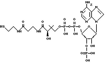
Описываются новые соединения - высокомеченные тритием коэнзим А или ацетил-коэнзим А формулы I
где КоА-R= Н; КоА-Ас-R=CH3CO, которые являются физиологически активными соединениями.
При биохимических и медикобиологических исследованиях таких соединений современными методами необходимо иметь их в виде меченых соединений. 1 табл.
Высокомеченные тритием коэнзим А или ацетил-коэнзим А формулы I
где KoA - R = H;
KoA-Ac - R = CH3CO.
Изобретение относится к органической химии и может найти применение в биохимии, в медицине, в медикобиологических
исследованиях. Известен коэнзим A (KoA) и ацетил-коэнзим A (KoA-Ac) общей формулы I Коэнзим A и
ацетил-коэнзим A являются физиологически активными соединениями. При биохимических и медикобиологических исследованиях таких соединений современными методами необходимо иметь их в виде меченых
соединений. Задачей, решаемой настоящим изобретением, является расширение ассортимента меченых органических соединений, обладающих физиологической активностью. Задача
решается тем, что получены высокомеченные тритием коэнзии A и ацетил-коэнзим A. Молекулы коэнзима A и ацетил-коэнзима A содержат двухвалентную серу. Введение метки в данные соединения
осложнено наличием в них дифосфатного фрагмента. Впервые установлено, что изотопный обмен при работе с данными соединениями необходимо производить при температуре 98-102oC в течение 27-33
мин при использовании растворителя в виде смеси диоксана с триэтиламином. Для введения метки в данные соединения их помещают в реакционную ампулу в смеси с окисью палладия и гетерогенного палладиевого
катализатора, после чего в ампулу напускают газообразный тритий. При охлаждении средней части ампулы жидким азотом смесь исходного вещества и катализатора нагревают, образующаяся при этом
стопроцентная тритиевая вода перегоняется в охлаждаемую зону. Затем зоны охлаждения и нагревания меняют местами, что приводит к перегонке образовавшейся тритиевой воды в зону расположения исходного
вещества и активированного нагреванием катализатора, после чего реакционную смесь вакуумируют при температуре жидкого азота. При этом адсорбированный на катализаторе тритий практически не выводится из
зоны реализации. Затем ампулу снимают, шприцем впрыскивают растворитель, после чего ампулу запаивают и помещают в термостат. Ниже приведены примеры реализации изобретения.
Пример 1. В реакционную ампулу поместили 10 мг KoA, 30 мг 5% PdO/Al2O3, 20 мг PdO. Напустили газообразный тритий до давления 400 гПа, и при охлаждении жидким азотом средней
части ампулы смесь нагревали при 70oC в течение 15 мин. При этом образующаяся при восстановлении окиси палладия стопроцентная тритиевая вода конденсировалась в средней части ампулы. Затем
реакцию вели следующим образом. Снимали охлаждение со средней части ампулы и охлаждали жидким азотом нижнюю часть ампулы. При этом тритиевая вода перегонялась в смесь катализатора и вещества. Затем,
продолжая охлаждение, реакционную смесь вакуумировали для удаления избыточного трития, ампулу снимали с установки, в реакционную ампулу впрыскивали 100 мкл смеси диоксана с триэтиламином (9:1), ампулу
запаивали и реакцию вели при 100oC 30 мин. Затем содержимое ампулы замораживали жидким азотом, ампулу вскрывали, катализатор отфильтровывали и промывали метанолом (5х0,5 мл). Тритиевую воду
удаляли многократным упариванием вещества с метанолом (5х3 мл). Меченый препарат очищали методом ВЭЖХ на колонке Zorbax C8, 5 мкм, 4,6х250 мм, V - 1 мл/мин, в системе 10% метанола с 50 мМ NH4H2PO4 (pH 5,3), время удерживания - 4,16 мин. Выход меченого препарата - 32%, с молярной радиоактивностью - 3,9 Ки/ммоль. Радиохимическая чистота - выше 97%.
Пример 2. В реакционную ампулу помещали 10 мг KoA, 30 мг 5% PdO/Al2O3, 20 мг PdO. Напускали газообразный тритий до давления 450 гПа, и при охлаждении жидким азотом средней части
ампулы смесь нагревали при 80oC в течение 10 мин. При этом образующаяся при восстановлении окиси палладия стопроцентная тритиевая вода конденсировалась в средней части ампулы. Затем реакцию
вели следующим образом. Снимали охлаждение со средней части ампулы и охлаждали жидким азотом нижнюю часть ампулы. При этом тритиевая вода перегонялась в смесь катализатора и вещества. Затем, продолжая
охлаждение, реакционную смесь вакуумировали для удаления избыточного трития, ампулу снимали с установки, в реакционную ампулу впрыскивали 100 мкл абсолютного диоксана, ампулу запаивали и реакцию вели
при 100oC 30 мин. Затем, содержимое ампулы замораживали жидким азотом, ампулу вскрывали, добавляли 1,0 мл метанола, вещество растворяли, катализатор отфильтровывали и промывали метанолом
(5х0,5 мл). Тритиевую воду удаляли многократным упариванием вещества с метанолом (5х3 мл). Меченый препарат очищали методом ВЭЖХ на колонке Zorbax C8, 5 мкм, 4,6х250 мм, V - 1 мл/мин в системе 10%
метанола с 50 мМ NH4H2PO4 (pH 5,3), время удерживания - 4,16 мин. Выход меченого препарата - 10%, с молярной радиоактивностью - 1,4 Ки/ммоль. Радиохимическая чистота
- выше 97%. Пример 3. В реакционную ампулу помещали 10 мг KoA, 30 мг 5% PdO/Al2O3, 20 мг PdO. Напускали газообразный тритий до давления 400 гПа, и при охлаждении
жидким азотом средней части ампулы смесь нагревали при 80oC в течение 10 мин. При этом образующаяся при восстановлении окиси палладия стопроцентная тритиевая вода конденсировалась в средней
части ампулы. Затем реакцию вели следующим образом. Снимали охлаждение со средней части и охлаждали жидким азотом нижнюю часть ампулы. При этом тритиевая вода перегонялась в смесь катализатора и
вещества, продолжая охлаждение, реакционную смесь вакуумировали для удаления избыточного трития, ампулу снимали с установки, запаивали и реакцию вели при 100oC 30 мин. Затем содержимое
ампулы замораживали жидким азотом, ампулу вскрывали, добавляли в нее 1,0 мл метанола, вещество растворяли, катализатор отфильтровывали и промывали метанолом (5х0,5 мл). Тритиевую воду удаляли
многократным упариванием вещества с метанолом (5х3 мл). Меченый препарат очищали методом ВЭЖХ на колонке Zorbax C8, 5 мкм, 4,6х250 мм, V - 1 мл/мин, в системе 10% метанола с 50 мМ NH4H2PO4 (pH 5,3), время удерживания - 4,16 мин. Выход меченого препарата - 18%, с молярной радиоактивностью - 1,8 Ки/ммоль. Радиохимическая чистота - выше 97%. Пример 4.
В реакционную ампулу помещали 10 мг KoA-Ac, 30 мг 5% PdO/Al2O3, 20 мг PdO. Напускали газообразный тритий до давления 450 гПа, и при охлаждении жидким азотом средней части ампулы
смесь нагревали при 80oC в течение 10 мин. При этом образующаяся при восстановлении окиси палладия стопроцентная тритиевая вода конденсировалась в средней части ампулы. Затем реакцию вели
следующим образом. Снимали охлаждение со средней части ампулы и охлаждали жидким азотом нижнюю часть ампулы. При этом тритиевая вода перегонялась в смесь катализатора и вещества. Затем, продолжая
охлаждение, реакционную смесь вакуумировали для удаления избыточного трития, ампулу снимали с установки, в реакционную ампулу впрыскивали 100 мкл смеси диоксана с триэтиламином (9: 1), ампулу
запаивали и реакцию вели при 100oC 30 мин. Затем содержимое ампулы замораживали жидким азотом, ампулу вскрывали, катализатор отфильтровывали и промывали метанолом (5х0,5 мл). Тритиевую воду
удаляли многократным упариванием вещества с метанолом (5х3 мл). Меченый препарат очищали методом ВЭЖХ на колонке Zorbаx C8, 5 мкм, 4,6х250 мм, V - 1 мл/мин, в системе 10% метанола с 50 мМ NH4H2PO4, (pH 5,3), время удерживания 9,36 мин. Выход меченого препарата - 45% с молярной радиоактивностью - 9,2 Ки/ммоль. Радиохимическая чистота - выше 97%.
Пример 5. В реакционную ампулу помещали 10 мг KoA-Ac, 30 мг 5% PdO/Al2O3, 20 мг PdO. Напускали газообразный тритий до давления 450 гПа, и при охлаждении жидким азотом средней
части ампулы смесь нагревали при 70oC в течение 15 мин. При этом образующаяся при восстановлении окиси палладия стопроцентная тритиевая вода конденсировалась в средней части ампулы. Затем
реакцию вели следующим образом. Снимали охлаждение со средней части ампулы и охлаждали жидким азотом нижнюю часть ампулы. При этом тритиевая вода перегонялась в смесь катализатора и вещества, затем,
продолжая охлаждение, реакционную смесь вакуумировали для удаления избыточного трития, ампулу снимали с установки, в реакционную ампулу впрыскивали 100 мкл абсолютного диоксана, ампулу запаивали и
реакцию вели при 100oC 30 мин. Затем содержимое ампулы замораживали жидким азотом, ампулу вскрывали, добавляли 1,0 мл метанола, вещество растворяли, катализатор отфильтровывали и промывали
метанолом (5х0,5 мл). Тритиевую воду удаляли многократным упариванием вещества с метанолом (5х3 мл). Меченый препарат очищали методом ВЭЖХ на колонке Zorbаx C8, 5 мкм, 4,6х250 мм, V - 1 мл/мин, в
системе 10% метанола с 50 мМ NH4H2PO4 (pH 5,3), время удерживания - 9,36 мин. Выход меченого препарата - 56%, с молярной радиоактивностью - 7,1 Ки/ммоль.
Радиохимическая чистота - выше 97%. Пример 6. В реакционную ампулу помещали 10 мг KoA-Ac, 30 мг 5% PdO/Al2O3, 20 мг PdO. Напускали газообразный тритий до давления
450 гПа, и при охлаждении жидким азотом средней части ампулы смесь нагревали при 70oC в течение 15 мин. При этом образующаяся при восстановлении окиси палладия стопроцентная тритиевая вода
конденсировалась в средней части ампулы. Затем реакцию вели следующим образом. Снимали охлаждение со средней части ампулы и охлаждали жидким азотом нижнюю часть ампулы. При этом тритиевая вода
перегонялась в смесь катализатора и вещества, затем, продолжая охлаждение, реакционную смесь вакуумировали для удаления избыточного трития, ампулу снимали с установки, запаивали и реакцию вели при
100oC 30 мин. Затем содержимое ампулы замораживали жидким азотом, ампулу вскрывали, добавляли в нее 1,0 мл метанола, вещество растворяли, катализатор отфильтровывали и промывали метанолом
(5х0,5 мл). Тритиевую воду удаляли многократным упариванием вещества с метанолом (5х3 мл). Меченый препарат очищали методом ВЭЖХ на колонке Zorbax C8, 5 мкм, 4,6х250 мм, V - 1 мл/мин, в системе 10%
метанола с 50 мМ NH4H2PO4 (pH 5,3), время удерживания - 9,36 мин. Выход меченого препарата - 58%, с молярной радиоактивностью - 1,2 Ки/ммоль. Радиохимическая чистота
- выше 97%. Пример 7. В реакционную ампулу помещали 10 мг KoA-Ac, 30 мг 5% PdO/Al2O3, 20 мг PdO. Напускали газообразный тритий до давления 400 гПа, и при
охлаждении жидким азотом средней части ампулы смесь нагревали при 80oC в течение 10 мин. При этом образующаяся при восстановлении окиси палладия стопроцентная тритиевая вода
конденсировалась в средней части ампулы. Затем реакцию вели следующим образом. Снимали охлаждение со средней части ампулы и охлаждали жидким азотом нижнюю часть ампулы. При этом тритиевая вода
перегонялась в смесь катализатора и вещества, затем, продолжая охлаждение, реакционную смесь вакуумировали для удаления избыточного трития, ампулу снимали с установки, в реакционную ампулу впрыскивали
100 мкл абсолютного триэтиламина, ампулу запаивали и реакцию вели при 100oC 30 мин. Затем содержимое ампулы замораживали жидким азотом, ампулу вскрывали, добавляли 1,0 мл метанола, вещество
растворяли, катализатор отфильтровывали и промывали метанолом (5х0,5 мл). Тритиевую воду удаляли многократным упариванием вещества с метанолом (5х3 мл). Меченый препарат очищали методом ВЭЖХ на
колонке Zorbax C8, 5 мкм, 4,6х250 мм, V - 1 мл/мин, в системе 10% метанола с 50 мМ NH4H2PO4 (pH 5,3), время удерживания - 9,36 мин. Выход меченого препарата - 20%, с
молярной радиоактивностью - 2,6 Ки/ммоль. Радиохимическая чистота - выше 97%. Пример 8. Изучали зависимость выхода молярных радиоактивностей КоА и KоА-Ac от природы растворителя.
Изотопный обмен проводили при 100oC в течение 30 мин. Приведенные в таблице данные свидетельствуют о том, что наилучшие результаты можно получить при использовании в качестве растворителя
смеси диоксан-триэтиламина (9:1). Таким образом, впервые получены высокомеченные тритием коэнзим A и ацетил-коэнзим A.
где KoA - R = H; KoA-Ac - R = CH3CO (The Merck Index an enceyclopedia of chemicals drugs and biоlogicals Eleventth Edition and 12-th 1989-1996, N 7, U.S.A).