патент
№ RU 2234064
МПК G01J9/00

СПОСОБ ИЗМЕРЕНИЯ СТЕПЕНИ ПРОСТРАНСТВЕННОЙ КОГЕРЕНТНОСТИ ЛАЗЕРНОГО ИЗЛУЧЕНИЯ

Авторы:
Слюсарева Е.А.
Номер заявки
2003109596/28
Дата подачи заявки
04.04.2003
Опубликовано
10.08.2004
Страна
RU
Как управлять
интеллектуальной собственностью
Чертежи 
1
Реферат

[41]

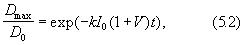
Изобретение относится к квантовой физике и квантовой электронике. В способе, основанном на связи видности интерференционной картины с измеряемыми параметрами распределения оптической плотности зарегистрированной интерференционной картины, в качестве регистрирующей среды используют пленочные, оптически тонкие образцы твердых растворов красителя эозина в желатине, а степень пространственной когерентности определяется по формуле

[42]

[43]

где Dmin - минимальная оптическая плотность; Dmax- максимальная оптическая плотность; D0 - оптическая плотность необлученной части образца. Техническим результатом изобретения является упрощение и удешевление способа измерения степени пространственной когерентности лазерного излучения. 2 ил.

[44]

Формула изобретения

Способ измерения степени пространственной когерентности лазерного излучения, основанный на прямой связи видности интерференционной картины с измеряемыми параметрами распределения оптической плотности регистрирующей среды, отличающийся тем, что в качестве регистрирующей среды используют пленочные образцы твердых растворов красителя эозина в желатине, а степень пространственной когерентности определяют по формуле

где Dmin - минимальная оптическая плотность;

Dmax- максимальная оптическая плотность;

D0 - оптическая плотность необлученной части образца.

Описание

[1]

Изобретение относится к квантовой физике и квантовой электронике и может быть использовано для измерения и исследования когерентных свойств излучения непрерывных лазеров.

[2]

Наиболее распространенным способом измерения пространственной когерентности поля является интерференционный [Измерение спектрально-частотных и корреляционных параметров и характеристик лазерного излучения./ Под. ред. А.Ф.Котюка. - М.: Радио и связь, 1982, с.250-258], согласно которому модуль комплексной степени когерентности γ пропорционален видности полос (V), наблюдаемых в зоне интерференции двух пучков с интенсивностями I1 и I2

[3]

[4]

При I1=I2

[5]

[6]

[7]

где Imin - интенсивность в минимуме интерференционной картины;

[8]

Imax - интенсивность в максимуме интерференционной картины.

[9]

Измерение видности интерференционной картины, полученной с помощью двухлучевых интерферометров, осуществляется фотографическим способом. Для этого фотоснимок интерференционной картины фотометрируется, измеряется почернение в минимумах и максимумах, по известным характеристикам светочувствительности материалов рассчитывается интенсивность в максимуме и минимуме и через соотношения (1.2) или (1.1) и (2) находится степень когерентности. Однако вследствие сложной функциональной связи оптической плотности с экспозицией этот способ не получил широкого распространения.

[10]

В качестве прототипа выбран метод фотографической фотометрии измерения распределения интенсивности неоднородных световых полей [Г.Хирд. Измерение лазерных параметров. - М.: Мир, 1970, с.125].

[11]

Применение последнего способа связано с трудностями, обусловленными сложной функциональной связью оптической плотности изображения с интенсивностью записывающего светового поля, требует проявления скрытого изображения, сопряжено с зависимостью от режима обработки фотоматериала и требует использования серебросодержащих веществ.

[12]

Техническим результатом изобретения является упрощение и удешевление способа измерения степени пространственной когерентности лазерного излучения.

[13]

Указанный технический результат достигается тем, что в способе измерения степени пространственной когерентности лазерного излучения, основанном на связи видности интерференционной картины с измеряемыми параметрами распределения оптической плотности регистрирующей среды, новым является то, что в качестве регистрирующей среды используют пленочные образцы твердых растворов красителя эозина в желатине, а степень пространственной когерентности определяется по формуле

[14]

[15]

где Dmin - минимальная оптическая плотность;

[16]

Dmax - максимальная оптическая плотность;

[17]

D0 - оптическая плотность необлученной части образца.

[18]

Результат достигается путем выбора в качестве регистрирующей среды пленочных образцов твердых растворов красителя эозина в желатине. Для приготовления образцов использовались реактивы: желатин фотографический марки А с рН 5,5-6,8 и эозин К марки ЧДА. Образцы готовились путем медленного высушивания водного раствора красителя в желатине на стеклянной подложке. Толщина готовой пленки составляет 1-5 мкм. Требованию уверенной регистрации градации оптической плотности при ее минимальном значении удовлетворяет концентрация красителя в пленке, равная 1-2 мас.%.

[19]

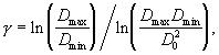
Связь оптической плотности с интенсивностью и временем экспозиции t для таких образцов имеет простой функциональный вид [А.Г.Сизых, Е.А.Тараканова, Л.Л.Татаринова. Квантовая электроника 30, №1, с.40-44 (2000)]

[20]

[21]

где D(x) - распределение оптической плотности в записанной с помощью регистрирующей среды светоиндуцированной решетке;

[22]

D0 - оптическая плотность необлученной части образца;

[23]

k - константа скорости фотохимической реакции, зависящая от фотофизических свойств регистрирующей среды;

[24]

[25]

- профиль интерференционного поля с периодом А.

[26]

Перепишем формулу (3) для значений оптической плотности в минимуме и максимуме интерференционной картины

[27]

[28]

[29]

здесь I0=I1+I2, а затем прологарифмируем

[30]

[31]

[32]

Из формул (6.1) и (6.2) следует выражение

[33]

[34]

в которое входит значение трех экспериментально измеряемых величин: минимальной (Dmin), максимальной (Dmax) оптической плотности и оптической плотности необлученной части образца (D0).

[35]

Метод обеспечивает максимальную точность в случае выполнения требования: величина интенсивности должна превышать 0,75 Вт·см-2, что обусловлено границами применимости формулы (2).

[36]

На фиг.1 дана оптическая схема устройства для записи фотохимической светоиндуцированной решетки. На фиг.2 представлен результат фотометрирования записанной решетки (распределение оптической плотности D вдоль волнового вектора решетки. Время экспозиции 308 с (1), 1425 с (2)).

[37]

Устройство содержит источник когерентного излучения (лазер) (1), бипризму Френеля (2), диафрагму с двумя отверстиями (3), линзу (4) и образец светочувствительного материала (5).

[38]

Устройство работает следующим образом. Когерентное излучение лазера (1) направляется на бипризму Френеля (2), которая делит волновой фронт на две равные по интенсивности части, каждая из них проходит через диафрагму (3). Равенство интенсивностей контролируется измерителем мощности (не показан). Диафрагма пропускает небольшую часть волнового фронта каждого из пучков, сформированных бипризмой Френеля. С помощью линзы (4) оба пучка пересекаются в плоскости (объеме) образца (5) регистрирующей среды, в которой записывается профиль интерференционного поля в виде светоиндуцированной решетки (чередования полос оптической плотности, отражающего распределение интенсивности и степени когерентности в поперечном сечении пучка). Светоиндуцированная решетка затем фотометрируется с помощью микрофотометра, ширина измерительной щели которого должна быть меньше периода светоиндуцированной решетки. Спектральная полоса фотометрирования выделяется с помощью светофильтра ЗС-7. В качестве микрофотометра был использован прибор ИФО-451.

[39]

Рассчитанная по формуле (7) с использованием измеренных значений оптической плотности (Dmin, Dmax, D0) максимальная величина степени пространственной когерентности излучения TEM01 моды аргонового лазера (λ =488 нм) составляет 0,72±0,08.

[40]

Способ измерения степени пространственной когерентности лазерного излучения с помощью анализа микрофотограммы фотохимических светоиндуцированных решеток, записанных в интерференционном поле лазерного излучения в твердых растворах эозина в желатине, упрощает функциональную связь оптической плотности с интенсивностью, исключает этап проявления скрытого изображения, использует простую технологию приготовления пленок на основе доступных и недорогих компонентов, не содержащих серебра.

Как компенсировать расходы
на инновационную разработку
Похожие патенты