патент
№ RU 2490253
МПК C07C241/04

ХИРАЛЬНЫЕ ДИАЦИЛГИДРАЗИНОВЫЕ ЛИГАНДЫ ДЛЯ МОДУЛЯЦИИ ЭКСПРЕССИИ ЭКЗОГЕННЫХ ГЕНОВ С ПОМОЩЬЮ ЭКДИЗОН-РЕЦЕПТОРНОГО КОМПЛЕКСА

Авторы:
ЛИ Бинг (US)
Правообладатель:
Номер заявки
2009145642/04
Дата подачи заявки
29.05.2008
Опубликовано
20.08.2013
Страна
RU
Дата приоритета
17.12.2025
Номер приоритета
Страна приоритета
Как управлять
интеллектуальной собственностью
Реферат

Изобретение относится к соединениям общей Формулы III и их фармацевтически приемлемым солям, где А представляет собой (C-С)алкил-O-, фенил-(С-С)алкил-O-; арил, выбранный из фенила, нафтила,и, который возможно замещен 1-3 заместителями, указанными в формуле изобретения; или гетероарил, имеющий четыре или пять атомов углерода и один гетероатом, выбранный из кислорода, азота и серы, который возможно замещен 1-3 заместителями, указанными в формуле изобретения; В представляет собой фенил, возможно замещенный 1-3 заместителями, где заместители выбраны из (С-С)алкила, (С-С)циклоалкила, (С-С)алкил-О-, гидрокси, амино и галогено; и Rи Rнезависимо представляют собой (С-С)алкил, фенил-(С-С)алкил-, гидрокси-(С-С)алкил, (С-С)циклоалкил, (С-С)алкенил или (С-С)алкинил; при условии, что Rотличается от R; где абсолютной конфигурацией асимметрического атома углерода, несущего Rи R, преимущественно является R-конфигурация. Также изобретение относится к фармацевтической композиции, обладающей способностью модулировать экспрессию генов, способам модуляции экспрессии гена в клетке-хозяине, способу регуляции экспрессии эндогенного или гетерологичного гена у трансгенного субъекта, способу регуляции трансгенной экспрессии у трансгенного субъекта, способу продуцирования полипептида и к способу получения соединения Формулы IV. Способ включает стадии: а) взаимодействие соединения Формулы V с соединением Формулы VI с получением соединения Формулы VII, б) восстановление соединения Формулы VII с получением соединения Формулы VIII, в) взаимодействие соединения Формулы VIII с соединением Формулы B-CO-LG, где В имеет значения, указанные выше, и LG является уходящей группой, п�

Формула изобретения

1. Энантиомерно обогащенное соединение Формулы III
,
где А представляет собой (С16)алкил-O-, фенил-(С16)алкил-O-; арил, выбранный из фенила, нафтила, и , который возможно замещен 1-3 заместителями, где заместители выбраны из (C16)алкила, (С37)циклоалкила, (С16)алкил-O-, гидрокси, амино и галогено; или гетероарил, имеющий четыре или пять атомов углерода и один гетероатом, выбранный из кислорода, азота и серы, который возможно замещен 1-3 заместителями, где заместители выбраны из (C16)алкила, (С37)циклоалкила, (С16)алкил-O-, гидрокси, амино и галогено;
В представляет собой фенил, возможно замещенный 1-3 заместителями, где заместители выбраны из (С16)алкила, (С37)циклоалкила, (C16)алкил-O-, гидрокси, амино и галогено; и
R1 и R2 независимо представляют собой (С16)алкил, фенил-(С16)алкил-, гидрокси-(С16)алкил, (С37)циклоалкил, (С26)алкенил или (С26)алкинил;
при условии, что R1 отличается от R2;
где абсолютной конфигурацией асимметрического атома углерода, несущего R1 и R2, преимущественно является R-конфигурация;
или его фармацевтически приемлемая соль.

2. Соединение по п.1, где
А представляет собой -ОС(СН3)3, -OCH2Ph; арил, выбранный из фенила, нафтила, и который возможно замещен 1-3 заместителями, где заместители выбраны из (С16)алкила, (С37)циклоалкила, (С16)алкил-O-, гидрокси, амино и галогено; или гетероарил, имеющий четыре или пять атомов углерода и один гетероатом, выбранный из кислорода, азота и серы, который возможно замещен 1-3 заместителями, где заместители выбраны из (С16)алкила, (С37)циклоалкила, (С16)алкил-O-, гидрокси, амино и галогено;
В представляет собой фенил, возможно замещенный 1-3 заместителями, где заместители выбраны из (С16)алкила, (С16)алкил-O- и галогено;
R1 представляет собой (С16)алкил, гидрокси(С14)алкил или (C26)алкенил; и
R2 представляет собой (С16)алкил, фенил-(С14)алкил или (С37)циклоалкил.

3. Соединение по п.2, где
А представляет собой

or ;
R3a, R3b, R3c, R3d и R3e независимо выбраны из водорода, галогено, гидрокси, амино, (С16)алкила, (С37)циклоалкила или (С16)алкил-O-;
или R3a и R3b, взятые вместе, образуют -ОСН2О- или -ОСН2СН2О-; или
R3b и R3c, взятые вместе, образуют -ОСН2О- или -ОСН2СН2О-;
R4a, R4b, R4c, R5a, R5b, R6a, R6b и R6c независимо выбраны из водорода, галогено, гидрокси, амино, (С16)алкила, (С37)циклоалкила или (C16)алкил-O-;
Х представляет собой О или S; и
В представляет собой
;
R3f, R3g, R3h, R3i и R3j независимо выбраны из водорода, галогено, гидрокси, амино, (С16)алкила, (С37)циклоалкила или (С16)алкил-O-.

4. Соединение по п.3,
где R1 представляет собой (С16)алкил, гидрокси(С14)алкил или (C24)алкенил; и
R2 представляет собой (С16)алкил.

5. Соединение по п.4,
где А представляет собой
;
R3a, R3b, R3c, R3d и R3e независимо выбраны из водорода, галогено, (C14)алкила или (С14)алкил-O-; и
R3f, R3g, R3h, R3i и R3j независимо выбраны из водорода, галогено, (C14)алкила или (С14)алкил-O-.

6. Соединение по п.1, выбранное из:
(R)-N'-(1-трет-бутил-бутил)-N'-(3,5-диметилбензоил)гидразинкарбоновой кислоты трет-бутилового эфира;
(R)-N'-(1-трет-бутил-4-гидроксибутил)-N'-(3,5-диметилбензоил)гидразин-карбоновой кислоты бензилового эфира;
(R)-3,5-диметилбензойной кислоты N-(1-трет-бутил-бутил)-N'-(2-этил-3-метоксибензоил)гидразида;
(R)-3,5-диметилбензойной кислоты N'-бензоил-N-(1-трет-бутил-бутил)гидразида;
(R)-3,5-диметилбензойной кислоты N-(1-трет-бутил-бутил)-N'-(2-метилбензоил)гидразида;
(R)-3,5-диметилбензойной кислоты N-(1-трет-бутил-бутил)-N'-(2-метоксибензоил)гидразида;
(R)-3,5-диметилбензойной кислоты N-(1-трет-бутил-бутил)-N'-(2-фторбензоил)гидразида;
(R)-3,5-диметилбензойной кислоты N-(1-трет-бутил-бутил)-N'-(2-хлор-бензоил)гидразида;
(R)-3,5-диметилбензойной кислоты N'-(2-бромбензоил)-N-(1-трет-бутил-бутил)гидразида;
(R)-3,5-диметилбензойной кислоты N-(1-трет-бутил-бутил)-N'-(3-метилбензоил)гидразида;
(R)-3,5-диметилбензойной кислоты N-(1-трет-бутил-бутил)-N'-(3-метоксибензоил)гидразида;
(R)-3,5-диметилбензойной кислоты N-(1-трет-бутил-бутил)-N'-(3-хлорбензоил)гидразида;
(R)-3,5-диметилбензойной кислоты N-(1-трет-бутил-бутил)-N'-(4-метилбензоил)гидразида;
(R)-3,5-диметилбензойной кислоты N-(1-трет-бутил-бутил)-N'-(4-этилбензоил)гидразида;
(R)-3,5-диметилбензойной кислоты N-(1-трет-бутил-бутил)-N'-(4-метоксибензоил)гидразида;
(R)-3,5-диметилбензойной кислоты N-(1-трет-бутил-бутил)-N'-(4-хлорбензоил)гидразида;
(R)-3,5-диметилбензойной кислоты N-(1-трет-бутил-бутил)-N'-(2,6-дифторбензоил)гидразида;
(R)-3,5-диметилбензойной кислоты N-(1-трет-бутил-бутил)-N'-(2,6-дихлорбензоил)гидразида;
(R)-3,5-диметилбензойной кислоты N-(1-трет-бутил-бутил)-N'-(3,4-диметоксибензоил)гидразида;
(R)-3,5-диметилбензойной кислоты N-(1-трет-бутил-бутил)-N'-(3,5-дифторбензоил)гидразида;
(R)-3,5-диметилбензойной кислоты N-(1-трет-бутил-бутил)-N'-(3,5-диметокси-4-метилбензоил)гидразида;
(R)-3,5-диметилбензойной кислоты N-(1-трет-бутил-бутил)-N'-(4-метилбензо[1,3]диоксол-5-карбонил)гидразида;
(R)-3,5-диметилбензойной кислоты N-(1-трет-бутил-бутил)-N'-(5-метил-2,3-дигидробензо[1,4]диоксин-6-карбонил)гидразида;
(R)-3,5-диметилбензойной кислоты N-(1-трет-бутил-бутил)-N'-(5-этил-2,3-дигидробензо[1,4]диоксин-6-карбонил)гидразида;
(R)-3,5-диметилбензойной кислоты N-(1-трет-бутил-бутил)-N'-(нафталин-1-карбонил)гидразида;
(R)-3,5-диметилбензойной кислоты N-(1-трет-бутил-бутил)-N'-(нафталин-2-карбонил)гидразида;
(R)-3,5-диметилбензойной кислоты (N-(1-трет-бутил-бутил)-N'-(тиофен-2-карбонил)гидразида;
(R)-3,5-диметилбензойной кислоты N-(1-трет-бутил-бутил)-N'-(2,5-диметилфуран-3-карбонил)гидразида;
(R)-3,5-диметилбензойной кислоты N-(1-трет-бутил-бутил)-N'-(2-хлорпиридин-3-карбонил)гидразида;
(R)-3,5-диметилбензойной кислоты N-(1-трет-бутил-бутил)-N'-(6-хлорпиридин-3-карбонил)гидразида;
(R)-3,5-диметилбензойной кислоты N-(1-трет-бутил-бутил)-N'-(3-метокси-2-метилбензоил)гидразида;
(R)-3,5-диметокси-4-метилбензойной кислоты N-(1-трет-бутил-бутил)-N'-(3-метокси-2-метилбензоил)гидразида или
(R)-3,5-диметилбензойной кислоты N'-(4-этилбензоил)-N-(1-фенетилбут-3-енил)гидразида.

7. (R)-3,5-диметилбензойной кислоты N-(1-трет-бутил-бутил)-N'-(2-этил-3-метоксибензоил)гидразид или его фармацевтически приемлемая соль.

8. Фармацевтическая композиция, обладающая способностью модулировать экспрессию генов, содержащая соединение по любому из пп.1-7 в эффективной дозе и фармацевтически приемлемый носитель.

9. Способ получения соединения Формулы IV
,
где А представляет собой арил, выбранный из фенила, нафтила, и , который возможно замещен 1-3 заместителями, где заместители выбраны из (С16)алкила, (С37)циклоалкила, (С16)алкил-O-, гидрокси, амино и галогено, или гетероарил, имеющий четыре или пять атомов углерода и один гетероатом, выбранный из кислорода, азота и серы, который возможно замещен 1-3 заместителями, где заместители выбраны из (С16)алкила, (С37)циклоалкила, (С16)алкил-O-, гидрокси, амино и галогено;
В представляет собой фенил, возможно замещенный 1-3 заместителями, где заместители выбраны из (С16)алкила, (С37)циклоалкила, (C16)алкил-O-, гидрокси, амино и галогено;
R2 независимо представляет собой (С16)алкил или (С37)циклоалкил;
при условии, что R2 не является -CR8R9CHR10CR11R12; и
R8, R9, R10, R11 и R12 независимо выбраны из водорода;
где асимметрический атом углерода, к которому присоединяют R2, энантиомерно обогащен или R-, или S-изомером;
включающий:
а) взаимодействие соединения Формулы V

с соединением Формулы VI
,
где Х и Y независимо представляют собой О или NR, где R представляет собой (С16)алкил;
Са и Cb независимо представляют собой асимметрический атом углерода в S-конфигурации или асимметрический атом углерода в R-конфигурации;
R14 и R15 независимо представляют собой (С16)алкил или фенил;
R13 представляет собой галогено;
R7 представляет собой (С16)алкил, фенил-(С16)алкил или фенил; и
R2, R8, R9, R10, R11 и R12 имеют значения, указанные выше;
с получением соединения Формулы VII
;
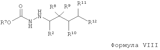
б) восстановление соединения Формулы VII с получением соединения Формулы VIII
;
в) взаимодействие соединения Формулы VIII с соединением Формулы В-CO-LG, где В имеет значения, указанные выше, и LG является уходящей группой, представляющей собой -F, -С1 или -Вг, с образованием соединения Формулы IX
;
г) удаление группы R7CO2- из соединения Формулы IX с получением соединения Формулы Х
;
и
д) взаимодействие соединения Формулы Х с соединением Формулы А-СО-LG, где А имеет значения, указанные выше, и LG является уходящей группой, представляющей собой -F, -Cl или -Br, с получением соединения Формулы IV.

10. Способ по п.9,
где Х представляет собой NR, и R представляет собой метил;
Y представляет собой О;
R14 представляет собой метил;
R15 представляет собой фенил;
каждый из Са и Cb имеет S-конфигурацию;
В представляет собой 3,5-диметилфенил,
А представляет собой 2-этил-3-метоксифенил, и
R2 представляет собой трет-бутил.

11. Способ модуляции экспрессии интересующего гена в клетке-хозяине, где указанная клетка-хозяин содержит первую рекомбинантную кассету экспрессии гена, содержащую первый полинуклеотид, кодирующий первый полипептид, содержащий:
1) ДНК-связывающий домен и
2) лиганд-связывающий домен ядерного рецептора группы Н;
и вторую рекомбинантную кассету экспрессии гена, содержащую:
1) элемент ответа, способный связываться с указанным ДНК-связывающим доменом;
2) промотор и
3) указанный интересующий ген;
включающий приведение указанной клетки-хозяина в контакт с соединением по любому из пп.1-7; где указанная экспрессия указанного интересующего гена модулирована.

12. Способ регуляции экспрессии эндогенного или гетерологичного гена у трансгенного субъекта, включающий приведение лиганда в контакт с экдизон-рецепторным комплексом в клетках указанного субъекта, где указанные клетки дополнительно содержат ДНК-связывающую последовательность для указанного экдизон-рецепторного комплекса, когда находятся в комбинации с указанным лигандом, и где образование комплекса «экдизон-рецепторный комплекс-лиганд-ДНК-связывающая последовательность» индуцирует экспрессию гена, и где указанный лиганд представляет собой соединение по любому из пп.1-7; при котором регулируют экспрессию эндогенного или гетерологичного гена у трансгенного субъекта.

13. Способ по п.12, где субъект представляет собой растение.

14. Способ по п.12, где субъект представляет собой человека.

15. Способ по п.12, где указанные клетки являются аутологичными клетками и указанные аутологичные клетки содержат указанный экдизон-рецепторный комплекс и ДНК-связывающую последовательность для экдизонового комплекса, и указанные клетки имплантируют указанному субъекту, чтобы сделать его трансгенным.

16. Способ по п.15, где указанный гетерологичный ген представляет собой IL-12.

17. Способ регуляции трансгенной экспрессии у трансгенного субъекта, где указанный трансгенный субъект содержит рекомбинантный экдизон-рецепторный комплекс, способный регулировать трансгенную экспрессию; включающий введение указанному субъекту эффективного количества соединения по любому из пп.1-7.

18. Способ модуляции экспрессии гена в клетке-хозяине, включающий стадии:
а) введения в указанную клетку-хозяин системы модуляции экспрессии гена, содержащей:
1) первую рекомбинантную кассету экспрессии гена, которая способна экспрессироваться в указанной клетке-хозяине, где указанная первая рекомбинантная кассета экспрессии гена содержит полинуклеотидную последовательность, которая кодирует первый гибридный полипептид, содержащий:
(а) ДНК-связывающий домен, который распознает элемент ответа, ассоциированный с геном, экспрессия которого подлежит модулированию; и
(б) лиганд-связывающий домен экдизонового рецептора;
2) вторую рекомбинантную кассету экспрессии гена, которая способна экспрессироваться в указанной клетке-хозяине, где указанная вторая рекомбинантная кассета экспрессии гена содержит полинуклеотидную последовательность, которая кодирует второй гибридный полипептид, содержащий:
(а) домен трансактивации и
(б) лиганд-связывающий домен химерного ретиноидного Х-рецептора; и
(3) третью рекомбинантную кассету экспрессии гена, способную экспрессироваться в указанной клетке-хозяине, где указанная третья рекомбинантная кассета экспрессии гена содержит полинуклеотидную последовательность, включающую:
(а) элемент ответа, распознаваемый ДНК-связывающим доменом указанного первого гибридного полипептида;
(б) промотор, который активируется доменом трансактивации указанного второго гибридного полипептида; и
(в) ген, экспрессия которого подлежит модулированию; и
б) введение в указанную клетку-хозяин соединения по любому из пп.1-7;
где экспрессия указанного гена в указанной клетке-хозяине модулирована.

19. Способ продуцирования полипептида, включающий стадии:
а) селекции клетки-хозяина, которая является, по существу, нечувствительной к воздействию соединения по любому из пп.1-7;
б) введение в указанную клетку-хозяин:
(1) ДНК-конструкции, содержащей:
(а) экзогенный ген, кодирующий указанный полипептид; и
(б) элемент ответа;
где указанный экзогенный ген находится под контролем указанного элемента ответа; и
(2) ДНК-конструкции, кодирующей экдизон-рецепторный комплекс, содержащий:
(а) ДНК-связывающий домен, который связывается с указанным элементом ответа;
(б) лиганд-связывающий домен экдизонового рецептора и
(в) домен трансактивации; и
в) воздействие указанного соединения на указанную клетку; при котором продуцируется полипептид.

Описание

[1]

Текст описания приведен в факсимильном виде.

Как компенсировать расходы
на инновационную разработку
Похожие патенты