1.
Соединение, представленное формулой (I) где R1 представляет атом
водорода или аминозащитную группу; R2, R3 и R4, каждый, независимо представляет 1) C1-8 алкильную группу, (2) С3-7
циклоалкильную группу, (3) фенильную группу, (4) фенильную группу, замещенную одной-тремя группами, выбранными из C1-8 алкильной группы, C1-8 алкокси
группы, атома галогена, трифторметильной группы и трифторметокси группы, (5) 3,4-метилендиоксифенильную группу; или (6) R3 и R4 взятые вместе
представляют С2-6 алкиленовую группу, его нетоксичная соль или его гидрат. 2. Соединение по п.1, где R1 представляет атом водорода в формуле (I), причем указанное
соединение представлено формулой (I-1) где R2, R3 и R4 имеют такие же значения, как в п.1. 3. Соединение по п.1, где R1 представляет бензилокси-карбонильную группу, т-бутоксикарбонильную группу или трифторацетильную
группу в формуле (I), причем указанное соединение представлено формулой (I-2)
где R5 представляет бензилоксикарбонильную группу, т-бутоксикарбонильную группу или трифторацетильную группу; и R2, R3 и R4 имеют такие же значения, как в
п.1. 4. Соединение по п.1, где R2, R3 и R4, каждый, независимо представляет C1-8 алкильную группу, фенильную группу или 3,
4-метилендиоксифенильную группу, или R3 и R4 взятые вместе представляют C2-5 алкиленовую группу в формуле (I). 5. Соединение по п.4, где R2,
R3 и R4, каждый, представляет метильную группу; R2 представляет метильную группу, а R3 и R4 взятые вместе представляют этиленовую группу; R2 и R3, каждый, представляет метильную группу, а R4представляет фенильную группу; или R2 и R3, каждый, представляет метильную группу, а R4
представляет 3,4-метилендиоксифенильную группу. 6. Соединение по п.2, которое представляет (1) 1-(2-т-бутил-1,3,4-оксадиазол-5-илкарбонил)-2-метил-пропиламин или (2) 1- (2- (α,α-диметилбензил)-1,3,4-оксадиазол-5-илкарбо-нил)-2-метилпропиламин. 7. Соединение по п.3, которое представляет (1) т-бутил
N-(1-(2-т-бутил-1,3,4-оксадиазол-5-илкарбо-нил)-2-метилпропил)карбамат или (2) т-бутил N-(1-(2-(α,α-диметилбензил)-1,3,
4-оксадиа-зол-5-илкарбонил)-2-метилпропил)карбамат. 8. Способ получения соединения, представленного формулой (I-2) где обозначения в формуле имеют такие же значения, как описано ниже, включающий взаимодействие соединения формулы (V) где R5 имеет такое же значение, как в п.3 с соединением формулы (VI) где R2, R3 и R4 имеют такие же значения, как в п.1. 9. Способ получения соединения, представленного формулой (I-1) где
обозначения в формуле имеют такие же значения, как описано ниже, включающий реакцию удаления аминозащитной группы в соединении формулы (I-2) где R2, R3, R4 и R5 имеют те же значения, как в п.3. 10.
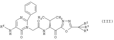
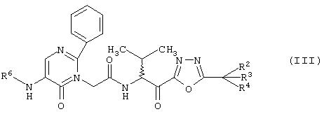
Способ получения соединения, представленного формулой (III) где R2,
R3, R4 и R6 имеют такие же значения, как описано ниже, включающий реакцию удаления аминоэащитной группы в соединении формулы (I-2) где R2, R3, R4 и R5 имеют те же значения, как описано в
п.3, и с последующим амидированием полученного соединения формулы (I-1) где
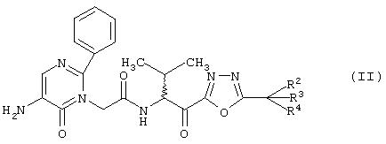
обозначения в формуле имеют такие же значения, как описано выше соединением формулы (IV) где R6 представляет аминозащищающую группу. 11. Способ получения соединения, представленного формулой (II) где обозначения в формуле имеют такие же значения, как описано ниже, включающий реакцию удаления аминозащитной группы в соединении
формулы (I-2) где R2, R3, R4 и R5
имеют те же значения, как в п.3, взаимодействие полученного соединения формулы (I-1) где обозначения в формуле имеют такие же значения, как описано выше с соединением формулы (IV), с получением соединения формулы (III) где R2, R3, R4 и R6 имеют те же значения, как в п.10 с последующей реакцией удаления
аминозащитной группы с получением соединения формулы (II).