Изобретение относится к медицине и может быть использовано для количественного определения ацетилсалициловой кислоты и ее основного метаболита салициловой кислоты в плазме крови человека. Для этого проводят жидкостно-жидкостную экстракцию салицилатов из плазмы крови с последующей дериватизацией силилирующим агентом N-метил-N-трет-бутилдиметилсилил-трифторацетамидом. Определение анализируемых соединений проводят методом газовой хроматомасс-спектрометрии с внутренним стандартом (п-толуиловой кислотой) осуществляют на неполярной капиллярной колонке HP-5MS при температуре инжектора 250°С и начальной температуре печи хроматографа - 130°С. Колонку термостатируют в течение 2 мин, после чего осуществляют ее нагрев до 280°С с температурным градиентом 25°С/мин. Затем колонку вновь термостатируют при 280°С в течение 4 мин. Регистрацию масс-спектров осуществляют при ионизации “электронным ударом” при 70 эВ и температуре источника ионов 230°С. Регистрация положительных ионов и сканирование выбранных ионов с m/z 309 для ацетилсалициловой кислоты и с m/z 195 для салициловой кислоты производят в режиме мониторинга со скоростью 2 скан/с. Изобретение обеспечивает проведение фармакокинетического лекарственного мониторинга препаратов у пациентов с цереброваскулярными заболеваниями. 9 ил.,3 табл., 1 пр.
Способ количественного определения салицилатов в плазме крови, включающий анализ крови на их наличие путем их жидкостно-жидкостной экстракции и дериватизации из плазмы крови с последующей газовой хромато-масс-спектрометрией продуктов экстракции и дериватизации и расчетом концентрации салицилатов по линейной калибровочной кривой, отличающийся тем, что экстракцию и дериватизацию анализируемых соединений и внутреннего стандарта - пара-толуиловой кислоты, проводят с силилирующим агентом N-метил-N-трет-бутилдиметилсилил-трифторацетамидом, а газовую хромато-масс-спектрометрию продуктов дериватизации анализируемых соединений и внутреннего стандарта осуществляют на неполярной капиллярной колонке HP-5MS, при температуре инжектора 250°С и начальной температуре печи хроматографа - 130°С, затем колонку с продуктами дериватизации термостатируют в течение 2 мин, после чего осуществляют ее нагрев с температурным градиентом 25°С/мин до 280°С, вновь проводят термостатирование на 280°С в течение 4 мин и осуществляют регистрацию масс-спектров дериватизированных салицилатов в следующем режиме: энергии ионизации 70 эВ, температуры источника ионов - 230°С, ионизации типа «электронный удар» с регистрацией положительных ионов и сканированием в режиме мониторинга выбранных ионов с m/z 309 для ацетилсалициловой кислоты и с m/z 195 для салициловой кислоты со скоростью 2 скан/с.
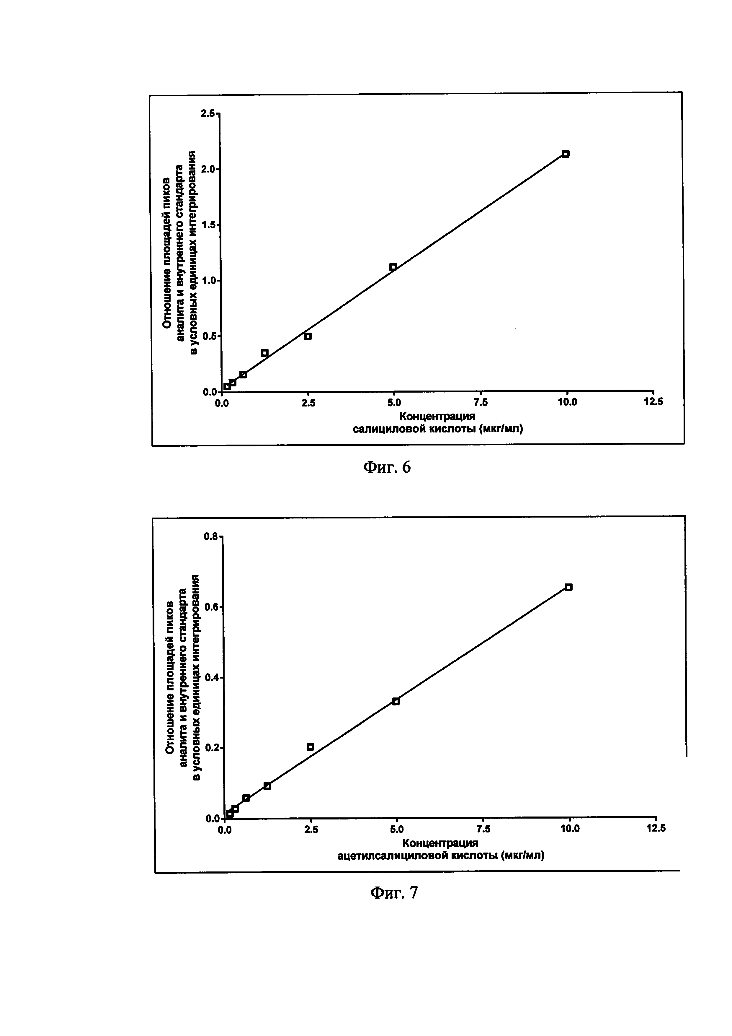
Изобретение относится к области медицины, а именно к клинической фармакологии, и может быть использовано для количественного определения ацетилсалициловой кислоты и ее основного метаболита салициловой кислоты в плазме крови человека с целью проведения фармакокинетического лекарственного мониторинга препаратов у пациентов с цереброваскулярными заболеваниями в условиях стационара. Резистентность к препаратам из группы салицилатов - явление достаточно распространенное и встречается, по разным данным, с частотой от 5 до 48%. Несмотря на то, что в медицинской литературе термин «резистентность к ацетилсалициловой кислоте» используется очень часто, эта проблема пока изучена недостаточно. Более того, до сих пор не существует единого общепринятого определения этого термина. В настоящее время выделяют клиническую и биохимическую аспиринорезистентность. Под клинической резистентностью понимают неспособность препарата предотвратить тромботический эпизод у конкретного больного. Биохимическую резистентность определяют как недостаточное подавление функции тромбоцитов на фоне приема ацетилсалициловой кислоты по результатам различных лабораторных тестов. Обсуждается много причин возникновения аспиринорезистентности. Согласно Меморандуму рабочей группы по изучению резистентности к ацетилсалициловой кислоте Международного общества по тромбозу и гемостазу, она может быть обусловлена снижением биодоступности препарата, функциональным состоянием тромбоцитов, взаимодействием тромбоцитов с другими клетками крови, генетическими причинами и даже такими факторами, как курение, гиперхолестеринемия, физическая нагрузка и стресс. Резистентность, связанная со снижением биодоступности ацетилсалициловой кислоты, подразумевает низкую приверженность к лечению, недостижение оптимальной дозы препарата, плохую абсорбцию из желудочно-кишечного тракта (АСК в кишечнорастворимой оболочке) и конкурентное взаимодействие АСК с другими лекарствами (например, с нестероидными противовоспалительными препаратами). Данную резистентность можно охарактеризовать как фармакокинетическую резистентность (Воробьева Н.М. Резистентность к ацетилсалициловой кислоте: значение лекарственной формы. Медицинский совет, 2013, №9, С. 76-81). Для изучения этого явления наиболее оптимальным решением является проведение мониторинга слицилатов в плазме крови больных с цереброваскулярными заболеваниями. На сегодняшний день известен способ раздельного определения салицилатов путем концентрирования кислот из водной пробы изобутиловым спиртом в присутствии 10-20 мас. % сульфата лития по отношению к пробе. Определение кислот осуществляется непосредственно в экстракте методом фотометрического титрования по реакции комплексообразования с Fe3+. Титрант - раствор FeCl3⋅6Н2O в диоксане. Это обеспечивает снижение пределов их обнаружения до 0,01 мг/дм3 и повышение точности анализа: погрешность не превышает 9% (RU 2137113, 10.09.1999). Однако данный способ применим для выделения препаратов салицилатов только из водной среды. Известен также способ определения салицилатов (аспирина и салициловой кислоты) в плазме крови путем жидкостной хроматографии. Образцы крови отбирают в охлажденные пробирки, содержащие антикоагулянт фторид, и плазму отделяют центрифугированием. После простой стадии подкисления, 200 мкл аликвоты пробы вводят непосредственно в систему ВЭЖХ. Экстракционную колонну С-18 промывают подкисленной водой в течение 2 мин, после чего соединения удаляют путем обратной промывки непосредственно на аналитической колонке (С-8 Нуклеосил, 5 мкм, 250 мм ×4,6 мм). Скорость потока через обе колонки составляет 1 мл/мин. Аналиты количественно определяют путем измерения их по УФ-поглощению при длине волны 225 нм. Подвижная фаза представляет собой смесь вода-метанол-ацетонитрил-ортофосфорная кислота (650:200:150:1 об./об./об./об.). Метод является линейным в интервале концентраций 0.10-5.00 мкг/мл для аспирина и 0.25-15.00 мкг/мл для салициловой кислоты. Оба соединения имеют предел количественного определения 0,10 мкг/мл и предел обнаружения 0,04 мкг/мл. Такое извлечение салицилатов из плазмы устраняет необходимость во внутреннем стандарте. Процедура легко выполнима и требует меньшего количества обработки выборок по сравнению с методами, описанными в литературе в настоящее время. Способ успешно применен к исследованию уровней аспирина и салициловой кислоты у здоровых добровольцев после перорального введения 600 мг аспирина (McMahon GP, Kelly МТ Determination of aspirin and salicylic acid in human plasma by column-switching liquid chromatography using on-line solid-phase extraction., Anal Chem., 1998 Jan 15; 70 (2): 409-14). Недостатками способа является низкая избирательность метода, поскольку на определение салицилатов оказывают сильное влияние коэкстрактивные вещества биологического происхождения, имеющие аналогичный спектральный максимум поглощения, которые могут интерферировать с анализируемыми соединениями, либо образовывать с ними критические пары. Наиболее близким техническим решением является способ определения салицилатов методом высокоэффективной жидкостной хроматографии (ВЭЖХ), а именно одновременного определения ацетилсалициловой кислоты (АСК) и его основного метаболита салициловой кислоты (СК) в плазме крови человека. Подкисленную плазму крови депротеинизировали ацетонитрилом, который отделяли от водного слоя путем добавления натрия хлорида. АСК и СК экстрагируются в ацетонитриловом слое с высоким выходом, и определяются с помощью обращенной фазы (колонка: Novapak С18 4 мкм двуокиси кремния, 150×4 мм ID; элюент: 740 мл воды, 900 мкл 85% ортофосфорной кислоты, 180 мл ацетонитрила) и фотометрического детектирования (237 нм). В качестве внутреннего стандарта использовали 2-метил-бензойную кислоту. Метод позволяет определять АСК и СК в плазме крови человека до 100 нг/мл с хорошей точностью (более 10%). Анализ использовали для определения фармакокинетических параметров АСК и СК после перорального введения 100-500 мг АСК у здоровых добровольцев (Kees F. et al. Simultaneons determination of acetylsalycilic acid and salicylic acid in human plasma by high-performance liguid chromatography. J. Chromatogr. - B-Biomed Appl., 1996, N677 (1), pp. 172-177). Недостатками способа также являются низкая избирательность и селективность по отношению к анализируемым соединениям. Основным способом преодоления данных недостатков и является применения масс-спектрометрического детектирования, используемого в заявленном способе. Технический результат заключается в расширении арсенала технических средств определения салицилатов в плазме крови с высокой избирательностью, достоверностью и точностью. Технический результат достигается тем, что количественное определение салицилатов в плазме крови проводят путем анализа крови на их наличие с помощью жидкостно-жидкостной экстракции и дериватизации из плазмы крови с последующей газовой хромато-масс-спектрометрией продуктов экстракции и дериватизации и расчетом концентрации салицилатов, согласно изобретению экстракцию и дериватизацию анализируемых соединений и внутреннего стандарта - пара-толуиловой кислоты, проводят с силилирующим агентом N-метил-N-трет-бутилдиметилсилил-трифторацетамидом, а газовую хромато-масс-спектрометрию продуктов дериватизации анализируемых соединений и внутреннего стандарта осуществляют на неполярной капиллярной колонке HP-5MS, при температуре инжектора 250°С и начальной температуре печи хроматографа - 130°С, затем колонку с продуктами дериватизации термостатируют в течение 2 мин, после чего осуществляют ее нагрев с температурным градиентом 25°С/мин до 280°С, вновь проводят термостатирование на 280°С в течение 4 мин и осуществляют регистрацию масс-спектров дериватизированных салицилатов в следующем режиме: энергии ионизации 70 эВ, температуры источника ионов - 230°С, ионизации типа «электронный удар» с регистрацией положительных ионов и сканированием в режиме мониторинга выбранных ионов с m/z 309 для ацетилсалициловой кислоты и с m/z 195 для салициловой кислоты со скоростью 2 скан/с, с последующим расчетом концентрации салицилатов по линейной калибровочной кривой. Способ осуществляется следующим образом. Пробоподготовка Подготовку плазмы крови осуществляют методом жидкостно-жидкостной экстракции. В пластиковую пробирку типа «Эппендорф» объемом 2 мл отбирают 250 мкл плазмы, добавляют 25 мкл стандартного раствора внутреннего стандарта - толуиловой кислоты с концентрацией 100 мкг/мл, затем перемешивают на аппарате для встряхивания жидкости в течение 5 с, добавляют 250 мкл 20% ортофосфорной кислоты и 1 мл диэтилового эфира. Далее пробирку встряхивают на вортекс-миксере в течение 5 мин, центрифугируют 10 мин при 14000 об/мин. Верхний органический слой декантируют, переносят в хроматографическую виалу и упаривают в испарителе-концентраторе в течение 30 мин при нагревании до 45°С. Сухой остаток перерастворяют в 50 мкл дериватизирующей смеси (N-метил-N-трет-бутилдиметилсилил-трифторацетамид, содержащий 1% трет-бутилдиметилхлоросилана) и выдерживают пробы при 70°С в течение 30 минут. Схема дериватизации анализируемых соединений и внутреннего стандарта представлена на фиг. 1 А, Б, В, где А - дериватизация салициловой, Б - ацетилсалициловой и В - пара-толуиловой кислот. Далее в виалу с продуктами дериватизации добавляют 300 мкл этилацетата и полученный образец помещают в автосемплер для дальнейшего хроматомасс-спектрометрического анализа. Причем для одновременного количественного определения ацетилсалициловой и салициловой кислот используют газовую хромато-масс-спектрометрию. Хроматограф - «Agilent 6850 Series II Network GC System». Детектор - моноквадрупольный масс-спектрометрический «Agilent 5975B inert XL MSD». Хроматографическое разделение проводят в неполярной капиллярной колонке HP-5MS (привитая фаза - (5%-фенил) метилполисилоксаном. Длина колонки 30 м, внутренний диаметр 0,25 мм, толщина фазы 0,25 мкм, газ-носитель - гелий 6.0, давление газа-носителя 5 psi. Для разделения смеси анализируемых веществ используют следующий режим работы хроматографа: температура инжектора - 250°С, начальная температура печи хроматографа - 130°С. Термостатирование колонки с продуктами дериватизации проводят в течение 2 мин, после чего осуществляют нагрев с температурным градиентом 25°С/мин до 280°С, затем вновь термостатируют на 280°С в течение 4 мин. Общее время анализа составляет 12 минут. Для регистрации масс-спектров анализируемых веществ выбирают следующий режим: энергия ионизации 70 эВ, температура источника ионов - 230°С, ионизация типа «электронный удар» с регистрацией положительных ионов, сканирование в диапазоне 50-400 Да со скоростью 2 скан/с. Объем вводимой пробы - 1 мкл, пробы вводили в режиме без деления потока. Были получены следующие масс-спектры: масс-спектр TBDMS-производного пара-толуиловой кислоты (трет-бутилдиметилсилиловый эфир толуиловой кислота, TBDMS-производное) показан на фиг. 2; масс-спектр 2TBDMS-производного салициловой кислоты, (трет-бутилдиметилсилиловый эфир салициловой кислоты) показан на фиг. 3; масс-спектр TBDMS-производного ацетилсалициловой кислоты, (трет-бутилдиметилсилиловый эфир ацетилсалициловой кислоты) показан на фиг. 4. После анализа масс-спектров салицилатов были выбраны следующие параметры для SIM-метода (Selected Ion Monitoring, метод мониторинга выбранных ионов) см. таблица 1. В методе мониторинга выбранных ионов параметры хроматографирования применяют аналогичные таковым для режима сканирования по полному ионному току. В разработанном SIM-методе сканирование проводят в режиме мониторинга выбранных ионов с m/z 309 для ацетилсалициловой кислоты и с m/z 195 для салициловой кислоты со скоростью 2 скан/с. Пробу вводят в объеме 1 мкл в режиме без деления потока. В указанных условиях времена удерживания TBDMS-производных целевых соединений составляли - для толуиловой кислоты - 4,55 мин, для ацетилсалициловой кислоты - 5,24 мин, для салициловой кислоты - 6,25 мин. Масс-хроматограмма TBDMS-производных салицилатов с внутренним стандартом - толуиловой кислотой представлена на фиг. 5. По оси абсцисс - время хроматографирования в минутах, по оси ординат - ионный ток в условных единицах интегрирования. Пик с временем удерживания 6,1 относится к TBDMS-производное ортофосфорной кислоты. Для приготовления калибровки готовили маточные растворы стандартов салициловой, ацетилсалициловой и пара-толуиловой кислоты (внутреннего стандарта) в метаноле с концентрациями 1 мг/мл. Растворы салициловой и ацетилсалициловой кислот применяли для приготовления растворов рабочих стандартных образцов на плазме крови с концентрациями 0,156 мкг/мл; 0,313 мкг/мл; 0,625 мкг/мл; 1,25 мкг/мл; 2,5 мкг/мл; 5 мкг/мл; 10 мкг/мл Раствор внутреннего стандарта с концентрацией 1 мг/мл разбавляли в 10 раз для получения рабочего раствора внутреннего стандарта с концентрацией 100 мкг/мл. Линейные калибровочные кривые анализируемых соединений представлены на фиг. 6 и 7. Градуировочная зависимость для салициловой кислоты в плазме крови описывалась формулой: ССК=4,752×AR-0,1301, где ССК - концентрация салициловой кислоты (мкг/мл), AR (Area Ratio) - отношение площадей пиков аналита и внутреннего стандарта. Коэффициент корреляции составил R2=0,998, что соответствует надлежащей аналитической аппроксимации (см. фиг. 6). Градуировочная зависимость для ацетилсалициловой кислоты в плазме крови описывалась формулой: CАСК=15,53×AR-0,2142, где САСК - концентрация ацетилсалициловой кислоты (мкг/мл), AR (Area Ratio) - отношение площадей пиков аналита и внутреннего стандарта. Коэффициент корреляции составил R2=0,997, что соответствует надлежащей аналитической аппроксимации (см. фиг. 7). Предел количественного определения,- 0,625 мкг/мл. Точность и воспроизводимость Точность выражалась в виде коэффициента вариации (% C.V.) для каждой серии образцов согласно уравнению: SD - стандартное отклонение серии определений; Воспроизводимость измерялась, как процент отклонения (% dev.) от теоретического значения по формуле: Для метрологической валидации полученной методики определяли точность в течение рабочего дня. Каждый из образцов, предназначенных для контроля качества, анализировали в течение 1 рабочего дня (6 определений). Результаты представлены в таблицах 2 и 3. Таким образом, относительная ошибка определения анализируемых соединений не превышала 15%. Заявленный способ обладает высокой избирательностью, достоверностью и точностью.

где
- среднее арифметическое значение полученных концентраций.
, где
- среднее арифметическое значение полученных концентраций;
