патент
№ RU 2273638
МПК C07D311/22

ПРОИЗВОДНЫЕ ХРОМАНОНА

Авторы:
МЮРМАНН Кристоф (DE)
Правообладатель:
Номер заявки
2003108856/04
Дата подачи заявки
28.08.2001
Опубликовано
10.04.2006
Страна
RU
Дата приоритета
15.12.2025
Номер приоритета
Страна приоритета
Как управлять
интеллектуальной собственностью
Реферат

[112]

Изобретение относится к новому производному хроманона, а именно (R)-2-аминометил-4-хроманону, который является промежуточным продуктом в синтезе (R)-2-[5-(4-фторфенил)-3-пиридилметиламин]хромана, обладающего действием на центральную нервную систему. Изобретение также относится к способу получения (R)-2-аминометил-4-хроманона, заключающийся в том, что при помощи нерацемического хирального катализатора осуществляют гидрогенизацию соединения формулы II

[113]

[114]

в которой R1, R2, R3 и R4 обозначает Н и R6 обозначает ацил, содержащий от 1 до 6 атомов углерода, -СО-Ar или аминозащитную группу, чтобы получить соединение формулы III

[115]

[116]

в которой радикалы R1-R6 соответствуют приведенным выше определениям, и радикал R6 отщепляют. Технический результат - получают новый продукт для синтеза известного соединения, обладающего действием на ЦНС. 2 н. и 3 з.п. ф-лы.

Формула изобретения

1. (R)-2-аминометил-4-хроманон, а также его соли.

2. Способ получения (R)-2-аминометил-4-хроманона по п.1 и его солей, отличающийся тем, что при помощи нерацемического хирального катализатора осуществляют гидрогенизацию соединения формулы II

в которой

R1, R2, R3 и R4 обозначает Н и

R6 обозначает ацил, содержащий от 1 до 6 атомов углерода, -СО-Ar

или аминозащитную группу,

чтобы получить соединение формулы III

в которой радикалы R1-R6 соответствуют приведенным выше определениям, и радикал

R6 отщепляют.

3. Способ получения (R)-2-аминометил-4-хроманона по п.2, отличающийся тем, что в качестве катализатора используют комплекс переходного металла.

4. Способ получения (R)-2-аминометил-4-хроманона по п.2, отличающийся тем, что в качестве катализатора используют комплекс переходного металла, содержащий металл, выбранный из группы, состоящей из родия, иридия, рутения и палладия.

5. Способ получения (R)-2-аминометил-4-хроманона по п.2, отличающийся тем, что в качестве катализатора используют комплекс переходного металла, в котором переходной металл образует комплекс с лигандом хирального дифосфина.

Описание

[1]

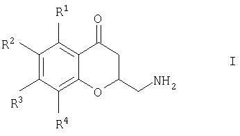
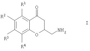
Изобретение относится к производным хроманона формулы

[2]

[3]

в которой

[4]

R1-R4 каждый, независимо друг от друга обозначают, Н, A, CN, Hal, OR5, COOR5, CF3, OCF3, NO2, Ar, OAr, N(R5)2или CON(R5)2,

[5]

R5 обозначает Н или А,

[6]

А обозначает алкил, содержащий от 1 до 6 атомов углерода,

[7]

Ar обозначает фенил, который может быть незамещенным или

[8]

замещенным A, OR5, CN, Hal, CF3, OCF3, NO2 или N(R5)2,

[9]

Hal обозначает F, Cl, Br или I,

[10]

и их солям.

[11]

Изобретение относится также к оптически активным формам, рацематам, энантиомерам, гидратам и сольватам, например алкоголятам этих соединений.

[12]

Аналогичные соединения раскрыты в ЕР 0707007.

[13]

Предмет изобретения заключался в обнаружении новых соединений, которые можно применять, в частности, в качестве промежуточных соединений в синтезе медицинских препаратов.

[14]

Было обнаружено, что соединения формулы I и их соли являются важными промежуточными соединениями для приготовления медицинских препаратов, в особенности таких, которые оказывают воздействие на центральную нервную систему.

[15]

Изобретение относится к производным хроманона формулы I и их солям.

[16]

Выше и ниже, радикалы R1, R2, R3, R4, R5и R6принимают значения, указанные в описаниях формул I-III, если специально не оговорено иное.

[17]

В приведенных выше формулах А обозначает алкил, который может быть линейным или разветвленным, и содержит от 1 до 6, предпочтительно 1, 2, 3, 4, 5 или 6 атомов углерода. А обозначает предпочтительно метил, кроме того, этил, п-пропил, изопропил, п-бутил, сек-бутил или трет-бутил, кроме того, также пентил, 1-, 2- или 3-метилбутил, 1,1-, 1,2- или 2,2-диметилпропил, 1-этилпропил, гексил, 1-, 2-, 3- или 4-метилпентил, 1,1-, 1,2-, 1,3-, 2,2-, 2,3- или 3,3-диметилбутил, 1- или 2-этилбутил, 1-этил-1-метилпропил, 1-этил-2-метилпропил, 1,1,2- или 1,2,2-триметилпропил. А обозначает особенно предпочтительно метил.

[18]

Ацил содержит от 1 до 6 атомов углерода, предпочтительно 1, 2, 3 или 4 атома углерода. Ацил представляет собой, в частности, ацетил, пропионил или бутирил.

[19]

Ar обозначает фенил, который может быть незамещенным или монозамещенным, бизамещенным или тризамещенным A, CF3, OR5, OCF3, CN, NO2, Hal или N(R5)2, где R5 обозначает Н или А, и А соответствует приведенному выше определению. Ar представляет собой предпочтительно фенил.

[20]

Hal представляет собой предпочтительно F, Cl или Br.

[21]

R1, R2, R3 и R4 каждый, независимо друг от друга, обозначают, Н, А, CN, Hal, OR5, COOR5, CF3, OCF3, NO2, Ar, OAr, N(R5)2 или CON(R5)2, где A, Hal, Ar и R5соответствуют приведенным выше определениям. R1 предпочтительно обозначает Н. R2 особенно предпочтительно обозначает Н. R3 предпочтительно обозначает Н. R4 предпочтительно обозначает Н.

[22]

R6 обозначает ацил, содержащий от 1 до 6 атомов углерода, -СО-Ar или аминозащитную группу, где ацил и Ar соответствуют приведенным выше определениям. R6 представляет собой особенно предпочтительно ацил.

[23]

Термин "аминозащитная группа" в общем случае известен и относится к группам, которые пригодны для защиты (блокирования) аминогруппы от химических реакций. Типичными примерами таких групп являются, в частности, незамещенная или замещенная ацильная, арильная, аралкоксиметильная или аралкильная группы. Поскольку аминозащитные группы удаляют после проведения нужной реакции (или последовательности реакций), их тип и размер не имеют существенного значения; тем не менее предпочтение отдается таким группам, которые содержат 1-20 атомов углерода, в особенности 1-8 атомов углерода. В связи с данным способом термин "ацильная группа" следует понимать в самом широком смысле. Он охватывает ацильные группы, извлеченные из алифатических, аралифатических, алициклических, ароматических или гетероциклических карбоновых кислот или сульфоновых кислот и, в частности, алкоксикарбонильную, алкенилоксикарбонильную, арилоксикарбонильную и особенно - аралкоксикарбонильную группы. Примерами ацильных групп этого типа являются алканоил, такой как ацетил, пропионил и бутирил; аралканоил, такой как фенилацетил; ароил, такой как бензоил или толуил; арилоху-алканоил, такой как феноксиацетил; алкоксикарбонил, такой как метоксикарбонил, этоксикарбонил, 2,2,2-трихлорэтоксикарбонил, ВОС или 2-иод-этоксикарбонил; алкенилоксикарбонил, такой как аллилоксикарбонил (Aloc), аралкоксикарбонил, такой как CBZ (синонимичный Z), 4-метоксибензилоксикарбонил (MOZ), 4-нитробензилоксикарбонил или 9-фторенилметоксикарбонил (Fmoc); 2-(фенилсульфонил)этоксикарбонил; триметилсилилэтоксикарбонил (Теос), или арилсульфонил, такой как 4-метокси-2,3,6-триметилфенилсульфонил (Mtr). Предпочтительными аминозащитными группами являются ВОС, Fmoc и Aloc, кроме того, CBZ, бензил и ацетил. Особенно предпочтительными защитными группами являются ВОС и Fmoc.

[24]

Соединения формулы I могут иметь один или более хиральных центров и, следовательно, могут встречаться в различных стереоизомерных формах. Формула I охватывает все эти формы.

[25]

Особенно предпочтительными соединениями формулы I являются следующие:

[26]

а) 2-аминометил-4-хроманон,

[27]

б) (R)-2-аминометил-4-хроманон,

[28]

в) (S)-2-аминометил-4-хроманон, и их соли.

[29]

Изобретение относится, кроме того, к способу получения производных хроманона формулы I по Пункту 1 и их солей, отличающемуся тем, что при помощи нерацемического хирального катализатора осуществляют гидрогенизацию соединения формулы II

[30]

[31]

в которой

[32]

R1, R2, R3 и R4 соответствуют определениям, приведенным в Пункте 1, и

[33]

R6 обозначает ацил, содержащий от 1 до 6 атомов углерода, -СО-Ar или аминозащитную группу,

[34]

чтобы получить соединение формулы III

[35]

[36]

в которой радикалы R1-R6 соответствуют приведенным выше определениям, и радикал R6отщепляют.

[37]

В частности, было обнаружено, что гидрогенизация (2-ацетиламинометил)хромен-4-она с различными нерацемическими хиральными комплексами родий/дифосфин дает энантиомерически обогащенный (2-ацетиламинометил)-хроман-4-он, и в то же время ацетиловую группу можно отщепить, предупреждая рацемизацию.

[38]

Изобретение относится также к способу получения производных хроманона формулы I, отличающемуся тем, что нерацемическим хиральным катализатором является комплекс переходного металла.

[39]

Катализатором является особенно предпочтительно комплекс переходного металла, содержащий металл, выбранный из группы, состоящей из родия, иридия, рутения и палладия.

[40]

Изобретение относится, кроме того, к способу получения производных хроманона формулы I, отличающемуся тем, что катализатором является комплекс переходного металла, в котором переходной металл образует комплекс с лигандом хирального дифосфина.

[41]

В качестве примера можно указать следующие лиганды:

[42]

(S)-EtDuphos:
(S)-BINAP:

[43]

(S)-TolBINAP:
где Tol обозначает
(S,S)-Chiraphos:
(S,S)-DIOP:
(S,S)-Skewphos (BDPP):
(S,S)-BPPM:

[44]

(R,R)-Norphos:
(S,R)-BPPFOH:
(S,R)-PFctBu:

[45]

В зависимости от выбора (R) или (S)-энантиомера лиганда в катализаторе, в избытке получают (R)- или (S)-энантиомеры.

[46]

Предшественниками хиральных лигандов являются такие соединения, как, например, Rh(COD)2OTf (циклооктадиенилродия трифлат), [Rh(COD)Cl]2, Rh(COD)2BF4, [lr(COD)Cl]2, lr(COD)2BF4 или [Ru(COD)Cl2]x.

[47]

Соединения формулы I, а также исходные материалы для их получения, можно, кроме того, приготовить при помощи известных химических реакций, которые описаны в литературе (например, в классических работах, таких как Houben-Weyl, Methoden der organischen Chemie [Methods of Organic Chemistry], Georg-Thieme-Verlag, Stuttgart), при строгом соблюдении реакционных условий, которые известны и пригодны для проведения упомянутых реакций. С этой целью можно также использовать их варианты, которые сами по себе известны, но здесь конкретнее не указаны.

[48]

Если это желательно, исходные материалы можно получать непосредственно в реакторе таким образом, чтобы, не выделяя их из реакционной смеси, сразу проводить их последующее превращение в соединения формулы I.

[49]

Некоторые из соединений формулы II известны; неизвестные соединения можно легко приготовить по аналогии с методиками получения известных соединений. Превращение соединения формулы II в соединение формулы I осуществляют в соответствии со способом по данному изобретению, с использованием газообразного водорода и при помощи нерацемического хирального катализатора в инертном растворителе, таком как, например, метанол или этанол, с последующим удалением радикала R6 без рацемизации, как указано выше.

[50]

Примерами подходящих инертных растворителей являются углеводороды, такие как гексан, петролейный эфир, бензол, толуол или ксилол; хлорированные углеводороды, такие как трихлорэтилен, 1,2-дихлорэтан, тетрахлорметан, хлороформ или дихлорметан; спирты, такие как изопропанол, п-пропанол, п-бутанол или трет-бутанол; эфиры, такие как диэтиловый эфир, диизопропиловый эфир, тетрагидрофуран (THF) или диоксан; гликолевые эфиры, такие как этиленгликоля монометиловый или моноэтиловый эфир или этиленгликоля диметиловый эфир (диглим); кетоны, такие как ацетон или бутанон; амиды, такие как ацетамид, диметилацетамид или диметилформамид (DMF); нитрилы, такие как ацетонитрил; эфиры, такие как этилацетат и, если это желательно, также смеси указанных растворителей друг с другом или их смеси с водой.

[51]

Время реакции в энантиоселективной гидрогенизации составляет от нескольких минут до 14 дней, в зависимости от используемых условий, а температуру реакции выбирают из интервала между 0 и 150°, обычно между 20 и 130°.

[52]

Отношение катализатор/носитель обычно находится в диапазоне от 1:100000 до 1:10, особенно предпочтительно от 1:10000 до 1:100. В этих случаях время реакции составляет, например, от 3 до 20 часов. Гидрогенизацию проводят при давлении водорода 1-200 бар, предпочтительно при 3-100 бар.

[53]

Удаление радикала R6без рацемизации, если R6 представляет собой ацил, осуществляют, например, с использованием NaOH или КОН в воде, смесях вода/THF, вода/диоксан или с использованием водного раствора соляной кислоты при температурах между 0 и 100°C.

[54]

Высвобождение соединений формулы I из их функциональных производных, т.е. удаление радикала R6, когда R6представляет собой аминозащитную группу, осуществляют по методикам, описанным в литературе для соответствующих защитных групп (например, T.W.Greene, P.G.M. Wuts, Protective Groups in Organic Chemistry, 2 nd Edn., Wiley, New York, 1991 или P.J.Kocienski, Protecting Groups, 1st Edn., Georg Thieme Verlag, Stuttgart- New-York, 1994). Кроме того, можно использовать их варианты, которые сами по себе известны, но здесь подробнее не упомянуты.

[55]

Основание формулы I можно превратить в ассоциированную соль с кислотным остатком, например, в реакции эквивалентных количеств основания и кислоты в инертном растворителе, таком как этанол, с последующим выпариванием. Подходящими кислотами для этой реакции являются, в частности, такие, которые дают физиологически приемлемые соли. Следовательно, можно использовать неорганические кислоты, например серную кислоту, азотную кислоту, гидрогалогенидные кислоты, такие как соляная кислота или бромистоводородная кислота, фосфорные кислоты, такие как ортофосфорная кислота или сульфаминовая кислота, кроме того, органические кислоты, в особенности алифатические, алициклические, аралифатические, ароматические или гетероциклические моноосновные или полиосновные карбоновые, сульфоновые или серные кислоты, например муравьиную кислоту, уксусную кислоту, пропионовую кислоту, триметилуксусную кислоту, диэтилуксусную кислоту, малоновую кислоту, янтарную кислоту, пимелиновую кислоту, фумаровую кислоту, малеиновую кислоту, молочную кислоту, винную кислоту, яблочную кислоту, лимонную кислоту, глюконовую кислоту, аскорбиновую кислоту, никотиновую кислоту, изоникотиновую кислоту, метан- или этансульфоновую кислоту, этандисульфоновую кислоту, 2-гидроксиэтансульфоновую кислоту, бензолсульфоновую кислоту, р-толуолсульфоновую кислоту, нафталинмоно- и -дисульфоновые кислоты, и лаурилсульфоновую кислоту. Соли с физиологически неприемлемыми кислотами, например пикраты, можно использовать для выделения и/или очистки соединений формулы I.

[56]

С другой стороны, соединения формулы I можно превращать в соответствующие соли металлов, в частности в соли щелочных или щелочноземельных металлов, или в соответствующие соли аммония, при помощи оснований (например, гидроксида натрия, гидроксида калия, карбоната натрия или карбоната калия).

[57]

Изобретение, кроме того, относится к применению соединений формулы I в качестве промежуточных соединений для синтеза медицинских препаратов. Соответствующие медицинские препараты, которые предпочтительно оказывают воздействие на центральную нервную систему, описаны, например, в ЕР 0707007.

[58]

Следовательно, изобретение относится, в частности, к способу применения соединений формулы I по Пункту 1 в синтезе (R)-2-[5-(4-фторфенил)-3-пиридилметиламинометил]хромана и его солей, отличающемуся тем, что

[59]

а) при помощи нерацемического хирального катализатора проводят гидрогенизацию соединения формулы II

[60]

[61]

в которой R1, R2, R3и R4обозначают Н, a R6соответствует определению, приведенному в Пункте 4, чтобы получить соединение формулы III

[62]

[63]

в которой радикалы R1-R6соответствуют приведенным выше определениям, тем, что

[64]

б) энантиомерически чистое (R)-соединение формулы IIIa

[65]

[66]

получают кристаллизацией из полученной энантиомерически обогащенной смеси (R)- и (S)-соединений формулы III, в которой R1-R6соответствуют приведенным выше определениям,

[67]

тем, что

[68]

в) радикал R6 удаляют из полученного (R)-соединения формулы IIIa, в

[69]

которой R1-R6соответствуют приведенным выше определениям, чтобы получить энантиомерически чистое (R)-соединение формулы I

[70]

[71]

в которой R1, R2, R3 и R4 обозначают Н, или соль этого соединения,

[72]

тем, что

[73]

г) энантиомерически чистое (R)-соединение формулы I, в которой R1-R4

[74]

обозначают Н, восстанавливают по обычной методике, чтобы получить (R)-аминометилхроман,

[75]

тем, что

[76]

д) полученный (R)-(хроман-2-илметил)амин превращают в его соль с кислотным остатком, а последнюю превращают по известной методике в (R)-2-[5-(4-фторфенил)-3-пиридилметиламинометил]-хроман и возможно - в его соль с кислотным остатком, кроме того, можно осуществлять

[77]

выделение (R)-энантиомера из энантиомерически обогащенной (R,S)-смеси кристаллизацией после этапа с) или после этапа d).

[78]

Изобретение относится, кроме того, к применению соединений формулы I в качестве промежуточных соединений для синтеза медицинских препаратов, которые оказывают воздействие на центральную нервную систему.

[79]

Карбонильную группу соединений формулы I по данному изобретению можно восстанавливать для получения соответствующих производных хромана формулы I реакцией восстановления Wolff-Kishner (например, Paradkar, M.V. и др., в J. Chem. Res., Synop. 1998, 6, 318-319) при стандартных реакционных условиях или гидрогенизацией с использованием катализатора из благородного металла (например, P.M.Rylander, Hydrogenation Methods, Best Synthetic Methods, Academic Press, 1985) при стандартных реакционных условиях.

[80]

(R)-(хроман-2-илметил)амин, синтезированный из соединения формулы I по данному изобретению, в которой R1-R4 обозначают Н, в реакции восстановления Wolff-Kishner или гидрогенизацией с использованием катализатора из благородного металла, превращают в его соль с кислотным остатком по описанной выше методике, а эту соль можно по известной методике превратить в (R)-2-[5-(4-фторфенил)-3-пиридил-метиламинометил]хроман (лит.: ЕР 0707007).

[81]

Аналогичным образом, (Хроман-2-илметил)амин можно получить из соединения формулы III, в которой R1-R4 обозначают Н, в соответствии с последовательностью реакций 1:

[82]

Последовательность реакций 1:

[83]

[84]

Начиная от соединения N-(4-оксохроман-2-илметил)ацетамид 1, карбонильную группу гидрогенизируют до гидроксильной группы с использованием катализатора из благородного металла, например с использованием Pd на угле (влажность 50%), чтобы получить соединение N-(4-гидроксихроман-2-илметил)ацетамид 2. Ацетиловую группу отщепляют при помощи основания, например гидроксида натрия. Добавление кислоты приводит к получению соли с кислотным остатком 3 2-аминометилхроман-4-ола. Дальнейшая гидрогенизация с использованием катализатора из благородного металла позволяет получить соль с кислотным остатком 4 2-аминометилхромана.

[85]

Реакция энантиомерически чистых соединений, т.е. реакция (R)-N-(4-оксохроман-2-илметил)ацетамида, с водородом в присутствии катализатора из благородного металла дает (R)-N-(4-гидроксихроман-2-илметил)ацетамид.

[86]

Последующее удаление ацетиловой группы дает (R)-2-аминометилхроман-4-ол и, в зависимости от обработки, его соли. Восстановление в присутствии катализатора из благородного металла дает (R)-2-аминометилхроман и, в зависимости от обработки, его соли. Аналогичными промежуточными соединениями в реакции (S)-N-(4-оксохроман-2-ил-метил)ацетамида являются (S)-N-(4-гидроксихроман-2-илметил)-ацетамид и (S)-2-аминометилхроман-4-ол.

[87]

Кроме того, изобретение относится также к соединениям

[88]

а) N-(4-гидроксихроман-2-илметил)ацетамид,

[89]

б) 2-аминометилхроман-4-ол,

[90]

в) (R)-N-(4-гидроксихроман-2-илметил)ацетамид,

[91]

г) (R)-2-аминометилхроман-4-ол,

[92]

д) (S)-N-(4-гидроксихроман-2-илметил)ацетамид и

[93]

е) (S)-2-аминометилхроман-4-ол.

[94]

Изобретение относится, кроме того, к применению описанных выше соединений от а) до f) в синтезе (R)-2-[5-(4-фторфенил)-3-пиридилметиламинометил]хромана и его солей.

[95]

Кроме того, можно получать (R/S)-2-аминометилхроман и его соли в энантиомерно чистом виде или в виде рацемата, непосредственно в одном реакционном сосуде, из N-(4-оксохроман-2-илметил)ацетамида, при помощи отщепления амида с последующим восстановлением.

[96]

Выше и ниже все температуры указаны в °С. В представленных ниже примерах термин «обычная обработка» означает, что при необходимости добавляют воду, если потребуется, то доводят рН до значений от 2 до 10, в зависимости от состава конечного продукта, смесь экстрагируют этилацетатом или дихлорметаном, разделяют фазы, органическую фазу высушивают над сульфатом натрия и выпаривают, а продукт очищают хроматографией на силикагеле и/или кристаллизацией. Значения Rf даны на силикагеле.

[97]

Пример 1:

[98]

(1) 35,1 г N-(4-оксохромен-2-илметил)ацетамида суспендировали в 90 мл толуола и в инертных условиях добавили 1,6 мл 10 миллимолярного раствора, состоящего из [Rh((S)-TolBINAP)(COD)Cl] в толуоле. Эту суспензию подвергали гидрогенизации в автоклаве при давлении водорода 100 бар и температуре 100°С. Через 12 часов получили энантиомерно чистый (>99% ее) (R)-N-(4-оксохроман-2-илметил)ацетамид путем его кристаллизации в результате охлаждения до комнатной температуры. После высушивания получили 31,04 г (R)-N-(4-оксохроман-2-илметил)ацетамида.

[99]

(2) 3,7 г гидроксида натрия растворили в 80 мл воды. После добавления 10,13 г (R)-N-(4-оксохроман-2-илметил)ацетамида смесь дефлегмировали в течение 20 часов. После охлаждения водную фазу трижды экстрагировали эфиром МТВ (метил трет-бутиловый эфир) и произвели отгонку растворителя при пониженном давлении. Осадок поместили в 50 мл этанола и добавили 4,7 мл 37% HCl. Выпавший в осадок (R)-2-аминометилхроман-4-она гидрохлорид отфильтровали и высушили. Выход 9,55 г.

[100]

Пример 2:

[101]

Получение (R)-2-аминометилхромана из (R)-2-аминометил-хроман-4-она гидрохлорида для последующего синтеза (R)-2-[5-(4-фторфенил)-3-пиридилметиламинометил]хромана и его солей осуществляли по методике, описанной в ЕР 0707007:

[102]

9,55 г (R)-2-аминометилхроман-4-она гидрохлорида гидрогенизировали при 50°С и давлении водорода 7 бар в присутствии 950 мг 5% Pd/уголь (влажность 50%) в 100 мл метанола, чтобы получить (R)-2-аминометилхроман. Горячий отфильтрованный раствор выпарили до 50 мл и охладили, выпавший в осадок продукт (R)-2-аминометилхроман отфильтровали и высушили (выход: 8,04 г).

[103]

Пример 3:

[104]

Альтернативный синтез для получения (R)-2-аминометилхромана из N-(4-оксохроман-2-илметил)ацетамида для последующего синтеза (R)-2-[5-(4-фторфенил)-3-пиридилметиламинометил]хромана и его солей осуществляли по методике, описанной в ЕР 0707007:

[105]

(1) 20,9 г N-(4-оксохроман-2-илметил)ацетамида растворили в 70 мл толуола при 70°С и проводили гидрогенизацию в течение 15 часов при 70°С и давлении водорода 3 бар в присутствии 2 г 5% Pd/уголь (влажность 50%).

[106]

Теплый гидрогенизационный раствор отфильтровали, и при -10°С произвели кристаллизацию соединения (R)-N-(4-гидрокси-хроман-2-илметил)ацетамид. Высушивание дает 19 г (R)-N-(4-гидроксихроман-2-илметил)ацетамида.

[107]

(2) 18,99 г (R)-N-(4-гидроксихроман-2-илметил)ацетамида и 7,5 г гидроксида натрия выдерживали при температуре дефлегмации в течение 15 часов в 150 мл воды. Затем продукт экстрагировали эфиром MTB, раствор выпарили и осадок поместили в 80 мл этанола. После добавления 10 мл 37% HCl гидрохлорид (R)-2-аминометилхроман-4-ола выпал в осадок. Высушивание обеспечивает выход 19,26 г.

[108]

(3) 19,2 г (R)-2-аминометилхроман-4-ола гидрохлорида растворили в 300 мл метанола и произвели гидрогенизацию при 50°С и 7 бар в присутствии 2 г 5% Pd/уголь (влажность 50%). После фильтрации и выпаривания фильтрата кристаллизуется (R)-2-аминометилхроман (выход 15,5 г).

[109]

Пример 4:

[110]

Синтез в одном реакторе для получения (R)-2-аминометилхромана из N-(4-оксохроман-2-илметил)ацетамида для последующего синтеза (R)-2-[5-(4-фторфенил)-3-пиридилметиламинометил]хромана и его солей осуществляли по методике, описанной в ЕР 0707007:

[111]

100 мл 5,8 М HCl добавили к 7,85 г N-(4-оксохроман-2-илметил)-ацетамида и 1,0 г 5% Pd/уголь (влажность 50%) и смесь выдерживали в автоклаве при температуре 110°С в течение 24 часов. Затем смесь охладили до 50°С и инжектировали водород до 3 бар. Гидрогенизация была завершена через 16 часов и после фильтрации и кристаллизации выделили 4,1 г (R)-2-аминометилхромана.

Как компенсировать расходы
на инновационную разработку
Похожие патенты