Изобретение относится к области механических испытаний и может быть использовано для исследования пластических свойств металлов и сплавов в зависимости от их напряженного состояния и, в частности, для определения поверхности пластичности материала в виде функции двух аргументов: показателя Лоде-Надаи и показателя «жесткости» напряженного состояния. Сущность: осуществляют изготовление образцов, проведение механических испытаний каждого из них до разрушения и определение по результатам испытаний значения показателей пластичности. Для проведения испытаний изготавливают партию плоских образцов с перемычкой, образованной пазами, направленными от боковых поверхностей образца к центру, причем угол наклона пазов каждого образца партии образцов по отношению к его вертикальной оси разный и находится в диапазоне от 0° до 180°. Проводят механические испытания каждого образца партии, по результатам которых определяют момент разрушения каждого образца, после чего проводят моделирование испытаний образцов в программе, основанной на методе конечных элементов, по которому определяют показатели пластичности образцов в момент их разрушения, определенный при механических испытаниях. Технический результат: разработка способа исследования пластичности металлов и сплавов, обладающего высокой точностью результатов, простого в осуществлении за счет сокращения номенклатуры специального испытательного оборудования, комплекта оснасток и специальных приспособлений, а также обладающего более высокими функциональными возможностями за счет обеспечения варьирования показателей жесткости напряженного состояния и Лоде-Надаи в широких диапазонах. 3 з.п. ф-лы, 1 табл., 6 ил.
1. Способ определения пластичности металлов и сплавов, включающий изготовление образцов, проведение механических испытаний каждого из них до разрушения и определение по результатам испытаний значения показателей пластичности, отличающийся тем, что для проведения испытаний изготавливают партию плоских образцов с перемычкой, образованной пазами, направленными от боковых поверхностей образца к центру, причем угол наклона пазов каждого образца партии образцов по отношению к его вертикальной оси разный и находится в диапазоне от 0° до 180°, проводят механические испытания каждого образца партии, по результатам которых определяют момент разрушения каждого образца, после чего проводят моделирование испытаний образцов в программе, основанной на методе конечных элементов, по которому определяют показатели пластичности образцов в момент их разрушения, определенный при механических испытаниях. 2. Способ по п. 1, отличающийся тем, что в качестве механических испытаний партии образцов используют испытания на растяжение. 3. Способ по п. 1, отличающийся тем, что в качестве механических испытаний партии образцов используют испытания на сжатие. 4. Способ по п. 1, отличающийся тем, что в качестве механических испытаний партии образцов используют испытания на растяжение и сжатие.
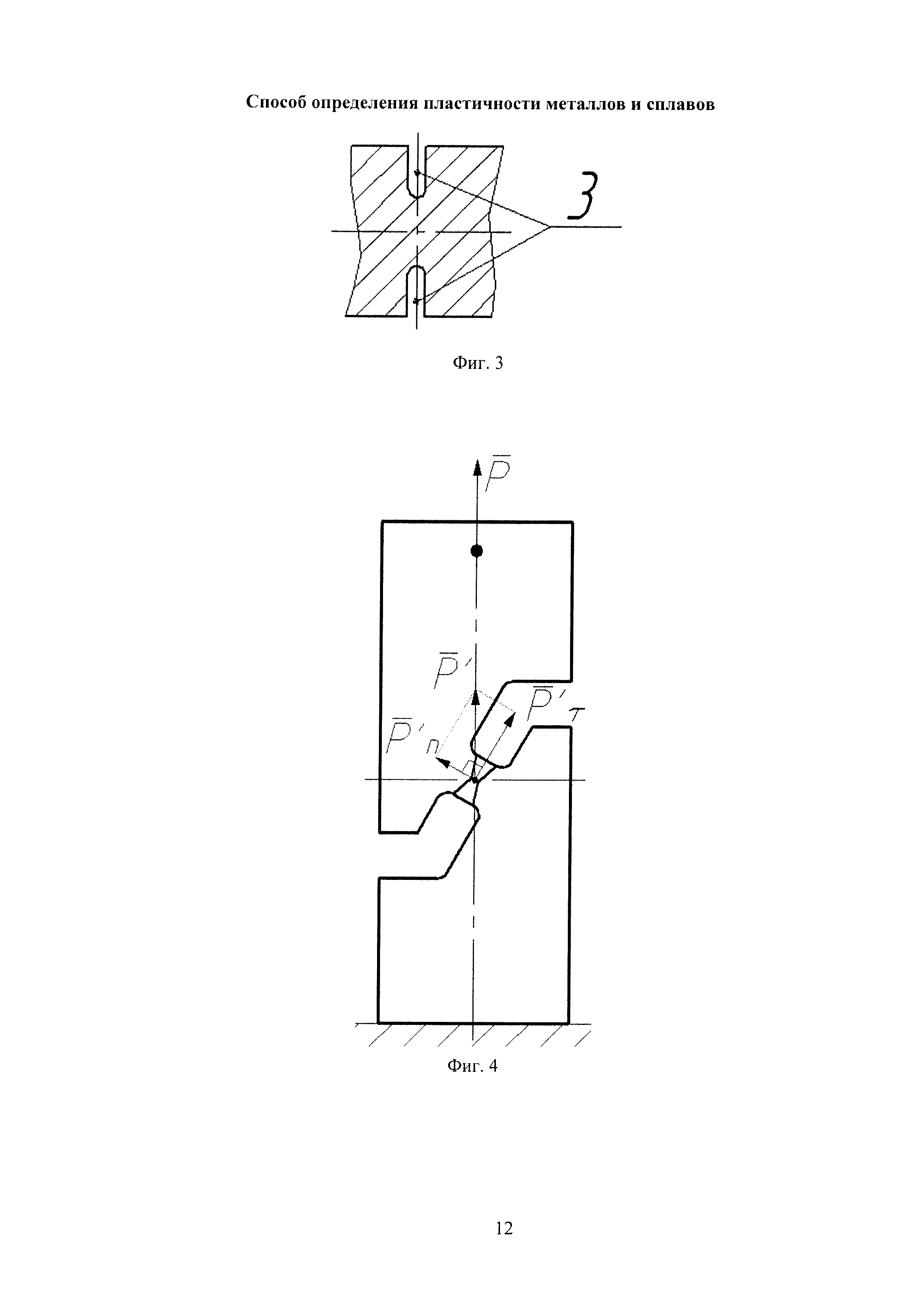
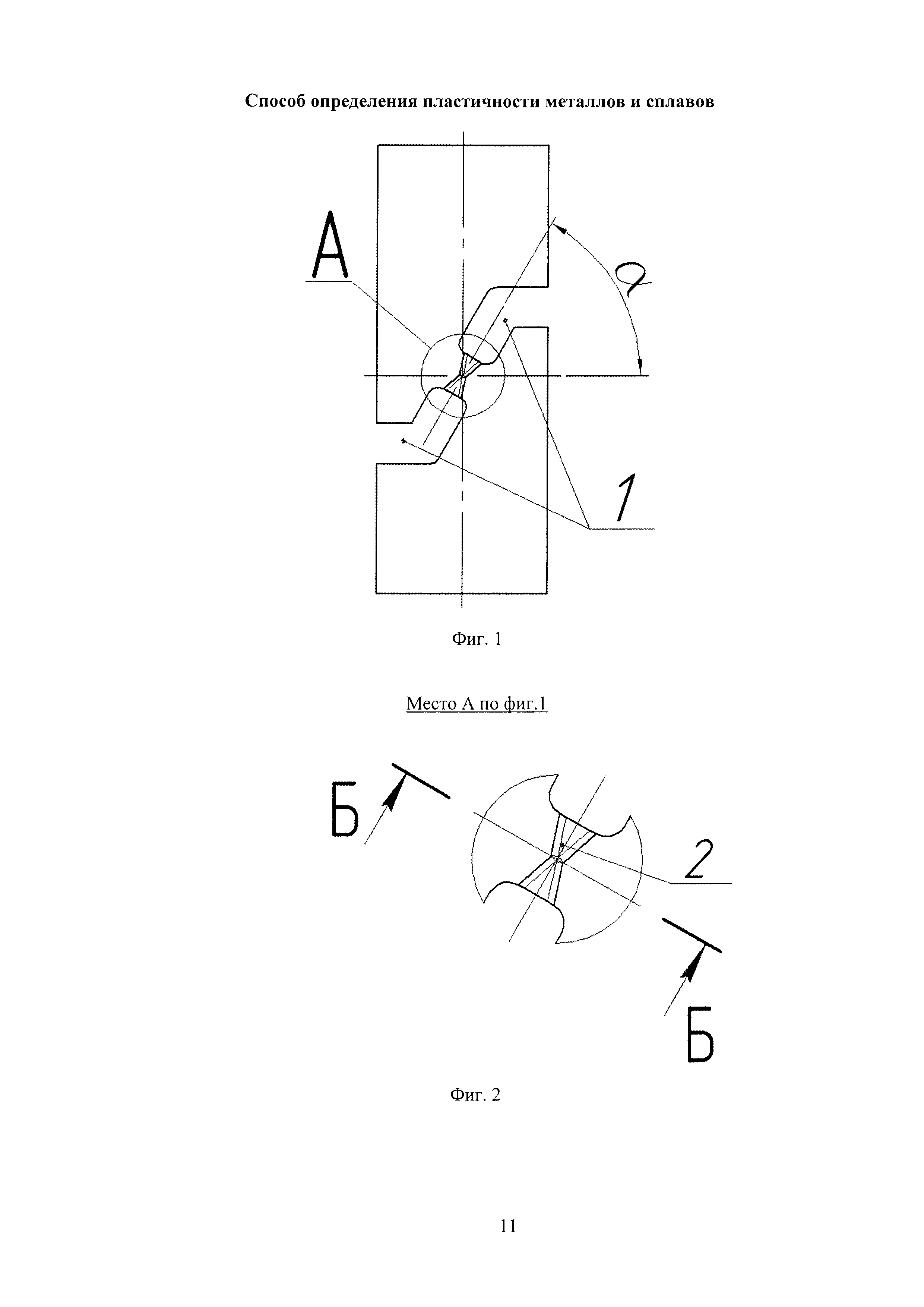
Изобретение относится к области механических испытаний и может быть использовано для исследования пластических свойств металлов и сплавов в зависимости от их напряженного состояния и, в частности, для определения поверхности пластичности материала в виде функции двух аргументов: показателя Лоде-Надаи и показателя «жесткости» напряженного состояния. Известен способ определения пластичности материалов путем построения кривой предельной пластичности, включающий изготовление образцов, их испытание на пластичность путем сжатия до разрушения, причем для построения кривой предельной пластичности осаживают или прокатывают образцы с цилиндрической, выпуклой и вогнутообразной формой боковой поверхности и с различной степенью выпуклости и вогнутообразности, напряженно-деформированное состояние определяют на свободной поверхности в горизонтальной плоскости симметрии образцов, а кривую предельной пластичности строят по определенным коэффициентам приведенной функции (см. патент RU 2047414 С1). В результате анализа известного решения необходимо отметить, что, в соответствии с накопленными экспериментальными результатами, данный способ обладает узкими максимально возможными диапазонами варьирования показателей жесткости напряженного состояния и Лоде-Надаи, соответственно равными: от -0,4 до -0,05 и от 0,6 до 1. Также необходимо отметить, что результаты определения пластичности по данному способу обладают невысокой точностью, вследствие принятия ряда упрощающих решение допущений: пренебрежение в теоретическом анализе силами трения между образцом и инструментом замена истинных значений главных деформаций образца аппроксимирующими функциями и т.д. Известен способ определения прочностных свойств листового проката, заключающийся в том, что на вырубленный из листового проката образец наносят координатную сетку, образец и прижим для жесткого закрепления образца устанавливают в матрице с отверстием эллипсной формы и деформируют до появления утонения на образце, измеряют деформации образца и по нанесенным на поле графика величинам деформаций строят кривую диаграммы предельных деформаций, по которой судят о прочностных свойствах проката, причем блок, собранный из образца с прижимом и матрицы, устанавливают в контейнере, в котором на образце и на кромке прижима с перекрытием на 1,5-3,0 мм линии перехода прижима и образца размещают резиновую прокладку, а образец деформируют засыпанной в контейнер стальной дробью диаметром 0,5-1,5 мм с помощью пуансона в силовой установке, при этом изменение вида деформированного состояния достигают изменением размеров поперченного сечения отверстия матрицы: поперечное сечение отверстия имеет форму эллипса, в различных экспериментах варьируется величина малого диаметра эллипса при неизменном большем диаметре (см. патент RU 2134872 C1). В результате анализа известного решения необходимо отметить, что в данном способе испытания имеется возможность варьирования показателя жесткости напряженного состояния только в области от 0,333 до 0,667. Кроме того, применение данного способа требует наличия комплекта оснасток в виде матриц с прижимами, количество которых определяется числом экспериментально получаемых точек диаграммы пластичности, что усложняет процесс испытаний. Известен способ исследования зависимости пластичности материала от показателей жесткости напряженного состояния и Лоде-Надаи при помощи радиального выдавливания цилиндрического образца в щель переменной высоты, закон изменения которой определяется условием обеспечения постоянства показателя жесткости напряженного состояния в месте предполагаемого разрушения (боковая поверхность выдавливаемого фланца) на протяжении всего процесса. Высота щели h в зависимости от входных размеров щели и обеспечиваемого показателя жесткости напряженного состояния η на боковой поверхности фланца определяется уравнением: где h0 - начальная высота щели, мм; ρ0 - начальный радиус щели, мм. Как следует из представленного уравнения, данному способу испытания соответствует изменение показателя жесткости напряженного состояния в диапазоне от -0,577 до 0,577 (см. Калпин Ю.Г., Перфилов В.И., Петров П.А., Рябов В.А., Филиппов Ю.К. Сопротивление деформации и пластичность при обработке металлов давлением. М: МГТУ "МАМИ", 2007. С. 47-51). В результате анализа известного решения необходимо отметить, что выражение для определения высоты щели, обеспечивающей постоянство показателя жесткости напряженного состояния, обладает низкой точностью в результате принятия при его выводе допущений о незначительности скоростей сдвиговых деформаций и о независимости радиальных скоростей материальных частиц от осевой координаты, а при разрушении образца не на боковой поверхности выдавливаемого фланца способ и вовсе не работоспособен. Кроме того, применение данного способа требует наличия комплекта матриц, формообразующая поверхность которых изменяется по различным уравнениям, что усложняет его реализацию. Техническим результатом изобретения является: разработка способа исследования пластичности металлов и сплавов, обладающего высокой точностью результатов, простого в осуществлении за счет сокращения номенклатуры специального испытательного оборудования, комплекта оснасток и специальных приспособлений, а также обладающего более высокими функциональными возможностями за счет обеспечения варьирования показателей жесткости напряженного состояния и Лоде-Надаи в широких диапазонах. Указанный технический результат обеспечивается тем, что в способе определения пластичности металлов и сплавов, включающем изготовление образцов, проведение механических испытаний каждого из них до разрушения и определение по результатам испытаний значения показателей пластичности, новым является то, что для проведения испытаний изготавливают партию плоских образцов с перемычкой, образованной пазами, направленными от боковых поверхностей образца к центру, причем угол наклона пазов каждого образца партии образцов по отношению к его вертикальной оси разный и находится в диапазоне от 0° до 180°, проводят механические испытания каждого образца партии, по результатам которых определяют момент разрушения каждого образца, после чего проводят моделирование испытаний образцов в программе, основанной на методе конечных элементов, по которому определяют показатели пластичности образцов в момент их разрушения, определенный при механических испытаниях, при этом в качестве механических испытаний партии образцов используют испытания на растяжение или на сжатие или на растяжение и сжатие. Сущность заявленного изобретения поясняется графическими и табличными материалами, на которых: - на фиг. 1 представлен образец для проведения испытаний, вид в плане; - на фиг. 2 - место А по фиг. 1; - на фиг. 3 - сечение Б-Б по фиг. 2; - на фиг. 4 - схема нагружения образца при проведении испытаний; - на фиг. 5 - комплект образцов для проведения серии испытаний; - на фиг. 6 - экспериментально полученная поверхность пластичности сплава АМг6; - в таблице 1 приведен план вычислительного эксперимента. Заявленный способ определения пластичности металлов и сплавов основан на механических испытаниях партии изготовленных из них образцов. Каждый образец имеет плоскую форму. Верхняя и нижняя (в плоскости чертежа) части образца могут иметь места (не показаны) для закрепления в испытательной машине. В центральной части образца пазами 1 образована перемычка 2. Пазы направлены от боковых поверхностей образца к его центральной части. Угол наклона пазов к продольной оси (α) каждого образца партии различен и находится в интервале от 0 до 180°. Наличие перемычки обеспечивает локализацию в ней деформации в процессе проведения испытаний образца. Для обеспечения появления трещины при разрушении образца при его испытаниях строго в центре перемычки, в ее центре осуществляют удаление с ее боковых граней, посредством выполнения пазов 3, одинакового объема материала. Это обеспечивает практически одинаковые условия разрушения для каждого образца партии. Количество образцов в партии может быть различным и зависит от задач исследования: определение пластичности при определенных показателях жесткости напряженного состояния и Лоде-Надаи (для каждого определенного значения показателей жесткости напряженного состояния и Лоде-Надаи на менее одного образца); определение пластичности в определенном диапазоне с заданным шагом изменения показателей жесткости напряженного состояния и Лоде-Надаи (для каждого значения показателей жесткости напряженного состояния и Лоде-Надаи из исследуемого диапазона с заданным шагом на менее одного образца); проведение исследования с учетом статистического характера пластичности (для каждого определенного значения показателей жесткости напряженного состояния и Лоде-Надаи на менее пяти образцов) и т.д. Как правило, выбор количества образцов в партии не является сложной задачей для специалистов. В зависимости от того, в каком диапазоне планируется исследовать пластичность, а также возможностей испытательного оборудования, образцы партии подвергают механическим испытаниям либо только на растяжение, либо только на сжатие, либо часть образцов партии подвергают испытаниям на растяжение, а часть - на сжатие. В случае проведения испытаний на сжатие образцов при изменении угла наклона пазов от 0 до 90°, показатель жесткости напряженного состояния монотонно увеличивается от минимально возможного значения до отрицательной величины, близкой к нулю, а показатель Лоде-Надаи монотонно уменьшается от максимально возможного значения до положительной величины, близкой к нулю. В случае проведения испытаний на растяжение образцов при изменении угла наклона пазов от 0 до 90°, показатель жесткости напряженного состояния монотонно уменьшается от максимально возможного значения до положительной величины, близкой к нулю, а показатель Лоде-Надаи монотонно увеличивается от минимально возможного значения до отрицательной величины, близкой к нулю. Таким образом, в случае проведения испытаний двух видов образцов при изменении угла наклона пазов от 0 до 90° показатели жесткости напряженного состояния и Лоде-Надаи изменяются в диапазонах от минимально возможных до максимально возможных значений. Очевидно, что при проведении механических испытаний на растяжение и на сжатие максимальный диапазон варьирования показателей достигается применением для каждого типа эксперимента партии образцов с углами наклона пазов от 0° до 90°. При применении экспериментов какого-то одного типа расширение диапазона изменения показателей достигается увеличением максимального угла наклона пазов до 180°, за счет чего в перемычке реализуется другой тип эксперимента, но в таком случае необходимо также увеличивать ширину образца, таким образом, чтоб происходила локализация деформации в перемычке между пазами. Для реализации способа, в соответствии с задачами исследования, составляется матрица плана однофакторного эксперимента, в которой в качестве варьируемого параметра выступает угол наклона пазов образца, а результаты - показатели жесткости напряженного состояния и Лоде-Надаи и мера пластичности. Из исследуемого металла изготавливается необходимое количество образцов. Проводится серия экспериментов, направленная на определение моментов разрушения образцов и их воспроизведение в программе компьютерного моделирования, при помощи математической обработки результатов которого определяют параметры жесткости напряженного состояния, Лоде-Надаи и пластичности в момент разрушения, определенный экспериментально, соответствующие заданному углу наклона пропилов. Таким образом, получается соответствие между величиной пластичности и показателями жесткости напряженного состояния и Лоде-Надаи. Применение способа исследования пластичности по результатам испытаний на растяжение и сжатие, либо только растяжение и либо только сжатие образцов с пазами, за счет изменения угла наклона пазов, позволяет и нагружения образца осевой силой Для реализации заявленного способа не требуется применение какой-либо оснастки, либо приспособлений, достаточно стандартных захватов испытательной машины. Для увеличения точности результатов в заявленном способе предлагается при определении необходимых величин напряженно-деформированного состояния применять метод конечных элементов, реализованный во множестве современных коммерческих программ моделирования процессов. В общем случае любая задача обработки материалов давлением является замкнутой системой уравнений в частных производных. Аналитическими методами решение этой системы уравнений выполнить невозможно и в большинстве случаев приходится довольствоваться лишь приближенными решениями. Выход из сложившейся ситуации был найден в отказе от поиска решения во всех точках, заменив его решением в нескольких точках с дальнейшей аппроксимацией решения в область между точками. Тем самым упрощается задача, сводясь от системы нелинейных дифференциальных уравнений в частных производных к системе линейных алгебраических уравнений большой размерности. В результате аналитическое решение заменяется численным. К численным методам решения относится и метод конечных элементов, позволяющий отказавшись от общего решения в виде аналитических зависимостей получать достаточно точные численные решения для конкретного случая. Характеристики напряженно-деформированного состояния материала в месте разрушения образца определяются при помощи воспроизведения эксперимента по средствам компьютерного моделирования в программном продукте, основанном на методе конечных элементов. Сущность заявленного изобретения будет более понятна из приведенного ниже примера. Пример. В качестве примера реализации способа было проведено определение заявленным способом поверхности пластичности алюминиевого сплава АМгб ГОСТ 4784-97. Для проведения экспериментов была изготовлена и подвергнута механическим испытаниям на растяжение партия из восьми образцов (см. фиг. 5), со следующими углами наклона пазов α: 0°, 60°, 65°, 75°, 90°, 95°, 110° и 115°. Определение параметров напряженно-деформированного состояния материала образцов в процессе формоизменения было выполнено компьютерным моделированием экспериментов в программе DEFORM. Выходными данными моделирования являлись параметры напряженно-деформированного состояния в месте возникновения разрушения (центр перемычки), необходимые для определения величин показателей напряженного состояния и вида напряженного состояния в процессе формоизменения. Места инициирования разрушения назначались в качестве трассируемых точек, в которых производилось определение выходных параметров, с записью в отдельный файл для последующей математической обработки. При обработке были определены средние величины показателей жесткости напряженного состояния ηФ и Лоде-Надаи χФ и степень деформации εP в момент разрушения (см. таблицу 1). На основе полученных данных минимизацией суммы квадратов отклонения от экспериментальных данных были определены коэффициенты аппроксимирующей функции поверхности пластичности алюминиевого сплава АМгб (см. фиг. 6).
, позволяет реализовывать в центре перемычки различные комбинации в различных пропорциях растягивающей, либо сжимающей
и сдвигающей
сил (см. фиг 4), соответственно равных:
