патент
№ RU 2048466
МПК A61K31/47

ПРОИЗВОДНЫЕ ХИНОЛИН-2-ИЛ-МЕТОКСИБЕНЗИЛГИДРОКСИМОЧЕВИНЫ, СПОСОБ ИХ ПОЛУЧЕНИЯ И 4-(ХИНОЛИН-2-ИЛ-МЕТОКСИ)ФЕНИЛ-ЦИКЛОАЛКИЛКЕТОН В КАЧЕСТВЕ ИСХОДНОГО СОЕДИНЕНИЯ ДЛЯ ПОЛУЧЕНИЯ ПРОИЗВОДНЫХ ХИНОЛИН-2-ИЛ-МЕТОКСИБЕНЗИЛГИДРОКСИМОЧЕВИНЫ

Авторы:
Михаель Матцке[DE] Пиа Тайзен-Попп[DE] Романис Фрухтманн[DE]
Все (8)
Правообладатель:
Номер заявки
5052508/04
Дата подачи заявки
30.07.1992
Опубликовано
20.11.1995
Страна
RU
Дата приоритета
15.12.2025
Номер приоритета
Страна приоритета
Как управлять
интеллектуальной собственностью
Реферат

[79]

Использование: в химии гетероциклических веществ, в частности в способе получения производных хинолин-2-ил-метоксибензилгидроксимочевины. Сущность изобретения: продукт производные хинолин-2-ил-метоксибензилгидроксимочевины формулы I. Условия реакции: взаимодействие соответствующего соединения формулы II с гидрохлоридом гидроксиламина в среде инертного растворителя в присутствии основания с получением соединения формулы III, которое затем восстанавливают и далее подвергают взаимодействию с триалкилаллилизоцианатом. 4 с. п. ф-лы. Структура соединений ф-лы I, II, III.

Формула изобретения

1. Производные хинолин-2-ил-метоксибензилгидроксимочевины общей формулы

где R С5 С7-циклоалкил.

2. Производные хинолин-2-ил-метоксибензилгидроксимочевины общей формулы

где R С5 С7 -циклоалкил,
обладающие свойством торможения энзиматических реакций при обмене веществ арахидоновой кислоты.

3. Способ получения производных хинолин-2-ил-метокси-бензилгидроксимочевины общей формулы

где R С5 С7 -циклоалкил,
отличающийся тем, что соединение общей формулы

R имеет указанное значение,
подвергают взаимодействию с гидрохлоридом гидроксиламина в среде инертного растворителя, при необходимости в присутствии основания, получаемое при этом соединение общей формулы

где R имеет указанное значение,
подвергают восстановлению в среде инертного растворителя, при необходимости в присутствии кислоты, и получаемое при этом соединение общей формулы IV

где R имеет указанное значение,
подвергают взаимодействию с триалкилсилилизоцианатом с последующим выделением целевого продукта.

4. 4-(хинолин-2-ил-метокси)фенил-циклоалкилкетон общей формулы

где R С5 С7 -циклоалкил с 5 7 атомами углерода,
в качестве исходного соединения для получения производных хинолин -2-ил-метоксибензилгидроксимочевины по п.1.

Описание

[1]

Изобретение относится к новым производным гидроксимочевины с ценными свойствами, в частности к производным хинолин-2-ил- метоксибензилгидроксимочевины общей формулы (I)
(I) где А, В, D, E, G, L и М одинаковые или различные и означают водород, гидрокси, галоид, циано, карбокси, нитро, трифторметил, трифторметокси, или линейный или разветвленный алкил или алкокси, каждый содержащий до 8 атомов углерода, или незамещенный или замещенный галогеном, гидрокси или циано арил с 6-10 атомами углерода;
R1 означает циклоалкил или -алкенил с 3-12 атомами углерода, линейный или разветвленный алкил, содержащий до 8 атомов углерода;
R2 и R3 одинаковые или различные и означают водород, линейный или разветвленный алкил, содержащий до 8 атомов углерода или фенил или бензил, или R2 водород и R3 группа формулы SO2R5, где R5 линейный или разветвленный алкил, содержащий до 8 атомов углерода, который может быть замещен галогеном, нитро, циано, гидрокси, трифторметилом или арилом с 6-10 атомов углерода, или арил с 6-10 атомами углерода, который замещен до трех раз одинаково или различно галогеном, нитро, циано, гидрокси, линейным или разветвленным алкилом, алкилтио или алкокси, содержащим до 8 атомов углерода, трифторметилом или трифторметокси,
R4 означает водород или линейный или разветвленный ацил, содержащий до 8 атомов углерода, или бензоил, а также к смесям их изомеров или отдельным изомерам или их солям, которые проявляют, в частности, фармакологическую активность.

[2]

В рамках изобретения особенно предпочтительны физиологически переносимые соли. Физиологически переносимые солями хинолин-2-ил- метоксибензилгидроксимочевины и ее производных могут быть соли с минеральными кислотами, карбоновыми или сульфоновыми кислотами. Особенно предпочтительны, например, соли с хлористо- и бромистоводородной кислотой, с серной, фосфорной, метансульфокислотой, этансульфокислотой, толуолсульфокислотой, бензолсульфокислотой, нафталинсульфокислотой, уксусной кислотой, пропионовой, молочной, винной, лимонной, фумаровой, малеиновой или бензойной кислотами. Согласно изобретению солями могут также быть соли с металлами, предпочтительно с одновалентными металлами, как щелочные металлы, и соли аммония. Предпочтительными являются соли натрия, калия и аммония.

[3]

Соединения согласно изобретению существуют в стереоизомерных формах, которые являются зеркальным изображением (энантиомеры) или не являются таковыми (диастереомеры). Изобретение касается также как антиподов, так и рацематов, а также смеси диастереомеров. Рацематы, также как и диастереомеры, разделяются известным способом на отдельные изомеры. Предпочтительными являются соединения общей формулы (I), где А, В, D, E, G, L и М одинаковые или различные и означают водород, гидрокси, фтор, хлор, бром, карбокси, нитро, трифторметил, трифторметокси, или линейный или разветвленный алкил или алкокси, каждый содержащий до 6 атомов углерода, или незамещенный или замещенный фтором, хлором, бромом, гидрокси, нитро или цианогруппой фенил;
R1 означает циклобутил, циклопентил, циклогексил, цклогептил или циклооктил, линейный или разветвленный алкил, содержащий до 6 атомов углерода;
R2 и R3 одинаковые или различные и означают водород или линейный или разветвленный алкил, содержащий до 6 атомов углерода, или R2 водород и R3 группа формулы SO2R5, где
R5 линейный или разветвленный алкил, содержащий до 6 атомов углерода, который может быть замещен фтором, хлором, нитро, циано, гидрокси или фенилом, или незамещенный или замещенный до 2 раз одинаково или различно фтором, хлором, бромом, нитро, циано, гидрокси, линейным или разветвленным алкилом, алкилтио или алкокси, содержащий до 6 атомов углерода, трифторметилом или трифторметокси, фенил;
R4 означает водород или линейный или разветвленный ацил, содержащий до 6 атомов углерода или бензоил, а также смесь изомеров или отдельные изомеры и их соли. Особенно предпочтительными являются соединения общей формулы (I), где А, В, D, E, G, L и М одинаковые или различные и означают водород, гидрокси, фтор, хлор, бром или линейный или разветвленный алкил, содержащий до 4 атомов углерода,
R1 циклопентил, циклогексил или циклогептил, или линейный или разветвленный алкил, содержащий до 4 атомов углерода;
R2 и R3 одинаковые или различные и означают водород, линейный или разветвленный алкил, содержащий до 4 атомов углерода, или R2 водород и R3 группа формулы SO2R5, где R5 линейный или разветвленный алкил, содержащий до 4 атомов углерода, незамещенный или замещенный фтором, хлором или фенилом, или незамещенный или замещенный фтором, хлором, бромом или линейным или разветвленным алкилом, содержащим до 4 атомов углерода, фенил,
R4 водород или линейный или разветвленный ацил, содержащий до 4 атомов углерода, или бензоил, а также смесь изомеров или отдельные изомеры и их соли.

[4]

Наиболее предпочтительными являются соединения общей формулы (I), где А, В, D, E, G, L и М означают водород. Точно также наиболее предпочтительны соединения, в которых остаток -HC(R1)N(OR4 ) (CO-NR2R3) стоит в 4-м положении к остатку хинолинметокси.

[5]

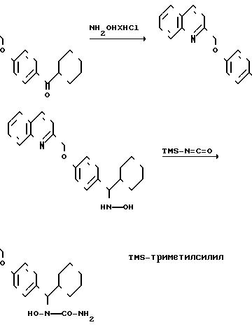
Соединения общей формулы (I) согласно изобретению получают тем, что соединение общей формулы (II)
(II)
где А, В, D, E, G, L, M и R1 имеют указанные значения, сначала превращают в инертном растворителе, при необходимости в присутствии основания, с солянокислым гидроксиламином в соединениие общей формулы (III)
(III) где A, B, D, E, G, L, M и R1 имеют указанное значение, затем переводят в инертном растворителе, при необходимости в присутствии кислот, при помощи восстановителя в соединение общей формулы (IV)
(IV)
где A, B, D, E, G, L, M и R1 имеют указанные значения, и затем в случае, если R2 и R3 означают водород, обрабатывают (С16 )-триалкилсилизоцианатами, предпочтительно триметилсилилизоцианатом, и в случае, если R2 H и R3 не равно водороду, с изоцианатом общей формулы (V)
T N C 0 (V)
в которой Т означает алкил с 1-8 атомами углерода, фенил и остаток SO2R5,
где R5 имеет указанное значение, или соединение общей формулы (IV) переводят сначала в инертном растворителе с газообразным хлористым водородом и затем с фосгеном в соединене общей формулы (VI)
(VI)
где A, B, D, E, G, L, M и R1 имеют указанные значения, и затем, при необходимости в инертном растворителе подвергают превращению с амином общей формулы (VII)
HNR2R3 (VII)
где R2 и R3 одинаковые или различные имеют указанное значение.

[6]

R4 не означает водород, соединение общей формулы (Ia)
(Ia)
где А, В, D, E, G, L, M, R1, R2 и R3 имеют указанные значения ацилируют ацилирующим средством, предпочтительно галогенидом кислоты общей формулы (VIII)
R4-CO-X (VIII)
где R4 имеет значение R4, но не водород, и Х означает обычную в aцилирующих средствах легко удаляемую группу, предпочтительно хлор, в инертном растворителе, при необходимости в присутствии основания.

[7]

Предложенный способ поясняется следующей схемой:

В качестве растворителя при взаимодействии с соляно-кислым гидроксиламином применяются обычные органические растворители, которые инертны в условиях реакции. К ним относятся спирты, например метанол, этанол, пропанол или изопропанол, или углеводороды, например бензол, толуол, ксилол, гексан, циклогексан или нефтяные фракции или ацетонитрил, диметилсульфоксид или диметилформамид. Предпочтительными являются метанол и этанол.

[8]

В качестве оснований применяются органические амины (триалкил (С16)амины), например триэтиламин или гетероциклические амины, например пиридин, метилпиперидин, пиперидин или морфолин. Предпочтительным является пиридин.

[9]

Основание вводится в количестве от 1 до 20 моль, предпочтительно от 5 до 10 моль, в расчете на 1 моль соединения общей формулы (II). Реакция протекает в интервале температуре от 0 до 80оС, предпочтительно при комнатной температуре. Для восстановления оксима общей формулы (III) пригодны в качестве восстановительных средств гидриды, например комплексные боргидриды и аминовые комплексы боргидрида или алюминийгидриды. Предпочтительными являются натрийборгидрид, натрийцианоборгидрид или комплексы борпиридина. Особенно предпочтительным является натрийцианоборгидрид. В качестве растворителей пригодны все инертные органические растворители, которые не изменяются в условиях реакции. К ним относятся предпочтительно спирты, например, метанол, этанол, пропанол или изопропанол, или простые эфиры, как диэтиловый эфир, диоксан, тетрагидрофуран, диметиловый эфир гликоля, или диметиловый эфир диэтиленгликоля или амиды, как триамидгексаметилфосфорной кислоты или диметилформамид или уксусная кислота. Также можно применять смеси названных растворителей. Предпочтительным является метанол.

[10]

Восстановление натрийцианоборгидридом проводят обычно в присутствии протоновых кислот. К ним относятся предпочтительно неорганические кислоты. Например, соляная или серная кислота, или органическе карбоновые кислоты с 1-6 атомами углерода, которые могут быть замещены фтором, хлором и/или бромом, например, уксусная кислота, трифторуксусная кислота, трихлоруксусная кислота или пропионовая кислота или сульфоновые кислоты с С14-алкильными остатками или с арильными остатками, как метансульфокислота, или толуолсульфокислота. В качестве кислот применяются для всех операций, как правило, минеральные кислоты. Предпочтительными являются при этом хлористоводородная и бромистоводородная кислота, серная кислота, фосфорная кислота или смеси названных кислот. Предпочтительной всегда является хлористоводородная кислота. Кислоты добавляются в зависимости от возможных реагентов в количестве, необходимом для установления значения рН 3. Восстановление проходит обычно в интервале температур от 0 до 60оС, предпочтительно при комнатной температуре.

[11]

Взаимодействие проводится обычно при нормальном давлении. Однако можно проводить способ при пониженном или повышенном давлении (например, в интервале от 0,5 до 5 бар).

[12]

Взаимодействие соединений общей формулы (IV) с изоцианатами происходит в обычных органических растворителях, которые не изменяются в условиях реакции. К ним относятся предпочтительно простые эфиры, как диэтиловый эфир, диоксан, тетрагидрофуран, диметиловый эфир гликоля, или углеводороды, как бензол, толуол, ксилол, гексан, циклогексан или нефтяные фракции, или галогенированные углеводороды, как дихлорметан, трихлорметан, тетрахлорметан, дихлорэтилен, трихлорэтилен или хлорбензол, или сложный эфир уксусной кислоты, триэтиламин, пиридин, диметилсульфоксид, диметилформамид, триамид гексаметилфосфорной кислоты, ацетонитрил, ацетон или нитрометан. Также можно применять смеси названных растворителей. Предпочтительным является диоксан и метиленхлорид. Реакции протекают обычно в интервале температур от 0 до 150оС, предпочтительно от +20 до 120оС. В качестве растворителей при взаимодействии с изоцианатами подходят вышеназванные простые эфиры, углеводороды или галоидированные углеводороды или их смеси, предпочтителен эфир, например, диэтиловый эфир или тетрагидрофуран, или галоидированные углеводороды, например, метиленхлорид или хлороформ. Особенно предпочтителен метиленхлорид. Взаимодействие с сульфонилизоцианатами протекает обычно в интервале температур от -78 до +120оС, предпочтительно от -50 до +110о С. Взаимодействие с изоцианатами проводят обычно при нормальном давлении. Однако можно работать при повышенном или пониженном давлении (например, от 0,5 до 5 бар). Как правило, вводят 1-3 моль, предпочтительно 1-2 моль, особенно предпочтительно 1 моль изоцианата на 1 моль соединения общей формулы (IV). Алкил-, фенил- и силилизоцианаты общей формулы (V) известны или могут быть получены известными способами.

[13]

Сульфонилизоцианаты (V) известны из литературы см. К.Кинг, J.Org. Chem. 25, 352 (1960); Ф. Эффенбергер, Р. Гляйтер, Chem. Ber. 97, 1576 (1964); Х. Ульрих, А.А.Р. Сайгх, Angew. Chem. 78, 761 (1966); Губен-Вейль VIII, 128.

[14]

Взаимодействие соединений общей формулы (VI) с аммиаком (R2/R3 H), хлористым аммонием или аминами общей формулы (VII) протекает либо в одном из названных растворителей, либо с соответствующей аминокомпонентой в качестве растворителя, предпочтительно с избытком соответствующего амина в интервале от -10 до +50оС и при нормальном давлении.

[15]

Соединения общей формулы (VI) являются новыми и могут быть получены по приведенным способам.

[16]

Амины общей формулы (VII) известны (см. Губен-Вейль "Методы органической химии", т. X1/1 и X1/2).

[17]

В качестве легко удаляемых групп в ацилирующих средствах общей формулы (VIII) могут быть остатки, например, хлор, бром, тиазолил, метансульфонилокси или арилокси. Предпочтительным является хлор.

[18]

Ацилирующие средства известны из литературы. Ацилирование протекает обычно в интервале температур от 0 до 120оС, предпочтительно от 30 до 90оС, в одном из приведенных выше растворителей, предпочтительно в пиридине, и при нормальном давлении. В качестве оснований для ацилирования пригодны неорганическе или органические основания. К ним относятся предпочтительно гидроокиси щелочных металлов, например гидроокись натрия или калия, гидроокиси щелочно-земельных металлов, например гидроокись бария, карбонаты щелочных металлов, например карбонат натрия или калия, карбонаты щелочноземельных металлов, например карбонат кальция, или органические амины (триалкил (С16)амины), например триэтиламин, или гетероциклические амины, как пиридин, метилпиперидин, пиперидин или морфолин. Предпочтительным является триэтиламин.

[19]

Соединения общей формулы (Ia) также являются новыми и могут быть получены по указанным способам.

[20]

Соединения общей формулы (II) частично известны или, если R1 означает циклоалкил, являются новыми и могут быть получены, например, тем, что соединения общей формулы (IX)
CO-R1 (IX)
где М и R1 имеют указанные значения, этерифицируют в инертном растворителе, при необходимости в присутствии основания, с соединением общей формулы (Х)
(X)
где А, В, D, E, G, и L имеют указанное значение, Y означает галоген, предпочтительно хлор или бром.

[21]

Реакция этерификации может проводиться в инертном органическом растворителе, при необходимости в присутствии основания. Растворителем может быть инертный органический растворитель, который не изменяется в реакционных условиях. К нему относятся предпочтительно простые эфиры, например, диоксан, тетрагидрофуран или диэтиловый эфир, галогенированные углеводороды, как дихлорметан, трихлорметан, тетрахлорметан, 1,2-дихлорэтан или трихлорэтилен, углеводороды, как бензол, ксилол, толуол, гексан, циклогексан или нефтяные фракции, нитрометан, диметилформамид, ацетонитрил, ацетон или триамид гексаметилфосфорной кислоты. Также можно использовать смеси растворителей.

[22]

В качестве оснований для этерификации могут использоваться неорганические или органические основания. К ним относятся предпочтительно гидроокиси щелочных металлов, например гидроокись натрия или калия, гидроокиси щелочноземельных металлов, например гидроокись бария, карбонаты щелочных металлов, например карбонат натрия или калия, карбонаты щелочноземельных металлов, например карбонат кальция, или органические амины (триалкил(С16)амины), например триэтиламин, или гетероциклические амины, как пиридин, метилпиперидин, пиперидин или морфолин. Можно также применять в качестве оснований щелочные металлы, как натрий и их гидриды, как гидрид натрия. Этерифиикациия протекает обычно в интервале температур от 0 до 150оС, предпочтительно от 10 до 100оС.

[23]

Как правило, этерификацию проводят при нормальном давлении, но можно также проводить при пониженном или повышенном давлении (например, в интервале от 0,5 до 5 бар). Обычно вводят на 1 моль соединения общей формулы (IX) от 0,5 до 5 моль, предпочтительно 1-2 моль галогенида. Основание применяют обычно в количестве 0,5 до 5 моль, предпочтительно 1-3 моль на галогенид (Х).

[24]

Соединения формулы (IX) и (Х) известны или могут быть получены обычными методами (см. CAS 38459-58-4 и Chem.Ber. 120, 649 (1987)).

[25]

Соединения формулы (III) и (IV) большей частью являются новыми (особенно, если R1 означает циклоалкил) и могут быть получены описанными выше способами.

[26]

Согласно изобретению хинолин-2-ил-метоксибензилгидроксимочевины и их производные могут применяться в качестве активных веществ в лекарственных препаратах. Соединения тормозят энзиматические реакции при обмене веществ арахидоновой кислоты, в частности линоксигеназу. Благодаря этому они предпочтительны для лечения и профилактики таких заболеваний дыхательных путей, как аллергическая астма, бронхит, эмфизема, шок легких, легочная гипертония, ревматические воспаления и отеки, тромбозы и тромбоэмболия, ишемия, сердечные и мозговые инфаркты, грудная жаба, атеросклероз, при трансплантации тканей, при дерматозах, как псориаз, воспалительные дерматозы и для цитозащиты желудочно-кишечного тракта. Предложенные хинолин-2-ил- метоксибензилгидроксимочевины и их производные могут применяться как в медицине, так и в ветеринарии. Фармакологическая активность заявленных соединений определялась следующим методом.

[27]

В качестве величины торможения липоксигеназы определялось выделение лейкотриена В4(LTB4) у человеческих полиморфноядерных лейкоцитов (РМ11) после приема соединений и Са-ионофора методом жидкостной хроматографии высокого давления с обратной фазой по Боргеат П. и др. Proc. Nat. Acad, Sci. 76, 2148-2152 (1979).

[28]

Результаты такого испытания, например, для соединений по примерам 16 и 17 следующие соответственно JC50, Ммоль/л: 0,25 и 1, 2.

[29]

Предметом изобретения являются также композиции, которые, наряду с инертными, фармацевтически пригодными вспомогательными веществами и носителями содержат одно или несколько соединений общей формулы (I) или состоят из одного или нескольких активных веществ формулы (I). Активные вещества формулы (I) должны содержаться в этих композициях в концентрации от 0,1 до 99,5 мас. предпочтительно от 0,5 до 95 мас. общей смеси. Наряду с активными веществами формулы (I) фармацевтические композиции могут содержать и другие фармацевтические активные вещества. Приведенные фармацевтические композиции могут быть получены обычным способом, например с одним или несколькими вспомогательным веществом или носителем. Оказалось предпочтительным для достижения желаемого результата вводить активное вещество общей формулы (I) в количестве приблизительно от 0,01 до 100 мк/кг, предпочтительно от 1 до 50 мг/кг массы тела, каждые 24 ч при необходимости в виде нескольких разовых доз. Однако могут быть предпочтительными отклонения этих количеств в зависимости от вида и массы тела, пациента, от его индивидуального отношения к медикаменту, вида и тяжести заболевания, вида композиции и ее введения, а также от времени, соответственно интервала введения ее.

[30]

Примеры поясняют получене исходных соединений, которые применяются для получения соединений общей формулы (I).

[31]

П р и м е р 1. 4-Метоксифенилциклогексилкетон.

[32]


К суспензии из 44,4 г (0,33 моль) хлорида алюминия в 120 мл дихлорэтана прикапывают при комнатной температуре 42,6 г (0,291 моль) хлорида циклогексанкарбоновой кислоты и затем 30 г (0,277 моль) анизола. Реакционную смесь перемешивают 1 ч и оставляют на ночь. Смесь выливают в ледяную воду и водную фазу экстрагируют дихлорметаном. Органическую фазу промывают 1 н. натриевой щелочью и водой, сушат над сульфатом натрия и сгущают в вакууме.

[33]

Выход: 58,6 г (97% теории)
Т. пл. 59-62оС.

[34]

П р и м е р 2. 4-Гидроксифенилциклогексилкетон.

[35]


Раствор из 11 г (50,4 ммоль) 4-метоксифенилциклогексилкетона в 730 мл дихлорметана (х. ч.) обрабатывают при -70оС в среде аргона 101 мл 1 м. раствора трибромида бора (101 ммоль) в дихлорметане и затем оставляют на 18 ч при комнатной температуре. Сгущают в вакууме, остаток помещают в 500 мл этанола и 80 мл воды и 3 ч нагревают с обратным холодильником. После концентрации в вакууме переносят в дихлорметан, органическую фазу промывают водой, сушат над сульфатом натрия и досуха упаривают в вакууме. Сырой продукт хроматографируют на силикагеле смесью дихлорметан-метанол (20:1).

[36]

Выход: 7,9 г (76,7% теории)
Т. пл. 81-84оС.

[37]

П р и м е р 3. 4-(Хинолин-2-ил-метокси)фенилциклогексилкетон.

[38]


78,5 г (38,4 ммоль) 4-гидроксифенилциклогексилкетона после добавления 12 г (86,8 ммоль) карбоната калия и 200 мл диметилформамида кипятят с обратным холодильником 2 ч. Затем добавляют при комнатной температуре 8,54 г (39,9 ммоль) гидрохлорида 2-хлорметилхинолина. Реакционную смесь перемешивают 7 ч при 100оС и затем сгущают в вакууме. Остаток помещают в дихлорметан, органическую фазу промывают водой, сушат над сульфатом натрия и сгущают в вакууме. Затем очищают колоночной хроматографией на силикагеле, дихлорметан-метанол (50:1).

[39]

Выход: 12,3 г (92,7% теории)
Т. пл. 103-104оС.

[40]

П р и м е р 4. 4-(Хинолин-2-ил-метокси)фенилциклогексилкетоксим.

[41]


Раствор из 15,9 г (46 ммоль) 4-(хинолин-2-ил-метокси)- фенилциклогексилкетона в 100 мл этанола и 33 мл пиридина перемешивают после добавления 4,77 г (68,6 ммоль) солянокислого гидроксиламина 18 ч при комнатной температуре. Затем сгущают в вакууме и остаток помещают в дихлорметан. Органическую фазу промывают водой, сушат над сульфатом натрия и сгущают в вакууме досуха.

[42]

Выход: 11,4 г (68,8% теории), бесцветные кристаллы
Т. пл. 167-171оС.

[43]

П р и м е р 5. N-[4-(хинолин-2-ил-метокси)фенилциклогексил] метилгидроксиламин.

[44]


Смесь 7 г (19,4 ммоль) 4-(хинолин-2-ил-метокси) фенилциклогексилкетоксима и 860 мг (13,7 ммоль) натрийцианоборгидрида в 50 мл метанола (х. ч.) при помощи 28 мл 2 м. метанольного раствора хлористого водорода доводят до рН 3 и перемешивают при комнатной температуре. Через 3 ч еще раз добавляют 430 мг (6,84 ммоль) натрийцианоборгидрида. Через 2 ч реакционную смесь сгущают, обрабатывают водой и 6 н. раствором гидроокиси калия до рН 9 и экстрагируют дихлорметаном. Органическую фазу сушат над сульфатом натрия и сгущают в вакууме. Сырой продукт очищают хроматографией на колонке, дихлорметан-метанол (20:1)
Выход: 3,9 г (55,5% теории) аморф.

[45]

П р и м е р 6. 4-Метоксифенилциклопентилкетон.

[46]


Аналогично примеру 1 получают целевой продукт из 31 г (0,287 моль) анизола, 46 г (0,345 моль) алюминийхлорида и 40 г (0,302 ммоль) хлорида циклопентанкарбоновой кислоты.

[47]

Выход: 52,2 г (89% теории), масло.

[48]

П р и м е р 7. 4-Гидроксифенилциклопентилкетон.

[49]


Целевое соединение получают аналогично примеру 2 из 30 г (0,147 моль) соединения по примеру 6 и 290 мл 1 м. раствора трибромида бора (0,29 ммоль) в дихлорметане.

[50]

Выход: 21,95 г (78,6% теории), масло.

[51]

П р и м е р 8. 4-(Хинолин-2-ил-метокси)фенилциклопентилкетон.

[52]


Аналогично примеру 3 получают целевое соединение из 21,5 г (0,113 моль) соединения по примеру 7, 25 г (0,116 моль) гидрохлорида 2-хлорметилхинолина и 35,15 г (0,254 моль) карбоната калия.

[53]

Выход: 23 г (61,4% теории), масло.

[54]

П р и м е р 9. 4-(Хинолин-2-ил-метокси)фенилциклопентилкетоксим.

[55]


Аналогично примеру 4 получают целевое соединение из 20 г (60,3 ммоль) соединения по примеру 8 и 6,3 г (90,7 ммоль) солянокислого гидроксиламина.

[56]

Выход: 10,6 г (50,7% теории)
Т. пл. 174-176оС.

[57]

П р и м е р 10. 11-[4-(Хинолин-2-ил-метокси)фенилциклопентил] метилгидроксиламин

Целевое соединение получают аналогично примеру 5 из 6, 15 г (17,8 ммоль) соединения по примеру 9 и 1,18 г (18,8 ммоль) натрийцианоборгидрида.

[58]

Выход: 3,0 г (48,5% теории)
Т. пл. 116-117оС.

[59]

П р и м е р 11. 4-Метоксифенилциклогептилкетон

Аналогично примеру 1 получают целевое соединение из 31,7 г (0,293 моль) анизола, 47 г (0,352 моль) алюминийхлорида и 49,5 г (0,308 моль) хлорида циклопентанкарбоновой кислоты.

[60]

Выход: 64,2 г (94,3% теории), масло.

[61]

П р и м е р 12. 4-гидроксифенилциклогептилкетон.

[62]


Аналогично примеру 2 получают целевое соединение из 53,2 г )0,229 моль) соединения по примеру 11 и 458 мл на 1 м. раствора трибромида бора (0,458 моль) в дихлорметане.

[63]

Выход: 34 г (68% теории), масло.

[64]

П р и м е р 13. 4-(Хинолин-2-ил-метокси)фенилциклогептилкетон.

[65]


Аналогично примеру 3 получают целевое соединение из 10 г (45,8 ммоль) соединения по примеру 12, 10, 3 г (48,1 ммоль) 2-хлорметилхинолингидрохлорида и 13,8 г (0,10 моль) карбоната калия.

[66]

Выход: 13,1 г (79,5% теории)
П р и м е р 14. 4-(Хинолин-2-ил-метокси)фенилциклогептилкетоксим.

[67]


Аналогично примеру 4 получают целевое соединение из 12,9 г (35,9 ммоль) соединения по примеру 13 и 3,75 г (53,9 ммоль) солянокислого гидроксиламина.

[68]

Выход: 8,7 г (65%).

[69]

Т. пл. 185-186оС.

[70]

П р и м е р 15. N-[4-(хинолин-2-ил-метокси)фенилциклогептил] метилгидроксиламин.

[71]


Аналогично примеру 5 получают целевое соединение из 8,5 г (22,7 ммоль) соединения по примеру 14 и 1,5 г (23,9 ммоль) натрийцианоборгидрида.

[72]

Выход: 2,6 г (30,4% теории), аморф.

[73]

Примеры поясняют получение соединений общей формулы (I) согласно изобретению.

[74]

П р и м е р 16. N-[4-(хинолин-2-ил-метокси)фенилциклогексил] метил-гидроксимочевина

К раствору 2,7 г (7, 45 ммоль) N-[4-(хинолин-2-ил- метокси)фенилциклогексил]метилгидроксиламина в 25 мл диоксана (х. ч.) прикапывают в среде аргона при комнатной температуре 0,94 г (8,13 ммоль) триметилсилизоцианата. Реакционную смесь нагревают 2,5 ч при 100оС в среде аргона, охлаждают до комнатной температуры и обрабатывают насыщенным раствором хлорида аммония. Многократно экстрагируют эфиром, органическую фазу сушат над сульфатом натрия и сгущают в вакууме. Полученный продукт очищают колоночной хроматографией на силикагеле со смесью дихлорметан- метанол (9:1).

[75]

Выход: 1,3 г (43% теории), бесцветные кристаллы.

[76]

Т. пл. 166-167оС (разлож.)
П р и м е р 17. N-[4-(хинолин-2-ил-метокси)фенил- цииклопентил]метил-N-гидроксимочевина

К раствору из 3,35 г (9,61 ммоль) N-[4-(хинолин-2-ил-метокси) фенилциклогептил] метилгидроксиламина в 70 мл метиленхлорида (х.ч) прикапывают в среде аргона при комнатной температуре 1,22 г (10,6 ммоль) триметилсилилизоцианата. Реакционную смесь перемешивают 2 ч при комнатной температуре и сгущают в вакууме. Продукт очищают хроматографией на силикагеле со смесью растворителей дихлорметан-метанол (20:1).

[77]

Выход: 2,8 г (74,4% теории), бесцветные кристаллы,
Т. пл. 165-166оС (разлож.)
П р и м е р 18. N-[(4-(хинолин-2-ил-метокси)фенилциклогептил] метил-N-гидроксимочевина

Аналогично примеру 17 получают целевое соединение из 2,3 г (6,11 ммоль) соединения по примеру 15 и 0,77 г (6,68 моль) триметилсилилизоцианата.

[78]

Выход: 1,55 г (56% теории), бесцветные кристаллы
Т. пл. 138-140оС (с разлож.).

Как компенсировать расходы
на инновационную разработку
Похожие патенты