патент
№ RU 2411234
МПК C07C231/02

СПОСОБ ПОЛУЧЕНИЯ N-ЗАМЕЩЕННЫХ САЛИЦИЛАМИДОВ

Авторы:
РИСС Бернхар (FR)
Правообладатель:
Номер заявки
2007126973/04
Дата подачи заявки
14.12.2005
Опубликовано
10.02.2011
Страна
RU
Дата приоритета
16.12.2025
Номер приоритета
Страна приоритета
Как управлять
интеллектуальной собственностью
Реферат

Изобретение относится к способу получения соединения общей формулы IV ! ! Способ, заключающийся в том, что (1) соединение формулы I взаимодействует ! ! с соединением формулы II ! ! в основных условиях, при которых фенольная гидроксигруппа по меньшей мере частично присутствует в депротонированной форме, в апротонном растворителе, с образованием соединения формулы III ! ! (2) при необходимости группу R7 превращают в карбоксигруппу, (3) при необходимости, продукт, полученный на стадии (1) или (2), обрабатывают кислотой с образованием соединения формулы IV. При этом n равно 1-8, m равно 1-4, R1 выбран из группы, включающей C1-C6 алкил с прямой или разветвленной цепью, карбокси-активирующую группу и пептидный конденсирующий реагент, каждый R2 может быть независимо выбран из группы, включающей -ОН, NR3R4, галоген, C1-C4 алкил, галоген (C1-C4) алкил, C1-C4 алкокси, C2-C4 алкенил, каждый R5 и каждый R6 независимо выбран из группы, включающей водород, -ОН, NR3R4, галоген, C1-C4 алкил, C1-C4 алкокси, С2-С4 алкенил, причем каждый R5 и каждый R6 необязательно идентичны, R3 и R4 каждый независимо выбран из группы, включающей водород, -ОН, C1-C4 алкил, галоген(С1-С4)алкил, C1-C4 алкокси, С2-С4 алкенил, a R7 означает карбоновую кислоту или любую группу, которую можно превратить в карбоксигруппу, например амид или нитрил. Технический результат - изобретение позволяет получить N-замещенные салициламиды, которые используются в составе композиций для доставки активных агентов в организм. 18 з.п. ф-лы.

Формула изобретения

1. Способ получения соединения общей формулы IV

заключающийся в том, что
(1) соединение формулы I взаимодействует

с соединением формулы II

в основных условиях, при которых фенольная гидроксигруппа по меньшей мере частично присутствует в депротонированной форме, в апротонном растворителе, с образованием соединения формулы III

(2) при необходимости группу R7 превращают в карбоксигруппу,
(3) при необходимости, продукт, полученный на стадии (1) или (2), обрабатывают кислотой с образованием соединения формулы IV, где
n равно 1-8,
m равно 1-4,
R1 выбран из группы, включающей C16 алкил с прямой или разветвленной цепью, карбокси-активирующую группу и пептидный конденсирующий реагент;
каждый R2 может быть независимо выбран из группы, включающей -ОН, NR3R4, галоген, C1-C4 алкил, галоген (C1-C4) алкил, C1-C4 алкокси, С24 алкенил;
каждый R5 и каждый R6 независимо выбраны из группы, включающей водород, -ОН, NR3R4, галоген, C1-C4 алкил, C1-C4 алкокси, C2-C4 алкенил, причем каждый R5 и каждый R6 необязательно идентичны,
R3 и R4 каждый независимо выбран из группы, включающей водород, -ОН, C1-C4 алкил, галоген(С14)алкил, C1-C4 алкокси, С24 алкенил, и R7 означает карбоновую кислоту или любую группу, которую можно превратить в карбоксигруппу.

2. Способ по п.1, дополнительно включающий стадию взаимодействия соединения формулы IV с MY с образованием соединения формулы V:

где М+ означает катион щелочного металла, a Y- означает основной противоанион.

3. Способ по п.2, где металл M+ означает Na+.

4. Способ по п.2, где Y- означает ОН-.

5. Способ по п.2, где MY означает NaOH.

6. Способ по п.2, где стадия (4) проводится в смеси ацетон/вода при температуре от 40 до 60°С, где соотношение ацетон:вода составляет от 5:1 до 15:1 об./об.

7. Способ по п.1, где NR3R4 означает NH2.

8. Способ по п.1, где m равно 1, R2 означает Cl, и R2 расположен в 5 положении.

9. Способ по п.1, где каждый R5 и R6 означает водород.

10. Способ по п.1, где R1 означает карбокси-активирующую группу, выбранную из гидроксисукцинамидила, гидроксисукцинимидила или пентафторфенила.

11. Способ по п.1, где R1 означает пептидный конденсирующий агент, выбранный из карбонилдиимидазола, дициклогексилкарбодиимида и ангидрида фосфорной кислоты.

12. Способ по п.1, где R1 означает алкил, выбранный из группы, включающей метил, этил, пропил, изопропил и трет-бутил.

13. Способ по п.1, где соединение формулы IV означает соединение формулы (X):

14. Способ по п.2, где соединение формулы V означает соединение формулы (XI):

15. Способ по любому из предшествующих пунктов, где апротонный растворитель на стадии (1) выбран из группы, включающей N,N-диметилформамид, N-метилформамид, N,N-диэтилформамид, N-этилформамид и N,N-диметилацетамид.

16. Способ по любому из предшествующих пунктов, где основные условия на стадии (1), при которых фенольная гидроксигруппа по меньшей мере частично присутствует в депротонированной форме, обеспечиваются за счет предварительной реакции соединения формулы (1) с (С110)алкоголятом щелочного металла в качестве сильного основания.

17. Способ по любому из предшествующих пунктов, где основные условия на стадии (1), при которых фенольная гидроксигруппа по меньшей мере частично присутствует в депротонированной форме, обеспечиваются за счет добавления (С110)алкоголята щелочного металла в качестве сильного основания на стадии (1).

18. Способ по п.16 или 17, где (С110)алкоголят щелочного металла представляет собой метилат натрия.

19. Способ по любому из предшествующих пунктов, дополнительно включающий переработку соединения формулы (IV), (V), (X) или (XI) в фармацевтический состав, причем фармацевтический состав дополнительно содержит по меньшей мере один активный ингредиент.

Описание

[1]

Настоящее изобретение относится к способу получения N-замещенных салициламидов или их производных, например их солей, гидратов и сольватов. Прежде всего настоящее изобретение относится к способу получения N-(5-хлорсалицилоил)-8-аминокаприловой кислоты (5-CNAC) и ее соответствующего моногидрата динатриевой соли.

[2]

N-Замещенные салициламиды, полученные способом по настоящему изобретению, можно использовать в составе композиций для доставки активных агентов пероральным способом или другими способами введения в организм млекопитающих.

[3]

Предпосылки создания изобретения

[4]

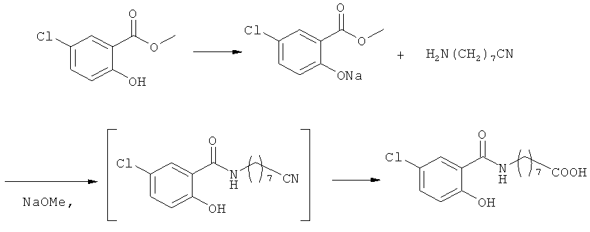
Способы получения N-замещенных салициламидов известны, например показаны на схеме 1.

[5]

[6]

Олигосалицилат получают из соответствующей салициловой кислоты после обработки уксусным ангидридом. Конденсацию аминокислоты проводят в присутствии основания, предпочтительно карбоната калия, в пригодном растворителе (например, диоксане). Выход обычно составляет приблизительно 50%.

[7]

Типичным соединением, синтезированным способом, указанным в уровне техники, является 5-CNAC, который обычно используется в качестве системы доставки терапевтических агентов и в составе фармацевтических композиций.

[8]

Краткое изложение сущности изобретения

[9]

В настоящем изобретении, наряду с прочим, предлагается способ получения N-замещенных салициламидов, согласно которому салициловая кислота или салициловая кислота, в которой карбоксигруппа модифицирована, например, в виде сложного эфира или в виде производного, включающего пептидный конденсирующий агент (используемый в пептидном синтезе), в каждом случае с незащищенной фенольной гидроксигруппой, взаимодействует с амином в основной среде, т.е. в условиях, при которых фенольная гидроксгруппа по меньшей мере частично депротонируется, в протонном растворителе, например ДМФА (диметилформамиде). Карбоксигруппа в исходной салициловой кислоте обычно этерифицирована или модифицирована другим способом, например активирована.

[10]

Кроме того, в изобретении предлагается способ получения соли N-замещенного салициламида, в которой N-замещенный салициламид взаимодействует с основанием, например с основанием щелочного металла, например салициламид взаимодействует с основанием в водном растворе, содержащем катион щелочного (или другого) металла. Обычно водный раствор представляет собой смесь ацетон/вода.

[11]

Настоящее изобретение прежде всего относится к способу получения N-(5-хлорсалицилоил)-8-аминокаприловой кислоты (5-CNAC) и ее солей, прежде всего соответствующего моногидрата динатриевой соли. Способ включает взаимодействие метилового эфира 5-хлорсалициловой кислоты с аминооктановой кислотой (или ее производным, например аминооктаннитрилом) в основной среде в апротонном растворителе, например диметилформамиде. Основную среду получают при предварительном взаимодействии метилового эфира 5-хлорсалициловой кислоты с основанием, таким, например, как алкоголят, например NaOMe, или за счет добавления основания в реакционную смесь. Моногидрат динатриевой соли получают по реакции 5-CNAC с NaOH в смеси ацетон/вода.

[12]

N-Замещенные салициламиды, прежде всего 5-CNAC, полученные способом по настоящему изобретению, можно использовать в составе композиций для доставки активных агентов пероральным способом или другими способами введения в организм млекопитающих. Следовательно, способ, кроме того, включает добавление салициламида в виде свободной кислоты, сложного эфира или соли в состав фармацевтической композиции, содержащей также активный агент. Обычно композиция содержит фармацевтически приемлемый разбавитель или эксципиент, а также активный агент.

[13]

Подробное описание предпочтительных вариантов осуществления изобретения

[14]

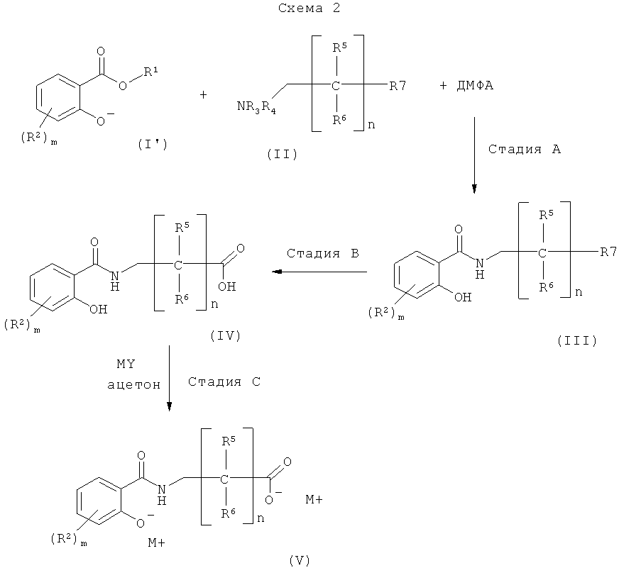
Настоящее изобретение относится к вариантам способа получения N-замещенных салициламидов или их производных и их солей из соответствующего незащищенного сложного эфира салициловой кислоты, как показано на схеме 2. Фенольная гидроксигруппа является незамещенной. Карбоксигруппа присутствует в свободной форме, но обычно ее модифицируют, например, эетрифицируют или активируют, как показано на схеме 2.

[15]

[16]

где М означает щелочной металл

[17]

Соединения формулы (I') получают депротонированием соединений формулы (I), указанных ниже, при реакции с основанием. Основание представляет собой алкоголят, например алкоголят щелочного металла, такой, например, как алкоксид. Соединения формулы (I') можно получать до проведения стадии А или in situ во время стадии А за счет добавления основания в состав реакционной смеси салицилат/аминокислота/ДМФА.

[18]

Следовательно, источником соединений формулы (I') является предварительно полученная соль, например, если основанием является алкоголят щелочного металла, то соединение формулы (I') находится в форме соли щелочного металла; например, если используется NaOMe, то соединение формулы (I') присутствует, полностью или частично, в форме натриевой соли. В другой группе соединения формулы (I') присутствуют в форме других солей, таких как аммонийная соль. Стадия депротонирования показана на схеме 4.

[19]

[20]

Стадия В означает одностадийную реакцию, включающую кислотную обработку соединения, в котором R7 означает карбоксильную группу. В других случаях группу R7 можно превратить в карбоксильную группу, например, гидролизом нитрилгруппы; в этом случае стадия В включает модификацию и при необходимости последующую обработку с образованием кислоты. Таким образом, варианты синтеза показаны на схеме 3.

[21]

[22]

Вариант В1 иллюстрирует группу реакций, по которым из соединения (III) можно получить соединение (IV) при обработке кислотой, аналогично обработке соединения, где R7 означает карбоксильные группы в форме соли.

[23]

Вариант В2 иллюстрирует группу реакций, по которым R7 превращают в карбоксильную группу гидролизом основанием, как описано, например, для нитрильной группы. После гидролиза основание взаимодействует с кислотой и карбоксильная группа превращается в диссоциированную форму.

[24]

Хотя стадии А, В и С проводят последовательно, их можно проводить независимо друг от друга, прежде всего стадию С.

[25]

Символы, приведенные на вышеуказанных схемах, имеют следующие значения:

[26]

n равно 1-8, предпочтительно п равно 6,

[27]

m равно 1-4, предпочтительно m равно 1,

[28]

R1 означает группу, образующую сложный эфир, например C16алкил с прямой или разветвленной цепью, галоген или другую карбокси-активирующую группу, такую, например, как гидроксисукцинамидил, гидроксисукцинимидил или пентафторфенил или любой конденсирующий реагент, используемый для образования пептидной связи, такой, например, как карбонилдиимидазол, дициклогексилкарбодиимид, ангидрид фосфорной кислоты, а

[29]

любой или каждый R2 независимо выбирают из группы, включающей -ОН, NR3R4, галоген, С14 алкил, галоген(С14)алкил, С14 алкокси, С24 алкенил, и

[30]

любой или каждый R5 и каждый R6 независимо выбирают из группы, включающей водород, -ОН, NR3R4, галоген, С14 алкил, С14 алкокси, С24 алкенил, причем каждый R5 и каждый R6 необязательно идентичны, а

[31]

R3 и R4 каждый независимо выбирают из группы, включающей водород, -ОН, С14 алкил, галоген(С14)алкил, С14 алкокси, С2-C4 алкенил.

[32]

Галоген, предпочтительно группу R2, независимо выбирают из группы, включающей хлор, фтор, бром и йод. Наиболее предпочтительно R2 означает хлор.

[33]

В предпочтительном варианте каждый R5 и каждый R6 означает водород.

[34]

Предпочтительно R1 означает С14 алкил, прежде всего C12 алкил, в типичном варианте изобретения R означает метил.

[35]

Наиболее предпочтительно NR3R4 означает NH2.

[36]

Наиболее предпочтительно m равно 1, a R2 означает С1. Наиболее предпочтительно R2 расположен в положении 5.

[37]

R7 означает карбоксигруппу (-СООН) или группу, которая легко превращается в карбоксигруппу, например амид или нитрил. Предпочтительно R7 означает защищенную карбоксигруппу или ее эквивалент, т.е. группу, которая практически инертна в условиях реакции групп -NR3R4 на стадии А, но затем ее превращают в карбоксильную группу (-СООН). Предпочтительно R7 означает нитрил.

[38]

Если R7 означает нитрил, то стадия В предпочтительно означает стадию В2. Если R7 означает карбоксигруппу, то стадия В предпочтительно означает стадию В1.

[39]

М означает щелочной металл, например К или Li. Наиболее предпочтительно щелочной металл М означает Na (и, следовательно, М+ означает Na+). Y означает основный противоион, например карбонат или гидроксид. Более предпочтительно MY означает NaOH.

[40]

В соединениях (I), (III) и (IV) фенольная гидроксигруппа присутствует в форме соли, например натриевой соли.

[41]

Соединения формул (IV) или (V) могут содержать следы ДМФА. Предпочтительно соединения содержат менее 1% ДМФА, например менее 0,1%, более предпочтительно менее 0,05% ДМФА. Количество присутствующего ДМФА определяют в свободном объеме над продуктом методом газовой хроматографии.

[42]

Соединения формулы (V) образуют гидраты, например моно-, ди-, три-, тетра-, пента- или гексагидраты. Прежде всего соединения формулы V являются моногидратами.

[43]

[44]

Более предпочтительны соединения формулы (IV) следующей структуры:

[45]

[46]

Наиболее предпочтительны соединения формулы (V)

[47]

[48]

Изобретение включает получение ангидридов, а также превращение кислоты (IV) или соли (V) в другие сольваты, другие соли и/или сложный эфир или другие пролекарственные формы.

[49]

Способ по настоящему изобретению проводят в следующих типичных условиях.

[50]

Стадия А

[51]

Стадия включает взаимодействие соединений I и II в основных условиях в ДМФА. Основные условия, которые обеспечивают по меньшей мере необходимое соотношение групп ОН и О-, образуются при предварительном взаимодействии соединения формулы (I) с сильным основанием (например, NaOMe или другим алкоголятом) или за счет добавления в реакционную смесь сильного основания. Обычно реакцию проводят при повышенной температуре, например, по меньшей мере при 90°С и часто при температуре не выше 125°С (например, при температуре от 95°С до 110°С), обычно при перемешивании смеси. Обычно реакцию проводят в течение приблизительно 6-12 ч.

[52]

Стадия В

[53]

Вариант В1

[54]

Если продукт, полученный на стадии А, представляет собой соль, то его обрабатывают кислотой, например, по следующей методике: при температуре, например, от приблизительно 30°С до приблизительно 55°С, например от 40°С до 50°С, продукт обрабатывают кислотой, например соляной кислотой (25-50 мас.%, например 30-40 мас.%). Полученную кислоту выделяют. Если полученный продукт образует суспензию, смесь охлаждают, например, до приблизительно 5-0°С и твердое вещество отделяют, например, фильтрованием. Если полученный продукт находится в растворе (или частично находится в растворе), то его экстрагируют, например, этилацетатом и растворитель выпаривают досуха. Продукт (IV) можно перекристаллизовать, например, из горячего этанола/воды.

[55]

Вариант В2

[56]

Если R7 в соединении (II) не означает карбоксигруппу, то после стадии А следует стадия превращения R7 в карбоксигруппу. Например, нитрил вводят в реакцию с основанием, например NaOH. В некоторых случаях нитрил и NaOH или другое сильное основание, например, в водном растворе кипятят с обратным холодильником, обычно в течение 3 ч, с образованием соответствующей натриевой соли карбоновой кислоты. После модификации нитрильной группы раствор обрабатывают сильной кислотой, например конц. серной кислотой при температуре, например, от приблизительно 30°С до приблизительно 55°С, например от 40°С до 50°С. Затем продукт выделяют, например экстрагируют органическим растворителем, например алкиловым эфиром, например этилацетатом. Затем растворитель выпаривают досуха и продукт (IV) прекристаллизовывают, например, из горячего этанола/воды.

[57]

Стадия С

[58]

Стадия С соответствует критерию изобретательский уровень. Соединение (IV), ацетон и воду смешивают. Соотношение ацетон/вода может составлять приблизительно от 5:1 (об./об.) до приблизительно 15:1 (об./об.), например приблизительно от 10:1 до 11:1. Основание добавляют в смесь обычно при слегка повышенной температуре, например приблизительно от 40°С до 60°С, например от 45°С до 55°С. Кроме того, ацетон можно добавлять, например, в виде смеси ацетон/вода (например, при соотношении от 2:1 (об./об.) до 4:1 (об./об.), таком как 3:1 (об./об.)), обычно при слегка повышенной температуре (например, 45°С-55°С). Затем соль выделяют, например, по следующей методике. Если температура превышает 50°С, ее понижают до 50°С или менее (например, до температуры от 40°С до 50°С, такой как от 45°С до 48°С) и в качестве затравки для инициации кристаллизации добавляют кристаллы конечного продукта. Затем температуру снижают (например, до 0°С-5°С) для завершения кристаллизации, а затем выделяют кристаллический продукт. Кристаллизацию проводят при постоянном перемешивании. Кристаллы высушивают в вакууме (50-60 мбар) при 50-55°С в течение по меньшей мере 24 ч.

[59]

Способы по настоящему изобретению проводят в присутствии сильного основания, например гидроксидов, гидридов, амидов, алкоголятов, фенолятов, ацетатов, карбонатов, диалкиламидов или алкилсилиламидов щелочных или щелочно-земельных металлов, алкиламинов, алкилендиаминов, необязательно N-алкилированных, необязательно ненасыщенных циклоалкиламинов, основных гетероциклов, гидроксидов аммония, а также карбоциклических аминов.

[60]

Алкилы щелочных металлов выбирают из группы, включающей, например, метиллитий, н-бутиллитий или трет-бутиллитий, необязательно активированных тетраметилэтилендиамином (TMEDA).

[61]

Гидриды щелочных металлов выбирают из группы, включающей, например, гидрид натрия и гидрид кальция.

[62]

Амиды щелочных металлов выбирают, например, из группы, включающей амид лития или дизопропиламид лития (LDA), диэтиламид лития, изопропилциклогексиламид лития или бис(триметилсилил)амид лития.

[63]

Алкоголяты щелочных металлов выбирают из группы, включающей, например, алкоголяты первичных, вторичных или третичных алифатических спиртов, содержащих от 1 до 10 атомов углерода, например метилата натрия, калия или лития, этилата натрия, калия или лития, н-пропилата натрия, калия или лития, изопропилата натрия, калия или лития, н-бутилата натрия, калия или лития, втор-бутилата натрия, калия или лития, трет-бутилата натрия, калия или лития, 2-метил-2-бутилата натрия, калия или лития, 2-метил-2-пентилата натрия, калия или лития, 3-метил-3-пентилата натрия, калия или лития или 3-этил-3-пентилата натрия, калия или лития.

[64]

Феноляты щелочных металлов выбирают из группы, включающей, например, замещенные орто-алкилфеноляты щелочных металлов, феноляты щелочных металлов, например орто-крезолята натрия или калия.

[65]

Органические амины выбирают из группы, включающей, например, 2,4,6-триметилпиридин, 2-трет-бутил-1,1,3,3-тетраметилгуанидин, 1,8-диазабицикло[5.4.0]ундец-7-ен (DBU), 2,3,4,6,7,8,9,10-октагидропиримидо[1,2-а]азепин, 1,5-диазабицикло[4.3.0]нон-5-ен (DBN), диазабициклооктан (DABCO), 1,4-диазабицикло(2.2.2)октан (TED), N,N-дициклогексилметиламин, N,N-диэтиланилин, N,N-диизопропил-2-этилбутиламин, N,N-диизопропилметиламин, N,N-диизопропил-3-пентиламин, N,N-диметиламинилин, 2,6-ди-трет-бутил-4-метилпиридин, N,N-диизопропилэтиламин, 2,6-диметилпиридин, 7-метил-1,5,7-триазабицикло(4.4.0)дец-5-ен (MTBD), 3,3,6,9,9-пентаметил-2,10-диазабицикло(4.4.0)дец-1-ен (PMDBD), 1,2,2,6,6-пентаметилпиперидин (РМР), триэтиламин, 1,1,3,3-тетраметилгуанидин (TMG); N,N,N',N'-тетраметил-1,8-нафталиндиамин, 2,2,6,6-тетраметилпиперидин (ТМР), 1,5,7-триазабицикло(4.4.0)дец-5-ен, 1,3,4,6,7,8-гексагидро-2Н-пиримидо[1,2-а]пиримидин (TBD), трибутиламин, 2,4,6-три-трет-бутилпиридин, трис(триметилсилил)амин и гидроксиды алкиламмония.

[66]

Однако можно также использовать смесь вышеуказанных оснований.

[67]

Примерами таких оснований являются гидроксид, гидрид, амид, метанолят, ацетат, карбонат натрия, трет-бутанолят, гидроксид, карбонат, гидрид калия, диизопропиламид лития, бис(триметилсилил)амид калия, гидрид кальция, триэтиламин, диизопропилэтиламин, триэтилендиамин, циклогексиламин, N-циклогексил-N,N-диметиламин, N,N-диэтиланилин, пиридин, 4-(N,N-диметиламино)пиридин, хинуклидин, N-метилморфолин, гидроксид бензилтриметиламмония, а также 1,5-диазабицикло[5.4.0]ундец-5-ен (DBU).

[68]

В способах по настоящему изобретению предпочтительными основаниями являются алкоголяты щелочных металлов, щелочной металл предпочтительно означает натрий или калий, а алкоголят предпочтительно получают из первичного спирта. Таким образом, предпочтительными сильными основаниями являются, например, метилат, этилат или н-пропилат натрия или калия. Алкоголяты щелочных металлов можно также получать in situ по реакции соответствующего спирта с щелочным металлом. Более предпочтительным алкоголятом является метилат натрия.

[69]

Апротонные растворители, пригодные для применения по настоящему изобретению, могут включать, без ограничения перечисленным, натрилы и нитросоединения (например, ацетонитрил, бензонитрил, нитрометан), амиды и циклические амиды (например, N,N-диметилформамид, N-метилформамид, N,N-диэтилформамид, N-этилформамид, N,N-диметилацетамид, N-метил-2-пирролидон, гексаметилфосфорамид), сложные эфиры, циклические эфиры и простые эфиры (например, тетрагидрофуран, пропиленкарбонат, этиленкарбонат, γ-бутиролактон, этилацетат, диметиловый эфир), оксиды и сульфосоединения (например, диметилсульфоксид, ацетон, сульфолан, диметилсульфон).

[70]

Предпочтительно апротонный растворитель представляет собой амид, выбранный из группы, включающей N,N-диметилформамид, N-метилформамид, N,N-диэтилформамид, N-этилформамид, N,N-диметилацетамид. Наиболее предпочтительно растворитель означает N,N-диметилформамид.

[71]

Любые продукты, полученные способом по изобретению, т.е. любые продукты формулы III, IV или V, могут содержать следы ДМФА, например менее 1% ДМФА. Предпочтительно соединения содержат менее 1000 част./млн ДМФА, например менее 500 част./млн ДМФА.

[72]

Новый способ обладает преимуществом по сравнению со способом, описанным в предшествующем уровне техники благодаря простому способу получения и высокому выходу полученной салицилоиламинокислоты (обычно >90%).

[73]

Вторым объектом настоящего изобретения является применение N-замещенных салициламидов и их производных, прежде всего 5-CNAC, их соответствующих солей, прежде всего моногидрата динатриевой соли, полученных способом по настоящему изобретению, для доставки активных агентов, таких как биологически или химически активные агенты, в ткани-мишени.

[74]

Третьим объектом настоящего изобретения являются фармацевтические композиции N-замещенных салициламидов и их производных и их солей, полученных способом по настоящему изобретению. Настоящее изобретение прежде всего относится к фармацевтическим композициям, включающим 5-CNAC, полученную способом по настоящему изобретению.

[75]

Четвертым объектом настоящего изобретения является фармацевтический препарат, содержащий N-замещенные салициламиды и их производные и соли, полученные способом по настоящему изобретению. Настоящее изобретение прежде всего относится к фармацевтическим препаратам, содержащим 5-CNAC, полученную способом по настоящему изобретению.

[76]

Пятым объектом настоящего изобретения является способ превращения кислоты формулы (IV) в ее основно-аддитивную соль, включающий смешивание кислоты и основания в ацетоне/воде, что создает условия для выпадения соли в осадок.

[77]

Изобретение включает способы получения из соединения формулы (IV) или соединения формулы (V) фармацевтического препарата, содержащего по меньшей мере один активный ингредиент.

[78]

В описании заявки и в пунктах формулы изобретения термины "включает" и "содержит" и их варианты, например "включающий" и "включают", означают "включающий, без ограничения перечисленным", и не означают исключение других фрагментов, добавок, компонентов, целых чисел или стадий.

[79]

Настоящее изобретение иллюстрируется синтезом 5-CNAC (VI). Однако подразумевается, что приведенные примеры не ограничивают объем изобретения, которое включает N-замещенные салициламиды общей формулы IV. Примеры синтеза 5-CNAC представляют собой только предпочтительный вариант осуществления настоящего изобретения.

[80]

Пример 1

[81]

Получение N-5-(хлорсалицилоил)-8-аминокаприловой кислоты из аминоокстаннитрила

[82]

[83]

В круглодонную колбу, снабженную магнитной мешалкой, в атмосфере азота помещали натриевую соль метилового эфира 5-хлорсалициловой кислоты (20,8 г, 100 ммолей), полученную при взаимодействии метилового эфира 5-хлорсалициловой кислоты и метилата натрия в толуоле, 8-аминооктаннитрил (14,8 г, 105 ммолей) и диметилформамид (150 мл). Раствор нагревали до 100-110°С и перемешивали в течение ночи. На следующее утро было установлено, что в смеси присутствует менее 1,5% исходного материала. Прозрачный раствор светло-коричневого цвета концентрировали досуха (на роторном испарителе), при этом получали воскообразное твердое вещество (44,4 г). Полученный продукт обрабатывали гидроксидом натрия (20 г в 180 мл воды) и перемешивали при кипячении с обратным холодильником в течение приблизительно 3 ч, после чего было установлено, что в смеси отсутствует промежуточный нитрил. Затем в раствор при 50°С добавляли приблизительно 20 г конц. серной кислоты, этилацетат (150 мл) и эмульсию подкисляли добавлением еще 33 г серной кислоты (до рН 1,7). Водную фазу удаляли, органическую фазу дважды порциями по 50 мл промывали водой. Затем органическую фазу концентрировали досуха (на роторном испарителе). Полученное твердое вещество (42 г) растворяли в горячем этаноле/воде (112 мл 95% этанола и 168 мл воды). В прозрачный раствор при 65°С добавляли 56 мл воды, индуцируя кристаллизацию требуемого продукта. Затем суспензию охлаждали до 0°С и перемешивали в течение 1 ч. Наконец, твердое вещество отделяли фильтрованием и высушивали в вакууме, при этом получали указанное очищенное соединение (26,4 г, 85% от теор.).

[84]

Пример 2

[85]

Получение N-(5-хлорсалицилоил)-аминокаприловой кислоты из аминооктановой кислоты

[86]

[87]

В круглодонную колбу, снабженную магнитной мешалкой, в атмосфере азота помещали метиловый эфир 5-хлорсалициловой кислоты (18,7 г, 100 ммолей), 8-аминооктановую кислоту (15,2 г, 95 ммолей) и диметилформамид (60 мл). В суспензию добавляли раствор метилата натрия (35,1 г, 30 мас.%) и суспензию нагревали до 95-100°С, выпаривая метанол. После перемешивания в течение 24 ч результаты анализа свидетельствовали о конверсии на 98%. В смесь добавляли воду (160 мл), а затем при 40°С добавляли по каплям соляную кислоту (22 мл, 37 мас.%) до рН 2,2. Полученную суспензию охлаждали до 0°С и твердое вещество отделяли фильтрованием и высушивали, при этом получали указанное соединение (28 г, 88% от теор.).

[88]

Пример 3

[89]

Получение моногидрата динатриевой соли М-5-(хлорсалицилоил)-8-аминокаприловой кислоты

[90]

[91]

В реактор объемом 50 л в атмосфере азота помещали N-5-(хлорсалицилоил)-8-аминокаприловую кислоту (3,5 кг, 11,15 моля), ацетон (9450 мл) и воду (875 мл, очищенную) и смесь перемешивали при 45-55°С (температура в рубашке 60°С) до образования прозрачного раствора (20-30 мин). Затем добавляли гидроксид натрия (297 г, 30 мас.%, 22,3 моля), поддерживая температуру 45-55°С, а затем ацетон/воду (3:1, об./об., 1050 мл). Горячий раствор (50°С) пропускали через осветляющий фильтр, фильтрат переносили в другой чистый реактор и нагревали до 45-55°С. Соединительную линию промывали горячим (45-55°С) ацетоном/водой (3:1 об./об., 1050 мл), а затем добавляли ацетон (приблизительно 10,5 л), поддерживая температуру приблизительно 45-55°С (температура в рубашке 55°С). Затем температуру снижали до 45-48°С и добавляли в качестве затравки кристаллы конечного продукта (4 г). Смесь перемешивали в течение приблизительно 20-30 мин до образования тонкой суспензии и начала кристаллизации, затем в течение 1 ч добавляли вторую порцию ацетона (28 л), поддерживая температуру 45-50°С (температура в рубашке 55°С). Смесь медленно перемешивали при 45-50°С в течение 1 ч и температуру понижали до 0-5°С в течение 2 ч. Перемешивание при 0-5°С продолжали в течение 1 ч, кристаллы отделяли центрифугированием, промывали охлажденным ацетоном/водой (95:5, об./об., 7 л) и высушивали в вакууме (50-60 мбар) при 50-55°С в течение по меньшей мере 24 ч, при этом получали 4,19 кг моногидрата динатриевой соли 5-CNAC (выход 95%).

Как компенсировать расходы
на инновационную разработку
Похожие патенты