Изобретение относится к области органической химии, а именно к соединению формулы (I), или его таутомеру, или фармацевтически приемлемой соли, где каждый из Ζи Ζ: N и CR, где по меньшей мере, один из Ζи Ζпредставляет собой CR, а каждый R: Н, C-Cалкил и -N(R)(R); W: -O-, -N(C-C) алкил и -C(R)(R) -, а каждый R: Н и C-Cалкил, или два R, связанные с одним и тем же атомом углерода, взяты вместе с образованием =O, R: фенил и гетероцикл, который представляет собой насыщенное или ненасыщенное 5-6-членное моноциклическое кольцо, содержащее 1-3 гетероатома, выбранных из атомов N, S и О, или 8-12-членное бициклическое кольцо, каждый цикл которого выбран из насыщенного, ненасыщенного и ароматического цикла, содержащее 1-2 атома азота, где Rнеобязательно замещен одним или более заместителями, независимо выбранными из галогена, C-Cалкила, =O, фторзамещенного C-Cалкила, -O-R, -(C-Cалкил)-N(R)(R), -N(R)(R) и -С(О)-N(R)(R), R: фенил и гетероцикл, который представляет собой ненасыщенное 5-6-членное моноциклическое кольцо, содержащее 1-2 гетероатома, выбранных из атомов N и О, или представляет собой дигидробензофуранил, где Rнеобязательно замещен 1-2 заместителями, независимо выбранными из галогена, -C≡N, С-Салкила, С-Сфторзамещенного алкила, -O-R, -(C-Cалкил)-N(R)(R) и -N(R)(R); каждый R: -С-Салкил; или два Rвзяты вместе с атомом азота, с которым они связаны, с образованием 4-8-членного насыщенного гетероцикла, необязательно содержащего один дополнительный гетероатом, выбранный из N и О, где в случае, когда Rпредставляет собой алкил, данный алкил необязательно замещен двумя -ОН группами, а когда два Rвзяты вместе с атомом азота, с которым они связаны с образованием 4-8-членного насыщенного гетероцикла, данный насыщенный ге�
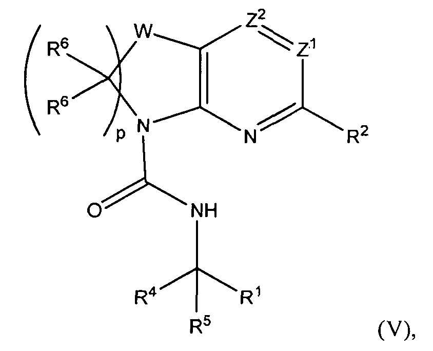
1. Соединение, представленное структурной формулой (I): 2. Соединение, представленное структурной формулой (IV): 3. Соединение, представленное структурной формулой (V): 4. Соединение, представленное структурной формулой (VI): 5. Соединение по любому из пп. 1-4, где R1 представляет собой пиридинил. 6. Соединение по п. 2, где R11 представляет собой фтор. 7. Соединение по п. 2, где R12 представляет собой фтор. 8. Соединение по п. 3, где R4 и R5 взяты вместе с образованием циклопропильного кольца. 9. Соединение по п. 4, где 4-4 спиробицикл представлен структурой: 10. Соединение по п. 4, где 4-4 спиробицикл представлен структурой: 11. Соединение по п. 1, где соединение представлено любой из следующих структурных формул: 12. Соединение по п. 1, где R1 выбирают из: 13. Соединение по п. 12, где R1 замещен одной или более группами, независимо выбранными из -F, -Cl, -СН3, -OCH3, 14. Соединение по п. 13, где R1 выбирают из 15. Соединение по п. 14, где R1 выбирают из 16. Соединение по любому из пп. 1, 11, 13-15, где R2 выбирают из 17. Соединение по п. 16, где R2 необязательно замещен одной или двумя группами, независимо выбранными из =O, -F, -Cl, -CN, -СН3, -OCH3, -N(CH3)2, -CH2N(CH3)2, 18. Соединение по п. 17, где R2 выбирают из 19. Соединение по п. 18, где R2 выбирают из 20. Соединение по любому из пп. 1, 3 или 4, где X2 представляет собой -С(=O)-ΝΗ-♣. 21. Соединение, представляющее собой любое из следующих соединений: 22. Соединение по п. 2, где данное соединение представляет собой любое из следующих соединений: 23. Соединение по п. 3, где данное соединение представляет собой следующее соединение: 24. Соединение по п. 4, где данное соединение представляет собой любое из следующих соединений: 25. Фармацевтическая композиция, обладающая сиртуин-модулирующей активностью, содержащая соединение по любому из пп. 1-24, и фармацевтически приемлемый носитель или разбавитель. 26. Способ лечения субъекта, страдающего или склонного к инсулинорезистентности, метаболическому синдрому, диабету или его осложнениям, или повышения чувствительности к инсулину у субъекта, включающий введение нуждающемуся в этом субъекту композиции по п. 25.,
его таутомер или фармацевтически приемлемая соль, где:
каждый из Ζ1 и Ζ2 независимо выбирают из N и CR, где
по меньшей мере, один из Ζ1 и Ζ2 представляет собой CR, а
каждый R независимо выбирают из водорода, C1-C4 алкила и -N(R3)(R3);
W выбирают из -O-, -N(C1-C4) алкила и -C(R6)(R6)-, а каждый R6 независимо выбирают из водорода и C1-C4 алкила, или два R6, связанные с одним и тем же атомом углерода, взяты вместе с образованием =O,
R1 выбирают из фенила и гетероцикла, который представляет собой насыщенное или ненасыщенное 5-6-членное моноциклическое кольцо, содержащее один, два или три гетероатома, выбранных из атомов N, S и О, или 8-12-членное бициклическое кольцо, каждый цикл которого выбран из насыщенного, ненасыщенного и ароматического цикла, содержащее один или два атома азота, где R1 необязательно замещен одним или более заместителями, независимо выбранными из галогена, C1-C4 алкила, =O, фторзамещенного C1-C2 алкила, -O-R3, -(C1-C4 алкил)-N(R3)(R3), -N(R3)(R3) и -С(О)-N(R3)(R3),
R2 выбирают из фенила и гетероцикла, который представляет собой ненасыщенное 5-6-членное моноциклическое кольцо, содержащее один или два гетероатома, выбранных из атомов N и О, или представляет собой дигидробензофуранил, где R2 необязательно замещен одним или двумя заместителями, независимо выбранными из галогена, -C≡N, С1-С4 алкила, С1-С2 фторзамещенного алкила, -O-R3, -(C1-C4 алкил)-N(R3)(R3) и -N(R3)(R3);
каждый R3 независимо выбирают из -С1-С4 алкила; или
два R3 взяты вместе с атомом азота, с которым они связаны, с образованием 4-8-членного насыщенного гетероцикла, необязательно содержащего один дополнительный гетероатом, выбранный из N и О, где:
в случае, когда R3 представляет собой алкил, данный алкил необязательно замещен двумя -ОН группами, а
когда два R3 взяты вместе с атомом азота, с которым они связаны с образованием 4-8-членного насыщенного гетероцикла, данный насыщенный гетероцикл необязательно замещен по любому атому углерода фтором; и замещен по любому способному к замещению атому азота водородом;
p равен 1, 2 или 3;
X2 выбирают из -С(=O)-♣, -С(=O)-O-♣, -C(=O)-NH-♣, -S(=O)2-NH-♣ и -С(=O)-NH-CR4R5-♣, где:
♣ представляет собой место, по которому X2 связан с R1; а
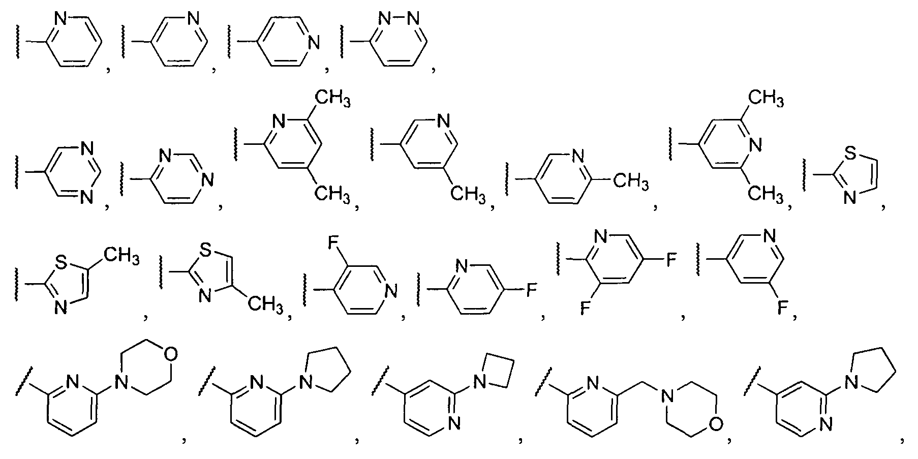
каждый R4 и R5 представляет собой водород.,
его таутомер или фармацевтически приемлемая соль, где
каждый из Ζ1 и Ζ2 представляет собой CR, где
каждый R представляет собой водород;
R11 представляет собой галоген, и R12 представляет собой галоген,
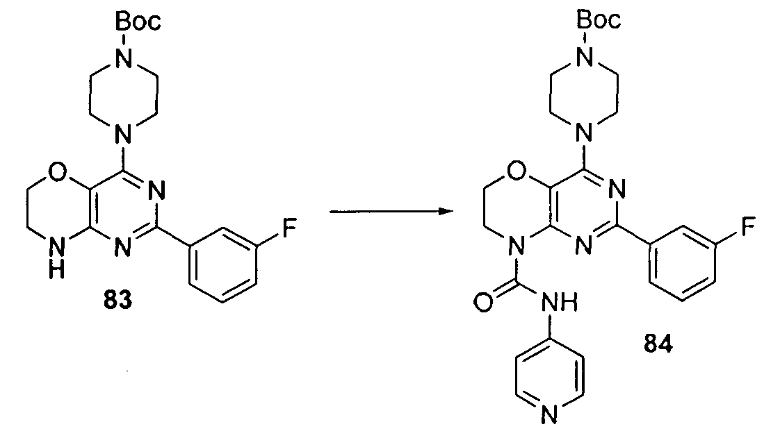
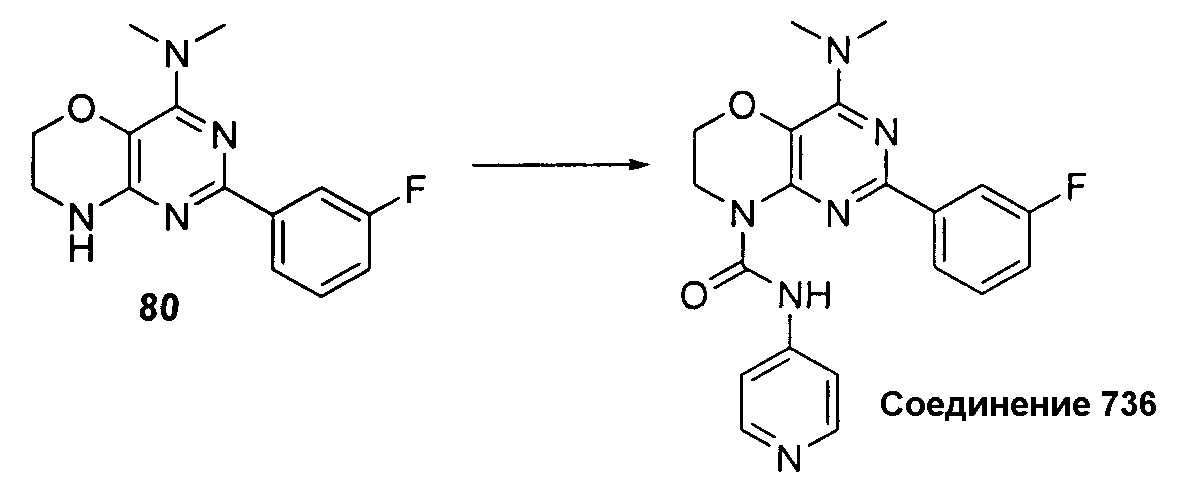
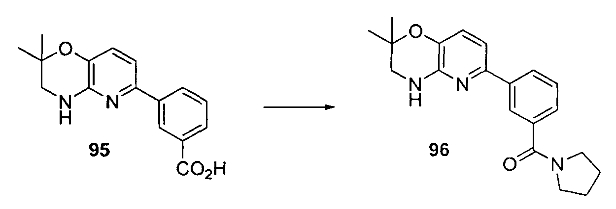
каждый R6 представляет собой водород,
R1 выбирают из фенила и гетероцикла, который представляет собой ненасыщенное 5-6-членное моноциклическое кольцо, содержащее один или два гетероатома, выбранных из атомов N и S, где R1 независимо замещен одним или двумя заместителями, независимо выбранными из галогена, -C1-C4 алкила и -O-R3,
R2 представляет собой фенил, где R2 независимо замещен одним заместителем, независимо выбранным из галогена и C1-C2 фторзамещенного алкила;
каждый R3 независимо представляет собой -С1-С4 алкил, замещенный двумя -ОН группами;
p равно 2 или 3, а
X2 представляет собой -C(=O)-NH-♣, где ♣ представляет собой место, по которому X2 связан с R1.,
его таутомер или фармацевтически приемлемая соль, где
каждый Ζ1 и Ζ2 представляет собой CR, где каждый R представляет собой водород;
W представляет собой -O-,
каждый R6 представляет собой водород,
R1 представляет собой пиридинил,
R2 представляет собой фенил, где R2 замещен одним заместителем, независимо выбранным из C1-C2 фторзамещенного алкила;
p равно 2, а
R4 и R5 взяты вместе с образованием 3-6-членного насыщенного карбоцикла.,
его таутомер или фармацевтически приемлемая соль, где
каждый Ζ1 и Ζ2 представляет собой CR, где
каждый R представляет собой водород;
W представляет собой -О-;
каждый R6 представляет собой водород,
R1 представляет собой пиридинил, где R1 замещен 4-4 спиробициклом, который включает два гетероатома, таких как N и О,
R2 представляет собой фенил, где R2 замещен одним заместителем, независимо выбранным из С1-С2 фторзамещенного алкила
p равно 1 или 2, а
X2 представляет собой -C(=O)-NH-♣,
где ♣ представляет собой место, по которому X2 связан с R1.,
,
,
,
или
.
где X соответствует X2. и
,
где R1 необязательно замещен одним или более заместителями, независимо выбранными из галогена, -C1-C4 алкила, фторзамещенного C1-C2 алкила, -(C1-C4 алкил)-N(R3)(R3), -N(R3)(R3), -C(O)-N(R3)(R3) и -O-R3. и
.
и
.
и
.
где R2 необязательно замещен одной или двумя группами, независимо выбранными из галогена, -C1-C4 алкила, -(С1-С4 алкил)-N(R3)(R3), С1-С2 фторзамещенного алкила, -O-R3 и -N(R3)(R3). -CF3,
.
и
.
2420-186030RU/032 БИЦИКЛИЧЕСКИЕ ПИРИДИНЫ И АНАЛОГИ В КАЧЕСТВЕ МОДУЛЯТОРОВ СИРТУИНА Описание Ссылка на родственную заявку По настоящей заявке испрашивается приоритет согласно предварительной заявке США № 61/256269, поданной 29 октября 2009 года, раскрытие которой включено в настоящее описание ссылкой на нее. Предшествующий уровень техники Семейство генов регуляторов молчащей информации (SIR) представляет собой высококонсервативную группу генов, присутствующую в геномах организмов, выбираемых от архебактерий до эукариотов. Кодированные белки SIR принимают участие в разнообразных процессах от регуляции молчания генов до репарации ДНК. Белки, кодированные членами семейства генов SIR, проявляют высокую степень сохранения последовательности в домене ядра из 250 аминокислот. Хорошо охарактеризованным геном в данном семействе является S. cerevisiae SIR2, который участвует в сайленсинге локусов НМ, содержащих информацию, определяющую тип спаривания дрожжей, теломерные эффекты положения и старение клеток. Белок дрожжей Sir2 принадлежит к семейству деацетилаз гистонов. Гомолог Sir2, CobB, в Salmonella typhimurium действует в качестве НАД(никотинамидадениндинуклеотид)-зависимой АДФ-рибозилтрансферазы. Белок Sir2 представляет собой деацетилазу класса III, которая использует НАД в качестве косубстрата. В отличие от других деацетилаз, многие из которых участвуют в сайленсинге генов, Sir2 нечувствителен к ингибиторам деацетилаз гистонов класса I и II подобных трихостатину А (TSA). Деацетилирование ацетиллизина под действием Sir2 тесно связано с гидролизом НАД, приводя к образованию никотинамида и нового соединения ацетил-АДФ рибозы. Активность Sir2 в отношении НАД-зависимых деацетилаз существенна для их функций, которые способны связать их биологическую роль и клеточным метаболизмом у дрожжей. Гомологи Sir2 млекопитающих обладают активностью в отношении НАД-зависимых деацетилаз. Биохимические исследования показали, что Sir2 могут легко деацетилировать амино-терминальные концы гистонов Н3 и Н4, приводя к образованию 1-О-ацетил-АДФ-рибозы и никотинамида. Штаммы с дополнительными копиями SIR2 проявляют повышенный силенсинг рДНК и увеличенную на 30% продолжительность жизни. Недавно было показано, что дополнительные копии гомолога C. elegans SIR2, sir-2.1 и ген D. Melanogaster dSir2 значительно увеличивают продолжительность жизни у данных микроорганизмов. Это означает, что SIR2-зависимый регуляторный путь старения появился на ранних этапах эволюции и хорошо сохранился. В настоящее время предполагают, что гены Sir2 эволюционировали, повышая жизнеспособность и сопротивляемость организма к стрессу, чтобы увеличить его шанс выживания в неблагоприятных условиях. У людей имеется семь Sir2-подобных генов (SIRТ1-SIRТ7), составляющих часть консервативного каталитического домена Sir2. SIRТ1 представляет собой ядерный белок с наивысшей степенью сходства последовательности с Sir2. SIRТ1 регулирует многочисленные клеточные мишени за счет деацетилирования, включая супрессор опухоли р53, фактор передачи клеточных сигналов NF-κB и фактор транскрипции FOXO. SIRТ3 представляет собой гомолог SIRТ1, сохраняемый в прокариотах и эукариотах. Белок SIRТ3 нацелен на митохондриальные гребешки при помощи уникального домена, расположенного на N-конце. SIRТ3 обладает НАД+-зависимой протеин деацетилазной активностью по отношению к белкам, и экспрессируется повсеместно, в особенности в метаболически активных тканях. Предполагается, что при переносе в митохондрии SIRТ3 расщепляется на более мелкую активную форму при помощи митохондриальной матричной пептидазы процессинга (МРР). В течение 70 лет известно, что ограничение калорий улучшает здоровье и увеличивает продолжительность жизни млекопитающих. Продолжительность жизни дрожжей, подобно продолжительности жизни многоклеточных животных, также увеличивается за счет воздействий, напоминающих ограничение калорий, например, низкой глюкозы. Открытие того, что и дрожжи, и мухи, у которых отсутствует ген SIRТ2, не живут дольше при ограничении калорий, служит доказательством того, что гены SIRТ2 опосредуют благотворное влияние на здоровье диеты с ограниченным содержанием калорий. Кроме того, мутации, снижающие активность глюкозочувствительного цАМФ (аденозин 3',5'-монофосфат)зависимого (РКА) пути у дрожжей увеличивают продолжительность жизни у клеток дикого типа, но не у мутантных штаммов sir2, показывая, что, по-видимому, SIRТ2 является ключевым нисходящим компонентом пути ограничений калорий. Краткое описание сущности изобретения В настоящем изобретении предоставлены новые сиртуин-модулирующие соединения и способы их применения. В одном из аспектов изобретения предоставлены сиртуин-модулирующие соединения структурных формул (I)-(VI), подробно описанные ниже. В другом аспекте изобретения предоставлены способы применения сиртуин-модулирующих соединений или композиций, содержащих сиртуин-модулирующие соединения. В некоторых вариантах осуществления сиртуин-модулирующие соединения, которые повышают уровень и/или активность белка сиртуина, можно использовать для различных терапевтических применений, включая, например, увеличение продолжительности жизни клетки и лечение и/или предупреждение широкого ряда заболеваний и нарушений, включая, например, заболевания или нарушения, связанные со старением или стрессом, диабет, ожирение, нейродегенеративные заболевания, невропатия, вызванная химиотерапией, невропатия, связанная с ишемическим событием, глазные болезни и/или нарушения, сердечно-сосудистое заболевание, нарушения свертывания крови, воспаление и\или приливы и так далее. Сиртуин-модулирующие соединения, которые повышают уровень и/или активность белка сиртуина, можно также применять для лечения заболевания или нарушения у субъекта, на которого повышение митохондриальной активности окажет благоприятное действие, для повышения мышечной деятельности, для повышения концентрации АТФ или для лечения или предупреждения повреждения мышечной ткани, связанного с гипоксией или ишемией. В других вариантах осуществления сиртуин-модулирующие соединения, которые повышают уровень и/или активность белка сиртуина, можно также применять для различных терапевтических применений, включающих, например, повышение клеточной чувствительности к стрессу, увеличение апоптоза, лечение рака, стимуляцию аппетита и/или стимуляцию набора веса. Как далее описано ниже, данные способы включают введение нуждающемуся в этом субъекту фармацевтически эффективного количества сиртуин-модулирующего соединения. В некоторых аспектах сиртуин-модулирующие соединения можно вводить отдельно или в комбинации с другими соединениями, включая другие сиртуин-модулирующие соединения или терапевтические агенты. Подробное описание 1. Определения Как использовано в настоящем описании, следующие термины и выражения будут иметь приведенные ниже значения. Если не определено иначе, все использованные здесь технические и научные термины имеют то же значение, что и обычно понимаемое специалистом в данной области. Термин «агент» использован в настоящем описании для обозначения химического соединения, смеси химических соединений, биологической макромолекулы (такой как нуклеиновая кислота, антитело, белок или его часть, например, пептид), или экстракта, полученного из биологических материалов, таких как клетки или ткани бактерий, растений, грибов, или животных (в частности, млекопитающих). Активность таких агентов может сделать их подходящими в качестве «терапевтического агента», который представляет собой биологически, физиологически или фармакологически активное вещество (или вещества), действующее в субъекте местно или системно. Термин «биодоступность», в отношении соединения, является определением, принятым в данной области, и относится к форме соединения, учитывающей это, или части количества соединения, вводимого, которое будет абсорбировано, включено, или физиологически доступно субъекту или пациенту, которому его вводят. «Биологически активная часть сиртуина» относится к части белка сиртуина, обладающего биологической активностью, такой как способность к деацетилированию. Биологически активные части сиртулина могут включать домен ядра сиртулинов. Биологически активные части SIRТ1 с идентификационным номером GenBank № NP_036370, включающие НАД+связывающий домен и субстрат связывающий домен, например, могут включать, без ограничения, аминокислоты 62-293 с идентификационным номером GenBank № NP_036370, которые кодированы нуклеотидами с 237 по 932 с идентификационным номером GenBank № NP_012238. Поэтому данную область иногда называют доменом ядра. Другие биологически активные части SIRТ1, иногда называемые доменами ядра, включают аминокислоты примерно от 261 по 447 с идентификационным номером GenBank № NP_036370, которые кодированы нуклеотидами от 813 по 1538 с идентификационным номером GenBank № NM_012238, включают аминокислоты 242-493 с идентификационным номером GenBank № NP_036370, которые кодированы нуклеотидами с 777 по 1532 с идентификационным номером GenBank № NP_012238, или включают аминокислоты примерно от 254 по 495 с идентификационным номером GenBank № NP_036370, которые кодированы нуклеотидами от 813 по 1538 с идентификационным номером GenBank № NM_012238. Термин «домашние животные» относится к кошкам и собакам. Как использовано в настоящем описании, термин «собака(собаки)» означает любого члена вида Canis familiaris, у которого существует множество пород. Термин «кошка(кошки)» относится к животному из семейства кошачьих, включая домашних кошек и прочих членов семейства Felidae, рода Felis. «Диабет» относится к высокому уровню сахара в крови, или кетоацидозу, а также хроническим, общим метаболическим аномалиям, возникающим в результате продолжительного состояния с высоким уровнем сахара в крови, или снижением переносимости глюкозы. «Диабет» включает формы диабета как I типа, так и II типа (инсулинонезависимый сахарный диабет или NIDDM). Факторы риска диабета включают следующие факторы: обхват талии более 40 дюймов для мужчин или 35 дюймов для женщин, давление крови 130/85 мм рт ст или выше, содержание триглицеридов более 150 мг/дл, содержание глюкозы при голодании свыше 100 мг/дл или липопротеинов высокой плотности менее 40 мг/дл для мужчин или 50 мг/дл для женщин. Термин «ED50» относится к определению эффективной дозы, принятому в данной области. В некоторых вариантах осуществления ED50означает дозу лекарственного средства, вызывающую 50% от своего максимального отклика или эффекта, или, альтернативным образом, дозу, вызывающую определенный заранее отклик у 50% тестируемых субъектов или препаратов. Термин «LD50» относится к определению летальной дозы, принятому в данной области. В некоторых вариантах осуществления LD50означает дозу лекарственного средства, которая является летальной для 50% тестируемых субъектов. Термин «терапевтический индекс» относится к определению, принятому в данной области, которое относится к терапевтическому индексу лекарственного средства, определенному как LD50/ED50. Термин «гиперинсулинемия» относится к состоянию индивидуума, при котором уровень инсулина в крови превышает нормальный. Термин «инсулинорезистентность» относится к состоянию, при котором нормальное количество инсулина вызывает аномальную биологическую реакцию по сравнению с биологической реакцией у субъекта, не имеющего инсулинорезистентности. «Нарушение инсулинорезистентности», обсуждаемое в настоящем описании, относится к любому заболеванию или состоянию, которое вызывается, или в которое вносит вклад инсулинорезистентность. Примеры включают: диабет, ожирение, метаболический синдром, синдром инсулинорезистентности, синдром Х, инсулинорезистентность, высокое давление крови, высокий уровень холестерина, дислипидемию, гиперлипидемию, атеросклеротическое заболевание, включая инсульт, болезнь коронарных артерий или инфаркт миокарда, гипергликемию, гиперинсулинемию и/или гиперпроинсулинемию, недостаточность толерантности к глюкозе, замедленное высвобождение инсулина, диабетические осложнения, включая коронарную болезнь сердца, стенокардию, застойную сердечную недостаточность, инсульт, когнитивные факторы при слабоумии, ретинопатию, периферийную невропатию, нефропатию, гломерулонефрит, гломерулосклероз, нефротический синдром, гипертензивный нефросклероз, некоторые виды рака (такой как эндометриальный, груди, простаты и толстой кишки), осложнения беременности, слабое женское репродуктивное здоровье (такое как нерегулярность менструального цикла, бесплодие, нерегулярная овуляция, синдром поликистоза яичников (PSOC)), липодистрофия, нарушения, связанные с холестерином, такие как желчные конкременты, холецистит и желчнокаменная болезнь, подагра, обструктивный синдром ночного апноэ и проблемы с дыханием, остеоартрит и разрежение кости, например, в частности, остеопороз. Термин «домашний скот» относится к четвероногим животным, которые включают животных, выращиваемых для мяса и различных субпродуктов, например, домашний скот, включая крупный рогатый скот и других членов рода Bos, свиней, включая домашних свиней и других членов рода Sus, овец, включая овец и других членов рода Ovis, домашних коз и других членов рода Capra, домашних четвероногих животных, выращиваемых для специализированных задач, таких как использование в качестве вьючного животного, например, лошадей, включая домашних лошадей и других членов семейства Equidae, рода Equus. Термин «млекопитающие» известен в данной области, и примеры млекопитающих включают людей, приматов, домашний скот (включая коров, свиней и так далее), домашних животных (например, собак, кошек и так далее) и грызунов (например, мышей и крыс). «Тучные» индивидуумы, или индивидуумы, страдающие ожирением, как правило, представляют собой индивидуумов с индексом массы тела (BMI), составляющим, по меньшей мере, 25 или более. Ожирение может быть связано, или не связано, с инсулинорезистентностью. Термины «парентеральное введение» и «вводимый парентерально» являются принятыми в данной области и относятся к способам введения, отличающимся от энтерального и местного введения, обычно путем инъекции, и включают, без ограничения, внутривенную, внутримышечную, внутриартериальную, интратекальную, интракапсулярную, внутриглазничную, интракардиальную, интрадермальную, внутрибрюшинную, внутритрахеальную, подкожную, субкутикулярную, внутрисуставную, субкапсульную, субарахноидальную, интраспинальную и интрастернальную инъекцию и инфузию. «Пациент», «субъект», «индивидуум» или «реципиент» относится либо к человеку, либо к животному, отличному от человека. Термин «фармацевтически приемлемый носитель» является принятым в данной области и относится к фармацевтически приемлемому веществу, композиции или носителю, такому как жидкий или твердый наполнитель, разбавитель, эксципиент, растворитель или инкапсулирующее вещество, участвующее в переносе или транспортировке любой рассматриваемой композиции или ее компонента. Каждый носитель должен быть «приемлемым» в смысле совместимости с рассматриваемой композицией и ее компонентами, и не вредным для пациента. Некоторые примеры веществ, которые могут служить в качестве фармацевтически приемлемых носителей, включают: (1) сахара, такие как лактоза, глюкоза и сахароза, (2) крахмалы, такие как кукурузный крахмал и картофельный крахмал, (3) целлюлозу и ее производные, такие как карбоксиметилцеллюлоза натрия, этилцеллюлоза и ацетат целлюлозы, (4) порошкообразный трагакант, (5) солод, (6) желатин, (7) тальк, (8) эксципиенты, такие как масло какао и воски для суппозиториев, (9) масла, такие как арахисовое масло, хлопковое масло, сафлоровое масло, кунжутное масло, оливковое масло, кукурузное масло и соевое масло, (10) гликоли, такие как пропиленгликоль, (11) полиолы, такие как глицерин сорбит, манит и полиэтиленгликоль, (12) сложные эфиры, такие как этилолеат и этиллаурат, (13) агар-агар, (14) буферные агенты, такие как гидроксид магния и гидроксид алюминия, (15) альгиновую кислоту, (16) апирогенную воду, (17) изотонический солевой раствор, (18) раствор Рингера, (19) этиловый спирт, (20) фосфатные буферные растворы и (21) другие нетоксичные совместимые вещества, используемые в фармацевтических композициях. Термин «предупреждение» является принятым в данной области, и при использовании в связи с таким состоянием, как местный рецидив (например, боль), заболеванием, таким как рак, синдромным комплексом, таким как сердечная недостаточность или любое другое медицинское состояние, хорошо известен в данной области, и включает введение композиции, которая снижает частоту, или задерживает наступление симптомов медицинского состояния у субъекта по сравнению с субъектом, не получающим данной композиции. Таким образом, предупреждение рака включает, например, снижение числа детектируемых раковых опухолей у совокупности пациентов, получающих профилактическое лечение по сравнению с контрольной популяцией, не получающей лечения, и/или задержку возникновения детектируемых раковых опухолей у популяции, получавшей лечение по сравнению с контрольной популяцией, не получавшей лечения, например, на статистически и/или клинически значимую величину. Предупреждение инфекционного заболевания включает, например, снижение числа диагностирования инфекционного заболевания в популяции, получавшей лечение по сравнению с контрольной популяцией, не получавшей лечение, и/или задержку наступления симптомов инфекционного заболевания у популяции, получавшей лечение по сравнению с контрольной популяцией, не получавшей лечение. Предупреждение боли включает, например, уменьшение амплитуды, или, альтернативным образом, задержку ощущения боли, испытываемой субъектами в популяции, получавшей лечение по сравнению с контрольной популяцией, не получавшей лечение. Термин «профилактическое» или «терапевтическое» лечение является принятым в данной области и относится к введению лекарственного средства реципиенту. В случае, когда его вводят до клинического проявления нежелательного состояния (например, заболевания или другого нежелательного состояния животного-реципиента), то лечение является профилактическим, то есть оно защищает реципиента от развития нежелательного состояния, тогда как если его вводят после проявления нежелательного состояния, лечение является терапевтическим (то есть оно предназначено для снижения, улучшения или поддержания имеющегося нежелательного состояния или происходящих от него побочных эффектов). Термин «апирогенная», в отношении композиции, относится к композиции, не содержащей пирогена в количестве, которое привело бы к неблагоприятному эффекту (например, раздражению, лихорадке, воспалению, диарее, респираторному дистресс-синдрому, эндотоксическому шоку и так далее) у субъекта, которому ввели данную композицию. Например, подразумевается, что данный термин включает композиции, которые не содержат, или, по существу, не содержат эндотоксина, например, такого как липополисахарид (LPS). «Репликационная продолжительность жизни» клетки относится к количеству дочерних клеток, произведенных отдельной «материнской клеткой». С другой стороны, «календарный возраст» или «календарная продолжительность жизни» относятся к промежутку времени, в течение которого популяция неделящихся клеток остается жизнеспособной при лишении питательных веществ. «Увеличение продолжительности жизни клетки» или «продление продолжительности жизни клетки» в применении к клеткам или организмам, относится к увеличению числа дочерних клеток, произведенных одной клеткой; повышению способности клеток или организмов выдерживать стрессы и бороться с повреждением, например. ДНК, белков, и/или повышению способности клеток или организмов выживать и существовать в живом состоянии в течение более длительного времени при особенном условии, например, стрессе (например, тепловом шоке, осмотическом стрессе, высокоэнергетическом облучении, химически вызванном стрессе, повреждении ДНК, недостаточной концентрации соли, недостаточной концентрации азота или недостаточном содержании питательных веществ). Продолжительность жизни можно повысить, по меньшей мере, на 10%, 20%, 30%, 40%, 50%, 60% или в интервале от 20% до 70%, от 30% до 60%, от 40% до 60% или более при использовании описанных здесь способов. «Сиртуин-активирующее соединение» относится к соединению, повышающему уровень белка сиртуина и/или повышающему, по меньшей мере, одну активность белка сиртуина. В примере осуществления сиртуин-активирующее соединение может повышать, по меньшей мере, одну биологическую активность белка сиртуина, по меньшей мере, на 10%, 25%, 50%, 75%, 100%, или более. Иллюстративная биологическая активность белков сиртуина включает деацетилирование, например, гистонов и р53, увеличение продолжительности жизни, повышение геномной стабильности, транскрипционный сайленсинг и регулирование сегрегации окисленных белков между материнскими и дочерними клетками. «Белок сиртуин» относится к члену семейства белков деацетилазы сиртуина или, предпочтительно, к семейству sir2, которое включает белки Sir2 дрожжей (идентификационный номер GenBank Р53685), «Белок SIRT1» относится к семейству sir2 деацетилаз сиртуина. В одном из вариантов осуществления белок SIRT1 включает Sir 2 дрожжей (идентификационный номер GenBank Р53685), C. Elegans Sir-2 (идентификационный номер GenBank NP_501912), человеческий SIRT1 (идентификационный номер GenBank NM_012238 или NP_036370 (или AF083106)) и его эквиваленты и фрагменты. В другом варианте осуществления белок SIRT1 включает полипептид, содержащей последовательность, состоящую, или по существу, состоящую из последовательности аминокислот, приведенной в идентификационных номерах GenBank NP_036370, NP_501912, NP_085096, NP_036369, или Р53685. Белки SIRT1 включают полипептид, содержащий всю или часть последовательности аминокислот, приведенную в идентификационных номерах GenBank NP_036370, NP_501912, NP_085096, NP_036369, или Р53685, последовательности аминокислот, приведенную в идентификационных номерах GenBank NP_036370, NP_501912, NP_085096, NP_036369, или Р53685 с 1 примерно до 2, 3, 5, 7, 10, 15, 20, 30, 50, 75 или более консервативных замещений аминокислот, последовательность аминокислот, которая, по меньшей мере, на 60%, 70%, 80%, 90%, 95%, 96%, 97%, 98% или 99% идентична идентификационным номерам GenBank NP_036370, NP_501912, NP_085096, NP_036369 или Р53685, и ее функциональные фрагменты. Полипептиды данного изобретения включает также гомологи (например, ортологи и паралоги), варианты или фрагменты идентификационных номеров GenBank NP_036370, NP_501912, NP_085096, NP_036369 или Р53685. Как использовано в настоящем описании, «белок SIRT2», «белок SIRT3», «белок SIRT4», «белок SIRT5», «белок SIRT6» и «белок SIRT7» относятся к белкам деацетилазы сиртуина других млекопитающих, например, человека, которые являются гомологами белка SIRT1, в частности, в консервированном каталитическом домене, состоящем приблизительно из 275 аминокислот. Например, «белок SIRT3» относится к члену семейства белков деацетилазы сиртуина, являющемуся гомологом белка SIRT1. В одном из вариантов осуществления белок SIRT3 включает белки SIRT3 человека (идентификационный номер GenBank ААН01042, NP_036371 или NP_001017524) и SIRT3 мыши (идентификационный номер GenBank NP_071878) и их фрагменты и эквиваленты. В другом варианте осуществления белок SIRT3 включает полипептид, содержащий последовательность, состоящую, или по существу, состоящую, из последовательности аминокислот, приведенной в идентификационных номерах GenBank ААН01042, NP_036371, NP_0017524 или NP_071878. Белки SIRT3 включают полипептиды, содержащие всю или часть последовательности аминокислот, приведенной под идентификационными номерами GenBank ААН01042, NP_036371, NP_0017524 или NP_071878, последовательность аминокислот от 1 до примерно до 2, 3, 5, 7, 10, 15, 20, 30 50, 75 или более консервативных замещений аминокислот, которая, по меньшей мере, на 60%, 70%, 80%, 90%, 95%, 96%, 97%, 98% или 99% идентична идентификационным номерам GenBank ААН01042, NP_036371, NP_0017524 или NP_071878 и ее функциональным фрагментам. Полипептиды данного изобретения включает также гомологи (например, ортологи и паралоги), варианты или фрагменты идентификационных номеров GenBank ААН01042, NP_036371, NP_0017524 или NP_071878. В одном из вариантов осуществления белок SIRT3 включают фрагмент белка SIRT3, образующийся в результате расщепления митохондриальной матриксной пептидазой процессинга (МРР) и/или митохондриальной промежуточной пептидазой (MIP). Термины «системное введение», «вводимое системно», «периферическое введение» и «вводимое периферически» являются принятыми в данной области и относятся к введению рассматриваемой композиции, терапевтического или другого вещества иным образом, чем непосредственно в центральную нервную систему, так что оно входит в систему пациента и, таким образом, подвергается метаболизму и прочим подобным процессам. Использованный в настоящем описании термин «таутомер» является принятым в данной области и относится к формальной миграции атома водорода, то есть протона, сопровождаемой сдвигом одинарной связи и соседней двойной связи. При использовании здесь для описания соединения или рода соединений, таутомер включает любую часть соединения или целое соединение, такое как один заместитель соединения, несколько заместителей соединения, или, например, все соединение. Например, таутомер соединения, содержащего гидроксилзамещенный пиридиновый цикл (А), представляет собой кето-енольный замещенный цикл (В): Термин «терапевтический агент» является принятым в данной области и относится к любому химическому компоненту, который представляет собой биологически, физиологически или фармакологически активное вещество, действующее в субъекте местным или системным образом. Данный термин также означает любое соединение, предназначенное для применения в диагностике, лечении, облегчении, терапии или предупреждении заболевания или повышении желательного физического или умственного развития и/или состояний у животного или человека. Термин «терапевтическое воздействие» является принятым в данной области и относится к местному или системному воздействию у животных в частности, млекопитающих, а более конкретно, людей, вызванному фармакологически активным веществом. Выражение «терапетически эффективное количество» означает такое количество подобного вещества, которого приводит к некоторому желательному местному или системному воздействию при приемлемом соотношении польза/риск в применении к какому-либо лечению. Терапетически эффективное количество подобного вещества будет изменяться в зависимости от субъекта и состояния заболевания, подлежащего лечению, массы и возраста субъекта, тяжести состояния заболевания, способа введения и так далее, которое может быть легко определено специалистом в данной области. Например, некоторые описанные здесь композиции можно вводить в количестве, достаточном для получения желательного воздействия при приемлемом соотношении польза/риск, применимом для подобного лечения. «Лечение» состояния или заболевания относится к лечению, а также улучшению, по меньшей мере, одного симптома состоянии или заболевания. Термин «ухудшение зрения» относится к снижению зрения, которое часто является лишь частично обратимым или необратимым при лечении (например, хирургическом). В частности, тяжелое ухудшение зрения называют «слепота» или «потеря зрения», которые относится к полной потере зрения, зрению хуже, чем 20/200, которое нельзя исправить при помощи корректирующих линз, или области обзора диаметром менее 20 градусов (радиус 10 градусов). 2. Модуляторы сиртуина В одном аспекте изобретение предлагает новые сиртуин-модифицирующие соединения для лечения и/или предупреждения широкого ряда заболеваний и расстройств, включая, например, заболевания или нарушения, связанные со старением или стрессом, диабет, ожирение, нейродегенеративные заболевания, невропатия, вызванная химиотерапией, невропатия, связанная с ишемическим событием, глазные болезни и/или нарушения, сердечно-сосудистое заболевание, нарушения свертывания крови, воспаление и\или приливы и так далее. Сиртуин-модулирующие соединения, которые повышают уровень и/или активность белка сиртуина, можно также применять для лечения заболевания или нарушения у субъекта, на которого повышение митохондриальной активности окажет благоприятное действие, для повышения мышечной деятельности, для повышения концентрации АТФ или для лечения или предупреждения повреждения мышечной ткани, связанного с гипоксией или ишемией. Другие соединения, раскрытые в данном описании, могут быть пригодны для применения в фармацевтических композициях и/или одном или более способах, раскрытых в данном описании. В одном из вариантов осуществления изобретения предоставлено соединение структурной формулы (I): его таутомер или соль, где: каждый из Z1 и Z2независимо выбирают из N и CR, где по меньшей мере, один из Z1 и Z2представляет собой CR, а каждый R независимо выбирают из водорода, галогена, -ОН, -C≡N, фторзамещенного С1-С2алкила, -О-(С1-С2)фторзамещенного алкила, -S-(С1-С2)фторзамещенного алкила, С1-С4алкила, -О-(С1-С4)алкила, -S-(С1-С4)алкила, (С3-С7)циклоалкила, (С1-С2)алкил-N(R3)(R3), -О-СН2СН(ОН)СН2ОН, -О-(С1-С3)алкил-N(R3)(R3) и -N(R3)(R3); W выбирают из -О-, -NH-, -N(С1-С4)алкила, -S-, -S(O)-, -S(O)2 и -С(R6)(R6)-, а каждый R6 независимо выбирают из водорода, С1-С4 алкила и фторзамещенного С1-С4алкила, или два R6,связанных с одним и тем же атомом углерода, взяты вместе с образованием =О, R1 выбирают из карбоцикла и гетероцикла, где R1 необязательно замещен одним или более заместителями, независимо выбранными из галогена, -C≡N, С1-С4алкила, =О, С3-С7циклоалкила, фторзамещенного С1-С2 алкила, -О-R3, -S-R3, -(С1-С4 алкил)-N(R3)(R3), -N(R3)(R3), -О-(С1-С4 алкил)-N(R3)(R3), -(С1-С4 алкил)- О-(С1-С4 алкил)-N(R3)(R3), -С(О)-N(R3)(R3), и -(С1-С4 алкил)-С(О)- N(R3)(R3), и когда R1 представляет собой фенил, R1 также необязательно замещен -О-(насыщенным гетероциклом), -О-( фторзамещенным насыщенным гетероциклом), С1-С4 алкилзамещенным насыщенным гетероциклом, 3,4-метилендиокси, фторзамещенным 3,4-метилендиокси, 3,4-этилендиокси или фторзамещенным 3,4-этилендиокси, R2 выбирают из карбоцикла и гетероцикла, где R2 необязательно замещен одним или более заместителями, независимо выбранными из галогена, -C≡N, С1-С4алкила, С3-С7циклоалкила, С1-С2 фторзамещенного алкила, -О-R3, -S-R3, -SО2-R3, =О, -(С1-С4 алкил)-N(R3)(R3), -N(R3)(R3), -О-(С1-С4 алкил)-N(R3)(R3), -(С1-С4 алкил)- О-(С1-С4 алкил)-N(R3)(R3), -С(О)-N(R3)(R3), -(С1-С4 алкил)-С(О)- N(R3)(R3), -О-фенила, фенила, и второго гетероцикла, и когда R2 представляет собой фенил, R2 также необязательно замещен -О-(насыщенным гетероциклом), 3,4-метилендиокси, фторзамещенным 3,4-метилендиокси, 3,4-этилендиокси или фторзамещенным 3,4-этилендиокси, где любой фенил, насыщенный гетероцикл, или второй гетероциклический заместитель R2 необязательно замещен галогеном, -C≡N, С1-С4алкилом, фторзамещенным С1-С2 алкилом, -О-(С1-С2) фторзамещенным алкилом, -О-(С1-С4) алкилом, -S-(С1-С4) алкилом, -S-(С1-С2) фторзамещенным алкилом, -NH-(С1-С4) алкилом, и -N-(С1-С4)2 алкилом; каждый R3 независимо выбирают из водорода и -С1-С4алкила; или два R3 взяты вместе с атомом азота, с которым они связаны, с образованием 4-8-членного насыщенного гетероцикла, необязательно содержащего один дополнительный гетероатом, выбранный из N, S, S(=O), S(=O)2 и О, где: в случае, когда R3 представляет собой алкил, данный алкил необязательно замещен одним или более заместителями, выбранными из -ОН, фтора, -NH2, -NH(С1-С4 алкила), -N(С1-С4 алкила)2, -NH(CH2CH2OCH3) или -N(CH2CH2OCH3)2, а когда два R3 взяты вместе с атомом азота, с которым они связаны с образованием 4-8-членного насыщенного гетероцикла, данный насыщенный гетероцикл необязательно замещен по любому атому углерода -ОН, С1-С4 алкилом, фтором, -NH2, -NH(С1-С4 алкилом), -N(С1-С4 алкилом)2, -NH(CH2CH2OCH3) или -N(CH2CH2OCH3)2; и необязательно замещен по любому подлежащему замещению атому азота водородом, С1-С4 алкилом, фторзамещенным С1-С4 алкилом, или -(СН2)2-О-СН3; р равен 1, 2 или 3; Х2 выбирают из -С(=О)-♣, -С(=О)-О-♣, -С(=О)-СR4R5-♣, -S(=O)-♣, -S(=O)2-♣, -S(=O)-СR4R5-♣,-S(=O)2-СR4R5-♣, -С(=S)-♣, -С(=S)-СR4R5-♣, -С(=О)-NH-♣, -С(=S)-NH-♣, -S(=О)-NH-♣, -S(=О)2-NH-♣, -СR4R5-NH-♣, -C(=NR4)-NH-♣, -C(=O)-NH-СR4R5-♣, -СR4R5-NH-C(=O)-♣, -СR4R5-C(=S)-NH-♣, -СR4R5-S(=O)-NH-♣, -СR4R5-S(O)2-NH-♣, -СR4R5-O-C(=O)-NH-♣, и -СR4R5-NH-C(=O)-O-♣, где: ♣ представляет собой место, по которому Х2связан с R1; а каждый R4и R5независимо выбирают из водорода, С1-С4 алкила, -CF3 и (С1-С3 алкил)-CF3. Соединение структурной формулы (I) можно представить структурной формулой (II): где R10 представляет собой С1-С4 алкил. Соединение структурной формулы (I) можно также представить структурной формулой (III): где R10 выбирают из гетероцикла и алифатического карбоцикла. В одном из вариантов осуществления данного изобретения предоставлено соединение, представленное структурной формулой (IV): его таутомер или соль, где каждый из Z1и Z2независимо выбирают из N и CR, где по меньшей мере, один из Z1и Z2 представляет собой CR; а каждый R независимо выбирают из водорода, галогена, -ОН, -C≡N, фторзамещенного С1-С2 алкила, -О-(С1-С2) фторзамещенного алкила, -S-(С1-С2) фторзамещенного алкила, -С1-С4алкила, -О-(С1-С4) алкила, -S-(С1-С4) алкила, С3-С7 циклоалкила, -(С1-С2) алкил- N(R3)(R3), -О-СН2СН(ОН)СН2ОН, -О-(С1-С3)алкил-N(R3)(R3), и -N(R3)(R3); R11 выбирают из галогена, а R12 выбирают из водорода, галогена, С1-С4 алкила и фторзамещенного С1-С4 алкила, каждый R6 независимо выбирают из водорода, С1-С4 алкила и фторзамещенного С1-С4 алкила, или два R6, связанные с одним и тем же атомом углерода, взяты вместе с образованием =О, R1 выбирают из карбоцикла и гетероцикла, где R1 независимо замещен одним или более заместителями, независимо выбранными из галогена, -C≡N, -С1-С4алкила, =О, С3-С7 циклоалкила, фторзамещенного С1-С2 алкила, -О-R3, -S-R3, -(С1-С4алкил)-N(R3)(R3), -N(R3)(R3), -О-(С1-С4)алкил-N(R3)(R3), -(С1-С4 алкил)-О-(С1-С4 алкил)-N(R3)(R3), -С(О)-N(R3)(R3) и -(С1-С4 алкил)-С(О)-N(R3)(R3), и когда R1представляет собой фенил, R1 также необязательно замещен -О-(насыщенным гетероциклом), -О-( фторзамещенным насыщенным гетероциклом), С1-С4 алкилзамещенным насыщенным гетероциклом, 3,4-метилендиокси, фторзамещенным 3,4-метилендиокси, 3,4-этилендиокси или фторзамещенным 3,4-этилендиокси, R2 выбирают из карбоцикла и гетероцикла, где R2 независимо замещен одним или более заместителями, независимо выбранными из галогена, -C≡N, -С1-С4алкила, С3-С7 циклоалкила, С1-С2 фторзамещенного алкила, -О-R3, -S-R3, -S(О)2-R3, =О, -(С1-С4алкил)-N(R3)(R3), -N(R3)(R3), -О-(С1-С4)алкил-N(R3)(R3), -(С1-С4 алкил)-О-(С1-С4 алкил)-N(R3)(R3), -С(О)-N(R3)(R3), -(С1-С4 алкил)-С(О)-N(R3)(R3), -О-фенила, фенила, и второго гетероцикла, а когда R2представляет собой фенил, R2 также необязательно замещен -О-(насыщенным гетероциклом), 3,4-метилендиокси, фторзамещенным 3,4-метилендиокси, 3,4-этилендиокси или фторзамещенным 3,4-этилендиокси, где любой фенил, насыщенный гетероцикл, или второй гетероциклический заместитель R2 необязательно замещен галогеном, -C≡N, -С1-С4алкилом, фторзамещенным С1-С2 алкилом, -О-(С1-С2) фторзамещенным алкилом, -О-(С1-С4) алкилом, -S-(С1-С4) алкилом, -S-(С1-С2) фторзамещенным алкилом, -NH-(С1-С4) алкилом и -N-(С1-С4)2 алкилом; каждый R3 независимо выбирают из водорода и -С1-С4алкила; или два R3 взяты вместе с атомом азота, с которым они связаны, с образованием 4-8-членного насыщенного гетероцикла, необязательно содержащего один дополнительный гетероатом, выбранный из N, S, S(=O), S(=O)2 и О, где: в случае, когда R3 представляет собой алкил, данный алкил необязательно замещен одним или более заместителями, выбранными из -ОН, фтора, -NH2, -NH(С1-С4алкила), -N(С1-С4алкил)2, -NH(CH2CH2OCH3) и -N(CH2CH2OCH3)2, а в случае, когда два R3 взяты вместе с атомом азота, с которым они связаны, с образованием 4-8-членного насыщенного гетероцикла, данный насыщенный гетероцикл необязательно замещен по любому атому углерода -ОН, -С1-С4алкилом, фтором, -NH2, -NH(С1-С4алкилом), -N(С1-С4алкилом)2, -NH(CH2CH2OCH3) или -N(CH2CH2OCH3)2; и необязательно замещен по любому подходящему для замещения атому азота водородом, -С1-С4алкилом, фторзамещенным С1-С4алкилом, или -(СН2)2-О-СН3; р равно 1, 2, или 3, а Х2 выбирают из -С(=О)-♣, -С(=О)-О-♣, -С(=О)-СR4R5-♣, -S(=O)-♣, -S(=O)2-♣, -S(=O)-СR4R5-♣,-S(=O)2-СR4R5-♣, -С(=S)-♣, -С(=S)-СR4R5-♣, -С(=О)-NH-♣, -С(=S)-NH-♣, -S(=О)-NH-♣, -S(=О)2-NH-♣, -СR4R5-NH-♣, -C(=NR4)-NH-♣, -C(=O)-NH-СR4R5-♣, -СR4R5-NH-C(=O)-♣, -СR4R5-C(=S)-NH-♣, -СR4R5-S(O)-NH-♣, -СR4R5-S(O)2-NH-♣, -СR4R5-O-C(=O)-NH-♣ и -СR4R5-NH-C(=O)-O-♣, где: ♣ представляет собой место, по которому Х2связан с R1; а каждый R4и R5независимо выбирают из водорода, С1-С4 алкила, -CF3 и (С1-С3 алкил)-CF3. В соединении, представленном структурной формулой (IV) каждый из R11и R12может быть выбран из галогена. Например, каждый из R11и R12может представлять собой фтор. В другом варианте осуществления изобретения представляено соединение, представленное структурной формулой (V): его таутомер или соль, где каждый Z1и Z2независимо выбирают из N и CR, где по меньшей мере, один из Z1и Z2 представляет собой CR; а каждый R независимо выбирают из водорода, галогена, -ОН, -C≡N, фторзамещенного С1-С2 алкила, -О-(С1-С2) фторзамещенного алкила, -S-(С1-С2) фторзамещенного алкила, -С1-С4алкила, -О-(С1-С4) алкила, -S-(С1-С4) алкила, С3-С7 циклоалкила, -(С1-С2) алкил- N(R3)(R3), -О-СН2СН(ОН)СН2ОН, -О-(С1-С3)алкил-N(R3)(R3), и -N(R3)(R3); W выбирают из -О-, -NH-, -N(С1-С4 алкила), -S-, -S(O)-, -S(O)2- и -С-(R6)(R6)-, а каждый R6независимо выбирают из водорода, галогена, С1-С4 алкила и фторзамещенного С1-С4 алкила, или два R6, связанных с одним и тем же атомом углерода, взяты вместе с образованием =О, R1 выбирают из карбоцикла и гетероцикла, где R1 независимо замещен одним или более заместителями, необязательно выбранными из галогена, -C≡N, -С1-С4алкила, =О, С3-С7 циклоалкила, фторзамещенного С1-С2 алкила, -О-R3, -S-R3, -(С1-С4алкил)-N(R3)(R3), -N(R3)(R3), -О-(С1-С4)алкил-N(R3)(R3), -(С1-С4 алкил)-О-(С1-С4 алкил)-N(R3)(R3), -С(О)-N(R3)(R3) и -(С1-С4 алкил)-С(О)-N(R3)(R3), и когда R1представляет собой фенил, R1 также необязательно замещен -О-(насыщенным гетероциклом), -О-( фторзамещенным насыщенным гетероциклом), С1-С4 алкилзамещенным насыщенным гетероциклом, 3,4-метилендиокси, фторзамещенным 3,4-метилендиокси, 3,4-этилендиокси или фторзамещенным 3,4-этилендиокси, R2 выбирают из карбоцикла и гетероцикла, где R2 необязательно замещен одним или более заместителями, независимо выбранными из галогена, -C≡N, -С1-С4алкила, С3-С7 циклоалкила, С1-С2 фторзамещенного алкила, -О-R3, -S-R3, -SО2-R3, =О, -(С1-С4алкил)-N(R3)(R3), -N(R3)(R3), -О-(С1-С4 алкил)-N(R3)(R3), -(С1-С4 алкил)-О-(С1-С4 алкил)-N(R3)(R3), -С(О)-N(R3)(R3), -(С1-С4 алкил)-С(О)-N(R3)(R3), -О-фенила, фенила и второго гетероцикла, и когда R2представляет собой фенил, R2 также необязательно замещен -О-(насыщенным гетероциклом), 3,4-метилендиокси, фторзамещенным 3,4-метилендиокси, 3,4-этилендиокси или фторзамещенным 3,4-этилендиокси, где любой фенил, насыщенный гетероцикл, или второй гетероциклический заместитель R2 необязательно замещен галогеном, -C≡N, -С1-С4алкилом, фторзамещенным С1-С2 алкилом, -О-(С1-С2) фторзамещенным алкилом, -О-(С1-С4) алкилом, -S-(С1-С4) алкилом, -S-(С1-С2) фторзамещенным алкилом, -NH-(С1-С4) алкилом и -N-(С1-С4)2 алкилом; каждый R3 независимо выбирают из водорода и -С1-С4алкила; или два R3 взяты вместе с атомом азота, с которым они связаны, с образованием 4-8-членного насыщенного гетероцикла, необязательно содержащего один дополнительный гетероатом, выбранный из N, S, S(=O), S(=O)2 и О, где: в случае, когда R3 представляет собой алкил, данный алкил необязательно замещен одним или более заместителями, независимо выбранными из -ОН, фтора, -NH2, -NH(С1-С4алкила), -N(С1-С4алкила)2, -NH(CH2CH2OCH3) и -N(CH2CH2OCH3)2, а в случае, когда два R3 взяты вместе с атомом азота, с которыми они связаны, с образованием 4-8-членного насыщенного гетероцикла, данный насыщенный гетероцикл необязательно замещен по любому атому углерода -ОН, -С1-С4алкилом, фтором, -NH2, -NH(С1-С4алкилом), -N(С1-С4алкилом)2, -NH(CH2CH2OCH3) или -N(CH2CH2OCH3)2; и необязательно замещен по любому подходящему для замещения атому азота водородом, -С1-С4алкилом, фторзамещенным С1-С4алкилом, или -(СН2)2-О-СН3; р равно 1, 2, или 3, а R4 и R5взяты вместе с образованием 3-6-членного насыщенного карбоцикла или гетероцикла. Для соединения, представленного структурной формулой (V), R4 и R5можно взять вместе с получением карбоцикла. Например, взятые вместе R4 и R5могут образовывать циклопропильное кольцо. В еще одном варианте осуществления в настоящем изобретении соединение, представленное структурной формулой (VI): его таутомер или соль, где каждый Z1и Z2независимо выбирают из N и CR, где по меньшей мере, один из Z1и Z2 представляет собой CR; а каждый R независимо выбирают из водорода, галогена, -ОН, -C≡N, фторзамещенного С1-С2 алкила, -О-(С1-С2) фторзамещенного алкила, -S-(С1-С2) фторзамещенного алкила, -С1-С4алкила, -О-(С1-С4) алкила, -S-(С1-С4) алкила, С3-С7 циклоалкила, -(С1-С2) алкил- N(R3)(R3), -О-СН2СН(ОН)СН2ОН, -О-(С1-С3)алкил-N(R3)(R3), и -N(R3)(R3); W выбирают из -О-, -NH-, -N(С1-С4 алкила), -S-, -S(O)-, -S(O)2- и -С-(R6)(R6)-, а каждый R6независимо выбирают из водорода, галогена, С1-С4 алкила и фторзамещенного С1-С4 алкила, или два R6, связанных с одним и тем же атомом углерода, взяты вместе с образованием =О, R1 выбирают из карбоцикла и гетероцикла, где R1 замещен спиробициклом и R1 необязательно дополнительно замещен одним или более заместителями, независимо выбранными из галогена, -C≡N, -С1-С4алкила, =О, С3-С7 циклоалкила, фторзамещенного С1-С2 алкила, -О-R3, -S-R3, -(С1-С4алкил)-N(R3)(R3), -N(R3)(R3), -О-(С1-С4)алкил-N(R3)(R3), -(С1-С4 алкил)-О-(С1-С4 алкил)-N(R3)(R3), -С(О)-N(R3)(R3) и -(С1-С4 алкил)-С(О)-N(R3)(R3), и когда R1представляет собой фенил, R1 также необязательно замещен -О-(насыщенным гетероциклом), -О-( фторзамещенным насыщенным гетероциклом), С1-С4 алкилзамещенным насыщенным гетероциклом, 3,4-метилендиокси, фторзамещенным 3,4-метилендиокси, 3,4-этилендиокси или фторзамещенным 3,4-этилендиокси, R2 выбирают из карбоцикла и гетероцикла, где R2 необязательно замещен одним или более заместителями, независимо выбранными из галогена, -C≡N, -С1-С4алкила, С3-С7 циклоалкила, С1-С2 фторзамещенного алкила, -О-R3, -S-R3, -SО2-R3, =О, -(С1-С4алкил)-N(R3)(R3), -N(R3)(R3), -О-(С1-С4 алкил)-N(R3)(R3), -(С1-С4 алкил)-О-(С1-С4 алкил)-N(R3)(R3), -С(О)-N(R3)(R3), -(С1-С4 алкил)-С(О)-N(R3)(R3), -О-фенила, фенила и второго гетероцикла, и когда R2представляет собой фенил, R2 также необязательно замещен -О-(насыщенным гетероциклом), 3,4-метилендиокси, фторзамещенным 3,4-метилендиокси, 3,4-этилендиокси или фторзамещенным 3,4-этилендиокси, где любой фенил, насыщенный гетероцикл, или второй гетероциклический заместитель R2 необязательно замещен галогеном, -C≡N, -С1-С4алкилом, фторзамещенным С1-С2 алкилом, -О-(С1-С2) фторзамещенным алкилом, -О-(С1-С4) алкилом, -S-(С1-С4) алкилом, -S-(С1-С2) фторзамещенным алкилом, -NH-(С1-С4) алкилом и -N-(С1-С4)2 алкилом; каждый R3 независимо выбирают из водорода и -С1-С4алкила; или два R3 взяты вместе с атомом азота, с которым они связаны, с образованием 4-8-членного насыщенного гетероцикла, необязательно содержащего один дополнительный гетероатом, выбранный из N, S, S(=O), S(=O)2 и О, где: в случае, когда R3 представляет собой алкил, данный алкил необязательно замещен одним или более заместителями, выбранными из -ОН, фтора, -NH2, -NH(С1-С4алкила), -N(С1-С4алкила)2, -NH(CH2CH2OCH3) и -N(CH2CH2OCH3)2, а в случае, когда два R3 взяты вместе с атомом азота, с которыми они связаны, с образованием 4-8-членного насыщенного гетероцикла, данный насыщенный гетероцикл необязательно замещен по любому атому углерода -ОН, -С1-С4алкилом, фтором, -NH2, -NH(С1-С4алкилом), -N(С1-С4алкил)2, -NH(CH2CH2OCH3) или -N(CH2CH2OCH3)2; и необязательно замещен по любому подходящему для замещения атому азота водородом, -С1-С4алкилом, фторзамещенным С1-С4алкилом, или -(СН2)2-О-СН3; р равно 1, 2, или 3, а Х2 выбирают из -С(=О)-♣, -С(=О)-О-♣, -С(=О)-СR4R5-♣, -S(=O)-♣, -S(=O)2-♣, -S(=O)-СR4R5-♣,-S(=O)2-СR4R5-♣, -С(=S)-♣, -С(=S)-СR4R5-♣, -С(=О)-NH-♣, -С(=S)-NH-♣, -S(=О)-NH-♣, -S(=О)2-NH-♣, -СR4R5-NH-♣, -C(=NR4)-NH-♣, -C(=O)-NH-СR4R5-♣, -СR4R5-NH-C(=O)-♣, -СR4R5-C(=S)-NH-♣, -СR4R5-S(O)-NH-♣, -СR4R5-S(O)2-NH-♣, -СR4R5-O-C(=O)-NH-♣ и -СR4R5-NH-C(=O)-O-♣, где: ♣ представляет собой место, по которому Х2связан с R1; а каждый R4и R5независимо выбирают из водорода, С1-С4 алкила, -CF3 и (С1-С3 алкил)-CF3, и когда Х2представляет собой -C(=O)-NH-СR4R5-♣, R4и R5можно также взять вместе с образованием 3-6-членного насыщенного карбоцикла или гетероцикла. В некоторых вариантах осуществления для соединения, представленного структурной формулой (VI), когда Х2представляет собой -C(=O)-NH-СR4R5-♣, R4и R5можно также взять вместе с образованием карбоцикла. Например, взятые вместе, R4 и R5могут образовывать циклопропильное кольцо. В случае соединения, представленного структурной формулой (VI), спиробицикл может представлять собой 4-4 гетеробицикл. В некоторых вариантах осуществления, данный 4-4 гетеробицикл представлен структурой: В некоторых вариантах осуществления, когда R1 замещен спиробициклом, R1 выбирают из R1 в соединении, представленном структурной формулой (VI), может представлять собой пиридил. В некоторых вариантах осуществления R1 представляет собой Каждый из следующих вариантов осуществления, если не указано иначе или вне рамок данных структурных формул, можно применять к любой из формул (I), (II), (III), (IV), (V) или (VI). В тех случаях, когда в структуре требуется конкретный заместитель (например, спиробицикл в R1в формуле (VI)), следует понимать, что приведенные ниже группы представляют собой подходящие фрагменты, с которыми будет связан конкретный заместитель, и, следовательно, сохраняются в соединении, как это требуется в данной формуле. В некоторых вариантах осуществления W представляет собой -О-, -NH-, -N(С1-С4 алкил) или -С(R6)(R6)-. В некоторых вариантах осуществления W выбирают из -N(С1-С4 алкила)-, -S-, -S(O)-, -S(O)2- и -С(R6)(R6)-. В некоторых вариантах осуществления R1 выбирают из гетероцикла и алифатического карбоцикла. В некоторых вариантах осуществления R1 выбирают из арила, отличающегося от фенила, например, нафтила. В некоторых вариантах осуществления R1 выбирают из гетероцикла, такого как гетероарил. В некоторых вариантах осуществления каждый из Z1и Z2 представляет собой CR, в частности, СН. В некоторых вариантах осуществления R6 представляет собой -Н или -СН3, или два R6, взятых вместе, представляют собой =О. В конкретных вариантах осуществления каждый R6 представляет собой -Н. В конкретных вариантах осуществления W, Z1, Z2 и R6 выбирают так, чтобы соединение выбирали из любой из следующих структурных формул: В некоторых вариантах осуществления R1 выбирают из: В конкретных вариантах осуществления соединения структурной формулы (I) R1 выбирают из: В еще более конкретных вариантах осуществления соединения структурной формулы (I) R1 выбирают из: В некоторых вариантах осуществления соединения структурной формулы (I) R2 выбирают из: где R2 необязательно замещен одной или более группами, независимо выбранными из галогена, -С1-С4алкила, -(С1-С4алкил)-N(R3)(R3), С1-С2фторзамещенного алкила, -О-R3, -SО2-R3, -N(R3)(R3) и -О-(С1-С4 алкил)-N(R3)(R3). В некоторых из подобных вариантов осуществления R2 необязательно замещен одной или более группами, независимо выбранными из =О, -F, -Cl, -CN, -CH3, -OCH3, -CF2H, -N(CH3)2, -CH2N(CH3)2, В конкретных вариантах осуществления R2 выбирают из В еще более конкретных вариантах осуществления R2 выбирают из В некоторых вариантах осуществления Х2 представляет собой -С(=О)-NH-♣. В некоторых вариантах осуществления R1, R2, W, Х2, Z1 и Z2 выбирают так, чтобы они имели одно, два, три, четыре, пять или шесть из конкретных значений, описанных выше. Например, W, R6, Z1 и Z2 можно выбрать так, чтобы получить от одной до шести приведенных выше конкретных структурных формул в сочетании с Х2 в виде -С(=О)-NH-♣ и любой из приведенных выше конкретных структур R1 и R2. Описанные ниже варианты осуществления применяют к соединениям любой из структурных формул (I)-(VI). Соединения данного изобретения, включая новые соединения изобретения, можно также использовать в описанных здесь способах. Описанные здесь соединения и их соли могут также присутствовать в виде гидратов (например, полугидрата, моногидрата, дигидрата, тригидрата, тетрагидрата) и сольватов. Подходящие растворители для получения сольватов и гидратов, как правило, может выбрать опытный специалист. Соединения и их соли могут присутствовать в аморфных или кристаллических (включая ко-кристаллические и полиморфные) формах. Сиртуин-модулирующие соединения изобретения преимущественно модулируют уровень и/или активность сиртуиновых белков, в частности, деацетилазную активность белка сиртуина. Отдельно или в дополнение к упомянутым выше свойствам, некоторые сиртуин-модулирующие соединения изобретения, по существу, не обладают одной или более из следующих видов активности: ингибирование РI3-киназы, ингибирование альдоредуктазы, ингибирование тирозинкиназы, трансактивация EGFR тирозинкиназы, коронарная дилатация или спазмолитическая активность, при концентрациях соединения, которые эффективны для модулирования деацетилирующей активности белка сиртуина (например, такого как белок SIRT1 и/или SIRT3). Алкильная группа представляет собой линейный или разветвленный углеводород, который полностью насыщен. Обычно линейная или разветвленная алкильная группа содержит от 1 до около 20 атомов углерода, предпочтительно, от 1 до около 10. Примеры линейных или разветвленных алкильных групп включают метил, этил, н-пропил, изопропил, н-бутил, вторбутил, третбутил, пентил, гексил, гептил и октил. С1-С4 линейную или разветвленную алкильную группу называют также «низшей алкильной» группой. Использованные в настоящем описании термины «карбоцикл» и «карбоциклический» относятся к насыщенному или ненасыщенному циклу, в котором каждый атом цикла представляет собой углерод. Карбоцикл включает 5-7-членные и 8-12 членные бициклические кольца. Каждый цикл бициклического карбоцикла можно выбрать из насыщенных, ненасыщенных и ароматических циклов. В иллюстративном варианте осуществления ароматический цикл, например, фенил, может быть конденсирован с насыщенным или ненасыщенным циклом, например, циклогексаном, циклопентаном или циклогексеном. В определение карбоцикла входит любая комбинация насыщенных, ненасыщенных и ароматических бициклических колец, которую допускает валентность. Иллюстративные карбоциклы включают циклопентил, циклогексил, циклогексенил, адамантил, фенил и нафтил. Циклоалкильная группа представляет собой карбоцикл, который полностью насыщен. Примеры циклоалкильных групп включают циклопентил, циклогексил, бицикло[2.2.1]гептанил и адамантил. Использованные в настоящем описании термины «гетероцикл» и «гетероциклический» относятся к насыщенному или ненасыщенному циклу, содержащему один или более гетероатомов, выбранных, например, из атомов N, O и S. Гетероциклы включают 4-7-членные моноциклические и 8-12-членные бициклические кольца. Каждый цикл бициклического гетероцикла можно выбрать из насыщенных, ненасыщенных и ароматических циклов. В иллюстративном варианте осуществления ароматический цикл, например, пиридил, может быть конденсирован с насыщенным или ненасыщенным циклом, например, циклогексаном, циклопентаном или циклогексеном. Термины «гетероциклил» и «гетероциклический» также включают полициклические циклические системы, содержащие два или более циклических колец, в которых два или более атомов углерода являются общими для двух смежных циклов, в которых, по меньшей мере, один из циклов является гетероциклическим, например, другие циклические кольца могут представлять собой циклоалкилы, циклоалкенилы, циклоалкинилы, арилы, гетероарилы и/или гетероциклоалкилы. Гетероциклические группы включают, например, пиперидин, пиперазин, пирролидин, морфолин, лактоны и лактамы. Термин «гетероарил» включает замещенные или незамещенные ароматические моноциклические структуры, предпочтительно, 5-7-членные циклы, более предпочтительно, 5-6-членные циклы, циклические структуры которых включают, по меньшей мере, один гетероатом, предпочтительно, от одного до четырех гетероатомов, более предпочтительно, один или два гетероатома. Термин «гетероарил» включает также полициклические кольцевые системы, содержащие два или более циклов, в которых два или более атомов углерода являются общими для двух смежных циклов, в которых, по меньшей мере, один из циклов является гетероароматическим, например, другие циклы могут представлять собой циклоалкилы, циклоалкенилы, циклоалкинилы, арилы, гетероарилы и/или гетероциклилы. Гетероарильные группы включают, например, пиррол, фуран, тиофен, имидазол, оксазол, тиазол, пиразол, пиридин, пиразин, пиридазин и пиримидин и так далее. Моноциклические кольца включают 5-7-членный арил или гетероарил, 3-7-членный циклоалкил и 5-7-членный неароматический гетероциклил. Примеры моноциклических групп включают замещенные или незамещенные гетероциклы или карбоциклы, такие как тиазолил, оксазолил, оксазинил, тиазинил, дитианил, диоксанил, изоксазолил, изотиазолил, триазолил, фуранил, тетрагидрофуранил, дигидрофуранил, пиранил, тетразолил, пиразолил, пиразинил, пиридазинил, имидазолил, пиридинил, пиридинил, пирролил, дигидропирролил, пирролидинил, пиперидинил, пиперазинил, пиримидинил, морфолинил, тетрагидротиофенил, тиофенил, циклогексил, циклопентил, циклопропил, циклобутил, циклогептанил, азетидинил, оксетанил, тиранил, оксиранил, азиридинил и тиоморфолинил. Ароматические (арильные) группы включают карбоциклические ароматические группы, такие как фенил, нафтил и антрацил, и гетероарильные группы, такие как имидазолил, тиенил, фурил, пиридил, пиримидил, пиранил, пиразолил, пирролил, пиразинил, тиазолил, оксазолил и тетразолил. Ароматические группы также включают полициклические ароматические циклические системы, в котороых карбоциклический ароматический цикл или гетероарильный цикл конденсирован с одним или более другими гетероарильными циклами. Примеры включают в себя бензотиенил, бензофурил, индолил, хинолинил, бензотиазол, бензоксазол, бензимидазол, хинолинил, изохинолинил и изоиндолил. «Спиробицикл» относится к бициклу, в котором ровно один атом является общим для каждого цикла данного бицикла. Каждый из двух циклов спиробицикла можно выбрать из 3-7-членных циклов. Например, спиробицикл может иметь два цикла, каждый из которых состоит из 4 членов, то есть 4-4 спиробицикл. Примеры структур в данной категории включают Фторзамещение включает от одного фтор-заместителя до перфторзамещения. Пример фторзамещенного С1-С2 алкила включает -CFH2, -CF2H, -CF3, -CH2CH2F, -CH2CHF2, -CHFCH3 и -CF2CHF2. Перфторзамещенный С1-С2 алкил включает, например, -CF3 и -CF2CF3. Комбинации заместителей и переменных параметров, входящие в данное изобретение, являются лишь такими, которые приводят к получению стабильных соединений. Как использовано в настоящем описании, термин «стабильный» относится к соединениям, обладающим достаточной стабильностью для возможности их получения и поддержание целостности данного соединения в течение периода времени, достаточного для того, чтобы оно было применимо в описанных здесь целях. Раскрытые в настоящем описании соединения включают также частично или полностью дейтерированные варианты. В некоторых вариантах осуществления дейтерированные варианты можно использовать для кинетических исследований. Специалист в данной области может выбрать место, в котором присутствуют атомы дейтерия. Кроме того, в настоящее изобретение входят соли, в частности, фармацевтически приемлемые соли, описанных здесь сиртуин-модулирующих соединений. Соединения настоящего изобретения, обладающие достаточно кислыми, достаточно основными или и теми, и другими функциональными группами, могут взаимодействовать с любым числом неорганических оснований, и неорганических и органических кислот, с образованием соли. Альтернативным образом, соединения, имеющие собственный заряд, такие как соединения с четвертичным атомом азота, могут образовывать соль с соответствующим противоионом (например, галогенидом, таким как бромид, хлорид или фторид, в особенности, бромид). Кислоты, обычно используемые для получения кислотно-аддитивных солей, представляют собой неорганические кислоты, такие как хлористоводородная кислота, бромистоводородная кислота, йодистоводородная кислота, серная кислота, фосфорная кислота и так далее, и органические кислоты, такие как п-толуолсульфокислота, метансульфокислота, щавелевая кислота, п-бромфенилсульфокислота, угольная кислота, янтарная кислота, лимонная кислота, бензойная кислота, уксусная кислота, и так далее. Примеры подобных солей включают сульфат, пиросульфат, бисульфат, сульфит, бисульфит, фосфат, моногидрофосфат, дигидрофосфат, метафосфат, пирофосфат, хлорид, бромид, йодид, ацетат, пропионат, деканоат, каприлат, акрилат, формиат, изобутират, капроат, гептаноат, пропиолат, оксалат, малонат, сукцинат, суберат, себацат, фумарат, малеат, бутин-1,4-диоат, гексин-1,4-диоат, бензоат, хлорбензоат, метилбензоат, динитробензоат, гидроксибензоат, метоксибензоат, фталат, сульфонат, ксилолсульфонат, фенилацетат, фенилпропионат, фенилбутират, циртат, лактат, гамма-гидроксибутират, гликолят, тартрат, метансульфонат, пропансульфонат, нафталин-1-сульфонат, нафталин-2-сульфонат, манделат и так далее. Основно-аддитивные соли включают соли, полученные из неорганических оснований, таких как аммиак или гидроксиды щелочных или щелочноземельных металлов, карбонаты, гидрокарбонаты и так далее. Таким образом, подобные основания, применимые для получения солей данного изобретения, включают гидроксид натрия, гидроксид калия, гидроксид аммония, карбонат калия и так далее. Согласно другому варианту осуществления, в настоящем изобретении предоставлены способы получения определенных выше сиртуин-модулирующих соединений. Данные соединения можно синтезировать обычными способами. Предпочтительно, эти соединения удобно синтезировать из легко доступных исходных веществ. Превращения и методики синтетической химии, применимые для синтеза описанных здесь сиртуин-модулирующих соединений, известны в данной области и включают, например, превращения и методики, описанные у R. Larock, Описанные здесь сиртуин-модулирующие соединения могут также иметь одну или более следующих характеристик: соединение может быть, по существу, нетоксичным по отношению к клетке или субъекту, сиртуин-модулирующие соединения могут представлять собой органическую молекулу или малую молекулу с молекулярным весом 2000 Да или менее, 1000 Да или менее, соединение может иметь период полураспада при нормальных атмосферных условиях, составляющий, по меньшей мере, около 30 дней, 60 дней, 120 дней, 6 месяцев или 1 год, соединение может иметь период полураспада в растворе, составляющий, по меньшей мере, около 30 дней, 60 дней, 120 дней, 6 месяцев или 1 год, сиртуин-модулирующее соединение может быть более стабильным в растворе, чем ресвератрол, по меньшей мере, на коэффициент примерно 50%, в 2 раза, 5 раз, 10 раз, 30 раз, 50 раз или 100 раз, сиртуин-модулирующее соединение может промотировать деацетилирование фактора репарации ДНК Ku70, сиртуин-модулирующее соединение может промотировать деацетилирование RelA/p65, соединение может повышать общую скорость обновления и повышать чувствительность клеток к TNF-вызванному апоптозу. В некоторых вариантах осуществления сиртуин-модулирующее соединение может не обладать какой-либо существенной способностью ингибировать деацетилазу гистонов (HDAC) I класса, HDAC II класса или HDAC I и II, при концентрации (например, in vivo), эффективной для модулирования деацетилазной активности сиртуина. Например, в предпочтительных вариантах осуществления сиртуин-модулирующее соединение представляет собой сиртуин-активирующее соединение и выбирают таким образом, чтобы его ЕС50 относительно деацетилазной активности сиртуина составляла, по меньшей мере, в 5 раз меньше, чем ЕС50 относительно HDAC I и/или HDAC II, и даже более предпочтительно, по меньшей мере, в 10 раз, 100 раз или даже 1000 раз меньше. Способы анализа активности HDAC I и/или HDAC II известны в данной области и наборы реактивов для проведения подобных анализов можно приобрести у коммерческих производителей. Смотри, например, BioVision, Inc. (Mountain View, CA; всемирная паутина в biovision.com) и Thomas Scientific (Swedesboro, NJ, всемирная паутина в tomassi.com). В некоторых вариантах осуществления сиртуин-модулирующее соединение не обладает какой-либо существенной способностью модулировать гомологи сиртуина. В одном из вариантов осуществления активатор человеческого белка сиртуина может не обладать какой-либо существенной способностью активировать белок сиртуин от низших эукариотов, в частности, дрожжевых или человеческих патогенов, при концентрации (например, in vivo), эффективной для активирования деацетилазной активности человеческого сиртуина. Например, можно выбрать сиртуин-активирующее соединение со значением ЕС50 для активации деацетилазной активности человеческого сиртуина, такого как SIRT1 и/или SIRT3, которая, по меньшей мере, в 5 раз меньше, чем ЕС50 для активации сиртуина дрожжей, такого как Sir2 (такого как Candida, S, cerevisiae и так далее), а еще более предпочтительно, по меньшей мере, в 10 раз, 100 раз или даже 1000 раз меньше. В другом варианте осуществления ингибитор белка сиртуина от низших эукариотов, в частности, патогенов дрожжей или человека, не обладает какой-либо существенной способностью ингибировать белок сиртуин людей при концентрации (например, in vivo), эффективной для ингибирования деацетилазной активности белка сиртуина от низшего эукариота. Например, можно выбрать сиртуин-активирующее соединение со значением IС50 для ингибирования деацетилазной активности человеческого сиртуина, такого как SIRT1 и/или SIRT3, которая, по меньшей мере, в 5 раз меньше, чем IС50 для ингибирования сиртуина дрожжей, такого как Sir2 (такого как Candida, S, cerevisae и так далее), а еще более предпочтительно, по меньшей мере, в 10 раз, 100 раз или даже 1000 раз меньше. В некоторых вариантах осуществления сиртуин-модулирующее соединение может обладать способностью модулировать один или более гомологов белка сиртуина, например, один или более из человеческих SIRT1, SIRT2, SIRT3, SIRT4, SIRT5, SIRT6 или SIRT7. В одном из вариантов осуществления сиртуин-модулирующее соединение обладает способностью модулировать и SIRT1, и SIRT2 белок. В других вариантах осуществления модулятор SIRT1 не обладает какой-либо существенной способностью модулировать другие гомологи белка сиртуина, например, такие как один или более из человеческих SIRT2, SIRT3, SIRT4, SIRT5, SIRT6 или SIRT7 при концентрации (например, in vivo), эффективной для модулирования деацетилазной активности человеческого SIRT1. Например, можно выбрать сиртуин-модулирующее соединение со значением ЕD50 для модулирования деацетилазной активности человеческого SIRT1, которая, по меньшей мере, в 5 раз меньше, чем ED50 для модулирования один или более из человеческих SIRT2, SIRT3, SIRT4, SIRT5, SIRT6 или SIRT7, а еще более предпочтительно, по меньшей мере, в 10 раз, 100 раз или даже 1000 раз меньше. В одном из вариантов осуществления модулятор SIRT1 не обладает какой-либо существенной способностью модулировать белок SIRT3. В других вариантах осуществления модулятор SIRT3 не обладает какой-либо существенной способностью модулировать другие гомологи белка сиртуина, например, такие как один или более из человеческих SIRT1, SIRT2, SIRT3, SIRT4, SIRT5, SIRT6 или SIRT7 при концентрации (например, in vivo), эффективной для модулирования деацетилазной активности человеческого SIRT3. Например, можно выбрать сиртуин-модулирующее соединение со значением ЕD50 для модулирования деацетилазной активности человеческого SIRT3, которая, по меньшей мере, в 5 раз меньше, чем ED50 для модулирования один или более из человеческих SIRT1, SIRT2, SIRT4, SIRT5, SIRT6 или SIRT7, а еще более предпочтительно, по меньшей мере, в 10 раз, 100 раз или даже 1000 раз меньше. В одном из вариантов осуществления модулятор SIRT3 не обладает какой-либо существенной способностью модулировать белок SIRT1. В некоторых вариантах осуществления сиртуин-модулирующее соединение может иметь аффинность связывания в отношении белка сиртуина, составляющее около 10-9 М, 10-10 М, 10-11 М, 10-12 М или менее. Сиртуин-модулирующее соединение может снижать (активатор) или повышать (ингибитор) кажущуюся Km белка сиртуина в отношении его субстрата или НАД+ (или другого кофактора) на коэффициент, составляющий, по меньшей мере, 2, 3, 4, 5, 10, 20, 30, 50 или 100. В некоторых вариантах осуществления значения Km определяют при помощи описанного здесь масс-спектрометрического анализа. Предпочтительные активирующие соединения снижают Km сиртуина в отношении его субстрата или кофактора в большей степени, чем это вызывается ресвератролом в аналогичной концентрации, или снижают Km сиртуина в отношении его субстрата или кофактора аналогично степени, которая вызывается ресвератролом в более низкой концентрации. Сиртуин-модулирующее соединение может повышать Vmax белка сиртуина на коэффициент, составляющий, по меньшей мере, около 2, 3, 4, 5, 10, 20, 30, 50 или 100. Сиртуин-модулирующее соединение может иметь ED50 в отношении модулирования деацетилазной активности белка SIRT1 и/или SIRT3, примерно менее 1 нМ, примерно менее 10 нМ, примерно менее 100 нМ, примерно менее 1 мкМ, примерно менее 10 мкМ, примерно менее 100 мкМ, или примерно от 1-10 нМ, примерно от 10-100 нМ, примерно от 0,1-1 мкМ, примерно от 1-10 мкМ, или примерно от 10-100 мкМ. Сиртуин-модулирующее соединение может модулировать деацетилазную активность белка SIRT1 и/или SIRT3 на коэффициент, составляющий примерно 5, 10, 20, 30, 50 или 100, определенный клеточным анализом или в анализе на основе клетки. Сиртуин-активирующее соединение может вызвать, по меньшей мере, примерно 10%, 30%, 50%, 80%, 2-кратную, 5-кратную, 10-кратную, 50-кратную или 100-кратную индукцию деацетилазной активности белка сиртуина относительно аналогичной концентрации ресвератрола. Сиртуин-активирующее соединение может иметь ED50 для модулирования SIRT5, которое, по меньшей мере, примерно в 10 раз, 20 раз, 30 раз, 50 раз больше, чем ED50 для модулирования SIRT1 и/или SIRT3. Примеры применения В некоторых аспектах данного изобретения предоставлены способы модулирования уровня и/или активности белка сиртуина и способы его применения. В некоторых вариантах осуществления изобретения предоставлены способы применения сиртуин-модулирующих соединений, в которых сиртуин-модулирующее соединение активирует белок сиртуин, например, повышает концентрацию и/или активность белка сиртуина. Сиртуин-модулирующие соединения, повышающие уровень и/или активность белка сиртуина, могут быть применимы для различных терапевтических применений, включая, например, увеличение продолжительности жизни клетки, и лечение и/или предупреждение широкого ряда заболеваний и нарушений, включая, например, заболевания и нарушения, связанные со старением или стрессом, диабет, ожирение, нейродегенеративные заболевания, сердечно-сосудистое заболеванию, нарушения свертывания крови, воспаление, рак и/или приливы и так далее. Данные способы включают введение нуждающемуся в этом субъекту фармацевтически эффективного количества сиртуин-модулирующего соединения, например, сиртуин-активирующего соединения. Не желая быть связанным теорией, предполагается, что активаторы настоящего изобретения могут взаимодействовать с сиртуином в том же местоположении в белке сиртуине (например, активной сайте или сайте, влияющем на Km или Vmax активного сайта). Предполагается, что это является причиной того, почему некоторые классы активаторов и ингибиторов сиртуина могут иметь, по существу, структурное сходство. В некоторых вариантах осуществления, описанные здесь сиртуин-модулирующие соединения могут использоваться по отдельности или в комбинации с другими соединениями. В одном из вариантов осуществления нуждающемуся в этом субъекту можно вводить смесь двух или более сиртуин-модулирующих соединений. В другом варианте осуществления сиртуин-модулирующее соединение, повышающее уровень и/или активность белка сиртуина, можно вводить с одним или более следующими соединениями: ресвератролом, бутеином, физетином, пицеатаннолом или кверцетином. В иллюстративном варианте осуществления сиртуин-модулирующее соединение, повышающее уровень и/или активность белка сиртуина, можно вводить в комбинации с никотиновой кислотой. В другом варианте осуществления сиртуин-модулирующее соединение, повышающее уровень и/или активность белка сиртуина, можно вводить с одним или более следующими соединениями: никотинамидом (NAM), сурамином, NF023 (антагонист G-белка), NF279 (антагонист пуринегрического рецептора), Trolox (6-гидрокси-2,5,7,8-тетраметилхроман-2-карбоновая кислота), (-)-эпигаллокатехином (гидроксил в положениях 3,5,7,3',4',5'), (-)-эпигаллокатехингаллатом (гидрокси-сайты 5,7,3',4',5' и галлатный эфир в 3 положении), цианидинхлоридом (3,5,7,3',4'-пентагидроксифлавулий хлорид), дельфенидинхлоридом (3,5,7,3',4',5'-гексагидроксифлавулий хлорид), мирицетином (каннабисцетин; 3,5,7,3',4',5'-гексагидроксифлавон), 3,7,3',4',5'-пентагидроксифлавоном, госсипетином (3,5,7,8,3',4'-гексагидроксифлавон), сиртинолом и сплитомицином. В еще одном варианте осуществления одно или более сиртуин-модулирующих соединений можно вводить с одним или более терапевтическими агентами для лечения или предупреждения различных заболеваний, включая, например, рак, диабет, нейродегенеративные заболевания, сердечно-сосудистое заболеванию, нарушения свертывания крови, воспаление, приливы, ожирение, старение, стресс и так далее. В различных вариантах осуществления комбинированная терапия, включающая сиртуин-модулирующее соединение, может относится к (1) фармацевтическим композициям, содержащим одно или более сиртуин-модулирующих соединений в комбинации с одним или более терапевтическими агентами (например, одним или более терапевтическими агентами, описанными в настоящем описании), и (2) совместное введение одного или более сиртуин-модулирующих соединений с одним или более терапевтическими агентами, где сиртуин-модулирующее соединение и терапевтический агент не составляли тех же композиций (но могут находиться в том же наборе или упаковке, такой как блистерная упаковка или другая многоячеечная упаковка, связанных, отдельно запаянных контейнерах (например, пакетах из фольги), которые может разделить пользователь, или наборе, где сиртуин-модулирующее соединение(соединения) и другой терапевтический агент(ы) находятся в отдельных контейнерах). При применении отдельных препаратов, сиртуин-модулирующее соединение можно вводить одновременно, дробно, ступенчато, до, после или в виде комбинации этого, относительно введения другого терапевтического агента. В некоторых вариантах осуществления способы уменьшения, предупреждения или лечения заболеваний или нарушений с использованием сиртуин-модулирующего соединения могут также включать повышение концентрации белка сиртуина, такого как человеческий SIRT1, SIRT2 и/или SIRT3, или его гомологов. Повышения концентрации белка можно добиться, вводя в клетку одну или более копий нуклеиновой кислоты, которая кодирует сиртуин. Например, концентрацию сиртуина можно повысить в клетке млекопитающего, вводя в данную клетку млекопитающего нуклеиновую кислоту, кодирующую сиртуин, например, повышая концентрацию SIRT1 путем введения нуклеиновой кислоты, кодирующей последовательность аминокислот, приведенную под идентификационным номером GenBank № NP_036370, и/или повышая концентрацию SIRT3 путем введения нуклеиновой кислоты, кодирующей последовательность аминокислот, приведенную под идентификационным номером GenBank № ААН01042. Нуклеиновая кислота, которую вводят в клетку для повышения концентрации белка сиртуина, может кодировать белок, который, по меньшей мере, на 80%, 85%, 90%, 95%, 98% или 99% идентичен последовательности ситуина, например, белок SIRT1 и/или SIRT3. Например, нуклеиновая кислота, кодирующая белок, может быть, по меньшей мере, на 80%, 85%, 90%, 95%, 98 % или 99% идентична нуклеиновой кислоте, кодирующей SIRT1 (например, идентификационный номер GenBank № NM_012238) и/или SIRT3 (например, идентификационный номер GenBank № ВС001042). Нуклеиновая кислота может также представлять собой нуклеиновую кислоту, которая гибридизуется, предпочтительно в жестких условиях гибридизации, в нуклеиновую кислоту, кодирующую сиртуин дикого типа, например, белок SIRT1 и/или SIRT3. Жесткие условия гибридизации могут включать гибридизацию и промывание в 0,2 × SSC при 65ºС. При использовании нуклеиновой кислоты, кодирующей белок, который отличается от белка сиртуина дикого типа, такой как белок, являющийся фрагментом сиртуина дикого типа, данный белок предпочтительно является биологически активным, например, способен к деацетилированию. Необходимо лишь экспрессировать в клетку часть сиртуина, который является биологически активным. Например, белок, отличающийся от SIRT1 дикого типа, с идентификационным номером GenBank № NP_036370, предпочтительно содержит структуру его ядра. Иногда структура ядра относится к аминокислотам 62-293 идентификационного номера GenBank № NP_036370, которые кодируются нуклеотидами с 237 по 932 идентификационный номер GenBank № NM_012238, которые включают НАД связывание, а также связывающие субстрат домены. Ядерный домен SIRT1 может также относиться к аминокислотам приблизительно с 261 по 447 идентификационный номер GenBank № NP_036370, которые кодируются нуклеотидами с 834 по 1394 идентификационный номер GenBank № NM_012238; к аминокислотам приблизительно с 242 по 493 идентификационный номер GenBank № NP_036370, которые кодируются нуклеотидами с 777 по 1532 идентификационный номер GenBank № NM_012238, или к аминокислотам приблизительно с 254 по 495 идентификационный номер GenBank № NP_036370, которые кодируются нуклеотидами с 813 по 1538 идентификационный номер GenBank № NM_012238. Сохраняет ли белок свою биологическую функцию, например, способность к деацетилированию, можно определить методами, известными в данной области. В некоторых вариантах осуществления, способы ослабления, предупреждения или лечения заболеваний или нарушений с использованием сиртуин-модулирующего соединения могут также включать снижение уровня белка сиртуина, такого как человеческий SIRT1, SIRT2 и/или SIRT3 или их гомологов. Снижения уровня белка сиртуина можно добиться способами, известными в данной области. Например, в клетке можно экспрессировать siRNA, антисмысловую нуклеиновую кислоту, или рибозим, мишенью для которого является сиртуин. Можно также использовать доминантно-отрицательный сиртуиновый мутант, например, мутант, который не способен к деацетилированию. Например, можно использовать мутант SIRT1 H363Y, описанный, например, у Luo et al. (2001) Cell 107:137. Альтернативным образом, можно использовать агенты, ингибирующие транскрипцию. Способы модулирования уровней белка сиртуина также включают способы модулирования транскрипции генов, кодирующих сиртуины, способы стабилизации/дестабилизации соответствующих mRNA и другие способы, известные в данной области. В одном из вариантов осуществления изобретения предоставлен способ увеличения продолжительности жизни клетки, повышение способности клетки к пролиферации, замедление старения клетки, стимуляцию выживания клетки, замедление клеточного старения в клетке, имитирование эффектов ограничения калорий, повышение сопротивляемости клетки к стрессу или предотвращение апоптоза клетки, за счет контакта клетки с сиртуин-модулирующим соединением данного изобретения, которое повышает уровень и/или активность белка сиртуина. В иллюстративном варианте осуществления данные способы включают контактирование клетки с сиртуин-активирующим соединением. Описанные здесь способы можно использовать для увеличения продолжительности времени, в течение которого клетки, в частности, первичные клетки (то есть клетки, полученные из организма, например, человека), можно сохранять в живом состоянии в клеточной культуре. Эмбриональные стволовые (ES) и плюрипотенциальные клетки, и дифференцировавшиеся от них клетки, также можно обрабатывать сиртуин-модулирующим соединением, которое повышает уровень и/или активность белка сиртуина для сохранения клеток или их потомства в культуре в течение более длительных промежутков времени. Подобные клетки можно также использовать для трансплантации субъекту, например, после модификации В одном из вариантов осуществления, клетки, предназначенные для сохранения в течение длительного времени, можно обработать сиртуин-модулирующим соединением, которое повышает уровень и/или активность белка сиртуина. Данные клетки могут находиться в суспензии (например, клетки крови, сыворотка, биологические среды для выращивания и так далее), или в тканях или органах. Например, кровь, взятую у индивидуума в целях трансфузии, можно обработать сиртуин-модулирующим соединением, повышающим уровень и/или активность белка сиртуина, чтобы сохранить клетки крови в течение более длительных промежутков времени. Кроме того, кровь, предназначенную для судебно-медицинских целей, также можно сохранять при использовании сиртуин-модулирующего соединения, повышающего уровень и/или активность белка сиртуина. Другие клетки, которые можно обрабатывать для увеличения продолжительности их жизни или защиты против апоптоза включают клетки для потребления, например, клетки от млекопитающих, не являющихся человеком (таких как мясо) или клетки растений (таких как овощи). Сиртуин-модулирующие соединения, повышающие уровень и/или активность белка сиртуина, можно также использовать во время фаз развития и роста млекопитающих, растений, насекомых или микроороганизмов, например, в целях изменения, замедления или ускорения процесса развития и/или роста. В другом варианте осуществления, сиртуин-модулирующие соединения, повышающие уровень и/или активность белка сиртуина, можно также использовать для обработки клеток, применимых для трансплантации, или клеточной терапии, включая, например, трансплантаты твердых тканей, трансплантаты органов, суспензии клеток, стволовые клетки, клетки костного мозга и так далее. Данные клетки или ткани могут представлять собой аутотрансплантат, аллотрансплантат, синграфт или ксенотрансплантат. Клетки или ткань можно обработать сиртуин-модулирующим соединением перед введением/имплантацией, одновременно с введением/имплантацией и/или после введения/имплантации субъекту. Клетки или ткань можно обработать перед изъятием клеток от индивидуального донора, В еще одних вариантах осуществления клетки можно обработать сиртуин-модулирующим соединением, повышающим уровень и/или активность белка сиртуина Препараты для местного применения, содержащие одно или более сиртуин-модулирующих соединений, повышающих уровень и/или активность белка сиртуина, можно также использовать в качестве профилактических, например, химиопрофилактических композиций. При использовании в методе химиотерапии, чувствительную кожу обрабатывают до возникновения какого-либо видимого состояния у конкретного индивидуума. Сиртуин-модулирующие соединения можно доставлять субъекту местным или системным образом. В одном из вариантов осуществления сиртуин-модулирующее соединение доставляют местным образом в ткань или орган субъекта при помощи инъекции, препарата для местного применения и так далее. В другом варианте осуществления сиртуин-модулирующее соединение, повышающее уровень и/или активность белка сиртуина, можно использовать для лечения или предупреждения заболевания или состояния, вызванного или усугубленного клеточным старением у субъекта; в способах снижения скорости старения субъекта, например, после начала старения, способах увеличения продолжительности жизни субъекта, способах лечения или предупреждения заболевания или состояния, относящегося к продолжительности жизни, способах лечения или предупреждения заболевания или состояния, связанного со способностью клеток к пролиферации, и способах лечения или предупреждения заболевания или состояния, возникшего в результате поражения или гибели клеток. В некоторых вариантах осуществления данный способ не действует за счет снижения скорости возникновения заболеваний, которые сокращают продолжительность жизни субъекта. В некоторых вариантах осуществления способ не действует за счет снижения летальных исходов, вызванных заболеванием, таким как рак. В еще одном варианте осуществления сиртуин-модулирующее соединение, повышающее уровень и/или активность белка сиртуина, можно вводить субъекту с целью общего повышения продолжительность жизни его клеток и для защиты его клеток от стресса и/или от апоптоза. Предполагается, что лечение субъекта описанным здесь соединением сходно с подверганием субъекта гормезису, то есть слабому стрессу, который благоприятен организмам и способен увеличить продолжительность их жизни. Сиртуин-модулирующие соединения, повышающие уровень и/или активность белка сиртуина, можно вводить субъекту для предотвращения старения и связанных со старением последствий или заболеваний, таких как инсульт, заболеванием сердца, сердечная недостаточность, высокое кровяное давление и болезнь Альцгеймера. Другие состояния, которые можно лечить, включают глазные нарушения, например, связанные со старением глаза, такие как катаракта, глаукома и дегенерация желтого пятна. Сиртуин-модулирующие соединения, повышающие уровень и/или активность белка сиртуина, можно также вводить субъекту для лечения заболеваний, например, хронических заболеваний, связанных с клеточной гибелью, чтобы защитить клетки от клеточной гибели. Примеры заболеваний включают заболевания, связанные с гибелью нервных клеток, нейронной дисфункцией или гибелью или дисфункцией мышечных клеток, такие как болезнь Паркинсона, болезнь Альцгеймера, множественный склероз, латеральный амиотрофический склероз и мышечная дистрофия; СПИД; фульминантный гепатит; заболевания, связанные с дегенерцией мозга, такие как болезнь Крейтцфельдта-Якоба, пигментный ретинит и мозжечковая дегенерация; миелодисплазия, такая как гипопластическая анемия; ишемические заболевания, такие как инфаркт миокарда и инсульт; заболевания печени, такие как алкогольный гепатит, гепатит В и гепатит С; заболевания суставов, такие как остеоартрит; атеросклероз; алопеция; поражение кожи вследствие УФ-облучения; красный плоский лишай; атрофия кожи; катаракта и реакции отторжения трансплантата. Гибель клеток может быть также вызвана хирургическим вмешательством, лекарственной терапией, подверганию воздействия химических веществ или радиации. Сиртуин-модулирующие соединения, повышающие уровень и/или активность белка сиртуина, можно также вводить субъекту, страдающему острым заболеванием, например, повреждение органа или ткани, например, субъекту, страдающему инсультом или инфарктом миокарда, или субъекту, страдающему повреждением спинного мозга. Сиртуин-модулирующие соединения, повышающие уровень и/или активность белка сиртуина, можно также применять для восстановления печени алкоголика. В следующем варианте осуществления изобретения предоставлен способ лечения и/или предупреждения сердечно-сосудистого заболевания введением нуждающемуся в этом субъекту сиртуин-модулирующего соединения, повышающего уровень и/или активность белка сиртуина. Сердечно-сосудистые заболевания, которые можно лечить или предупреждать при использовании сиртуин-модулирующих соединений, повышающих уровень и/или активность белка сиртуина, включают кардиомиопатию или миокардит, например, идиопатическую кардиомиопатию, метаболическую кардиомиопатию, алкоголическую кардиомиопатию, ишемическую кардиомиопатию и гипертоническую кардиомиопатию. Кроме того, подвергаются лечению или предупреждению при использовании описанных здесь соединений или способов, атероматозные нарушения крупных кровеносных сосудов (макрососудистое заболевание), таких как аорта, сонные артерии, мозговые артерии, почечные артерии, подвздошные артерии, бедренные артерии и подколенные артерии. Другие сосудистые заболевания, которые можно лечить или предупреждать, включают заболевания, относящиеся к агрегации тромбоцитов, артериолам сетчатки, гломерулярные артериолы, сосуды, питающие нервные стволы, сердечные артериолы и ассоциированные капиллярные русла глаза, почки, сердца и центральной и периферической нервной систем. Сиртуин-модулирующие соединения, повышающие уровень и/или активность белка сиртуина, можно также использовать для повышения концентрации альфа-липопротеинов высокой плотности в плазме крови индивидуума. Прочие нарушения, которые можно лечить при помощи сиртуин-модулирующих соединений, повышающих уровень и/или активность белка сиртуина, включают рестеноз, например, после коронарного вмешательства, и нарушения, относящиеся к аномальному уровню холестерина высокой плотности и низкой плотности. В одном из вариантов осуществления сиртуин-модулирующие соединения, повышающие уровень и/или активность белка сиртуина, можно вводить как часть комбинированной терапии с другим сердечно-сосудистым препаратом. В одном из вариантов осуществления сиртуин-модулирующие соединения, повышающие уровень и/или активность белка сиртуина, можно вводить как часть комбинированной терапии с противоаритмическим препаратом. В другом варианте осуществления сиртуин-модулирующие соединения, повышающие уровень и/или активность белка сиртуина, можно вводить как часть комбинированной терапии с другим сердечно-сосудистым препаратом. Сиртуин-модулирующие соединения, повышающие уровень и/или активность белка сиртуина, можно вводить субъектам, которые недавно получили или имеют вероятность получить дозу облучения или токсина. В одном из вариантов осуществления дозу облучения или токсина получают как часть связанной с работой или медицинской процедуры, например, вводимой в качестве профилактического мероприятия. В другом варианте осуществления воздействию облучения или токсина подвергаются непреднамеренно. В таком случае данное соединение предпочтительно вводят как можно раньше после воздействия, чтобы ингибировать апоптоз и последующее развитие острого лучевого синдрома. Сиртуин-модулирующие соединения можно также использовать для лечения и/или предупреждения рака. В некоторых варианта осуществления сиртуин-модулирующие соединения, повышающие уровень и/или активность белка сиртуина, можно использовать для лечения и/или предупреждения рака. Ограничение калорий было связано со снижением заболеваемости возрастных нарушений, включая рак. Соответственно, повышение уровня и/или активности белка сиртуина может оказаться благоприятным для лечения и/или предупреждения возрастных нарушений, например, таких как рак. Примеры видов рака, которые можно лечить при использовании сиртуин-модулирующих соединений, включают рак мозга и почек, гормон-зависимые виды рака, включая рак груди, предстательной железы яичка и яичников, лимфомы и лейкоз. При раке, связанном с солидными опухолями, модулирующее соединение можно вводить непосредственно в опухоль. Рак клеток крови, например, лейкоз, можно лечить, вводя модулирующее соединение в кровоток или в костный мозг. Кроме того, можно лечить рост доброкачественных клеток, например, бородавки. Другие заболевания, которые можно лечить, включают аутоиммунные заболевания, например, системную красную волчанку, склеродермию и артрит, при которых следует уничтожать аутоиммунные клетки. Вирусные инфекции, такие как герпес, ВИЧ, аденовирус и HTLV-1-связанные злокачественные и доброкачественные нарушения, также можно лечить путем введения сиртуин-модулирующего соединения. Альтернативным образом, у субъекта можно изъять клетки, обработать ex vivo, чтобы избавиться от определенных нежелательных клеток, например, раковых клеток, и ввести обратно тому же самому или другому субъекту. Химиотерапевтические препараты можно вводить совместно с описанными здесь модулирующими соединениями, обладающими противораковой активностью, например, соединениями, вызывающими апоптоз, соединениями, уменьшающими продолжительность жизни, или соединениями, придающими клеткам чувствительность к стрессу. Химиотерапевтические препараты можно использовать сами по себе с описанным здесь сиртуин-модулирующим соединением, вызывающим некроз клеток, или уменьшающим продолжительность жизни, или придающим клеткам чувствительность к стрессу, и/или в комбинации с другими химиотерапевтическими агентами. Помимо стандартных химиотерапевтических агентов, описанные здесь сиртуин-модулирующие соединения можно также использовать с антисмысловой РНК, РНК-интерференцией или другими полинуклеотидами для ингибирования экспрессии клекточных компонентов, которые вносят вклад в нежелательную клеточную пролиферацию. Комбинированная терапия, включающая сиртуин-модулирующие соединения и стандартный химиотерапевтический агент, может быть выгоднее по сравнению с видами комбинированной терапии, известными в данной области, поскольку данная комбинация позволяет обычному химиотерапевтическому препарату достигать большего эффекта при более малой дозе. В предпочтительном варианте осуществления эффективная доза (ED50) химиотерапевтического препарата, или комбинации стандартных химиотерапевтических препаратов, при применении с сиртуин-модулирующим соединением, по меньшей мере, в 2 раза меньше, чем ED50 одного химиотерапевтического препарата, а еще более предпочтительно, в 5 раз, в 10 раз или даже в 25 раз меньше. Напротив, терапевтический индекс (TI) подобного химиотерапевтического препарата, или комбинации стандартных химиотерапевтических препаратов, при применении с описанным здесь сиртуин-модулирующим соединением, может быть, по меньшей мере, в 2 раза больше, чем TI обычно химиотерапевтического режима, а еще более предпочтительно, в 5 раз, в 10 раз или даже в 25 раз больше. В некоторых аспектах сиртуин-модулирующие соединения, повышающие уровень и/или активность белка сиртуина, можно использовать для лечения пациентов, страдающих нейродегенеративными заболеваниями, и травматическим или механическим поражением центральной нервной системы (ЦНС), спинного мозга или периферической нервной системы (ПНС). Обычно нейродегенеративные заболевания включают уменьшение массы и объема человеческого мозга, которое может происходить вследствие атрофии и/или гибели клеток мозга, которые выражены значительно сильнее, чем атрофия и/или гибели клеток мозга у здорового субъекта, относимых за счет старения. Нейродегенеративные заболевания могут развиваться постепенно, после длительного периода нормальной работы мозга, вследствие прогрессирующей дегенерации (например, дисфункции и гибели нервных клеток) определенных участков мозга. Альтернативным образом, нейродегенеративные заболевания могут начаться внезапно, как в случае заболеваний, связанных с травмой или действием токсинов. Действительное наступление дегенерации мозга может предшествовать клиническому выражению на много лет. Примеры нейродегенеративных заболеваний включают, но не ограничиваются, болезнью Альцгеймера (AD), болезнью Паркинсона (PD), болезнью Хантингтона (HD), боковым амиотрофическим склерозом (ALS; болезнь Лу-Герига), болезнью диффузных телец Леви, хореоакантоцитозом, первичным латеральным склерозом, глазными заболеваниями (воспаление глазного нерва), невропатиями, вызванными химиотерапией (например, от приема винкристина, паклитакселя, бортезомиба), невропатиями, вызванными диабетом и атаксией Фридрейха. Сиртуин-модулирующие соединения, повышающие уровень и/или активность белка сиртуина, можно применять для лечения данных нарушений и прочих, описанных далее. AD представляет собой нарушение ЦНС, приводящее к потере памяти, странному поведению, изменениях личности и снижению мыслительной способности. Эти потери связаны с гибелью определенных типов клеток мозга и разрушению связей и их поддерживающей структуры (например, глиальных клеток) между ними. Самые ранние симптомы включают потерю недавней памяти, неустойчивость суждений и изменения личности. PD представляет собой нарушение ЦНС, приводящее к неконтролируемым движениям тела, ригидности, тремору и дискинезии, и связано с гибелью клеток мозга в области мозга, вырабатывающей допамин. ALS (моторно-нейронное заболевание) представляет собой нарушение ЦНС, поражающее двигательные нейроны, компоненты ЦНС, которые связывают мозг со скелетными мышцами. HD представляет собой другое нейродегенеративное заболевание, вызывающее неконтролируемые движения, утрату интеллектуальных способностей и расстройство эмоциональной сферы. Болезнь Тея-Сакса и болезнь Сандхофа представляет собой заболевание, связанное с накоплением гликолипидов, при котором GM2 ганглиозид и родственные гликолипидные субстраты β-гексозаминидазы накапливаются в нервной системе и запускают процесс острой нейродегенерации. Известно, что апоптоз принимает участие в патогенеза СПИДа в иммунной системе. Однако ВИЧ-1 также вызывает неврологическое заболевание, которое можно лечить сиртуин-модулирующими соединениями данного изобретения. Потеря нейронов также является заметной особенность прионовых болезней, таких как болезнь Крейтцфельдта-Якоба у людей, BSE у крупного рогатого скота (коровье бешенство), чесоточная болезнь у овец и коз и кошачья спонгиоформная энцефалопатия (FSE) у кошек. Сиртуин-модулирующие соединения, повышающие уровень и/или активность белка сиртуина, можно применять для лечения или предупреждения потери нейронов, происходящей вследствие данных прионовых заболеваний. В другом варианте осуществления сиртуин-модулирующее соединение, повышающее уровень и/или активность белка сиртуина, можно применять для лечения или предупреждения любого заболевания или нарушения, включающего аксонопатию. Дистальная аксонопатия представляет собой тип периферической невропатии, возникающей вследствие некоторого метаболического или токсического расстройства нейронов периферической нервной системы (ПНС). Она является наиболее распространенной реакцией нервов на метаболические или токсические нарушения и, в качестве таковой, может быть вызвана метаболическими заболеваниями, такими как диабет, почечная недостаточность, синдромы дефицита, такие как недостаточное питание и алкоголизм, или действием токсинов или лекарственных препаратов. У имеющих дистальную аксонопатию обычно присутствуют симметричные перчаточно-чулочные сенсомоторные нарушения. В пораженных областях также утрачиваются или снижаются глубокие сухожильные рефлексы и функции автономной нервной системы (ANS). Диабетические нейропатии представляют собой нейропатические нарушения, связанные с сахарным диабетом. Сравнительно простые состояния, которые могут быть связаны с диабетической нейропатией, включают паралич третьего нерва, мононейропатию, множественный мононеврит, диабетическую амиотрофию, болезненную полинейропатию, автономную нейропатию и торакоабдоминальную невропатию. Периферическая нейропатия является медицинским термином для обозначения поражения нервов периферической нервной системы, которое может быть вызвано либо заболеваниями нерва, либо побочными эффектами системного заболевания. Основные причины периферической нейропатии включают эпилептические припадки, недостатки питания и ВИЧ, хотя диабет представляют собой наиболее вероятную причину. В иллюстративном варианте осуществления сиртуин-модулирующие соединения, повышающие уровень и/или активность белка сиртуина, можно применять для лечения или предупреждения множественного склероза (MS), включая рецидивируюший MS и моносимптоматический MS, и другие демиелинизирующие состояния, например, такие как хроническая воспалительная демиелинизирующая полинейропатия (CIPD) или связанные с ней симптомы. В еще одном варианте осуществления сиртуин-модулирующие соединения, повышающие уровень и/или активность белка сиртуина, можно применять для лечения травмы нервов, включая травму по причине заболевания, повреждения (включая хирургическое вмешательство), или травму от воздействия окружающей среды (например, нейротоксины, алкоголизм и так далее). Сиртуин-модулирующие соединения, повышающие уровень и/или активность белка сиртуина, могут быть применимы для предупреждения, лечения и облегчения симптомов различных нарушений PNS. Термин «периферическая нейропатия» включает широкий ряд нарушений, при которых поражены нервы за пределами мозга и спинного мозга - периферические нервы. Периферическую нейропатию можно также называть периферическим невритом, или, при участии многих нервов, можно использовать термины полинейропатия или полиневрит. Заболевания PNS, которые можно лечить при помощи сиртуин-модулирующих соединений, повышающих уровень и/или активность белка сиртуина, включают диабет, проказу, болезнь Шарко-Мари-Тута, синдром Гийена-Барре и нейропатия плечевого сплетения (заболевание шейного и первого грудного корешков), нервных стволов, связок и компонентов периферических нервов плечевого сплетения. В другом варианте осуществления сиртуин-активирующее соединение можно использовать для лечения или предупреждения полиглутаминового заболевания. Примеры полиглутаминовых заболеваний включают спинобульбарную мышечную атрофию (болезнь Кеннеди), болезнь Хантингтона (HD), дентаторубральную паллидарную атрофию (синдром Хо реки), спинально-церебеллярную атаксию 1 типа, спинально-церебеллярную атаксию 2 типа, спинально-церебеллярную атаксию 3 типа (болезнь Мачадо-Джозефа), спинально-церебеллярную атаксию 6 типа, спинально-церебеллярную атаксию 7 типа и спинально-церебеллярную атаксию 17 типа. В некоторых вариантах осуществления изобретения предоставлен способ лечения клеток центральной нервной системы для предупреждения поражения в ответ на уменьшение кровотока в клетке. Обычно тяжесть поражения, которое можно предупредить, будет большей частью зависеть от степени уменьшения кровотока в клетке и длительности данного уменьшения. В одном из вариантов осуществления можно предупредить гибель апоптической или некротической клетки. В еще одном варианте осуществления можно предупредить ишемически-опосредуемое поражение, такое как цитотоксический отек или аноксемия ткани центральной нервной системы. В каждом варианте осуществления клетка центральной нервной системы может представлять собой клетку спинного мозга или клетку мозга. Другой аспект включает введение сиртуин-активирующего соединения субъекту для лечения ишемического состояния центральной нервной системы. Ряд ишемических состояний центральной нервной системы можно лечить при помощи описанных здесь сиртуин-активирующих соединений. В одном из вариантов осуществления ишемическое состояние представляет собой инсульт, приводящий к любому типу ишемического поражения центральной нервной системы, такому как гибель апоптических или некротических клеток, цитотоксический отек или аноксемия ткани центральной нервной системы. Инсульт может воздействовать на любую область мозга или иметь любую этиологию, о которой известно, что она приводит к проявлению инсульта. В одном из вариантов данного осуществления инсульт представляет собой инсульт мозгового ствола. В другом варианте данного осуществления инсульт представляет собой мозжечковый инсульт. В еще одном варианте осуществления инсульт представляет собой эмболический инсульт. В еще одном варианте инсульт может представлять собой геморрагический инсульт. В следующем варианте осуществления инсульт представляет собой тромботический инсульт. В еще одном аспекте сиртуин-активирующее соединение можно вводить для уменьшения размера ишемического ядра после ишемического состояния центральной нервной системы. Кроме того, сиртуин-активирующее соединение также можно преимущественно вводить для уменьшения размера ишемической полутени или переходной зоны после ишемического состояния центральной нервной системы. В одном из вариантов осуществления режим комбинированной лекарственной терапии может включать лекарственные препараты или соединения для лечения или предупреждения нейродегенеративных нарушений или вторичных состояний, связанных с данными состояниями. Таким образом, режим комбинированной лекарственной терапии может включать один или более активаторов сиртуина и один или более анти-нейродегенеративных агентов. В других аспектах сиртуин-модулирующие соединения, повышающие уровень и/или активность белка сиртуина, можно использовать для лечения или предупреждения нарушений свертывания крови (или гемостатических нарушений). Использованные в настоящем описании по очереди термины «гемостаз», «коагуляция» и «свертывание крови» относятся к борьбе с кровотечением, включая физиологические свойства вазоконстрикции и коагуляции. Свертывание крови способствует поддержание целостности кровообращения млекопитающих после ранения, воспаления, заболевания, врожденного дефекта, дисфункции или другого нарушения. Кроме того, образование сгустков крови не только ограничивает кровотечение в случае ранения (гемостаз), но может привести к серьезному поражению органа и смерти в контексте атеросклеротических заболеваний за счет окклюзии важной артерии или вены. Таким образом, тромбоз представляет собой образование сгустков крови в неправильное время и неправильном месте. Соответственно, в настоящем изобретении предоставлено антикоагулирующее и антитромботическое лечение, направленное на ингибирование образования сгустков крови с целью предупреждения или лечения нарушений свертывания крови, таких как инфаркт миокарда, инсульт, потеря конечности при заболевании периферической артерии или эмболии легочной артерии. Как использовано в настоящем описании по очереди, «модулирование или модуляция гемостаза» или «регулирование или регуляция гемостаза» включает индукцию (например, стимуляцию или усиление) гемостаза, а также ингибирование (например, снижение или понижение) гемостаза. В одном из аспектов в изобретении предоставлен способ уменьшения или ингибирования гемостаза у субъекта путем введения сиртуин-модулирующего соединения, повышающего уровень и/или активность белка сиртуина. Описанные здесь композиции и способы применимы для лечения или предупреждения тромботических заболеваний. Использованный в настоящем описании термин «тромботическое нарушение» включает любое нарушение или состояние, характеризующееся избыточным или нежелательным свертыванием или гемостатической активностью, или состояние гиперкоагуляции. Тромботические нарушения включают заболевания или нарушения, включающие адгезию тромбоцитов и образование тромбов, и могут проявляться в виде повышенной предрасположенности к тромбообразованию, например, повышенному количеству тромбозов, тромбоза в раннем возрасте, семейной тенденции к тромбозу и тромбозу в необычных местах. В другом варианте осуществления режим комбинированной лекарственной терапии может включать лекарственные препараты или соединения для лечения или предупреждения нарушений свертывания крови или вторичных состояний, связанных с данными состояниями. Таким образом, режим комбинированной лекарственной терапии может включать одно или более сиртуин-модулирующих соединений, повышающих уровень и/или активность белка сиртуина, и один или более антикоагулирующих и антитромботических агентов. В другом аспекте сиртуин-модулирующие соединения, повышающие уровень и/или активность белка сиртуина, можно использовать для лечения или предупреждения набора веса или ожирения у субъекта. Например, сиртуин-модулирующие соединения, повышающие уровень и/или активность белка сиртуина, можно использовать, к примеру, для лечения или предупреждения наследственного ожирения, пищевого ожирения, гормонального ожирения, ожирения, связанного с введением лекарственного средства, для снижения массы субъекта, или для снижения или предупреждения набора веса у субъекта. Субъект, нуждающийся в подобном лечении, может являться субъектом, страдающим ожирением, избыточным весом, или имеющим вероятность приобрести избыточный вес. Субъектов, имеющих вероятность страдать ожирением или приобрести избыточный вес, можно идентифицировать, например, исходя из семейного анамнеза, генетики, питания, уровня активности, приема лекарственных препаратов, или различных комбинаций этого. В еще одних вариантах осуществления, сиртуин-модулирующие соединения, повышающие уровень и/или активность белка сиртуина, можно вводить субъектам, страдающим рядом других заболеваний и состояний, которые можно лечить или предупредить, способствуя потере веса у данного субъекта. Подобные заболевания включают, например, высокое кровяное давление, гипертензию, высокий уровень холестерина в крови, дислипидемию, диабет 2 типа, инсулинорезистентность, непереносимость глюкозы, гиперинсулинемию, коронарную болезнь сердца, стенокардию, застойную сердечную недостаточность, инсульт, желчные камни, холецистит и желчекаменную болезнь, подагру, остеоартрит, обструктивное ночное апноэ и респираторные проблемы, некоторые виды рака (такие как рак эндометрия, груди, простаты и толстой кишки), осложнения беременности, плохое репродуктивное здоровье женщины (такое как нерегулярность менструального цикла, бесплодие, нерегулярность овуляции), проблемы контроля мочевого пузыря (такие, как недержание мочи), мочекислую почечнокаменную болезнь, физиологические нарушения (такие как депрессия, пищевые нарушения, нарушения вида тела и низкая самооценка). Наконец, у пациентов, страдающих СПИДом, может развиться липодистрофия или инсулинорезистентность, в ответ на комбинированную терапию СПИДа. В другом варианте осуществления сиртуин-модулирующие соединения, повышающие уровень и/или активность белка сиртуина, можно использовать для ингибирования липогенеза или дифференциации жировых клеток, in vitro или in vivo. Подобные способы можно использовать для лечения или предупреждения ожирения. В других вариантах осуществления сиртуин-модулирующие соединения, повышающие уровень и/или активность белка сиртуина, можно использовать для снижения аппетита и/или повышения насыщения, приводя тем самым к потере веса или избеганию набора веса. Субъект, нуждающийся в подобном лечении, может являться субъектом с избыточным весом, страдающим ожирением, или субъектом, имеющим вероятность приобрести избыточный вес или ожирение. Данный способ может включать введение субъекту ежедневно, через день или раз в неделю, дозы, например, в виде пилюли. Данная доза может являться «дозой, снижающей аппетит». В иллюстративном варианте осуществления сиртуин-модулирующие соединения, повышающие уровень и/или активность белка сиртуина, можно вводить в виде комбинированной терапии для лечения или предупреждения набора веса или ожирения. Например, одно или более сиртуин-модулирующих соединений, повышающих уровень и/или активность белка сиртуина, можно вводить в комбинации с одним или более препаратами против ожирения. В другом варианте осуществления сиртуин-модулирующие соединения, повышающие уровень и/или активность белка сиртуина, можно вводить для снижения набора веса, вызванного лекарственными препаратами. Например, сиртуин-модулирующее соединение, повышающее уровень и/или активность белка сиртуина, можно вводить в виде комбинированной терапии с лекарственными препаратами, способными стимулировать аппетит или привести к набору веса, в частности, к набору веса вследствие факторов, отличающихся от удержания воды. В других аспектах, сиртуин-модулирующие соединения, повышающие уровень и/или активность белка сиртуина, можно применять для лечения или предупреждения нарушения обмена веществ, такого как инсулинорезистентность, преддиабетическое состояние, диабет II типа и/или их осложнения. Введение сиртуин-модулирующего соединения, повышающего уровень и/или активность белка сиртуина, может повысить чувствительность к инсулину и/или понизить концентрацию инсулина у субъекта. Субъект, нуждающийся в подобном лечении, может являться субъектом, имеющим инсулинорезистентность или другой симптом-предвестник диабета II типа, страдающим диабетом II типа, или имеющим вероятность развития у него данных состояний. Например, данный субъект может являться субъектом, страдающим инсулинорезистентностью, например, имеющим высокую циркулирующую концентрацию инсулина и/или сопутствующие состояния, такие как гиперлипидемия, дислипогенез, гиперхолестеринемия, сниженная переносимость глюкозы, высокий уровень глюкозы сахара в крови, другие проявления синдрома Х, гипертензия, атеросклероз и липодистрофия. В иллюстративном варианте осуществления сиртуин-модулирующее соединение, повышающее уровень и/или активность белка сиртуина, можно вводить в виде комбинированной терапии для лечения или предупреждения нарушения обмена веществ. Например, сиртуин-модулирующие соединения, повышающие уровень и/или активность белка сиртуина, можно вводить в комбинации с одним или более противодиабетическими агентами. В других аспектах сиртуин-модулирующие соединения, повышающие уровень и/или активность белка сиртуина, можно использовать для лечения или предупреждения заболевания или нарушения, связанного с воспалением. Сиртуин-модулирующие соединения, повышающие уровень и/или активность белка сиртуина, можно вводить до начала, во время, или после начала воспаления. При профилактическом использовании, соединения предпочтительно предоставляют до наступления какой-либо воспалительной реакции или симптома. Введение данных соединений может предупредить или ослабить воспалительные реакции или симптомы. В другом варианте осуществления сиртуин-модулирующие соединения, повышающие уровень и/или активность белка сиртуина, можно использовать для лечения или предепреждения аллергий и респираторных состояний, включая астму, бронхит, фиброз легких, аллергический ринит, кислородную токсичность, эмфизему, хронический бронхит, острый респираторный дистресс-синдром и любое хроническое обструктивное легочное заболевание (COPD). Данные соединения можно применять для лечения хронической инфекции гепатита, включая гепатит В и гепатит С. Кроме того, сиртуин-модулирующие соединения, повышающие уровень и/или активность белка сиртуина, можно использовать для лечения аутоиммунных заболеваний и/или воспаления, связанного с аутоиммунными заболеваниями, включая ревматоидный артрит, псориатический артрит и анкилозирующий спондилит, а также орган-тканевые аутоиммунные заболевания (например, синдром Рейно), неспецифический язвенный колит, болезнь Крона, воспаление слизистой оболочки рта, склеродермию, миастению, реакцию отторжения трансплантата, эндотоксический шок, сепсис, псориаз, экзему, дерматит, множественный склероз, аутоиммунный тиреоидит, увеит, системную красную волчанку, болезнь Аддисона, аутоиммунное плюригландулярное заболевание (известное также как аутоиммунный плюригландулярный синдром) и болезнь Грейвса. В некоторых вариантах осуществления одно или более сиртуин-модулирующих соединений, повышающих уровень и/или активность белка сиртуина, можно использовать по отдельности или в комбинации с другими соединениями, применимыми для лечения или предупреждения воспаления. В другом аспекте сиртуин-модулирующие соединения, повышающие уровень и/или активность белка сиртуина, можно использовать для снижения заболеваемости или тяжести приливов крови и/или горячих приливов, которые являются симптомами нарушения. Например, рассматриваемый способ включает применение сиртуин-модулирующих соединений, повышающих уровень и/или активность белка сиртуина, по отдельности или в комбинации с другими препаратами, для снижения заболеваемости или тяжести приливов крови и/или горячих приливов у пациентов, страдающих раком. В других вариантах осуществления данный способ предоставляет применение сиртуин-модулирующих соединений, повышающих уровень и/или активность белка сиртуина, для снижения заболеваемости или тяжести приливов крови и/или горячих приливов у женщин в климактерический или постклимактерический период. В другом аспекте сиртуин-модулирующие соединения, повышающие уровень и/или активность белка сиртуина, можно применять в качестве терапевтического лечения для снижения заболеваемости или тяжести приливов крови и/или горячих приливов, являющихся побочными эффектами другого терапевтического лечения, например, вызванного лекарственными препаратами прилива крови. В некоторых вариантах осуществления способ лечения и/или предупреждения вызванного лекарственными препаратами прилива крови включает введение нуждающемуся в этом пациенту препарата, содержащего, по меньшей мере, одно соединение, вызывающее прилив крови, и, по меньшей мере, одно сиртуин-модулирующее соединение, повышающее уровень и/или активность белка сиртуина. В других вариантах осуществления способ лечения вызванного лекарственными препаратами прилива крови включает раздельное введение одного или более соединений, вызывающих прилив крови, и одного или более сиртуин-модулирующих соединений, например, в случае, когда сиртуин-модулирующее соединение и препарат, вызывающий прилив крови, не включены в одни и те же композиции. При использовании отдельных композиций сиртуин-модулирующее соединение можно вводить (1) одновременно с введением препарата, вызывающего прилив крови, (2) периодически с препаратом, вызывающим прилив крови, (3) ступенчатым образом относительно введения препарата, вызывающего прилив крови, (4) перед введением препарата, вызывающего прилив крови, (5) после введения препарата, вызывающего прилив крови, и (6) и в виде различных комбинаций этого. Примеры препаратов, вызывающих прилив крови, включают, например, ниацин, ралоксифен, антидепрессанты, антипсихотические препараты, химиотерапевтические препараты, блокаторы кальциевых каналов и антибиотики. В одном из вариантов осуществления сиртуин-модулирующие соединения, повышающие уровень и/или активность белка сиртуина, можно применять для снижения побочных эффектов в виде прилива крови, вызванных приемом сосудорасширяющего или антилипемического средства (включая антихолестеринемическое средство и липотропное средство). В иллюстративном варианте осуществления сиртуин-модулирующее соединение, повышающее уровень и/или активность белка сиртуина, можно применять для уменьшения приливов, связанных с приемом ниацина. В другом варианте осуществления изобретения предоставлен способ лечения и/или предупреждения гиперлипидемии со сниженными подобными эффектами приливов. В еще одном представительном варианте осуществления данный способ включает применение сиртуин-модулирующих соединений, повышающих уровень и/или активность белка сиртуина, для уменьшения побочных эффектов в виде приливов, вызванных приемом ралоксифена. В еще одном представительном варианте осуществления данный способ включает применение сиртуин-модулирующих соединений, повышающих уровень и/или активность белка сиртуина, для уменьшения побочных эффектов в виде приливов, вызванных приемом антидепрессантов или антипсихотического препарата. Например, сиртуин-модулирующие соединения, повышающие уровень и/или активность белка сиртуина, можно применять в комбинации (при раздельном или совместном введении) с ингибитором повторного захвата серотонина, или антагонистом рецептора 5НТ2. В некоторых вариантах осуществления сиртуин-модулирующие соединения, повышающие уровень и/или активность белка сиртуина, можно применять как часть лечения ингибитором повторного захвата серотонина (SRI) для уменьшения приливов. В еще одном представительном варианте осуществления сиртуин-модулирующие соединения, повышающие уровень и/или активность белка сиртуина, можно применять для уменьшения побочных эффектов в виде приливов, вызванных приемом химиотерапевтических препаратов, таких как циклофосфамид и тамоксифен. В следующем варианте осуществления сиртуин-модулирующие соединения, повышающие уровень и/или активность белка сиртуина, можно применять для уменьшения побочных эффектов в виде приливов, вызванных приемом блокаторов кальциевых каналов таких как амлодипин. В следующем варианте осуществления сиртуин-модулирующие соединения, повышающие уровень и/или активность белка сиртуина, можно применять для уменьшения побочных эффектов в виде приливов, вызванных приемом антибиотиков. Например, сиртуин-модулирующие соединения, повышающие уровень и/или активность белка сиртуина, можно применять в комбинации с левофлоксацином. Один из аспектов настоящего изобретения представляет собой способ ингибирования, снижения или какого-либо иного лечения ухудшения зрения при помощи введения пациенту терапевтической дозы модулятора сиртуина, выбранного из описанных здесь соединений, или его фармацевтически приемлемой соли, пролекарства или продукта метаболизма. В некоторых аспектах изобретения ухудшение зрения вызвано поражением зрительного нерва или центральной нервной системы. В конкретных вариантах осуществления поражение зрительного нерва вызвано высоким внутриглазным давлением, таким как возникающее при глаукоме. В других конкретных вариантах осуществления, поражение зрительного нерва вызвано набуханием данного нерва, которое часто связано с инфекцией или иммунной (или аутоиммунной) реакцией, такой как ретробульбарный неврит. В некоторых аспектах изобретения ухудшение зрения вызвано поражением сетчатки. В конкретных вариантах осуществления поражение сетчатки вызвано нарушениями кровотока в глазу (например, артериосклероз, васкулит). В конкретных вариантах осуществления поражение сетчатки вызвано разрывом желтого пятна (например, экссудативная или не экссудативная дегенерация желтого пятна). Примеры заболеваний сетчатки включают экссудативную возрастную дегенерацию желтого пятна, неэкссудативную возрастную дегенерацию желтого пятна, электронное протезирование сетчатки и RPE трансплантацию возрастной дегенерации желтого пятна, острую мультифокальную плакоидную пигментную эпителиопатию, острый некроз сетчатки, болезнь Беста, эмболию боковой артерии сетчатки, эмболию боковой вены сетчатки, связанную с раком и родственные аутоиммунные ретинопатии, эмболию центральной артерии сетчатки, эмболию центральной вены сетчатки, центральную серозную хориоретинопатию, болезнь Илза, эпимакулярную мембрану, дегенерацию решетчатой структуры, макроаневризму, диабетический отек желтого пятна, отек желтого пятна Ирвина-Гасса, отверстие в желтом пятне, субретинальные неоваскулярные мембраны, диффузный односторонний подострый нейроретинит, непсевдофакичный кистоидный отек желтого пятна, синдром предполагаемого глазного гистоплазмоза, экссудативную отслойку сетчатки, постоперационную отслойку сетчатки, пролиферативную отслойку сетчатки, регматогенную отслойку сетчатки, тракционную отслойку сетчатки, пигментоз сетчатки, ЦМВ ретинит, ретинобластому, ретинопатию беременных, ретинопатию Бердшота, фоновую диабетическую ретинопатию, пролиферативную диабетическую ретинопатию, ретинопатию гемоглобинопатии, ретинопатию Пурчера, ретинопатию Валсальвы, юношеский ретиношизис, старческий ретиношизис, синдром Терсона и синдром белых пятен. Примеры других заболеваний включают глазные бактериальные инфекции (например, конъюнктивит, кератит, туберкулез, сифилис, гонорея), вирусные инфекции (например, глазной вирус простого герпеса, вирус ветряной оспы, цитомегаловирусный ретинит, вирус иммунодефицита человека (ВИЧ)), а также прогрессирующий некроз наружного отдела сетчатки, вторичный по отношению к ВИЧ или другие ВИЧ-связанные и прочие связанные с иммунодефицитом глазные заболевания. Кроме того, глазные заболевания включают грибковые инфекции (например, кандидозный хориоидит, гистоплазмоз), протозойные инфекции (например, токсоплазмоз) и другие, такие как глазной токсокароз и саркоидоз. Один из аспектов данного изобретения составляет способ ингибирования, снижения или лечения ухудшения зрения у субъекта, проходящего лечение химиотерапевтическими препаратами (например, нейротоксическим препаратом, препаратом, повышающим внутриглазное давление, таким как стероид), при помощи введения субъекту, нуждающемуся в подобном лечении, терапевтической дозы описанного здесь модулятора сиртуина. Следующий аспект данного изобретения составляет способ ингибирования, снижения или лечения ухудшения зрения у субъекта, подвергающегося хирургической операции, включая глазную или другую хирургическую операцию, проводимую в положении лежа на животе, например, хирургическую операцию на спинном мозге, при помощи введения субъекту, нуждающемуся в подобном лечении, терапевтической дозы описанного здесь модулятора сиртуина. Другие хирургические операции включают катаракту, иридотомию и замену линз. Следующий аспект данного изобретения составляет лечение, включая ингибирование и профилактическое лечение возрастных заболеваний глаз, включая катаракту, синдром сухого глаза, возрастную дегенерацию сетчатки (AMD), повреждение сетчатки и так далее, при помощи введения субъекту, нуждающемуся в подобном лечении, терапевтической дозы описанного здесь модулятора сиртуина. Следующий аспект данного изобретения составляет предупреждение поражения глаза, вызванного стрессом, инсультом вследствие воздействия химических веществ или облучения, при помощи введения субъекту, нуждающемуся в подобном лечении, терапевтической дозы описанного здесь модулятора сиртуина. Облечение или электромагнитное поражение глаза может включать поражения, вызванные воздействием ЭЛТ, или подвергание воздействию солнечного света или УФ-излучения. В одном из вариантов осуществления режим комбинированных лекарственных препаратов может включать лекарственные препараты или соединения для лечения или предупреждения глазных заболеваний или вторичных состояний, связанных с данными состояниями. Таким образом, режим комбинированных лекарственных препаратов может включать один или более активаторов сиртуина и одно или более терапевтических средств для лечения глазного нарушения. В одном из вариантов осуществления модулятор сиртуина можно вводить в комбинации с терапевтическим средством для снижения внутриглазного давления. В другом варианте осуществления модулятор сиртуина можно вводить в комбинации с терапевтическим средством для лечения и/или предупреждения глаукомы. В еще одном варианте осуществления модулятор сиртуина можно вводить в комбинации с терапевтическим средством для лечения и/или предупреждения ретробульбарного неврита. В одном из вариантов осуществления модулятор сиртуина можно вводить в комбинации с терапевтическим средством для лечения и/или предупреждения ЦМВ ретинопатии. В следующем варианте осуществления модулятор сиртуина можно вводить в комбинации с терапевтическим средством для лечения и/или предупреждения множественного склероза. В некоторых вариантах осуществления изобретения предоставлены способы лечения заболеваний и нарушений, на которые повышение митохондриальной активности оказало бы благоприятное действие. Данные способы включают введение нуждающемуся в этом субъекту терапевтически эффективного количества сиртуин-активирующего соединения. Повышенная митохондриальная активность относится к повышению активности митохондрий при сохранении общего количества митохондрий (например, митохондриальной массы), увеличению количества митохондрий, повышая за счет этого митохондриальную активность (например, путем стимуляции биогенеза митохондрий), или их сочетанию. В некоторых вариантах осуществления заболевания и нарушения, на которые благоприятно повлияло бы повышение митохондриальной активности, включают заболевания и нарушения, связанные с митохондриальной дисфункцией. В некоторых вариантах осуществления способы лечения заболеваний и нарушений, на которые благоприятно повлияло бы повышение митохондриальной активности, могут включать определение субъекта, страдающего митохондриальной дисфункцией. Методы диагностики митохондриальной дисфункции могут включать молекулярный генетический, патологический и/или биохимический анализ. Заболевания и нарушения, связанные с митохондриальной дисфункцией, включают заболевания и нарушения, при которых недостаток активности митохондриальной дыхательной цепи вносит вклад в развитие патофизиологии подобных заболеваний или нарушений у млекопитающего. Заболевания и нарушения, на которые благоприятно повлияло бы повышение митохондриальной активности, обычно включают, например, заболевания, при которых окислительное поражение, опосредуемое свободными радикалами, приводит к дегенерации тканей, заболевания, при которых клетки подвергаются апоптозу несоответствующим образом, и заболевания, при которых клетки не могут подвергаться апоптозу. В некоторых вариантах осуществления изобретения предоставлены способ лечения заболевания или нарушения, на которые благоприятно повлияло бы повышение митохондриальной активности, который включает введение нуждающемуся в этом субъекту одно или более сиртуин-активирующих соединений в комбинации с другим терапевтическим препаратом, например, таким как препарат, применимый для лечения митохондриальной дисфункции, или препарат, применимый для уменьшения симптома, связанного с заболеванием или нарушением, включающим митохондриальную дисфункцию. В иллюстративных вариантах осуществления изобретения предоставлены способы лечения заболеваний или нарушений, на которые благоприятно повлияло бы повышение митохондриальной активности, при помощи введения субъекту терапевтически эффективного количества сиртуин-активирующего соединения. Примеры заболеваний или нарушений включают, например, нейромышечные нарушения (например, атаксию Фридрейха, мышечную дистрофию, множественный склероз и так далее), нарушения нейрональной неустойчивости (например, нарушения, связанные с эпилептическими припадками, мигрень и так далее), задержку развития, нейродегенеративные нарушения (например, болезнь Альцгеймера, болезнь Паркинсона, боковой амиотрофический склероз и так далее), ишемию, почечный канальцевый ацидоз, возрастную нейродегенерацию и упадок познавательной способности, усталость от химиотерапии, возрастную или вызванную химиотерапией менопаузу или нерегулярность менструального цикла или овуляции, митохондриальную миопатию, митохондриальное поражение (например, накопление кальция, эксайтотоксичность, подвергание действию оксида азота, гипоксия и так далее) и дерегуляцию функций митохондрий. Мышечная дистрофия относится к семейству заболеваний, включающих деградацию нейромышечной структуры и функции, часто приводящих к атрофии скелетной мышцы и дисфункции миокарда, такой как мышечная дистрофия Дюшена. В некоторых вариантах осуществления сиртуин-активирующие соединения можно применять для снижения скорости деградации мышечных функциональных способностей и для улучшения мышечного функционального статуса у пациентов с мышечной дистрофией. В некоторых вариантах осуществления сиртуин-модулирующие соединения могут применяться для лечения митохондриальной миопатии. Диапазон митохондриальной миопатии изменяется от небольшой, медленно прогрессирующей слабости мышц, расположенных вне глаза, до тяжелой неизлечимой инфантильной миопатии и мультисистемной энцефаломиопатии. Некоторые синдромы были определены, при этом некоторые из них перекрываются. Установленные синдромы, поражающие мышцы, включают прогрессирующую внешнюю офтальмоплегию, синдром Кернса-Сейра (с офтальмоплегией, пигментной ретинопатией, дефектами проводящей системы сердца, мозжечковой атаксией и нейросенсорной глухотой), синдром MELAS (митохондриальная энцефаломиопатия, лактоцидоз и инсультоподобные эпизоды), синдром MERFF (миоклоническая эпилепсия и рваные красные мышечные волокна), распределение мышечной слабости по плечевому и тазовому поясу, и инфантильная миопатия (доброкачественная или тяжелая и неизлечимая). В некоторых вариантах осуществления сиртуин-активирующие соединения могут применяться для лечения пациентов, страдающих от токсического поражения митохондрий, таких как токсическое поражение вследствие накопленя кальция, эксайтотоксичности, подвергания действию оксида азота, токсическому поражению, вызванному лекарственными препаратами, или гипоксии. В некоторых вариантах осуществления сиртуин-активирующие соединения могут применяться для лечения заболеваний или нарушений, связанных с дерегуляцией функции митохондрий. В следующих вариантах осуществления изобретения предоставлены способы повышения мышечной деятельности при помощи введения терапевтически эффективного количества сиртуин-активирующего соединения. Например, сиртуин-активирующие соединения могут применяться для улучшения физической выносливости (например, способности выполнять физическую нагрузку, такую как физические упражнения, физический труд, занятия спортом и так далее), подавления или задержки физической усталости, повышения концентрации кислорода в крови, повышения энергии у здоровых индивидуумов, повышения работоспособности и выносливости, снижения мышечной усталости, уменьшения стресса, улучшение сердечной и сердечно-сосудистой деятельности, улучшения сексуальной способности, повышения концентрации АТФ в мышцах, и/или снижения концентрации молочной кислоты в крови. В некоторых вариантах осуществления данные способы включают введение количества сиртуин-активирующего соединения, которое повышает митохондриальную активность, усиливает митохондриальный биогенез, и/или увеличивает митохондриальную массу. Спортивная деятельность относится к способности мышц спортсмена действовать во время занятий спортом. Повышенные спортивные показатели, силу, скорость и выносливость определяют при помощи увеличения силы сокращения мышц, увеличения амплитуды сокращения мышц, уменьшения промежутка времени мышечной реакции между стимуляцией и сокращением. Спортсмен относится к индивидууму, который принимает участие в спортивной деятельности на любом уровне и который стремится достигнуть повышенного уровня силы, скорости и выносливости в ее осуществлении, например, к бодибилдеру, велосипедисту, бегунам на длинные дистанции, бегунам на короткие дистанции и так далее. Повышенные спортивные показатели проявляются способностью к преодолению мышечной усталости, способностью к сохранению активности в течение более длительных периодов времени и к более эффективной тренировке. На арене осуществления спортивной мышечной деятельности желательно создать условия, которые позволяют соревноваться или тренироваться при более высоких уровнях устойчивости организма в течение более длительного периода времени. Предполагается, что способы настоящего изобретения также будут эффективны при лечении связанных с мышцами патологических состояний, включая острую саркопению, например, мышечную атрофию и/или кахексию, связанную с ожогами, постельным режимом, обездвиживанием конечностей, или крупные торакальные, абдоминальные и/или ортопедические хирургические операции. В некоторых вариантах осуществления изобретения предоставлены новые пищевые композиции, содержащие модуляторы сиртуина, способ их получения, и способ использования данных композиций для улучшения спортивной деятельности. Соответственно, предоставлены терапевтические композиции, продукты и напитки, обладающие действием улучшения физической выносливости и/или подавления физической усталости у людей, участвующих в физических упражнениях широкого определения, включая спорт, которые требуют выносливости, и занятиях, требующих повторяющихся мышечных усилий. Подобные пищевые композиции могут дополнительно содержать электролиты, кофеин, витамины, углеводы и так далее. Сиртуин-модулирующие соединения, повышающие уровень и/или активность белка сиртуина, можно применять для лечения или предупреждения вирусных инфекций (таких как инфекции, вызванные инфлюенцией, вирусом герпеса или папилломы), или в качестве противогрибковых средств. В некоторых вариантах осуществления сиртуин-модулирующие соединения, повышающие уровень и/или активность белка сиртуина, можно вводить в виде части комбинированной лекарственной терапии с другим терапевтическим средством для лечения вирусных заболеваний. В другом варианте осуществления сиртуин-модулирующие соединения, повышающие уровень и/или активность белка сиртуина, можно вводить в виде части комбинированной лекарственной терапии с другим противогрибковым средством. Субъекты, которые могут подвергаться лечению, описанному здесь, включают эукариоты, такие как млекопитающие, например, люди, овцы, коровы, лошади, свиньи, собаки, кошки, не принадлежащие к человеческому роду приматы, мыши и крысы. Клетки, которые могут подвергаться лечению, включают эукариотические клетки, например, полученные от описанного выше субъекта, или клетки растений, клетки дрожжей и прокариотические клетки, например, клетки бактерий. Например, модулирующие соединения можно вводить сельскохозяйственным животным для повышения их способности противостоять условиям сельскохозяйственной жизни в течение более долгого времени. Сиртуин-модулирующие соединения, повышающие уровень и/или активность белка сиртуина, можно также применять для увеличения продолжительности жизни, сопротивляемости стрессу, и сопротивляемости апоптозу у растений. В одном из вариантов осуществления соединение применяют к растениям, например, на периодической основе, или к грибам. В другом варианте осуществления растения генетически модифицируют для получения соединения. В следующем варианте осуществления растения и фрукты обрабатывают соединением перед сбором и транспортировкой морским путем, чтобы повысить сопротивляемость во время морской транспортировки. Семена растений также можно привести в контакт с описанными здесь соединениями, например, для их консервации. В других вариантах осуществления сиртуин-модулирующие соединения, повышающие уровень и/или активность белка сиртуина, можно применять для модулирования продолжительности жизни клеток дрожжей. Ситуации, в которых может оказаться желательным увеличить продолжительность жизни клеток дрожжей, могут включать любой процесс, где используют дрожжи, например, при изготовлении пива, йогурта и хлебобулочных изделий, например, хлеба. Использование дрожжей с увеличенной продолжительность жизни может привести к использованию меньшего количества дрожжей, или к получению дрожжей, более активных в течение более длительного времени. Дрожжи или клетки других млекопитающих, используемые для рекомбинантного получения белков, также можно обрабатывать, как описано в настоящем изобретении. Сиртуин-модулирующие соединения, повышающие уровень и/или активность белка сиртуина, также можно применять для увеличения продолжительности жизни, устойчивости к стрессу и устойчивости к апоптозу у насекомых. В данном варианте осуществления соединения будут применять к полезным насекомым, например, пчелам и другим насекомым, которые участвуют в опылении растений. В конкретном варианте осуществления соединение будут применять к пчелам, участвующим в производстве меда. Как правило, описанные здесь способы можно применять к любому организму, например, эукариоту, которые могут обладать коммерческой ценностью. Например, их можно применять к рыбе (аквакультура) и птицам (например, цыплятам и домашней птице). Более высокие дозы сиртуин-модулирующих соединений, повышающих уровень и/или активность белка сиртуина, можно также использовать в качестве пестицида при интерферировании с регуляцией молчащих генов и регуляцией апоптоза в процессе развития. В данном варианте осуществления соединение можно применять к растениям с использованием способа, известного в данной области, при гарантии того, что данное соединение является биодоступным для личинок насекомых, а не к растениям. По меньшей мере, в свете связи между воспроизводством и продолжительностью жизни, сиртуин-модулирующие соединения, повышающие уровень и/или активность белка сиртуина, можно применять для влияния на воспроизводство организмов, таких как насекомые, животные и микроорганизмы. Еще другие рассмотренные в настоящем описании способы включают способы скрининга для идентификации соединений или агентов, модулирующих сиртуин. Агент может представлять собой нуклеиновую кислоту, такую как аптамер. Анализы можно проводить в клеточном или неклеточном формате. Например, анализ может включать инкубацию (или контактирование) сиртуина с тестируемым агентом в условиях, в которых сиртуин может модулироваться агентом, о котором известно, что он модулирует сиртуин, и проведение мониторинга или определение степени модулирования сиртуина в присутствии тестируемого агента по отношению к отсутствию тестируемого агента. Степень модулирования сиртуина можно определить, определяя его способность к деацетилированию субстрата. Примерами субстратов являются ацетилированные пептиды, которые можно получить от BIOMOL (Plymouth Meeting, PA). Предпочтительные субстраты включают пептиды р53, такие как пептиды, содержащие ацетилированный К382. Особенно предпочтительным субстратом является Fluor de Lys-SIRT1 (BIOMOL), то есть ацетилированный пептид Arg-His-Lys-Lys (SEQ ID NO:2). Другими субстратами являются пептиды из человеческих гистонов Н3 и Н4 или из ацетилированной аминокислоты. Субстраты могут быть флуорогенными. Сиртуин может представлять собой SIRT1, Sir2. SIRT3, или их часть. Например, от BIOMOL можно получить рекомбинантный SIRT1. Взаимодействие можно осуществлять примерно в течение 30 минут и останавливать, например, при помощи никотинамида. Для определения степени ацетилирования можно использовать анализ флуоресцентной активности HDAC/набор для обнаружения лекарственных препаратов (АК-500, BIOMOL Research Laboratories). Похожие анализы описаны у Bitterman et al. (2002) J. Biol. Chem. 277:45099. Степень модулирования сиртуина в анализе можно сравнить со степенью модулирования сиртуина в присутствии одного или более (по отдельности или одновременно) описанных здесь соединений, которые могут служить в качестве положительного или отрицательного контроля. Сиртуины для использования в данных анализах могут представлять собой сиртуины полной длины, или их части. Поскольку в настоящем описании было показано, что активирующие соединения, по-видимому, взаимодействуют с N-концом SIRT1, белки для использования в данных анализах включают N-терминальные части сиртуинов, например, примерно аминокислоты 1-176 или 1-255 SIRT1, примерно аминокислоты 1-174 или 1-252 Sir2. В одном из вариантов осуществления скрининговый анализ включает (i) контактирование сиртуина с тестируемым агентом и ацетилированным субстратом в условиях, подходящих для деацетилирования субстрата сиртуином в отсутствие тестируемого агента; и (ii) определение степени ацетилирования субстрата, где более низкая степень ацетилирования субстрата в присутствии тестируемого агента относительно отсутствия тестируемого агента указывает на то, что тестируемый агент стимулирует деацетилирование при помощи сиртуина, тогда как более высокая степень ацетилирования субстрата в присутствии тестируемого агента относительно отсутствия тестируемого агента указывает на то, что тестируемый агент ингибирует деацетилирование при помощи сиртуина. Способы идентификации агента, который модулирует, например, стимулирует, сиртуины Из описанных здесь сиртуин-модулирующих соединений можно составить препараты стандартным способом при использовании одного или более фармацевтически приемлемых носителей или эксципиентов. Например, из сиртуин-модулирующих соединений и их фармацевтически приемлемых солей и сольватов можно составить препараты для введения, например, путем инъекции (например, SubQ, IM, IP), ингаляции или инсуффляции (либо через рот, либо через нос), или перорального, буккального, сублингвального, чрескожного, назального, парентерального или ректального введения. В одном из вариантов осуществления сиртуин-модулирующее соединение можно вводить местно, на участок, на котором находятся клетки-мишени, то есть в определенную ткань, орган или жидкость (например, кровь, спинномозговую жидкость и так далее). Из сиртуин-модулирующих соединений можно составить препараты для различных способов введения, включая системное и местное или локализованное введение. Методики и препараты обычно можно найти в Remington's Pharmaceutical Sciences, Meade Publishing Co., Easton, PA. В случае парентерального введения предпочтительной является инъекция, включая внутримышечную, внутривенную, внутрибрюшинную и подкожную. В случае инъекции из соединений можно составить препараты в виде жидких растворов, предпочтительно в физиологически совместимых буферных растворов, таких как раствор Хенкса или раствор Рингера. Кроме того, из данных соединений можно составить препараты в виде твердой формы и повторно растворить или суспендировать перед применением. Также включены лиофилизированные формы. В случае перорального введения фармацевтические композиции могут принимать форму, например, таблеток, пастилок или капсул, полученных стандартными способами с фармацевтически приемлемыми эксципиентами, такими как связывающими агентами (например, преджелатинизированный кукурузный крахмал, поливинилпирролидон или гидроксипропилметилцеллюлоза), наполнителями (например, лактоза, микрокристаллическая целлюлоза или гидрофосфат кальция), лубриканты (например, стеарат магния, тальк или оксид кремния), дезинтегранты (например, картофельный крахмал или гликолят крахмала натрия), или смачивающие агенты (например, лаурилсульфат натрия). На таблетки может быть нанесено покрытие при помощи известных в данной области способов. Жидкие препараты для перорального введения могут принимать форму, например, растворов, сиропов или суспензий, или они могут быть представлены в виде сухого продукта для составления с водой или другим подходящим носителем перед применением. Подобные жидкие препараты можно получить стандартными способами с фармацевтически приемлемыми добавками, такими как суспендирующие агенты (например, сироп сорбита, производные целлюлозы или гидрированные пищевые жиры), эмульгаторы (например, лецитин или аравийская камедь), неводные носители (например, миндальное масло, жирные сложные эфиры, этиловый спирт или фракционированные растительные масла) и консерванты (например, метил- или пропил-п-гидроксибензоаты или сорбиновая кислота). Препараты могут также включать буферные соли, вкусовые вещества, красители и подсластители, в случае необходимости. Препараты для перорального введения можно подходящим образом составить для получения регулируемого высвобождения активного соединения. Для введения путем ингаляции (например, легочная доставка), сиртуин-модулирующие соединения можно удобно доставлять в виде аэрозольного спреевого представления из находящегося под давлением контейнера или небулайзера при использовании подходящего газа-носителя, например, дихлородифторметана, трихлорфторметана, дихлортетрафторэтана, двуокиси углерода или другого подходящего газа. В случае находящегося под давлением аэрозоля дозируемую единицу можно определить, предоставив клапан для доставки отмеренного количества. Для использования в ингаляторе или инсуффляторе можно составить капсулы и картриджи, например, из желатина, содержащие порошкообразную смесь соединения и подходящего порошкообразного основания, такого как лактоза или крахмал. Из сиртуин-модулирующих соединений можно получить препараты для парентерального введения путем инъекции, например, путем болюсной инъекции или непрерывной инфузии. Препараты для инъекций можно представить в единичной дозируемой форме, например, в ампулах или мульти-дозовых контейнерах, с добавленным консервантом. Композиции могут принимать такие формы, как суспензии, растворы или эмульсии в масляных или водных носителях, и могут содержать агенты для составления препарата, такие как суспендирующие, стабилизирующие и/или диспергирующие агенты. Альтернативным образом, активный ингредиент может находиться в порошкообразной форме для соединения с подходящим носителем, например, стерильной апирогенной водой, перед применением. Из сиртуин-модулирующих соединений можно также получить ректальные композиции, такие как суппозитории или удерживающие клизмы, например, содержащие стандартные основания для суппозиториев, такие как масло какао или другие глицериды. Помимо описанных ранее препаратов, из сиртуин-модулирующих соединений можно также получить препараты-депо. Подобные препараты длительного действия можно вводить путем имплантации (например, подкожно или внутримышечно) или путем внутримышечной инъекции. Так, например, из сиртуин-модулирующих соединений можно получить препарат с подходящими полимерными или гидрофобными веществами (например, в виде эмульсии в приемлемом масле) или ионообменными смолами, либо в виде малорастворимых производных, например, в виде малорастворимой соли. Формула регулируемого высвобождения также включает пластыри. В некоторых вариантах осуществления из описанных здесь соединений можно получить препараты для доставки в центральную нервную систему (ЦНС) (обзор Begley, Pharmacology & Therapeutics 104:29-45 (2004)). Стандартные подходы для доставки лекарственного препарата в ЦНС включают: нейрохирургические стратегии (например, внутримозговую инъекцию или интрацеребровентрикулярную инфузию), молекулярные манипуляции с агентом (например, получение химерного белка, включающего транспортный пептид, имеющий сродство к молекуле поверхности эндотелиальной клетки, в комбинации с агентом, который сам по себе неспособен пересекать ГЭБ) при попытке задействовать один из эндогенных путей переноса через ГЭБ; фармакологические стратегии, разработанные для повышения липидной растворимости агента (например, конъюгация водорастворимых агентов с липидным или холестериновым носителями) и временное нарушение целостности ГЭБ путем гиперосмотического разрыва (происходящего вследствие инфузии раствора маннита в сонную артерию или при использовании биологически активного агента, такого как ангиотензиновый пептид). Липосомы представляют собой другую систему доставки лекарственного средства, которую легко вводить путем инъекции. Соответственно, в способе данного изобретения активные соединения можно также вводить в виде липосомной системы доставки. Липосомы хорошо известны специалистам в данной области. Липосомы можно получить из множества фосфолипидов, таких как холестрин, стеариламин фосфатидилхолинов. Липосомы, применимые для использования в способе изобретения, охватывают все типы липосом, включая, но не ограничиваясь, малыми униламеллярными везикулами, большими униламеллярными везикулами и мультиламеллярными везикулами. Следующий способ получения препарата в частности, раствора, модулятора сиртуина, такого как ресвератрол или его производное, заключается в использовании циклодекстрина. Под циклодекстрином имеют в виду α-, β- или γ-циклодекстрин. Циклодекстрины подробно описаны у Pitha et al., патент США № 4727064, включенный в настоящее описание ссылкой. Циклодекстрины представляют собой циклические олигомеры глюкозы; данные соединения образуют комплексы включения с любым лекарственным средством, молекулы которого могут поместиться в липофильно-ориентированных полостях молекулы циклодекстрина. Быстро разрушающиеся или растворяющиеся дозированные формы применимы для быстрой абсорбции, в частности, буккальной и сублингвальной абсорбции фармацевтически активных агентов. Быстроплавящиеся дозированные формы предпочтительны для пациентов, таких как возрастные и педиатричсекие пациенты, которые испытывают трудности при проглатывании обычных твердых дозированных форм, таких как капсулы и таблетки. Кроме того, в быстроплавящихся дозированных формах избегают недостатков, связанных, например, с жевательными дозированными формами, в которых продолжительность времени, в течение которого активные агент остается во рту пациента, играет важную роль в определении количества маскировки вкуса и предела, до которого пациент способен возражать против зернистости активного агента для горла. Фармацевтические композиции (включая косметические препараты) могут содержать от около 0,00001 до 100%, например, от 0,001 до 10% или от 0,1% до 5% по массе одного или более описанных здесь сиртуин-модулирующих соединений. В других вариантах осуществления фармацевтическая композиция содержит: (i) от 0,05 до 1000 мг соединений изобретения, или его фармацевтически приемлемой соли, и (ii) от 0,1 до 2 грамм одного или более фармацевтически приемлемых эксципиентов. В одном из вариантов осуществления описанное здесь сиртуин-модулирующее соединение входит в препарат местного действия, содержащий местный носитель, который обычно подходит для местного введения лекарственного средства, и включает любое подобное вещество, известное в данной области. Местный носитель можно выбрать таким образом, чтобы предоставить композицию в желательной форме, например, в виде мази, лосьона, крема, микроэмульсии, геля, масла, раствора или тому подобного, и он может состоять из вещества, которое либо существуют в природе, либо имеет синтетическое происхождение. Предпочтительно, чтобы выбранный носитель не оказывал неблагоприятного действия на активный агент или другие компоненты препарата местного действия. Примеры подходящих местных носителей для использования в настоящем изобретении включают воду, спирты и другие нетоксичные органические растворители, глицерин, минеральное масло, силикон, вазелин, ланолин, жирные кислоты, растительные масла, парабены, воски и так далее. Препараты могут представлять собой бесцветные, не имеющие запаха мази, лосьоны, кремы, микроэмульсии и гели. Сиртуин-модулирующие соединения могут входить в состав мазей, которые, как правило, представляют собой полутвердые препараты, обычно имеющие в своей основе вазелин или другие производные нефти. Конкретное основание для мази, предназначенное для применения, как будет ясно специалисту в данной области, является основанием, которое предоставит оптимальную доставку лекарственного средства и, предпочтительно, предоставит желательные характеристики, а также, например, смягчение или тому подобное. Что касается других носителей или сред, основание для мази должно быть инертным, стабильным, не раздражающим и не сенсибилизирующим. Сиртуин-модулирующие соединения могут входить в состав лосьонов, которые, как правило, представляют собой препараты, предназначенные для применения к поверхности кожи без трения, и обычно являются жидкими или полужидкими препаратами, в которых твердые частицы, включая активный агент, присутствуют в водной или спиртовой основе. Лосьоны обычно представляют собой суспензии твердых веществ и могут содержать жидкую масляную суспензию типа масло-в-воде. Сиртуин-модулирующие соединения могут входить в состав кремов, которые обычно представляют собой вязкие жидкие или полутвердые эмульсии либо масла-в-воде, либо воды-в-масле. Основы кремов смываются водой и включают масляную фазу, эмульгатор и водную фазу. Масляная фаза, как правило, состоит из вазелина и жирного спирта, такого как цетиловый или стеариловый спирт; водная фаза обычно, хотя и не необходимо, превосходит масляную фазу по объему и обычно содержит увлажнитель. Эмульгатор в препарате крема, как объясняется в Remington's Сиртуин-модулирующие соединения могут входить в состав микроэмульсий, которые, как правило, являются термодинамически стабильными, изотропно-прозрачными дисперсиями двух несмешивающихся жидкостей, таких как масло и вода, стабилизированных пленкой из молекул поверхностно-активного вещества на поверхности раздела фаз (Encuclopedia of Pharmaceutical Technology (New York: Marcel Dekker, 1992), volume 9). Сиртуин-модулирующие соединения могут входить в состав гелей, которые обычно представляют собой полутвердые системы, состоящие либо из суспензий, полученных из малых неорганических частиц (двухфазные системы), либо из больших органических молекул, распределенных, по существу, равномерно в жидкости носители (монофазные гели). Несмотря на то, что в гелях обычно используются водный жидкий носитель, в качестве жидкого носителя можно также применять спирты и масла. В препараты могут также входить другие активные агенты, например, другие противовоспалительные средства, анальгетики, противомикробные средства, противогрибковые средства, антибиотики, витамины, антиоксиданты и солнцезащитные средства, обычно присутствующие в солнцезащитных препаратах, включающие, но не ограниченные, антранилатами, бензофенонами (в частности, бензофеноном-3), производными камфары, циннаматами (например, октилметоксициннаматом), дибензоилметанами (например, бутилметоксидибензоилметаном), п-аминобензойной кислотой (РАВА) и ее производными, и салицилатами (например, октилсалицилатом). В некоторых препаратах местного действия активный агент присутствует в количестве, находящемся в интервале приблизительно от 0,25 масс.% до 75 масс.% препарата, предпочтительно, в интервале приблизительно от 0,25 масс.% до 30 масс.% препарата, более предпочтительно, в интервале приблизительно от 0,5 масс.% до 15 масс.% препарата, и наиболее предпочтительно, в интервале приблизительно от 1,0 масс.% до 10 масс.% препарата. Состояния глаза можно лечить или предупреждать, например, при помощи системной, местно, внутриглазной инъекции сиртуин-модулирующего соединения, или при помощи внедрения устройства продолжительного высвобождения, которое высвобождает сиртуин-модулирующее соединение. Сиртуин-модулирующее соединение, повышающее уровень и/или активность белка сиртуина, можно доставлять в фармацевтически приемлемом офтальмологическом носителе, так чтобы данное соединение находилось в контакте с поверхностью глаза в течение достаточного промежутка времени, чтобы соединение могло проникнуть в роговичную и внутреннюю области глаза, например, в переднюю камеру, заднюю камеру, стекловидное тело, внутриглазную жидкость, вещество стекловидного тела, роговицу, радужную оболочку/ресничное тело, хрусталик, сосудистую оболочку/сетчатку и склеру. Фармацевтически приемлемый офтальмологический носитель, например, может представлять собой мазь, растительное масло или инкапсулирующее вещество. Альтернативным образом, соединения данного изобретения можно вводить путем инъекции непосредственно в стекловидную и внутриглазную жидкость. В следующем варианте соединения можно вводить системным образом, например, путем внутривенной инфузии или инъекции, для лечения глаза. Описанные здесь сиртуин-модулирующие соединения можно хранить в окружающей среде, не содержащей кислорода. Например, ресвератрол или его аналог можно приготовить в герметичной капсуле для перорального введения, такой как Capsugel от Pfizer, Inc. Клетки, например, обработанные сиртуин-модулирующим соединением Токсичность и терапевтическую эффективность сиртуин-модулирующих соединений можно определить при помощи стандартных методик на культурах клеток или подопытных животных. LD50 представляет собой дозу, летальную для 50% популяции. ЕD50 представляет собой дозу, терапевтически эффективную для 50% популяции. Соотношение доз между токсическим и терапевтическим эффектами (LD50/ЕD50) представляет собой терапевтический индекс. Предпочтительными являются сиртуин-модулирующие соединения, проявляющие большие терапевтические индексы. Несмотря на то, что можно использовать сиртуин-модулирующие соединения, проявляющие токсические побочные эффекты, следует постараться разработать систему доставки, которая направляет подобные соединения на участок пораженной ткани, чтобы свести к минимуму возможное поражение неинфицированных клеток и, таким образом, снизить побочные эффекты. Данные, полученные при анализах клеточных культур и исследованиях на животных, можно использовать для составления дозировочного интервала для применения для людей. Дозы подобных соединений могут находиться в пределах циркулирующих концентраций, которые включают ЕD50 при небольшой, или в отсутствие, токсичности. Доза может изменяться в пределах данного интервала в зависимости от применяемой дозированной формы и используемого способа введения. Для любого соединения терапевтически эффективную дозу можно сначала определить из анализов на культурах клеток. Дозу можно составить на животных моделях, чтобы достигнуть интервала циркулирующей концентрации в плазме, который включает IC50 (то есть концентрацию тестируемого соединения, при которой достигается половина максимального подавления симптомов), определенную на клеточной культуре. Подобную информацию можно использовать для более точного определения применимых доз для людей. Концентрацию в плазме можно определить, например, при помощи высокоэффективной жидкостной хроматографии. В настоящем изобретении предоставлены также наборы, например, наборы для терапевтических целей или наборы для модулирования продолжительности жизни или модулирования апоптоза. Набор может включать одно или более сиртуин-модулирующих соединений, например, в определенных заранее дозах. Набор может необязательно включать устройства для контакта клеток с соединениями и инструкциями для применения. Устройства включают шприцы, стенты и прочие устройства для введения сиртуин-модулирующего соединения субъекту (например, в кровеносный сосуд субъекта), или нанесения его на кожу субъекта. В еще одном варианте осуществления изобретения предоставлена композиция вещества, содержащего сиртуиновый модулятор данного изобретения и другое терапевтическое средство (такие, которые используются при комбинированной терапии и комбинированных композициях) в раздельных дозированных формах, но связанных друг с другом. Использованный в настоящем описании термин «связанные друг с другом» означает, что отдельные дозированные формы упакованы вместе или иным образом соединены друг с другом, так что несомненно ясно, что данные отдельные дозированные формы предназначены для совместной продажи и введения в качестве части одного и того же режима. Агент и модулятор сиртуина предпочтительно упакованы вместе в блистерную упаковку или другую мультиячеечную упаковку, или в виде соединенных, отдельно закрытых контейнеров (таких как мешочки из фольги или тому подобное), которые пользователь может разделить (например, разрывая по разделительным линиям между двумя контейнерами). В еще одном варианте осуществления изобретения предоставлен набор, содержащий в отдельных контейнерах (а) модулятор сиртуина данного изобретения, и (b) другое терапевтическое средство, как средство, описанное в настоящем описании в другом месте. При практическом осуществлении настоящих способов будут применяться, если не указано иначе, стандартные методики клеточной биологии, молекулярной биологии, трансгенной биологии, микробиологии, рекомбинантной ДНК и иммунологии, которые находятся в пределах квалификации в данной области. Подобные методики полностью разъяснены в литературе. Смотри, например, Molecular Cloning A Laboratory Manual, 2nd Ed., ed. by Sambrook, Fritsch and Maniatis (Cold Spring Harbor Laboratory Press: 1989); DNA Cloning, Volumes I and II (D. N. Glover ed., 1985); Oligonucleotide Synthesis (M. J. Gait ed., 1984); Mullis et al. U.S. Patent No: 4,683,195; Nucleic Acid Hybridization (B. D. Hames & S. J. Higgins eds. 1984); Transcription And Translation (B. D. Hames & S. J. Higgins eds. 1984); Culture Of Animal Cells (R. I. Freshney, Alan R. Liss, Inc., 1987); Immobilized Cells And Enzymes (IRL Press, 1986); B. Perbal, A Practical Guide To Molecular Cloning (1984); the treatise, Methods In Enzymology (Academic Press, Inc., N.Y.); Gene Transfer Vectors For Mammalian Cells (J. H. Miller and M. P. Calos eds., 1987, Cold Spring Harbor Laboratory); Methods In Enzymology, Vols. 154 and 155 (Wu et al. eds.), Immunochemical Methods In Cell And Molecular Biology (Mayer and Walker, eds., Academic Press, London, 1987); Handbook Of Experimental Immunology, Volumes I-IV (D. M. Weir and C. C. Blackwell, eds., 1986); Manipulating the Mouse Embryo, (Cold Spring Harbor Laboratory Press, Cold Spring Harbor, N.Y., 1986). ПРИМЕРЫ Теперь, будучи описанным в общих чертах, данное изобретение будет более понятно со ссылкой на следующие примеры, которые включены только в целях иллюстрации некоторых аспектов и вариантов осуществления настоящего изобретения и не предназначены для ограничения данного изобретения каким-либо образом. Пример 1. Получение При 0ºС Br2 медленно прибавляли к смеси 2-нитропиридин-3-ола (1; 80,0 г, 570 ммоль) и NaOCH3 (30,8 г, 570 ммоль) в метаноле (600 мл) и перемешивали при данной температуре в течение 30 мин. К смеси добавляли АсОН (1,5 мл) и перемешивали снова в течение 10 мин. После этого сырую реакционную смесь концентрировали в вакууме, получая твердое вещество желтого цвета, которое растирали в смеси петролейный эфир/EtOAc, получая 6-бром-2-нитропиридин-3-ол (2; 35,0 г, 28%). МС (ESI) вычисл. для C5H3BrN2O3 (m/z): 217,93. В ТГФ (10 мл) растворяли PPh3 (900 мг, 3,4 ммоль). К данному раствору при 0ºС прибавляли по каплям диизопропилазодикарбоксилат (DIAD) (688 мг, 3,4 ммоль). Смесь перемешивали при 0ºС в течение 30 мин. Образовывался осадок белого цвета. Затем прибавляли по каплям при 0ºС 2-бромэтан-1-ол (427 мг, 3,4 ммоль) и 6-бром-2-нитропиридин-3-ол (2; 500 мг, 2,29 ммоль) в ТГФ. Осадок белого цвета исчезал, а полученную смесь перемешивали при комнатной температуре в течение 2 ч. В целом, растворитель концентрировали и очищали смесь хроматографией на силикагеле, получая 6-бром-3-(2-бромэтокси)-2-нитропиридин (3; 600 мг, 80%). МС (ESI) вычисл. для C7H6Br2N2O3 (m/z): 323,87. Получено по аналогии с 6-бром-4Н-пиридо[3,2-b][1,4]оксазин-3-оном, на который имеется ссылка в WO2007/118130. К раствору 6-бром-3-(2-бромэтокси)-2-нитропиридина (3; 560 мг, 1,73 ммоль) в ледяной уксусной кислоте (6 мл) прибавляли Fe (387 мг, 6,91 ммоль) в виде одной порции. Реакционную смесь нагревали при 90ºС в течение 5 ч, затем охлаждали, разбавляли EtOAc и фильтровали через слой силикагеля при использовании EtOAc в качестве элюента. После выпаривания АсОН остаток 4 растворяли в ДМФА (5 мл), прибавляли К2СО3 (716 мг, 5,19 ммоль) и нагревали смесь при 90ºС в течение ночи. В целом, растворитель концентрировали и очищали смесь хроматографией на силикагеле, получая 6-бром-3,4-дигидро-2Н-пиридо[3,2-b][1,4]оксазин (5; 185 мг, 50%). МС (ESI) вычисл. для C7H7BrN2O (m/z): 213,97. В смеси диоксан:Н2О (45 мл:1 мл) растворяли 6-бром-3,4-дигидро-2Н-пиридо[3,2-b][1,4]оксазин (5; 2,0 г, 9,30 ммоль), 3-(трифторметил)фенилбороновую кислоту (2,65 г, 13,95 ммоль), Pd(PPh3)4 (215 мг, 0,186 ммоль) и CsCO3 (6,0 г, 18,6 ммоль) и нагревали при 50ºС в течение ночи. По данным ЖХМС наблюдали пик продукта, но оставалось немного исходного вещества; добавляли еще бороновой кислоты и перемешивали при 50ºС в течение ночи. Пик исходного вещества оставался неизменным; охлаждали до комнатной темп. и начиналось выпадение некоторого количества осадка. Разбавляли водой (40 мл), экстрагировали EtOAc (3×40 мл), промывали насыщенным раствором соли, сушили над MgSO4, фильтровали, концентрировали и очищали на колонке с силикагелем ISCO (от 0 до 100% смеси EtOAc/пентан), получая смешанные фракции 6-(3-(трифторметил)фенил)-3,4-дигидро-2Н-пиридо[3,2-b][1,4]оксазина (6) МС (ESI) вычисл. для C14H11F3N2O (m/z): 290,08, найдено 281 [M+H]. Данную общую методику можно было бы использовать для получения ряда производных 6-арил-3,4-дигидро-2Н-пиридо[3,2-b][1,4]оксазина, заменяя 3-(трифторметил)фенилбороновую кислоту на соответствующую бороновую кислоту. Получено по литературной методике, похожей на Gool et al Данную общую методику можно было бы использовать для получения ряда производных 6-арил-3,4-дигидро-2Н-пиридо[3,2-b][1,4]оксазин-4(3Н)-карбоксамида, заменяя 2-аминотиазол на соответствующий амин. Пример 2. Получение 6-(3-хлорфенил)- Получено по литературной методике, аналогичной Gool et al 6-Бром-3,4-дигидро-2Н-пиридо[3,2-b][1,4]оксазин (5) и 4-аминопиридин подвергали общим условиям получения мочевины, намеченным здесь в общих чертах, и очищали колоночной хроматографией при элюировании смесью EtOAc:пентан, получая 6-бром-N-(пиридин-4-ил)-2Н-пиридо[3,2-b][1,4]оксазин-4(3Н)карбоксамид (7; 62 мг, 62%). МС (ESI) вычисл. для C13H11BrN4O2 (m/z): 335,16, найдено 336 [M+H]. Следуя описанной выше общей методике сочетания, 6-бром-N-(пиридин-4-ил)-2Н-пиридо[3,2-b][1,4]оксазин-4(3Н)карбоксамид (7; 275,5 мг, 0,822 ммоль), 3-(трифторметил)фенилбороновую кислоту (160,2 мг, 1,03 ммоль) и CsCO3 (0,725 мг, 2,1 ммоль) растворяли в смеси диоксан:Н2О (15 мл:1,5 мл) и нагревали при 60ºС в течение ночи. Мониторинг реакции проводили методом ТСХ. Сырую реакционную смесь разбавляли водой (8 мл), экстрагировали CH2Cl2 (3×10 мл), промывали насыщенным раствором соли, сушили над Na2SO4, фильтровали, концентрировали и очищали колоночной хроматографией при элюировании смесью EtOAc:пентан, получая 6-(3-хлорфенил)-N-(пиридин-4-ил)-2Н-пиридо[3,2-b][1,4]оксазин-4(3Н)карбоксамид (Соединение 541; 110 мг, 36%). Пример 3. Получение Суспензию 2-аминотиазол-5-карбоксилата (8; 145 г, 840 ммоль), дитретбутилкарбоната (275 г, 1260 ммоль) и 4-диметиламинопиридина (DMAP) (5 мг, каталитическое количество) в ТГФ (2175 мл) перемешивали при 30ºС в течение 5,5 ч. Реакционную смесь концентрировали досуха и добавляли EtOAc (1450 мл). Органический растворитель промывали водой (2×435 мл) и насыщенным раствором соли (2×145 мл), сушили над MgSO4 и концентрировали, получая этил 2-(третбутоксикарбониламино)тиазол-5-карбоксилат (9; 227 г, 99,23%) в виде сырого продукта, который использовали на следующей стадии без какой-либо дополнительной очистки. Перемешиваемый раствор этил 2-(третбутоксикарбониламино)тиазол-5-карбоксилата (9; 227 г, 830 ммоль) в безводном ТГФ (1512 мл) охлаждали до -45ºС. В течение 1 ч прибавляли раствор супергидрида в ТГФ (1,0 М, 1877 мл), а затем реакционную смесь перемешивали при -45ºС в течение 2 ч, нагревали до комнатной темп. в течение 20 ч. Реакционную смесь гасили насыщенным раствором соли и нагревали до комнатной темп. Смесь концентрировали, растворяли в EtOAc и промывали насыщенным раствором соли, сушили над Na2SO4, концентрировали и очищали колоночной хроматографией на силикагеле (петролейный эфир/этилацетат=1:1), получая третбутил 5-(гидроксиметил)тиазол-2-илкарбамат (10; 95 г, 49%). Раствор третбутил 5-(гидроксиметил)тиазол-2-илкарбамата (10; 37 г, 160 ммоль), триэтиламина (24,2 г, 240 ммоль) в CH2Cl2 (231 мл) охлаждали до 0ºС. Прибавляли мезилхлорид (23,16 г, 200 ммоль) и экстрагировали смесь CH2Cl2 (2×93 мл). Объединенные органические слои сушили над Na2SO4 и концентрировали в вакууме, получая 2-(третбутоксикарбониламино)тиазол-5-ил)метилметансульфонат (11; 40 г, 75%).%). К перемешиваемому раствору 2-(третбутоксикарбониламино)тиазол-5-ил)метилметансульфоната (11; 40 г, 0,13 моль) в CH2Cl2 (140 мл) прибавляли пирролидин (37,69 г, 530 ммоль) при 0ºС и нагревали до комнатной температуры. Смесь промывали насыщенным раствором NaHCO3 и насыщенным раствором соли (93 мл). Органический растворитель сушили над Na2SO4, концентрировали и очищали колоночной хроматографией на силикагеле (петролейный эфир/этилацетат=1:1), получая 5-(пирролидин-1-метил)тиазол-2-амин (в виде свободного амина) (12; 34 г, 75%). В перемешиваемый раствор 5-(пирролидин-1-метил)тиазол-2-амина (12; 34 г, 190 ммоль) в метаноле (121 мл) барботировали HCl (газ) и проводили мониторинг методом ТСХ, пока не было израсходовано все вещество. Растворитель удаляли и добавляли EtOAc для получения осадка. Смесь фильтровали и последовательно промывали остаток на фильтре EtOAc, получая 5-(пирролидин-1-метил)тиазол-2-амин (в виде гидрохлоридной соли) (12; 20,6 г, 67%) в виде твердого вещества белого цвета. МС (ESI) вычисл. для C8H13N3S·HCl (m/z): 219,73, найдено 184 [М+Н]. Синтезировали по описанной выше общей методике, получая N-(5-(пирролидин-1-илметил)тиазол-2-ил)-6-(3-(трифторметил)фенил)-2Н-пиридо[3,2-b][1,4]оксазин-4(3Н)карбоксамид (Соединение 505), которое очищали колоночной хроматографией, элюируя смесью (EtOAc:пентан), получая N-(5-(пирролидин-1-илметил)тиазол-2-ил)-6-(3-(трифторметил)фенил)-2Н-пиридо[3,2-b][1,4]оксазин-4(3Н)карбоксамид 505 (64,3 мг, 53%). МС (ESI) вычисл. для C23H22F3N5О2S (m/z): 489,51, найдено 491 [М+Н]. Пример 4. Получение трифторацетатной соли Смесь 4-хлор-2-аминопиридина (13; 19,3 г, 150 ммоль), К2СО3 (41,7 г, 0,30 моль) и морфолина (38,9 мл, 450 ммоль) в ДМСО (150 мл) перемешивали при 190ºС (масляная баня) в течение 10 ч. После охлаждения до комнатной температуры добавляли воду (300 мл) и экстрагировали этилацетатом (4×150 мл). Объединенные органические слои промывали водой, сушили над Na2SO4 и концентрировали в вакууме. Остаток очищали колоночной хроматографией на силикагеле (10:1 петролейный эфир:этилацетат), получая 6-морфолинпиридин-2-амин в виде твердого вещества белого цвета (14; 9,0 г, 54,8 ммоль). МС (ESI) вычисл. для C9H13N3О (m/z): 179,11, найдено 180 [М+Н]. 2-(пирролидин-1-ил)пиридин-4-амин 15 получали по аналогичной последовательности, приведенной выше, исходя из 2-хлорпиридин-4-амина. Синтезировали по описанной выше общей методике, получая Пример 5. Получение К раствору 5-аминопиридинкарбоновой кислоты (16; 8,4 г, 60,8 ммоль) в этаноле (100 мл) прибавляли SOCl2 (14,5 г, 120 ммоль) при 0ºС. Смесь кипятили в течение 12 часов. Растворитель удаляли и прибавляли насыщенный раствор Na2CO3 для установления рН=9 и фильтровали, получая твердое вещество. После сушки в вакууме получали этил 5-аминопиколинат (17; 7,5 г, 75%). МС (ESI) вычисл. для C8H10N2О2 (m/z) 166,18. К раствору этил 5-аминопиколината (17; 7,5 г, 45 ммоль) в К перемешиваемому раствору этил 5-(третбутоксикарбониламино)пиколината (18; 8,9 г, 24 ммоль) в диэтиловом эфире (200 мл) в атмосфере азота прибавляли алюмогидрид лития (LAH) (1,8 г, 48 ммоль) в диэтиловом эфире (100 мл) в течение 30 мин при 0ºС. Реакционную смесь перемешивали в течение 3 ч, добавляли воду (1 мл) и 10%-ный раствор NaOH (2 мл) и смесь фильтровали и сушили над Na2SO4 и концентрировали при пониженном давлении, получая соединение третбутил 6-(гидроксиметил)пиридин-3-илкарбамата (19; 4,2 г, 78%). МС (ESI) вычисл. для C11H16N2О3 (m/z) 224,26. К раствору третбутил 6-(гидроксиметил)пиридин-3-илкарбамата (19; 4,2 г, 18,8 ммоль) и DIPEA (7,0 г, 56,4 ммоль) в ТГФ (20 мл) прибавляли MSCl (2,8 г, 24,4 ммоль) в течение 30 мин при 0ºС. Реакционную смесь гасили, добавляя насыщенный водный раствор NaHCO3 и экстрагировали EtOAc (3×60 мл). Объединенный органический слой промывали насыщенным раствором соли и сушили над Na2SO4. Органический растворитель удаляли, получая соединение (5-(третбутоксикарбониламино)пиридин-2-ил)метилметансульфоната (20; 5,5 г) без дополнительной очистки для следующей стадии. Смесь (5-(третбутоксикарбониламино)пиридин-2-ил)метилметансульфоната (20; 1,70 г), морфолина (1,0 г, 11,3 ммоль) и К2СО3 (2,30 г, 16,9 ммоль) в ацетонитриле (30 мл) перемешивали при комнатной температуре в течение 12 ч. Добавляли воду (30 мл) и экстрагировали смесь этилацетатом (3×30 мл) и сушили над MgSO4, концентрировали в вакууме и очищали хроматографией на силикагеле (петролейный эфир/этилацетат = от 1:1 до 1:3), получая третбутил 6-(морфолинметил)пиридин-3-илкарбамат (21; 1,20 г, 71% после двух стадий). МС (ESI) вычисл. для C15H23N3О3 (m/z): 293,36. К раствору третбутил 6-(морфолинметил)пиридин-3-илкарбамата (21; 1,20 г, 4,1 ммоль) в CH2Cl2 (20 мл) прибавляли ТФУ (6 мл). Смесь перемешивали в течение 12 ч при комнатной температуре. Растворитель удаляли в вакууме и подщелачивали твердое вещество до рН=9 насыщенным раствором Na2CO3. Смесь концентрировали досуха и подкисляли до рН=1, подщелачивали до рН=9 и концентрировали досуха. Остаток промывали этилацетатом (3×25 мл), объединенные органические слои концентрировали, получая 6-(морфолинметил)пиридин-3-амин (22; 450 мг, 56%). МС (ESI) вычисл. для C10H15N3О (m/z): 193,25, найдено 194 [М+Н]. 6-(Морфолинметил)пиридин-2-амин 23 получали по последовательности, аналогичной описанной выше, исходя из 6-аминопиколиновой кислоты. Синтезировали по общей методике, описанной выше, получая N-(6-(морфолинметил)пиридин-3-ил)-6-(3-(трифторметил)фенил)-2Н-пиридо[3,2-b][1,4]оксазин-4(3Н)-карбоксамид (соединение 507), который очищали колоночной хроматографией (EtOAc:пентан), в результате последующей очистки методом ВЭЖХ при элюировании МеОН и 0,1% ТФУ получали соль ТФУ (112,3 мг, 51%). МС (ESI) вычисл. для C25H24F3N5О3·С2НО2F3 (m/z): 613,5, найдено 500 [М+Н]. Пример 6. Получение трифторацетатной соли Смесь 2,6-дихлорпиридина (24; 10,0 г, 67,7 ммоль), гидрохлорида азетидина (6,3 г, 67,6 ммоль) и К2СО3 (23,3 г, 169 ммоль) в ДМСО (100 мл) перемешивали при 110ºС в течение 12 ч. Добавляли воду (150 мл) и экстрагировали смесь этилацетатом (100 мл ×3). Объединенные органические слои промывали насыщенным раствором соли и сушили над Na2SO4, концентрировали досуха, получая 2-(азетидин-1-ил)-6-хлорпиридин (25; 10,5 г), который использовали на следующей стадии без дополнительной очистки. МС (ESI) вычисл. для C8H9ClN2 (m/z): 168,05. Смесь 2-(азетидин-1-ил)-6-хлорпиридина (25; 1,68 г, 10,0 ммоль), 4-метоксибензиламина (1,35 г, 10,0 ммоль), Pd2(dba)3 (0,27 г, 0,29 ммоль), BINAP (0,37 г, 0,60 ммоль) и Раствор 6-(азетидин-1-ил)-N-(4-метоксибензил)пиридин-2-амина (26; 2,5 г, 9,3 ммоль) и ТФУ (20,0 мл) в хлористом метилене (40 мл) перемешивали при комнатной темп. в течение 3 ч. рН доводили до 9 действием Na2CO3 и экстрагировали EtOAc (3×50 мл). Объединенные органические слои промывали насыщенным раствором соли (2×50 мл), сушили над безводным Na2SO4, концентрировали в вакууме и очищали хроматографией на силикагеле (1:1 петролейный эфир:этилацетат), получая 6-(азетидин-1-ил)пиридин-2-амин (27; 50 мг, 0,33 ммоль). МС (ESI) вычисл. для C8H11N3 (m/z): 149,10, найдено 150 [М+Н]. 2-(Азетидин-1-ил)пиридин-4-амин 28 получали по последовательности, аналогичной описанной выше, исходя из 2,4-дихлорпиридина. Синтезировали по общей методике, описанной выше, получая N-(6-(азетидин-1-ил)пиридин-2-ил)-6-(3-(трифторметил)фенил)-2Н-пиридо[3,2-b][1,4]оксазин-4(3Н)-карбоксамид Пример 7. Получение ( К раствору (S)-(2,2-диметил-1,3-диоксолан-4-ил)метанола (19,5 г, 150 мл) в диоксане (250 мл) прибавляли NaH (6,0 г, 60%) при комнатной температуре и перемешивали в течение 30 мин, затем добавляли 2-амино-6-хлорпиридин (29; 6,43 г, 50 ммоль) и перемешивали смесь при кипении в течение 48 ч. Добавляли воду и экстрагировали этилацетатом (3×100 мл). Объединенные органические слои промывали водой (6×50 мл), сушили над Na2SO4, концентрировали в вакууме и очищали хроматографией на силикагеле (20:1 хлористый метилен:метанол), получая ( (R)-6-((2,2-диметил-1,3-диоксолан-4-ил)метокси)пиридин-2-амин получали по последовательности, аналогичной описанной выше, при использовании (R)-(2,2-диметил-1,3-диоксолан-4-ил)метанола. Аналогичным образом, 6-((2,2-диметил-1,3-диоксолан-4-ил)метокси)пиридин-2-амин получали по последовательности, аналогичной описанной выше, при использовании (2,2-диметил-1,3-диоксолан-4-ил)метанола. Синтезировали по общей методике, описанной выше, получая (S)-N-(6-((2,2-диметил-1,3-диоксолан-4-ил)метокси)пиридин-2-ил)-6-(3-(трифторметил)фенил)-2Н-пиридо[3,2-b][1,4]оксазин-4(3Н)-карбоксамида (31). МС (ESI) вычисл. для C26H25F3N4О5 (m/z): 530,18. (S)-N-(6-((2,2-диметил-1,3-диоксолан-4-ил)метокси)пиридин-2-ил)-6-(3-(трифторметил)фенил)-2Н-пиридо[3,2-b][1,4]оксазин-4(3Н)-карбоксамид (31; 109 мг, 0,21 ммоль) растворяли в МеОН (12 мл) вместе с 10 каплями концентрированной HCl. Реакционную смесь перемешивали при комнатной температуре в течение 1 ч, а затем концентрировали при пониженном давлении. В результате очистки хроматографией на силикагеле получали (R)-N-(6-(2,3-дигидроксипропокси)пиридин-2-ил)-6-(3-(трифторметил)фенил)-2Н-пиридо[3,2-b][1,4]оксазин-4(3Н)-карбоксамид (соединение 570; 75 мг, 75%). МС (ESI) вычисл. для C23H21F3N4О5 (m/z): 490,15, найдено: 491 [М+Н]. Использование (R)-6-((2,2-диметил-1,3-диоксилан-4-ил)метокси)пиридин-2-амина на стадии 2, с последующими методиками стадии 3, приводило к получению соединения 571. Пример 8. Получение Получали по литературной методике по аналогии с Bertus et al К перемешиваемому раствору пиколинонитрила (4,0 г, 38,42 ммоль) и Ti(O-iPr)4 (13 мл, 43,31 ммоль) в ТГФ (64 мл) прибавляли EtMgBr (26 мл, 3М в ТГФ, 78,74 ммоль) при 50ºС. Смесь перемешивали в течение 2 ч и добавляли BF3·Et2O (10 мл, 78,74 ммоль) при 50ºС. Смесь перемешивали в течение ночи. Смесь доводили до рН=9 действием водного NaOH и экстрагировали этилацетатом (39 мл ×2). Объединенный органический слой промывали водой (79 мл ×2), сушили над Na2SO4, очищали хроматографией на силикагеле (CH2Cl2:метанол 10:1), получая масло. Масло растворяли в CH2Cl2 (79 мл). Добавляли щавелевую кислоту (1,4 г, 11,1 ммоль) в метаноле (8 мл) и перемешивали в течение 1,5 ч, получая твердое вещество. Твердое вещество выделяли фильтрованием и промывали CH2Cl2/МеОН (39 мл, об./об.=10:1) и диэтиловым эфиром, сушили в вакууме, получая 2-(пиридин-2-ил)циклопропанамин Синтезировали по общей методике, описанной выше, получая N-(1-(пиридин-2-ил)циклопропил)-6-(3-(трифторметил)фенил)-2Н-пиридо[3,2-b][1,4]оксазин-4(3Н)-карбоксамид (соединение 633; 126,2 мг, 43%). МС (ESI) вычисл. для C23H19F3N4О2 (m/z): 440,42, найдено: 441 [М+Н]. Пример 9. Получение К раствору солкеталя (48,7 г, 0,369 моль) в 1,4-диоксане (1500 мл) прибавляли NaH (14,8 г, 369 ммоль) при комнатной темп. и перемешивали в течение 2 ч. Затем добавляли 6-хлорпиразин-2-амин (34; 16,0 г, 123 ммоль) и перемешивали смесь при 120ºС в течение 12 ч. Растворитель удаляли и добавляли этилацетат (1000 мл). Смесь промывали насыщенным раствором соли (1000 мл × 3), органический растворитель сушили над Na2SO4, концентрировали в вакууме и очищали хроматографией на силикагеле (хлористый метилен:метанол от 30:1-10:1), получая 6-((2,2-диметил-1,3-диоксолан-4-ил)метокси)пиразин-2-амин (35; 13,8 г, 61,3 ммоль, 50%) в виде твердого вещества желтого цвета. МС (ESI) вычисл. для C10H15N3О3 (m/z): 225,24, найдено: 226 [М+Н]. 2-((2,2-Диметил-1,3-диоксолан-4-ил)метокси)пиридин-4-амин 36, 4-((2,2-диметил-1,3-диоксолан-4-ил)метокси)пиридин-2-амин 37, 4-((2,2-диметил-1,3-диоксолан-4-ил)метокси)-6-метилпиримидин-2-амин 38, и 2-((2,2-диметил-1,3-диоксолан-4-ил)метокси)пиримидин-4-амин 39 получали по описанной выше последовательности, исходя из 2-бромпиридин-4-амина, 4-хлорпиридин-2-амина, 4-хлор-6-метилпиримидин-2-амина и 2-хлорпиримидин-4-амина, соответственно. Синтезировали по общей методике, описанной выше, получая N-(6-((2,2-диметил-1,3-диоксолан-4-ил)метокси)пиразин-2-ил)-6-(3-(трифторметил)фенил)-2Н-пиридо[3,2-b][1,4]оксазин-4(3Н)-карбоксамид (40; 21,6 мг, 42%). МС (ESI) вычисл. для C25H24F3N5О5 (m/z): 531,48, найдено: 532 [М+Н]. Соединение 696 получали с использованием той же последовательности снятия защиты, по которой получали соединение 570. Пример 10. Получение К суспензии йодида триметилсульфоксония (80 г, 370 ммоль) в сухом трет-BuOH (1,4 л) добавляли при 50ºС третбутилат калия (41,3 г, 0,37 ммоль), после чего смесь превращалась в мутную суспензию. Данную смесь перемешивали при той же температуре в течение 1,5 ч, после чего добавляли третбутил 3-оксоазетидин-1-карбоксилат (41; 25 г, 150 ммоль). Суспензию перемешивали при 50ºС в течение 48 ч. Ее охлаждали до комнатной температуры и распределяли смесь между насыщенным водным раствором NH4Cl (30 мл) и EtOAc (50 мл). Фазы разделяли и экстрагировали водную фазу EtOAc (50 мл). Объединенные органические фазы сушили (Na2SO4), фильтровали и концентрировали в вакууме. Получали третбутил 1-окса-6-азаспиро[3.3]гептан-6-карбоксилат (42; 8 г, 28%) после очистки флэш-хроматографией на силикагеле (гексан:EtOAc градиент 2:1→0:1). МС (ESI) вычисл. для C24H19F3N6О2 (m/z): 199,1. К раствору третбутил 1-окса-6-азаспиро[3.3]гептан-6-карбоксилата (42; 3 г, 15,06 ммоль) в CH2Cl2 (10 мл) прибавляли при 20ºС 2,2,2-трифторуксусную кислоту (34,3 г, 301 ммоль) и перемешивали смесь при 20ºС в течение 30 мин, затем летучие вещества удаляли в вакууме. Остаток соли ТФУ 1-окса-6-азаспиро[3.3]гептана использовали без дополнительной очистки (43; 2,5 г, 85%). МС (ESI) вычисл. для C5H10NО-С2F3O 197,16. Смесь третбутил 6-бромпиридин-2-илкарбамата (44; 8,18 г, 30,0 ммоль), 1-окса-6-азаспиро[3.3]гептана (43; 3 г, 30,0 ммоль), 1,1'-бис(дифенилфосфино)ферроцена (DPPF) (1,663 г, 3,00 ммоль), Pd(OAc)2 (0,34 г, 1,5 ммоль) и Cs2CO3 (19,5 г, 59,9 ммоль) в 50 мл толуола нагревали при 120ºС в течение 5 ч в запаянной трубке и охлаждали. После выпаривания растворителя третбутил (6-(1-окса-6-азаспиро[3.3]гептан-6-ил)пиридин-2-ил)карбамат очищали колоночной флэш-хроматографией (45; 2,7 г, 23%). МС (ESI) вычисл. для C15H21N3О3 291,2. К раствору третбутил 6-(1-окса-6-азаспиро[3.3]гептан-6-ил)пиридин-2-илкарбамата (45; 2 г, 6,86 ммоль) в 20 мл хлористого метилена прибавляли 2,2,2-трифторуксусную кислоту (7,83 г, 68,6 ммоль) при комнатной температуре. Смесь перемешивали еще в течение 1 ч и добавляли 50 мл насыщенного водн. раствора Na2CO3. Органическую фазу отделяли и концентрировали. 6-(1-Окса-6-азаспиро[3.3]гептан-6-ил)пиридин-2-амин получали колоночной флэш-хроматографией (46; 900 мг, 69%). МС (ESI) вычисл. для C10H13N3О 191,1; найдено 192,2. Синтезировали по общей методике, описанной выше, получая N-(6-(1-окса-6-азаспиро[3.3]гептан-6-ил)пиридин-2-ил)-6-(3-(трифторметил)фенил)-2Н-пиридо[3,2-b][1,4]оксазин-4(3Н)-карбоксамид (Соединение 823; 50 мг, 38%). МС (ESI) вычисл. для C25H22F3N5О3 (m/z): 497,17, найдено: 498 [М+Н]. Пример 11. Синтез трифторацетатной соли (2-(2,3-дигидроксипропокси)пиридин-4-ил)(6-(3-(трифторметил)фенил)-2Н-пиридо[3,2-b][1,4]оксазин-4(3Н)-ил)метанона (Cоединение 518) К смеси NaH (11,95 г, 300 ммоль, 60% в масле) в безводном ТГФ (667 мл) прибавляли 2,2-диметил-1,3-диоксолан-4-ил (солкеталь) (39,65 г, 300 ммоль) при 0ºС. Смесь перемешивали в течение 1 часа. Прибавляли 2-бромизоникотиновую кислоту (47; 20,0 г, 100 ммоль) и перемешивали при кипении в течение 1,5 ч. Добавляли воду (83 мл) и доводили рН до 2-3. Смесь экстрагировали EtOAc (83 мл ×4). Объединенные органические слои промывали водой (42 мл ×3), сушили над Na2SO4 и концентрировали в вакууме, получая 2-((2,2-диметил-1,3-диоксолан-4-ил)метокси)изоникотиновую кислоту (48; 13,0 г, 52%) в виде твердого вещества белого цвета. 6-(3-(Трифторметил)фенил)-3,4-дигидро-2Н-пиридо[3,2-b][1,4]оксазин (6; 70 мг, 0,25 ммоль) растворяли в 2 мл ДМФА вместе с 2-((2,2-диметил-1,3-диоксолан-4-ил)метокси)изоникотиновой кислотой (48; 155,24 мг, 0,61 ммоль), гексафторфосфатом 2-(7-аза-1Н-бензотриазол-1-ил)-1,1,3,3-тетраметилурония (HATU) (284,83 мг, 0,75 ммоль) и основание Ханига (0,10 мл, 0,75 ммоль). Реакционную смесь перемешивали в течение ночи при 50ºС. Ее разбавляли CH2Cl2 (10 мл) и промывали водой (3×5 мл). Объединенные органические слои сушили над Na2SO4, фильтровали и концентрировали в вакууме. Сырую реакционную смесь очищали колоночной хроматографией, элюируя смесью EtOAc:пентан, получая 2-((2,2-диметил-1,3-диоксолан-4-ил)метокси)пиридин-4-ил)(6-(3-(трифторметил)фенил)-2Н-пиридо[3,2-b][1,4]оксазин-4(3Н)-ил)метанон (49; 69,3 мг, 54%). МС (ESI) вычисл. для C26H24F3N3О5 (m/z) 515,48. 2-((2,2-Диметил-1,3-диоксолан-4-ил)метокси)пиридин-4-ил)(6-(3-(трифторметил)фенил)-2Н-пиридо[3,2-b][1,4]оксазин-4(3Н)-ил)метанон (49; 69,3 мг, 0,13 ммоль) растворяли в МеОН (10 мл) вместе с 10 каплями концентрированной HCl. Реакционную смесь перемешивали при комнатной температуре в течение 1 ч, а затем концентрировали в вакууме. Очищали методом ВЭЖХ, элюируя МеОН и 0,1% ТФУ, получая трифторацетатную соль (2-(2,3-дигидроксипропокси)пиридин-4-ил)(6-(3-(трифторметил)фенил)-2Н-пиридо[3,2-b][1,4]оксазин-4(3Н)-ил)метанона (Cоединение 518; 46,8 мг, 59%). МС (ESI) вычисл. для C23H20F3N3О5 (m/z) 589,44, найдено 590 [М+Н]. Пример 12. Получение пиридин-4-ил 6-(3-(трифторметил)фенил)-2Н-пиридо[3,2-b][1,4]оксазин-4(3Н)-карбоксилата (Cоединение 562) К растворенному в 5 мл ТГФ 6-(3-(трифторметил)фенил)-3,4-дигидро-2Н-пиридо[3,2-b][1,4]оксазину (6; 100 мг, 0,357 ммоль) прибавляли трифосген в 3 мл ТГФ и ТЕА (0,73 мл,1,43 ммоль). Оставляли реакционную смесь перемешиваться при комнатной темп. в течение 30 мин. Прибавляли 3-гидроксипиридин (84,87 мг, 0,89 ммоль) и осуществляли мониторинг реакции методом ЖХМС; спустя 40 мин не наблюдали исходного вещества. Сырую реакционную смесь разбавляли CH2Cl2 (8 мл), промывали 10% NH4Cl, органический слой экстрагировали, сушили над Na2SO4, фильтровали и концентрировали при пониженном давлении. В результате очистки методом ВЭЖХ при элюировании МеОН и 0,1% ТФУ получали пиридин-4-ил 6-(3-(трифторметил)фенил)-2Н-пиридо[3,2-b][1,4]оксазин-4(3Н)-карбоксилат (Cоединение 562; 72,5 мг, 39%). МС (ESI) вычисл. для C20H14F3N3О3·С2НО2F3 (m/z) 515,36, найдено 402 [М+Н]. Пример 13. Получение 8-метил-N-(4-метилтиазол-2-ил)-6-(3-(трифторметил)фенил)-2Н-пиридо[3,2-b][1,4]оксазин-4(3Н)-карбоксамида (Cоединение 668) К уксусному ангидриду (80 мл) порциями прибавляли 4-метилпиридин N-оксид (50; 39,0 г, 365 ммоль). По завершении прибавления (1,5 ч) полученную реакционную смесь кипятили в течение 30 мин. После этого растворитель удаляли в вакууме, остаток перемешивали с насыщенным водным раствором гидрокарбоната натрия. Смесь экстрагировали CH2Cl2. Экстракты CH2Cl2 объединяли, сушили и концентрировали. Остаток очищали колоночной хроматографией (5:1 CH2Cl2/EtOAc), получая 3-ацетокси-4-метилпиридин-1-оксид (51; 15,0 г, выход 28%) в виде масла бледно-желтого цвета. МС (ESI) вычисл. для C8H9NО3 (m/z): 167,16. К раствору КОН (7,0 г) в метаноле (50 мл) прибавляли 3-ацетокси-4-метилпиридин-1-оксид (51; 15,0 г, 106 ммоль). Смесь перемешивали при комнатной температуре в течение ночи. Метанол удаляли в вакууме и растворяли остаток в воде. Раствор нейтрализовывали до рН 7 конц. HCl и экстрагировали CH2Cl2 и EtOAc. Экстракты объединяли, сушили и концентрировали, получая 4-метилпиридин-3-ол (52; 8,40 г, выход 80%) в виде масла. МС (ESI) вычисл. для C6H7NО (m/z): 109,13. 4-Метилпиридин-3-ол (52; 8,4 г, 78,5 ммоль) прибавляли к ледяной конц. H2SO4 (42 мл). Прибавляли по каплям дымящую азотную кислоту (4 мл), поддерживая температуру ниже 10ºС, и перемешивали смесь при 10-20ºС в течение 2 часов. Смесь выливали на измельченный лед и доводили до рН 2 при помощи 8н NaOH и экстрагировали EtOAc. Экстракты объединяли, сушили и концентрировали. Остаток очищали колоночной хроматографией, получая 4-метил-2-нитропиридин-3-ол (53; 8,0 г, выход 67%). МС (ESI) вычисл. для C6H6N2О3 (m/z): 154,12. К раствору 4-метил-2-нитропиридин-3-ола (53; 8,0 г, 52 ммоль) в метаноле (150 мл) прибавляли NaOMe (10,4 мл, 28% масс./масс. раствор в МеОН). Раствор перемешивали при комнатной температуре в течение 15 мин, а затем охлаждали на бане со льдом. Прибавляли по каплям раствор брома (2,64 мл) в метаноле (25 мл) и перемешивали реакционную смесь при 0ºС в течение 2 ч. Растворитель удаляли и очищали остаток колоночной хроматографией (1:80 МеОН/CH2Cl2), получая 6-бром-4-метил-2-нитропиридин-3-ол (54; 7,0 г, выход 58%). МС (ESI) вычисл. для C6H5BrN2О3 (m/z) 233,02. Раствор 6-бром-4-метил-2-нитропиридин-3-ола (54; 7,0 г, 30 ммоль), К2СО3 (12,4 г, 90 ммоль) и этилбромацетат (4,4 мл, 39 ммоль) в ДМСО (80 мл) перемешивали при 30ºС в течение 24 ч. Смесь выливали в воду и экстрагировали CH2Cl2. Экстракты объединяли, сушили и удаляли растворитель в вакууме. Остаток очищали колоночной хроматографией, получая этил 2-(6-бром-4-метил-2-нитропиридин-3-илокси)ацетат (55; 8,0 г, выход 84%). МС (ESI) вычисл. для C10H11BrN2О5 (m/z): 319,11, найдено 320. Этил 2-(6-бром-4-метил-2-нитропиридин-3-илокси)ацетат (55; 8,0 г, 25 ммоль) растворяли в смеси 9:2 EtOH/Н2О (120 мл) вместе с железом (7,0 г, 125 ммоль) и CaCl2 (1,41 мг, 12,5 ммоль). Полученную реакционную смесь кипятили в течение 8 ч. Нерастворимое вещество отфильтровывали и концентрировали фильтрат в вакууме. Остаток очищали колоночной хроматографией, получая 6-Бром-8-метил-2Н-пиридо[3,2-b][1,4]оксазин-3(4Н)-он (56; 2,7 г, 11,1 ммоль) растворяли в ТГФ (40 мл) вмесье с 9,8 М BF3-Me2S (11,4 мл, 111 ммоль). Полученную реакционную смесь кипятили с обратным холодильником в течение ночи. После охлаждения прибавляли по каплям метанол (8 мл) и реакционную смесь кипятили с обратным холодильником в течение 30 мин. Растворитель удаляли в вакууме и очищали остаток колоночной хроматографией (1:15 EtOAc/петролейный эфир), получая 6-бром-8-метил-3,4-дигидро-2Н-пиридо[3,2-b][1,4]оксазин (57; 2,24 г, выход 88%). МС (ESI) вычисл. для C8H9BrN2О (m/z): 229,07, найдено 230. 6-Бром-8-метил-3,4-дигидро-2Н-пиридо[3,2-b][1,4]оксазин (57; 1,5 г, 6,55 ммоль), 3-(трифторметил)фенилбороновую кислоту (1,49 г, 7,86 ммоль), Pd(PPh3)4 (379 мг, 0,33 ммоль), Na2CO3 (1,67 г, 15,72 ммоль) и смесь 4:1 диоксан/вода (30 мл) помещали в запаянную ампулу и продували азотом. Смесь нагревали при 120ºС в течение 12 ч. Добавляли CH2Cl2 (100 мл) и фильтровали смесь через слой Na2SO4. Растворитель удаляли в вакууме и очищали остаток колоночной хроматографией (1:15 EtOAc/петролейный эфир), получая 8-метил-6-(3-(трифторметил)фенил)-3,4-дигидро-2Н-пиридо[3,2-b][1,4]оксазин (58; Данную общую методику сочетания можно было бы использовать для получения ряда производных 8-метил-6-арил-3,4-дигидро-2Н-пиридо[3,2-b][1,4]оксазина, заменяя 3-(трифторметил)фенилбороновую кислоту на соответствующую бороновую кислоту. К раствору 8-метил-6-(3-(трифторметил)фенил)-3,4-дигидро-2Н-пиридо[3,2-b][1,4]оксазина (58; 80 мг, 0,272 ммоль) и триэтиламина (96 мг, 0,952 ммоль) в CH2Cl2 (4 мл) прибавляли трифосген (40 мг, 0,136 ммоль). Реакционную смесь перемешивали при комнатной темп. в течение 30 мин, а затем прибавляли 4-метилтиазол-2-амин (93 мг, 0,816 ммоль) и перемешивали реакционную смесь в течение ночи. Растворитель удаляли и очищали остаток колоночной хроматографией, получая 8-метил-N-(4-метилтиазол-2-ил)-6-(3-(трифторметил)фенил)-2Н-пиридо[3,2-b][1,4]оксазин-4(3Н)-карбоксамид (Cоединение 668; 78 мг, выход 66,1%). МС (ESI) вычисл. для C20H17F3N4О2S (m/z) 434,10, найдено 435 [М+Н]. Данную общую методику можно было бы использовать для получения ряда производных 8-метил-N-(замещенных)-6-арил-2Н-пиридо[3,2-b][1,4]оксазин-4(3Н)-карбоксамида, заменяя 4-метилтиазол-2-амин на соответствующий амин. Альтернативным образом, производные можно также получить взаимодействием соответствующего фенилкарбамата с 8-метил-6-арил-3,4-дигидро-2Н-пиридо[3,2-b][1,4]оксазином в присутствии DIEA при темп. от комнатной до 50°С. Пример 14. Получение N-(4-метилтиазол-2-ил)-6-(3-(трифторметил)фенил)-2Н-пиразин[2,3-b][1,4]оксазин-4(3Н)-карбоксамида (Cоединение 740) 1-Бромпирролидин-2,5-дион (27,5 г, 154 ммоль) прибавляли порциями в течение 30 мин. к раствору 6-хлорпиразин-2-амина (59; 20 г, 154 ммоль) в хлороформе (200 мл), нагретому до кипения с обратным холодильником. По завершении прибавления реакционной смеси давали остыть, промывали водой и концентрировали. Остаток очищали колоночной хроматографией, элюируя CH2Cl2, получая 3-бром-6-хлорпиразин-2-амин (60; 8 г, выход 25%). МС (ESI) вычисл. для C4H3BrClN3 (m/z) 208,44. 3-Бром-6-хлор-2-пиразинамин (60; 1,0 г), метилат натрия (3 мл, 25% масс./масс. в МеОН) и МеОН (10 мл) нагревали при кипении с обратным холодильником в течение 3 ч. Растворитель выпаривали и растворяли остаток в EtOAc и насыщенном растворе соли. Органический слой отделяли, сушили (MgSO4) и концентрировали. Остаток очищали колоночной хроматографией, элюируя хлористым метиленом, получая 6-хлор-3-метоксипиразин-2-амин (61; 2,0 г, выход 33%). МС (ESI) вычисл. для C5H6ClN3О (m/z) 159,57. К раствору 6-хлор-3-метоксипиразин-2-амина (61; 2 г, 12,53 ммоль) в CH2Cl2(300 мл) прибавляли по каплям трибромборан (3,14 г, 12,53 ммоль) и перемешивали смесь в течение ночи. Прибавляли МеОН и растворяли смесь в воде. Раствор доводили до рН 8-9 действием водного NaHCO3, а затем экстрагировали EtOAc. Органическую фазу отделяли, а остаток очищали хроматографией на силикагеле, элюируя хлористым метиленом, получая 3-амино-5-хлорпиразин-2-ол (62; 0,9 г, выход 50%). МС (ESI) вычисл. для C4H4ClN3О (m/z) 145,55. К раствору 3-амино-5-хлорпиразин-2-ола (62; 0,9 г, 6,18 ммоль) в CH3CN (100 мл) прибавляли 1,2-дибромэтан (1,16 г, 6,18 ммоль) и К2СО3 (1,71 г, 12,37 ммоль). Смесь кипятили с обратным холодильником в течение ночи. После охлаждения до комнатной темп. смесь концентрировали, растворяли в воде, а затем экстрагировали EtOAc. Объединенную органическую фазу концентрировали, а остаток очищали хроматографией на силикагеле, элюируя хлористым метиленом, получая 6-хлор-3,4-дигидро-2Н-пиразин[2,3-b][1,4]оксазин (63; К раствору 6-хлор-3,4-дигидро-2Н-пиразин[2,3-b][1,4]оксазина (63; 0,8 г, 4,66 ммоль) в смеси 4:1 диоксан/вода прибавляли 3-(трифторметил)фенилбороновую кислоту (886 мг, 4,66 ммоль). Смесь деоксигенировали в вакууме и вновь заполняли азотом. После перемешивания смеси в атмосфере азота в течение 30 мин, добавляли Pd(PPh3)4 (539 мг, 0,466 ммоль) и К2СО3 (1,29 г, 9,32 ммоль). Раствор нагревали до 100°С до завершения реакции. Затем реакционную смесь экстрагировали водой, а органический слой сушили и концентрировали, получая сырое масло, которое очищали хроматографией на силикагеле, получая 6-(3-(трифторметил)фенил)-3,4-дигидро-2Н-пиразин[2,3-b][1,4]оксазин (64; Данную общую методику можно было бы использовать для получения ряда производных 6-арил-3,4-дигидро-2Н-пиразин[2,3-b][1,4]оксазина, заменяя 3-(трифторметил)фенилбороновую кислоту на соответствующую бороновую кислоту. К раствору 6-(3-(трифторметил)фенил)-3,4-дигидро-2Н-пиразин[2,3-b][1,4]оксазина (64; 100 мг, 0,356 ммоль) и триэтиламина (126 мг, 1,245 ммоль) в CH2Cl2 (10 мл) прибавляли бис(трихлорметил)карбонат (52,8 мг, 0,178 ммоль). Реакционную смесь перемешивали при комнатной температуре в течение 30 мин, а затем добавляли 4-метилтиазол-2-амин (122 мг, 1,067 ммоль) и перемешивали смесь в течение ночи. Растворитель удаляли, а остаток очищали колоночной хроматографией, получая N-(4-метилтиазол-2-ил)-6-(3-(трифторметил)фенил)-2Н-пиразин[2,3-b][1,4]оксазин-4(3Н)-карбоксамид (Cоединение 740; 40 мг, выход 27%). МС (ESI) вычисл. для C18H14F3N5О2S: 421,08; найдено 422 [M+H]. Данную общую методику можно было бы использовать для получения ряда производных N-замещенного-6-арил-2Н-пиразин[2,3-b][1,4]оксазин-4(3Н)-карбоксамида, заменяя 4-метилтиазол-2-амин на соответствующий амин. Альтернативным образом, производные можно также получить взаимодействием соответствующего фенилкарбамата с 6-арил-3,4-дигидро-2Н-пиразин[2,3-b][1,4]оксазином в присутствии DIEA при температуре от комнатной до 50°С. Пример 15. Получение N-(4-метилтиазол-2-ил)-2-(3-(трифторметил)фенил)-6Н-пиримидо[5,4-b][1,4]оксазин-8(7Н)-карбоксамида (Cоединение 709) К 2,4-дихлор-5-метоксипиримидину (65; 9,8 г, 55 ммоль) в диоксане (20 мл) прибавляли 25%-ный раствор гидроксида аммония (25 мл). Полученную реакционную смесь нагревали при 100ºС в течение 21 ч в запаянной ампуле. После охлаждения растворитель удаляли в вакууме и очищали остаток колоночной хроматографией, получая 2-хлор-5-метоксипиримидин-4-амин (66; К раствору 2-хлор-5-метоксипиримидин-4-амина (66; 8,3 г, 52 ммоль) в CH2Cl2 (1,5 л) прибавляли по каплям трибромид бора (75 мл). Смесь перемешивали при комнатной температуре в течение ночи. Осторожно прибавляли МеОН до достижения гомогенности раствора. Растворитель удаляли в вакууме и добавляли водный NaHCO3. Смесь экстрагировали CH2Cl2, а органические слои сушили и концентрировали. Остаток очищали колоночной хроматографией, получая 4-амино-2-хлорпиримидин-5-ол (67; 4-Амино-2-хлорпиримидин-5-ол (67; 3,75 г, 25,8 ммоль) растворяли в CH2Cl2 (2500 мл) вместе с 1,2-дибромэтаном (4,85 г, 25,8 ммоль) и К2СО3 (10,68 г, 77,4 ммоль). Реакционную смесь кипятили в течение 4 ч. Осадок из смеси удаляли фильтрованием. Фильтрат концентрировали, а остаток очищали колоночной хроматографией, получая 2-хлор-7,8-дигидро-6Н-пиримидо[5,4-b][1,4]оксазин (68; 3,18 г, выход 72%). МС (ESI) вычисл. для C6H6ClN3О: 171,58; найдено 173 [M+H]. 2-Хлор-7,8-дигидро-6Н-пиримидо[5,4-b][1,4]оксазин (68; 1,41 г, 8,22 ммоль), 3-(трифторметил)фенилбороновую кислоту (1,87 г, 9,86 ммоль), Pd(PPh3)4 (475 мг, 0,411 ммоль), Na2CO3 (2,09 г, 19,7 ммоль) и смесь диоксан/вода (4:1, 35 мл) помещали в запаянную ампулу и заполняли азотом. После этого смесь нагревали при 120ºС в течение 12 часов. После охлаждения добавляли CH2Cl2 (100 мл) и пропускали смесь через слой Na2SO4. Растворитель удаляли в вакууме и очищали остаток колоночной хроматографией (1:15 EtoAc/петролейный эфир), получая 2-(3-(трифторметил)фенил)-7,8-дигидро-6Н-пиримидо[5,4-b][1,4]оксазин (69; Данную общую методику можно было бы использовать для получения ряда производных 2-арил-7,8-дигидро-6Н-пиримидо[5,4-b][1,4]оксазина, заменяя 3-(трифторметил)фенилбороновую кислоту на соответствующую бороновую кислоту. К раствору 2-(3-(трифторметил)фенил)-7,8-дигидро-6Н-пиримидо[5,4-b][1,4]оксазина (69; Данную общую методику можно было бы использовать для получения ряда производных N-замещенного-2-арил-6Н-пиримидо[5,4-b][1,4]оксазин-8(7Н)-карбоксамида, заменяя 4-метилтиазол-2-амин на соответствующий амин. Альтернативным образом, производные можно также получить взаимодействием соответствующего фенилкарбамата с 2-арил-7,8-дигидро-6Н-пиримидо[5,4-b][1,4]оксазином в присутствии DIEA при температуре от комнатной до 50°С. Пример 16. Получение 4-(диметиламино)-2-(3-(фторфенил)-N-(пиридин-4-ил)-6Н-пиримидо[5,4-b][1,4]оксазин-8(7Н)-карбоксамида (Cоединение 736) Раствор 3-фторбензонитрила (70; 20,0 г, 165 ммоль) и EtOH (50 мл) охлаждали на бане со льдом. В раствор барботировали газообразный HCl до насыщения и перемешивали реакционную смесь в течение ночи. Осадок выделяли фильтрованием и промывали холодным эфиром, получая Раствор гидрохлорида этил 3-фторбензимидата вещества (71; 33,5 г, 164 ммоль) в (150 мл) EtOH охлаждали до температуры от -5 до -10ºС. Барботировали газообразный аммиак до насыщения раствора и перемешивали реакционную смесь в течение ночи. Осадок выделяли фильтрованием и промывали холодным эфиром, получая К безводному метанолу (60 мл) прибавляли натрий (2,05 г, 89,3 ммоль) при 0ºС. После полного растворения натрия к холодному раствору добавляли гидрохлорид 3-фторбензимидамида (72; 5,0 г, 28,8 ммоль). После этого по каплям прибавляли диметил 2-метоксималонат (4,67 г, 28,8 ммоль) в течение 30 мин. при 0ºС. Полученную реакционную смесь кипятили в течение 1,5 ч. После охлаждения раствор нейтрализовывали HCl. Растворитель удаляли в вакууме и очищали остаток колоночной хроматографией, получая 2-(3-фторфенил)-5-метоксипиримидин-4,6-диол (73; 3,57 г, выход 53%). МС (ESI) вычисл. для C11H9FN2О3: 236,20. Раствор 2-(3-фторфенил)-5-метоксипиримидин-4,6-диола (73; 3,57 г, 15,1 ммоль) в POCl3 (20 мл) кипятили с обратным холодильником в течение 22 часов. Избыток POCl3 удаляли в вакууме и распределяли остаток между водой и CH2Cl2. Органический слой сушили, концентрировали и очищали остаток колоночной хроматографией, получая 4,6-дихлор-2-(3-фторфенил)-5-метоксипиримидин (74; 4,10 г, выход 99%). МС (ESI) вычисл. для C11H7Cl2FN2О: 273,09. 4,6-Дихлор-2-(3-фторфенил)-5-метоксипиримидин (74; 4,1 г, 15 ммоль) и 25% гидроксид аммония (50 мл) нагревали до 100ºС в течение 21 ч в запаянной ампуле. После охлаждения растворитель удаляли в вакууме и очищали остаток колоночной хроматографией, получая 6-хлор-2-(3-фторфенил)-5-метоксипиримидин-4-амин (75; 2,7 г, выход 71%). МС (ESI) вычисл. для C11H9ClFN3О: 253,66. К раствору 6-хлор-2-(3-фторфенил)-5-метоксипиримидин-4-амина (75; 2,7 г, 10,6 ммоль) в CH2Cl2 (50 мл) прибавляли по каплям трибромид бора (10,2 мл). Полученную реакционную смесь перемешивали при комнатной температуре в течение 24 ч. Осторожно прибавляли МеОН до достижения гомогенности раствора. Растворитель удаляли в вакууме и добавляли водный NaHCO3. Смесь экстрагировали CH2Cl2, а органический слой сушили и концентрировали. Остаток очищали колоночной хроматографией, получая 4-амино-6-хлор-2-(3-фторфенил)пиримидин-5-ол (76; 4-Амино-6-хлор-2-(3-фторфенил)пиримидин-5-ол (76; 5,3 г, 22,1 ммоль) растворяли в ТГФ (2200 мл) вместе с К2СО3 (15,2 г, 110 ммоль). Прибавляли по каплям 2-хлорацетилхлорид (2,50 г, 22,1 ммоль) и перемешивали реакционную смесь при комнатной температуре в течение 2 ч. Реакционную смесь кипятили с обратным холодильником в течение 24 ч. Растворитель удаляли в вакууме, а остаток очищали колоночной хроматографией, получая 4-хлор-2-(3-фторфенил)-6Н-пиримидо[5,4-b][1,4]оксазин-8(7Н)-он (77; К раствору 4-хлор-2-(3-фторфенил)-6Н-пиримидо[5,4-b][1,4]оксазин-8(7Н)-она (77; 3,4 г, 12,1 ммоль) в ТГФ (40 мл) прибавляли 9,8 М ВН3-Me2S (12,4 мл, 121 ммоль). Реакционную смесь кипятили в течение ночи. После охлаждения прибавляли к раствору по каплям метанол (8 мл) и кипятили реакционную смесь в течение 30 мин. Растворитель удаляли в вакууме, а остаток очищали колоночной хроматографией, получая 4-хлор-2-(3-фторфенил)-7,8-дигидро-6Н-пиримидо[5,4-b][1,4]оксазин (78; Смесь 4-хлор-2-(3-фторфенил)-7,8-дигидро-6Н-пиримидо[5,4-b][1,4]оксазина (79; 550 мг, 2,07 ммоль), 33% раствор диметиламина (35 мл) в диоксане (70 мл) нагревали при 90ºС в течение 24 ч в запаянной ампуле. Растворитель удаляли в вакууме, а остаток очищали колоночной хроматографией, получая 2-(3-фторфенил)-N,N-диметил-7,8-дигидро-6Н-пиримидо[5,4-b][1,4]оксазин-4-амин (80; 420 мг, выход 74%). МС (ESI) вычисл. для C14H15FN4О: 274,29, найдено 275. Описанный выше общий протокол использовали для синтеза аналогичных 2-(3-фторфенил)-4-(пирролидин-1-ил)-7,8-дигидро-6Н-пиримидо[5,4-b][1,4]оксазина 81 К раствору 2-(3-фторфенил)-N,N-диметил-7,8-дигидро-6Н-пиримидо[5,4-b][1,4]оксазин-4-амина (80; 90 мг, 0,328 ммоль) и триэтиламина (116 мг, 1,15 мг) в CH2Cl2 (5 мл) прибавляли трифосген (49 мг, 0,164 ммоль). Реакционную смесь перемешивали при комнатной темп. в течение 2 ч, а затем прибавляли пиридин-4-амин (93 мг, 0,984 ммоль) и перемешивали реакционную смесь в течение 24 ч. Растворитель удаляли и очищали остаток колоночной хроматографией, получая 4-(диметиламино)-2-(3-(фторфенил)-N-(пиридин-4-ил)-6Н-пиримидо[5,4-b][1,4]оксазин-8(7Н)-карбоксамид (Cоединение 736; Данную общую методику можно было бы использовать для получения ряда производных 4-замещенного-2-арил-N-замещенного-6Н-пиримидо[5,4-b][1,4]оксазин-8(7Н)-карбоксамида, заменяя пиримидин-4-амин на соответствующий амин. Альтернативным образом, производные можно также получить взаимодействием соответствующего фенилкарбамата с 2-арилзамещенным-7,8-дигидро-6Н-пиримидо[5,4-b][1,4]оксазин-4-амином в присутствии DIEA при температуре от комнатной до 50°С. Пример 17. Получение 2-(3-(фторфенил)-4-(пиперазин-1-ил)-N-(пиридин-4-ил)-6Н-пиримидо[5,4-b][1,4]оксазин-8(7Н)-карбоксамида (Cоединение 738) 4-Хлор-2-(3-фторфенил)-7,8-дигидро-6Н-пиримидо[5,4-b][1,4]оксазин (79; 550 мг, 2,07 ммоль), третбутил пиперазин-1-карбоксилат (7,7 г, 41,4 ммоль) и диоксан (100 мл) помещали в запаянную ампулу. Реакционную смесь перемешивали при 100ºС в течение 24 ч. Растворитель удаляли и очищали остаток колоночной хроматографией, получая третбутил 4-(2-(3-(фторфенил)-7,8-дигидро-6Н-пиримидо[5,4-b][1,4]оксазин-4-ил)пиперазин-1-карбоксилат (83; 540 мг, выход 63%). МС (ESI) вычисл. для C21H26FN5О3: 415,46. К раствору третбутил 4-(2-(3-(фторфенил)-7,8-дигидро-6Н-пиримидо[5,4-b][1,4]оксазин-4-ил)пиперазин-1-карбоксилата (83; 120 мг, 0,289 ммоль) и триэтиламина (102 мг, 1,01 ммоль) в CH2Cl2 (7 мл) прибавляли трифосген (43 мг, 0,144 ммоль). Реакционную смесь перемешивали при комнатной темп. в течение 2 ч. Прибавляли пиридин-4-амин (82 мг, 0,867 ммоль) и перемешивали реакционную смесь в течение 24 ч. Растворитель удаляли и очищали остаток колоночной хроматографией, получая третбутил 4-(2-(3-(фторфенил)-8-(пиридин-4-илкарбамоил)-7,8-дигидро-6Н-пиримидо[5,4-b][1,4]оксазин-4-ил)пиперазин-1-карбоксилат (84; Данную общую методику можно было бы использовать для получения ряда производных 4-арил-8-замещенных-7,8-дигидро-6Н-пиримидо[5,4-b][1,4]оксазин-4-ил)замещенных-1-карбоксилата, заменяя пиримидин-4-амин на соответствующий амин. Альтернативным образом, производные можно также получить взаимодействием соответствующего фенилкарбамата с 4-арил-7,8-дигидро-6Н-пиримидо[5,4-b][1,4]оксазин-4-ил)замещенным-1-карбоксилатом в присутствии DIEA при температуре от комнатной до 50°С. Третбутил 4-(2-(3-(фторфенил)-8-(пиридин-4-илкарбамоил)-7,8-дигидро-6Н-пиримидо[5,4-b][1,4]оксазин-4-ил)пиперазин-1-карбоксилат (84; 85 мг,0,159 ммоль) прибавляли к 1н HCl (20 мл) и перемешивали смесь при комнатной темп. в течение ночи. Раствор нейтрализовывали насыщ. NaHCO3 и экстрагировали EtOAc. Органические слои объединяли, сушили и концентрировали. Остаток очищали колоночной хроматографией, получая 2-(3-(фторфенил)-4-(пиперазин-1-ил)-N-(пиридин-4-ил)-6Н-пиримидо[5,4-b][1,4]оксазин-8(7Н)-карбоксамид (Cоединение 738; 40 мг, выход 58%). МС (ESI) вычисл. для C22H22FN7О2: 435,18; найдено 436 [M+H]. Пример 18. Получение 2,2-диметил-N-(пиридин-4-ил)-6-(3-(трифторметил)фенил)-2Н-пиридо[3,2-b][1,4]оксазин-4(3Н)- карбоксамида (Соединение 560) Смесь 6-бром-2-нитропиридин-3-ола (85; 3,28 г, 15 ммоль), этил 2-бром-2-метилпропаноата (3,51 г, 18 ммоль) и К2СО3 в диметилформамиде (30 мл) перемешивали при комнатной темп. в течение 48 ч. Добавляли воду и экстрагировали смесь EtOAc. Объединенные органические слои промывали водой и насыщенным раствором соли, сушили, концентрировали и очищали колоночной хроматографией, элюируя смесью петролейный эфир:EtOAc, получая этил 2-((6-бром-2-нитропиридин-3-ил)окси)-2-метилпропаноат (86; Смесь этил 2-((6-бром-2-нитропиридин-3-ил)окси)-2-метилпропаноата (86; 5,5 г, 17,2 ммоль) и порошкообразного железа (5,2 г, 92 ммоль) в НОАс (50 мл) нагревали при 90ºС в течение 2 ч. Горячий раствор фильтровали через слой целита и концентрировали. Остаток обрабатывали насыщенным водн. NaHCO3 и экстрагировали EtOAc. Объединенные органические слои промывали насыщенным раствором соли, концентрировали, получая 6-бром-2,2-диметил-2Н-пиридо[3,2-b][1,4]оксазин-3(4Н)-он (87; 4,1 г, выход 92%) в виде твердого вещества белого цвета. МС (ESI) вычисл. для C9H9BrN2О2: 257,08. Раствор 6-бром-2,2-диметил-2Н-пиридо[3,2-b][1,4]оксазин-3(4Н)-она (87; 4,4 г, 17,1 ммоль) и ВН3·Me2S (2,5 М в ТГФ, 64 мл, 160 ммоль) нагревали при кипении в течение 24 ч. После охлаждения порциями прибавляли к раствору МеОН (10 мл) и кипятили реакционную смесь в течение 30 мин. После этого реакционную смесь концентрировали, добавляли воду и экстрагировали смесь этилацетатом. Объединенные органические слои промывали насыщенным раствором соли, сушили (Na2SO4), фильтровали и концентрировали, и очищали колоночной хроматографией, элюируя смесью этилацетат:петролейный эфир, получая 6-бром-2,2-диметил-3,4-дигидро-2Н-пиридо[3,2-b][1,4]оксазин (88; Смесь 6-бром-2,2-диметил-3,4-дигидро-2Н-пиридо[3,2-b][1,4]оксазина (88; 1,0 г, 4,11 ммоль), (3-(трифторметил)фенил)бороновой кислоты (1,2 г, 6,17 ммоль), Pd(PPh3)4 (250 мг, 0,21 ммоль) и карбоната цезия (2,7 г, 8,22 ммоль) в 1,2-диметоксиэтане (20 мл) и воде (2 мл) перемешивали при 100ºС в течение 18 ч. Осадок фильтровали, а фильтрат концентрировали, получая осадок темного цвета, который очищали колоночной хроматографией, элюируя смесью этилацетат:петролейный эфир, получая 2,2-диметил-6-(3-(трифторметил)фенил)-3,4-дигидро-2Н-пиридо[3,2-b][1,4]оксазин (89; Данную общую методику можно было бы использовать для получения ряда производных 2,2-диметил-6-арил-3,4-дигидро-2Н-пиридо[3,2-b][1,4]оксазина, заменяя 3-(трифторметил)фенилбороновую кислоту на соответствующую бороновую кислоту. К раствору 2,2-диметил-6-(3-(трифторметил)фенил)-3,4-дигидро-2Н-пиридо[3,2-b][1,4]оксазина (89; 100 мг, 0,32 ммоль) и триэтиламина (0,16 мл, 1,13 ммоль) в CH2Cl2 (5 мл) прибавляли трифосген (48 мг, 0,16 ммоль) и перемешивали смесь при комнатной темп. в течение 30 мин. После этого прибавляли пиридин-4-амин (92 мг, 0,97 ммоль) и перемешивали смесь при комнатной темп. в течение ночи. Реакционную смесь разбавляли CH2Cl2 и промывали водой и насыщенным раствором соли, сушили (MgSO4), фильтровали и концентрировали. Остаток очищали хроматографией, получая 2,2-диметил-N-(пиридин-4-ил)-6-(3-(трифторметил)фенил)-2Н-пиридо[3,2-b][1,4]оксазин-4(3Н)-карбоксамид (Соединение 560; Данную общую методику можно было бы использовать для получения ряда производных 2,2 Пример 19. Получение (S)-6-(3-(3-фторпирролидин-1-ил)фенил)-2,2-диметил-N-(5-метилпиридин-3-ил)-2Н-пиридо[3,2-b][1,4]оксазин-4(3Н)-карбоксамида (Соединение 660) К раствору 1,3-дибромбензола (90; 5 г, 21,20 ммоль) и (S)-3-фторпирролидин гидрохлорид (2,93 г, 23,31 ммоль) в толуоле (100 мл) прибавляли BINAP (1,32 г, 2,12 ммоль), Pd2(dba)3 (0,97 г, 1,06 ммоль) и Cs2CO3 (6,93 г, 50,9 ммоль). Реакционную смесь перемешивали при 121ºС в течение 10 ч. Смесь концентрировали и очищали колоночной хроматографией, получая (S)-1-(3-бромфенил)-3-фторпирролидин (91; 3,5 г, 68%). МС (ESI) вычисл. для C10H11BrFN: 244,10. К раствору (S)-1-(3-бромфенил)-3-фторпирролидина (91; 3,5 г, 14,34 ммоль) в ТГФ (70 мл) прибавляли н-BuLi (2,5 М раствор в гексане, 12 мл, 28,68 ммоль) при -78ºС, реакционную смесь перемешивали при той же температуре в течение 1 ч и прибавляли по каплям триметилборат (1,79 г, 17,21 ммоль). После перемешивали смесь при -78ºС еще в течение 30 мин прибавляли МеОН и экстрагировали смесь EtOAc. Органический слой сушили (Na2SO4) и концентрировали. Остаток очищали колоночной хроматографией, получая (S)-3-(3-фторпирролидин-1-ил)фенилбороновую кислоту (92; Смесь соединения 6-бром-2,2-диметил-3,4-дигидро-2Н-пиридо[3,2-b][1,4]оксазина (88; 350 мг, 1,44 ммоль), (S)-3-(3-фторпирролидин-1-ил)фенилбороновой кислоты (330 мг, 1,58 ммоль), Pd(dppf)Cl2 (60 мг, 0,072 ммоль) и карбоната цезия (0,94 г, 2,88 ммоль) в 1,2-диметоксиэтане (10 мл) перемешивали при 95ºС в течение ночи. Реакционную смесь очищали колоночной хроматографией, элюируя смесью EtOAc:петролейный эфир, получая (S)-6-(3-(3-фторпирролидин-1-ил)фенил-2,2-диметил-3,4-дигидро-2Н-пиридо[3,2-b][1,4]оксазин (93; К смеси (S)-6-(3-(3-фторпирролидин-1-ил)фенил-2,2-диметил-3,4-дигидро-2Н-пиридо[3,2-b][1,4]оксазина (93; 65 мг, 0,2 ммоль) и триэтиламина (61 мг, 0,6 ммоль) в ТГФ (3 мл) прибавляли трифосген (24 мг, 0,08 ммоль). Реакционную смесь перемешивали при комнатной температуре в течение 1,5 ч. Прибавляли 5-метилперидин-3-амин (43 мг, 0,4 ммоль) и реакционную смесь перемешивали при 60ºС в течение 18 ч. После этого реакционную смесь промывали насыщенным раствором гидрокарбоната натрия и водой. Органический слой концентрировали и очищали хроматографией, получая (S)-6-(3-(3-фторпирролидин-1-ил)фенил)-2,2-диметил-N-(5-метилпиридин-3-ил)-2Н-пиридо[3,2-b][1,4]оксазин-4(3Н)-карбоксамид (Соединение 660; 34 мг, 31%) в виде твердого вещества желтого цвета. МС (ESI) вычисл. для C26H28FN5О2: 461,22; найдено: 462 [M+H]. Пример 20. Получение 2,2-диметил-N-(5-метилпиридин-3-ил)-6-(3-(пирролидин-1-илметил)фенил)-2Н-пиридо[3,2-b][1,4]оксазин-4(3Н)-карбоксамида (Соединение 629) В атмосфере азота смесь соединения 6-бром-2,2-диметил-3,4-дигидро-2Н-пиридо[3,2-b][1,4]оксазина (88; 1,5 г, 6,2 ммоль), (3-(метоксикарбонил)фенил)бороновой кислоты (1,45 г, 8,0 ммоль), Pd(dppf)Cl2 (260 мг, 0,31 ммоль) и карбоната цезия (4,0 г, 12,34 ммоль) в диметоксиэтане (50 мл) перемешивали при 90ºС в течение ночи. Реакционную смесь концентрировали и очищали хроматографией, элюируя смесью EtOAc:петролейный эфир, получая метил 3-(2,2-диметил-3,4-дигидро-2Н-пиридо[3,2-b][1,4]оксазин-6-ил)бензоат(94; К раствору соединения метил 3-(2,2-диметил-3,4-дигидро-2Н-пиридо[3,2-b][1,4]оксазин-6-ил)бензоата(94; 700 мг, 2,35 ммоль) в смеси растворителей МеОН:ТГФ:Н2О (5 мл:5 мл:3 мл) прибавляли LiOH·Н2О (200 мг, 4,7 ммоль) и перемешивали смесь при температуре окружающей среды в течение 1 часа. Реакционную смесь концентрировали, добавляли воду (25 мл) и доводили рН до 3-4 концентрированной хлористоводородной кислотой. Осадок фильтровали и сушили, получая метил 3-(2,2-диметил-3,4-дигидро-2Н-пиридо[3,2-b][1,4]оксазин-6-ил)бензойную кислоту(95; 0,59 г, 84%) в виде твердого вещества белого цвета. МС (ESI) вычисл. для C16H16N2О3: 284,31. Метил 3-(2,2-диметил-3,4-дигидро-2Н-пиридо[3,2-b][1,4]оксазин-6-ил)бензойную кислоту(95; 0,59 г, 2.1 ммоль), пирролидин (300 мг, 4,2 ммоль) и гексафторфосфат 2-(7-аза-1Н-бензотриазол-1-ил)-1,1,3,3-тетраметилурония (HATU) (1,6 г, 4,2 ммоль) растворяли в N,N-диметилформамиде (ДМФА) (10 мл). Затем прибавляли диизопропилэтиламин (0,8 мл, 4,2 ммоль) и перемешивали при комнатной темп. в течение ночи. Затем реакционную смесь разбавляли водой и экстрагировали EtOAc, а объединенные органические слои промывали насыщенным раствором гидрокарбоната натрия и водой и насыщенным раствором соли, сушили (Na2SO4) и концентрировали. Остаток растирали со смесью EtOAc:петролейный эфир, получая (3-(2,2-диметил-3,4-дигидро-2Н-пиридо[3,2-b][1,4]оксазин-6-ил)фенил)(пирролидин-1-ил)метанон (96; Смесь (3-(2,2-диметил-3,4-дигидро-2Н-пиридо[3,2-b][1,4]оксазин-6-ил)фенил)(пирролидин-1-ил)метанона (96; К смеси 2,2-диметил-6-(3-(пирролидин-1-илметил)фенил)-)3,4-дигидро-2Н-пиридо[3,2-b][1,4]оксазина (97; Данную общую методику можно было бы использовать для получения ряда производных 2,2-диметил-N-замещенных-6-(3-(пирролидин-1-илметил)фенил)-2Н-пиридо[3,2-b][1,4]оксазин-4(3Н)-карбоксамида, заменяя 5-метилпиридин на соответствующий амин. Альтернативным образом, производные можно также получить взаимодействием соответствующего фенилкарбамата с 2,2-диметил-6-(3-(пирролидин-1-илметил)фенил)-3,4-дигидро-2Н-пиридо[3,2-b][1,4]оксазином в присутствии DIEA при температуре от комнатной до 50°С. Пример 21. Получение 6-(3-((диметиламино)метил)фенил)-2,2-диметил-N-(пиридин-3-ил)-2Н-пиридо[3,2-b][1,4]оксазин-4(3Н)-карбоксамида (Соединение 677) Метил 3-(2,2-диметил-3,4-дигидро-2Н-пиридо[3,2-b][1,4]оксазин-6-ил)бензойную кислоту(95; 0,50 г, 1,74 ммоль), гидрохлорид диметиламина (710 мг, 8,71 ммоль) и HATU (1,3 г, 3,42 ммоль) растворяли в ДМФА (10 мл). Затем прибавляли диизопропилэтиламин (562 мг, 4,36 ммоль) и перемешивали при 30ºС в течение ночи. Затем реакционную смесь разбавляли водой и экстрагировали EtOAc, а объединенные органические слои промывали насыщенным раствором гидрокарбоната натрия и водой и насыщенным раствором соли, сушили (Na2SO4) и концентрировали. Остаток растирали со смесью EtOAc:петролейный эфир, получая 3-(2,2-диметил-3,4-дигидро-2Н-пиридо[3,2-b][1,4]оксазин-6-ил)-N,N-диметилбензамид (98; 493 мг, 90%). МС (ESI) вычисл. для C18H21N3О2: 311,38; найдено 312 [M+H]. Смесь 3-(2,2-диметил-3,4-дигидро-2Н-пиридо[3,2-b][1,4]оксазин-6-ил)-N,N-диметилбензамида (98; 0,49 г, 1,56 ммоль) и ВН3·Me2S (10 М в ТГФ, 1,56 мл, 15,6 ммоль) в ТГФ (10 мл) нагревали при кипении в течение 18 ч. После охлаждения прибавляли к раствору МеОН (10 мл) и продолжали кипячение в течение 1 ч. Реакционную смесь концентрировали и очищали остаток колоночной хроматографией, элюируя смесью МеОН:CH2Cl2, получая 1-(3-(2,2-диметил-3,4-дигидро-2Н-пиридо[3,2-b][1,4]оксазин-6-ил)фенил)-N,N-диметилметанамин (99; К раствору 1-(3-(2,2-диметил-3,4-дигидро-2Н-пиридо[3,2-b][1,4]оксазин-6-ил)фенил)-N,N-диметилметанамина (99; 50 мг, 0,15 ммоль) и триэтиламина (50 мг, 0,46 ммоль) в ТГФ (3 мл) прибавляли трифосген (18 мг, 0,062 ммоль) и перемешивали реакционную смесь при комнатной температуре в течение 30 мин. После этого добавляли пиридин-3-амин (42 мг, 0,46 ммоль) и перемешивали смесь при 60ºС в течение ночи. Реакционную смесь очищали хроматографией, получая 6-(3-((диметиламино)метил)фенил)-2,2-диметил-N-(пиридин-3-ил)-2Н-пиридо[3,2-b][1,4]оксазин-4(3Н)-карбоксамид (Соединение 677; Данную общую методику можно было бы использовать для получения ряда производных 6-(3-((диметиламино)метил)фенил)-2,2-диметил-N-замещенного-2Н-пиридо[3,2-b][1,4]оксазин-4(3Н)-карбоксамида, заменяя пиридин-3-амин на соответствующий амин. Альтернативным образом, производные можно также получить взаимодействием соответствующего фенилкарбамата с 1-(3-(2,2-диметил-3,4-дигидро-2Н-пиридо[3,2-b][1,4]оксазин-6-ил)фенил)-N,N-диметилметанамином в присутствии N,N-диизопропилэтиламина DIEA при температуре от комнатной до 50°С. Пример 22. Получение трифторацетатной соли 1-метил-2-оксо-N-(тиазол-2-ил)-6-(3-(трифторметил)фенил)-2,3-дигидропиридо[2,3-b]пиразин-4(1Н)-карбоксамида (Соединение 520) Получали по литературной методике, аналогичной В атмосфере азота смесь этил 2-(6-хлор-3-нитропиридин-2-иламино)ацетата (101; 25 г, 93 ммоль), (3-(трифторметил)фенилбороновой кислоты (19,6 г, 111,6 ммоль), Pd(PPh3)4 (3,8 г, 4,65 ммоль) и карбоната цезия (66 г, 186 ммоль) в 500 мл 1,2-диметоксиэтана и 32 мл воды перемешивали при 65ºС в течение 2 ч. Осадок фильтровали, а фильтрат концентрировали в вакууме, получая остаток темного цвета, который очищали колоночной хроматографией при элюировании смесью этилацетат/петролейный эфир =1:10, получая этил 2-(3-нитро-6-(3-(трифторметил)фенил)пиридин-2-иламино)ацетат (102; Суспензию этил 2-(3-нитро-6-(3-(трифторметил)фенил)пиридин-2-иламино)ацетата (102; 31 г, 9,54 ммоль) и 3,0 г влажного Pd-C (влажный, 50%) в 300 мл метанола гидрировали в атмосфере Н2 при температуре окружающей среды примерно в течение 6 часов. Катализатор черного цвета удаляли фильтрованием через целит, а фильтрат концентрировали в вакууме, получая сырой осадок этил 2-(3-нитро-6-(3-(трифторметил)фенил)пиридин-2-иламино)ацетата (103; 35,6 г) почти белого цвета, который использовали на следующей стадии без дополнительной очистки. После этого этил 2-(3-нитро-6-(3-(трифторметил)фенил)пиридин-2-иламино)ацетат (103; 35,6 г) растворяли в 300 мл EtOH и перемешивали при кипении в течение 22 ч. Растворитель удаляли при пониженном давлении, а остаток вносили на колонку для флэш-хроматографии при использовании смеси этилацетат/петролейный эфир=1:8 в качестве элюента, получая 6-(3-(трифторметил)фенил-3,4-дигидропиридо[2,3-b]пиразин-2(1Н)-он (104; 23 г, 83%) в виде твердого вещества желтого цвета. МС (ESI) вычисл. для C14H10F3N3О(m/z) 293,24, найдено 294 [M+H]. К раствору 6-(3-(трифторметил)фенил-3,4-дигидропиридо[2,3-b]пиразин-2(1Н)-она (104; 25,2 г, 86,0 ммоль) в 400 мл сухого ТГФ прибавляли при 0ºС гексаметилдисилазид натрия (NaHMDS) (53,4 мл, 40% в ТГФ, 103,2 ммоль). После прибавления смесь перемешивали при той же температуре в течение 0,5 ч. К раствору красно-черного цвета прибавляли CH3I и смесь перемешивали при комнатной температуре в течение ночи. К реакционной смеси добавляли 100 мл насыщенного NH4Cl и 500 мл воды и экстрагировали этилацетатом (300 мл ×2), а объединенные органические слои промывали водой, насыщенным раствором соли и сушили, концентрировали, получая сырой остаток, который очищали колоночной хроматографией, получая 1-метил-6-(3-(трифторметил)фенил-3,4-дигидропиридо[2,3-b]пиразин-2(1Н)-он (105; 13,8 г, 52%) в виде твердого вещества белого цвета. МС (ESI) вычисл. для C15H12F3N3О(m/z) 307,27, найдено 308[M+H]. Получали по похожей литературной методике, Gool et al Данную общую методику можно было бы использовать для получения ряда производных 1-метил-2-оксо-N-замещенного-6-арил-2,3-дигидропиридо[2,3-b]пиразин-4(1Н)-карбоксамида, заменяя 2-аминотиазол на соответствующий амин. Альтернативным образом, производные можно также получить взаимодействием соответствующего фенилкарбамата с 1-метил-6-арил-3,4-дигидропиридо[2,3-b]пиразин-2(1Н)-оном в присутствии N,N-диизопропилэтиламина (DIEA) при температуре от комнатной до 50°С. Пример 23. Получение трифторацетатной соли 1-метил-N-(тиазол-2-ил)-6-(3-(трифторметил)фенил)-2,3-дигидропиридо[2,3-b]пиразин-4(1Н)-карбоксамида (Соединение 529) Раствор 1-метил-6-(3-(трифторметил)фенил-3,4-дигидропиридо[2,3-b]пиразин-2(1Н)-она (105; 8,8 г, 28,6 ммоль) и 9-BBN (32,21 г, 132 ммоль) в 265 мл ТГФ перемешивали при кипении в течение 4 ч. Растворитель удаляли при пониженном давлении и очищали остаток колоночной хроматографией, получая маслообразный продукт (6,4 г, 81%). Затем данный сырой продукт растирали с чистым петролейным эфиром, получая 1-метил-6-(3-(трифторметил)фенил)-1,2,3,4-тетрагидропиридо[2,3-b]пиразин (106; 2,8 г, 35%) в виде твердого вещества белого цвета, и 3,3 г сырого масла, содержащего примесь 9-BBN (42%). МС (ESI) вычисл. для C15H14F3N3 (m/z) 293,29, найдено 294 [M+H]. Получали по похожей литературной методике, Gool et al Данную общую методику можно было бы использовать для получения ряда производных 1-метил-N-замещенного-6-арил-2,3-дигидропиридо[2,3-b]пиразин-4(1Н)-карбоксамида, заменяя 2-аминотиазол на соответствующий амин. Альтернативным образом, производные можно также получить взаимодействием соответствующего фенилкарбамата с 1-метил-6-арил-1,2,3,4-тетрагидропиридо[2,3-b]пиразином в присутствии N,N-диизопропилэтиламина (DIEA) при температуре от комнатной до 50°С. Пример 24. Получение N-(5-метилпиридин-3-ил)-7-(3-(трифторметил)фенил)-3,4-дигидро-1.8-нафтиридин-1(2Н)-карбоксамида (Соединение 585) NaHMDS (351 мл, 0,7 моль) в ТГФ (300 мл) охлаждали до 0ºС, прибавляли раствор 2-амино-6-хлорпиридина (107; 40 г, 0,311 моль) в ТГФ (300 мл), затем раствор дитретбутилдикарбоната (68 г, 0,311 моль) в ТГФ, поддерживая внутреннюю температуру ниже 0ºС. Полученная смесь дозревала в течение 1 ч при комнатной темп., а затем ее осторожно подкисляли до рН 3, добавляя 1 М хлористоводородную кислоту, экстрагировали EtOAc, затем объединенные органические слои последовательно промывали насыщенным водным раствором NaHCO3 и насыщенным раствором соли, сушили над Na2SO4, фильтровали, концентрировали, получая сырой продукт. Растирали с эфиром, получая требуемый продукт третбутил 6-хлорпиридин-2-илкарбамата (108; 45 г, выход 63,4%). МС (ESI) вычисл. для C10H13ClN2О2(m/z) 228,69. К перемешиваемому раствору тетраметилэтилендиамина (TMEDA) (63,84 г, 0,549 моль) в ТГФ (600 мл) при -20ºС прибавляли н-BuLi (220 мл, 0,549 моль, 2,5 М в гексане) в течение 10 мин. Раствор перемешивали при температуре от -20 до 10ºС в течение 30 мин, а затем охлаждали до -78ºС. В течение 15 мин прибавляли раствор третбутил 6-хлорпиридин-2-илкарбамата (108; 57,0 г, 0,249 моль) в ТГФ (300 мл). Полученная смесь дозревала в течение 1 ч, а затем прибавляли CuI (47,6 г, 0,249 моль) в виде одной порции. Реакционной смеси давали нагреться до -10ºС в течение одного часа. Прибавляли чистый 1-хлор-3-йодпропан (76,5 г, 0,374 моль) в течение 1 мин, отставляли охлаждающую баню и давали реакционной смеси нагреться до темп. окружающей среды, после чего кипятили в течение ночи. По завершении реакции реакционную смесь охлаждали и гасили, добавляя насыщенный раствор гидрокарбоната натрия. Водный слой экстрагировали EtOAc, объединенные органические слои сушили над Na2SO4, фильтровали через небольшой слой силикагеля, концентрировали, получая сырой продукт. Растирали с эфиром, получая третбутил 7-хлор-3,4-дигидро-1,8-нафтиридин-1(2Н)-карбоксилат (109; 43 г, выход 67%). МС (ESI) вычисл. для C13H17ClN2О2(m/z) 268,74. Третбутил 7-хлор-3,4-дигидро-1,8-нафтиридин-1(2Н)-карбоксилат (109; 21 г, 0,078 ммоль) прибавляли к CF3COOH (100 мл) и перемешивали при кт в течение ночи. Реакционную смесь концентрировали и растворяли в ЭА. Осторожно прибавляли насыщенный водный раствор NaHCO3 до рН=9. Водный слой снова экстрагировали EtOAc, а объединенные органические слои сушили над Na2SO4, фильтровали и концентрировали, получая 7-хлор-1,2,3,4-тетрагидро-1,8-нафтиридин (110; 12,9 г, выход 98%). МС (ESI) вычисл. для C8H9ClN2(m/z) 168,62. В атмосфере азота смесь 1,2,3,4-тетрагидро-1,8-нафтиридин (110; 1,2 г, 7,12 ммоль) растворяли в DME (40 мл) наряду с (3-(трифторметил)фенилбороновой кислотой (2,03 г, 10,68 ммоль), Cs2CO3 (4,64 г, 14,24 ммоль) и Pd(dppf)Cl2 (297 мг, 0,356 ммоль). Реакционную смесь перемешивали при 90ºС в течение ночи. Осадок фильтровали. Затем фильтрат разбавляли Н2О и экстрагировали этилацетатом. Объединенные органические слои промывали насыщенным раствором соли, сушили над Na2SO4, а затем концентрировали в вакууме. Остаток очищали колоночной хроматографией, получая 7-(3-(трифторметил)фенил)-1,2,3,4-тетрагидро-1,8-нафтиридин (111; Данную общую методику сочетания можно было бы использовать для получения ряда производных 7-арил-1,2,3,4-тетрагидро-1,8-нафтиридина, заменяя 3-(трифторметил)фенилбороновую кислоту на соответствующую бороновую кислоту. В атмосфере азота к смеси 7-(3-(трифторметил)фенил)-1,2,3,4-тетрагидро-1,8-нафтиридина (111; 3-(2,3-Дигидроксипропокси)фенил 7-(3-(трифторметил)фенил)-3,4-дигидро-1,8-нафтиридин-1(2Н)-карбоксилат (Соединение 641) и (3-(2,3-дигидроксипропокси)фенил)(7-(3-(трифторметил)фенил)-3,4-дигидро-1,8-нафтиридин-1(2Н)-ил)метанон (Соединение 642) синтезировали способами, которые описаны выше ранее для Соединений 562 и 518. Данную общую методику можно было бы использовать для получения ряда производных N-замещенных-7-арил-3,4-дигидро-1,8-нафтиридин-1(2Н)-карбоксамида, заменяя 5-метилпиридин-3-амин на соответствующий амин. Альтернативным образом, производные можно также получить взаимодействием соответствующего фенилкарбамата с 7-арил-1,2,3,4-тетрагидро-1,8-нафтиридином в присутствии N,N-диизопропилэтиламина (DIEA) при температуре от комнатной до 50°С. Пример 25. Получение 4-оксо-N-(пиридин-4-ил)-7-(3-(трифторметил)фенил)-3,4-дигидро-1,8-нафтиридин-1(2Н)-карбоксамида (Соединение 719) Смесь 7-хлор-1,2,3,4-тетрагидро-1,8-нафтиридина (110; 6,0 г,3 5,7 ммоль), Вос2О (15,6 г, 71,4 ммоль) и 4-диметиламинопиридина (DMAP) (13,1 г, 107,1 ммоль) в ТГФ (200 мл) перемешивали при кипении в течение ночи. По данным ТСХ реакция завершалась, и смесь выливали в воду. Органический слой сушили над безводным Na2SO4, фильтровали и концентрировали в вакууме, получая третбутил 7-хлор-3,4-дигидро-1,8-нафтиридин-1(2Н)-карбоксилат (112; Смесь третбутил 7-хлор-3,4-дигидро-1,8-нафтиридин-1(2Н)-карбоксилата (112; Данную общую методику сочетания можно было бы использовать для получения ряда производных 7-арил-3,4-дигидро-1,8-нафтиридин-1(2Н)-карбоксилата, заменяя 3-(трифторметил)фенилбороновую кислоту на соответствующую бороновую кислоту. Смесь третбутил 7-(3-трифторметил)фенил-3,4-дигидро-1,8-нафтиридин-1(2Н)-карбоксилата (113; 10,4 г, 27,51 ммоль) и NaH2PO4 (8,254 г, 68,78 ммоль) в трет-BuOH (38,5 мл) и Н2О (35,8 мл) нагревали до 50ºС, затем добавляли по каплям NaMnO4/H2O (40%) (55,02 г), поддерживая температуру ниже 60ºС. По завершении прибавления перманганата реакционную смесь перемешивали при 50ºС в течение 7 ч (продолжительность реакции по определяли при помощи пластины ТСХ и ХЖМС). По завершении реакции к охлажденной реакционной смеси осторожно прибавляли твердый Na2SO3 до исчезновения пурпурной окраски. Полученную суспензию фильтровали, чтобы удалить двуокись марганца, а фильтрат экстрагировали EtOAc (3×100 мл), объединенные органические слои промывали водным раствором Na2CO3 и насыщенным раствором соли, сушили над безводным Na2SO4, фильтровали и концентрировали. Остаток очищали хроматографией на колонке с силикагелем (элюируя смесью петролейный эфир/этилацетат=6/1), получая третбутил 4-оксо-7-(3-(трифторметил)фенил)-3,4-дигидро-1,8-нафтиридин-1(2Н)-карбоксилат (114; 8,0 г, выход 74%). МС (ESI) вычисл. для C20H19F3N2О3: 392,13. Третбутил 4-оксо-7-(3-(трифторметил)фенил)-3,4-дигидро-1,8-нафтиридин-1(2Н)-карбоксилат (114; 1,0 г, 2,55 ммоль) растворяли в смеси HCl/МеОН (10 мл, 3 N), затем перемешивали при комнатной температуре в течение ночи. Реакционную смесь концентрировали и доводили до рН ~ 10 добавлением водного Na2CO3. Полученную смесь экстрагировали EtOAc. Органический слой сушили над безводным Na2SO4, фильтровали и концентрировали, получая 7-(3-(трифторметил)фенил)-2,3-дигидро-1,8-нафтиридин-1(2Н)-он (115; К раствору 7-(3-(трифторметил)фенил)-2,3-дигидро-1,8-нафтиридин-1(2Н)-она (115; Данную общую методику можно было бы использовать для получения ряда производных 4-оксо-N-замещенного-7-арил-3,4-дигидро-1,8-нафтиридин-1(2Н)-карбоксамида, заменяя 5-пиридин-4-амин на соответствующий амин. Альтернативным образом, производные можно также получить взаимодействием соответствующего фенилкарбамата с 7-арил-2,3-дигидро-1,8-нафтиридин-4(1Н)-оном в присутствии DIEA при температуре от комнатной до 50°С. Пример 26. 4,4-Дифтор-N-(пиридин-4-ил)-7-(3-(трифторметил)фенил)-3,4-дигидро-1,8-нафтиридин-1(2Н)-карбоксамид (Соединение 743) 7-(3-(Трифторметил)фенил)-2,3-дигидро-1,8-нафтиридин-4(1Н)-он (115; 1,46 г, 5 ммоль) обрабатывали трифторидом диэтиламиносеры (DAST) (10 мл), затем перемешивали при 30ºС в течение 3 дней. Реакционную смесь гасили водой (по каплям), экстрагировали EtOAc (3×30 мл), объединенные органические слои промывали водным раствором NaНCO3, насыщенным раствором соли, сушили над безводным Na2SO4, фильтровали и концентрировали. Остаток очищали хроматографией на колонке с силикагелем (элюируя смесью петролейный эфир/этилацетат=10/1), получая 4,4-дифтор-7-(3-(трифторметил)фенил)-1,2,3,4-тетрагидро-1,8-нафтиридин (116 Способ А: К смеси 4,4-дифтор-7-(3-(трифторметил)фенил)-1,2,3,4-тетрагидро-1,8-нафтиридина (116; 50 мг, 0,16 ммоль) в 3 мл сухого ТГФ прибавляли в виде одной порции триэтиламин (0,066 мл, 0,48 ммоль), затем трифосген (19 мг, 0,064 ммоль). Указанную выше смесь перемешивали при 30ºС в течение 1-2 часов и прибавляли к реакционной смеси 4-аминопиридин (30 мг, 0,32 ммоль, 2,0 экв.) и перемешивали еще 20 часов. К реакционной смеси прибавляли воду и хлористый метилен (10 мл); органический слой последовательно промывали водой и насыщенным раствором соли, сушили над безводным сульфатом натрия и концентрировали в вакууме. Сырой продукт очищали препаративной ТСХ, получая 4,4-дифтор-N-(пиридин-4-ил)-7-(3-(трифторметил)фенил)-3,4-дигидро-1,8-нафтиридин-1(2Н)-карбоксамид (Соединение 743; Пример 27. Получение 4,4-дифтор-N-(пиридин-2-ил)-7-(3-(трифторметил)фенил)-3,4-дигидро-1,8-нафтиридин-1(2Н)-карбоксамида (Соединение 814) Способ В: Смесь 4,4-дифтор-7-(3-(трифторметил)фенил)-1,2,3,4-тетрагидро-1,8-нафтиридина (116; 50 мг, 0,16 ммоль), фенил пиридин-2-илкарбамата (69 мг, 0,32 ммоль) и 4-диметиламинопиридина (DMAP) (23 мг, 0,192 ммоль) в ацетонитриле нагревали в запаянной ампуле при 60ºС в течение 18 ч. Сырой продукт очищали, помещая на пластину для препаративной ТСХ, при элюировании смесью этилацетат/петролейный эфир (1:8). В результате получали 4,4-дифтор-N-(пиридин-2-ил)-7-(3-(трифторметил)фенил)-3,4-дигидро-1,8-нафтиридин-1(2Н)-карбоксамид (Соединение 814) в виде твердого вещества бледно-желтого цвета. Выход: 60%. МС (ESI) вычисл. для C21H15F5N4О: 434,12; найдено: 435 [M+H]. Данную общую методику можно было бы использовать для получения ряда производных 4,4-дифтор-N-замещенный-7-арил-3,4-дигидро-1,8-нафтиридин-1(2Н)-карбоксамида, выбирая соответствующий амин или фенилкарбамат. Пример 28. Получение 4,4-диметил-N-(пиридин-4-ил)-7-(3-(трифторметил)фенил)-3,4-дигидро-1,8-нафтиридин-1(2Н)-карбоксамида (Соединение 826) К раствору 1,4-диаминопиридина (32,7 г, 0,3 моль, 3,0 экв.) в сухом ТГФ (150 мл) и Et3N (35 мл, 0,25 моль, 2,5 экв.) прибавляли по каплям 3-метилбут-2-еноилхлорид (12 г, 0,10 моль, 1,0 экв.) в течение 10 мин при 0ºС. После прибавления реакционную смесь перемешивали при комнатной температуре в течение одного часа. Полученную смесь выливали в водный насыщенный раствор гидрокарбоната натрия и экстрагировали DCM (80 мл ×2). Объединенные органические слои промывали водой и насыщенным раствором соли и сушили над безводным сульфатом натрия, фильтровали и концентрировали при пониженном давлении. Сырой остаток абсорбировали на силикагель и помещали в хроматографическую колонку и элюировали этилацетатом и петролейным эфиром (1:5), получая N-(6-аминопиридин-2-ил)-3-метилбут-2-енамид в виде твердого вещества белого цвета (10,7 г, 56%). МС (ESI) вычисл. для C10H13N3О: 191,23. В атмосфере азота к раствору N-(6-аминопиридин-2-ил)-3-метилбут-2-енамида (118; 1,91 г, 10,0 ммоль, 1,0 экв.) в 20 мл сухого хлористого метилена прибавляли MeSO3H (2,85 г, 30,0 ммоль, 3,0 экв.), поддерживая температуру ниже 20ºС. Указанную выше смесь прибавляли по каплям к суспензии AlCl3 (10,7 г, 80,0 ммоль, 8,0 экв.) в 60 мл сухого DCM и контролировали температуру, чтобы она была ниже 10ºС. После прибавления реакционную смесь перемешивали при температуре окружающей среды в течение ночи. К реакционной смеси прибавляли ледяную воду (100 мл), перемешивали 10 мин и подщелачивали водным раствором NaOH (2н) до рН=8-10. Водный слой экстрагировали DCM/МеОН (100:10) (2×50 мл), объединенные органические слои промывали водой и насыщенным раствором соли и упаривали при пониженном давлении, получая сырой остаток. Сырой продукт растирали со смесью этилацетат/петролейный эфир=1:1, получая осадок 7-амино-4,4-диметил-3,4-дигидро-1,8-нафтиридин-2(1Н)-она (119; 1,25 г, 63%) белого цвета. МС (ESI) вычисл. для C10H13N3О: 191,23. К смеси7-амино-4,4-диметил-3,4-дигидро-1,8-нафтиридин-2(1Н)-она (119; 191 мг, 1,0 ммоль, 1,0 экв.) в 2 мл концентрированной хлористоводородной кислоты при 0ºС прибавляли раствор NaNO2 в воде (386 мг/0,5 мл). После перемешивания в течение 30 мин к указанной выше смеси прибавляли порошкообразный CuCl (150 мг, 1,5 ммоль) и перемешивали в течение 2 часов. К реакционной смеси добавляли воду (5 мл) и доводили рН до ~9-10 действием NH4OH, а затем экстрагировали этилацетатом (2×). Объединенные органические слои промывали водой, насыщенным раствором соли и концентрировали в вакууме, получая твердое вещество желтого цвета. Сырое вещество загружали на колонку для флэш-хроматографии с силикагелем с использованием смеси этилацетат/петролейный эфир=10:1 в качестве элюента, получая 7-хлор-4,4-диметил-3,4-дигидро-1,8-нафтиридин-2(1Н)-он (120; В атмосфере азота к перемешиваемому раствору 7-хлор-4,4-диметил-3,4-дигидро-1,8-нафтиридин-2(1Н)-она (120; 1,9 г, 9,05 ммоль, 1,0 экв.) в 50 мл сухого ТГФ прибавляли BF3·Et2O (2,7 г, 19,0 ммоль, 2,1 экв.) в виде одной порции при 0ºС. Смесь перемешивали при 0ºС в течение 10 мин, затем добавляли боргидрид натрия (0,72 г, 19,0 ммоль, 2,1 экв.) и перемешивали реакционную смесь при комнатной температуре в течение 18 часов. К реакционной смеси добавляли этилацетат (20 мл), затем прибавляли по каплям 9 мл 1 M HCl и выливали смесь в насыщенный раствор гидрокарбоната натрия и экстрагировали этилацетатом (2×60 мл). Объединенные органические слои промывали водой и насыщенным раствором соли, сушили над безводным Na2SO4, фильтровали и концентрировали при пониженном давлении, получая сырой продукт. Сырой продукт очищали растиранием с петролейным эфиром, получая 7-хлор-4,4-диметил-1,2,3,4-тетрагидро-1,8-нафтиридин (121; 1,74 г, 98%) В атмосфере азота смесь 7-хлор-4,4-диметил-1,2,3,4-тетрагидро-1,8-нафтиридина (121; 1,0 г, 5,1 ммоль, 1,0 экв.), (3-(трифторметил)фенилбороновой кислоты (1,45 г, 7,65 ммоль, 1,5 экв.), Pd(dppf)Cl2 (425 мг, 0,51 ммоль, 0,10 экв.) и карбоната цезия (4,1 г, 12,75 ммоль, 2,5 экв.) в 20 мл диметоксиэтана (DME) и 2 мл воды перемешивали при 90ºС в течение ночи. Реакционную смесь адсорбировали на силикагель и очищали флэш-хроматографией при элюировании смесью этилацетат/петролейный эфир (1:20), получая 4,4-диметил-7-(3-(трифторметил)фенил)-1,2,3,4-тетрагидро-1,8-нафтиридин (122; Способ А: Смесь 4,4-диметил-7-(3-(трифторметил)фенил)-1,2,3,4-тетрагидро-1,8-нафтиридина (122; Пример 29. Получение 4,4-диметил-N-(3-метилпиридин-4-ил)-7-(3-(трифторметил)фенил)-3,4-дигидро-1,8-нафтиридин-1(2Н)-карбоксамида (Соединение 834) Способ В: К смеси 3-метилпиридин-4-амина (43,3 мг, 0,4 ммоль) в 3 мл сухого ТГФ прибавляли в виде одной порции триэтиламин (0,3 мл), затем трифосген (47,5 мг, 0,16 ммоль). Указанную выше смесь перемешивали при 50ºС в течение 2 часов и прибавляли к реакционной смеси 4,4-диметил-7-(3-(трифторметил)фенил)-1,2,3,4-тетрагидро-1,8-нафтиридин (122; Данную общую методику можно было бы использовать для получения ряда производных 4,4-диметил-N-(3-замещенный-7-арил-3,4-дигидро-1,8-нафтиридин-1(2Н)-карбоксамида, выбирая соответствующий амин или фенилкарбамат. Пример 30. Получение 4-метил-N-(пиридин-4-ил)-7-(3-(трифторметил)фенил)-3,4-дигидро-1,8-нафтиридин-1(2Н)-карбоксамида (Соединение 786) К раствору третбутил 4-гидрокси-4-метил-7-(3-(трифторметил)фенил)-3,4-дигидро-1,8-нафтиридин-1(2Н)-карбоксилата (123; 0,54 г, 1,32 ммоль) в DCM (10 мл) прибавляли трифторуксусную кислоту (ТФУ) (10 мл). Через 40 минут по данным ТСХ исходное вещество исчезало. ТФУ и DCM удаляли в вакууме. Остаток растворяли в EtOAc, который промывали Н2О, насыщенным водным раствором Na2CO3 и насыщенным раствором соли, сушили над безводным Na2SO4, фильтровали и концентрировали, получая 4-метил-7-(3-(трифторметил)фенил)-1,2-дигидро-1,8-нафтиридин в виде твердого вещества желтого цвета (124; 400 мг, количественный выход). МС (ESI) вычисл. для C16H13F3N2О: 290,28. Смесь 4-метил-7-(3-(трифторметил)фенил)-1,2-дигидро-1,8-нафтиридина (124; 674 мг, 2,33 ммоль), Pd/C (150 мг) в ТГФ (10 мл) перемешивали под давлением Н2 1 атмосфера в течение ночи. После того, как по данным ТСХ реакция завершалась, смесь фильтровали и концентрировали. Остаток очищали хроматографией на колонке с силикагелем (элюирование смесью петролейный эфир/этилацетат=10/1), получая 4-метил-7-(3-(трифторметил)фенил)-1,2,3,4-тетрагидро-1,8-нафтиридин в виде твердого вещества белого цвета (125; 629 мг, выход 93%). МС (ESI) вычисл. для C16H15F3N2: 292,12; найдено: 293 [M+H]. Способ А: К смеси 4-аминопиридина (32 мг, 0,34 ммоль) в 3 мл сухого ТГФ прибавляли в виде одной порции триэтиламин (0,5 мл), затем трифосген (33 мг, 0,11 ммоль). Указанную выше смесь перемешивали при комнатной темп. в течение 3 ч и прибавляли к реакционной смеси 4-метил-7-(3-(трифторметил)фенил)-1,2,3,4-тетрагидро-1,8-нафтиридин (125; 50 мг, 0,17 ммоль) и перемешивали еще в течение 18 часов при 60ºС. К реакционной смеси прибавляли воду и водную часть экстрагировали хлористым метиленом (3×15 мл). Объединенные органические слои промывали водным раствором Na2CO3 и насыщенным раствором соли, сушили над безводным сульфатом натрия и концентрировали. Сырой продукт очищали препаративной ТСХ, получая 4-диметил-N-(пиридин-4-ил)-7-(3-(трифторметил)фенил)-3,4-дигидро-1,8-нафтиридин-1(2Н)-карбоксамид (Соединение 786) в виде твердого вещества белого цвета. МС (ESI) вычисл. для C22H19F3N4О: 412,15; найдено: 413 [M+H]. Пример 31. Получение 4-метил-N-(пиридин-2-ил)-7-(3-(трифторметил)фенил)-3,4-дигидро-1,8-нафтиридин-1(2Н)-карбоксамида (Соединение 785) Способ В: Смесь 4-метил-7-(3-(трифторметил)фенил)-1,2,3,4-тетрагидро-1,8-нафтиридина (125; 40 мг, 0,14 ммоль), фенил пиридин-4-илкарбамата (60 мг, 0,28 ммоль) и DMAP (27 мг, 0,22 ммоль) в ацетонитриле кипятили в течение ночи. Ацетонитрил удаляли выпариванием при пониженном давлении. Остаток растворяли в хлористом метилене и промывали водным раствором Na2CO3 и насыщенным раствором соли, сушили над безводным сульфатом натрия и концентрировали. Сырой продукт очищали, помещая на пластину для препаративной ТСХ, получая 4-метил-N-(пиридин-2-ил)-7-(3-(трифторметил)фенил)-3,4-дигидро-1,8-нафтиридин-1(2Н)-карбоксамид (Соединение 785) в виде твердого вещества белого цвета. Выход 21%. МС (ESI) вычисл. для C22H19F3N4О: 412,15; найдено: 413 [M+H]. Данную общую методику можно было бы использовать для получения ряда производных 4-метил-N-замещенного-7-арил-3,4-дигидро-1,8-нафтиридин-1(2Н)-карбоксамида, выбирая соответствующий амин или фенилкарбамат. Пример 32. Получение 2-(3-(хлорфенил)-5-оксо-N-(пиридин-3-ил)-7,8-дигидро-5Н-пиридо[2,3-b]азепин-9(6Н)-карбоксамида (Соединение 747) К перемешиваемому раствору тетраметилэтилендиамина (TMEDA) (5,6 г, 48,24 ммоль) в ТГФ (300 мл), охлажденному на бане со льдом, прибавляли н-BuLi (19,3 мл, 2,5 М в гексане, 48,24 ммоль) в течение 5 мин. Через 20 мин прибавляли по каплям раствор третбутил 6-хлорпиридин-2-илкарбамата (126; 5,0 г, 21,88 ммоль) в течение 5 мин. Реакционную смесь перемешивали в течение 1 часа, а затем прибавляли CuI (4,2 г, 21,88 ммоль) в виде одной порции. Реакционную смесь оставляли нагреваться до -20ºС в течение 1 ч. Прибавляли 1-хлор-4-йодбутан (7,2 г, 32,82 ммоль) и оставляли реакционную смесь нагреваться до температуры окружающей среды, а затем кипятили в течение 18 ч. После этого реакционную смесь гасили, добавляя насыщенный раствор гидрокарбоната натрия. Водный слой экстрагировали EtOAc, последовательно промывали водой и насыщенным раствором соли. Объединенные органические слои концентрировали, получая сырой продукт, который растирали с петролейным эфиром, получая третбутил 2-хлор-7,8-дигидро-5Н-пиридо[2,3-b]азепин-9(6Н)-карбоксилат (127; 3,5 г, 56%) Смесь третбутил 2-хлор-7,8-дигидро-5Н-пиридо[2,3-b]азепин-9(6Н)-карбоксилата (127; 20,0 г, 70,92 ммоль) и NaH2PO4·Н2О (16,6 г, 106,4 ммоль) в трет-BuOH (300 мл) и Н2О (240 мл) нагревали до 50ºС. Прибавляли NaMnO4 (водный 40%-ный) (60 мл) и перемешивали реакционную смесь при 50ºС. Мониторинг хода реакции осуществляли методом тонкослойной хроматографии (ТСХ). Реакционную смесь обрабатывали, осторожно добавляя Na2SO3 к охлажденной реакционной смеси до исчезновения пурпурной окраски, после чего экстрагировали EtOAc. Объединенные органические слои промывали водой и насыщенным раствором соли, сушили (Na2SO4), фильтровали и концентрировали. Остаток очищали хроматографией, элюируя смесью этилацетат:петролейный эфир, получая третбутил 2-хлор-5-оксо-7,8-дигидро-5Н-пиридо[2,3-b]азепин-9(6Н)-карбоксилат (128; Смесь третбутил 2-хлор-5-оксо-7,8-дигидро-5Н-пиридо[2,3-b]азепин-9(6Н)-карбоксилата (128; Данную общую методику сочетания можно было бы использовать для получения ряда производных третбутил 2-арил-5-оксо-7,8-дигидро-5Н-пиридо[2,3-b]азепин-9(6Н)-карбоксилата, заменяя 3-хлорфенилбороновую кислоту на соответствующую бороновую кислоту. Третбутил 2-(3-хлорфенил)-5-оксо-7,8-дигидро-5Н-пиридо[2,3-b]азепин-9(6Н)-карбоксилат (129; 0,28 г, 0,75 ммоль) растворяли в HCl/МеОН (5 мл, 3н), затем перемешивали при температуре окружающей среды. Реакционную смесь концентрировали, получая сырой (3-хлорфенил)-6,7,8,9-тетрагидро-5Н-пиридо[2,3-b]азепин-5-он (130; 202 мг, 87%) в виде масла. МС (ESI) вычисл. для C15H13ClN2O: 272,73. К раствору 3-аминопиридина (30 мг, 0,32 ммоль) и триэтиламина (0,3 мл, 2,15 ммоль) в ТГФ прибавляли трифосген (76 мг, 0,26 ммоль) в атмосфере азота и перемешивали смесь при 60ºС в течение 2 ч. Затем прибавляли (3-хлорфенил)-6,7,8,9-тетрагидро-5Н-пиридо[2,3-b]азепин-5-он (130; 50 мг, 0,16 ммоль) и перемешивали смесь при 60ºС в течение ночи. Добавляли воду и экстрагировали смесь CH2Cl2. Объединенные органические слои промывали насыщенным раствором соли и концентрировали. Остаток очищали препаративной тонкослойной хроматографией, получая 2-(3-(хлорфенил)-5-оксо-N-(пиридин-3-ил)-7,8-дигидро-5Н-пиридо[2,3-b]азепин-9(6Н)-карбоксамид (Соединение 747; 30 мг, 48%). МС (ESI) вычисл. для C21H17ClN4О2: 392,10; найдено: 393 [M+H]. Данную общую методику можно было бы использовать для получения ряда производных 2-арил-5-оксо-N-замещенного-7,8-дигидро-5Н-пиридо[2,3-b]азепин-9(6Н)-карбоксамида, заменяя пиридин-3-амин на соответствующий амин. Альтернативным образом, производные можно также получить взаимодействием соответствующего фенилкарбамата с 2-арил-6,7,8,9-тетрагидро-5Н-пиридо[2,3-b]азепин-5-оном в присутствии DIEA при температуре от комнатной до 50°С. Пример 33. Получение 2-(3-(хлорфенил)-6,6-диметил-N-(4-метилтиазол-2-ил)-5-оксо-7,8-дигидро-5Н-пиридо[2,3-b]азепин-9(6Н)-карбоксамида (Соединение 836) К раствору третбутил 2-(3-хлорфенил)-5-оксо-7,8-дигидро-5Н-пиридо[2,3-b]азепин-9(6Н)-карбоксилата (129; 1,75 г, 4,70 ммоль) в ТГФ (63 мл) прибавляли трет-BuOK (5,26 г, 47,0 ммоль). Смесь перемешивали при -40ºС в течение 1 ч. После этого добавляли CH3I (2,34 мл, 37,6 ммоль) и перемешивали смесь при -40ºС в течение 1 ч и при комнатной температуре в течение 2 ч. Добавляли насыщенный раствор NH4Cl и экстрагировали водный слой EtOAc. Объединенные органические слои сушили (Na2SO4), фильтровали и концентрировали. Остаток очищали хроматографией, элюируя смесью этилацетат:петролейный эфир, получая третбутил 2-(3-(хлорфенил)-6,6-диметил-5-оксо-7,8-дигидро-5Н-пиридо[2,3-b]азепин-9(6Н)-карбоксилат (131; 703 мг, 37%) в виде масла желтого цвета. МС (ESI) вычисл. для C22H25ClN2O3: 400,90. Третбутил 2-(3-(хлорфенил)-6,6-диметил-5-оксо-7,8-дигидро-5Н-пиридо[2,3-b]азепин-9(6Н)-карбоксилат (131; 1,2 г, 3,0 ммоль) растворяли в HCl/МеОН (30 мл, 3н), затем перемешивали при комнатной температуре в течение ночи. Реакционную смесь концентрировали, затем добавляли NaHCO3 для доведения рН=10. Полученную смесь экстрагировали EtOAc и промывали насыщенным раствором соли. Органические слои сушили (Na2SO4), фильтровали и концентрировали, получая 2-(3-(хлорфенил)-6,6-диметил-6,7,8,9-тетрагидро-5Н-пиридо[2,3-b]азепин-5-он (132; К раствору 3-фторпиридин-4-амина (38 мг, 0,33 ммоль) и триэтиламин (0,3 мл, 2,11 ммоль) в ТГФ (5 мл) прибавляли трифосген (40 мг, 0,13 ммоль) в атмосфере азота и перемешивали смесь при 50ºС в течение 2 ч. Затем прибавляли 2-(3-(хлорфенил)-6,6-диметил-6,7,8,9-тетрагидро-5Н-пиридо[2,3-b]азепин-5-он (132; 50 мг, 0,17 ммоль) и перемешивали смесь при 60ºС в течение 18 ч. К реакционной смеси прибавляли насыщенный раствор гидрокарбоната натрия и EtOAc. Объединенные органические слои промывали насыщенным раствором соли и сушили (Na2SO4), фильтровали и концентрировали. Остаток очищали препаративной тонкослойной хроматографией, получая 2-(3-(хлорфенил)-N-(3-фторпиридин-4-ил)-6,6-диметил-5-оксо-7,8-дигидро-5Н-пиридо[2,3-b]азепин-9(6Н)-карбоксамид (Соединение 837; 6,3 мг, 9%) Данную общую методику можно было бы использовать для получения ряда производных 2-арил-N-замещенного-6,6-диметил-5-оксо-7,8-дигидро-5Н-пиридо[2,3-b]азепин-9(6Н)-карбоксамида, заменяя 3-фторпиридин-4-амин на соответствующий амин. Альтернативным образом, производные можно также получить взаимодействием соответствующего фенилкарбамата с 2-арил-6,6-диметил-6,7,8,9-тетрагидро-5Н-пиридо[2,3-b]азепином в присутствии DIEA при температуре от комнатной до 50°С. Пример 34. Получение 2-(3-(хлорфенил)-N-(пиридин-4-ил)-7,8-дигидро-5Н-пиридо[2,3-b]азепин-9(6Н)-карбоксамида (Соединение 728) Смесь третбутил 2-хлор-7,8-дигидро-5Н-пиридо[2,3-b]азепин-9(6Н)-карбоксилата (127; Данную общую методику сочетания можно было бы использовать для получения ряда производных третбутил 2-арил-7,8-дигидро-5Н-пиридо[2,3-b]азепин-9(6Н)-карбоксилата, заменяя 3-хлорфенилбороновую кислоту на соответствующую бороновую кислоту. Раствор третбутил 2-(3-(хлорфенил)-7,8-дигидро-5Н-пиридо[2,3-b]азепин-9(6Н)-карбоксилата (133; Смесь 2-(3-хлорфенил)-6,7,8,9-тетрагидро-5Н-пиридо[2,3-b]азепина (134; Данную общую методику можно было бы использовать для получения ряда производных 2-арил-N-замещенного-7,8-дигидро-5Н-пиридо[2,3-b]азепин-9(6Н)-карбоксамида, заменяя пиридин-4-амин на соответствующий амин. Альтернативным образом, производные можно также получить взаимодействием соответствующего фенилкарбамата с 2-арил-6,7,8,9-тетрагидро-5Н-пиридо[2,3-b]азепином в присутствии DIEA при температуре от комнатной до 50°С. Пример 35. Получение 2-(3-(хлорфенил)-5,5-дифтор-N-(пиримидин-4-ил)-7,8-дигидро-5Н-пиридо[2,3-b]азепин-9(6Н)-карбоксамида (Соединение 799) Смесь третбутил 2-(3-хлорфенил)-5-оксо-7,8-дигидро-5Н-пиридо[2,3-b]азепин-9(6Н)-карбоксилата (129; 100 мг, 0,27 ммоль) и трифторида диэтиламиносеры (DAST) (2 мл) перемешивали при комнатной температуре в течение 3 дней, а затем при 44ºС в течение 3 дней. Медленно добавляли воду и экстрагировали смесь CH2Cl2. В результате очистки хроматографией при элюировании смесью этилацетат:петролейный эфир, получая Раствор третбутил 2-(3-(хлорфенил)-5,5-дифтор-7,8-дигидро-5Н-пиридо[2,3-b]азепин-9(6Н)-карбоксилата (135; 1,16 г, 2,94 ммоль) К охлажденному льдом раствору пиримидин-4-амина (5,0 г, 52,6 ммоль), триэтиламина (15 мл, 107,6 ммоль) в ТГФ (100 мл) прибавляли фенилхлорформиат (10,7 г, 68,4 ммоль). Реакционную смесь перемешивали при комнатной температуре в течение 18 ч. Затем реакционную смесь гасили раствором NaHCO3 и экстрагировали CH2Cl2. Объединенные органические слои промывали водой и насыщенным раствором соли, сушили (Na2SO4), фильтровали и концентрировали. Остаток растирали с петролейным эфиром, получая сырой фенилпиримидин-4-илкарбамат. Раствор фенилпиримидин-4-илкарбамата (73 мг, 0,34 ммоль), 2-(3-(хлорфенил)-5,5-дифтор-6,7,8,9-тетрагидро-5Н-пиридо[2,3-b]азепина (136; 50 мг, 0,17 ммоль) и DMAP (25 мг, 0,20 ммоль) в MeCN (5 мл) перемешивали при 80ºС в течение 18 ч. Реакционную смесь очищали препаративной тонкослойной хроматографией, получая 2-(3-(хлорфенил)-5,5-дифтор-N-(пиримидин-4-ил)-7,8-дигидро-5Н-пиридо[2,3-b]азепин-9(6Н)-карбоксамид (Соединение 799; 35 мг, 50%) в виде твердого вещества белого цвета. МС (ESI) вычисл. для C20H16ClF2N5О: 415,10; найдено: 416 [M+H]. Данную общую методику можно было бы использовать для получения ряда производных 2-арил-5,5-дифтор-N-замещенного-7,8-дигидро-5Н-пиридо[2,3-b]азепин-9(6Н)-карбоксамида, заменяя фенилпиримидин-4-илкарбамат на соответствующий фенилкарбамат. Пример 36. Получение 7-(3-(хлорфенил)-1-этил-2-оксо-N-(пиридин-2-ил)-3,4-дигидро-1Н-пиридо[2,3-b][1,4]диазепин-5(2Н)-карбоксамида (Соединение 765) Смесь 2,6-дихлор-3-нитропиридина (137; 1,92 г, 10 ммоль), гидрохлорида этил 3-аминопропаноата (1,7 г, 11 ммоль) и диизопропилэтиламина (3,9 г, 30 ммоль) в диметилформамиде (10 мл) перемешивали при комнатной температуре в течение ночи. Осуществляли мониторинг хода реакции методом ТСХ. Раствор NaHCO3 добавляли к реакционной смеси, которую затем экстрагировали этилацетатом. Объединенные органические слои промывали водой и насыщенным раствором соли, затем концентрировали, получая этил 3-((6-хлор-3-нитропиридин-2-ил)амино)пропаноат (138; 2,8 г, 100%) в виде масла бледно-желтого цвета. МС (ESI) вычисл. для C10H12ClN3О4: 273,67. Смесь этил 3-((6-хлор-3-нитропиридин-2-ил)амино)пропаноата (138; 39 г, 143 ммоль) и Pd/C (3,9 г) в EtOAc (800 мл) перемешивали в атмосфере водорода (2,5 атм) в течение 16 ч. Полученную смесь фильтровали через слой целита и очищали хроматографией, получая твердое вещество темного цвета, которое использовали на следующей стадии без дополнительной очистки. Твердое вещество темного цвета растворяли в АсОН (1000 мл) и перемешивали при 130ºС в течение ночи. АсОН удаляли при пониженном давлении. Остаток растворяли в EtOH, добавляли активированный уголь и перемешивали при 60ºС в течение 3 ч, затем фильтровали. Сырое вещество перекристаллизовывали, получая 7-хлор-4,5-дигидро-1Н-пиридо[2,3-b][1,4]диазепин-2(3Н)-он (140; 6,8 г, 24%) в виде твердого вещества серого цвета. МС (ESI) вычисл. для C8H8ClN3О: 197,62. Смесь соединения 7-хлор-4,5-дигидро-1Н-пиридо[2,3-b][1,4]диазепин-2(3Н)-она (140; 1,97 г, 10 ммоль), (3-хлорфенил)бороновой кислоты (1,88 г, 12 ммоль), Pd(PPh3)4 (577 мг, 0,5 ммоль) и карбоната цезия (6,5 г, 20 ммоль) в 1,2-диметоксиэтане (50 мл) и воде (3 мл) перемешивали при 65ºС в течение ночи. Осадок фильтровали, а фильтрат концентрировали, получая твердое вещество темного цвета, которое растворяли в CH2Cl2 и экстрагировали водой. Органический слой сушили (Na2SO4), фильтровали и концентрировали. Остаток растирали с метанолом, получая 7-(3-хлорфенил)-4,5-дигидро-1Н-пиридо[2,3-b][1,4]диазепин-2(3Н)-он (1,9 г, 62%) Данную общую методику можно было бы использовать для получения ряда производных 7-арил-4,5-дигидро-1Н-пиридо[2,3-b][1,4]диазепин-2(3Н)-она, заменяя 3-хлорфенилбороновую кислоту на соответствующую бороновую кислоту. К раствору 7-(3-хлорфенил)-4,5-дигидро-1Н-пиридо[2,3-b][1,4]диазепин-2(3Н)-она (141; 168 мг, 0,63 ммоль) в ТГФ (3 мл) прибавляли трет-BuOK (84 мг, 0,75 ммоль) и перемешивали реакционную смесь в течение 1 ч. После этого добавляли EtI (0,055 мл, 0,68 ммоль), перемешивали при комнатной температуре в течение ночи. Реакционную смесь концентрировали и растворяли остаток в EtOAc. Полученный раствор фильтровали, а фильтрат концентрировали. Остаток очищали препаративной тонкослойной хроматографией, получая 7-(3-хлорфенил)-1-этил-4,5-дигидро-1Н-пиридо[2,3-b][1,4]диазепин-2(3Н)-он (142; Раствор фенилпиридин-2-илкарбамата (71 мг, 0,33 ммоль), 7-(3-хлорфенил)-1-этил-4,5-дигидро-1Н-пиридо[2,3-b][1,4]диазепин-2(3Н)-она (142; 50 мг, 0,17 ммоль) и 4-диметиламинопиридина (DMAP) (20 мг, 0,17 ммоль) в MeCN (3 мл) перемешивали при кипении в течение ночи. Реакционную смесь концентрировали и очищали препаративной тонкослойной хроматографией, получая 7-(3-(хлорфенил)-1-этил-2-оксо-N-(пиридин-2-ил)-3,4-дигидро-1Н-пиридо[2,3-b][1,4]диазепин-5(2Н)-карбоксамид (Соединение 765; 31 мг, 44%) Данную общую методику можно было бы использовать для получения ряда производных 7-арил-1-этил-2-оксо-N-замещенного- 3,4-дигидро-1Н-пиридо[2,3-b][1,4]диазепин-5(2Н)-карбоксамида, заменяя пиридин-2-илкарбамат на соответствующий фенилкарбамат. Пример 37. Получение 7-(3-(хлорфенил)-1-этил-N-(пиридин-3-ил)-3,4-дигидро-1Н-пиридо[2,3-b][1,4]диазепин-5(2Н)-карбоксамида (Соединение 789) К раствору 7-(3-хлорфенил)-1-этил-4,5-дигидро-1Н-пиридо[2,3-b][1,4]диазепин-2(3Н)-она (142; 80 мг, 0,5 ммоль) в ТГФ (3 мл) прибавляли ВН3·Me2S (1 мл, 3 ммоль) при 0ºС и перемешивали комнатной температуре в течение ночи. К реакционной смеси прибавляли 1н HCl, перемешивали в течение 30 мин. Затем доводили рН до 8 действие насыщенного раствора NaHCO3 и экстрагировали смесь EtOAc. Органический слой сушили (Na2SO4), фильтровали, концентрировали и очищали препаративной тонкослойной хроматографией, получая 7-(3-хлорфенил)-1-этил-2,3,4,5-тетрагидро-1Н-пиридо[2,3-b][1,4]диазепин (143; К раствору пиридин-3-амина (34 мг, 0,36 ммоль) и триэтиламина (0,1 мл, 0,72 ммоль) в ТГФ (3 мл) прибавляли трифосген (42 мг, 0,14 ммоль) в атмосфере азота и перемешивали смесь при 60ºС примерно в течение 4 ч. Затем прибавляли 7-(3-хлорфенил)-1-этил-2,3,4,5-тетрагидро-1Н-пиридо[2,3-b][1,4]диазепин (143; Данную общую методику можно было бы использовать для получения ряда производных 7-арил-1-этил-N-замещенного-3,4-дигидро-1Н-пиридо[2,3-b][1,4]диазепин-5(2Н)-карбоксамида, заменяя пиридин-3-амин на соответствующий амин. Альтернативным образом, производные можно также получить взаимодействием соответствующего фенилкарбамата с 7-арил-1-этил-2,3,4,5-тетрагидро-1Н-пиридо[2,3-b][1,4]диазепином в присутствии DIEA при температуре от комнатной до 50°С. Пример 38. Получение N-(пиридин-4-ил)-7-(3-(трифторметил)фенил)-3,4-дигидропиридо[3,2-b][1,4]оксазепин-5(2Н)-карбоксамида (Соединение 558) К охлажденному (0ºС) раствору трифенилфосфина (3,93 г, 15 ммоль) в ТГФ (22 мл) прибавляли по каплям DIAD (3,0 г, 15 ммоль). Реакционную смесь перемешивали в течение 30 мин, а затем прибавляли к ней 6-бром-2-нитропиридин-3-ол (2,19 г, 10 ммоль) и 3-бромпропан-1-ол (2,1 г, 15 ммоль) в ТГФ (18 мл). Реакционной смеси давали нагреться до комнатной температуры и перемешивали примерно 2 ч. После этого реакционную смесь концентрировали и распределяли остаток между EtOAc и водой. Органический слой промывали водой и насыщенным раствором соли, сушили (Na2SO4), фильтровали и концентрировали. Остаток очищали хроматографией, элюируя смесью этилацетат:петролейный эфир, получая Смесь 6-бром-3-(3-бромпропокси)-2-нитропиридина (145; 1,18 г, 3,47 ммоль) и порошкообразного Fe (0,78 г, 13,88 ммоль) в АсОН (10 мл) перемешивали при 90ºС в течение 2 ч. Затем реакционную смесь охлаждали до комнатной температуры, добавляли EtOAc и фильтровали смесь. Фильтрат концентрировали и очищали хроматографией, элюируя смесью этилацетат:петролейный эфир, получая К перемешиваемому раствору 6-бром-3-(3-бромпропокси)пиридин-2-амина (146 Смесь 7-бром-2,3,4,5-тетрагидропиридо[3,2-b][1,4]оксазепина (147; 1,2 г, 5,24 ммоль), (3-(трифторметил)фенил)бороновой кислоты (1,5 г, 7,86 ммоль), PdCl2(dppf) (218 мг, 0,26 ммоль) и карбоната цезия (3,4 г, 10,5 ммоль) в 1,4-диоксане (20 мл) нагревали при 80ºС в атмосфере азота в течение 4 ч. Реакционную смесь концентрировали и очищали хроматографией, элюируя смесью этилацетат:петролейный эфир, получая Данную общую методику сочетания можно было бы использовать для получения ряда производных 7-арил-2,3,4,5-тетрагидропиридо[3,2-b][1,4]оксазепина, заменяя (3-(трифторметил)фенил)бороновую кислоту на соответствующую бороновую кислоту. К раствору 7-(3-(трифторметил)фенил)-2,3,4,5-тетрагидропиридо[3,2-b][1,4]оксазепина (148; Данную общую методику можно было бы использовать для получения ряда производных N-замещенного-7-арил-3,4-дигидропиридо[3,2-b][1,4]оксазепин-5(2Н)-карбоксамида, заменяя пиридин-4-амин на соответствующий амин. Альтернативным образом, производные можно также получить взаимодействием соответствующего фенилкарбамата с 7-арил-2,3,4,5-тетрагидропиридо[3,2-b][1,4]диазепином в присутствии DIEA при температуре от комнатной до 50°С. Пример 39. Получение N-(пиридин-2-ил)-6-(3-(трифторметил)фенил)-2,3-дигидро-1Н-пиррол[2,3-b]пиридин-1-карбоксамида (Соединение 861) К раствору 1Н-пиррол[2,3-b]пиридина (149; 20 г, 170 ммоль) в CH2Cl2 (300 мл) прибавляли суспензию m-CPBA (73 г, 430 ммоль) и CH2Cl2 (20 мл) в течение 30 мин при 0ºС. Реакцию нагревали до комнатной температуры и перемешивали в течение 3 ч. По результатам хроматографии пластинки ТСХ реакция была завершена, и реакционную смесь концентрировали. Остаток растворяли в МеОН (200 мл) и добавляли насыщенный раствор К2СО3 (100 мл), затем перемешивали в течение 30 мин и фильтровали, фильтрат концентрировали, а полученный остаток растирали с CH2Cl2/МеОН (10/1), фильтровали и удаляли растворитель. Остаток очищали хроматографией на колонке с силикагелем (элюирование смесью CH2Cl2/МеОН = от 10/1 до 5/1), получая сырой продукт, который растирали с Et2O, получая 1Н-пиррол[2,3-b]пиридин-7-оксид в виде твердого вещества желтого цвета (150; 9,5 г, чистота 80%, выход 35%). К раствору 1Н-пиррол[2,3-b]пиридин-7-оксида (150; 8,9 г, 66 ммоль) и гексаметилдисилазана (HMDS) (10,65 мл, 66 ммоль) в ТГФ (300 мл) прибавляли по каплям ClCO2Me (15,7 г, 166 ммоль) в атмосфере N2 при комнатной температуре. После перемешивания в течение 1 ч при той же температуре растворитель удаляли и растворяли остаток в EtOAc. EtOAc промывали насыщенным водным раствором NaHCO3 (3×30 мл) и насыщенным раствором соли, сушили над безводным Na2SO4, фильтровали и концентрировали. Сырой продукт очищали хроматографией на колонке с силикагелем (элюирование смесью петролейный эфир/этилацетат=10/1), получая Смесь метил 6-хлор-1Н-пиррол[2,3-b]пиридин-1-карбоксилата (151; Данную общую методику сочетания можно было бы использовать для получения ряда производных 6-арил-1Н-пиррол[2,3-b]пиридина, заменяя (3-(трифторметил)фенил)бороновую кислоту на соответствующую бороновую кислоту. К перемешиваемому раствору 6-(3-(трифторметил)фенил)-1Н-пиррол[2,3-b]пиридина (152; 3,62 г, 13,84 ммоль) в ТГФ (30 мл) прибавляли боран (13,84 мл, 10 М в Mе2S, 138,4 ммоль). Через 16 ч растворитель удаляли и очищали остаток хроматографией на колонке с силикагелем (элюирование смесью петролейный эфир/этилацетат=10/1), получая Способ А: К смеси 2-аминопиридина (54 мг, 0,19 ммоль) в 3 мл сухого ТГФ прибавляли в виде одной порции триэтиламин (0,5 мл), затем трифосген (68 мг, 0,23 ммоль). Указанную выше смесь перемешивали при комнатной температуре в течение 3 часов и прибавляли к реакционной смеси 6-(3-(трифторметил)фенил)-2,3-дигидро-1Н-пиррол[2,3-b]пиридин (153; Получение 6-(2-окса-5-азаспиро[3.3]гептан-6-ил)пиридин-2-амин (160) К раствору КОН (33,2 г, 0,59 моль) и п-тозиламида (37,9 г, 0,22 моль) в 600 мл этанола прибавляли при комнатной температуре 3-бром-2,2-бис(бромметил)пропан-1-ол (154; 60,1 г, 0,19 моль) и нагревали реакционную смесь при кипении в течение 90 ч. Растворитель удаляли выпариванием, добавляли 500 мл 1 М КОН и оставляли суспензию белого цвета перемешиваться еще в течение 2 часов при комнатной температуре. Смесь фильтровали и промывали остаток на фильтре водой до нейтральной реакции промывных вод. Остаток с фильтра сушили в высоком вакууме, получая 6-тозил-2-окса-6-азаспиро[3.3]гептан (155; 30,55 г продукта, содержащего 10% мол. тозиламида в виде твердого вещества белого цвета). Расчетный общий выход чистого 6-тозил-2-окса-6-азаспиро[3.3]гептана должен составлять (155; 27,4 г, 58%). МС (ESI) вычисл. для C12H15NО3S 253,3. 6-Тозил-2-окса-6-азаспиро[3.3]гептан (155; 7,30 г, 28,8 моль) и магний (4,9 г, 0,2 моль) обрабатывали ультразвуком в течение одного часа в метаноле (500 мл). Удаляли почти все растворители из реакционной смеси серого цвета на роторном испарителе, получая вязкий остаток серого цвета. Добавляли диэтиловый эфир (500 мл) и сульфат натрия (15,0 г) и энергично перемешивали полученную смесь светло-серого цвета в течение 30 мин перед фильтрованием. Фильтрат сушили над безводным сульфатом натрия и прибавляли к органической фазе безводную щавелевую кислоту (1,3 г, 14,4 моль), растворенную в этаноле (~1 мл). Мгновенно образовывался плотный осадок белого цвета. Его фильтровали и сушили в вакууме, получая оксалат 2-окса-6-азаспиро[3.3]гептана (156; 3,37 г, 81%) в виде аморфного вещества белого цвета. МС (ESI) вычисл. для C10H20N2О2-С4О8 376,28. Оксалат 2-окса-6-азаспиро[3.3]гептана (156; 20 г, 0,23 моль), этил 6-бромпиколинат (44; 56,9 г, 0,25 моль) и К2СО3 (62 г, 0,454 моль) растворяли в ДМСО (100 мл). Суспензию нагревали до 140ºС. После охлаждения до комнатной температуры реакционную смесь выливали в воду и экстрагировали хлористым метиленом. Органический слой упаривали досуха и очищали продукт на силикагеле, получая этил 6-(2-окса-6-азаспиро[3.3]гептан-6-ил)пиколинат (157; 7,2 г, 30%). МС (ESI) вычисл. для C13H16N2О3 248,1. Этил 6-(2-окса-6-азаспиро[3.3]гептан-6-ил)пиколинат (157; 7,2 г, 0,03 моль) растворяли в диоксане (50 мл) и прибавляли NaOH (2,3 г, 0,06 моль) в воде (50 мл). Суспензию перемешивали при 50ºС примерно в течение 2 ч. Растворитель удаляли и добавляли воду (50 мл). Доводили рН до 5, получая 6-(2-окса-6-азаспиро[3.3]гептан-6-ил)пиколиновую кислоту (158; 4,5 г, 70%). МС (ESI) вычисл. для C11H12N2О3 220,1; найдено 221,2 [M+H]. К раствору 6-(2-окса-6-азаспиро[3.3]гептан-6-ил)пиколиновой кислоты (158; 4,4 г, 0,02 моль) в трет-BuOH (50 мл) прибавляли Et3N (2,4г, 0,02 моль) и дифенилфосфорилазид (DPPA) (6,6 г, 0,024 моль). Смесь кипятили в течение ночи. После охлаждения до комнатной температуры растворитель выпаривали и очищали сырой продукт колоночной хроматографией, получая К раствору третбутил (6-(2-окса-6-азаспиро[3.3]гептан-6-ил)пиридин-2-ил)карбамата (159; 4,4 г, 0,015 моль) в CH2Cl2 (50 мл) прибавляли CF3COOH (20 мл). Смесь перемешивали при комнатной температуре примерно в течение 4 часов. Растворитель удаляли и прибавляли CH3CN (50 мл). Доводили рН до 7. После выпаривания летучих веществ 6-(2-окса-6-азаспиро[3.3]гептан-6-ил)пиридин-2-амин получали очисткой на колонке с силикагелем. (160; 2,05 г, 70%). МС (ESI) вычисл. для C10H13N3О 191,1; найдено 192,2 [M+H]. Пример 40 Биологическая активность Для идентификации модуляторов активности SIRT1 использовали масс-спектрометрический анализ. В масс-спектрометрическом анализе использовали пептид, содержащий следующие остатки 20 аминокислот: Ac-EE-K(биотин)-GQSTSSHSK(Ac)NleSTEG-K(5TMR)-EE-NH2(SEQ ID No:1) где К(Ас) представляет собой ацетилированный остаток лизина, а Nle представляет собой норлейцин. Пептид содержит метку флуорофора 5TMR (возбуждение 540 нм/эмиссия 580 нм) на С-конце. Последовательность пептидного субстрата основана на р53 с некоторыми модификациями. Кроме того, остаток метионина, обычно присутствующий в данной последовательности, замещен норлейцином, поскольку метионин может быть чувствителен к окислению в процессе синтеза и очистки. Масс-спектрометрический анализ проводили следующим образом: 0,5 мкМ пептидного субстрата и 120 мкМ βNAD+ инкубировали с 10 нМ SIRT1 в течение 25 минут при 25ºС в реакционном буфере (50 мМ трис-ацетата рН 8, 137 мМ NaCl, 2,7 мМ КCl, 1 мМ MgCl2, 5 мМ DTT,0,05% BSA). К реакционной смеси можно прибавить тестируемые соединения, описанные выше. Ген SirT1 клонируют в Т7-промотор, содержащий вектор и трансформируют в BL21(DE3). Через 25 минут инкубирования с SIRT1 добавляют 10 мкл 10%-ной муравьиной кислоты для остановки реакции. Реакционные смеси герметизируют и замораживают для последующего масс-спектрометрического анализа. Определение массы пептидного субстрата позволяет точно определить степень ацетилирования (то есть исходного вещества) по сравнению с деацетилированным пептидом (продуктом). Контроль за ингибированием активности сиртуина проводят, добавляя 1 мкл 500 нМ никотинамида в качестве отрицательного контроля в начале реакции (например, позволяет определить максимальное ингибирование сиртуина). Контроль за активацией активности сиртуина проводят с использованием 10 нМ белка сиртуина, с 1 мкл ДМСО вместо соединения, для определения количества деацетилирования субстрата в данной момент времени в пределах линейного интервала анализа. Данный момент времени аналогичен моменту времени, использованному в случае тестируемых соединений и, в пределах линейного интервала, конечный момент времени представляет собой изменение скорости. Для указанного выше анализа белок SIRT1 экспрессировали и очищали следующим образом. Ген SirT1 клонировали в Т7-промотор и трансформировали BL21(DУ3). Белок экспрессировали при помощи индукции 1мМ IPTG в качестве N-терминального His-tag гибридного белка при 18ºС в течение ночи и получали при 30000 × g. Клетки лизировали лизоцимом в лизисном буфере (50 мМ Tris-HCl, 2 мМ Tris[2-карбоксиэтил]фосфин (ТСЕР), 10 мкМ ZnCl2, 200 мМ NaCl) и далее обрабатывали ультразвуком в течение 10 мин для полного лизиса. Белок очищали на колонке Ni-NTA (Amersham) и фракции, содержащие чистый белок, объединяли, концентрировали и пропускали через фракционирующую колонку (Sephadex S200 26/60 global). Пик, содержащий растворимый белок, собирали и пропускали через ионообменную колонку (MonoQ). В результате градиентного элюирования (200 мМ-500 мМ NaCl) получали чистый белок. Данный белок концентрировали и подвергали диализу относительно диализного буфера (20 мМ Tris-HCl, 2 мМ ТСЕР) в течение ночи. Отбирали аликвоту белка и замораживали при -80ºС до дальнейшего использования. Значения ЕС1.5 активирующих соединений формулы (I) представлены А (ЕС1.5<1,0 мкМ), В (ЕС1.5 1-25 мкМ), В (ЕС1.5>25 мкМ). Процент максимальной активации складывания представлет А (активация складывания >200%) или В (активация складывания ≤200%). Значения IC50 активирующих соединений формулы (I) представлены А (IC50 <20 мкМ) или В (IC50 ≥20 мкМ). «NT» означает не тестировали. «ND» означает не детектируется. (*Следует отметить, что числа в скобках относятся к нумерации соединений в предварительной заявке США № 61/256269, относительно которой в данной заявке заявлен приоритет). замещенный спиробициклом. В некоторых вариантах осуществления R1 представляет собой пиридил, замещенный одним из:
где R1 необязательно замещен одним или более заместителями, независимо выбранными из -С1-С4алкила, фторзамещенного С1-С2 алкила, -(С1-С4алкил)-N(R3)(R3), -N(R3)(R3), -С(О)-N(R3)(R3), =О и -О-R3. В некоторых из подобных вариантов осуществления R1 замещен одной или более группами, независимо выбранными из -F, -Cl, -CH3, -OCH3,
-CF3,-OCF3, -OCF2H,
, -SO2CH3,
и
и
. В других примерах спиробицикл содержит два цикла с различным числом членов, например, 4-6, 5-6, 6-7. Спиробицикл может включать один или более гетероатомов, таких как O, N или S, которые могут присутствовать в спиробицикле. Спиробицикл может быть замещен одной или более замещающими группами. Примеры заместителей включают =О, галоген и алкил или другой заместитель, перечисленный в отношении других описанных здесь групп. Если не указано иначе, спиробицикл является насыщенным.
заменяя диметиламин на пирролидин, и 2-(3-фторфенил)-4-морфолин-7,8-дигидро-6Н-пиримидо[5,4-b][1,4]оксазина 82
заменяя диметиламин на морфолин.
Таблица 1
Соединения формулы (I)