патент
№ RU 2229530
МПК C22B34/34

СПОСОБ СОРБЦИИ МОЛИБДЕНА (VI)

Авторы:
Пастухов А.В. Гагиева Ф.А. Гагиева З.А.
Все (4)
Номер заявки
2002118244/02
Дата подачи заявки
09.07.2002
Опубликовано
27.05.2004
Страна
RU
Как управлять
интеллектуальной собственностью
Чертежи 
4
Реферат

[35]

Способ извлечения молибдена (VI) из водных растворов относится к области извлечения веществ с использованием сорбентов и может быть использован в цветной и черной металлургии, а также для очистки промышленных и бытовых стоков. Техническим результатом является нахождение оптимальных условий для быстрого и эффективного способа извлечения ионов молибдена (VI) из водных растворов. Это достигается тем, что сорбцию осуществляют на анионите марки АМП, содержащем обменные группы: -СН2 - ≤. При этом сорбцию ведут при рН>4 и времени не более часа при предварительных кислой, щелочной или водной обработках анионита. При рН=1-4 и времени сорбции больше суток ведут при предварительной кислой или водной обработках анионита. 2 з.п.ф-лы, 5 ил.

[36]

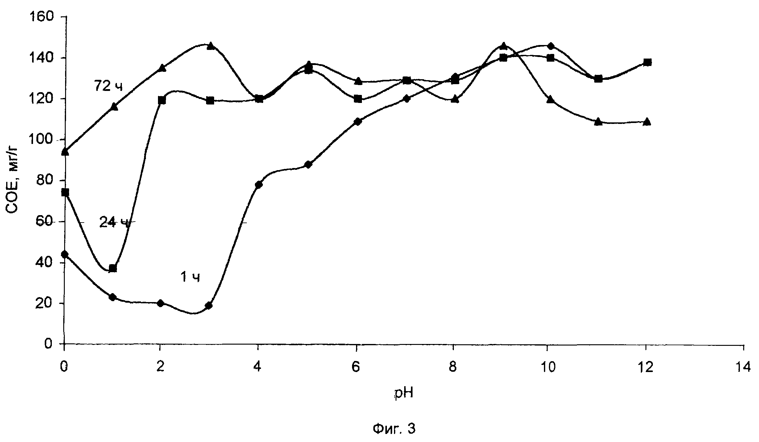
Формула изобретения

1. Способ сорбции ионов молибдена из водных растворов, включающий контакт раствора и анионита марки АМП, содержащего обменные группы

отличающийся тем, что перед сорбцией анионит подвергают предварительным кислой, щелочной или водной обработкам.

2. Способ по п.1, отличающийся тем, что после предварительных кислой, щелочной или водной обработок анионита сорбцию ведут при рН>4 и времени не более часа.

3. Способ по п.1, отличающийся тем, что после предварительных кислой или водной обработок анионита сорбцию ведут при рН 1-4 и времени больше суток.

Описание

[1]

Способ извлечения молибдена (VI) из водного раствора относится к области извлечения веществ с использованием сорбентов и может быть использован в цветной и черной металлургии, а также для очистки промышленных и бытовых стоков.

[2]

Известно применение ионообменных смол для переработки растворов молибдата натрия [Р.Рипан, И.Четяну Неорганическая химия, т.2. Химия металлов, под ред В.И.Спицына и И.Д.Колли. М.: Мир, 1972. с.284]. С этой целью применяют как аниониты, так и катиониты.

[3]

Недостатком способов является длительность процесса сорбции.

[4]

Наиболее близким техническим решением является способ сорбции ионов молибдена из водных растворов, включающий контакт раствора и анионита марки АМН, содержащего обменные группы -СН2-N+ ≤ при различных значениях рН от 5 до 2 [Зеликман А.Н. Молибден. М.: Металлургия, 1970, с.150-153].

[5]

Недостатком способа является то, что сорбция исследовалась без учета влияния предварительной обработки сорбента.

[6]

Задачей, на решение которой направлено заявленное изобретение, является нахождение оптимальных условий для быстрого и эффективного способа извлечения ионов молибдена из водного раствора.

[7]

Техническим результатом, который может быть достигнут при осуществлении изобретения, является повышение эффективности процесса сорбции молибдена из водного раствора.

[8]

Этот технический результат достигается тем, что в способе сорбции ионов молибдена из водных растворов, включающем контакт раствора и анионита марки АМП, содержащего обменные группы

[9]

-CH2-N+ ≤,

[10]

перед сорбцией анионит подвергают предварительной кислой, щелочной или водной обработкам. При этом после предварительных кислой, щелочной или водной обработок анионита сорбцию ведут при рН>4 и времени не более часа. После предварительных кислой или водной обработок анионита сорбцию ведут при рН=1-4 и времени больше суток.

[11]

Сущность способа поясняется чертежами, где на фиг.1-5 даны зависимости сорбционной обменной емкости (СОЕ) анионита сорбента, в мг Mo(VI) на 1 г сорбента, от величины рН раствора, времени сорбции и способа предварительной обработки сорбента.

[12]

Примеры конкретного выполнения способа.

[13]

Сорбцию Мо (VI) осуществляли из 200 см3 исходного раствора Na2MoО4, масса сорбента 2 г. Сорбент предварительно в течение суток выдерживали в 0,1 н растворах NaOH, HC1, или в дистиллированной воде.

[14]

Концентрацию ионов молибдена определяли на фотоколориметре марки КФК-3, кислотно-основные характеристики раствора контролировали рН-метром марки рН-121.

[15]

В процессе сорбции величина рН раствора изменялась, поэтому в процессе сорбции проводили коррекцию заданного значения рН при непрерывном перемешивании.

[16]

Перемешивание и поддержание заданного значения рН осуществляли до тех пор, пока в дальнейшем кислотно-основные характеристики системы изменялись незначительно. Однако для большей гарантии достижения равновесия контакт сорбента и раствора осуществляли не менее суток. Для поддержания заданного значения рН раствора в процессе сорбции в качестве нейтрализаторов использовали растворы NaOH или HCl. Заданное значение рН поддерживали в течение 5 часов от начала сорбции нейтрализацией раствора, в дальнейшем величина рH изменялась незначительно, поэтому коррекцию величины рН осуществляли один раз в сутки.

[17]

Сорбцию осуществляли при комнатной температуре.

[18]

Используя значения концентраций ионов молибдена в водном растворе исходном и после сорбции, рассчитывали СОЕ, мг/г.

[19]

Пример 1 (фиг.1, 2).

[20]

Сорбент предварительно в течение суток выдерживали в 0,1 н. растворе HCl.

[21]

На фиг.1 даны результаты сорбции из водного раствора с концентрацией 1618 мг Мо(VII)/дм3 за время 7 суток. Сорбция осущестлялась в интервале рН=1-13. При рН>6 сорбция осуществлялась за время менее 1 часа, СОЕ=101-122 мг/г. При рН<6 за время менее 1 часа сорбция незначительна, СОЕ=30-70 мг/г, а за время более суток сорбция возрастает, COE=115-155 мг/г. Лучшие результаты получены при рН=10-11 за время 1 сутки СОЕ=132 мг/г, рН=5 за время 2 суток СОЕ=145 мг/г, при рН=5 за время 3 суток СОЕ=150 мг/г и при рН=3 за время менее 7 суток СОЕ=155 мг/г.

[22]

На фиг.2 даны результаты сорбции при рН=8 из водного раствора с концентрацией 1608 мг/дм3 (кривая 1) и рН=4 из водных растворов с концентрациями, мг/дм3: 1608 и 2400 (кривые 2, 3 соответственно). При рН=8 сорбция осуществлялась за время 1 час, СОЕ=100 мг/г, результаты сорбции сохранялись в пределах суток, на 2-3 сутки сорбция немного возрастала, СОЕ=115 мг/г. При рН=4 и времени сорбции 1 час сорбция для всех концентраций незначительна, СОЕ=13-26 мг/г, а при времени сорбции больше суток увеличивалась, СОЕ=140-200 мг/г.

[23]

Пример 2 (фиг.3, 4).

[24]

Сорбент предварительно в течение суток выдерживали в 0,1 н. растворе NaOH.

[25]

На фиг.3 даны результаты сорбции из водного раствора с концентрацией 1880 мг Мо(VII)/дм3 за время 6 суток. Сорбция осуществлялась в интервале рH=1-12. При рH≥6 сорбция осуществлялась за время менее 1 часа, СОЕ=110-145 мг/г. При рH=1-6 за время менее 1 часа сорбция незначительна, СОЕ=20-90 мг/г, а за время более суток сорбция возрастает, СОЕ=120-145 мг/г. При рH=0 сорбция не превышала значения СОЕ=94 мг/г, эта величина получена в течение 3 суток и в дальнейшем не изменялась. Лучшие результаты получены при рН=9-10 за время 1 сутки СОЕ=140 мг/г, рН=5 за время 2 суток СОЕ=135 мг/г, при рН=5 за время 3 суток СОЕ-150 мг/г и при рН=3-5 за время менее 5 суток СОЕ=140-145 мг/г.

[26]

На фиг.4 даны результаты сорбции при рН=3 из водного раствора с концентрацией 2700 мг/дм3 (кривая 1) и 3200 мг/дм3 (кривая 2). При рН=3 сорбция осуществлялась за время 1 час, СОE=80 и 167 мг/г соответственно, результаты сорбции в пределах 1-4 суток возрастали до значений СОЕ=220, 286 мг/г соответственно.

[27]

Пример 3 (фиг.5).

[28]

Сорбент предварительно в течение суток выдерживали в дистиллированной воде.

[29]

На фиг.5 даны результаты сорбции из водного раствора с концентрацией 1618 мг Мо(VII)/дм3 за время 7 суток. Сорбция осуществлялась в интервале рH=1-13. При pH≥6 сорбция осуществлялась за время менее 1 часа, СОЕ=110-121 мг/г. При рH<6 за время менее 1 часа сорбция незначительна, СОЕ=20-80 мг/г, а за время более суток сорбция возрастает, СОЕ=120-155 мг/г. Лучшие результаты получены при рH=8-9 за время 1 сутки СОЕ=118 мг/г, рН=4 за время 2-3 суток СОЕ=141 мг/г, при рН=3 за время 7 суток СОЕ=155 мг/г.

[30]

Из данных фиг.1-5 следует, что при комнатной температуре результаты сорбции зависят от предварительной обработки сорбента, концентрации исходного раствора, величины рH раствора в процессе сорбции и времени сорбции.

[31]

Получены близкие результаты сорбции при предварительной кислой или водной обработках сорбента. Полимеризационные процессы, протекающие в слабокислых растворах, незначительно повышают сорбционную обменную емкость гелевого сорбента, но снижают скорость сорбции, так как полимеризационные превращения осуществляются во времени.

[32]

При щелочной обработке сорбента полимеризационные процессы, протекающие в слабокислой области, также снижают скорость сорбции, при этом сорбционная обменная емкость не превышает ее значения, достигнутого в слабощелочной области.

[33]

При любых способах обработки сорбента в щелочной области с течением времени происходит небольшое снижение его сорбционной обменной емкости, что может быть связано с деструкцией сорбента в щелочных средах.

[34]

По сравнению с прототипом сорбция на анионитс марки АМП при оптимальных условиях является быстрым и эффективным способом извлечения ионов молибдена (VI) из водных растворов.

Как компенсировать расходы
на инновационную разработку
Похожие патенты