патент
№ RU 2411246
МПК C07F1/08

ТЕТРА[4,5]([6,7]1-АЦЕТИЛ-2Н-НАФТО[2,3-D][1,2,3]ТРИАЗОЛ-5,8-ДИОН)ФТАЛОЦИАНИНЫ МЕДИ И КОБАЛЬТА

Авторы:
Криушкина Мария Александровна Харитонова Татьяна Павловна Шапошников Геннадий Павлович
Все (4)
Номер заявки
2009143236/04
Дата подачи заявки
23.11.2009
Опубликовано
10.02.2011
Страна
RU
Как управлять
интеллектуальной собственностью
Чертежи 
7
Реферат

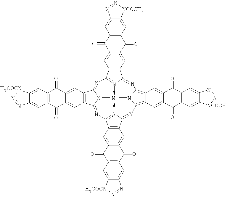
Изобретение относится к тетра[4,5]([6,7]1-ацетил-2Н-нафто[2,3-D][1,2,3]триазол-5,8-дион)фталоцианинам меди и кобальта формулы ! ! где М - Cu, Со. Технический результат - изобретение позволяет получить новые производные фталоцианинов, которые могут быть использованы в качестве красителей, а также в качестве катализаторов различных процессов. 5 фиг., 1 ил.

Формула изобретения

Тетра[4,5]([6,7]1-ацетил-2Н-нафто[2,3-D][1,2,3]триазол-5,8-дион)фталоцианины меди и кобальта формулы

где М - Сu, Со.

Описание

[1]

Введение

[2]

Изобретение относится к химической промышленности, а именно к получению новых производных металлофталоцианина - тетра[4,5]([6,7]1-ацетил-2Н-нафто[2,3-D][1,2,3]триазол-5,8-дион)фталоцианина меди и кобальта, которые могут быть использованы в качестве красителей для полимерных материалов, а также катализаторов различных процессов.

[3]

Уровень техники

[4]

Богатейшая возможность химической модификации соединений порфиразинового ряда позволяет использовать их по различному назначению, например в качестве светопрочных красителей и пигментов [Степанов Б.И. Введение в химию и технологию органических красителей. Учебн. для вузов. 3-е изд. перераб. и доп. М.: Химия, 1984. 592 с.], в качестве катализаторов различных процессов [Тарасевич М.С., Радюшкина К.А. Катализ и электрокатализ металлопорфиринами. М.: Наука, 1982. 168 с.], [Стучинская Т.Л. Катализаторы окисления сернистых соединений на основе производных фталоцианина кобальта: Дисс…. канд. хим. наук. Новосибирск. ИК СО РАН. 1999. 131 с.].

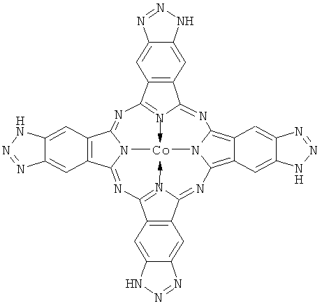
[5]

Наиболее близким структурным аналогом заявляемых соединений является кобальтовый комплекс тетра-5,6-(1,2,3-бензотриазол)порфиразина формулы [Балакирев А.Е., Майзлиш В.Е., Шапошников Г.П. Порфиразины кобальта с гетероциклическими заместителями // Журнал общей химии. 2002, т.72, 337]:

[6]

[7]

Однако данное соединение не может быть использовано в качестве красителя для полимерных материалов и катализатора, так как слабо растворимо в органических средах.

[8]

Сущность изобретения

[9]

Изобретательская задача состояла в поиске новых производных фталоцианинов, которые обладали бы свойствами красителя и, кроме того, могли бы использоваться в качестве катализаторов различных процессов.

[10]

Поставленная задача решена медным и кобальтовым комплексами тетра[4,5]([6,7]1-ацетил-2Н-нафто[2,3-D][1,2,3]триазол-5,8-дион)фталоцианина формулы

[11]

[12]

где M - Cu, Co.

[13]

Структура этих соединений доказана данными элементного анализа, ИК, электронной спектроскопии.

[14]

Так, в ИК-спектре медного комплекса (фиг.1) можно выделить ряд общих полос поглощения с незамещенным аналогом [К.Sakamoto, E.Ohno Synthesis of Cobalt Phthalocyanine Derivatives and their Cyclic Voltammograms // Dyes and Pigments. 1997. Vol.35. N 4. P.375-386].

[15]

В электронных спектрах поглощения тетра[4,5]([6,7]1-ацетил-2Н-нафто[2,3-D][1,2,3]триазол-5,8-дион)фталоцианина меди наблюдается интенсивное поглощение при 746 нм в концентрированной серной кислоте (фиг.2) при 689 и 644 нм в диметилсульфоксиде (фиг.3).

[16]

Тетра[4,5]([6,7]1-ацетил-2Н-нафто[2,3-D][1,2,3]триазол-5,8-дион)фталоцианина меди и кобальта представляют собой вещества сине-зеленого цвета. Эти соединения растворимы в концентрированной серной кислоте, диметилсульфоксиде, диметилформамиде. Медный комплекс тетра[4,5]([6,7]1-ацетил-2Н-нафто[2,3-D][1,2,3]триазол-5,8-дион)фталоцианина обладает свойствами красителя для полимерных материалов, а кобальтовый проявляет каталитические свойства.

[17]

Сведения, подтверждающие возможность воспроизведения изобретения.

[18]

Для реализации изобретения используют следующие вещества:

[19]

- 1-ацетил-5,10-диокси-5,10-дигидро-2H-антра[2,3-D][1,2,3]триазол-7,8-дикарбоновая кислота

[20]

- мочевина - ГОСТ 2081-92

[21]

- ацетат меди - ГОСТ 5852-70

[22]

- ацетат кобальта - ГОСТ 5861-79

[23]

- молибдат аммония - ГОСТ 2677-78

[24]

Заявленные соединения получают взаимодействием 1-ацетил-5,10-диокси-5,10-дигидро-2Н-антра[2,3-D][1,2,3]триазол-7,8-дикарбоновой кислоты с мочевиной, хлоридом аммония, молибдатом аммония и ацетатом меди или кобальта в условиях реакции темплантной тетрамеризации.

[25]

Поскольку 1-ацетил-5,10-диокси-5,10-дигидро-2Н-антра[2,3-D][1,2,3]триазол-7,8-дикарбоновая кислота является новым соединением и не выпускается промышленностью она была получена следующим 3-стадийным способом: сначала проводят ацилирование бензотриазола уксусным ангидридом, затем полученный продукт ацилирования подвергают взаимодействию с диангидридом пиромеллитовой кислоты в присутствии безводного хлористого алюминия, после чего проводят внутримолекулярную циклизацию путем обработки полученной на первой стадии 5-[(1-ацетил-2Н-1,2,3-бензотриазол-5-ил)карбонил]бензол-1,2,4-трикарбоновой кислоты концентрированной серной кислотой (моногидратом). В результате внутримолекулярной циклизации получают 1-ацетил-5,10-диокси-5,10-дигидро-2Н-антра[2,3-D][1,2,3]триазол-7,8-дикарбоновую кислоту.

[26]

Стадия 1. Синтез 1-ацетилбензотриазола. В круглодонной трехгорлой колбе емкостью 100 мл растворяют 11,9 г (0.1 моль) бензотриазола в 20 мл толуола. Колбу соединяют с обратным холодильником и к находящемуся в колбе раствору осторожно в течение 15 минут приливают 11,3 мл (0.12 моль) уксусного ангидрида. При этом реакционная смесь разогревается до кипения. После добавления всего количества уксусного ангидрида смеси дают охладиться. Выпавшие кристаллы игольчатой формы отфильтровывают на воронке Бюхнера, промывают толуолом небольшими порциями до исчезновения запаха уксусной кислоты и сушат на воздухе между листами фильтровальной бумаги

[27]

Выход 1-ацетилбензотриазола 11 г.

[28]

Стадия 2. Синтез 5-[(1-ацетил-2Н-1,2,3-бензотриазол-5-ил)карбонил]бензол-1,2,4-трикарбоновой кислоты. В трехгорлую колбу емкостью 100 мл, снабженную мешалкой, обратным холодильником и термометром, помещают 10.0 г (0.046 моль) диангидрида пиромеллитовой кислоты, 8.21 г (0.051 моль) 1-ацетилбензотриазола и 20 мл гептана. Массу нагревают до 50°С и при перемешивании прибавляют 16.12 г (0.119 моль) безводного хлористого алюминия. Выдерживают 3 часа при кипении реакционной массы (≈100°C), а после отгонки гептана еще 6 часов при 120÷130°С. К охлажденной массе последовательно прибавляют 50 мл воды и 10 мл концентрированной соляной кислоты и перемешивают 12 часов. Осадок отфильтровывают, промывают горячей водой и кипятят 30÷40 минут в 10%-ном растворе соды. Горячий раствор фильтруют, осадок обрабатывают подобным образом еще 3-4 раза. Фильтрат подкисляют соляной кислотой до pH 4 и охлаждают до 10÷15°С. Выпавший осадок отфильтровывают, промывают водой до нейтральной реакции. Сушат при 80°С.

[29]

Выход 5-[(1-ацетил-2Н-1,2,3-бензотриазол-5-ил)карбонил]бензол-1,2,4-трикарбоновой кислоты 7 г.

[30]

Стадия 3. Синтез 1-ацетил-5,10-диокси-5,10-дигидро-2Н-антра[2,3-D][1,2,3]триазол-7,8-дикарбоновой кислоты. В трехгорлую колбу объемом 100 мл, снабженную мешалкой, обратным холодильником и термометром, помещают 20 мл (0.18 моль) моногидрата и нагревают до 130°С. Затем в течение 15 минут при интенсивном перемешивании вносят 5 г (0.011 моль) полученной 5-[(1-ацетил-2Н-1,2,3-бензотриазол-5-ил)карбонил]бензол-1,2,4-трикарбоновой кислоты, температуру поднимают до 150°С и выдерживают в течение 5 часов. Массу после охлаждения при перемешивании выливают в 200 мл воды, фильтруют, осадок промывают большим количеством ледяной воды, растворяют в содовом растворе и подкисляют соляной кислотой. Осадок отфильтровывают и промывают водой до исчезновения хлорид-ионов. Такую обработку повторяют дважды. Сушат при 100°С.

[31]

Выход 1-ацетил-5,10-диокси-5,10-дигидро-2Н-антра[2,3-D][1,2,3]триазол-7,8-дикарбоновой кислоты 4.1 г.

[32]

Синтез тетра[4,5]([6,7]1-ацетил-2Н-нафто[2,3-D][1,2,3]триазол-5,8-дион)фталоцианинов меди и кобальта. В кварцевую ампулу помещают растертую смесь 0.23 г (0.60 ммоль) 1-ацетил-5,10-диокси-5,10-дигидро-2Н-антра[2,3-D][1,2,3]триазол-7,8-дикарбоновой кислоты, 0.24 г (4.00 ммоль) мочевины, 0.036 г (0.18 ммоль) ацетата меди или 0.036 г (0.18 ммоль) ацетата кобальта, 0.02 г (0.40 ммоль) хлорида аммония и 0.002 г (0.01 ммоль) молибдата аммония. Массу медленно нагревают до 180°С в течение часа и выдерживают 3 часа. После охлаждения реакционную массу измельчают, переносят на фильтр Шота, промывают 5%-ной соляной кислотой и водой, пока в промывной жидкости при нанесении ее капли на предметное стекло и выпаривании не остается твердого остатка. Сушат при 100°С. Затем переосаждают из концентрированной серной кислоты и промывают в аппарате Сокслета ацетоном в течение 10 часов. Сушат при 100°С.

[33]

Выход тетра[4,5]([6,7]1-ацетил-2Н-нафто[2,3-D][1,2,3]триазол-5,8-дион)фталоцианина меди 0.13 г.

[34]

Выход тетра[4,5]([6,7]1-ацетил-2Н-нафто[2,3-D][1,2,3]триазол-5,8-дион)фталоцианина кобальта 0.12 г.

[35]

Целевые продукты представляют собой сине-зеленые вещества, обладающие растворимостью в концентрированной серной кислоте, диметилсульфоксиде, диметилформамиде.

[36]

ЭСП тетра[4,5]([6,7]1-ацетил-2Н-нафто[2,3-D][1,2,3]триазол-5,8-дион)фталоцианина меди в диметилсульфоксиде. λmax, нм: 352, 644, 689 (фиг.3).

[37]

ЭСП тетра[4,5]([6,7]1-ацетил-2Н-нафто[2,3-D][1,2,3]триазол-5,8-дион)фталоцианина кобальта в диметилсульфоксиде. λmax, нм: 352, 646, 688 (фиг.4).

[38]

Найдено, %: С 60.52; H 1.98; N 19.62. C72H28N20O12Cu.

[39]

С 60.70; Н 1.97; N 19.64; C72H28N20O12Co.

[40]

Вычислено, %: С 60.53; Н 1.98; N 19.61. C72H28N20O12Cu.

[41]

С 60.73; Н 1.98; N 19.67; C72H28N20O12Co.

[42]

Пример 1. Использование тетра[4,5]([6,7]1-ацетил-2Н-нафто[2,3-D][1,2,3]триазол-5,8-дион)фталоцианина меди в качестве красителя для крашения полиэтилена и полистирола.

[43]

Крашение полиэтилена. 2 г полиэтилена помещают в фарфоровую чашку и нагревают до расплавления, затем вливают 5 мл диме-тилсульфоксида, в котором растворено 0.003 г тетра[4,5]([6,7]1-ацетил-2Н-нафто[2,3-D[1,2,3]триазол-5,8-дион)фталоцианина меди. Выдерживают при нагревании до полного удаления диметилсульфоксида и выливают полученную массу в форму.

[44]

Образец прилагается (фиг.6 и 7).

[45]

Крашение полистирола. 2 г полистирола помещают в фарфоровую чашку и нагревают до расплавления, затем вливают 5 мл диметилсульфоксида, в котором растворено 0.003 г тетра[4,5]([6,7]1-ацетил-2Н-нафто[2,3-D][1,2,3]триазол-5,8-дион)фталоцианина меди. Выдерживают при нагревании до полного удаления диметилсульфоксида и выливают полученную массу в форму.

[46]

Образец прилагается (фиг.7).

[47]

Пример 2. Использование тетра[4,5]([6,7]1-ацетил-2Н-нафто[2,3-D)][1,2,3]триазол-5,8-дион)фталоцианина кобальта в качестве катализатора процессов окисления меркаптанов.

[48]

Исследование каталитической активности кобальтового комплекса тетра[4,5]([6,7]1-ацетил-2Н-нафто[2,3-D][1,2,3]триазол-5,8-дион)фталоцианина проводили на 0.02 М растворе диэтилдитиокарбомата натрия (ДЭДТК) на установке, изображенной на фиг.5.

[49]

Установка содержит: 1 - термометр, 2 - барботер, 3 - стеклянный стакан, 4 - образцы гетерогенного катализатора, 5 - насос, 6 - пробоотборник, 7 - обратный холодильник.

[50]

Для приготовления гетерогенного катализатора в 50 мл раствора кобальтового комплекса тетра[4,5]([6,7]1-ацетил-2Н-нафто[2,3-D)][1,2,3]триазол-5,8-дион)фталоцианина в ДМФА с концентрацией 0.01 моль/л погружают и полностью пропитывают образец нетканого полипропилена массой 2 г. Затем образец извлекают и погружают в воду для удаления органического растворителя. При этом происходит быстрая кристаллизация и осаждение кобальтового комплекса на поверхности полипропиленовых волокон. Концентрация комплекса на поверхности нетканого материала при такой обработке составляет 1.9·10-5 моль на 1 г полипропилена. Полученный таким образом гетерогенный катализатор помещают в стакан с ДЭДТК, снабженный насосом CIRCULATOR 650 производительностью 600 л/ч для подачи воздуха, необходимого для окисления, с постоянной скоростью 2 л/мин. После установления в реакционной смеси в стакане постоянной температуры отбирают пробу 2 мл для определения начальной концентрации ДЭДТК и пропускают воздух. Момент подачи воздуха принимают за начало реакции. В ходе реакции через определенные промежутки времени отбирают пробы по 2 мл для спектрометрического определения текущей концентрации ДЭДТК.

[51]

Эффективная константа скорости окисления ДЭДТК составляет 3.2±0.3 сек-1.

Как компенсировать расходы
на инновационную разработку
Похожие патенты