патент
№ RU 2392279
МПК A61K31/519

ПРОИЗВОДНЫЕ ПИРИМИДОБЕНЗИМИДАЗОЛА И ИХ ПРИМЕНЕНИЕ В КАЧЕСТВЕ АГОНИСТОВ ИЛИ АНТАГОНИСТОВ РЕЦЕПТОРОВ МЕЛАНОКОРТИНОВ

Авторы:
БРО Валери (FR) ПЛА Паскаль (FR) ПУАТУ Лиди (FR)
Все (5)
Номер заявки
2007102574/04
Дата подачи заявки
22.06.2005
Опубликовано
20.06.2010
Страна
RU
Дата приоритета
18.12.2025
Номер приоритета
Страна приоритета
Как управлять
интеллектуальной собственностью
Реферат

Изобретение относится к новым соединениям, которые обладают сродством к рецепторам МС4, общей формулы (I): ! в которой А означает -СН2- или -С(O)-; R1 означает (C1-C8)алкил; R2 означает (C1-C8)алкил; R3 означает радикал формулы -(CH2)s-R'3; R'3 означает 5-6-членный гетероциклоалкил, содержащий один-два атома азота и возможно атом кислорода, возможно замещенный (С1-С6)алкилом или бензилом; или радикал формулы -NW3W'3; W3 означает атом водорода или (С1-С8)алкил; W'3 означает радикал формулы -(CH2)s'-Z3; Z3 означает атом водорода; (C1-C8)алкил; причем s и s', независимо, означают целое число от 0 до 6; В означает 5-6-ти членный моноциклический ненасыщенный, ароматический или неароматический радикал, который может быть конденсирован с 5-6-ти членным моноциклическим ненасыщенным, ароматическим или неароматическим радикалом, с образованием бициклической конденсированной системы, возможно содержащий один или несколько, одинаковых или разных, гетероатомов, выбираемых из О, S и N, и возможно замещенный одним или несколькими, одинаковыми или разными, радикалами, выбираемыми из атома галогена, нитрогруппы, цианогруппы, оксигруппы, -XB-YB и фенила, возможно замещенного одним заместителем, выбираемым из атома галогена и (С1-С6)алкила; ХB означает ковалентную связь, -O-, -S-, -С(O)-, -С(O)-O-; YB означает (С1-С6)алкил; или фармацевтически приемлемой соли этих соединений. Изобретение также относится к способу получения и применению соединений для получения лекарственного средства для лечения нарушений, связанных с активацией рецептора МС4. 3 н. и 17 з. п. ф-лы, 2 табл.

Формула изобретения

1. Соединения общей формулы (I):

в которой А означает -CH2- или -С(O)-;
R1 означает (C1-C8)алкил;
R2 означает (С18)алкил;
R3 означает радикал формулы -(CH2)s-R'3;
R'3 означает 5-6-членный гетероциклоалкил, содержащий один-два атома азота и возможно атом кислорода, возможно замещенный (С16)алкилом или бензилом; или радикал формулы -NW3W'3;
W3 означает атом водорода или (C1-C8)алкил;
W'3 означает радикал формулы -(CH2)s'-Z3;
Z3 означает атом водорода; (С18)алкил;
причем s и s', независимо, означают целое число от 0 до 6;
В означает 5-6-членный моноциклический ненасыщенный, ароматический или неароматический радикал, который может быть конденсирован с 5-6-членным моноциклическим ненасыщенным, ароматическим или неароматическим радикалом, с образованием бициклической конденсированной системы, возможно содержащий один или несколько, одинаковых или разных, гетероатомов, выбираемых из О, S и N, и возможно замещенный одним или несколькими, одинаковыми или разными, радикалами, выбираемыми из атома галогена, нитрогруппы, цианогруппы, оксигруппы, -XB-YB и фенила, возможно замещенного одним заместителем, выбираемым из атома галогена и (С16)алкила;
ХB означает ковалентную связь, -O-, -S-, -С(O)-, -С(O)-O-;
YB означает (С16)алкил;
или фармацевтически приемлемая соль этих соединений.

2. Соединения по п.1, отличающиеся тем, что А означает -С(O)-; или фармацевтически приемлемая соль этих соединений.

3. Соединения по п.1, отличающиеся тем, что R1 и R2, независимо, означают (C18)алкил; или фармацевтически приемлемая соль этих соединений.

4. Соединения по п.3, отличающиеся тем, что R1 и R2, независимо, означают (C16)алкил; или фармацевтически приемлемая соль этих соединений.

5. Соединения по п.4, отличающиеся тем, что R1 и R3, независимо, означают бутил, пентил или изопропил; или фармацевтически приемлемая соль этих соединений.

6. Соединения по п.1, отличающиеся тем, что R'3 означает 5-6-членный гетероциклоалкил, содержащий по меньшей мере один-два атома азота, возможно содержащий атом О, и возможно замещенный (С16)алкилом или бензилом; или радикал формулы -NW3W'3, в которой W3 означает атом водорода или (С18)алкил, и W'3 означает радикал Z3 и Z3 означает атом водорода или (С18)алкил; или фармацевтически приемлемая соль этих соединений.

7. Соединения по п.1, отличающиеся тем, что В означает радикал, выбираемый из фенила, тиенила, пирролила, пиразолила, пиридила, пиримидила, пиразинила, бензотиенила, тиенопиридинила, тиенопиразинила, индолила, бензофурила, циклопентенила, циклогексенила, 1,2,3,6-тетрагидропиридинила, 1,2,3,4-тетрагидропиримидинила, 4,5,6,7-тетрагидротиено[2,3-с]пиридинила, тетрагидробензотиенила и дигидроциклопентатиенила.

8. Соединения по п.7, отличающиеся тем, что В возможно замещен одним или несколькими, одинаковыми или разными, радикалами, выбираемыми из атома галогена, нитрогруппы, цианогруппы, оксигруппы, -XB-YB и фенила, возможно замещенного одним или несколькими заместителями, выбираемыми из атома галогена и (С16)алкила,
ХB означает ковалентную связь, -O-, -S-, -С(O)- или -С(O)-O-;
YB означает (С16)алкил;
или фармацевтически приемлемая соль этих соединений.

9. Соединения по п.1, отличающиеся тем, что В означает радикал, выбираемый из фенила, фурила, тиенила, пирролила, пиразолила, пиридила, тиазолила, пиразинила, бензотиенила, тиенопиридинила, тиенопиразинила, индолила, бензофурила, циклогексенила, 1,2,3,6-тетрагидропиридинила, тетрагидробензотиенила и дигидроциклопентатиенила.

10. Соединения по п.9, отличающиеся тем, что В возможно замещен одним или несколькими, одинаковыми или разными, радикалами, выбираемыми из атома галогена, нитрогруппы, цианогруппы, -XB-YB и фенила, возможно замещенного одним или несколькими заместителями, выбираемыми из атома галогена и (С16)алкила;
ХB означает ковалентную связь, -O-, -S-, -С(O)- или -С(O)-O-;
YB означает (С16)алкил;
или фармацевтически приемлемая соль этих соединений.

11. Соединения по п.1, отличающиеся тем, что В означает радикал, выбираемый из фенила, фурила, тиенила, пирролила, пиразолила, пиридила, пиразинила, бензотиенила, тиенопиридинила, индолила, бензофурила, циклогексенила, 1,2,3,6-тетрагидропиридинила, тетрагидробензотиенила и дигидроциклопентатиенила.

12. Соединения по п.11, отличающиеся тем, что В возможно замещен одним или несколькими, одинаковыми или разными, радикалами, выбираемыми из атома галогена, нитрогруппы и -XB-YB;
ХB означает ковалентную связь, -O-, -С(O)- или -С(O)-O-;
YB означает (С16)алкил;
или фармацевтически приемлемая соль этих соединений.

13. Соединения по п.12, отличающиеся тем, что В возможно замещен одним или несколькими, одинаковыми или разными, радикалами, выбираемыми из атома галогена, нитрогруппы или -XB-YB; ХB означает ковалентную связь или -О- и YB означает (C16)алкил;
или фармацевтически приемлемая соль этих соединений.

14. Соединения по п.1, отличающиеся тем, что R'3 означает 5-6-членный гетероциклоалкил, содержащий по меньшей мере один или два атома азота и возможно атом кислорода, возможно замещенный (С16)алкилом; или фармацевтически приемлемая соль этих соединений.

15. Соединения по п.14, отличающиеся тем, что R'3 означает пиперидинил или пирролидинил; или фармацевтически приемлемая соль этих соединений.

16. Соединения по п.1, отличающиеся тем, что R'3 означает 5-6-членный гетероциклоалкил, содержащий один атом азота и возможно атом кислорода; или радикал формулы -NW3W'3, в которой W3 означает атом водорода или (С16)алкил, W'3 означает радикал Z3 и Z3 означает атом водорода или (С16)алкил; или фармацевтически приемлемая соль этих соединений.

17. Соединения по п.16, отличающиеся тем, что R'3 означает пиперидинил или пирролидинил и s означает целое число от 2 до 4;
или фармацевтически приемлемая соль этих соединений.

18. Соединения по п.1, отличающиеся тем, что В означает радикал, выбираемый из фенила, тиенила, пирролила, пиразолила, пиридила, бензотиенила, тиенопиридинила, тиенопиразинила, индолила, бензофурила, циклогексенила, 4,5,6,7-тетрагидротиено[2,3-с]пиридинила и дигидроциклопентатиенила.

19. Способ получения соединения формулы (I) по любому из пп.1-18, отличающийся тем, что соединение общей формулы:

в которой A, R1, R2, R3 имеют вышеуказанное значение, обрабатывают ортоэфиром изотиоциановой кислоты общей формулы

в которой Р означает защитную группу такую, как метил, этил, трет-бутил, и В имеет вышеуказанное значение, в присутствии связывающего агента такого, как карбодиимид, в присутствии основания, или желтого оксида ртути-(II) в присутствии серы, в протонном или апротонном растворителе.

20. Применение соединения по любому из пп.1-18 для получения лекарственного средства для лечения нарушений, связанных с активацией рецептора МС4.

Описание

[1]

Объектом настоящей заявки являются новые производные пиримидобензимидазола. Эти продукты обладают хорошим сродством к некоторым подтипам рецепторов меланокортинов, в частности рецепторам МС4. Они представляют особенный интерес для лечения патологических состояний и заболеваний, в которых участвуют один или несколько рецепторов меланокортинов. Изобретение относится также к фармацевтическим композициям, содержащим вышеуказанные продукты, и их применению для получения лекарственного средства.

[2]

Меланокортины представляют собой группу пептидов, происходящих от одного и того же предшественника, проопиомеланокортина (РОМС), и которые структурно близки: адренокортикотропный гормон (АСТН), α-меланоцитстимулирующий гормон (α-MSH), β-MSH и γ-MSH (Eipper B.A. и Mains R.E., Endocr. Rev., 1, 1-27 (1980)). Меланокортины выполняют многочисленные физиологические функции. Они стимулируют синтез стероидов корой надпочечников и синтез эумеланина меланоцитами. Они регулируют прием пищи, энергетический метаболизм, половую функцию, регенерацию нейронов, кровяное давление и частоту сердечных сокращений, а также ощущение боли, обучение, внимание и память. Меланокортины также обладают противовоспалительными и антигипертермическими свойствами и контролируют секрецию некоторых эндокринных или экзокринных желез, таких как сальные железы, слезные железы, грудные железы, предстательная железа и поджелудочная железа (Wikberg J.E. и др., Pharmacol. Res., 42, 393-420 (2000); Abdel-Malek Z.A., Cell. Mol. Life. Sci., 58, 434-441 (2001)).

[3]

Воздействия меланокортинов опосредованы семейством специфических мембранных рецепторов с семью трансмембранными доменами, связанных с белками G. На сегодняшний день клонированы и охарактеризованы пять подтипов рецепторов, называемых МС1-МС5. Эти рецепторы различаются по их распределению в тканях и по сродству к различным меланокортинам, причем рецепторы МС2 распознают только АСТН. Стимуляция рецепторов меланокортинов активирует аденилатциклазу с продуцированием циклического аденозинмонофосфата (цАМФ). Если специфические функциональные роли каждого из рецепторов полностью не выяснены, лечение патологических нарушений или заболеваний может быть ассоциировано со сродством к некоторым подтипам рецепторов. Так, активация рецепторов МС1 ассоциируется с лечением воспалений, тогда как их блокирование ассоциируется с лечением раковых заболеваний кожи. Лечение нарушений питания ассоциируется с рецепторами МС3 и МС4, лечение ожирения - с агонистами и лечение кахексии и анорексии - с антагонистами. Другими показаниями, связанными с активацией рецепторов МС3 и МС4, являются расстройства половой активности, невропатические боли, страх, депрессия и токсикомании. Активация рецепторов МС5 ассоциируется с лечением акне и дерматозов.

[4]

Заявители обнаружили, что новые соединения общей формулы (I), описанные ниже, обладают хорошим сродством к рецепторам меланокортинов. Они предпочтительно воздействуют на рецепторы МС4. Вышеуказанные соединения, агонисты или антагонисты рецепторов меланокортинов, могут быть использованы для лечения патологических состояний или метаболических заболеваний, заболеваний центральной нервной системы или дерматологических заболеваний, в которых участвуют один или несколько рецепторов меланокортинов, таких как следующие примеры: воспалительные заболевания, нарушения энергетического гомеостаза, нарушения приема пищи, нарушения массы тела (ожирение, кахексия, анорексия), расстройства половой активности (нарушения эрекции), боль и, в особенности, невропатическая боль. Можно также назвать психические расстройства (страх, депрессия), токсикомании, заболевания кожи (акне, дерматозы, раковые заболевания кожи, меланомы). Эти соединения также могут быть использованы для стимуляции регенерации нервов.

[5]

Следовательно, объектом изобретения являются соединения общей формулы (I):

[6]

[7]

в рацемической форме, энантиомерной форме или любых комбинациях этих форм,

[8]

в которой

[9]

А означает -СН2- или -С(О)-;

[10]

R1 означает атом водорода; (С18)алкил, возможно замещенный гидроксилом или одним или несколькими, одинаковыми или разными, атомами галогена; (С26)алкенил; или радикал формулы -(СН2)n1;

[11]

R2означает (С18)алкил, возможно замещенный гидроксилом или одним или несколькими, одинаковыми или разными, атомами галогена; (С26)алкенил; или радикал формулы -(СН2)n1;

[12]

каждый Х1, независимо, означает (С16)алкоксил, (С37)циклоалкил, адамантил, гетероциклоалкил, арил или гетероарил, причем

[13]

37)циклоалкил, гетероциклоалкил, арил и гетероарил возможно замещены одним или несколькими, одинаковыми или разными, заместителями, выбираемыми из -(СН2)n'-V1-Y1, атома галогена, нитрогруппы, цианогруппы и арила;

[14]

V1означает -О-, -S- или ковалентную связь;

[15]

Y1означает (С16)алкил, возможно замещенный одним или несколькими, одинаковыми или разными, атомами галогена;

[16]

n означает целое число от 0 до 6 и не целое число от 0 до 2 (при условии, что когда n равно 0, тогда Х1 не означает алкоксил);

[17]

или R1 и R2 вместе с атомом азота, с которым они связаны, образуют

[18]

- гетеробициклоалкил или гетероциклоалкил, возможно замещенный одним или несколькими, одинаковыми или разными, заместителями, выбираемыми из гидроксила, (С16)алкила, возможно замещенного гидроксилом, (С16)алкоксикарбонила, гетероциклоалкила и -С(О)-NV1'Y1', где V1' и Y1', независимо, означают атом водорода или (С16)алкил; или

[19]

- радикал формулы

[20]

[21]

R3 означает радикал формулы -(СН2)s-R'3;

[22]

R'3 означает гуанидиногруппу; гетероциклоалкил, содержащий по меньшей мере один атом азота и возможно замещенный (С16)алкилом или аралкилом; гетероарил, содержащий по меньшей мере один атом азота и возможно замещенный (С16)алкилом; или радикал формулы -NW3W'3;

[23]

W3 означает атом водорода или (С18)алкил;

[24]

W'3 означает радикал формулы -(СН2)s'-Z3;

[25]

Z3 означает атом водорода; (С18)алкил, возможно замещенный одним или несколькими, одинаковыми или разными, заместителями, выбираемыми из (С16)алкоксила, (С16)алкилтиогруппы и гидроксила; (С26)алкенил; (С37)циклоалкил, возможно замещенный одним или несколькими, одинаковыми или разными, (С16)алкильными заместителями; циклогексен; гетероарил и арил, причем арил и гетероарил возможно замещены одним или несколькими, одинаковыми или разными, радикалами, выбираемыми из радикала формулы -(СН2)s”-V3-Y3, гидроксила, галогена, нитрогруппы и цианогруппы;

[26]

V3 означает -О-, -S-, -NH-C(O)-, -NV'3 или ковалентную связь;

[27]

Y3 означает атом водорода или (С16)алкил, возможно замещенный одним или несколькими, одинаковыми или разными, атомами галогена;

[28]

V3' означает атом водорода или (С16)алкил;

[29]

s” означает целое число от 0 до 4;

[30]

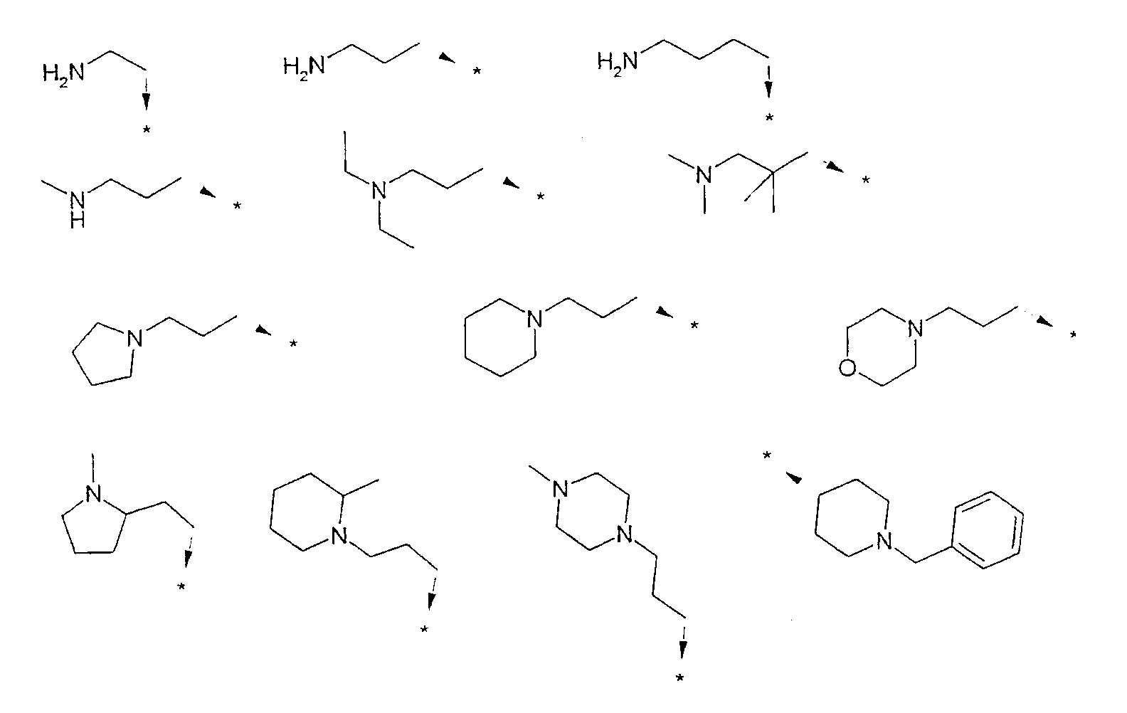
или

[31]

Z3 означает радикал формулы

[32]

[33]

причем s и s', независимо, означают целое число от 0 до 6;

[34]

В означает моно- или бициклический конденсированный, ненасыщенный, ароматический или неароматический радикал, возможно содержащий один или несколько, одинаковых или разных, гетероатомов, выбираемых из O, S и N, и возможно замещенный одним или несколькими, одинаковыми или разными, радикалами, выбираемыми из атома галогена, нитрогруппы, цианогруппы, оксигруппы, -ХВ-YB и арила, возможно замещенного одним или несколькими заместителями, выбираемыми из атома галогена и (С16)алкила, возможно замещенного одним или несколькими, одинаковыми или разными, атомами галогена;

[35]

ХВ означает ковалентную связь, -О-, -S-, -C(O)-, -NRN-C(O)-, -C(O)-NRN-, -C(O)-O-, -SO2- или -SO2NH-;

[36]

YB означает атом водорода или (С16)алкил, возможно замещенный одним или несколькими, одинаковыми или разными, атомами галогена;

[37]

RN означает атом водорода или (С16)алкил;

[38]

или фармацевтически приемлемая соль этих соединений.

[39]

В вышеуказанных определениях выражение «галоген» означает атом фтора, хлора, брома или иода, предпочтительно, атом хлора, фтора или брома. Выражение «алкил» (когда для него не дано более уточнения) означает, предпочтительно, линейный или разветвленный алкильный радикал с 1-6 атомами углерода, такой как метил, этил, пропил, изопропил, бутил, изобутил, втор-бутил и трет-бутил, пентил или амил, изопентил, неопентил, 2,2-диметилпропил, гексил, изогексил или 1,2,2-триметилпропил. Термин «(С18)алкил» означает линейный или разветвленный алкильный радикал с 1-8 атомами углерода, такой как радикалы с 1-6 атомами углерода, такие как указанные выше, но также гептил, октил, 1,1,2,2-тетраметилпропил, 1,1,3,3-тетраметилбутил. Под выражением «замещенный гидроксилом алкил» нужно понимать любую, линейную или разветвленную, алкильную цепь, содержащую фиксированный в определенном положении длины цепи гидроксильный радикал; так, для цепи, содержащей 3 атома углерода и гидроксильный радикал, можно указать в качестве примеров НО-(СН2)3-, СН3-СН(ОН)-СН2- и СН3-СН2-СН(ОН)-.

[40]

Под термином «алкенил», когда для него не дано более точного определения, понимают линейный или разветвленный алкильный радикал, включающий 2-6 атомов углерода и имеющий по меньшей мере одну ненасыщенность (двойную связь), такой как, например, винил, аллил, пропенил, бутенил или пентенил.

[41]

Термин «алкоксил» означает радикалы, в которых алкильным радикалом является такой как определенный выше, например метокси-, этокси-, пропилокси- или изопропилоксигруппа, однако также линейная, вторичная или третичная, бутоксигруппа, пентилоксигруппа. Термин «алкоксикарбонил» предпочтительно означает радикалы, в которых алкоксильным радикалом является такой как определенный выше, например, метоксикарбонил, этоксикарбонил. Термин «алкилтиогруппа» означает радикалы, в которых алкоксильным радикалом является определенный выше, например метилтиогруппа, этилтиогруппа. Термин «гуанидиногруппа» означает радикал -NHC(=NH)NH2.

[42]

Термин «(С37)циклоалкил» означает насыщенную моноциклическую углеродсодержащую систему, включающую 3-7 атомов углерода, и, предпочтительно, циклопропил, циклобутил, циклопентил, циклогексил или циклогептил. Выражение «гетероциклоалкил» означает насыщенную моноциклическую или бициклическую конденсированную систему, содержащую 2-9 атомов углерода и по меньшей мере один гетероатом. Этот радикал может содержать несколько, одинаковых или разных, гетероатомов. Предпочтительно, гетероатомы выбирают из кислорода, серы или азота. В качестве примера гетероциклоалкила можно назвать 5- или 6-членные циклы, содержащие по меньшей мере один атом азота, такие как пирролидин, имидазолидин, пиразолидин, изотиазолидин, тиазолидин, изоксазолидин, оксазолидин, пиперидин, пиперазин, морфолин; циклы с количеством членов в цикле более 6 и содержащие по меньшей мере один атом азота, такие как азепан (азациклогептан), азациклооктан, диазепан, декагидроизохинолин (или декагидрохинолин), однако также циклы, не содержащие атома азота, такие как тетрагидрофуран (тетрагидрофурил) или тетрагидротиофен (тетрагидротиенил).

[43]

Термин «гетеробициклоалкил» означает насыщенную неконденсированную углеводородную бициклическую систему, содержащую 5-8 атомов углерода и по меньшей мере один гетероатом, выбираемый из азота, кислорода и серы. В качестве примера гетеробициклоалкила можно назвать азабициклогептан и азабициклооктан, такие как 7-азабицикло[2,2,1]гептан, 2-азабицикло[2,2,2]-октан или 6-азабицикло[3,2,1]октан.

[44]

Термин «арил» означает ароматический радикал, образованный циклом или конденсированными циклами, например фенил, нафтил, флуоренил или антрил.

[45]

Выражение «гетероарил» означает ароматический радикал, образованный циклом или конденсированными циклами, по меньшей мере с одним циклом, содержащим один или несколько, одинаковых или разных, гетероатомов, выбираемых из атомов серы, азота или кислорода. В качестве примера гетероарильного радикала можно назвать радикалы, содержащие по меньшей мере один атом азота, такие как пирролил, имидазолил, пиразолил, изотиазолил, тиазолил, изоксазолил, оксазолил, оксадиазолил, триазолил, тиадиазолил, пиридил, пиразинил, пиримидил, пиридазинил, хинолил, изохинолил, хиноксалинил, индолил, бензоксадиазолил, карбазолил, феноксазинил, тиенопиридинил (тиено[2,3-b]пиридин, тиено[3,2-b]пиридин, тиено[2,3-с]пиридин, тиено[3,2-с]пиридин, тиено[3,4-b]пиридин, тиено[3,4-с]пиридин), тиенопиразинил (тиено[2,3-b]пиразин, тиено[3,4-b]пиразин), однако также радикалы, не содержащие атома азота, такие как тиенил, бензотиенил, фурил, бензофурил, дибензофурил, дигидробензофурил, дибензотиенил, тиоксантенил или пиранил.

[46]

Термин «аралкил (арилалкил)» предпочтительно означает радикалы, в которых арильный и алкильный радикалы имеют вышеуказанные значения, например бензил или фенетил.

[47]

Выражение «моно- или бициклический конденсированный, ненасыщенный, ароматический радикал» может быть проиллюстрировано либо арильным радикалом, таким как определенный выше, когда вышеуказанный ароматический радикал не содержит гетероатома, либо гетероарильным радикалом, таким как определенный выше, когда вышеуказанный ароматический радикал содержит по меньшей мере один гетероатом.

[48]

Выражение «моно- или бициклический конденсированный, ненасыщенный, неароматический и не содержащий никакого гетероатома радикал» может быть проиллюстрировано циклопентенилом или циклогексенилом.

[49]

Выражение «моно- или бициклический конденсированный, ненасыщенный, неароматический и содержащий по меньшей мере один гетероатом радикал» может быть проиллюстрировано гетероарильными радикалами, такими как определенные выше и в которых по меньшей мере одна двойная связь гидрирована. Так, в качестве примера можно назвать радикалы, ассоциированные со следующими циклами: дигидроиндолил, дигидротиофен (2,5-дигидротиофен, 2,3-дигидротиофен), тетрагидропиридин (2,3,4,5-тетрагидропиридин, 1,2,3,6-тетрагидропиридин, 1,2,3,4-тетрагидропиридин), тетрагидротиенопиридин (4,5,6,7-тетрагидротиено[3,2-b]пиридин, 4,5,6,7-тетрагидротиено[2,3-с]пиридин, 4,5,6,7-тетрагидротиено[3,2-с]пиридин), тетрагидропиримидин (2,3,4,5-тетрагидропиримидин, 1,2,3,4-тетрагидропиримидин, 1,4,5,6-тетрагидропиримидин), тетрагидробензотиофен (4,5,6,7-тетрагидро-1-бензотиофен), дигидроциклопентатиофен (5,6-дигидро-4Н-циклопента[b]тиофен), бензодиоксол, дигидробензодиоксин.

[50]

В настоящей заявке также радикал -(СН2)i- (i - целое число, которое может представлять собой n, n', s, s' и s”, такие как указанные выше) означает линейную или разветвленную углеводородную цепь с количеством атомов углерода i. Так, радикал -(СН2)3- может означать -СН2-СН2-СН2, однако также -СН(СН3)-СН2-, -СН2-СН(СН3)- или -С(СН3)2-.

[51]

Согласно настоящему изобретению также, когда радикал отвечает формуле -B-D-E с D, представляющим собой, например, -C(O)-NH-, это означает, что атом углерода -С(О)-NH- связан с В, а атом азота связан с Е.

[52]

Предпочтительно, изобретение относится к соединениям вышеприведенной формулы (I), отличающимся тем, что А означает -С(О)-; или фармацевтически приемлемой соли этих соединений.

[53]

Также, предпочтительно, изобретение относится к соединениям вышеприведенной формулы (I), отличающимся тем, что R1 и R2, независимо, означают (С18)алкил; или фармацевтически приемлемой соли этих соединений.

[54]

В высшей степени предпочтительно, изобретение относится к соединениям вышеприведенной формулы (I), отличающимся тем, что R1 и R2, независимо, означают (С18)алкил и, более предпочтительно, R1 и R2, независимо, означают бутил, пентил или изопентил; или фармацевтически приемлемой соли этих соединений.

[55]

Также, предпочтительно, изобретение относится к соединениям вышеприведенной формулы (I), отличающимся тем, что R'3 означает гетероциклоалкил, содержащий по меньшей мере один атом азота и возможно замещенный (С16)алкилом или бензилом; или радикал формулы -NW3W'3, в которой W3 означает атом водорода или (С18)алкил и W'3 означает радикал Z3 и Z3 означает атом водорода или (С18)алкил; или фармацевтически приемлемой соли этих соединений.

[56]

Также, предпочтительно, изобретение относится к соединениям вышеприведенной формулы (I), отличающимся тем, что В означает радикал, выбираемый из фенила, тиенила, пирролила, пиразолила, пиридила, пиримидила, пиразинила, бензотиенила, тиенопиридинила, тиенопиразинила, индолила, бензофурила, циклопентенила, циклогексенила, 1,2,3,6-тетрагидропиридинила, 1,2,3,4-тетрагидропиримидинила, 4,5,6,7-тетрагидротиено[2,3-c]-пиридинила, тетрагидробензотиенила и дигидроциклопентатиенила.

[57]

Также, предпочтительно, изобретение относится к соединениям вышеприведенной формулы (I), отличающимся тем, что В возможно замещен одним или несколькими, одинаковыми или разными, радикалами, выбираемыми из атома галогена, нитрогруппы, цианогруппы, оксигруппы, -ХВ-YB и фенила, возможно замещенного одним или несколькими заместителями, выбираемыми из атома галогена и (С16)алкила, возможно замещенного одним или несколькими, одинаковыми или разными, атомами галогена;

[58]

ХВ означает ковалентную связь, -O-, -S-, -C(O)-, -NRN-C(O)- или -C(O)-O-;

[59]

YB означает атом водорода или (С16)алкил, возможно замещенный одним или несколькими, одинаковыми или разными, атомами галогена;

[60]

RN означает атом водорода;

[61]

или фармацевтически приемлемой соли этих соединений.

[62]

Также, предпочтительно, изобретение относится к соединениям вышеприведенной формулы (I), отличающимся тем, что В означает радикал, выбираемый из фенила, фурила, тиенила, пирролила, пиразолила, пиридила, тиазолила, пиразинила, бензотиенила, тиенопиридинила, тиенопиразинила, индолила, бензофурила, циклогексенила, 1,2,3,6-тетрагидропиридинила, тетрагидробензотиенила и дигидроциклопентатиенила.

[63]

Также, предпочтительно, изобретение относится к соединениям вышеприведенной формулы (I), отличающимся тем, что В возможно замещен одним или несколькими, одинаковыми или разными, радикалами, выбираемыми из атома галогена, нитрогруппы, цианогруппы, -ХВ-YB и фенила, возможно замещенного одним или несколькими заместителями, выбираемыми из атома галогена и (С16)алкила;

[64]

ХВ означает ковалентную связь, -O-, -S-, -C(O)- или -C(O)-O-;

[65]

YBозначает атом водорода или (С16)алкил;

[66]

или фармацевтически приемлемой соли этих соединений.

[67]

Также, предпочтительно, изобретение относится к соединениям вышеприведенной формулы (I), отличающимся тем, что В означает радикал, выбираемый из фенила, фурила, тиенила, пирролила, пиразолила, пиридила, пиразинила, бензотиенила, тиенопиридинила, индолила, бензофурила, циклогексенила, 1,2,3,6-тетрагидропиридинила, тетрагидробензотиенила и дигидроциклопентатиенила.

[68]

Также, предпочтительно, изобретение относится к соединениям вышеприведенной формулы (I), отличающимся тем, что В возможно замещен одним или несколькими, одинаковыми или разными, радикалами, выбираемыми из атома галогена, нитрогруппы и -ХВ-YB;

[69]

ХВ означает ковалентную связь, -O-, -C(O)- или -C(O)-O-;

[70]

YB означает (С16)алкил;

[71]

и, в высшей степени предпочтительно, В возможно замещен одним или несколькими, одинаковыми или разными, радикалами, выбираемыми из атома галогена, нитрогруппы или -ХВ-YB; ХВ означает ковалентную связь или -O- и YB означает (С16)алкил;

[72]

или фармацевтически приемлемой соли этих соединений.

[73]

В высшей степени предпочтительно, изобретение относится к соединениям вышеприведенной формулы (I), отличающимся тем, что R'3 означает гетероциклоалкил, содержащий по меньшей мере один атом азота и возможно замещенный (С16)алкилом, и, в частности, пиперидинил или пирролидинил; или фармацевтически приемлемой соли этих соединений.

[74]

Также, предпочтительно, изобретение относится к соединениям вышеприведенной формулы (I), отличающимся тем, что R'3 означает 5-6-членный гетероциклоалкил, содержащий один атом азота и возможно атом кислорода; или радикал формулы -NW3W'3, в которой W3 означает атом водорода или (С16)алкил, W'3 означает радикал Z3 и Z3 означает атом водорода или (С16)алкил; или фармацевтически приемлемой соли этих соединений.

[75]

Также, в высшей степени предпочтительно, изобретение относится к соединениям вышеприведенной формулы (I), отличающимся тем, что R'3 означает пиперидинил или пирролидинил и s означает целое число от 2 до 4; или фармацевтически приемлемой соли этих соединений.

[76]

Также, в высшей степени предпочтительно, изобретение относится к соединениям вышеприведенной формулы (I), отличающимся тем, что В означает радикал, выбираемый из фенила, тиенила, пирролила, пиразолила, пиридила, пиразинила, бензотиенила, тиенопиридинила, тиенопиразинила, индолила, бензофурила, циклогексенила, 4,5,6,7-тетрагидротиено[2,3-c]пиридинила и дигидроциклопентатиенила.

[77]

Согласно определениям переменных групп А, В, R1, R2 и R3 предлагаемые в изобретении соединения могут быть получены в жидкой фазе согласно нижеописанным различным способам А-С.

[78]

А. Получение согласно реакционной схеме А:

[79]

Соединения формулы (I) согласно изобретению, в которой А означает -С(О)-, могут быть получены согласно следующей схеме А:

[80]

[81]

Как указывается на схеме А, метилированное производное (1) может быть окислено до карбоновой кислоты (2) с помощью водного раствора перманганата калия при температуре 100°С в течение 3-6 часов (согласно методике Schmelkes и др., J. Am. Chem. Soc., 1631 (1944)) или с помощью водного раствора дихромата натрия в присутствии серной кислоты при температуре 20-90°С в течение 1-3 часов (согласно методике Howes и др., European J. Med. Chem., 34, 225-234 (1999)). Карбоновая кислота может быть связана с первичным или вторичным амином в присутствии связывающего агента, такого как диизопропилкарбодиимид (DIC), дициклогексилкарбодиимид (DCC), гидрохлорид 1-(3-диметиламинопропил)-3-этилкарбодиимида (EDC) или карбонилдиимидазол (СDI), с 1-гидроксибензотриазолом (HOBt) или без него, в инертном органическом растворителе, таком как метиленхлорид, тетрагидрофуран или диметилформамид, при комнатной температуре, в течение 3-24 часов, с получением соответствующего амида (3). Обработка фтор- или хлорпроизводного (3) с помощью первичного амина в присутствии неорганического основания, такого как карбонат цезия или калия, в инертном органическом растворителе, таком как диметилформамид или ацетонитрил, при температуре 20-100°С в течение 2-48 часов приводит к получению производного (4). Нитрогруппу соединения (4) восстанавливают путем обработки дигидратом хлорида олова в инертном растворителе, таком как этилацетат или диметилформамид, при температуре 60-80°С в течение 3-15 часов, или путем каталитического гидрирования в присутствии 10%-ного палладия-на-угле в инертном растворителе, таком как метанол, этанол, этилацетат или смесь этих растворителей, при температуре 18-25°С, в течение 2-8 часов, с получением дианилина (5). Производное (5) затем обрабатывают ортоэфиром изотиоциановой кислоты в присутствии связывающего агента, нанесенного на смолу или нет, такого как диизопропилкарбодиимид или дициклогексилкарбодиимид или нанесенный на N-метилполистирольную смолу N-метилциклогексилкарбодиимид, в присутствии или нет органического основания, такого как триэтиламин, диизопропилэтиламин, метилат, этилат или трет-бутилат натрия, в инертном растворителе, таком как тетрагидрофуран, метиленхлорид или хлороформ, при температуре 20-70°С в течение 2-72 часов, или подвергают СВЧ-обработке (аппаратура Personal Chemistry®) в герметически закрытой пробирке при температуре 100°С в течение 10-30 минут, получая производное (6). Альтернативно, производное (5) может быть обработано ортоэфиром изотиоциановой кислоты в присутствии желтого оксида ртути-(II) и каталитического количества серы, в присутствии или нет органического основания, такого как триэтиламин, диизопропилэтиламин, метилат, этилат или трет-бутилат натрия, в полярном растворителе, таком как метанол или этанол, в течение 2-24 часов при температуре 20-80°С, или подвергнуто СВЧ-обработке (аппаратура Personal Chemistry®) в герметически закрытой пробирке при температуре 100°С в течение 10-30 минут, получая производное (6).

[82]

Пример А1

[83]

Гидрохлорид N,N-бис(3-метилбутил)-11-оксо-5-(3-пиперидин-1-илпропил)-5,11-дигидротиено[3',2':4,5]пиримидо[1,2-a]-бензимидазол-7-карбоксамида

[84]

[85]

Стадия 1

[86]

3-Фтор-4-нитробензойная кислота

[87]

Смесь 3-фтор-4-нитротолуола (10 г, 1 экв.) и перманганата калия (25,5 г, 2,5 экв.) в воде (1 л) кипятят с обратным холодильником в течение 6 часов, затем охлаждают до комнатной температуры. Смесь фильтруют через целит и водную фазу промывают два раза диэтиловым эфиром (2 раза по 300 мл). Водную фазу подкисляют, при температуре 0°С, концентрированным раствором соляной кислоты, затем концентрируют при пониженном давлении при температуре 40°С вплоть до объема примерно 300 мл. Образовавшийся осадок отфильтровывают, затем промывают петролейным эфиром и высушивают, получая ожидаемое соединение в виде твердого вещества белого цвета (6,9 г; выход: 58%).

[88]

ЯМР (1Н, 400 МГц, ДМСО-d6): δ 7,93 (м, 2Н); 8,25 (м, 1Н); 13,95 (м, 1Н).

[89]

Стадия 2

[90]

3-Фтор-N,N-бис(3-метилбутил)-4-нитробензамид

[91]

К 3-фтор-4-нитробензойной кислоте (10 г, 1 экв.), растворенной в безводном тетрагидрофуране (60 мл), последовательно добавляют 1-гидроксибензотриазол (HOBt) (8 г, 1,1 экв.), растворенный в тетрагидрофуране (60 мл), и гидрохлорид 1-(3-диметиламинопропил)-3-этилкарбодиимида (EDC) (11,4 г, 1,1 экв.), растворенный в хлороформе (60 мл). Смесь перемешивают в течение 2 часов при температуре около 20°С, затем добавляют диизоамиламин (12,2 мл, 1,1 экв.). После перемешивания в течение 4 часов при температуре около 20°С реакционную смесь концентрируют при пониженном давлении при температуре 40°С. Остаток обрабатывают дихлорметаном (300 мл) и водой (100 мл). После декантации и экстракций объединенные органические фазы промывают рассолом, сушат над Na2SO4, затем концентрируют при пониженном давлении при температуре 40°С. Путем очистки флэш-хроматографией на силикагеле (элюент:гептан 100% → гептан/этилацетат в соотношении 70:30) получают ожидаемое соединение (12,36 г; выход: 71%).

[92]

МС/ЖХ (масс-спектрометрия с жидкостной хроматографией): рассчитанная молекулярная масса = 324,4; m/z = 325,2 (МН+)

[93]

ЯМР (1Н, 400 МГц, ДМСО-d6): δ 0,69 (д, 6H), 0,93 (д, 6H), 1,35-1,60 (м, 6H), 3,09 (м, 2H), 3,41 (м, 2H), 7,38 (АВ, 1Н), 7,63 (AB, 1H), 8,21 (т, 1H).

[94]

Стадия 3

[95]

N,N-бис(3-Метилбутил)-4-нитро-3-[(3-пиперидин-1-илпропил)амино]бензамид

[96]

Смесь 3-фтор-N,N-бис(3-метилбутил)-4-нитробензамида (4 г, 1 экв.), 3-аминопропилпиперидина (1,9 г, 1,1 экв.) и карбоната калия (3,4 г, 2 экв.) в ацетонитриле (150 мл) кипятят с обратным холодильником в течение 3 часов, затем концентрируют при пониженном давлении при температуре 40°С. Остаток обрабатывают дихлорметаном (200 мл) и водой (80 мл). После декантации и экстракций объединенные органические фазы промывают рассолом, сушат над Na2SO4, затем концентрируют при пониженном давлении при температуре 40°С. Путем очистки остатка флэш-хроматографией на силикагеле (элюент: этилацетат 100% → этилацетат/метанол в соотношении 80:20) получают ожидаемое соединение в виде масла желтого цвета (5,5 г; выход: 100%).

[97]

МС/ЖХ: рассчитанная молекулярная масса = 446,6; m/z = 447,3 (МН+)

[98]

ЯМР (1Н, 400 МГц, ДМСО-d6): δ 0,68 (д, 6H), 0,92 (д, 6H), 1,31-1,69 (м, 12H), 1,74 (м, 2H), 2,32 (м, 6H), 3,10 (т, 2H), 3,38 (м, 4H), 6,53 (АВ, 1Н), 6,91 (с, 1H), 8,09 (д, 1H), 8,44 (т, 1Н).

[99]

Стадия 4

[100]

4-Амино-N,N-бис(3-метилбутил)-3-[(3-пиперидин-1-илпропил)амино]бензамид

[101]

В автоклав вводят N,N-бис(3-метилбутил)-4-нитро-3-[(3-пиперидин-1-илпропил)амино]бензамид (1 г), растворенный в смеси этилацетат/этанол в соотношении 2:1 (100 мл), и 10%-ный палладий-на-угле (100 мг). После перемешивания в течение 3 часов в атмосфере водорода (3 бар) при температуре около 20°С катализатор удаляют путем отфильтровывания через целит и фильтрат концентрируют при пониженном давлении при температуре 40°С, получая ожидаемое соединение в виде масла (910 мг; выход: 97%).

[102]

МС/ЖХ: рассчитанная молекулярная масса = 416,6; m/z = 417,3 (МН+)

[103]

ЯМР (1Н, 400 МГц, ДМСО-d6): δ 0,81 (д, 12H), 1,39-1,69 (м, 12H), 1,73 (м, 2H), 2,32 (м, 6H), 3,03 (м, 2H), 3,38 (м, 4H), 4,62 (с, 1H), 4,76 (с, 2H), 6,36 (с, 1H), 6,42 (AB, 1H), 6,50 (AB, 1H).

[104]

Стадия 5

[105]

Гидрохлорид N,N-бис(3-метилбутил)-11-оксо-5-(3-пиперидин-1-илпропил)-5,11-дигидротиено[3',2':4,5]пиримидо[1,2-a]бензимидазол-7-карбоксамида

[106]

К раствору 4-амино-N,N-бис(3-метилбутил)-3-[(3-пиперидин-1-илпропил)амино]бензамида (1,55 г) в метаноле (20 мл) последовательно добавляют метил-3-изотиоцианатотиофен-2-карбоксилат (890 мг), желтый оксид ртути-(II) (1,6 г) и серу (30 мг). Смесь кипятят с обратным холодильником в течение 16 часов. После охлаждения смесь фильтруют через целит и фильтрат концентрируют при пониженном давлении при температуре 40°С. Путем очистки остатка флэш-хроматографией на силикагеле (элюент: дихлорметан 100% → дихлорметан/метанол в соотношении 95:5) получают ожидаемое соединение в виде свободного основания. Соответствующий гидрохлорид получают путем добавления 1н раствора HCl в диэтиловом эфире к раствору свободного основания в этилацетате. Полученный осадок отфильтровывают и высушивают, получая ожидаемый гидрохлорид соединения (920 мг).

[107]

МС/ЖХ: рассчитанная молекулярная масса = 550,3; m/z = 549,8 (МН+)

[108]

ЯМР (1Н, 400 МГц, ДМСО-d6): δ 0,68 (с, 6H), 0,95 (с, 6H), 1,25-1,80 (м, 12H), 2,27 (м, 2H), 2,80 (м, 2H), 3,18 (м, 4H), 3,35 (д, 2H), 3,45 (м, 2H), 4,43 (т, 2H), 7,32 (АВ, 1Н), 7,35 (AB, 1H), 7,77 (с, 1H), 8,25 (AB, 1H), 8,52 (AB, 1H), 9,72 (с, 1H).

[109]

Пример А2

[110]

Гидрохлорид N,N-бис(3-метилбутил)-12-оксо-5-(3-пиперидин-1-илпропил)-5,12-дигидро[1]бензотиено[3',2':4,5]пиримидо[1,2-a]бензимидазол-7-карбоксамида

[111]

[112]

К суспензии N-метилполистирольной смолы с нанесенным N-метилциклогексилкарбодиимидом (265 мг, нагрузка 1,7 ммоль/г, 3 экв.) в тетрагидрофуране (1 мл), помещенной в реакционную пробирку «Personal Chemistry®», последовательно добавляют раствор 4-амино-N,N-бис(3-метилбутил)-3-[(3-пиперидин-1-илпропил)амино]бензамида (62 мг) в тетрагидрофуране (1 мл) и раствор метил-3-изотиоцианатотиофен-2-карбоксилата (45 мг) в тетрагидрофуране (1 мл). Пробирку герметически закрывают колпачком, помещают в СВЧ-диапазон «Personal Chemistry®» и нагревают при перемешивании с помощью магнитной мешалки при температуре 100°С в течение 15 минут. Смесь затем фильтруют и фильтрат концентрируют при пониженном давлении при температуре 40°С. Раствор остатка в метаноле (3 мл) и триэтиламин (30 мг) помещают в реакционную пробирку «Personal Chemistry®» и нагревают в СВЧ-диапазоне при перемешивании с помощью магнитной мешалки при температуре 100°С в течение 10 минут. Смесь затем концентрируют при пониженном давлении при температуре 40°С. Путем очистки остатка флэш-хроматографией на силикагеле (элюент: дихлорметан 100% → дихлорметан/метанол в соотношении 90:10) получают ожидаемое соединение в виде свободного основания. Соответствующий гидрохлорид получают путем добавления 1н раствора HCl в диэтиловом эфире к раствору свободного основания в этилацетате. Полученный осадок отфильтровывают и высушивают, получая ожидаемый гидрохлорид соединения (55 мг).

[113]

МС/ЖХ: рассчитанная молекулярная масса = 600,4; m/z = 599,8 (МН+)

[114]

ЯМР (1Н, 400 МГц, ДМСО-d6): δ 0,68 (с, 6H), 0,96 (с, 6H), 1,21-1,81 (м, 12H), 2,20 (м, 4H), 3,20 (м, 2H), 3,30 (м, 2H), 3,45 (м, 2H), 4,54 (т, 2H), 7,37 (АВ, 1Н), 7,61 (м, 1Н), 7,69 (м, 1Н), 7,81 (с, 1Н), 8,14 (АВ, 1Н), 8,32 (АВ, 1Н), 8,58 (АВ, 1Н), 9,1 (с, 1Н).

[115]

Получение коммерчески недоступных изотиоцианатов

[116]

[117]

Первичный амин может быть превращен в изотиоцианат путем обработки с помощью тиофосгена в присутствии третичного основания, такого как триэтиламин, диизопропилэтиламин, в апротонном растворителе, таком как дихлорметан или тетрагидрофуран, при температуре 0-20°С в течение 0,1-2 часов.

[118]

Получение метил-3-изотиоцианатотиофен-2-карбоксилата

[119]

[120]

К охлажденному до температуры 0°С раствору 3-амино-2-тиофенкарбоксилата (2 г, 1 экв.) и триэтиламина (3,9 г, 3 экв.) в тетрагидрофуране (100 мл) по каплям добавляют тиофосген (1,1 мл, 1,1 экв.). Смесь перемешивают в течение 15 минут при температуре 0°С, затем добавляют воду (70 мл) и диэтиловый эфир (150 мл). После декантации и экстракций органические фазы объединяют, промывают рассолом, сушат над Na2SO4, затем концентрируют при пониженном давлении при температуре 40°С. Путем очистки остатка флэш-хроматографией на силикагеле (элюент: гептан 100% → гептан/этилацетат в соотношении 7:3) получают ожидаемое соединение в виде порошка бежевого цвета (2,15 г; выход: 85%).

[121]

ЯМР (1Н, 400 МГц, ДМСО-d6): δ 3,84 (с, 3Н); 7,26 (д, 1Н); 7,98 (д, 1Н).

[122]

Следующие изотиоцианаты получают согласно методике, аналогичной таковой, описанной для получения метил-3-изотиоцианатотиофен-2-карбоксилата:

[123]

[124]

[125]

Согласно реакционной схеме А и аналогично методике, описанной для синтеза гидрохлорида N,N-бис(3-метилбутил)-11-оксо-5-(3-пиперидин-1-илпропил)-5,11-дигидротиено[3',2':4,5]пиримидо[1,2-a]бензимидазол-7-карбоксамида или гидрохлорида N,N-бис(3-метилбутил)-12-оксо-5-(3-пиперидин-1-илпропил)-5,12-дигидро[1]бензотиено[3',2':4,5]пиримидо[1,2-a]бензимидазол-3-карбоксамида, получают следующие соединения:

[126]

[127]

в которых

[128]

R1R2N означает один из нижеуказанных радикалов:

[129]

[130]

где

[131]

означает один из нижеуказанных радикалов:

[132]

[133]

и R3 означает один из нижеуказанных радикалов:

[134]

[135]

В. Получение согласно реакционной схеме В:

[136]

Соединения формулы (I) согласно изобретению, в которой А означает -С(О)-, также могут быть получены согласно следующей схеме В:

[137]

[138]

Как описывается на схеме В, карбоновая кислота (2) может быть превращена в метиловый эфир (7) либо путем обработки с помощью раствора триметилсилилдиазометана при температуре 0-20°С, либо путем получения карбоксилата с помощью неорганического основания, такого как дигидрат гидроксида лития или карбонат цезия, при комнатной температуре в течение времени от 30 минут до 2 часов, в инертном органическом растворителе, таком как тетрагидрофуран, затем добавления диметилсульфата при комнатной температуре и перемешивания при температуре кипения с обратным холодильником в течение времени от 5 часов до 15 часов. Фтор- или хлорпроизводное (7) может быть обработано первичным амином в присутствии неорганического основания, такого как карбонат цезия или карбонат калия, в инертном органическом растворителе, таком как диметилформамид или ацетонитрил, при температуре 20-100°С в течение времени от 2 часов до 48 часов, получая производное (8). Нитрогруппа соединения (8) может быть восстановлена путем обработки с помощью дигидрата хлорида олова в инертном растворителе, таком как этилацетат или диметилформамид, при температуре 60-80°С, в течение времени от 3 часов до 15 часов, или путем каталитического гидрирования в присутствии 10%-ного палладия-на-угле в инертном растворителе, таком как метанол, этанол, этилацетат или смесь этих растворителей, при температуре 18-25°С в течение времени от 2 часов до 8 часов, получая дианилин (9). Производное (9) затем обрабатывают с помощью ортоэфира изотиоциановой кислоты в присутствии связывающего агента, нанесенного на смолу или нет, такого как диизопропилкарбодиимид или дициклогексилкарбодиимид или нанесенный на N-метилполистирольную смолу N-метилциклогексилкарбодиимид, в присутствии или нет органического основания, такого как триэтиламин или диизопропилэтиламин, в инертном растворителе, таком как тетрагидрофуран, метиленхлорид или хлороформ, при температуре 20-70°С, в течение времени от 2 часов до 72 часов, или подвергают СВЧ-обработке (аппаратура Personal Chemistry®) в герметически закрытой пробирке при температуре 100°С в течение 10-30 минут, получая производное (10). Альтернативно, производное (9) может быть обработано ортоэфиром изотиоциановой кислоты в присутствии желтого оксида ртути-(II) и каталитического количества серы, в присутствии или нет органического основания, такого как триэтиламин, диизопропилэтиламин, метилат, этилат или трет-бутилат натрия, в полярном растворителе, таком как метанол или этанол, в течение времени от 2 часов до 24 часов, при температуре 20-80°С, или подвергнуто СВЧ-обработке (аппаратура Personal Chemistry®) в герметически закрытой пробирке при температуре 100°С в течение 10-30 минут, получая производное (10). Сложный метиловый эфир (10) затем может быть омылен в присутствии неорганического основания, такого как дигидрат гидроксида лития, в смеси полярных растворителей, таких как вода и тетрагидрофуран, при температуре от 20°С до 70°С в течение времени от 3 часов до 17 часов. Полученная карбоновая кислота (11) может быть связана с первичным или вторичным амином в присутствии связывающего агента, такого как диизопропилкарбодиимид (DIC), дициклогексилкарбодиимид (DCC), гидрохлорид 1-(3-диметиламинопропил)-3-этилкарбодиимида (EDC) или карбонилдиимидазол (CDI), с 1-гидроксибензотриазолом (HOBt) или без него, в инертном органическом растворителе, таком как метиленхлорид, тетрагидрофуран или диметилформамид, при комнатной температуре, в течение времени от 3 часов до 24 часов, получая соответствующий амид (6).

[139]

С. Получение согласно реакционной схеме С:

[140]

Соединения формулы (I) согласно изобретению, в которой А означает -СН2-, могут быть получены согласно следующим схемам С и С':

[141]

[142]

Как описывается на схеме С, производное (4), полученное согласно реакционной схеме А, может быть восстановлено до соединения (12) с помощью борана или литийалюминийгидрида в апротонном растворителе, таком как тетрагидрофуран или диэтиловый эфир, при температуре от 0°С до 70°С в течение времени от 18 часов до 24 часов. Дианилин (12) затем может быть обработан с помощью ортоэфира изотиоциановой кислоты в присутствии связывающего агента, нанесенного на смолу или нет, такого как диизопропилкарбодиимид или дициклогексилкарбодиимид или нанесенный на N-метилполистирольную смолу N-метилциклогексилкарбодиимид, в присутствии или нет органического основания, такого как триэтиламин или диизопропилэтиламин, в инертном растворителе, таком как тетрагидрофуран, метиленхлорид или хлороформ, при температуре 20-70°С в течение времени от 2 часов до 72 часов, или подвергнут СВЧ-обработке (аппаратура Personal Chemistry®) в герметически закрытой пробирке при температуре 100°С в течение 10-30 минут, получая производное (13). Альтернативно, производное (12) может быть обработано ортоэфиром изотиоциановой кислоты в присутствии желтого оксида ртути-(II) и каталитического количества серы, в присутствии или нет органического основания, такого как триэтиламин, диизопропилэтиламин, метилат, этилат или трет-бутилат натрия, в полярном растворителе, таком как метанол или этанол, в течение времени от 2 часов до 24 часов, при температуре 20-80°С, или подвергнуто СВЧ-обработке (аппаратура Personal Chemistry®) в герметически закрытой пробирке при температуре 100°С в течение 10-30 минут, получая производное (13).

[143]

Получение согласно реакционной схеме С':

[144]

Соединения (13) также могут быть получены согласно следующей схеме С':

[145]

[146]

Как описывается на схеме С', амид (6), полученный согласно реакционным схемам А или В, может быть восстановлен до соответствующего амина (13) с помощью борана или литийалюминийгидрида в апротонном растворителе, таком как тетрагидрофуран или диэтиловый эфир, при температуре от 0°С до 70°С, в течение времени от 1 часа до 6 часов.

[147]

Пример С1

[148]

Дигидрохлорид 8-{[бис(3-метилбутил)амино]метил}-10-(3-пиперидин-1-илпропил)тиено[2',3':4,5]пиримидо[1,2-a]бензимидазол-4(10Н)-она

[149]

[150]

Стадия 1

[151]

4-{[бис(3-Метилбутил)амино]метил}-N2-(3-пиперидин-1-илпропил)бензол-1,2-диамин

[152]

К охлажденному до температуры 0°С раствору N,N-бис(3-метилбутил)-4-нитро-3-[(3-пиперидин-1-илпропил)амино]бензамида (1,6 г) по каплям добавляют раствор литийалюминийгидрида (36 мл; 1н в тетрагидрофуране). Смесь доводят до температуры 20°С, после чего кипятят с обратным холодильником в течение 6 часов и гидролизуют охлажденной до температуры 0°С водой, затем 1н раствором гидроксида натрия. После добавления дихлорметана смесь фильтруют через целит. После декантации фильтрата и экстракций объединенные органические фазы промывают 1н раствором гидроксида натрия, затем рассолом, сушат над Na2SO4 и концентрируют при пониженном давлении при температуре 40°С, получая ожидаемое соединение в виде масла (1,23 г; выход: 85%).

[153]

МС/ЖХ: рассчитанная молекулярная масса = 402,7; m/z = 403,3 (МН+)

[154]

ЯМР (1Н, 400 МГц, ДМСО-d6): δ 0,81 (д, 12H), 1,28 (м, 4H), 1,38 (м, 2Н), 1,48 (м, 6H), 1,71 (м, 2Н), 2,31 (м, 10Н), 3,01 (м, 2Н), 3,29 (м, 2Н), 4,28 (м, 2Н), 4,6 (м, 1H), 6,30 (AB, 1H), 6,38 (с, 1H), 6,43 (AB, 1H).

[155]

Стадия 2

[156]

Дигидрохлорид 8-{[бис(3-метилбутил)амино]метил}-10-(3-пиперидин-1-илпропил)тиено[2',3':4,5]пиримидо[1,2-a]бензимидазол-4(10Н)-она

[157]

К раствору 4-амино-N,N-бис(3-метилбутил)-3-[(3-пиперидин-1-илпропил)амино]бензамида (60 мг) в метаноле (3 мл) последовательно добавляют метил-2-изотиоцианатотиофен-3-карбоксилат (45 мг), желтый оксид ртути-(II) (65 мг) и серу (3 мг). Смесь кипятят с обратным холодильником в течение 16 часов. После охлаждения смесь фильтруют через целит и фильтрат концентрируют при пониженном давлении при температуре 40°С. Путем очистки остатка флэш-хроматографией на силикагеле (элюент:дихлорметан 100% → дихлорметан/метанол в соотношении 90:10) получают ожидаемое соединение в виде свободного основания. Соответствующую гидрохлоридную соль получают путем добавления 1н раствора HCl в диэтиловом эфире к раствору свободного основания в этилацетате. Полученный осадок отфильтровывают и высушивают, получая ожидаемый гидрохлорид соединения (30 мг).

[158]

МС/ЖХ: рассчитанная молекулярная масса = 536,4; m/z = 535,8 (МН+)

[159]

ЯМР (1Н, 400 МГц, ДМСО-d6): δ 0,86 (д, 12H), 1,30 (м, 2H), 1,54 (м, 2H), 1,68 (м, 8H), 2,39 (м, 2H), 2,78 (м, 2H), 3,01 (м, 4H), 3,19 (м, 2H), 3,38 (м, 2H), 4,37 (т, 2H), 4,48 (м, 2H), 7,37 (AB, 1H), 7,54 (AB, 1H), 8,26 (AB, 1H), 8,30 (с, 1H), 8,51 (AB, 1H), 9,97 (с, 1Н), 10,96 (с, 1Н).

[160]

Следующие соединения получают согласно реакционным схемам С или С':

[161]

[162]

в которых

[163]

R1R2N означает один из нижеуказанных радикалов:

[164]

[165]

где

[166]

означает один из нижеуказанных радикалов:

[167]

[168]

и R3 означает один из нижеуказанных радикалов:

[169]

[170]

Объектом изобретения также является способ получения соединения вышеприведенной формулы (I), отличающийся тем, что соединение общей формулы:

[171]

[172]

в которой А, R1, R2, R3 имеют вышеуказанное значение, обрабатывают ортоэфиром изотиоциановой кислоты общей формулы

[173]

[174]

в которой Р означает защитную группу, такую как метил, этил, трет-бутил, и В имеет вышеуказанное значение, в присутствии связывающего агента или желтого оксида ртути-(II) в присутствии серы, в протонном или апротонном растворителе, в присутствии или нет основания. Реакция может быть осуществлена при температуре от 50°С до 80°С в течение времени от 3 часов до 48 часов. Реакция также может быть осуществлена путем СВЧ-обработки в герметически закрытой пробирке при температуре 80-120°С в течение времени от 5 до 30 минут.

[175]

Связывающий агент может быть нанесен на подложку, как N-метилциклогексилкарбодиимид, нанесенный на N-метилполистирольную смолу, или может быть не нанесен на подложку, как диизопропилкарбодиимид, диэтилкарбодиимид или дициклогексилкарбодиимид. Можно использовать протонный растворитель, такой как метанол или этанол, или апротонный растворитель, такой как тетрагидрофуран или ацетонитрил. Основанием может быть триэтиламин, диизопропилэтиламин, метилат, этилат или трет-бутилат натрия.

[176]

Соединения формулы (I) согласно настоящему изобретению обладают представляющими интерес фармакологическими свойствами. Так, обнаружено, что соединения формулы (I) согласно настоящему изобретению обладают хорошим сродством к некоторым подтипам рецепторов меланокортинов, в частности к рецепторам МС4.

[177]

Соединения согласно настоящему изобретению, таким образом, могут быть использованы для различных применений в терапии. Они могут быть преимущественно использованы для лечения патологических состояний или заболеваний, в которых участвуют один или несколько рецепторов меланокортинов, таких как воспалительные состояния, нарушения массы тела (ожирение, кахексия, анорексия), расстройства половой активности (нарушения эрекции), боль, а также психические расстройства (страх, депрессия), токсикомании, заболевания кожи (акне, дерматозы, меланомы). Ниже, в экпериментальной части, приводится пояснение фармакологических свойств соединений согласно изобретению.

[178]

Объектом настоящей заявки являются также фармацевтические композиции, содержащие в качестве действующего начала по меньшей мере один продукт вышеприведенной формулы (I), а также фармацевтически приемлемые соли вышеуказанного продукта формулы (I) в сочетании с фармацевтически приемлемым носителем.

[179]

Под фармацевтически приемлемой солью понимают, в частности, аддитивные соли неорганических кислот, такие как гидрохлорид, гидробромид, гидроиодид, сульфат, фосфат, дифосфат и нитрат, или органических кислот, такие как ацетат, малеат, фумарат, тартрат, сукцинат, цитрат, лактат, метансульфонат, п-толуолсульфонат, памоат и стеарат. В рамки настоящего изобретения также входят, когда их используют, соли, получаемые исходя из оснований, таких как гидроксид натрия или калия. В отношении других примеров фармацевтически приемлемых солей можно сослаться на «Salt selection for basic drugs», Int. J. Pharm., 33, 201-217 (1986).

[180]

Объектом настоящей заявки также является применение соединений согласно настоящему изобретению для получения лекарственного средства в целях лечения нарушений массы тела, таких как ожирение, кахексия и, в особенности, кахексия карциноматозных патологий, кахексия СПИДа, старческая кахексия, сердечная кахексия, почечная кахексия, кахексия ревматоидного артрита, и анорексия, лечения боли и, в особенности, невропатической боли, психических расстройств, таких как страх и депрессия, расстройств половой активности, таких как нарушения эрекции.

[181]

Фармацевтическая композиция может быть в твердой форме, такой как, например, порошки, гранулы, таблетки, желатиновые капсулы или суппозитории. Соответствующими твердыми носителями могут быть, например, фосфат кальция, стеарат магния, тальк, сахара, лактоза, декстрин, крахмал, желатин, целлюлоза, метилцеллюлоза, натрийкарбоксиметилцеллюлоза, поливинилпирролидин и воск.

[182]

Фармацевтические композиции, содержащие соединение согласно изобретению, также могут находиться в жидкой форме, такой как, например, растворы, эмульсии, суспензии или сиропы. Соответствующими жидкими носителями могут быть, например, вода, органические растворители, такие как глицерин или гликоли, также как их смеси, в различных пропорциях, в воде, добавленные к фармацевтически приемлемым маслам или жировым веществам. Жидкие стерильные композиции могут быть использованы для внутримышечных, интраперитонеальных или подкожных инъекций, и стерильные композиции также могут быть введены внутривенно.

[183]

Все технические и научные термины, используемые в данном контексте, имеют значение, известное специалисту в данной области. Кроме того, все патенты (или заявки на патенты), а также другие библиографические ссылки включены в данный контекст в виде ссылки.

[184]

Экспериментальная часть

[185]

Соединения согласно изобретению, полученные в соответствии с вышеуказанными методиками примеров А, В, С и С', представлены в нижеприводимой таблице.

[186]

Соединения характеризуются по их времени удерживания (tr) и их пику молекулярного иона, определенному методом масс-спектрометрии (МН+).

[187]

Для масс-спектрометрии использовали обычный квадрупольный масс-спектрометр (Micromass, модель Platform), снабженный источником электронного распыления, с разрешением 0,8 Да с 50% минимума кривой. Калибровку осуществляли ежемесячно в диапазоне между массами 80 Да и 1000 Да с помощью калибрующей смеси иодида натрия и иодида рубидия, растворенной в смеси изопропанол/вода (1:1 по объемам).

[188]

Для жидкостной хроматографии использовали систему Waters, включающую дегазатор, четырехкомпонентный насос Waters 600, плоский инжектор Gilson 233 и УФ-детектор Waters PAD 996.

[189]

Используемые условия элюирования являются следующими:

[190]

элюент: А = вода + 0,04% трифторуксусной кислоты; В = ацетонитрил

[191]

Т (мин)А%В%
1955
8,5595
10,5595
10,6955
14,9955
15,0955

[192]

расход: 1 мл/мин; инжекция: 10 мкл; колонка: Uptisphere ODS 3 мкм 75∗ 4,6 мм

[193]

Эти примеры представлены для пояснения вышеприведенных методик и ни в коем случае не должны рассматриваться как ограничивающие объем охраны изобретения.

[194]

[195]

[196]

[197]

[198]

[199]

[200]

[201]

[202]

[203]

[204]

[205]

[206]

[207]

[208]

Фармакологическое исследование

[209]

Сродство соединений согласно настоящему изобретению к различным подтипам рецепторов меланокортинов определяли по методикам, аналогичным таковым, описанным ниже для рецепторов МС4.

[210]

Исследование сродства соединений к рецепторам МС4 меланокортинов

[211]

Сродство соединений согласно изобретению к рецепторам МС4 определяли путем измерения ингибирования связывания [125I]-[Nle4,D-Phe7]-α-MSH с мембранными препаратами трансфицированных клеток СНО-К1.

[212]

Клетки СНО-К1, стабильно экспрессирующие человеческие рецепторы МС4, культивировали в среде RPMI 1640, содержащей 10% фетальной телячьей сыворотки, 2 мМ глутамина, 100 Ед/мл пенициллина, 0,1 мг/мл стрептомицина и 0,5 мг/мл G418. Клетки собирали с помощью 0,5 мМ этилендиаминтетрауксусной кислоты (ЭДТУ) и центрифугировали с ускорением 500×g в течение 5 минут при температуре 4°С. Осадок после центрифугирования ресуспендировали в солевой среде с фосфатным буфером (забуференный фосфатом физиологический раствор, PBS) и центрифугировали с ускорением 500×g в течение 5 минут при температуре 4°С. Осадок после центрифугирования ресуспендировали в буферной среде Трис, 50 мМ, с рН 7,4, и центрифугировали с ускорением 500×g в течение 5 минут при температуре 4оС. Клетки лизировали путем обработки ультразвуком и центрифугировали с ускорением 39000×g в течение 10 минут при температуре 4°С. Осадок после центрифугирования ресуспендировали в буферной среде Трис, 50 мМ, с рН 7,4, и центрифугировали с ускорением 50000×g в течение 10 минут при температуре 4°С. Мембраны, полученные в этом последнем осадке после центрифугирования, хранили при температуре -80°С.

[213]

Измерение конкурентного ингибирования связывания [125I]-[Nle4,D-Phe7]-α-MSH с рецепторами МС4 осуществляли, с дублированиями, при использовании 96-луночных планшетов из полипропилена. Клеточные мембраны (50 мкг белков на лунку) инкубировали с [125I]-[Nle4,D-Phe7]-α-MSH (0,5 нМ) в течение 90 минут при температуре 37°С в буферной среде Трис-HCl, 50 мМ, рН 7,4, включающей 0,2% бычьего сывороточного альбумина (BSA), 5 мМ MgCl2 и 0,1 мг/мл бацитрацина.

[214]

Связанный [125I]-[Nle4,D-Phe7]-α-MSH отделяли от свободного [125I]-[Nle4,D-Phe7]-α-MSH путем фильтрации через фильтрующие пластинки из стекловолокна GF/C (Unifilter, Packard), предварительно пропитанные с помощью 0,1% полиэтиленимина (P.E.I.), используя плоский фильтр 196 (Packard). Фильтры промывали с помощью буфера Трис-HCl, 50 мМ, рН 7,4, при температуре 0-4°С и имеющуюся радиоактивность определяли с помощью счетчика (Packard Top Count).

[215]

Специфическое связывание получали путем вычитания неспецифического связывания (определяемого в присутствии 0,1 мкМ Nle4, D-Phe7-α-MSH) из общего связывания. Данные анализировали путем нелинейной регрессии с использованием ЭВМ (MDL) и определяли величины констант ингибирования (Ki).

[216]

Агонистическую или антагонистическую активность в отношении рецепторов МС4 соединений согласно настоящему изобретению определяли путем измерения продуцирования циклического аденозинмонофосфата (цАМФ) клетками СНО-К1, трансфицированными рецептором МС4.

[217]

Измерение продуцирования внутриклеточного цАМФ с помощью рецепторов МС4

[218]

Клетки СНО-К1, экспрессирующие рецепторы МС4 меланокортинов, культивировали в 384-луночных планшетах в среде RPMI 1640 с 10% фетальной телячьей сыворотки и 0,5 мг/мл G418. Клетки промывали 2 раза с помощью 50 мкл среды RPMI, включающей 0,2% бычьего сывороточного альбумина и 0,5 мМ 3-изобутил-1-метилксантина (IBMX).

[219]

Для определения агонистического эффекта соединения клетки инкубировали в течение 5 минут при температуре 37°С в присутствии 0,5 мМ IBMX, затем достигали стимуляции продуцирования циклического аденозинмонофосфата путем добавления соединения в концентрациях, составляющих от 1 пМ до 10 мкМ, с дублированиями, в течение 20 минут при температуре 37°С. Антагонистический эффект соединения определяли путем ингибирования стимуляции продуцирования циклического аденозинмонофосфата, вызываемой Nle4, D-Phe7-α-MSH, в концентрациях от 1 пМ до 10 мкМ, в присутствии тестируемого соединения, в концентрациях, включающих от 1 нМ до 10 мкМ, с дублированиями, в течение 20 минут при температуре 37°С.

[220]

Реакционную среду удаляли и добавляли 80 мкл буфера для лизиса. Долю внутриклеточного циклического аденозинмонофосфата определяли путем теста на конкурентность с флуоресцирующим циклическим аденозинмонофосфатом (CatchPoint, Мolecular Devices).

[221]

Тесты, осуществленные согласно вышеописанным протоколам, позволили показать, что продукты согласно настоящему изобретению обладают хорошей аффинностью к рецепторам МС4, причем константа ингибирования Кi в отношении этих рецепторов составляет ниже микромоля для большинства приведенных в качестве примеров соединений.

Как компенсировать расходы
на инновационную разработку
Похожие патенты