патент
№ RU 2424797
МПК A61K31/155

НАНОКОМПОЗИЦИОННЫЙ ПОЛИМЕРНЫЙ МАТЕРИАЛ, СПОСОБ ЕГО ПОЛУЧЕНИЯ И ДЕЗИНФИЦИРУЮЩЕЕ СРЕДСТВО НА ЕГО ОСНОВЕ

Авторы:
Сивов Николай Александрович Антипов Евгений Евгеньевич Антипова Лариса Анатольевна
Все (4)
Номер заявки
2009139753/15
Дата подачи заявки
28.10.2009
Опубликовано
27.07.2011
Страна
RU
Как управлять
интеллектуальной собственностью
Чертежи 
8
Реферат

[105]

Изобретение относится к области получения нанокомпозиционных материалов и более конкретно к получению бактерицидных композиционных материалов и может быть использовано в народном хозяйстве и медицине. Нанокомпозиционный полимерный материал на основе неорганической слоистой глины, модифицированной добавками, который в качестве добавок содержит (со)полимеры производных гуанидина и четвертичной аммониевой соли, содержащие группы, способные к реакций радикальной полимеризации, и дополнительно содержит синтетическую гуттаперчу при определенном соотношении компонентов (% мас.). Способ получения нанокомпозиционного полимерного материала включает модификацию неорганической глины путем катионно-обменной реакции, в котором модификацию глины проводят в две стадии: на первой стадии вводят один модификатор, на второй стадии модификации вводят другой модификатор, причем используют сочетание двух модификаторов таким образом, чтобы один из них был метакрилат гуанидин. Дезинфицирующее средство содержит глину, модифицированную бактерицидными добавками, при определенном соотношении компонентов (мас.%). Изобретение позволяет создать прозрачные медицинские изделия (например, такие, как шины, используемые при переломах), позволяющие производить рентгенограммы без снятия изделий. 3 н. и 1 з.п. ф-лы, 6 ил., 8 табл.

Формула изобретения

1. Нанокомпозиционный полимерный материал на основе неорганической слоистой глины, модифицированной добавками, отличающийся тем, что в качестве добавок он содержит (со)полимеры производных гуанидина и четвертичной аммониевой соли, содержащие группы, способные к реакции радикальной полимеризации, и дополнительно содержит синтетическую гуттаперчу при следующем соотношении компонентов, мас.%:

гуттаперча20-80
глина, модифицированная (со)полимером гуанидина и четвертичной
аммониевой соли80-20

при содержании (со)полимера в глине от 10 до 80%.

2. Нанокомпозиционный материал по п.1, отличающийся тем, что в качестве четвертичной аммониевой соли, содержащей группы, способные к реакции радикальной полимеризации, он содержит N,N-диаллил-N,N-диметиламмонийхлорид, 2-(метакрилоилоксиэтил)-триэтиламмонийбромид, 2-(метакрилоилоксиэтил)-метилдиэтиламмонийиодид, 2-(метакрилоилоксиэтил)-триметиламмонийиодид.

3. Способ получения нанокомпозиционного полимерного материала по п.1, заключающийся в двухстадийной модификации неорганической глины путем катионно-обменной реакции, в котором на первой стадии в суспензию глины в воде при ее содержании не более 4 мас.% вводят первый модификатор - четвертичную аммониевую соль, выбранную из ряда: N,N-диаллил-N,N-диметиламмонийхлорид, 2-(метакрилоилоксиэтил)-триэтиламмонийбромид, 2-(метакрилоилоксиэтил)-метилдиэтиламмонийиодид, 2-(метакрилоилоксиэтил)-триметиламмонийиодид, N-аллил-N,N-диметил-N-(α-изо-пропилацетат)-аммонийхлорид, или соль гуанидина - гуанидин гидрохлорид, дигуанидин карбонат, метакрилат гуанидин, взятый в количестве, соответствующем 1 емкости катионного обмена глины, перемешивают в течение времени, необходимом для полной катионно-обменной реакции, выделяют полученное соединение, сушат, на второй стадии модификации вводят второй модификатор - мономер, способный к радикальной полимеризации, выбранный из ряда: метакрилат гуанидин, N,N-диаллил-N,N-диметиламмонийхлорид, 2-(метакрилоилоксиэтил)-триэтиламмонийбромид, 2-(метакрилоилоксиэтил)-метилдиэтиламмонийиодид, 2-(метакрилоилоксиэтил)-триметиламмонийиодид, и проводят реакцию радикальной полимеризации в присутствии персульфата аммония в атмосфере инертного газа при температуре, обеспечивающей сополимеризацию модификатора и мономера, продукт сушат, а затем полученную органомодифицированную глину при перемешивании на вальцах добавляют в синтетическую гуттаперчу, взятую в количестве 20-80 мас.% по отношению к массе всего композиционного материала, и выделяют полученный композиционный полимерный материал.

4. Бактерицидное дезинфицирующее средство на основе глины по п.1.

Описание

[1]

Настоящее изобретение относится к области получения нанокомпозиционных материалов и более конкретно к получению бактерицидных композиционных материалов и может быть использовано в народном хозяйстве и медицине в качестве бактерицидных дезинфицирующих средств, а также заменителей тяжелых небактерицидных гипсовых шин при переломах и т.д.

[2]

В связи с тем, что частицы неорганической глины являются ультрадисперсными, имеют толщину 10-20 нм, с одной стороны, и способность неорганических глин к проведению ионно-обменных реакций за счет наличия обменных катионов в межслоевом пространстве, с другой, делают этот природный материал чрезвычайно интересным для исследователей и разработчиков с точки зрения получения наноматериалов на ее основе.

[3]

Так, например, известен стабильно дисперсионный композит металлических наночастиц, описанный в US 20090148484 А1, согласно которой заряды в промежуточном слое неорганической глины в результате катионно-обменной реакции замещаются на металлические частицы, обладающие предпочтительно сферической структурой, например Au, Ag, Cu и Fe. В качестве неорганической глины композит содержит различные типы глин, в том числе монтмориллонит. Катионная емкость неорганической глины составляет 0,1-5,0 мэкв./г. Это техническое решение выбрано нами за прототип.

[4]

Недостатком описанного композита является то, что он может быть использован в виде порошка или суспензии, как указывают авторы заявки.

[5]

Применение его в качестве композиционного материала или изделий из него возможно при смешении его с полимерами. Однако глина, модифицированная указанными металлами, остается полярной, а следовательно, смешение с неполярной или слабополярной полимерной матрицей неизбежно приведет к формированию агрегатов и возможно частичной потере его свойств.

[6]

Задача предлагаемого изобретения заключается в устранении недостатков прототипа и в разработке нанокомпозиционного полимерного материала, сохраняющего механические свойства нанокомпозита и способа его получения.

[7]

Поставленная задача решается тем, что нанокомпозиционный полимерный материал на основе неорганической слоистой глины, модифицированной добавками, в качестве добавок содержит (со)полимеры производных гуанидина и четвертичной аммониевой соли, содержащих группы, способные к реакции радикальной полимеризации, и дополнительно содержит синтетическую гуттаперчу при следующем соотношении компонентов, мас.%:

[8]

гуттаперча20-80
глина, модифицированная (со)полимером производных гуанидина и четвертичной аммониевой соли80-20

[9]

при содержании (со)полимера в глине от 10 до 80 мас.%.

[10]

В качестве четвертичной аммониевой соли, содержащей группы, способные к реакции радикальной полимеризации, он содержит N,N-диаллил-N,N-диметиламмонийхлорид, 2-(метакрилоилоксиэтил)-триэтил-аммонийбромид, 2-(метакрилоилоксиэтил)-метилдиэтиламмонийиодид, 2-(метакрилоилоксиэтил)-триметиламмонийиодид.

[11]

Поставленная задача решается также тем, что предложен способ получения нанокомпозиционного полимерного материала, включающий модификацию неорганической глины путем катионно-обменной реакции, в котором модификацию глины проводят в две стадии: на первой стадии в суспензию глины в воде при ее содержании не более 4 мас.% вводят один модификатор, взятый в количестве, соответствующем 1 емкости катионного обмена глины (1 ЕКО), перемешивают в течение времени, необходимом для проведения полного ионного обмена, выделяют полученное соединение, сушат, на второй стадии модификации вводят другой модификатор и проводят реакцию радикальной полимеризации в присутствии персульфата аммония в атмосфере инертного газа при температуре, обеспечивающей сополимеризацию двух модификаторов, сушат, а затем полученную органомодифицированную глину при перемешивании на вальцах добавляют в синтетическую гуттаперчу, взятую в количестве 20-80 мас.% по отношению к массе всего композиционного материала, и выделяют полученный композиционный полимерный материал.

[12]

В качестве модификаторов используют соединения, выбранные из ряда гуанидин гидрохлорид, дигуанидин карбонат, метакрилат гуанидин, N,N-диаллил-N,N-диметиламмонийхлорид, 2-(метакрилоилоксиэтил)-триэтиламмонийбромид, 2-(метакрилоилоксиэтил)-метилдиэтиламмоний-иодид, 2-(метакрилоилоксиэтил)-триметиламмонийиодид, N-аллил-N,N-диметил-N-(α-изопропилацетат)-аммонийхлорид.

[13]

Причем используют сочетания двух модификаторов таким образом, чтобы один из них был метакрилат гуанидин.

[14]

Полученный технический результат от использования предлагаемого технического решения заключается в получении полимерного нанокомпозиционного материала, который обладает высокими механическими свойствами, необходимыми для создания изделий: модуль упругости до 60 МПа, прочность до 6 МПа и деформация при разрыве до 400%.

[15]

Получают нанокомпозиционный полимерный материал в соответствии с методикой, описанной ниже.

[16]

Нижеследующие примеры иллюстрируют, но никоим образом не огранивают область его применения.

[17]

Получение нанокомпозиционного полимерного материала

[18]

Для получения модифицированной глины используют ее способность к проведению катионно-обменных реакций с аминами.

[19]

Для модификации используют природную глину типа натриевый монтмориллонит (ММТ) марки Cloisite® Na+(EKO 95 ммоль экв. на 100 г глины) производства фирмы Southern Clay Products (США), размер частиц которых в высушенном состоянии составляет:

[20]

не более 2 мкмне более 6 мкмне более 13 мкм
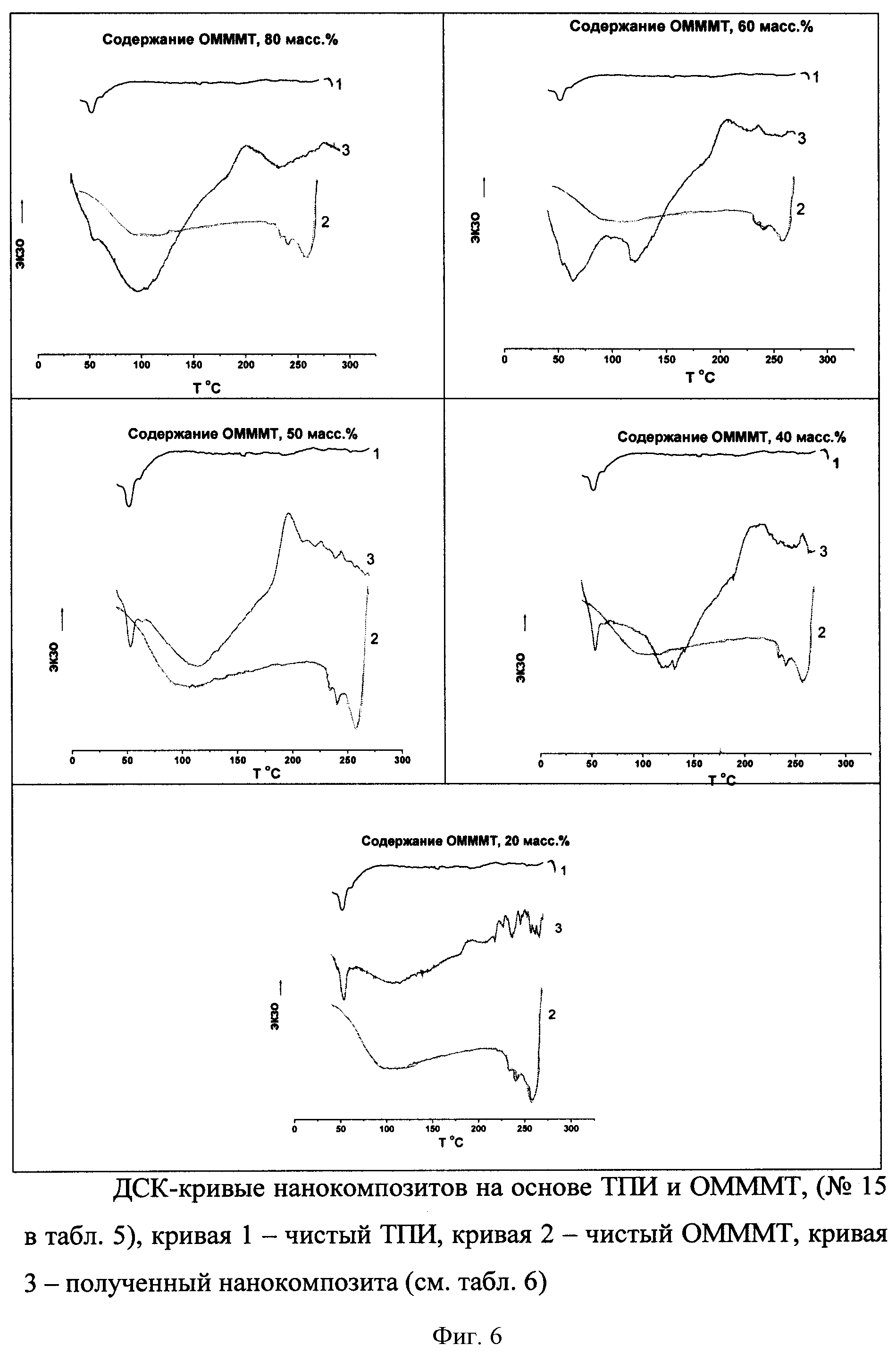
10%50%90%

[21]

Заряд силикатных пластин компенсируют ионы натрия, способные замещаться на аммонийные катионы. Обменные катионы довольно равномерно располагаются в межплоскостных пространствах слоистых силикатов.

[22]

Глина, модифицированная производными гуанидина или его сополимерами с четвертичными аммониевыми солями, в межплоскостных пространствах имеют способность набухать в воде, что позволяет получать стабильные дисперсии частиц для последующего проведения (со)полимеризации.

[23]

Методика получения модифицированной глины (1 стадия)

[24]

Примеры 1-8

[25]

Первую стадию модификации глины проводят путем катионно-обменной реакции по схеме: ММТ-Na++Cl-→ММТ-М++NaCl

[26]

1. В реакционную емкость (трехгорлую круглодонную колбу, снабженную механической мешалкой) заливают дистиллят, добавляют необходимое количество слоистого силиката - монтмориллонита (соотношение ММТ - вода см. в табл. 1) и перемешивают реакционную смесь.

[27]

Таблица 1
Содержание реагентов для получения модифицированной глины
ПримерМодификаторМасса модификатора, гМасса ММТ, гОбъем Н2О, мл
1Гуанидингидрохлорид (ГГХ)0,45365300
2Метакрилатгуанидин (МАГ)0,68885300
3Дигуанидинкарбонат (ДГК)0,42755300
4N,N-Диаллил-N,N-диметиламмонийхлорид (ДАДМАХ)0,76715300
52-(метакрилоилоксиэтил)-триэтиламмонийбромид (ДЭАЭМА·C2H5Br)0,5586250
62-(метакрилоилоксиэтил)-метилдиэтиламмонийиодид (ДЭАЭМА·CH3I)0,6300250
72-(метакрилоилоксиэтил)-триметиламмонийиодид (ДМАЭМА·CH3I)0,5681250
8N-аллил-N,N-диметил-N-(α-изопропилацетат)-аммонийхлорид (АДМА+ИПХА)0,4210250

[28]

2. В реакционную емкость добавляют модификатор. По окончании загрузки продолжают перемешивать реакционную смесь в течение времени, необходимого для осуществления катионно-обменной реакции, приведенной ниже на примере с ГГХ в качестве модификатора:

[29]

[30]

3. По окончании проведения реакции модифицированную глину фильтруют на стеклянном фильтре, осадок промывают дистиллированной водой, для удаления непрореагировавшего модификатора, затем сушат. Полученный порошок измельчают в ступке до однородной массы.

[31]

Получены модифицированные глины с различными модификаторами, содержание которых составляет 1 ЕКО. Методика и условия проведения опытов во всех случаях были одинаковыми. Содержание исходных веществ приведено в табл. 1.

[32]

Таблица 2
Количество модификатора, вступившего в реакцию ионного обмена с катионами натрия в монтмориллоните
ПримерМодификаторМасса модификатора, заместившего натрий в глине
в граммах на 1 г ММТв ЕКО
эксперименттеоретическоеэксперимент
1ГГХ4,5·10-25,7·10-20,79
2МАГ5,04·10-25,7·10-20,88
3ДГК7,4·10-25,7·10-21,3
4ДАДМАХ18,5·10-211,97·10-22,08
5ДЭАЭМА·CH3I23,75·10-219,0·10-21,25
6ДЭАЭМА·C2H5Br---
7ДМАЭМА·CH3I12,7·10-216,3·10-20,78
8ДАДМА+ИПХА15,2·10-217,67·10-20,86

[33]

В табл. 2 представлены результаты определения количества модификатора, адсорбированного на глине, полученные по данным анализа промывных вод на наличие катионов натрия, взятых после модифицирования ММТ различными модификаторами, введенными в раствор в количестве 1 ЕКО.

[34]

Из полученных данных можно сделать вывод, что во всех случаях катионы Na+практически полностью замещаются катионами модификаторов.

[35]

Еще одним доказательством того, что модификация монтмориллонита имеет место, являются результаты элементного анализа органомодифицированной глины (при содержании модификатора, равном 1 ЕКО). Результаты представлены в табл.3.

[36]

Таблица 3
Результаты элементного анализа органомодифицированного монтмориллонита
ПримерМодификаторСодержание элементов, мас.%Несгораемый остаток
эксперименттеоретическое
СНNСНN
1ГГХ1,50,92,61,10,553,8587,8
2МАГ---1,10,553,85-
3ДГК2,80,92,61,10,553,8584,45
4ДАДМАХ8,451,451,056,340,950,92584,8
5ДЭАЭМА·CH3I8,81,81,0010,531,761,1281,50
6ДЭАЭМА·C2H5Br8,651,850,8511,581,921,1381,85
7ДМАЭМА·CH3I7,651,550,98,981,51,1781,7
8АДМА+ИПХА8,451,60,99,871,651,1582,4
Na-MMT0,20,650,030,20,650,0394

[37]

В модифицированной мономерами глине содержание углерода, водорода и азота значительно выше, чем в чистом (немодифицированном) ММТ, что говорит о присутствии органических катионов в межслоевом пространстве слоистого силиката.

[38]

На этот же факт указывает и меньшая по сравнению с чистой глиной масса твердого остатка, остающаяся после прокаливания образцов. Органическая фаза в межслоевом пространстве модифицированного ММТ при прокаливании деструктирует и газифицируется, что приводит к дополнительной по сравнению с натриевым монтмориллонитом потере массы образца.

[39]

Процентное содержание элементов, входящих в состав модификаторов, в органомодифицированной глине близко к теоретическому, из чего можно сделать вывод, что при адсорбции модификатора в количестве, равном 1 ЕКО, практически все катионы модификатора участвуют в катионном обмене и замещают Na+.

[40]

Таким образом, результаты анализа промывных вод на наличие катионов натрия, а также элементного анализа, приведенные в таблицах 2 и 3, полученной органомодифицированной глины, позволяют с уверенностью утверждать, что органические ионы модификатора адсорбируются в межслоевых пространствах натриевого монтмориллонита, причем степень модификации глины близка к теоретическому значению.

[41]

Влияние количества адсорбированного модификатора на величину межплоскостного расстояния в монтмориллоните изучено методом рентгеноструктурного анализа (РСА) в режиме «на отражение».

[42]

На фиг.1, где по оси абсцисс - угол дифракции в 2 Θ, градусах, а по оси ординат - интенсивность рассеяния в усл.ед., представлены дифрактограммы глины, модифицированной МАГ (а), ГГХ (б), ДЭАЭМА·C2H5Br (в) и ДМАЭМА·C2H5Br (г), а также чистые модификаторы.

[43]

Чистые модификаторы (до нанесения на глину) имеют кристаллическую структуру, на что указывают характерные рефлексы, которые можно наблюдать на их дифрактограммах. Однако на дифрактограммах модифицированной глины рефлексы органомодификаторов отсутствуют, из чего можно сделать вывод, что при интеркаляции в межслоевое пространство монтмориллонита они теряют способность к кристаллизации.

[44]

Изучено влияние модификаторов на изменение расстояния между силикатными пластинами. Так, на фиг.2, где по оси абсцисс - угол дифракции в 2 Θ, градусах, а по оси ординат - интенсивность рассеяния в усл.ед., представлены дифрактограммы глин, модифицированных различными соединениями в количестве 1 ЕКО, а также чистая глина.

[45]

По представленным на фиг.2 экспериментальным данным были определены расстояния между силикатными пластинами у органомодифицированной глины (ММТ). При модификации ММТ (табл.4) происходит увеличение межплоскостного расстояния, которое зависит от структуры модификатора и возрастает с увеличением его разветвленности.

[46]

Таблица 4
Межплоскостное расстояние d в органомодифицированных глинах
Органоглинаd, нмОрганоглинаd, нм
Na-MMT1,26ДЭАЭМА·С2Н5-ММТ1,62
Г-ММТ, Г из ГГХ1,27ДЭАЭМА·СН3-ММТ1,45
ДАДМА-ММТ1,33ДМАЭМА·СН3-ММТ1,44
(АДМА+ИПА)-ММТ1,43

[47]

Методика получения глины, модифицированной биоцидными (со)полимерами производных гуанидина (стадия 2)

[48]

Примеры 9-15

[49]

Полимеризацию производных гуанидина, а также сополимеризацию проводят в присутствии персульфата аммония (ПСА) в инертной атмосфере аргона.

[50]

1. В реакционной емкости (трехгорлой круглодонной колбе, снабженной механической мешалкой) готовят органомодифицированную глину (монтмориллонит), согласно методике, описанной выше (в примерах 2, 4 и 7, табл.1, при получении сополимеров на основе мономеров МАГ и ДАДМАХ, добавляют ДАДМАХ одновременно с МАГ; в примерах 13 и 14 глину предварительно модифицируют гуанидином (13) или ДЭАЭМА·CH3I (14), а затем добавляют МАК (13) или МАГ (14)). После создания инертной атмосферы аргоном к реакционной смеси добавляют необходимое количество ПСА. Термостатируют реакционную колбу при температуре 60°С.

[51]

2. В примерах 9 и 10 по окончании проведения реакции модифицированную глину собирают на фильтре, промывают дистиллированной водой для удаления непрореагировавшего модификатора, затем сушат. Полученный порошок измельчают в ступке до однородного состояния. В примерах 11-15 по окончании проведения реакции основную часть воды удаляют на роторном испарителе и затем досушивают.

[52]

Методика и условия проведения опытов во всех случаях были одинаковыми. Содержание исходных веществ и время проведения опытов приведено в табл. 5.

[53]

Структура полученных полимеров подтверждается спектрограммами ЯМР (см. фиг.3а, б, 3в, г, 3д, е, где по оси абсцисс находится химический сдвиг сигналов в м.д., а по оси ординат - интенсивность сигналов в усл.ед.).

[54]

На фиг.4, где по оси абсцисс - угол дифракции в 2 Θ, градусах, а по оси ординат - интенсивность рассеяния в усл.ед., представлены дифрактограммы органоглин, модифицированных полимерами и сополимерами (см. табл.5), а также чистого ММТ. Цифры рядом с базальными рефлексами каждой глины обозначают численное значение межплоскостного расстояния (в нм).

[55]

Из представленных дифрактограмм видно, что межплоскостное расстояние, увеличившееся при сорбции мономера, затем практически не изменилось в результате полимеризации.

[56]

Кривые дифференциальной сканирующей калориметрии (ДСК-кривые) полученных систем полимер-глина, как при первом, так и при втором нагревании имеют сходный характер (фиг.5, где по оси абсцисс - температура в °С, а по оси ординат - интенсивность тепловых эффектов, в усл.ед.). При втором нагревании во всех случаях наблюдается отсутствие эффектов на кривой ДСК, что подтверждает полную деструкцию органической фазы в течение 1-го нагревания до 300°С. При первом нагревании во всех системах наблюдается эндотермический эффект в диапазоне температур 25-150°С, что указывает на сходную температурную область испарения остаточной воды из образцов.

[57]

[58]

Методика получения нанокомпозиционного полимерного материала на основе модифицированных глин и синтетической гуттаперчи

[59]

Примеры 16-22

[60]

Нанокомпозиты на основе синтетической гуттаперчи - трансполиизопрена (ТПИ) и органомодифицированной глины «сополимер ДАДМАХ-МАГ/ММТ» (ОМММТ), полученной по примеру 15, при различных соотношениях ТПИ и ОМММТ готовят методом смешения в расплаве на лабораторных вальцах.

[61]

1. Вначале регулируется зазор между валками, которые нагревают до температуры 120°С.

[62]

2. Предварительно проводят смешение при комнатной температуре в аппарате типа «пьяная бочка» ТПИ и соответствующего количества ОМММТ. Полученная смесь засыпается между валками. Во время загрузки валки вращаются с постоянной скоростью (52 об/мин). Перемешивание длится 5 мин, после чего выгружается образец.

[63]

В тех же условиях был приготовлен образец чистого ТПИ (пример 16).

[64]

Содержание исходных веществ для получения ТПИ - ОМММТ приведено в табл. 6.

[65]

Для исследования механических и теплофизических свойств нанокомпозиционного полимерного материала используют образцы в виде пленок. Для этого полученные композиты измельчают и прессуют навеску 1 г в ограничительном алюминиевом кольце при температуре 100°С и давлении 0.7 МПа в течение 5 мин между листами полиимидной пленки.

[66]

Таким же образом были приготовлены пленки чистого ТПИ (пример 16) и исходной органомодифицированной глины (пример 22). Результаты представлены ниже.

[67]

Таблица 6
Содержание реагентов при получении нанокомпозитов на основе модифицированных глин и синтетической гуттаперчи
ПримерМатрица ТПИНаполнитель ОМММТ
мас.%m, гмас.%m, г
161003,000
17802,4200,6
18601,8401,2
19501,5501,5
20401,2601,8
21200,6802,4
22001003,0

[68]

Свойства полученных нанокомпозиционных полимерных материалов на основе ТПИ

[69]

Механические свойства

[70]

Использование в качестве наполнителей слоистых силикатов, модифицированных биоцидными веществами, способными адсорбироваться на глину, значительно изменяет механические свойства композитов, по сравнению с чистой синтетической гуттаперчей (табл.7): модуль, при 50% наполнении, возрастает примерно в 4 раза при снижении предела текучести на 25% и прочности в 2 раза. При этом относительное удлинение при разрыве падает в 2 раза. При содержании глины более 80 мас.% композиты становятся хрупкими.

[71]

Таблица 7
Механические свойства нанокомпозитов на основе ТПИ, содержащего глину, модифицированную сополимером ДАДМАХ-МАГ
Содержание ОМММТ (пример 15), мас.%Модуль упругости, МПаПредел текучести, МПаПрочность, МПаДеформация при разрыве, %
019420574
2028410396
403933286
508436239
606235,8198
806022,687
100хрупкий

[72]

Теплофизические свойства

[73]

На фиг.6, где по оси абсцисс находится температура в °С, а по оси ординат - интенсивность тепловых эффектов, в усл.ед., представлены ДСК-кривые полученных нанокомпозитов на основе ТПИ и ОМММТ. До 170°С кривая композита представляет суперпозицию термограмм отдельных компонентов, затем наблюдается деструкция, как полимера - матрицы, так и полимера - модификатора на глине. Как видно, наполнитель практически не влияет на кристаллизацию ТПИ.

[74]

Обнаружено, что полученный нанокомпозиционный материал обладает бактерицидной активностью и может быть использован в области синтеза новых дезинфицирующих средств (ДС).

[75]

Для профилактики инфекционных заболеваний практика здравоохранения нуждается в эффективных ДС с широким спектром антимикробной активности.

[76]

Существующая в настоящее время сложная эпидемиологическая ситуация (высокий уровень заболеваемости вирусными и бактериальными инфекциями, появление новых и возвращение старых инфекций, формирование полирезистентных штаммов возбудителей инфекций, прецеденты биотерроризма) обосновывает рост требований к ДС и стимулирует поиск новых препаратов, обладающих бактериологической активностью.

[77]

На сегодняшний день существует большое количество ДС на основе различных активно действующих веществ. На основании данных научной литературы и анализа ассортимента ДС показано, что наиболее широкое распространение получили четвертичные аммониевые соединения (ЧАС), составляющие более 35% всех известных ДС.

[78]

ЧАС проявляют умеренную биоцидную активность. Противомикробная активность ЧАС зависит от типа заместителей у атома азота, длины углеродной цепи радикала, степени его насыщенности и разветвленности, наличия гидроксильных, эфирных групп и т.п. Соединения, содержащие у атома четвертичного азота радикалы с количеством атомов углерода <8, лишены или проявляют умеренные противомикробные свойства [Задачи современной дезинфектологии и пути их решения. Материалы Всероссийской научной конференции. 22-24 октября 2003 г.].

[79]

Широкое распространение получили также препараты класса полигуанидинов, в частности полигексаметиленгуанидин (ПГМГ) [Гембицкий П.А., Топчиев Д.А., Воинцева И.И. Полигексаметилгуанидин. Синтез, химические превращения, биоцидные свойства и область применения. Обзор]. Антимикробное действие производных гуанидина известно давно, гуанидиновые антисептики широко применяются в мире, поскольку они значительно эффективнее ЧАС, поверхностно-активных веществ (ПАВ), производных фенола и хлорактивных дезинфицирующих препаратов, стабильны и неагрессивны, не образуют токсичных продуктов, не инактивируются белками, биоразлагаемы.

[80]

В России ДС подобного класса производят заводским способом в виде ПГМГ хлорида («метацид») и ПГМГ фосфата («фогуцид») [2].

[81]

Однако довольно длительное их применение привело к значительному снижению эффекта биологической активности в большинстве случаев.

[82]

Следует отметить, что за последние 10 лет не появилось ни одного принципиально нового химического соединения, обладающего антимикробной активностью, и большинство ДС являются многокомпонентными композициями [1, с.45].

[83]

В связи с тем, что микроорганизмы обладают способностью со временем вырабатывать устойчивость к ряду из них, в том числе к ЧАС, ПГМГ, хлорсодержащим и др., поэтому поиск новых субстанций и препаратов, позволяющих расширить ряд ДС, всегда остается актуальной задачей.

[84]

Одним из методов создания биоцидности при разработке новых бактерицидных дезинфицирующих средств является использование биоцидных добавок, препятствующих развитию микробной флоры, в составе многокомпонентных композиций.

[85]

Так, например, известно биоцидное дезинфицирующее средство на основе нерастворимых в воде слоистых силикатов, в частности глины, описанное в US 20090148484 А1, согласно которому глина содержит биоцидные добавки в виде серебра (Ag) или меди (Cu). Это техническое решение является наиболее близким к предлагаемому.

[86]

Недостатком описанного биоцидного дезинфицирующего средства является тот факт, что описанное дезинфицирующее средство может быть применено только в виде порошков или суспензий и, в следствие этого, легко удаляется с обрабатываемого объекта.

[87]

Следует, однако, учитывать, что простетические и биоцидные материалы плохо совместимы, так что последние без какого-либо связующего компонента легко удаляются с объекта.

[88]

Поэтому, в качестве носителей для иммобилизации биоцидных веществ, представляется перспективным использование нерастворимых в воде слоистых силикатов, которые также обладают высокой сорбционной способностью и позволяют равномерно и дозированно распределить биоцидные вещества.

[89]

Задача предлагаемого изобретения заключается в устранении недостатков прототипа и в разработке бактерицидного дезинфицирующего средства, способного при нанесении на обрабатываемый объект сохраняться на нем столь долго, как этого требуют обстоятельства.

[90]

Поставленная задача решается тем, что предложено бактерицидное дезинфицирующее средство на основе глины, модифицированной бактерицидными добавками, которое в качестве бактерицидной добавки содержит (со)полимеры гуанидина и четвертичной аммониевой соли, содержащие группы, способные к реакции радикальной полимеризации, и дополнительно содержит синтетическую гуттаперчу при следующем соотношении компонентов, мас.%:

[91]

гуттаперча20-80
глина, модифицированная (со)полимером N,N-диаллил-N,N-диметиламмонийхлорида и метакрилат гуанидина80-20
при этом содержание (со) полимера в глине составляет10-80 мас.%

[92]

Испытания биоцидных свойств проводят методом агарового теста на культуре St. Aureus, для чего помещают квадратную пленку дезинфицирующего средства размером (4 см2) на культуру золотистого стафилококка. Оптимальным показателем является зона гибели бактерий не менее 4 мм. Результаты испытаний приведены в табл.8.

[93]

Таблица 8
Данные испытаний биоцидных свойств
ПримерСостав, мас.%Агаровый тест на культуре St. Aureus, зона гибели
ТПИОМММТ
1610000 мм
1780200 мм
1860401 мм
1950503 мм
2040604 мм
2120805 мм
2201006 мм
Примечание: Состав ОМММТ: (ДАДМАХ-МАГ)/ММТ=64/36

[94]

Предлагаемое техническое решение позволяет получать нанокомпозиционный полимерный материалы, обладающий высокими механическими свойствами: модуль упругости до 60 МПа, прочность до 6 МПа и деформация при разрыве до 400%, необходимыми для создания полимерных изделий различного назначения.

[95]

Кроме того, полученные нанокомпозиционные материалы обладают бактерицидной активностью, сопоставимой с известными бактерицидными дезинфицирующими средствами, с одной стороны, и пластичностью и прочностью, свойственной полимерным материалам, с другой, что значительно расширяет возможности применения данного бактерицидного дезинфицирующего средства. Например, для покрытий и создания материалов для протезно-ортопедических изделий; заменителей тяжелых и небактерицидных гипсовых шин при переломах. Причем абсолютная прозрачность шины из полученного материала для рентгеновского излучения позволит делать контрольные рентгенограммы у людей с переломами без ее снятия.

[96]

Пояснения к чертежам.

[97]

Фиг.1 - Дифрактограммы глины, модифицированной различными биоцидными мономерами: МАГ (а), ГГХ (б), ДЭАЭМА·C2H5Br (в) и ДМАЭМА·C2H5Br (г), и чистых модификаторов.

[98]

Фиг.2 - Дифрактограммы чистой глины и глины, модифицированной различными биоцидными мономерами в количестве 1 ЕКО. (а) Г-ММТ, ДАДМА-ММТ; (б) (АДМА+ИПА)ММТ, ДМАЭМА*СН3-ММТ, ДЭАЭМА*СН3-ММТ, ДЭАЭМА*С2Н5-ММТ.

[99]

Фиг.3а, б - ЯМР спектры полученных систем полимер-глина и сополимер глина, представленных в табл.5(а) пример 9, (б) пример 10.

[100]

Фиг.3в, г - ЯРМ спектры полученных систем полимер-глина и сополимер глина, представленных в табл.5 (в) пример 11, (г) пример 12.

[101]

Фиг.3д, е - ЯМР спектры полученных систем полимер-глина и сополимер глина, представленных в табл.5 (д) пример 13, (е) пример 15.

[102]

Фиг.4 - Дифрактограммы (а) чистого монтмориллонита и модифицированной полимерами и сополимерами глины (б-з).

[103]

Фиг.5 - ДСК-кривые полученных органомодифицированных глин.

[104]

Фиг.6 - ДСК-кривые нанокомпозитов на основе ТПИ и ОМММТ (№15 в табл.5), кривая 1 - чистый ТПИ, кривая 2 - чистый ОМММТ, кривая 3 - полученный нанокомпозит (см. табл.6).

Как компенсировать расходы
на инновационную разработку
Похожие патенты