам зондирования в пункте Минеральные воды 07.06.2012. По данному графику нашли максимальную скорость восходящих потоков в слое облачной среды, которая составляет 34,1 м/с на высоте 9,5 км. Очевидно, что такое расположение уровня максимальной вертикальной скорости в облаке способствует росту крупного града. Далее, путем радиолокационного зондирования облака на длине волны 10 см были определены значения отражаемости в заданных пространственных точках облачной среды и получены их горизонтальные сечения вблизи уровня максимальной скорости восходящих потоков. Максимальную отражаемость облачной среды в зоне интенсивного роста града определяли по трем горизонтальным сечениям изоконтуров радиолокационной отражаемости. Первое горизонтальное сечение (фиг.2) было получено для уровня максимальной скорости восходящих потоков, а остальные сечения (фиг.3 и фиг.4) были получены для уровней, расположенных выше первого сечения, при этом расстояние между данными сечениями составляло 500 м. Из полученных сечений нашли значение максимальной отражаемости облачной среды ηmax=5,0·10-8 см-1. Далее, подставив значение ηmax в расчетную формулу, нашли максимальный диаметр градовых частиц в зоне их роста

[32]

[33]

Таким образом, используя данные стратификации атмосферы и радиолокационного зондирования облака, легко определяется размер градовых частиц в зоне их роста одноволновым методом. При этом в сравнении с двухволновым методом значительно упрощается сама процедура измерения размера градовых частиц.

Как компенсировать расходы
на инновационную разработку
Похожие патенты