патент
№ RU 2527519
МПК C07D311/88

МЯГКИЕ КАТИОННЫЕ МИТОХОНДРИАЛЬНЫЕ РАЗОБЩИТЕЛИ

Авторы:
Плотников Егор Юрьевич Северин Федор Федорович Силачев Денис Николаевич
Все (10)
Номер заявки
2010125924/04
Дата подачи заявки
24.06.2010
Опубликовано
10.09.2014
Страна
RU
Как управлять
интеллектуальной собственностью
Чертежи 
10
Реферат

Изобретение относится к соединениям, способным обеспечивать разобщение дыхания митохондрий в прямой зависимости от величины их мембранного потенциала и вызывать мягкое разобщение - обратимое снижение мембранного потенциала митохондрий, при котором не происходит существенного/физиологически значимого подавления дыхания, повреждения компонентов дыхательной цепи либо нарушения физико-химических свойств мембран митохондрий, и может быть использовано в медицине и биологии. Указанное соединение имеет структуру (II):где Rи R- атомы водорода, Rи R- независимо друг от друга атомы водорода или замещенные или незамещенные C-Cалкильные группы; R, соединенный с R; или же Rс Rобразуют при этом замещенный или незамещенный 1,3-пропилен; R, R, Rи R- независимо друг от друга представляют собой атом водорода или метил; n=1; A - фармакологически приемлемый анион. Предложены новые мягкие разобщители, композиции на их основе для применения в биологии и медицине. 5 н. и 10 з.п. ф-лы, 7 ил., 6 пр.

Формула изобретения

1. Фармацевтическая композиция, содержащая терапевтически эффективное количество действующего вещества, способного обеспечивать разобщение дыхания митохондрий в прямой зависимости от величины их мембранного потенциала и вызывающая мягкое разобщение - обратимое снижение мембранного потенциала митохондрий, при котором не происходит существенного/физиологически значимого подавления дыхания, повреждения компонентов дыхательной цепи либо нарушения физико-химических свойств мембран митохондрий, при условии, что вышеупомянутое действующее вещество представляет собой соединение общей структуры (II):

где
R1 и R3 - атомы водорода, R2 и R4 независимо друг от друга атомы водорода или замещенные или незамещенные C1-C4 алкильные группы; R2, соединенный с R5; или же R4 с R6, образуют при этом замещенный или незамещенный 1,3-пропилен; R5, R6, R7 и R8 - независимо друг от друга представляют собой атом водорода или метил; Х - углеводородная цепь, содержащая от 1 до 20 атомов углерода; n=1.
A - фармакологически приемлемый анион.

2. Композиция по п.1, в которой соединение формулы (II) представляет собой соединение C10R19 формулы:

где
A - фармацевтически приемлемый анион.

3. Композиция по п.1, в которой соединение формулы (II) представляет собой соединение C12R19 формулы:

где
A - фармакологически приемлемый анион.

4. Композиция по п.1, в которой соединение формулы (II) представляет собой соединение C4R19 формулы:

где
A - фармакологически приемлемый анион.

5. Композиция по п.1, в которой соединение формулы (II) представляет собой соединение C2R19:

6. Применение композиций по пп.1-5 для изготовления лекарственного средства для снижения количества свободных радикалов и активных форм кислорода в клетке.

7. Применение композиций по пп.1-5 для изготовления лекарственного средства для стимуляции клеточного метаболизма.

8. Применение по пп.6-7 в случаях, когда клетка, будучи нормальной, или раковой, или стволовой клеткой, находится в организме человека или другого млекопитающего; является растительной клеткой и/или находится в составе растения на любой стадии его развития, в том числе и генетически модифицированного; находится в культуре растительных клеток или протопластов; является грибковой клеткой и/или находится в культуре грибковых клеток; в том числе, когда необходимо увеличение жизнеспособности и/или продуктивности клеток-продуцентов препаратов, фармакологически применимых белков, пептидов, антител.

9. Применение по п.8 при лечении ожирения, включая его патологические формы, а также болезней, связанных с нарушением метаболизма.

10. Применение по п.8 при лечении диабета, осложнений, вызванных диабетом, а также сопутствующих ему заболеваний.

11. Применение по п.8 при лечении заболевания, при котором полезным является снижение количества свободных радикалов и активных форм кислорода в организме.

12. Применение по п.8 при защите здоровых клеток от повреждения во время химиотерапии, радиотерапии или фотодинамической терапии рака; во время обеззараживания крови или другой субстанции, содержащей здоровые клеточные элементы при помощи свободных радикалов, активных форм кислорода или веществ, их образующих.

13. Применение по п.8 при косметических процедурах, при заживлении хирургических швов, при предотвращении поражения здоровых тканей во время хирургических операций, заживлении или предотвращении ожогового поражения тканей, при воспалениях, при сохранении трансплантационного материала, при борьбе с отторжением трансплантируемых тканей и органов.

14. Применение композиции по любому из пп.1-5 для увеличения продолжительности жизни организма, борьбы со старением; в том числе, применение в комбинации с гормональной терапией, в частности в комбинации с гормонами эпофиза, щитовидной железы, в том числе с дигидроэпиандростероном или мелатонином.

15. Соединение общей формулы:

где A - Br-.

Описание

[18]

Область техники, к которой относится изобретение

[19]

Изобретение относится к областям фармакологии, биологии и медицины и касается получения и применения класса соединений, которые могут быть использованы в составе фармацевтических композиций лекарственных средств (препаратов) для профилактики и лечения различных заболеваний и патологических состояний у животных и людей, сопровождающихся повышенным уровнем синтеза аденозинтрифосфорной кислоты митохондриями и эндогенным окислительным стрессом.

[20]

Уровень техники

[21]

В большинстве эукариотических клеток присутствуют специализированные органеллы - митохондрии. Митохондрии часто называют "энергетическими станциями клетки", так как их основная функция заключается в синтезе аденозинтрифосфорной кислоты (АТФ), универсальной молекулы-энергоносителя, с помощью которой осуществляются практически все клеточные функции. Биосинтез АТФ происходит с помощью окислительного фосфорилирования. Суть этого процесса заключается в переносе электронов с молекулы НАДН по электрон-транспортной цепи митохондрий на кислород, в результате чего образуется молекула воды и создается электрохимический градиент протонов, за счет которого с помощью фермента АТФ-синтазы синтезируется АТФ. У гомойотермных животных часть энергии, запасенной в электрохимическом градиенте протонов, идет на поддержание постоянной температуры тела и не сопряжена с синтезом АТФ. Разобщение окислительного фосфорилирования с синтезом АТФ происходит за счет свободных жирных кислот, находящихся в цитоплазме клетки. На внешней поверхности митохондриальной мембраны анион жирной кислоты (RCOO-) присоединяет ион H+, откачиваемый из митохондрий ферментами дыхательной цепи. Получающаяся при этом нейтральная протонированная форма жирной кислоты (RCOOH) пересекает мембрану и диссоциирует на ее внутренней поверхности, образуя RCOO- и H+. Последний компенсирует внутри митохондрий нехватку ионов Н+, удаляемых оттуда дыхательной цепью. Образующийся анион RCOO- возвращается наружу при участии митохондриальных белков - анионных переносчиков, в частности АТФ/АДФ-антипортера либо специальных разобщающих белков, названных и LP (uncoupling protein). В норме 20-25% всего метаболизма теплокровных животных направлено на поддержание постоянной температуры тела, и механизм образования тепла связан с разобщением дыхания и синтеза АТФ за счет увеличения протонной проводимости. Увеличение протонной проводимости или «мягкое разобщение» может служить как для термогенеза, так и для контроля массы тела, за счет стимуляции углеводного и липидного обмена.

[22]

Естественные механизмы разобщения не всегда справляются со своими функциями. Описано множество патологических состояний, при которых возникает гиперполяризация митохондрий, сопровождающаяся повышенным уровнем активных форм кислорода (АФК) в митохондриях, что приводит к ухудшению функционирования клетки в целом. Такая ситуация встречается при ожирении, нарушении углеводного обмена, а также при патологиях, связанных с развитием окислительного стресса: ишемическое повреждение тканей, болезни Паркинсона и Альцгеймера, аутоиммунные заболевания.

[23]

Использование разобщителей, способных регулируемо увеличивать протонную проводимость митохондрий, способно элиминировать негативные эффекты, вызванные указанными патологическими состояниями, в частности, за счет контроля уровня генерации АФК митохондриями (Korshunov SS, Skulachev VP, Starkov AA, High protonic potential actuates a mechanism ofproduction of reactive oxygen species in mitochondria. FEBSLett 1997; 416; 15-18).

[24]

Клинический эффект анионного разобщителя 2,4-динитрофенола (ДНФ) был показан для людей, страдающих ожирением (Parascandola J, Dinitrophenol and bioenergetics: a historical perspective. Mol Cell Biochem 1974; 5:69-77). К 1934 г. более ста тысяч пациентов прошли курс лечения ДНФ. После курса лечения практически все пациенты в той или иной степени теряли вес, однако у многих из них наблюдали сильнейшие побочные эффекты. Небольшая передозировка вызывала мышечную слабость, сильное повышение температуры тела пациента, что в некоторых случаях приводило к летальному исходу. Кроме того, у многих пациентов длительный прием препарата приводил к развитию катаракты и потери зрения. В 1938 г. все эти факты привели к строжайшему запрету использования данного препарата для лечения каких бы то ни было заболеваний. Однако, сам факт того, что лечение ДНФ действительно приводило к снижению веса пациентов, указывает на верность самого подхода.

[25]

Таким образом, разработка нетоксичных препаратов, увеличивающих протонную проводимость митохондриальной мембраны, является перспективным направлением для создания нового класса лекарственных средств и композиций. Для того чтобы протонофоры не обладали токсичным действием и не проявляли свою активность в тех случаях, когда клетке требуется синтез АТФ, необходимо, чтобы их активность зависела от функционального состояния митохондрии, например от потенциала на ее внутренней мембране. В состоянии гиперполяризации протонофор должен снимать только избыток потенциала, но не снижать его чрезмерно, что неизбежно приведет к ингибированию процесса дыхания. Идеальный протонофор не должен ингибировать дыхание митохондрий даже при относительно высоких концентрациях. Ранее предпринимались попытки синтеза веществ, обладающих свойствами «мягких» митохондриальных разобщителей, однако они потерпели неудачу (Blaikie FH, Brown SE, Samuelsson LM, Brand MD, Smith RA, Murphy MP, Targeting dinitrophenol to mitochondria: limitations to the development of a self-limiting mitochondrialprotonophore. Biosci Rep. 2006; 26; 231-43.).

[26]

Подавляющее большинство протонофоров, в том числе ДНФ, являются отрицательно заряженными молекулами, анионами, механизм разобщающего действия которых аналогичен анионам жирных кислот (RCOO"). При протонировании анионного протонофора образуется нейтральное соединение, которое проникает в митохондрию вне зависимости от ее потенциала, тогда как «мягкий разобщитель» должен преимущественно проникать только в гиперполяризованную митохондрию.

[27]

Все вышеперечисленное открывает большие перспективы для использования соединений, вызывающих мягкое разобщение митохондрий. Однако до сих пор не удавалось получить соединений, обладающих этими свойствами.

[28]

Определения:

[29]

До подробного описания настоящего изобретения, следующего ниже, следует уяснить, что это изобретение не ограничивается описанными здесь конкретной методологией, протоколами и реагентами, поскольку они могут изменяться. Кроме того, следует понимать, что в настоящем изобретении терминология используется с целью описания только конкретных вариантов осуществления, причем не предполагается ограничение объема настоящего изобретения, который будет ограничен лишь прилагаемой формулой изобретения. Если не указано другое, все используемые здесь технические и научные термины имеют такие же значения, которые вполне понятны специалистам в этой области техники.

[30]

Протонофор - вещество, способное к электрогенному транспорту протона через внутреннюю мембрану митохондрий, что приводит к падению мембранного потенциала и разобщению окисления и фосфорилирования.

[31]

Разобщитель - вещество, вызывающее разобщение дыхания и окислительного фосфорилирования в митохондриях.

[32]

Механизм разобщения связан со снижением мембранного потенциала митохондрий благодаря протонофорной активности соединений или индукции эндогенной протонной проводимости мембран.

[33]

Саморегулируемый разобщитель - вещество, способность которого к разобщению зависит от величины мембранного потенциала митохондрий.

[34]

Мягкое разобщение или умеренное разобщение - обратимое снижение мембранного потенциала митохондрий, при котором не происходит подавления дыхания, повреждения компонентов дыхательной цепи либо нарушения физико-химических свойств мембран митохондрий.

[35]

Митохондриально-адресованный протонофор - вещество, адресно накапливающееся в митохондриях и повышающее протонную проводимость внутренней мембраны митохондрий (то есть уменьшающее электрохимический потенциал протонов на этой мембране).

[36]

По всему тексту описания этого изобретения цитируются различные документы. Каждый цитированный здесь документ (в том числе все патенты, заявки на патент, научные публикации, спецификации и инструкции производителя и др.), приведенный выше или ниже, полностью вводится в это изобретение путем ссылки.

[37]

Определения других терминов: замещенная или незамещенная алкильная группа, замещенная или незамещенная арильная группа, замещенная или незамещенная гетероарильная группа, замещенная или незамещенная циклоалкильная группа, замещенная или незамещенная гетероцилическая группа, насыщенная или частично ненасыщенная полициклическая система. Эти термины, в каждом случае их использования в остальном описании, могут иметь соответствующее определенное значение и предпочтительные значения. Тем не менее, в некоторых случаях их использования по всему описанию изобретения указаны предпочтительные значения этих терминов.

[38]

Термин "замещенная или незамещенная алкильная группа" относится к замещенной или незамещенной насыщенной или ненасыщенной линейной, разветвленной или циклической углеродной цепи. Предпочтительно, эта цепь содержит от 1 до 14 атомов углерода, то есть 1, 2, 3, 4, 5, 6, 7, 8, 9, 10, 11, 12, 13 или 14, например метил, этилметил, этил, пропил, изо-пропил, бутил, изо-бутил, трет-бутил, пентил, гексил, гептил, октил, нонил, децил, додецил, октадецил. Кроме того, в понятие «замещенная или незамещенная алкильная группа» в рамках настоящего изобретения также входит гетероалкильная группа, представляющая собой насыщенную или ненасыщенную линейную или разветвленную углеродную цепь. Предпочтительно, эта цепь содержит от 1 до 14 атомов углерода, то есть 1, 2, 3, 4, 5, 6, 7, 8, 9, 10, 11, 12, 13 или 14, например метил, этилметил, этил, пропил, изо-пропил, бутил, изо-бутил, трет-бутил, пентил, гексил, гептил, октил, нонил, децил, додецил, октадецил, которая прерывается один или несколько раз, например 1, 2, 3, 4, 5 раз, одинаковыми или различными гетероатомами. Предпочтительно гетероатомы выбирают из O, S, и N, например CH2-O-CH3, CH2-O-C2H5, C2H4-O-CH3, C2H4-O-C2H5 и др.

[39]

Термин "замещенная или незамещенная арильная группа" предпочтительно относится к ароматическому моноциклическому кольцу, содержащему 6 атомов углерода, к ароматической бициклической кольчатой системе, содержащей 10 атомов углерода или к ароматической трициклической кольчатой системе, содержащей 14 атомов углерода. Примерами служат фенил, нафталенил или антраценил. Кроме того, в понятие «замещенная или незамещенная арильная группа» в рамках настоящего изобретения также входит замещенная или незамещенная аралкильная группа. Термин "замещенная или незамещенная аралкильная группа" относится к алкильному фрагменту, который замещен арилом, причем алкил и арил имеют указанные выше значения. Примером является бензильный радикал. Предпочтительно, в этом контексте алкильная цепь содержит от 1 до 8 атомов углерода, то есть 1, 2, 3, 4, 5, 6, 7 или 8, например метил, этил, пропил, изо-пропил, бутил, изо-бутил, втор-бутенил, трет-бутил, пентил, гексил, гептил, октил. Аралкильная группа необязательно является замещенной в алкильной и/или арильной части группы. Предпочтительно арил, присоединенный к алкильной группе, представляет собой фенил, нафталенил или антраценил.

[40]

Термины "замещенная или незамещенная гетероцилическая группа", как таковые или в сочетании с другими терминами, представляют, если не указано другое, циклические варианты "алкильной" и "гетероалкильной групп", соответственно, предпочтительно с тремя, 4, 5, 6, 7, 8, 9 или 10 атомами, образующими кольцо, например циклопропил, циклобутил, циклопентил, циклогексил, циклогептил, циклооктил и др. Подразумевается, что термины "циклоалкил" и "гетероциклоалкил" также включают их бициклические, трициклические и полициклические варианты. Если образуются бициклические, трициклические или полициклические кольца, предпочтительно, чтобы соответствующие кольца соединялись друг с другом двумя смежными атомами углерода, однако в качестве альтернативы два кольца могут быть соединены через один и тот же атом углерода, то есть они образуют спиро-циклическую систему или они образуют "мостиковые" циклические системы. Термин "замещенная или незамещенная гетероцилическая группа" предпочтительно относится к насыщенному кольцу, имеющему пять атомов, из которых, по меньшей мере, один представляет собой атом N, O или S и которое необязательно содержит один дополнительный атом O или один дополнительный N; насыщенному кольцу, имеющему шесть атомов, из которых, по меньшей мере, один представляет собой атом N, O или S атом и которое необязательно содержит один дополнительный атом O, или один дополнительный N, или два дополнительных атома N; или насыщенному бициклическому кольцу, имеющему девять или десять атомов, из которых, по меньшей мере, один представляет собой атом N, O или S, и которое необязательно содержит один, два или три дополнительных атома N. "Циклоалкильные" и "гетероциклоалкильные" группы необязательно являются замещенными. Дополнительно для гетероциклоалкила, гетероатом может находиться в положении, в котором гетероцикл соединяется с остальной частью молекулы. Предпочтительные примеры циклоалкила включают циклопропил, циклобутил, циклопентил, циклогексил, 1-циклогексенил, 3-циклогексенил, циклогептил, спиро[3,3]гептил, спиро[3,4]октил, спиро[4,3]октил, спиро[3,5]нонил, спиро[5,3]нонил, спиро[3,6]децил, спиро[6,3]децил, спиро[4,5]децил, спиро[5,4]децил, бицикло[2.2.1]гептил, бицикло[2.2.2]октил, адамантил и тому подобное. Примеры гетероциклоалкила включают 1-(1,2,5,6-тетрагидропиридил), 1-пиперидинил, 2-пиперидинил, 3-пиперидинил, 4-морфолинил, 3-морфолинил, 1,8-диазаспиро-[4,5]децил, 1,7-диазаспиро[4,5]децил, 1,6-диазаспиро[4,5]децил, 2,8-диазаспиро[4,5]децил, 2,7-диазаспиро[4,5]децил, 2,6-диаза-спиро[4,5]децил, 1,8-диазаспиро[5,4]децил, 1,7-диазаспиро[5,4]децил, 2,8-диазаспиро-[5,4]децил, 2,7-диазаспиро[5,4]децил, 3,8-диазаспиро[5,4]децил, 3,7-диазаспиро[5,4]децил, 1-аза-7,11-диоксо-спиро[5,5]ундецил, 1,4-диазабицикло[2.2.2]окт-2-ил, тетрагидрофуран-2-ил, тетрагидрофуран-3-ил, тетрагидротиен-2-ил, тетрагидротиен-3-ил, 1-пиперазинил, 2-пиперазинил и тому подобное.

[41]

Термин "полициклическая система" относится к бициклическому, трициклическому или полициклическому варианту циклоалкила или гетероциклоалкила, содержащему, по меньшей мере, одну двойную и/или тройную связь. Тем не менее алициклическая система не является ароматической или гетероароматической, то есть отсутствует система сопряженных двойных связей или свободных пар электронов. Таким образом, максимально допустимое число двойных и/или тройных связей в алициклической системе определяется числом атомов в кольце, например, в циклической системе, имеющей до 5 атомов, алициклическая система содержит одну двойную связь, в циклической системе, имеющей 6 атомов, алициклическая система содержит до двух двойных связей. Таким образом, определенный ниже термин "циклоалкенил" является предпочтительным вариантом осуществления алициклической кольчатой системы. Алициклические системы необязательно являются замещенными.

[42]

Термин "замещенная или незамещенная гетероарильная группа" предпочтительно относится к пяти- или шестичленному ароматическому моноциклическому кольцу, в котором, по меньшей мере, один из атомов углерода заменен одним, 2, или 3 (для пятичленного кольца) или одним, 2, 3, или 4 (для шестичленного кольца) одинаковыми или различными гетероатомами, предпочтительно выбранными из O, N и S; к ароматической бициклической кольчатой системе, в которой 1, 2, 3, 4, 5 или 6 атомов углерода из 8, 9, 10, 11 или 12 атомов углерода заменены одинаковыми или различными гетероатомами, предпочтительно выбранными из O, N и S; или к ароматической трициклической кольчатой системе, в которой 1, 2, 3, 4, 5 или 6 атомов углерода из 13, 14, 15 или 16 атомов углерода заменены одинаковыми или различными гетероатомами, предпочтительно выбранными из O, N и S. Примерами являются фуранил, тиофенил, оксазолил, изоксазолил, 1,2,5-оксадиазолил, 1,2,3-оксадиазолил, пирролил, имидазолил, пиразолил, 1,2,3-триазолил, тиазолил, изотиазолил, 1,2,3,-тиадиазолил, 1,2,5-тиадиазолил, пиридинил, пиримидинил, пиразинил, 1,2,3-триазинил, 1,2,4-триазинил, 1,3,5-триазинил, 1-бензофуранил, 2-бензофуранил, индолил, изоиндолил, бензотиофенил, 2-бензотиофенил, 1Н-индазолил, бензимидазолил, бензоксазолил, индоксазинил, 2,1-бензизоксазолил, бензотиазолил, 1,2-бензизотиазолил, 2,1-бензизотиазолил, бензотриазолил, хинолинил, изохинолинил, 2,3-бензодиазинил, хиноксалинил, хиназолинил, 1,2,3-бензотриазинил, или 1,2,4-бензотриазинил. Кроме того, в понятие «замещенная или незамещенная гетероарильная группа» в рамках настоящего изобретения также входит замещенная или незамещенная гетероаралкильная группа. Термин "гетероаралкил" относится к алкильному фрагменту, который замещен гетероарилом, где термины алкил и гетероарил имеют указанные выше значения. Примером является (2-пиридинил)этил, (3-пиридинил)этил или (2-пиридинил)метил. Предпочтительная в этом контексте алкильная цепь содержит от 1 до 8 атомов углерода, то есть 1, 2, 3, 4, 5, 6, 7 или 8, например метил, этилметил, этил, пропил, изо-пропил, бутил, изо-бутил, втор-бутенил, трет-бутил, пентил, гексил, гептил, октил. Гетероаралкильная группа необязательно является замещенной в алкильной и/или гетероарильной части группы. Предпочтительно гетероарил, присоединенный к алкильному фрагменту, представляет собой оксазолил, изоксазолил, 1,2,5-оксадиазолил, 1,2,3-оксадиазолил, пирролил, имидазолил, пиразолил, 1,2,3-триазолил, тиазолил, изотиазолил, 1,2,3,-тиадиазолил, 1,2,5-тиадиазолил, пиридинил, пиримидинил, пиразинил, 1,2,3-триазинил, 1,2,4-триазинил, 1,3,5-триазинил, 1-бензофуранил, 2-бензофуранил, индолил, изоиндолил, бензотиофенил, 2-бензотиофенил, 1Н-индазолил, бензимидазолил, бензоксазолил, индоксазинил, 2,1-бензизоксазолил, бензотиазолил, 1,2-бензизотиазолил, 2,1-бензизотиазолил, бензотриазолил, 2,3-бензодиазинил, хинолинил, изохинолинил, хиноксалинил, хиназолинил, 1,2,3-бензотриазинил или 1,2,4-бензотриазинил.

[43]

Варианты осуществления включают радикалы: алкокси, циклоалкокси, арилокси, аралкокси, алкенилокси, циклоалкенилокси, алкинилокси, алкилтио, циклоалкилтио, арилтио, аралкилтио, алкенилтио, циклоалкенилтио, алкинилтио, алкиламино, циклоалкиламино, ариламино, аралкиламино, алкениламино, циклоалкениламино, алкиниламино.

[44]

Другие варианты осуществления включают радикалы: гидроксиалкил, гидроксициклоалкил, гидроксиарил, гидроксиаралкил, гидроксиалкенил, гидроксициклоалкенил, гидроксиалкинил, меркаптоалкил, меркаптоциклоалкил, меркаптоарил, меркаптоаралкил, меркаптоалкенил, меркаптоциклоалкенил, меркаптоалкинил, аминоалкил, аминоциклоалкил, аминоарил, аминоаралкил, аминоалкенил, аминоциклоалкенил, аминоалкинил.

[45]

В другом варианте осуществления атомы водорода в алкильных, циклоалкильных, арильных, аралкильных, алкенильных, циклоалкенильных, алкинильных радикалах могут быть замещены независимо друг от друга одним или несколькими атомами галогенов. Одним из радикалов является трифторметильный радикал.

[46]

Если два или более радикалов могут быть выбраны независимо друг от друга, то термин "независимо" означает, что эти радикалы могут быть одинаковыми или могут быть различными.

[47]

Термин "фармацевтически приемлемая соль" относится к соли соединения настоящего изобретения. Подходящие фармацевтически приемлемые соли соединения настоящего изобретения включают аддитивные соли кислот, которые могут быть получены например, путем смешивания раствора соединения настоящего изобретения с раствором фармацевтически приемлемой кислоты, такой как хлористоводородная кислота, серная кислота, фумаровая кислота, малеиновая кислота, янтарная кислота, уксусная кислота, бензойная кислота, лимонная кислота, винная кислота, угольная кислота или фосфорная кислота. Кроме того, когда в соединениях согласно изобретению имеется кислотный фрагмент, их подходящие фармацевтически приемлемые соли могут включать соли щелочных металлов (например, соли натрия или соли калия); соли щелочноземельных металлов (например, соли кальция или магния); и соли, образовавшиеся с подходящими органическими лигандами (например, аммонием, четвертичным аммонием и аминными катионами, образовавшимися с использованием таких противоионов, как галогенид, гидроксид, карбоксилат, сульфат, фосфат, нитрат, алкилсульфонат и арилсульфонат). Иллюстративные примеры фармацевтически приемлемых солей включают (но не ограничиваются): ацетат, адипинат, альгинат, аскорбат, аспартат, бензолсульфонат, бензоат, бикарбонат, бисульфат, битартрат, борат, бромид, бутират, кальциевая соль этилендиаминтетрауксусной кислоты (эдетат), камфорат, камфорсульфонат, камсилат, карбонат, хлорид, цитрат, клавуланат, циклопентанпропионат, диглюконат, дигидрохлорид, додецилсульфат, эдетат, эдисилат, эстолат, эсилат, этансульфонат, формиат, фумарат, глюцептат, глюкогептонат, глюконат, глютамат, глицерофосфат, гликолиларсанилат, гемисульфат, гептаноат, гексаноат, гексилрезорцинат, гидрабамин, гидробромид, гидрохлорид, гидроиодид, 2-гидрокси-этансульфонат, гидроксинафтоат, иодид, изотионат, лактат, лактобионат, лаурат, лаурилсульфат, малат, малеат, малонат, манделат, мезилат, тетансульфонат, метилсульфат, мукат, 2-нафталинсульфонат, напсилат, никотинат, нитрат, соль N-метилглюкаминаммония, олеат, оксалат, памоат (эмбонат), пальмитат, пантотенат, пектинат, персульфат, 3-фенилпропионат, фосфат/дифосфат, пикрат, пивалат, полигалактуронат, пропионат, салицилат, стеарат, сульфат, субацетат, сукцинат, таннат, тартрат, теоклат, тозилат, триэтиодид, ундеканоат, валерат и тому подобное (например, см. статью Berge, S.M., и др. "Фармацевтические соли", Journal of Pharmaceutical Science, 1977, т.66, с.1-19). Некоторые специфические соединения настоящего изобретения содержат основные, а также кислотные функциональные группы, что позволяет превращать эти соединения или в основные, или в кислотные аддитивные соли.

[48]

Нейтральные формы соединений могут быть восстановлены путем контактирования соли с основанием или кислотой, с выделением исходного соединения традиционным способом. Исходная форма соединения отличается от различных солевых форм по некоторым физическим свойствам, таким как растворимость в полярных растворителях, однако в других отношениях, для целей настоящего изобретения, эти соли эквивалентны исходной форме соединения.

[49]

Кроме солевых форм настоящее изобретение предоставляет соединения, которые находятся в форме пролекарства. Пролекарственные формы описанных здесь соединений представляют собой такие соединения, которые в физиологических условиях легко претерпевают химические изменения с образованием соединения формулы (I). Пролекарство является фармакологически активным или неактивным соединением, которое химически модифицируется за счет физиологического действия in vivo, такого как гидролиз, метаболизм и тому подобное, в соединение настоящего изобретения, после введения пролекарства пациенту. Кроме того, пролекарства могут быть превращены в соединения настоящего изобретения с помощью химических или биохимических методов в условиях вне организма. Например, пролекарства можно медленно превратить в соединения настоящего изобретения под действием соответствующего фермента, помещенных в резервуаре трансдермального пластыря. Пригодность метода и методик, применяемых при получении и использовании пролекарств, хорошо известна специалистам в этой области техники. Общее рассмотрение пролекарств, включающих в себя сложные эфиры, дано в обзоре Svensson и Tunek, Drug Metabolism Reviews 16.5 (1988) и в книге Bundgaard, Design of Prodrugs, Elsevier (1985).

[50]

Соединения, а также исходные материалы для их получения согласно изобретению могут быть синтезированы с использованием способов и традиционных методик, известных специалистам в этой области техники, то есть, как описано в литературе (например в традиционных трудах, таких как Houben-Weyl, Methoden der organischen Chemie [Методы органической химии], Georg-Thieme-Verlag, Stuttgart), в реакционных условиях, которые известны специалистам в этой области техники и которые пригодны для указанных реакций. Кроме того, в настоящем изобретении могут быть использованы по-существу, известные варианты, которые не упомянуты здесь более подробно.

[51]

Некоторые соединения настоящего изобретения могут существовать в несольватированных формах, а также в сольватированных формах, в том числе в гидратированных формах. В общем, сольватированные формы эквивалентны несольватированным формам, причем предполагается, что они входят в объем настоящего изобретения. Некоторые соединения настоящего изобретения могут находиться в разнообразных кристаллических или аморфных формах. Обычно все физические формы являются эквивалентными для предлагаемого применения в настоящем изобретении, и предполагается, что они входят в объем настоящего изобретения.

[52]

Некоторые соединения настоящего изобретения имеют асимметричные атомы углерода (оптические центры) или двойные связи. Предполагается, что все рацематы, энантиомеры, диастереомеры, геометрические изомеры и индивидуальные изомеры входят в объем настоящего изобретения. Следовательно, соединения этого изобретения включают смеси стереоизомеров, особенно смеси энантиомеров, а также очищенных стереоизомеров, особенно очищенных энантиомеров или стереоизомерно обогащенных смесей, особенно энантиомерно обогащенных смесей. Кроме того, в объем изобретения входят индивидуальные изомеры соединений, представленных ниже формулами от (1) до (5), а также их любые полностью или частично сбалансированные смеси. Кроме того, настоящее изобретение включает в себя индивидуальные изомеры соединений, представленных ниже формулами, в виде смесей с их изомерами, в которых инвертированы один или несколько хиральных центров. Кроме того, следует понимать, что все таутомеры и смеси таутомеров соединений, соответствующих формулам (1)-(5), входят в объем соединений, соответствующих формулам (1)-(5), и предпочтительно по формуле и частичной формуле, соответствующим этой цели.

[53]

Полученные рацематы могут быть расщеплены на изомеры по-существу известными механическими или химическими способами. Диастереомеры предпочтительно образуются из рацемической смеси путем взаимодействия с оптически активным расщепляющим агентом. Также выгодным является расщепление энантиомера с помощью колонки, заполненной оптически активным расщепляющим агентом.

[54]

Кроме того, расщепление диастереомера может быть осуществлено с использованием стандартных способов очистки, например, таких как хроматография или фракционная кристаллизация.

[55]

Соединения настоящего изобретения также могут иметь неестественные соотношения атомных изотопов для одного или нескольких атомов, которые входят в состав таких соединений. Например, эти соединения могут быть помечены радиоактивными изотопами, например, такими как тритий (+H), йод-125 (125I) или углерод-14 (14C). Предполагается, что все изотопные разновидности соединений настоящего изобретения (радиоактивные или нет) входят в объем защиты настоящего изобретения.

[56]

Сущность изобретения

[57]

Разработан ряд соединений, описываемых общей структурой (I), обладающих способностью к мягкому разобщению митохондрий. В основе изобретения лежит принцип саморегулируемой адресной доставки биологически активных веществ в митохондрии живой клетки за счет использования энергии электрохимического потенциала. Предполагается следующий механизм саморегуляции: соединения со структурой (I) в цитоплазме клетки взаимодействуют с протоном и приобретают положительный заряд. За счет этого заряда, а также липофильной природы этих соединений, они направляются в отрицательно заряженные митохондрии, где накапливаются согласно уравнению Нернста. Важно отметить, что функциональное состояние митохондрии (т.е. ее потенциал) будет определять концентрацию соединений со структурой (I). Именно это свойство соединений определяет их мягкую разобщающую активность, которая обеспечивает эффективное разобщение только митохондрий с высоким мембранным потенциалом. Проникая сквозь внутреннюю мембрану митохондрии, эти соединения увеличивают ее протонную проводимость, что стимулирует падение мембранного потенциала митохондрий. В матриксе митохондрий эти соединения депротонируются, и нейтральная форма разобщителя диффундирует из митохондрии обратно в цитоплазму.

[58]

Случайно, проводя эксперименты с соединениями со структурой (I), было обнаружено, что они обладают умеренной разобщающей активностью (см. экспериментальные примеры). Результаты наших экспериментов указывают на то, что наблюдаемый процесс разобщения зависит от митохондриального потенциала и не зависит от присутствия анионов жирных кислот (RCOO-) - потенциальных участников процесса разобщения, локализованных на внешней поверхности митохондрий.

[59]

Соединения со структурой (I) схожи с другими классами катионных разобщителей соединений. Однако, известные до сих пор катионные разобщители вызывают неспецифическое увеличение проницаемости митохондриальной мембраны, что приводит к набуханию митохондрий, нарушению функционирования клетки и организма в целом (Shinohara Y, Bandou S, Kora S, Kitamura S, Inazumi S, Terada H. (1998), FEBS Lett. 428, 89-92.). Неожиданное и принципиальное отличие заявленной структуры заключается в том, что ее мягкое разобщающее действие является зависимым от электрохимического потенциала митохондрий и значительно преобладает над детергентными, или иными нежелательными побочными эффектами.

[60]

Общая формула соединений (I) следующая:

[61]

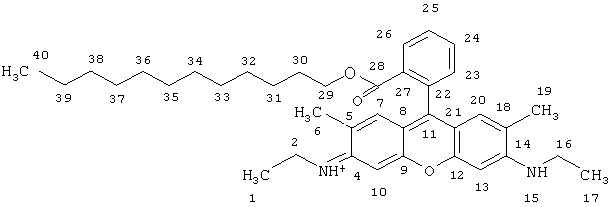
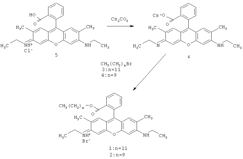
[62]

и/или его восстановленная форма

[63]

где «X» - группа, представляющая собой замещенную или незамещенную углеводородную цепь длиной до 20 атомов углерода, при необходимости содержащую двойные или тройные связи, гетероатомы, такие как -S-, -N-, -O-, или имеющую возможные включения групп -C(O)O-, -C(O)-, -C(O)N(H)-;

[64]

«Z» - группа, способная протонироваться при физиологических значениях pH и обеспечивать адресную доставку всего соединения в митохондрии;

[65]

«А» - противоион;

[66]

«n» - целое число от 1 до 3,

[67]

а также его таутомерные формы, сольваты, соли, изомеры или пролекарственные формы и фармакологически приемлемый носитель.

[68]

При этом комбинация X и Z в одном соединении должна:

[69]

а) быть способной к протонированию при значениях pH, характерных для цитоплазмы клеток, обладать pK в районе от 4 до 11 единиц;

[70]

б) обладать такой степенью липофильности, которая позволяет протонированной форме проникать в митохондрии;

[71]

в) обеспечивать зависимое от электрохимического потенциала проникновение в митохондрии;

[72]

г) быть способной к депротонированию в условиях слабощелочных значений pH, характерных для митохондриального матрикса;

[73]

д) быть способной к выходу из матрикса митохондрии в депротонированном виде.

[74]

Предпочтительным соединением общей формулы (I) является следующая группа соединений со структурой (II):

[75]

и/или его восстановленная форма,

[76]

где R1 и R3 - атомы водорода, R2 и R4 независимо друг от друга атомы водорода или замещенные или незамещенные C1-C4 алкильные группы; R2, соединенный с R5, или же R4 с R6, образуют при этом замещенный или незамещенный 1,3-пропилен;

[77]

R5, R6, R7 и R8 - независимо друг от друга представляют собой атом водорода или метил;

[78]

«А» - фармакологически приемлемый анион;

[79]

«n» - целое число от 1 до 3.

[80]

Наиболее предпочтительными соединениями общей формулы (I) являются соединения формулы (1) - C10R19 и (2) - C12R19:

[81]

[82]

[83]

и/или их восстановленные формы, притом, что наряду с Br- в качестве аниона может быть выбран любой другой фармакологически приемлемый анион, такой как Cl-, SO42- и др.

[84]

Ключевым аспектом настоящего изобретения является фармацевтическая композиция, содержащая эффективное количество митохондриально адресованных протонофоров (то же, что и соединения структуры (I)), предназначенная для профилактики или лечения определенных заболеваний человека и животных, при которых эффективным является мягкое разобщение митохондрий. Следует отметить, что медицинское назначение этой композиции (показания к применению) является важнейшим аспектом самой композиции, во многом определяющим ее состав, дозировку, режим применения и т.п.

[85]

Следующим аспектом настоящего изобретения является применение митохондриально адресованных протонофоров для изготовления фармацевтической композиции, предназначенной для профилактики или лечения заболеваний, при которых эффективной является стимуляция клеточного метаболизма, в том числе липидного.

[86]

Другим аспектом настоящего изобретения является применение митохондриально адресованных протонофоров для изготовления медицинских препаратов, предназначенных для профилактики и лечения сердечно-сосудистых патологий, в том числе атеросклероза, аритмий сердца, ишемической болезни сердца, инфаркта сердца, ишемии или инфаркта почки, мозгового инсульта, а также различных заболеваний и патологических состояний, являющихся следствием нарушений кровообращения или снабжения кислородом тканей и органов.

[87]

Аспектами настоящего изобретения являются также:

[88]

- применение митохондриально адресованных протонофоров для лечения патологических состояний, являющихся последствиями неишемических нарушений кровообращения, в том числе последствий геморрагической гиповолемии, вызванной разрушением сосудов или нарушением их проницаемости, а также гиповолемии, вызванной сосудорасширяющими препаратами;

[89]

- применение митохондриально адресованных протонофоров для лечения патологических состояний, являющихся последствиями неишемических нарушений кровообращения, в том числе гиповолемии, вызванной потерями воды через кожу, легкие, желудочно-кишечный тракт или почки, в том числе гиповолемии, спровоцированной мочегонными препаратами;

[90]

- применение митохондриально адресованных протонофоров для лечения последствий гипоксемической гипоксии, вызванной недостатком кислорода в артериальной крови, в том числе гипоксии, обусловленной недостатком кислорода во вдыхаемом воздухе;

[91]

- применение митохондриально адресованных протонофоров для лечения последствий анемической гипоксии, вызванной снижением кислородной емкости крови в силу падения в ней количества гемоглобина или изменения его состояния;

[92]

- применение митохондриально адресованных протонофоров для предотвращения развития или лечения нежелательных изменений в клетках, тканях или органах, естественное крово- или кислородоснабжение которых ограничено или прекращено в ходе медицинского вмешательства, в том числе в ходе афереза, ограничения или прекращения кровоснабжения клеток, тканей или органов с целью их дальнейшей консервации и/или трансплантации, а также различных хирургических операций;

[93]

- применение митохондриально адресованных протонофоров для увеличения продолжительности жизни человека или животных, а также при заболевании, связанном со старением организма и усилением окислительного стресса;

[94]

- применение митохондриально адресованных протонофоров для борьбы с заболеваниями глаз, связанными с окислительным стрессом и/или массовой гибелью клеток сетчатки или других типов клеток, вовлеченных в процессы, обеспечивающие зрение;

[95]

- применение митохондриально адресованных протонофоров для лечения или профилактики заболеваний, связанных с массовой запрограммированной смертью клеток в тканях и органах, и и/или связанных с распространением в пораженной ткани сигналов, инициирующих запрограммированную гибель клеток;

[96]

- применение митохондриально адресованных протонофоров для профилактики и/или лечения сердечно-сосудистых заболеваний, для которых показана ключевая роль запрограммированной гибели клетки, апоптоза или некроза;

[97]

- применение митохондриально адресованных протонофоров в трансплантологии для борьбы с отторжением тканей и для сохранения трансплантационного материала;

[98]

- применение митохондриально адресованных протонофоров в косметологии для преодоления последствий ожогов, улучшения заживания ран и хирургических швов;

[99]

- применение митохондриально адресованных протонофоров в биотехнологии для увеличения жизнеспособности клеток животных или человека в культуре для исследовательских или технологических нужд;

[100]

- митохондриально адресованных протонофоров для увеличения продуктивности животных, человеческих, растительных или грибковых клеток в культуре при использовании для продукции фармакологических препаратов; белков; антител;

[101]

- применение митохондриально адресованных протонофоров для увеличения продуктивности целых растений, при использовании для продукции фармакологических препаратов; белков, антител;

[102]

- применение митохондриально адресованных протонофоров для лечения и профилактики психических и психологических расстройств, в том числе клинической депрессии и психозов;

[103]

- применение митохондриально адресованных протонофоров для лечения паразитических заболеваний человека и животных, вызванных грибками, трипаносомами, лейшманией, гельминтами и прочими паразитами;

[104]

- применение митохондриально адресованных протонофоров для подавления процесса сперматогенеза и использования в качестве мужских контрацептивных агентов.

[105]

Под заболеваниями, связанными с нарушениями клеточного метаболизма, понимаются: инсулинозависимый сахарный диабет, инсулинозависимый сахарный диабет с комой, инсулинозависимый сахарный диабет с кетоацидозом, инсулинозависимый сахарный диабет с поражением почек, инсулинозависимый сахарный диабет с поражением глаз, инсулинозависимый сахарный диабет с неврологическими осложнениями, инсулинозависимый сахарный диабет с нарушениями периферического кровообращения, инсулинозависимый сахарный диабет с множественными осложнениями, инсулинозависимый сахарный диабет без осложнений, инсулиннезависимый сахарный диабет, инсулиннезависимый сахарный диабет с комой, инсулиннезависимый сахарный диабет с кетоацидозом, инсулиннезависимый сахарный диабет с поражением почек, инсулиннезависимый сахарный диабет с поражением глаз, инсулиннезависимый сахарный диабет с неврологическими осложнениями, инсулиннезависимый сахарный диабет с нарушениями периферического кровообращения, сахарный диабет, связанный с недостаточностью питания, локализованное отложение жира, ожирение, ожирение, обусловленное избыточным поступлением энергетических ресурсов, ожирение, вызванное приемом лекарственных средств, крайняя степень ожирения, сопровождаемая альвеолярной гиповентиляцией, гипервитаминоз A, гиперкаротинемия, синдром мегадоз витамина B6, гипервитаминоз D, последствия избыточности питания, нарушения обмена ароматических аминокислот, классическая фенилкетонурия, другие виды гиперфенилаланинемии, нарушения обмена тирозина, альбинизм, другие нарушения обмена ароматических кислот, нарушения обмена аминокислот с разветвленной цепью и обмена жирных кислот, болезнь "кленового сиропа", нарушение транспорта аминокислот, нарушение обмена серосодержащих аминокислот, нарушения обмена цикла мочевины, нарушения обмена лизина и гидроксилизина, нарушения обмена орнитина, нарушения обмена глицина, непереносимость лактозы, врожденная недостаточность лактозы, вторичная недостаточность лактазы, болезни накопления гликогена, нарушения обмена фруктозы, нарушения обмена галактозы, нарушения обмена пирувата и гликонеогенеза, нарушения обмена сфинголипидов и другие болезни накопления липидов, ганглизидоз-GM2, сфинголипидоз, липофусциноз нейронов, нарушения обмена гликозаминогликанов, мукополисахаридоз, тип I, мукополисахаридоз, тип II, нарушения обмена гликопротеинов, дефекты посттрансляционной модификации, дефекты деградации гликопротеидов, чистая гиперхолистеринемия, чистая гиперглицеридемия, смешанная гиперлипидемия, гиперхиломикронемия, недостаточность липопротеидов, нарушения обмена пуринов и пиримидинов, гиперурекимия без признаков воспалительного артрита и подагрических узлов, синдром Леша-Нихена, нарушения обмена порфирина и билирубина, наследственная эритропоэтическая порфирия, порфирия кожная медленная, дефекты каталазы и пероксидазы, синдром Жильберта, синдром Криглера-Наяйяра, нарушения минерального обмена, кистозный фиброз, амилоидоз, гиперосмолярность и гипернатриемия, гипоосмолярность и гипонатриемия, ацидоз, алкалоз, расстройства питания и нарушения обмена веществ при других болезнях.

[106]

Под ишемической болезнью сердца понимаются: стенокардия [грудная жаба], нестабильная стенокардия, нестабильная стенокардия с гипертензией, стенокардия с документально подтвержденным спазмом, стенокардия с документально подтвержденным спазмом с гипертензией, острый инфаркт миокарда, острый трансмуральный инфаркт передней стейки миокарда, острый трансмуральный инфаркт передней стенки миокарда с гипертензией, острый трансмуральный инфаркт нижней стенки миокарда, острый трансмуральный инфаркт нижней стенки миокарда с гипертензией, острый субэндокардиальный инфаркт миокарда, острый субэндокардиальный инфаркт миокарда с гипертензией, повторный инфаркт миокарда, повторный инфаркт нижней стенки миокарда, некоторые текущие осложнения острого инфаркта миокарда, гемоперикард как ближайшее осложнение острого инфаркта миокарда, дефект межпредсердной перегородки как текущее осложнение острого инфаркта миокарда, дефект межжелудочковой перегородки как текущее осложнение острого инфаркта миокарда, тромбоз предсердия, ушка предсердия и желудочка сердца как текущее осложнение острого инфаркта миокарда, другие формы острой ишемической болезни сердца, коронарный тромбоз, не приводящий к инфаркту миокарда, синдром Дресслера, синдром Дресслера с гипертензией, хроническая ишемическая болезнь сердца, атеросклеротическая сердечно-сосудистая болезнь, перенесенный в прошлом инфаркт миокарда, аневризма сердца, аневризма сердца с гипертензией, аневризма коронарной артерии, аневризма коронарной артерии с гипертензией, ишемическая кардиомиопатия, бессимптомная ишемия миокарда.

[107]

Под другими болезнями сердца понимаются: острый перикардит, острый неспецифический идиопатический перикардит, инфекционный перикардит, хронический адгезивный перикардит, хронический констриктивный перикардит, перикардиальный выпот (невоспалительный), острый и подострый эндокардит, острый и подострый инфекционный эндокардит, неревматические поражения митрального клапана, митральная (клапанная) недостаточность, пролапс [пролабирование] митрального клапана, неревматический стеноз митрального клапана, неревматические поражения аортального клапана, аортальный (клапанный) стеноз, аортальная (клапанная) недостаточность, неревматические поражения трехстворчатого клапана, неревматический стеноз трехстворчатого клапана, неревматическая недостаточность трехстворчатого клапана, неревматический стеноз трехстворчатого клапана, поражения клапана легочной артерии, стеноз клапана легочной артерии, недостаточность клапана легочной артерии, стеноз клапана легочной артерии с недостаточностью, острый миокардит, инфекционный миокардит, изолированный миокардит, кардиомиопатия, дилатационная кардиомиопатия, обструктивная гипертрофическая кардиомиопатия, эндомиокардиальная (эозинофильная) болезнь, эндокардиальный фиброэластоз, алкогольная кардиомиопатия, кардиомиопатия, обусловленная воздействием лекарственных средств и других внешних факторов, предсердно-желудочковая [атриовентрикулярная] блокада и блокада левой ножки пучка [Гиса], предсердно-желудочковая блокада первой степени, предсердно-желудочковая блокада второй степени, предсердно-желудочковая блокада полная, синдром преждевременного возбуждения, остановка сердца, остановка сердца с успешным восстановлением сердечной деятельности, пароксизмальная тахикардия, возвратная желудочковая аритмия, наджелудочковая тахикардия, желудочковая тахикардия, фибрилляция и трепетание предсердий, фибрилляция и трепетание желудочков, преждевременная деполяризация предсердий, преждевременная деполяризация желудочков, синдром слабости синусного узла, сердечная недостаточность, застойная сердечная недостаточность, левожелудочковая недостаточность, дегенерация миокарда.

[108]

Под мозговым инсультом понимаются как геморрагический и ишемический инсульты мозга, так и их симптомы.

[109]

Под ишемией или инфарктом почки понимаются: узелковый периартериит, гранулематоз Вегенера, гемолитико-уремический синдром, идиопатическая тромбоцитопеническая пурпура, синдром диссеминированного внутрисосудистого свертывания (ДВС-синдром), ишемия или инфаркт почечной артерии (внепочечной части), атеросклероз почки, врожденный стеноз почки, почка Гольдблатта, острый нефритический синдром, незначительные гломерулярные нарушения, очаговые и сегментарные гломерулярные повреждения, диффузный мембранозный гломерулонефрит, диффузный мезангиальный пролиферативный гломерулонефрит, диффузный эндокапилярный пролиферативный гломерулонефрит, диффузный мезангиокапилярный гломерулонефрит, болезнь плотного осадка, диффузный серповидный гломерулонефрит, быстро прогрессирующий нефритический синдром, рецидивирующая и устойчивая гематурия, хронический нефритический синдром, нефротический синдром, нефритический синдром.

[110]

Под различными патологиями зрения понимаются различные формы макулярной дегенерации (MD) и другие связанные с ней симптомы, а именно: атрофической (сухой) MD, экссудативной (влажной) MD, возрастной макулопатией (ARM), хороидальной неоваскуляризацией, отслоением пигментного эпителия сетчатки (PED), атрофией пигментного эпителия сетчатки (RPE). В понятие «макулярной дегенерации (MD)» также входят все болезни глаз, не относящиеся к возрастным изменениям организма человека, а именно болезнь Беста или вителлиформ, болезнь Штаргардта, юношеская макулодистрофия, болезнь Бера, болезнь Сорсби, ячеистая дистрофия или болезнь Дойна. Под симптомами, связанными с макулярной дегенерацией, понимаются друзы, окруженными беловато-желтоватыми пятнами, субмакулярный дисковидный рубец тканей, хороидальная неоваскуляризация, отслоение пигментного эпителия сетчатки (PED), атрофия пигментного эпителия сетчатки (RPE), анормальное разрастание кровеносных сосудов хороида, смазанная или нарушенная область зрения, центральная мертвой точкой, пигментными аномалиями, смешанным слоем тонкой грануляции, расположенной на внутренней стороне мембраны Бруха, утолщением и пониженной проницаемостью мембраны Бруха.

[111]

Причины, вызывающие макулярную дегенерацию, включают, но не ограничены ими: генетической или физической травмой, болезнями, такими как диабет, или инфекции, в частности, бактериальные.

[112]

Под ранами и другими поверхностными повреждениями понимаются раны, связанные с повреждениями кожного эпителия, эпителия роговицы, поверхностей желудочно-кишечного тракта, эпителия легких и внутренних поверхностей сосудов печени, кровеносных сосудов, матки, влагалища, уретры или дыхательных путей, а также раны и другие поверхностные повреждения, связанные с длительными дефектами эпителия и рецидивными эпителиальными эрозиями, такие как: хирургические раны, эксцизионные раны, волдыри, язвы, другие поражения, ссадины, эрозии, рваные раны, порезы, гноящиеся раны, фурункулы и термические или химические ожоги. Раны могут быть вызваны как механическими повреждениями, так и получены в результате других заболеваний, таких как диабет, дистрофия роговицы, уремия, недостаток питания, дефицит витаминов, ожирение, инфекция, иммунодефицит или осложнения, связанные с систематическим употреблением стероидов, радиационной терапией, нестероидных противовоспалительных препаратов и противораковых препаратов.

[113]

Под психическими и психологическими расстройствами подразумевается (и подробно описана в Международной Классификации Болезней 10-го пересмотра) клинически определенная группа симптомов или поведенческих признаков, которые в большинстве случаев причиняют страдание и препятствуют личностному функционированию, такими как клиническая депрессия, шизофрения, шизотипические и бредовые расстройства, невротические и поведенченские симптомы, расстройства личности и эмоциональные расстройства.

[114]

Под паразитическими заболеваниями понимаются заразные болезни, вызываемые простейшими (амебами, лейшманиями, лямблиями, плазмодиями, трипаносомами, балантидами, пневмоцистами, токсоплазмами и др.), паразитическими червями (гельминтами), членистоногими (насекомыми и клещами), патогенными микроорганизмами (бактериями, спирохетами, риккетсиями, патогенными грибками и вирусами).

[115]

Применение фармацевтических композиций, относящихся к настоящему изобретению, может быть как соматическим, так и местным. Методы назначения включают энтеральные, такие как оральный, сублингвальный и ректальный, местные, такие как чрезкожный, интрадермальный и окулодермальный, и парентеральные. Приемлемые парентеральные методы назначения включают инъекции, например внутривенные, внутримышечные, подкожные, внутрибрюшинные, внутриартериальные и т.п., инъекции, и неинъекционные методы, такие как внутривлагалищные или назальные, а также метод введения фармацевтической композиции в виде покрытия ангиопластических стентов. Предпочтительно, соединения и фармацевтические композиции, относящиеся к настоящему изобретению, назначаются внутрибрюшинно, внутривенно, внутриартериально, парентерально или перорально. В частности, назначение может быть проведено в форме инъекций или таблеток, гранул, капсул или другой прессованной или сжатой формы.

[116]

При назначении соединения формулы (I) в виде фармацевтической композиции, соединение формулы (I) должно быть смешано по рецептуре с подходящим количеством фармацевтически приемлемого разбавителя или носителя, таким образом, чтобы иметь надлежащую форму для назначения пациенту. Термин «разбавитель» относится к разжижителю, вспомогательному лекарственному веществу, наполнителю или носителю, с которым соединение формулы (I) смешивается для назначения пациенту. Такими фармацевтическими носителями могут быть жидкости, такие как вода и масла, включая петролейные, животные, растительные и синтетические, такие как арахисовое масло, соевое масло, минеральное масло и подобные им масла. Фармацевтическими разбавителями могут быть физиологический раствор, смола акации, желатин, крахмал, тальк, кератин, коллоидное серебро, мочевина и т.д.

[117]

Также композиция может включать вспомогательные вещества, стабилизаторы, загустители, смазочные и окрашивающие агенты.

[118]

Соединения и композиции, относящиеся к настоящему изобретению, могут быть назначены в виде капсул, таблеток, пилюль, подушечек, гранул, сиропов, эликсиров, растворов, суспензий, эмульсий, суппозиториев или составов с замедленным высвобождением или в любой другой форме, подходящей для назначения пациенту. Одним из аспектов настоящего изобретения является применение соединений формулы (I) и композиций в виде растворов для перорального, внутрибрюшинного, внутриартериального и внутривенного назначения.

[119]

Терапевтически эффективное количество соединения формулы (I), требующееся для лечения частного заболевания или симптома, зависит от природы заболевания или симптома и метода назначения и должно быть определено при консультации с лечащим врачом. Приемлемые дозы при назначении перорально составляют от 0,025 до 120000 мкг/кг веса тела пациента, более предпочтительно 25 мкг/кг веса тела пациента и наиболее предпочтительно 50 мкг/кг веса тела пациента. Приемлемые дозы при назначении внутривенно составляют от 0,1 до 10000 мкг/кг веса тела пациента, более предпочтительно 25 мкг/кг веса тела пациента и наиболее предпочтительно 125 мкг/кг веса тела пациента.

[120]

Для оптимальной защиты клеток, тканей и органов соединение формулы (I) в виде фармацевтической композиции вводят за 6-48 часов (оптимально за 24 часа) до ишемического воздействия.

[121]

Примеры приемлемых фармацевтических композиций для перорального применения:

[122]

Фармацевтическая композиция - 1 - желатиновые капсулы
ИнгредиентКоличество (мг/капсула)
Соединение формулы (I)0,0015-1000
Крахмал0-650
Крахмал порошок0-650
Жидкий силикон0-15
Фармацевтическая композиция - 2 - таблетки
ИнгредиентКоличество (мг/капсула)
Соединение формулы (I)0,0015-1000
Микрокристаллическая целлюлоза200-650
Кремния диоксид порошок10-650
Стеариновая кислота5-15
Фармацевтическая композиция - 3 - таблетки
ИнгредиентКоличество (мг/капсула)
Соединение формулы (I)0,0015-1000
Крахмал45
Микрокристаллическая целлюлоза35
Поливинилпирролидон (10%-ный водный раствор)4
Карбоксиметилцеллюлоза, натриевая соль4.5
Тальк1
Магния стеарат0.5

[123]

Фармацевтическая композиция - 4 - суспензии
ИнгредиентКоличество (мг/5 мл)
Соединение формулы (I)0,0015-1000
Сироп1.25
Раствор бензойной кислоты0.10
Карбоксиметилцеллюлоза, натриевая соль50
Вкусовая добавкаПо необходимости
КрасительПо необходимости
Вода дистиллированнаяДо 5 мл
Пример приемлемой фармацевтической композиции в виде раствора для внутрибрюшинного, внутриартериального и внутривенного применения (pH 6.5)
ИнгредиентКоличество
Соединение формулы (I)5 мг
Изотонический раствор1000 мл
Пример приемлемой фармацевтической композиции для применения в виде аэрозоля
ИнгредиентКоличество (весовые проценты)
Соединение формулы (I)0,0025
Этанол25.75
Дифторохлорометан70
Пример приемлемой фармацевтической композиции для применения в виде суппозиториев
ИнгредиентКоличество (мг/суппозиторий)
Соединение формулы (I)1
Глицериды насыщенных жирных кислот2000

[124]

Краткое описание чертежей

[125]

Фиг.1. A. C12R19, но не C12RB индуцирует образование диффузионного потенциала ионов водорода на плоской билипидной мембране, приготовленной из DPhPC. Концентрации C12R19 и C12RB составляют 1 µM. pH_cis=7, pH_trans=8. Б. Образование потенциала при создании градиента проникающих катионов C12RB и C12R19 (1 µM с cis стороны) при одинаковых pH с двух сторон (рН=7).

[126]

Фиг.2. А. Рассеяние градиента pH на мембранах липосом, нагруженных пиранином, под действием C12R19 и C12RB. Внутрилипосомальный pH оценивался по отношению уровня флуоресценции при 455 нм и 505 нм (возбуждение 410 нм). 1 µM нигерицина добавлялся на 550 секунде для окончательного выравнивания pH. Кривая Control была с C12R19, но без валиномицина. Концентрации: C12R19 (150 nM), C12RB (150 nM), валиномицин (10 nM), липид (75 µM). Б. Зависимость эффекта от длины алкильного хвоста. Контрольная кривая соответствует добавке 10 nM валиномицина без протонофоров. Использовался буфер 10 mM MES, 10 mM MOPS, 10 mM TRICINE, 0.1 М KCl, pH 8.

[127]

Фиг.3. Сравнение свойств C12R19 и C12RB по относительной скорости потребления кислорода целыми клетками дрожжей Saccharomyces cerevisiae (А) и скорости роста дрожжей (Б). V/Vo соответствует отношению скоростей поглощения кислорода после и до добавления разобщителя. Скорость роста определяли как количество КОЕ (колония образующих единиц) в суспензионной культуре клеток, инкубировавшихся в течение 2 часов в присутствии указанной концентрации производной родамина.

[128]

Фиг.4. Сравнение стимуляции дыхания и подавления роста: (А) катионного (C12R19); и (Б) анионного (FCCP) разобщителей на клетках дрожжей Saccharomyces cerevisiae, выращенных на несбраживаемом субстрате (глицерине). Стимуляцию дыхания оценивали по соотношению скорости поглощения кислорода в присутствии разобщителя (V) к начальной скорости (V0). Скорость роста оценивали по увеличению количества клеток за заданный интервал времени. За 100% принимали скорость роста в отсутствии разобщителя.

[129]

Фиг.5. Сравнение устойчивости клеток дрожжей к 80 мкМ амиодарону в присутствии различных концентраций анионного (FCCP) и катионного (C12R19) разобщителей.

[130]

Фиг.6. Уровень креатинина в крови крыс при индуцированном рабдомиолизе: столбик гистограммы «контроль» указывает уровень креатинина у контрольной группы животных; «рабдо» - уровень креатинина у животных при рабдомиолизе; «paбдо+C12-R19» - уровень креатинина у животных при рабдомиолизе и терапии C12R19. Все данные представлены в виде среднего значения±стандартная ошибка измерения.

[131]

Фиг.7. Результаты поведенческих тестов крыс до и на первые сутки после индукции ишемии: столбик «Базовая линия» указывает итоговый балл животных до операции; «ЛО» - баллы у ложнооперированных животных; «Ишемия+физ p-p» - баллы у ишемизированных животных без лечения, с физиологическим раствором вместо препарата; «Ишемия+C12R19 0,1 мкМ» и «Ишемия+C12R19 2 мкМ» - баллы у ишемизированных животных на фоне лечения препаратом C12R19 в указанных концентрациях. Статистически значимое (p<0,01) снижение выраженности неврологического дефицита у крыс, получавших C12R19, обозначено «**».

[132]

Осуществление изобретения

[133]

Ниже приведен ряд экспериментальных примеров, чтобы проиллюстрировать возможность осуществления изобретения, в частности действие веществ, отвечающих структуре (I), в соответствии с изобретением. Эти примеры призваны лишь подтвердить обоснованность притязаний и не должны восприниматься как ограничивающие область его использования или применения.

[134]

Экспериментальные примеры

[135]

1) Синтез веществ структуры (I) C12R19 и C10R19.Додециловый эфир родамина 19 (C12R19, 1) и дециловый эфир родамина 19 (C10R19, 2) получали путем ацилирования додецилбромида (3) или децилбромида (4), соответственно, предварительно полученной из родамина 19 (5) его цезиевой солью (6). (Схема 1).

[136]

[137]

Методики

[138]

Бромид децил-2-[(3E)-6-(этиламино)-3-(этилимино)-2,7-диметил-3H-ксантен-9-ил]бензоата (C10R19).

[139]

ИЛИ

[140]

Бромид децилового эфира родамина 19 (C10R19).

[141]

Cs-соль родамина 19. К раствору родамина 19 (240 мг, 0.53 ммоль) в 6 мл метанола добавили 1 мл 2 н. водного раствора карбоната цезия, раствор нагрели до кипения, затем охладили до 4°C и оставили при этой температуре на 12 ч. Выпавший осадок отфильтровали, промыли холодным метанолом и сушили в вакууме при 60°C. Получили цезиевую соль родамина 19 в виде темно-фиолетового твердого вещества (238 мг, 0.435 ммоль, выход 82%).

[142]

Смесь Cs-соли родамина 19 (137 мг, 0.25 ммоль) и 1-бромдекана (78 мкл, 83 мг, 0.375 ммоль) в 1 мл ДМФА выдерживали в запаянной ампуле при температуре 60°C в течение 72 ч. Удаляли растворитель в вакууме, остаток подвергали очистке с помощью колоночной хроматографии на силикагеле в системе хлороформ - метанол (4:1, v/v). Получили продукт в виде темно-красного твердого вещества (135 мг, 0.243 ммоль, 97.2%). ТСХ: Rf (CH3Cl-iProOH-CH3OH-AcOH-H2O, 80:15:8:3:1) 0.25; Rf (CH2Cl2-CH3OH, 9:1) 0.32; ВЭЖХ: tR=5.195 мин (70-95% B за 11 мин; A: 0.05% водн. ТФУ; B: 0.05% ТФУ в MeCN; ESI MS: m/z (MH+) рассчитано для C36H46N2O3: 554.35, найдено: 555.39; УФ (C2H5OH): λmax 248, 348, 528 нм (ε=76000 см-1·M-1); Флуоресценция (CH3OH): λEX 528 нм, λEM 547 нм.

[143]

[144]

ЯМР1H (400.13 МГц, CDCl3, м.д.): 0.9 (т., 3H, 38 - CH3); 1.3 (м., 22H, 1.17, 30-37 - 2CH3, 8CH2); 2.37 (с., 6H, 6 и 19 - 2CH3); 3.64 (м., 4H, 2 и 16 - 2CH2); 4.0 (т., 2H, 29 - CH2); 6.69 (с, 2H, 7 и 20 - 2CH); 6.79 (с., 2H, 13 и 10 - 2CH); 7.45 (м., 2H, 3 и 15 - 2NH); 7.8 (м, 2H, 24 и 25 - 2CH); 8.37 (д., 1H, 26 - CH).

[145]

ЯМР13C (100.61 МГц, CDCl3, м.д.): 13.94 (1 и 17 - 2CH3), 14.16 (38 - CH3); 18.89 (6 и 19 - 2CH3); 22-32 (30-37 - 8CH2); 38.44 (2 и 16 - 2CH2); 65.82 (29 - CH2); 93.68 (7 и 20 - 2CH); 113.39 (C8 и C21); 126.29 (C5 и C18); 128.43 (10 и 13 - 2CH); 130.07 и 130.14 (23 и 24 - 2CH); 130.30 (C11); 131.37 (26 - CH); 132.78 (25 - CH); 133.99 - (C27); 155.96 (C4 и C14); 156.80 (C22); 157.10 (C9 и C12); 165.26 (28 - CO).

[146]

Бромид додецил-2-[(3E)-6-(этиламино)-3-(этилимино)-2,7-диметил-3H-ксантен-9-ил]бензоата (C12R19)

[147]

ИЛИ

[148]

Бромид додецилового эфира родамина 19 (C12R19) был получен согласно методике, приведенной для C10R19, исходя из цезиевой соли родамина 19 (70 мг, 0.128 ммоль) и 1-бромдодекана (46 мкл, 48 мг, 0.192 ммоль) в 1.5 мл ДМФА. Продукт выделяли колоночной хроматографией на силикагеле в системе хлороформ - метанол (9:1, v/v), получили темно-красное твердое вещество (80 мг, 0.12 ммоль, 94%). ТСХ: Rf (CH3Cl-iPrOH-CH3OH-AcOH-H2O, 80:15:8:3:1) 0.365; Rf (CH2Cl2-CH3OH, 9:1) 0.37; ВЭЖХ: tR=7.159 мин (70-95% B за 11 мин; A: 0.05% водн. ТФУ; B: 0.05% ТФУ в MeCN; ESI MS: m/z (MH+) рассчитано для C38H50N2O3: 582.38, найдено: 583.59; УФ (C2H5OH): λmax 248, 348, 528 нм (ε=76000 см-1·M-1); Флуоресценция (CH3OH): λEX 528 нм, λEM 547 нм.

[149]

[150]

ЯМР1H (400.13 МГц, CDCl3, м.д.): 0.85 (т., 3H, 40 - CH3); 1.15 (м., 20H, 30-39 - 10CH2); 1.38 (т., 6H, 1 и 17 - 2CH3); 2.27 (с., 6 и 19 - 2CH3); 3.56 (м., 4H, 2 и 16 - 2CH2); 3.94 (т., 2H, 29 - CH2); 6.66 (с., 2H, 7 и 20 - 2CH); 6.75 (м., 4H, 10б 13 и 3 и 15 - 2CH и 2NH); 7.25 (д., 1H, 23 CH); 7.77 (м., 2H, 24 и 25 - 2CH); 8.22 (д., 1H, 26 - CH).

[151]

ЯМР13C (100.61 МГц, CDCl3, м.д.): 14.04 (1 и 17 - 2CH3), 14.13 (40 - CH3); 19.04 (6 и 19 - 2CH3); 22-32 (30-39 - 10CH2); 38.48 (2 и 16 - 2CH2); 65.84 (29 - CH2); 93.92 (7 и 20 - 2CH); 113.61 (C8 и C21); 126.12 (C5 и C18); 128.61 (10 и 13 - 2CH); 130.13 и 130.17 (23 и 24 - 2CH); 130.17 (C11); 131.37 (26 - CH); 132.83 (25 - CH); 133.86 - (C27); 155.85 (C4 и C14); 156.80 (C22); 157.43 (C22); 157.2 (C9 и C12); 165.20 (28 - CO).

[152]

2) Исследование протонофорной активности катионных разобщителей на модели черной мембраны

[153]

Для тестирования проникающей способности митохондриально-адресованных соединений, отвечающих структуре (I), был использован метод, основанный на способности ионов проникать сквозь бислойную фосфолипидную мембрану, двигаясь по градиенту концентрации. Бислойная мембрана разделяет две камеры, заполненные водным раствором, в одну из них добавляется исследуемое вещество. Если заряженное вещество способно проникать через бислойную мембрану, то происходит его быстрая диффузия из камеры с высокой концентрацией в камеру с низкой концентрацией вещества, при этом на мембране образуется разность потенциалов. Для ионов, несущих один заряд и способных свободно проникать через мембрану, десятикратный градиент концентраций позволяет образовывать потенциал около 60 мВ при комнатной температура и идеальной проницаемости (согласно уравнению Нернста).

[154]

Данная методика применялась в различных исследованиях по изучению способности ионов проникать сквозь билипидную мембрану и подробно описана в статье Starkov AA, Bloch DA, Chernyak BV, Dedukhova VI, Mansurova SA, Symonyan RA, Vygodina TV, Skulachev VP, 1997, Biochem. Biophys Acta, 1318, 159-172. С помощью этого метода было протестировано C12-R19 (соединение структуры (I)).

[155]

На фигуре 1 показаны результаты измерения диффузионного потенциала (AT) на липидном бислое, сформированном из липида дифитаноилфосфатидилхолина, при различных pH с двух сторон мембраны. Как известно, добавление протонофора к такой системе должно приводить к образованию электрического потенциала за счет потока ионов водорода. На фигуре 1А показано, что C12R19, но не C12RB, может генерировать потенциал в такой системе. Кроме того, были поставлены опыты по генерации потенциала при создании градиентов самих проникающих катионов и было показано, что C12RB индуцировал потенциал при добавлении с одной стороны (фигура 1Б), тогда как C12R19 - нет. Это можно объяснить шунтированием потенциала в силу индукции протонной проводимости в присутствии C12R19.

[156]

3) Рассеяние градиента pH на мембранах липосом, нагруженных пиранином, под действием катионных разобщителей

[157]

На фигуре 2А показана кинетика диссипации градиента pH на мембранах липосом под действием 0.15 µM C12R19 или C12RB. Данная методика применялась в различных исследованиях по изучению протонофорной способности и подробно описана в статье Chen Y, Schindler М, Simon SM (1999) J Biol Chem 274:18364-18373. Добавление C12R19 приводило к существенным изменениям внутрилипосомного pH в минутной шкале времени, что говорит о протонофорной активности (фигура 2А, кривая C12R19). FCCP обладал заметно большей активностью (данные не приведены). Существенно, что C12RB практически не обладал активностью в данной системе (фигура 2А, кривая C12RB). Данные измерения проводили в присутствии валиномицина, который является К+-ионофором. В отсутствие валиномицина изменений pH не происходило, как показано на примере действия C12R19 на фиг.2, кривая "control". Возможно, этот эффект связан с образованием на мембране электрического потенциала, который препятствует транспорту протонов без валиномицина. Контрольные эксперименты показали, что сам по себе валиномицин не индуцирует потока протонов на липосомах (данные не приведены).

[158]

На фигуре 2Б приведено действие алкил-производных родамина 19, имеющих разную длину хвоста. Наблюдается оптимум при длине хвоста 10-12 углеродных атомов.

[159]

Разницу в протонофорном действии между C12R19 и C12RB следует искать в различиях в структурах данных двух родаминов (соответственно родаминов 19 и Б). Катионная группа родамина 19 содержит протонируемые атомы азота, тогда как родамин Б лишен таких атомов. Этим, по-видимому, и объясняется различие в протонофорной активности.

[160]

Таким образом, было показано, что C12R19 обладает протонофорной активностью.

[161]

3) Сравнение разобщающих свойств C12R19 и C12RB по скорости поглощения кислорода целыми клетками дрожжей

[162]

Стимуляция дыхания целых клеток дрожжей отражает разобщающие свойства исследуемого вещества. Как видно на фигуре 3A, добавление C12RB в суспензию клеток приводило к значительному увеличении скорости дыхания при концентрации 4 мкМ, однако дальнейшее увеличение концентрации вызывало ингибирование дыхания. В то же время добавление C12R19 не снижало скорости дыхания вплоть до концентрации 15 мкМ.

[163]

В аналогичных условиях были поставлены опыты, определяющие скорость роста дрожжей в присутствии заданной концентрации разобщителя. Как видно на фигуре 3Б, в присутствии 5 мкМ C12R19 не наблюдается заметного снижения скорости роста дрожжей Saccharomyces cerevisiae.

[164]

На фигуре 4 продемонстрировано преимущество C12R19 перед классическими анионными разобщителями (FCCP) в данной системе: в широком диапазоне концентраций C12R19 увеличивает скорость дыхания, не подавляя роста дрожжей (фигура 4А), в отличие от FCCP (фигура 4Б).

[165]

Таким образом, нам удалось показать, что для C12R19 есть определенный диапазон концентраций, включающий в себя концентрацию 5 мкМ, в котором наблюдается заметная стимуляция скорости дыхания целых клеток дрожжей, а следовательно, и снижение трансмембранного потенциала на внутренней мембране митохондрий. Согласно литературным данным снижение трансмембранного потенциала коррелирует со снижением скорости образования активных форм кислорода митохондриями. Таким образом мы заключаем, что микромолярные концентрации C12R19 снижают трансмембранный потенциал, но не вызывают полного подавления окислительного фосфорилирования, что следует из отсутствия снижения скорости роста клеток.

[166]

4) Катионный разобщитель C12R19 предотвращает гибель клеток дрожжей, вызванную амиодароном

[167]

Как нами было показано (Pozniakovsky AI, Knorre DA, Markova OV, Hyman AA, Skulachev VP, Severin FF. Role of mitochondria in the pheromone- and amiodarone-induced programmed death of yeast. J Cell Biol. 2005; 68(2); 257-69), разобщитель FCCP предотвращает гибель клеток дрожжей, вызванную амиодароном. По всей видимости это происходит из-за того, что снижается трансмембранный потенциал митохондрий и, как следствие, скорость образования активных форм кислорода дыхательной цепью уменьшается. Мы предположили, что катионные разобщители (C12R19) будут эффективны в этой системе, причем диапазон концентраций, в котором они будут работать, окажется выше, чем для анионных разобщителей. Для того чтобы проверить это, мы сравнили выживаемость клеток дрожжей, обработанных 80 мкМ амиодароном в присутствии 1-10000 нмоль/литр FCCP и C12R19. Как видно из фигуры 5, C12R19 начинает защищает клетки от амиодарона в диапазоне концентраций от 1 до 1000 нмоль/литр. В то же время FCCP работал только в диапазоне концентраций от 2,5 до 100 нмоль/литр. Таким образом концентрационный диапазон катионного разобщителя в этой системе как минимимум на порядок выше, чем в случае FCCP. При этом следует учесть, что эффективность разобщения FCCP, если ее оценивать по скорости поглощения кислорода целыми клетками дрожжей Saccharomyces cerevisiae, значительно выше, чем таковая у C12R19.

[168]

5) Улучшение функций почки при рабдомиолизе при применении C12R19

[169]

Индукцию рабдомиолиза проводили по стандартной методике введением 50%-ного водного раствора глицерина (ICN, США) в мышцы ног крысы. На вторые сутки после ишемии забирали образцы крови животных. В крови определяли концентрацию креатинина, используя анализатор крови CellTac (Nihon Kohben). Эксперименты по моделированию рабдомиолиза проводили минимум на 8 животных в каждой группе. Все данные представлены в виде среднего значения ± стандартная ошибка измерения.

[170]

Исследование динамики развития острой почечной недостаточности при рабдомиолизе показало, что в первые 2 сут происходит развитие тяжелой почечной недостаточности, что выражается в повышении в крови концентрации продуктов азотного обмена, в частности креатинина, которое достигает своего пика на вторые сутки. Для терапии использовали следующую схему введения C12R19: внутрибрюшинное введение препарата через 1 ч после индукции рабдомиолиза и далее трижды через каждые 12 ч в дозе 100 нмоль/кг на одну инъекцию. Таким образом, суммарно животное получало 400 нмоль/кг C12R19. На фигуре 6 продемонстрирован результат при лечении C12R19 по указанной схеме: через 48 ч после введения глицерина наблюдалось снижение уровня креатинина в крови по сравнению с рабдомиолизом без лечения.

[171]

6) Влияние предобработки SkQR1 на размер пораженной зоны мозга и неврологический дефицит ишемизированных крыс

[172]

Ишемию головного мозга крысы вызывали введением покрытой силиконом нейлоновой нити в среднюю мозговую артерию. Перекрытие кровотока сохранялось в течение 60 мин, после чего нить извлекали из сосуда, восстанавливая кровоснабжение в бассейне средней мозговой артерии. Во время и после операции температура тела животного поддерживалась на уровне 37°C. Ложнооперируемые животные подвергались тем же процедурам, за исключением перерезания сосудов и введения нити. Объем инфаркта головного мозга определяли на первые сутки для изучения нейропротекторного действия препаратов. Эта оценка проводилась морфометрическим анализом цифровых изображений, полученных методом магнитно-резонансной томографии (МРТ). Все МРТ эксперименты были выполнены на приборе BioSpec 70/30 (Bruker, Германия) с индукцией магнитного поля 7 Тл и градиентной системой 105 мТл/м. Поведенческие тесты проводили за 1 сут до начала операции и на первые сутки после индукции ишемии. Для оценки неврологических нарушений, вызванных перекрытием средней мозговой артерии, использовали 14-балльную шкалу (De Ryck M., Van Reempts J., Borgers M., Wauquier A, Janssen PA. Photochemical stroke model: flunarizine prevents sensorimotor deficits after neocortical infarcts in rats. Stroke 1989; 20; 1383-1390).

[173]

Итоговый балл в ней формируется как сумма баллов в 7 тестах, оценивающих ответ задних и передних конечностей на тактильную и проприоцептивную стимуляцию, наличия определенных рефлексов. Для оценки нарушений в работе конечностей использовали следующую систему подсчета: 2 балла - крыса полностью выполняла испытание, 1 балл - крыса выполняла испытание с задержкой более 2 с и/или не полностью, 0 баллов - крыса не отвечала на стимулирование конечности.

[174]

C12R19 вводили крысам внутрибрюшинно за 24 ч до индукции ишемии в дозе 100 нмоль/кг.

[175]

Через 1 сутки после операции у крыс определяли неврологический дефицит в тесте «Стимулирования конечностей» и проводили магнитно-резонансное исследование головного мозга. Морфометрический анализ ишемической области по магнитно-резонансным Т2-взвешенным изображениям показал, что введение C12R19 вызывало снижение объема ишемического повреждения до 80,4±11,5% по сравнению с животными, получавших физиологический раствор 100±8,6%. Также происходило статистически значимое снижение выраженности неврологического дефицита у крыс, получавших C12R19, которые набирали 5,3±1,1 балла по сравнению с контрольными крысами 2,0±0,2 балла (p<0,01) (Фигура 7).

Как компенсировать расходы
на инновационную разработку
Похожие патенты