Изобретение относится к способу формирования сигнала стабилизации продольного углового движения беспилотного летательного аппарата. Для формирования сигнала производят идентификацию аэродинамических характеристик летательного аппарата на основе восстановления угла атаки определенным образом, измеренных углов тангажа, углов отклонения рулевых поверхностей, угловой скорости тангажа, а также нормального ускорения. Корректируют коэффициенты усиления контура стабилизации продольного углового движения летательного аппарата, формируют сигнал стабилизации продольного углового движения беспилотного летательного аппарата на основе скорректированных коэффициентов. Обеспечивается требуемое качество стабилизации углового движения летательного аппарата в широком диапазоне скоростей и высот полета при действии возмущений.
Способ формирования сигнала стабилизации продольного углового движения беспилотного летательного аппарата, при котором производят идентификацию аэродинамических характеристик летательного аппарата на основе восстановления угла атаки, измеренных углов тангажа, углов отклонения рулевых поверхностей, угловой скорости тангажа, а также нормального ускорения, при этом восстановление угла атаки производят с использованием линейного непрерывного фильтра Калмана-Бьюси с учетом погрешностей измерения нормального ускорения и угловой скорости тангажа, корректируют коэффициенты усиления контура стабилизации продольного углового движения беспилотного летательного аппарата, формируют сигнал стабилизации продольного углового движения беспилотного летательного аппарата на основе скорректированных коэффициентов.
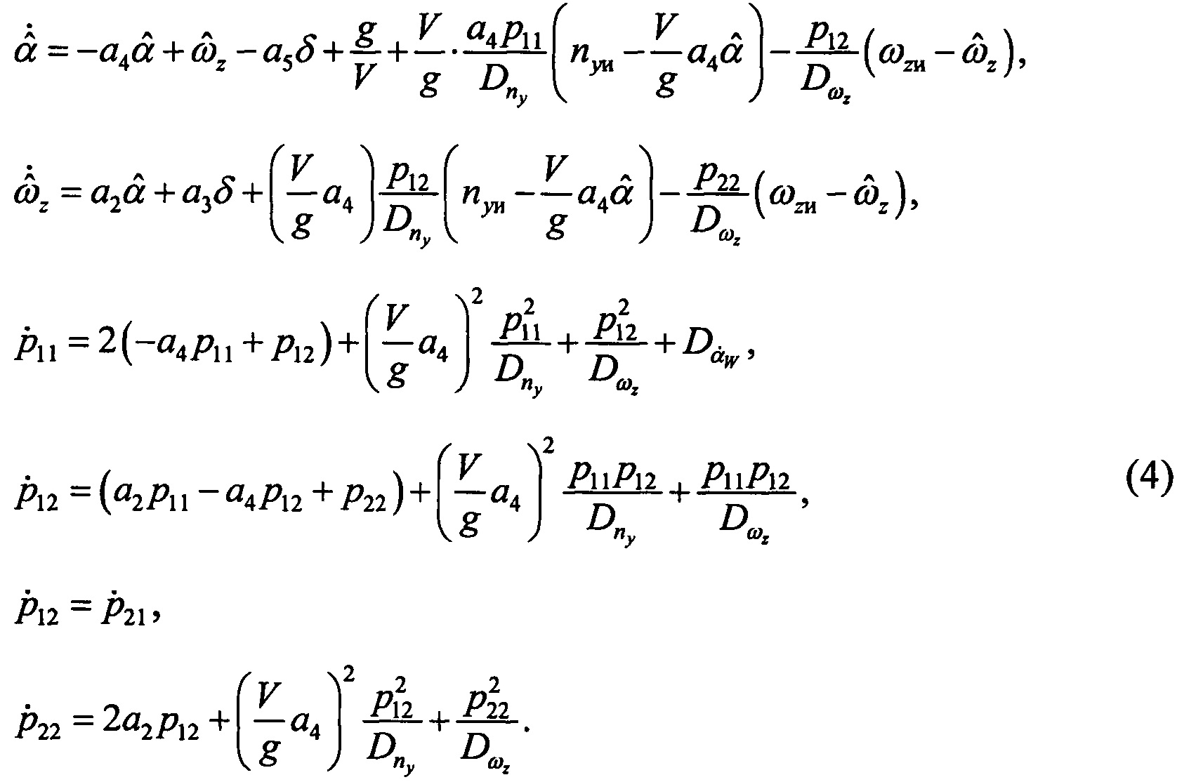
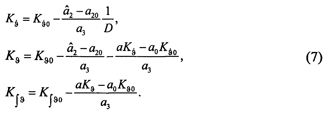
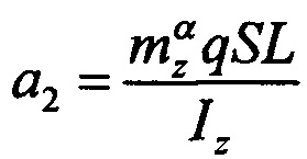
Настоящее изобретение относится к бортовым автоматическим системам управления движением и стабилизации атмосферного беспилотного летательного аппарата, выполненного по нормальной аэродинамической схеме, совершающего маневры в широком диапазоне скоростей и высот полета, подвергающегося в процессе полета внешним и внутренним возмущающим воздействиям. Из существующего уровня техники известны способ формирования интегрального адаптивного сигнала стабилизации планирующего движения беспилотного летательного аппарата (RU 2460113, опубл. 02.03.2011), способ формирования сигнала управления и стабилизации продольно-балансировочного движения летательного аппарата (RU 2310899, опубл. 25.05.2006) и система управления угловым движением беспилотного летательного аппарата (RU 2234117, опубл. 13.01.2003). Недостатками данных технических решений является необходимость введения дополнительных измерительных устройств для измерения скоростного напора, отсутствие учета разбросов параметров объекта - аэродинамических характеристик и невысокая точность управления. Наиболее близким к предлагаемому изобретению является «Способ формирования сигнала управления и стабилизации продольно-балансировочного движения летательного аппарата и устройство для его осуществления» (RU 2310899, опубл. 25.05.2006). Этот способ состоит в том, что задают сигнал управления, измеряют сигнал углового положения летательного аппарата, измеряют сигнал угловой скорости летательного аппарата, формируют сигнал рассогласования между заданным сигналом управления и измеренным сигналом углового положения, усиливают сигнал рассогласования, усиливают сигнал угловой скорости, формируют сигнал суммы усиленных сигналов рассогласования и угловой скорости и ограничивают сигнал суммы, масштабируют сигнал рассогласования, интегрируют масштабированный сигнал рассогласования, ограничивают интегральный сигнал и суммируют ограниченный интегральный сигнал с ограниченным сигналом суммы усиленных сигналов рассогласования и угловой скорости. Недостатками способа, принятого за прототип, являются отсутствие учета априорной информации о возмущающих ветровых воздействиях, отсутствие учета неточностей знания параметров атмосферы и неточностей знания аэродинамических характеристик летательного аппарата. Решаемой в предложенном способе формирования сигнала стабилизации продольного углового движения беспилотного летательного аппарата технической задачей является обеспечение требуемого качества стабилизации углового движения летательного аппарата в широком диапазоне скоростей и высот полета при действии возмущений. Для решения указанной технической задачи в процессе полета производится идентификация аэродинамических характеристик летательного аппарата на основе восстановления угла атаки, уточнения измеряемой угловой скорости тангажа, измеренных значений угла тангажа и углов отклонения рулевых поверхностей летательного аппарата. Восстановление угла атаки производится с использованием линейного непрерывного фильтра Калмана с учетом погрешностей измерений нормального ускорения и угловой скорости тангажа. Сущность способа заключается в определении коэффициентов усиления контура угловой стабилизации летательного аппарата на основе уточняемых аэродинамических характеристик. Последовательность способа формирования сигнала стабилизации продольного углового движения описывается следующим образом. Продольное возмущенное движение описывается следующими уравнениями (1): где α, ϑ, δ - углы атаки, тангажа и отклонения рулевых поверхностей летательного аппарата соответственно, ωz - угловая скорость тангажа, ny - нормальная перегрузка, ϑи, ωzи - измеренные значения угла тангажа и угловой скорости тангажа соответственно, S, L - характерные площадь и длина летательного аппарата соответственно, V - скорость летательного аппарата, g - ускорение силы тяжести, q - скоростной напор, m - масса летательного аппарата, Iz - момент инерции летательного аппарата относительно оси OZ связанной системы координат, ϑпр - программное значение угла тангажа, σ - сигнал стабилизации продольного углового движения беспилотного летательного аппарата. Математическая модель измерений описывается системой уравнений (2) Здесь nуи, δи - измеренные значения нормальной перегрузки и углов отклонения рулевых поверхностей соответственно, Восстановление угла атаки проводится на основе линейного непрерывного фильтра Калмана-Бьюси (ФКБ). Векторные уравнения ФКБ (3) приведены ниже: где А - матрица правой части математической модели движения (1), u - вектор известных составляющих правой части, Р - матрица ковариаций ошибки оценки в процессе оценки, Н - известная матрица правой части модели измерений, R - матрица ковариаций шумов измерений, Q - матрица ковариаций внешних возмущений. Восстановление угла атаки, а также оценка измеряемой с погрешностью угловой скорости тангажа, проводятся с использованием следующих уравнений (4): Здесь На основании уравнения (1) можно записать выражение для определения реализованного коэффициента Сформированный сигнал стабилизации продольного углового движения беспилотного летательного аппарата имеет вид (6): где Здесь Предложенная схема коррекции коэффициентов контура стабилизации на основе идентифицированных аэродинамических коэффициентов позволяет повысить качество переходных процессов отработки возмущений. Эффективность принятого подхода к коррекции коэффициентов в процессе полета подтверждена результатами анализа и математического моделирования. Все составные операции способа могут быть выполнены программно-алгоритмически в бортовых вычислительных машинах беспилотных летательных аппаратов.
,
,
,
,
,
,
,
- производные аэродинамических коэффициентов летательного аппарата по углам α и δ,
- изменение угловой скорости угла атаки за счет ветрового воздействия,
- коэффициенты усиления контура стабилизации тангажа,
- ошибки измерений угловой скорости тангажа и нормальной перегрузки соответственно.
- вектор оцениваемых параметров,
- оценки угла атаки и угловой скорости,
- априорные дисперсии измерений,
- априорная дисперсия угловой скорости ветрового порыва.
:

- скорректированные в соответствии с формулами (7) коэффициенты усиления контура стабилизации продольного углового движения
- коэффициенты усиления, обеспечивающие выполнение требований к качеству переходных процессов при номинальных аэродинамических характеристиках, D - добротность рулевого привода, 