Изобретение относится к новому производному гемина, а именно к соединению формулы (I)где Meпредставляет собой Feили Fe; Halпредставляет собой F, Cl, Brили I, или его фармацевтически приемлемой соли. Также предложены фармацевтическая композиция, антибактериальное средство, антисептическое средство, дезинфецирующая композиция, способы лечения заболеваний, вызываемых бактериями, применение соединения формулы (I). Предлагаемое новое производное гемина обладает антибактериальной активностью в отношении ряда резистентных к современным антибиотикам штаммов. 10 н. и 18 з.п. ф-лы, 3 ил., 1 табл., 4 пр.
1. Соединение формулы (I) где Men+ представляет собой Fe2+ или Fe3+; Hal- представляет собой F-, Cl-, Br- или I-, или его фармацевтически приемлемая соль. 2. Фармацевтическая композиция, обладающая антибактериальной активностью, включающая в качестве активного ингредиента эффективное количество соединения формулы (I) по п.1 или его фармацевтически приемлемую соль и фармацевтически приемлемый носитель. 3. Фармацевтическая композиция по п. 2, которая представляет собой антибактериальное средство. 4. Фармацевтическая композиция по п.2, которая проявляет активность в отношении грамположительных бактерий. 5. Фармацевтическая композиция по п.4, где бактерии представляют собой грамположительные бактерии рода Staphylococcus, Enterococcus. 6. Фармацевтическая композиция по п.5, где бактерии представляют собой грамположительные бактерии рода Staphylococcus aureus, Staphylococcus haemolyticus, Enterococcus faecalis. 7. Фармацевтическая композиция по п.5, где бактерии относятся к резистентным штаммам Enterococcus faecalis, Staphylococcus aureus, Staphylococcus haemolyticus. 8. Антибактериальное средство, содержащее соединение формулы (I) по п.1. 9. Антибактериальное средство по п. 8, которое проявляет активность в отношении грамположительных бактерий. 10. Антибактериальное средство по п. 9, где бактерии представляют собой грамположительные бактерии рода Staphylococcus, Enterococcus. 11. Антибактериальное средство по п. 10, где бактерии представляют собой грамположительные бактерии рода Staphylococcus aureus, Staphylococcus haemolyticus, Enterococcus faecalis. 12. Антибактериальное средство по п. 11, где бактерии относятся к резистентным штаммам Enterococcus faecalis, Staphylococcus aureus, Staphylococcus haemolyticus. 13. Антисептическоеое средство, содержащее соединение формулы (I) по п.1. 14. Антисептическое средство по п. 13, которое проявляет активность в отношении грамположительных бактерий. 15. Антисептическое средство по п. 14, где бактерии представляют собой грамположительные бактерии рода Staphylococcus, Enterococcus. 16. Антисептическое средство по п. 15, где бактерии представляют собой грамположительные бактерии рода Staphylococcus aureus, Staphylococcus haemolyticus, Enterococcus faecalis. 17. Антисептическое средство по п. 16, где бактерии относятся к резистентным штаммам Enterococcus faecalis, Staphylococcus aureus, Staphylococcus haemolyticus. 18. Дезинфицирующая композиция, содержащая соединение формулы (I) по п.1. 19. Дезинфицирующая композиция по п.18, которая проявляет активность в отношении грамположительных бактерий. 20. Дезинфицирующая композиция по п. 19 где бактерии представляют собой грамположительные бактерии рода Staphylococcus, Enterococcus. 21. Дезинфицирующая композиция по п. 21, где бактерии представляют собой грамположительные бактерии рода Staphylococcus aureus, Staphylococcus haemolyticus, Enterococcus faecalis. 22. Дезинфицирующая композиция по п. 21, где бактерии относятся к штаммам Staphylococcus aureus, Staphylococcus haemolyticus, Enterococcus faecalis. 23. Способ лечения заболеваний, вызываемых бактериями, включающий введение нуждающемумся в этом пациенту - млекопитающему, в том числе человеку, соединения формулы (I) по п.1. 24. Способ лечения заболеваний, вызываемых бактериями, включающий введение нуждающемумся в этом пациенту - млекопитающему, в том числе человеку, фармацевтической композиции на основе соединения формулы (I) по п.1. 25. Применение соединения формулы (I) по п.1 для лечения заболеваний, вызываемых бактериями, в том числе резистентными, у пациента - млекопитающего, в том числе человека. 26. Применение соединения формулы (I) по п.1 для получения лекарственного средства для лечения заболеваний, вызываемых бактериями в том числе резистентными, у пациента - млекопитающего, в том числе человека. 27. Способ получения соединения (I) по п.1, включающий взаимодействие активированного по карбоксильным группам производного гемина с незащищенным по амино- и иминогруппам норспермидином. 28. Способ по п. 27, где к разбавленному раствору активированного эфира гемина порционно добавляется незащищенный по амино- и иминогруппам норспермидин.
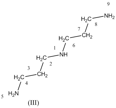
Область техники Изобретение относится к области биоорганической химии и направлено на получение нового производного гемина и создание нового антибактериального средства и композиций на его основе. Уровень техники Одной из глобальных проблем современной медицины является повышение резистентности микроорганизмов к используемым в настоящее время антибиотикам. Это явление представляет серьезную угрозу для здоровья населения, так как скорость приобретения микроорганизмами устойчивости приближается к скорости выхода на рынок новых антибиотиков. Так, согласно данным ВОЗ за 2014 год, число смертей от инфекционных заболеваний продолжает расти [Shankar P.R., Balasubramanium R. Antimicrobial Resistance: Global Report on Surveillance // Australasian Medical Journal., 2014, V. 7(5), p. 238-239.]. Рост устойчивости бактерий к антибактериальным препаратам в первую очередь является результатом злоупотребления антибиотиками в клинической практике и их чрезмерного использования. Проблема осложняется появлением полирезистентных бактерий и их способностью распространять эти свойства на другие бактерии посредством горизонтального переноса генов [Al-Bahry Saif N., Mahmoud I.Y., Paulson J.R., Al-Musharafi S.K. Antibiotic resistant bacteria in terrestrial and aquatic environments: A review // The international Arabic journal of antimicrobial agents, 2014, V.4(3), p. 1-11]. Вследствие этого поиск новых эффективных антисептических и терапевтических средств с антимикробными свойствами, а также развитие методов их синтеза является актуальной задачей для биологов и химиков. Ранее предпринимались попытки модификации молекулы гемина путем его конъюгации с аминокислотами, пептидами и их производными, а также биогенными аминами, с целью создания биологически активных производных. В результате модификации карбоксильных групп гемина путем получения соответствующих амидов были синтезированы и исследованы производные гемина (ПГ) общей формулы (II), где R1 и R2, одинаковые или различные, представляли собой –ОН, или остаток аминокислоты, или пептида, или биогенного амина, причем R1 и R2 не могут одновременно обозначать -ОН. Men+ представляет собой Fe2+ или Fe3+; Hal‐ представляет собой F‐, Cl‐, Br‐ или I‐ [патент RU№2250906, опубликованный 27.04.2005]. Для этих производных были выявлены разные виды биологической активности, включая антибактериальную (WO 2013/073998 A2), нуклеазную (RU №2404191), пероксидазную, каталитическую (RU№2404191) и вирулицидную (RU №2404191). В ранее опубликованных работах описаны производные полиамина - спермина, который содержит в своем составе две первичные и вторичные аминогруппы. Из-за присутствия в молекулах полиаминов этих аминогрупп в синтезах обычно используют селективные их защиты [Miller K.A., Suresh Kumar E.V.K., Wood S.J. Lipopolysaccharide Sequestrants: Structural Correlates of Activity and Toxicity in Novel Acylhomospermines // J. Med. Chem., 2005, V.48, p. 2589-2599; Petukhov IA, Maslov MA, Morozova NG Russ., Synthesis of polycationic lipids based on cholesterol and spermine // Chem. Bull. Int.Ed., 2010, V.59 (1), p. 260-268]. Так, известно производное холестерина, модифицированное остатком полиамина, а также другие конъюгаты - конъюгат спермина с холестерином и липоспермидин, но не производные норспермидина, в том числе циклические производные порфиринов и полиаминов неизвестны [Petukhov I.A., Maslov M.A., Morozova NG Russ., Synthesis of polycationic lipids based on cholesterol and spermine // Chem. Bull. Int.Ed., 2010, V.59 (1), p. 260-268; Andrew J. Geall and Ian S. Blagbrough Homologation of Polyamines in the Synthesis of Lipo-Spermine Conjugates and related Lipoplexes // Tetrahedron Letters, V. 39, 1998, p. 443-446]. Сущность изобретения Настоящее изобретение относится к новому циклическому производному гемина, модифицированного остатком полиамина общей формулы (I): где Men+ представляет собой Fe2+ или Fe3+; Hal‐ представляет собой F‐, Cl‐, Br‐ или I‐, или его фармацевтически приемлемым солям. Кроме того, изобретение относится к способу получения соединения формулы (I) и фармацевтической композиции на основе указанного соединения, а также к антибактериальному и/или антисептическому и дезинфицирующему средству на основе соединения формулы (I). Изобретение также относится к применению соединения формулы (I) и способу лечения бактериальных заболеваний с использованием соединения формулы (I). Краткое описание чертежей На Фиг.1 изображен 1Н ЯМР-спектр ПГ (I) (700 MHz, d6-DMSO при 303 К): а - высокоспиновое состояние; b - бис-цианидное низкоспиновое состояние. Факт образования амидных связей карбоксильных групп гемина с первичными аминогруппами норспермидина был подтвержден методом ЯМР. Все ЯМР-эксперименты были проведены в d6-DMSO, концентрация ПГ (I) составляла 2 мг/мл. Низкоспиновое состояние иона железа в молекуле было получено добавлением к пробе KCN до концентрации 100мМ. В 1Н - ЯМР-спектре ПГ (I), находящееся в низкоспиновом состоянии (Фиг.1, b), наблюдались сигналы в области от -4 до 0, 6-15 ppm, относящиеся к отдельным группам гемового остава, а также норспермидиновому заместителю. В 1Н - ЯМР-спектре высокоспинового состояния ПГ (I) (фиг 1, а) вышеупомянутые сигналы отсутствуют. На Фиг.2 изображенДвумерный ЯМР-спектр1H/15N - HSQC бис-цианидного производного ПГ (I). В двумерном спектре1H/15N - HSQC наблюдался лишь один сигнал, соответствующий NH - группе норспермидина, находящейся рядом с карбоксильной CO - группой. На Фиг.3 изображены выделенные фрагменты ЯМР-спектров: а - TOCSY бис-цианида ПГ1; b - DQF-COSY бис-цианида ПГ I. В двумерном спектре TOCSY ПГ (I) наблюдаются кросс-пики с сигнала 6.95 pmm, соответствующего протону при атоме азота, на протоны с химическим сдвигом 1.38 и 2.66 ppm (фиг. 3, a). В двумерном спектре DQF - COSY наблюдаются кросс-пики с сигнала при 6.95 - на сигнал 2.66 ppm (фиг.к 3, b). Это означает, что протоны с химическим сдвигом 2.66 ppm находятся на соседних с атомом азота С-атомах, а протон с химическим сдвигом 1.38 находится на соседнем с ним С-атоме. Это подтверждается наличием кросс-пиков с химическим сдвигом 2.66 и 1.38 ppm друг на друга в спектре DQF-COSY (фиг.3, b). Таким образом можно заключить, что сигнал с химическим сдвигом 2.66 относится к протонам при атомах углерода 4 и/или 2, а 1.38 - к протонам при атоме углерода 3 норспермидина (III) Подробное описание изобретения Авторы настоящего изобретения синтезировали новое оригинальное циклическое норспермидиновое производное гемина (ПГ), соответствующее формуле (I): где Men+ представляет собой Fe2+ или Fe3+; Hal- представляет собой F-, Cl-, Br- или I-, или его фармацевтически приемлемым солям. Синтез соединения (I) осуществлялся новым способом - без использования селективных защитных групп по амино- и иминофункциям норспермидина. Норспермидин - биогенный амин, который образуется в результате жизнедеятельности бактерий и участвует в процессе спонтанного разрушения биопленок [Kolodkin-Gal I., Cao S., Chai L., Böttcher T., Kolter R., Clardy J., Losick R. A self-produced trigger for biofilm disassembly that targets exopolysaccharide// Cell, 2012, 149, p 684-692] и соответствует формуле: В отличие от ранее описанных соединений ПГ соединение формулы (I) обладает неизменной одинаковой активностью против целого ряда бактерий, резистентных к современным антибиотикам. При этом токсичность данного соединения отсутствовала вплоть до концентрации 256 мкг/мл, которая превышает минимальные подавляющие и бактерицидные концентрации (МПК, МБК) против ряда резистентных бактерий в 4-8 раз. Соединение формулы (I) может быть использовано в виде солей с фармацевтически приемлемыми кислотами, например молочной, винной, лимонной, хлористоводородной и др. Соли ПГ (I) по вторичной аминогруппе получают путем добавления раствора фармацевтически приемлемой кислоты в воде, органическом растворителе или их смеси к ПГ с последующим удалением в вакууме. Заявляемое, представленное выше, соединение формулы (I), проявляет активность против резистентных бактерий, в частности таких как грамположительные бактерии рода Staphylococcus, Enterococcus, более конкретно, бактерий Enterococcus faecalis, St. aureus, St. aureus, St. haemolyticus, St. haemolyticus, а также чувствительного штамма St. aureus. Указанное выше соединение и/или его фармацевтически приемлемая соль могут быть использованы в качестве активного ингредиента в фармацевтической композиции (например, в твердой, полутвердой или жидкой форме) в смеси с органическим или неорганическим носителем или наполнителем. Активный ингредиент может быть включен в композицию вместе с обычно используемыми нетоксичными, фармацевтически приемлемыми носителями, пригодными для изготовления растворов, таблеток, пилюль, капсул, суппозиториев, эмульсий, суспензий, спреев, капель, мазей и любых других лекарственных форм. В качестве носителей могут быть использованы вода, глюкоза, лактоза, аравийская камедь, желатин, крахмал, триксилит магния, тальк, кукурузный крахмал, мочевина, полиэтиленгликоль и другие носители, пригодные для изготовления твердых, мягких или жидких препаратов. При этом в качестве добавок могут быть использованы стабилизаторы, загустители, красители и отдушки. Соединение вводят в композицию в эффективном количестве, достаточном для получения антибактериального действия. При изготовлении разовой лекарственной формы количество активного ингредиента, используемого в комбинации с носителем, может варьировать в зависимости от реципиента, подвергающегося лечению, от конкретного способа введения лекарственного средства. Так, например, при использовании соединения настоящего изобретения в виде раствора для инъекций, содержание действующего начала в нем составляет 0,001-1 мас.%. В качестве разбавителя вещества могут быть использованы 0,9% раствор натрия хлорида, дистиллированная вода, раствор новокаина для инъекций, раствор Рингера, раствор глюкозы, в том числе возможно с добавками, такими как 2- гидроксипропил-β-циклодекстрин и плюроники, например, F-127. При использовании соединения формулы (I) в виде таблеток и суппозиториев количество вещества составляет 1,0-100,0 мг на единичную дозированную форму. Для таблеток и суппозиториев в качестве фармацевтического наполнителя используют любую фармацевтически пригодную основу. Далее, изобретение относится к антимикробному, в том числе антибактериальному, средству на основе указанного выше соединения формулы (I), и соответствующим фармацевтическим, антисептическим и/или дезинфицирующим композициям. Изобретение также относится к способу лечения заболеваний, вызываемых указанными выше бактериями, включающему введение нуждающемуся в этом пациенту указанного выше соединения формулы (I) или фармацевтической композиции на его основе. Способ лечения предназначен для пациентов-млекопитающих, в том числе людей. Рекомендуемые дозы соединения формулы (I) составляют 0,01-10 мг/кг. Поскольку соединение формулы (I) обладает антибактериальной активностью, оно может также использоваться в качестве или в составе антисептического и/или дезинфицирующего средств. Такие средства могут быть изготовлены, например, в виде растворов с использованием различных растворителей, таких как вода и низшие спирты (например, 1-пропанол или 2-пропанол), в том числе с добавками, такими как 2- гидроксипропил-β-циклодекстрин и плюроники, например, F-127. Еще один аспект изобретения относится к способу получения описанного выше нового соединения формулы (I). Соединение формулы (I) получают путем взаимодействия, активированного по карбоксильным группам производного гемина с незащищенным по амино- и иминогруппам полиамином-норспермидином. Ранее в синтезах с использованием полиаминов их селективно защищали по амино- и иминофункциям трифторацетильными и бензилоксикарбонильними группами, которые в конце синтеза удаляли [Miller K.A., Suresh Kumar E.V.K., Wood S.J. Lipopolysaccharide sequestrants: structural correlates of activity and toxicity in novel acylhomospermines//J. Med. Chem., 2005, 48, p 2589-2599. Petukhov IA, Maslov M.A., Morozova N.G. Synthesis of polycationic lipids based on cholesterol and spermine // Russ. Chem. Bull. Int. Ed., 2010, 59, p 260-268]. Таким образом, известный способ существенно более длителен и трудоемок. В соответствии с предлагаемым способом для предотвращения образования побочных продуктов аминокомпонент добавляли к разбавленному раствору активированного эфира порционно, что неожиданно привело к одностадийному получению ПГ, соответствующему структуре (I). Структура полученного продукта подтверждена физико-химическими методами, в том числе ЯМР, а индивидуальность - методом ВЭЖХ. Еще в одном аспекте изобретение относится к применению вышеуказанных соединений формулы (I) или фармацевтических композиций, их содержащих, для лечения заболеваний, вызываемых бактериями. Еще в одном аспекте изобретение относится к применению вышеуказанных соединений формулы (I) или фармацевтических композиций, их содержащих, для получения лекарственного средства для лечения заболеваний, вызываемых бактериями. Производное гемина, предложенное в настоящем изобретении, обладает практически одинаковой антибактериальной активностью в отношении резистентных к современным антибиотикам штаммов, при отсутствии токсичности вплоть до концентрации 250 мкг/мл. Таким образом, предлагается новое эффективное антибактериальное средство на основе природных соединений - гемина и норспермидина. Преимуществом заявляемого действующего вещества (I) является биосовместимость, биодеградируемость, практически одинаковая активность в отношении целого ряда резистентных к современным антибиотикам штаммов бактерий, отсутствие токсичности вплоть до 256 мкг/мл, а также простой одностадийный способ получения. Изобретение далее иллюстрируется с помощью примеров, которые не предназначены для ограничения его объема. Список сокращений Hem - остаток гемина ИК - инфракрасная спектроскопия МПК - минимальная подавляющая концентрация МБК - минимальная бактерицидная концентрация ВЭЖХ -высокоэффективная жидкостная хроматография ТСХ - тонкослойная хроматография DMFA - N,N'-диметилформамид DMSO - диметилсульфоксид MeOH - метиловый спирт Все величины, выраженные в процентах, относятся к процентам по массе, если не указано иначе. Примеры В работе использовали бис-(3-аминопропил)-амин (норспермидин) -фирмы «Aldrich» (Германия). DCC, Hemin (≥90%) («Sigma Aldrich», США), HONSu («Fluka», Швейцария). Все растворители безводные. Протекание реакций и индивидуальность полученного соединения проверяли методом ТСХ на пластинах Kieselgel 60 F254 (Merck, Германия) в системе растворителей: хлороформ - метанол - уксусная кислота - вода (5:4:1:1) (1) и хлороформ - метанол (9:1) (2). Аналитическую ВЭЖХ осуществляли в условиях (3) на хроматографе Knauer pump 64 (Knauer, Германия), колонка (4.6×150 мм), обращенная фаза Luna С18 (2), 100 А, средний размер частиц сорбента 5 микрон, в градиенте ацетонитрила от 5 до 100% в 0.1% водном растворе TFA, скорость потока 1 мл/мин, детекция при 400 нм. Колоночную хроматографию соединений проводили на силикагеле Kieselgel 60 F254 (Merck, Германия), сефадексе LH-20 (Pharmacia, Швеция). Масс-спектры высокого разрешения получали на время-пролетном масс-спектрометре «Ultraflex» (Bruker, Германия) методом матриксной лазерно-десорбционной ионизации (TOF MALDI), в качестве матрицы использовалась 2,5-дигидроксибензойная кислота. Электронные спектры регистрировали на спектрофотометре Helios Alpha (Thermo Electron, США). ИК-спектры регистрировали на Фурье-спектрометре EQUINOX-55 фирмы Bruker (Германия). Все ЯМР-спектры были сняты в d6-DMSO, концентрация (ПГ 1) составляла 2 мг/мл. ЯМР-спектры были сняты на спектрометре Bruker Avance 700 MHz, снабженном импульсным градиентным датчиком тройного резонанса (H/C/N) (Brucer, Германия). Низкоспиновое состояние иона железа в молекуле получено добавлением к пробе KCN до концентрации 100 мМ. Спектроскопию ЯМР осуществляли при 3030К. Пример 1 6,7-цикло- [бис-(3'-амидопропил) амин] протогемин (IX) (ПГ I) К 200 мг (0.24 ммоль) Hem(ONSu)2 в 20 мл DMFA прибавляли постепенно по 300 мкл через каждые 10 мин раствора 34 мкл (0.24 ммоль) норспермидина в 3 мл DMFA при интенсивном перемешивании при комнатной температуре. Оставляли реакционную смесь на 16 часов. Ход реакции контролировали ТСХ в условиях (1,2). Растворитель удаляли в вакууме. Вещество растворяли в 4 мл MeOH и подкисляли 400 мкл (0.48 ммоль) HCl в MeOH. При этом наблюдалось изменение цвета раствора на бордовый. Растворитель удаляли в вакууме, остаток очищали колоночной хроматографией на силикагеле (2.2×40.0 см). Элюировали 150 мл смеси хлороформ:метанол:уксусная кислота:вода 5:4:1:1. Растворитель из фракции, содержащей целевое вещество, удаляли в вакууме. Дополнительную очистку вещества проводили гель-хроматографией на колонке с LH-20, элюируя метанолом. Продукт анализировали методом ВЭЖХ в условиях (3). Время выхода индивидуального продукта при ВЭЖХ 32.1 мин. Вещество растворимо в воде, метаноле при концентрации 10-3М. Выход целевого вещества 35мг (21%). Rf 0.68 (1). Масс-спектр, (MALDI): m/z [M-Cl-]+ 711.017 (Вычислено 711.680). ИК-Фурье спектр, ν, см-1, таблетка KBr: 1647 (амид I), 1568 (амид II). Электронный спектр, DMSO, λmax, нм, (ε×10-3): 400 (74.0), 503 (2.79), 603 (1.56). В1Н - ЯМР-спектре наблюдались следующие сигналы (химический сдвиг, число протонов, элемент структуры): 6.95, 2H, при N5 и N9 норспермидина; 5.19, 2Н, 5.58, 2Н, CH2 группы пропионовокислого остатка гемина, находящиеся вблизи порфиринового кольца; 2.68, 8Н, CH2 групп 4, 2, 6, 8 норспермидина; 1.38, 4H, CH2 групп 3, 7 групп норспермидина; 2.59, 2Н, dd, винил Hβ; 2.31, 2Н, dd, винил Hβ. Сигналы протонов при парах атомов углерода 4 и 2, 6 и 8 норспермидина имеют одинаковый 1Н химический сдвиг (2.68 ppm), и ему по количеству соответствуют 8 протонов. Таким образом, по совокупности данных ЯМР-спектроскопии, в ПГ 1 остаток норспермидина ковалентно присоединен к пропионовокислым остаткам гемина посредством двух первичных аминогрупп. Пример 2 Определение минимальной подавляющей концентрации и минимальной бактерицидной концентрации (МПК, МБК) ПГ для различных резистентных штаммов бактерий Исследованные резистентные бактериальные штаммы Грамположительные: Enterococcus faecalis 560, Staphylococcus aureus 700699, Staphylococcus aureus 3798, Staphylococcus haemolyticus 585, Staphylococcus haemolyticus 1025, Staphylococcus aureus 10, Бактериальный инокулюм был постоянным и составлял 5×105 КОЕ/мл. Штаммы были предоставлены коллекцией Научно-исследовательского института по изысканию новых антибиотиков им. Г. Ф. Гаузе РАМН. Определение минимальной подавляющей концентрации (МПК) проводили по методике, описанной в публикации [Okorochenkov S.A., Zheltukhina G.A., Mirchink EP Synthesis, anti-mrsa, and anti-vre activity of hemin conjugates with amino acids and branched peptides//Chem. Bio.l Drug. Des., 2013, 82, p. 410-417; National Committee for Clinical Laboratory Standards. (2000) Methods for Dilution Antimicrobial Susceptibility Tests for Bacteria That Grow Aerobically, 5th edn. 17 (2). Approve Standard M7-A5. Wayne, PA: NCCLS]. Стоковый раствор соединения (I) готовили в воде. За МПК - минимальную подавляющую концентрацию принимали последнее разведение испытуемых препаратов с подавлением роста бактериальной культуры. Минимальную бактерицидную концентрацию (МБК) определяли путем нанесения бульонной культуры из лунок, предшествующих МПК, в которых четко фиксируется ингибирование роста бактерий, на чашки со средой, не содержащей антибиотика. Инкубацию проводили в термостате при 36°C в течение 24 ч. Затем отмечали наименьшую концентрацию вещества в лунке, высев из которой не дал роста. Эту концентрацию принимали за минимальную бактерицидную - МБК. Полученные результаты представлены в Таблице 1 Новое соединение показало практически одинаковую активность в отношении всех исследованных резистентных к современным антибиотикам штаммов. МПК, как правило, не превышала 32 мкг/мл, а МБК - 64 мкг/мл. Пример 3 Токсичность нового производного гемина (I) Для исследования использовали свежую кровь здоровых доноров. Концентрацию лейкоцитов и эритроцитов определяли в камере Горяева. Мертвые и живые клетки после инкубации с ПГ (I) определяли флуоресцентной спектроскопией с применением пропидий - иодида и Hoechst 33342, анализ проводился с использованием микроскопа [Okorochenkov SA, Zheltukhina GA, Mirchink EP Synthesis, anti-mrsa, and anti-vre activity of hemin conjugates with amino acids and branched peptides//Chem. Bio.l Drug. Des., 2013, 82, p. 410-417]. Соединение (I) практически не токсично; гибель лейкоцитов человека не превышала 3% процентов вплоть до 250 мкг/мл. Данное производное гемина (I) не вызывает выхода гемоглобина из эритроцитов крови человека вплоть до 250 мкг/мл. Пример 4 Примеры лекарственных форм А. Желатиновые капсулы Состав вводимого в капсулу порошка: Соединение, соответствующее общей формуле (I) 1-80 мг Оксид магния 50 мг Крахмал 100-200 мг Указанные выше ингредиенты смешивают и смесь вводят в твердые желатиновые капсулы в количестве 151-300 мг. Б. Таблетированная форма Таблетированную форму получают, используя приведенные ниже ингредиенты: Соединение, соответствующее общей формуле (I) 1-80 мг Крахмал картофельный 100 мг Поливинилпирролидон 10 мг Магния стеарат 2 мг Лактоза 48-82 мг Аэросил 5 мг Компоненты смешивают и прессуют для образования таблеток массой 170-250 мг каждая. В. Раствор для инъекций В качестве растворителя при приготовлении раствора для инъекций могут быть использованы: 0,9% раствор натрия хлорида, дистиллированную воду, раствор новокаина, в том числе возможно с добавками 2- гидроксипропил-β-циклодекстрина и плюроников, например, F-127. Форма выпуска - ампулы, флаконы, шприц-тюбики, Состав раствора для инъекций: Соединение, соответствующее общей формуле (I) 0,1-20 мг Вода дистиллированная 1-2 мл, в том числе возможно с добавками 2- гидроксипропил-β-циклодекстрина и плюроников, например, F-127. Возможно изготовление различных лекарственных форм для инъекций - стерильных растворов, стерильных порошков и таблеток. Примеры композиций для дезинфицирующих и антисептических средств Г. Соединение, соответствующее общей формуле I 0,001-1% 1-пропанол 30-40% 2-пропанол 10-70% вода дистиллированная 10-60% Д. Соединения, соответствующие общей формуле I 0,001-1% Четвертичное аммониевое основание (или их смесь) 2-10% Вода дистиллированная до 100% Е. Соединения, соответствующие общей формуле I 0,001-1% Диметилсульфоксид (DMSO) 1-20% или полиэтиленгликоль (PEG) М.М. 200-12000 1-20% вода дистиллированная до 100% Ж. Соединения, соответствующие общей формуле I 0,001-1% Смесь спиртов, DMSO, PEG, ПАВ, 2- гидроксипропил-β-циклодекстрин, плюроники, например, F-127. в различных сочетаниях и соотношениях 1-80% вода дистиллированная до 100% З. Соединения, соответствующие общей формуле 0,001-1% вода дистиллированная до 100% Таким образом, производное гемина общей формулы (I) обладает антибактериальной активностью, в том числе в отношении патогенного для человека Эффективность соединения, соответствующего общей формуле I, подтверждает его пригодность для промышленного применения в составе дезинфицирующих, антисептических и терапевтических средств с антибактериальным и антисептическим действием.
,
,

Соединение Enterococcus faecalis 560 St.aureus 700699 St.aureus 3798 St.haemolyticus 585 St.haemolyticus 1025 St. aureus 10 МПК, мкг/мл МБК, мкг/мл МПК, мкг/мл МБК, мкг/мл МПК, мкг/мл МБК, мкг/мл МПК, мкг/мл МБК, мкг/мл МПК, мкг/мл МБК, мкг/мл МПК, мкг/мл МБК, мкг/мл I 21,3 64,0 21,3 42,7 42,7 64,0 32,0 64,0 32,0 64,0 21,3 64,0 Ампициллин >128 >128 >128 >128 1 5 Цефтазидим >128 >128 Азитромицин >128 >128 >128 Ванкомицин >128 >128