патент
№ RU 2548660
МПК H04B7/00

ПРИЕМНОЕ УСТРОЙСТВО ШИРОКОПОЛОСНЫХ СИГНАЛОВ

Авторы:
Чупеев Сергей Александрович
Номер заявки
2013125624/07
Дата подачи заявки
03.06.2013
Опубликовано
20.04.2015
Страна
RU
Как управлять
интеллектуальной собственностью
Чертежи 
8
Реферат

Изобретение относится к области приема широкополосных сигналов при воздействии сосредоточенных помех в полосе приема. Техническим результатом является минимизация искажения корреляционной функции принимаемого сигнала после прохождения сигнала через адаптивный фильтр при сохранении принципа согласованной фильтрации. Для этого устройство содержит n полосовых фильтров первой группы (1-1), блок вычисления весовых коэффициентов (2), n умножителей первой группы (3-3), два сумматора (4, 14), согласованный фильтр ШПС сигнала (5), вычислитель рангового вектора (6), два блока спектральных перестановок первого типа (7, 12), n источников опорного напряжения (8-8), n умножителей второй группы (9-9), два блока спектральных перестановок второго типа (10, 13), n полосовых фильтров второй группы (11-11). 9 ил.

Формула изобретения

Приемное устройство широкополосных сигналов, содержащее n полосовых фильтров первой группы, входы которых объединены в первый вход устройства для подачи принимаемого сигнала, а выходы n полосовых фильтров первой группы соединены с первыми входами соответствующих n умножителей первой группы и, кроме того, с соответствующими n входами блока вычисления весовых коэффициентов, n выходов которого соединены со вторыми входами соответствующих n умножителей первой группы; первый сумматор, выход которого соединен с первым входом согласованного фильтра широкополосного (ШПС) сигнала, выход которого является выходом устройства, отличающееся тем, что введены n полосовых фильтров второй группы, n умножителей второй группы, n источников опорного напряжения, два блока спектральных перестановок, осуществляющих спектральные перестановки сигнала по закону, задаваемому на их входах (СС3); два блока спектральных перестановок, осуществляющих спектральные перестановки сигнала, обеспечивающие спектральное преобразование равномерно спадающего спектра сигнала в симметричный и монотонно убывающий в обе стороны от центральной частоты спектр сигнала (ССП); блок вычисления рангового вектора и второй сумматор, при этом выходы n умножителей первой группы соединены соответственно с n входами первого блока СС3, n выходов которого соединены соответственно с n входами первого блока ССП, n выходов которого соединены соответственно с n входами первого сумматора; входы n полосовых фильтров второй группы объединены во второй вход устройства для подачи копии сигнала, а выходы n полосовых фильтров второй группы соединены соответственно с n входами второго блока СС3, n выходов которого соединены соответственно с n входами второго блока ССП, n выходов которого соединены соответственно с n входами второго сумматора, выход которого соединен со вторым входом оптимального фильтра ШПС сигнала; выходы n источников опорного напряжения соединены соответственно с первыми входами n умножителей второй группы, вторые входы которых соединены соответственно с n выходами блока вычисления весовых коэффициентов, а выходы n умножителей второй группы соединены соответственно с n входами блока вычисления рангового вектора, выход которого соединен с (n+1)-ми входами первого и второго блоков СС3.

Описание

[1]

Изобретение относится к области приема широкополосных (шумоподобных) сигналов при воздействии сосредоточенных помех в полосе приема.

[2]

При приеме шумоподобного сигнала для обеспечения устойчивого приема на фоне узкополосных помех, находящихся в спектре принимаемого сигнала, в структуре широкополосного (ШПС) приемника используют адаптивные фильтры, например «Помехозащищенность системы радиосвязи с расширением спектра сигналов модуляцией несущей псевдослучайной последовательностью», под. ред. В.И. Борисова. М.: Радио и связь, 2003, 640 с. В качестве адаптивного фильтра может применяться такое устройство как блок защиты от сосредоточенных помех (БЗ), например, в работе Бокка О.Ф., Гармонова А.В. «Влияние блока защиты на выходной сигнал оптимального фильтра», ч.1. - Техника средств связи, сер. ТРС, М., 1979, вып.4 на стр.69. Однако при воздействии сосредоточенных помех на адаптивный фильтр ШПС приемника как нежелательное побочное действие происходит искажение корреляционной функции принимаемого сигнала. Это явление детально исследовано в работах Бокк О.Ф., Гармонов А.В. «Влияние блока защиты на выходной сигнал оптимального фильтра», ч. 1. - Техника средств связи, сер. ТРС, М., 1979, вып.4, с.55-66. и Бокк О.Ф., Гармонов А.В. «Влияние блока защиты на выходной сигнал оптимального фильтра», ч. 2. - Техника средств связи, сер. ТРС, М., 1979. вып.7, с.55-65. Искажение корреляционной функции ШПС сигнала выражается как появление дополнительных мод в корреляционной функции. Как показано в вышеприведенных работах, временная зона возникновения дополнительных мод корреляционной функции ШПС сигнала, прошедшего через блок защиты, ограничена длинной импульсной характеристикой фильтров блока защиты и является достаточно большой величиной относительно основного пика корреляционной функции. Это явление приводит к межсимвольной интерференции между сигналами и, как следствие, ухудшению работы системы при кодовом делении группы принимаемых ШПС сигналов, образованных циклическим сдвигом одной и той же последовательности, на различные интервалы времени. Также при поиске сигнала наличие дополнительных мод в корреляционной функции приводит к ложному обнаружению сигнала. Сущность данного изобретения сводится к уменьшению искажения корреляционной функции ШПС сигнала в условиях воздействия сосредоточенных помех, при сохранении принципов согласованной фильтрации принимаемого сигнала, с небольшим расширением основного лепестка корреляционной функции принимаемого ШПС сигнала.

[3]

Известны аналогичные устройства приема ШПС сигнала, имеющие в своем составе блоки защиты от сосредоточенных помех, например Щукин Н.И. «Устранение влияния блока защиты на выходной сигнал оптимального фильтра» Теория и техника радиосвязи Выпуск 1, 1995 г., с.102-110. Предложенное в данной работе устройство использует метод режектирования спектра сигнала перед оптимальной фильтрацией. Недостатком данного устройства является возможность работы блока защиты в только режиме режекции сосредоточенных помех и невозможность работы при плавном регулировании коэффициентов передачи блока защиты. Также при воздействии на приемник ШПС сигнала помех с несимметричным спектром, производится процедура сжатия спектра ШПС сигнала. В результате, после обработки подобным устройством принимаемого ШПС сигнала, спектр сигнала, поступающего на согласованный фильтр, останется несимметричным, что приводит к искажениям корреляционной функции, описанным в работе Бокка О.Ф. «Анализ искажений корреляционной функции сложного сигнала при несимметричных искажениях его спектра». Техника средств связи. Техника радиосвязи, Выпуск 4, 1981 г., с.43-52.

[4]

Кроме того, известны аналогичные устройства приема ШПС сигнала, основанные на адаптивных цифровых фильтрах, например, в работе «Помехозащищенность системы радиосвязи с расширением спектра сигналов модуляцией несущей псевдослучайной последовательностью», под. ред. В.И. Борисова, М., Радио и связь, 2003, 640 с., на странице 197. Это устройство, как и выше рассмотренное, позволяет эффективно бороться с сосредоточенными помехами, однако, как недостаток следует отметить наличие деформации корреляционной функции шумоподобного сигнала при работе адаптивного цифрового фильтра.

[5]

За прототип принято наиболее близкое к заявляемому приемное устройство, описанное в работе «Помехозащищенность системы радиосвязи с расширением спектра сигналов модуляцией несущей псевдослучайной последовательностью», под. ред. В.И. Борисова, М., Радио и связь, 2003, 640 с. на странице 69 рис.1.20.

[6]

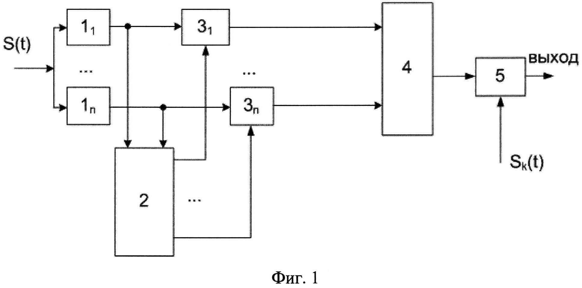
Функциональная схема прототипа приведена на фиг.1, где обозначено:

[7]

11…1n - n полосовых фильтров;

[8]

2 - блок вычисления весовых коэффициентов;

[9]

31…3n - n-умножителей;

[10]

4 - сумматор;

[11]

5 - согласованный фильтр ШПС сигнала.

[12]

Устройство-прототип содержит полосовые фильтры 11-1n, выходы которых соединены с первыми входами соответствующих умножителей 31-3n и, одновременно, с соответствующими n входами блока вычисления весовых коэффициентов (коэффициентов передачи) 2, выходы которого соединены со вторыми входами соответствующих умножителей 31-3n, выходы которых соединены с соответствующими входами сумматора 4, выход которого соединен с первым входом согласованный фильтра ШПС сигнала 5, выход которого является выходом устройства.

[13]

Устройство-прототип работает следующим образом. Смесь ШПС сигнала и шума S(t) подается на полосовые фильтры 11-1n, имеющие равную полосу пропускания и примерно прямоугольную амплитудно-частотную характеристику каждого фильтра. С выхода каждого фильтра сигнал подается на блок вычисления весовых коэффициентов 2, в котором вычисляется вектор весовых коэффициентов:

[14]

[15]

где Gn(ωi)¯ - усредненное значение спектральной плотности мощности помех Gni) в полосе частот i-го полосового фильтра;

[16]

ωi - центральная частота пропускания i-го полосового фильтра;

[17]

i=1…n.

[18]

Далее с n-выхода блока вычисления весовых коэффициентов 2 сигнал подается на второй вход соответствующего умножителя 31-3n, на первый вход которого подается сигнал с выхода соответствующего полосового фильтра 11-1n. В результате получаются n сигналов, неперекрывающихся по спектру, каждый из которых взвешен обратно пропорционально мощности помех, попадающих в полосу соответствующего полосового фильтра. Далее с выходов умножителей 31-3n сигналы поступают на соответствующие входы сумматора 4, где осуществляется сложение взвешенных компонентов сигнала. Таким образом, на выходе сумматора 4 получаем смесь ШПС сигнала, имеющего спектр, обратно пропорциональный мощности сосредоточенных помех и аддитивного шума. С выхода сумматора 4 сигнал поступает на согласованный фильтр 5, на второй вход которого подается копия принимаемого сигнала Sk(t), которая является зеркальным отображением копии сигнала во временной области. С выхода согласованного фильтра 5, ШПС сигнал подается на выход устройства.

[19]

Как недостаток прототипа следует отметить, что при работе такого устройства, в случае воздействия мощных сосредоточенных помех, будут происходить искажения корреляционной функции принимаемого ШПС сигнала. Искаженную корреляционную функцию ШПС сигнала можно в соответствии с работой Бокк О.Ф., Гармонов А.В. «Влияние блока защиты на выходной сигнал оптимального фильтра», ч. 1. - Техника средств связи, сер. ТРС, М., 1979, вып.4, с.55-66, описать следующим образом:

[20]

B(τ)=g(τ)k=0NAiejωiτ,(2)

[21]

где В(τ) - получаемая корреляционная функция;

[22]

Ai - уровень спектральной составляющей на выходе i-й частоты БЗ;

[23]

g(τ) - огибающая импульсной характеристики фильтра БЗ.

[24]

При воздействии мощных сосредоточенных помех рассмотренное выше устройство-прототип работает так же. как и устройства, построенные на основе режекции узкополосных помех, поскольку весовые коэффициенты, рассчитанные по формуле (1), принимают значения, близкие к нулю. В работе Бокк О.Ф., Гармонов А.В. «Влияние блока защиты на выходной сигнал оптимального фильтра», ч. 2. - Техника средств связи, сер. ТРС, М., 1979. вып.7, с.55-65, исследуются именно такие случаи искажения корреляционной функции ШПС сигнала. При воздействии мощных сосредоточенных помех работа блоков 31-3n эквивалентна работе управляемых ключей, и при определенных комбинациях отключения линеек блока защиты искажения корреляционной функции принимаемого ШПС сигнала приобретают значительные искажения. Наиболее сильные искажения корреляционной функции возникают при чередовании отключенных и не отключенных линеек полосовых фильтров. Этот случай приведен на фиг.2. Характерной особенностью этого случая является возникновение больших и далеко отстроенных боковых лепестков корреляционной функции.

[25]

Рассчитанная по формуле (2), корреляционная функция ШПС сигнала для случая, когда линейки фильтров блока защиты включены через две. изображена на фиг.8. На графике видны несколько больших выбросов слева и справа от основного пика корреляционной функции, достигающие уровня 0,85. Подобные искажения корреляционной функции делают невозможным прием ШПС сигналов с кодовым делением частоты, в которых разделение происходит за счет сдвига последовательности по времени, а также затрудняют обнаружение принимаемого ШПС сигнала. В работе Бокк О.Ф., Гармонов А.В. «Влияние блока защиты на выходной сигнал оптимального фильтра», ч. 2. - Техника средств связи, сер.ТPC, М., 1979, вып.7, с.55-65, показано, что все выбросы корреляционной функции ограничены огибающей импульсной характеристики блока защиты от сосредоточенных помех, следовательно, при количестве линеек в блоке защиты n следует ожидать более чем в n раз увеличение зоны расположения дополнительных мод в корреляционной функции. Во столько же раз уменьшится емкость системы с кодовым делением сигналов за счет сдвига последовательности относительно друг друга. Для n=20 емкость системы с кодовым делением может уменьшиться в 40 и более раз. Это и является недостатком прототипа.

[26]

В заявляемом изобретении решается задача создания оптимального приемного устройства приема ШПС при воздействии сосредоточенных по спектру помех с одномодовой корреляционной функцией.

[27]

Достигаемый технический результат - минимизация искажения корреляционной функции принимаемого сигнала после прохождения сигнала через адаптивный фильтр, при сохранении принципа согласованной фильтрации.

[28]

Для решения поставленной задачи в известное устройство, содержащее n полосовых фильтров первой группы, входы которых объединены в первый вход устройства для подачи принимаемого сигнала, а выходы n полосовых фильтров первой группы соединены с первыми входами соответствующих n умножителей первой группы и, кроме того, с соответствующими n входами блока вычисления весовых коэффициентов, n выходов которого соединены со вторыми входами соответствующих n умножителей первой группы; первый сумматор, выход которого соединен с первым входом согласованного фильтра широкополосного (ШПС) сигнала, выход которого является выходом устройства, согласно изобретению введены n полосовых фильтров второй группы, n умножителей второй группы, n источников опорного напряжения, два блока спектральных перестановок первого типа, два блока спектральных перестановок второго типа, блок вычисления рангового вектора и второй сумматор, при этом выходы n умножителей первой группы соединены соответственно с n входами первого блока спектральных перестановок первого типа, n выходов которого соединены соответственно с n входами первого блока спектральных перестановок второго типа, n выходов которого соединены соответственно с n входами первого сумматора; входы n полосовых фильтров второй группы объединены во второй вход устройства для подачи копии сигнала, а выходы n полосовых фильтров второй группы соединены соответственно с n входами второго блока спектральных перестановок первого типа, n выходов которого соединены соответственно с n входами второго блока спектральных перестановок второго типа, n выходов которого соединены соответственно с n входами второго сумматора, выход которого соединен со вторым входом оптимального фильтра ШПС сигнала; выходы n источников опорного напряжения соединены соответственно с первыми входами n умножителей второй группы, вторые входы которых соединены соответственно с n выходами блока вычисления весовых коэффициентов, а выходы n умножителей второй группы соединены соответственно с n входами блока вычисления рангового вектора, выход которого соединен с (n+1)-ми входами первого и второго блоков спектральных перестановок первого типа.

[29]

Функциональная схема заявляемого устройства приведена на фиг.3, где обозначено:

[30]

11…1n - n полосовых фильтров первой группы;

[31]

2 - блок вычисления весовых коэффициентов;

[32]

31…3n - n умножителей первой группы;

[33]

4, 14 - первый и второй сумматоры;

[34]

5 - согласованный фильтр ШПС сигнала:

[35]

6 - вычислитель рангового вектора;

[36]

7, 12 - первый и второй блоки спектральных перестановок первого типа:

[37]

81…8n - n источников опорного напряжения;

[38]

91…9n - n умножителей второй группы;

[39]

10, 13 - первый и второй блоки спектральных перестановок второго типа:

[40]

111…11n - n полосовых фильтров второй группы.

[41]

Заявляемое устройство содержит n полосовых фильтров первой группы 11-1n, входы которых объединены в первый вход устройства для подачи принимаемого сигнала S(t), а выходы n полосовых фильтров первой группы 11-1n соединены с первыми входами n соответствующих умножителей первой группы 31-3n и, кроме того, с соответствующими n входами блока вычисления весовых коэффициентов 2, n выходов которого соединены со вторыми входами соответствующих n умножителей первой группы 31…3n, а также со вторыми входами соответствующих n умножителей второй группы 91…9n.

[42]

Выходы и умножителей первой группы 31-3n соединены соответственно с n входами первого блока спектральных перестановок первого типа 7, n выходов которого соединены соответственно с n входами первого блока спектральных перестановок второго типа 10, n выходов которого соединены соответственно с n входами первого сумматора 4, выход которого соединен с первым входом согласованного фильтра ШПС сигнала 5.

[43]

Также, заявляемое устройство содержит n полосовых фильтров второй группы 111-11n, входы которых объединены во второй вход устройства для подачи копии сигнала Sk(t) от местного генератора, а выходы n полосовых фильтров второй группы 111-11n соединены с соответствующими n входами второго блока спектральных перестановок первого типа 12, n выходов которого соединены соответственно с n входами второго блока спектральных перестановок второго типа 13 и выходов которого соединены соответственно с n входами второго сумматора 14, выход которого соединен со вторым входом оптимального фильтра ШПС сигнала 5, выход которого является выходом устройства.

[44]

Кроме того, устройство содержит n источников опорного напряжения 81-8n, выходы которых соединены с первыми входами n соответствующих умножителей второго типа 91-9n, выходы которых соединены соответственно с n входами вычислителя рангового вектора 6, выход которого соединен с (n+1)-ми входами первого 7 и второго 12 блоков спектральных перестановок первого типа.

[45]

Заявляемое устройство работает следующим образом.

[46]

Как и в классическом приемнике ШПС сигнала (см. Помехозащищенность систем радиосвязи с расширением спектра сигналов модуляцией несущей псевдослучайной последовательностью // В.И. Борисов [и др.]; под ред. В.И. Борисова. - М.: Радио и связь, 2003. - 640 с), принимаемый сигнал S(t) поступает на входы элементарных фильтров 11-1n, представляющих собой полосовые фильтры с примерно прямоугольной амплитудно-частотной характеристикой, с одинаковой полосой пропускания, отличающиеся центральными частотами и примыкающие друг к другу по частоте, примененные для обеспечения возможности защиты от узкополосных помех. Сигнал с выходов фильтров 11…1n поступает на блок вычисления весовых коэффициентов 2, в котором по формуле (1) вычисляются коэффициенты весового вектора.

[47]

Далее, с выхода блока 2 сигнал подается на вторые входы умножителей 31…3n, на первые входы которых подаются сигналы с выхода соответствующих полосовых фильтров 11…1n. В результате чего получаются n сигналов, неперекрывающихся по спектру, каждый из которых взвешен обратно пропорционально мощности помех, попадающих в полосу соответствующего полосового фильтра.

[48]

Для устранения искажений корреляционной функции принимаемого ШПС сигнала, в устройство дополнительно вводятся блоки опорных напряжений 81…8n, описывающих форму спектральной плотности ШПС сигнала. Форма спектральной плотности принимаемого ШПС сигнала известна заранее. Обычно, для ШПС сигнала, получаемого расширением спектра сигналов модуляцией несущей псевдослучайной последовательностью, спектральную плотность мощности можно описать функцией (sin(x)/x)2.

[49]

Далее, производится умножение в блоках 91…9n сигналов опорных напряжений 81…8n на коэффициенты весового вектора, получаемые на выходах блока 2. Результатом умножения является вектор, который описывает взвешенную спектральную плотность ШПС сигнала.

[50]

Далее, в блоке 6 вычисляются ранги этого вектора, то есть, каждый элемент вектора заменяется его рангом или местом этого элемента в вариационном ряду. Ранговый вектор далее используется для осуществления спектральных перестановок в блоке спектральных перестановок первого типа 7. Фактически, в ранговом векторе содержится информация о том, на какие места необходимо переставить по частоте сигналы с выходов умножителей, чтобы в итоге получить спектр, равномерно убывающий от наименьшей частоты к наибольшей. Но такой спектр является несимметричным, и корреляционная функция такого сигнала также будет иметь искажения, описанные в работе Бокка О.Ф. «Анализ искажений корреляционной функции сложного сигнала при несимметричных искажениях его спектра». Техника средств связи. Техника радиосвязи. Выпуск 4, 1981, с.43-52.

[51]

Для придания спектру принимаемого ШПС сигнала симметрии введен первый блок спектральных перестановок второго типа 10. Этот блок осуществляет спектральные перестановки сигнала следующим образом. Все сигналы, соответствующие четным линейкам блока защиты, переносятся по спектру последовательно от центральной частоты и выше, а все сигналы, соответствующие нечетным линейкам блока защиты, переносятся в обратном порядке по спектру, последовательно от центральной частоты и ниже. Таким образом, после осуществления спектральных перестановок в блоке перестановок второго типа 10, спектр сигнала будет почти симметричным и равномерно спадать в обе стороны от центральной частоты.

[52]

Для сохранения принципа согласованной фильтрации над копией ШПС сигнала Sk(t) производятся те же самые операции спектральных перестановок, что и над сигналом. А именно, в блоках 111-11n выполненных для искажения копии сигнала по аналогии с принимаемым сигналом, осуществляется расфильтровка сигналов на n частотных полос фильтрами с передаточными характеристиками, идентичными передаточным характеристикам полосовых фильтров 11-1n, используемых для основного канала приема.

[53]

Далее осуществляются спектральные перестановки копии ШПС сигнала в блоках спектральных перестановок 12 и 13 аналогично, как и для принимаемого ШПС сигнала. После спектральных перестановок принимаемый ШПС сигнал и его копия поступают на входы соответствующих сумматоров 4 и 14, где складываются сигналы, соответствующие различным полосовым фильтрам. В результате чего получаем взвешенный и спектрально переставленный входной ШПС сигнал и аналогичным образом спектрально переставленную копию сигнала.

[54]

Далее ШПС сигнал и его копия поступают соответственно на первый и второй входы блока 5, где осуществляется согласованная фильтрация принимаемого сигнала.

[55]

В результате работы данного устройства спектральная плотность сигнала, поступающего на вход согласованного фильтра 5, всегда будет почти симметричной и строго убывающей при изменении частоты вверх или вниз относительно центральной.

[56]

Схематично рассматриваемая процедура спектральных перестановок сигнала, выполняемая в блоках 7 и 10, изображена на фиг.9.

[57]

По оси абсцисс отложена частота ω, по оси ординат - относительный уровень взвешенной спектральной составляющей U(ω). Исходный взвешенный спектр представлен на верхнем графике фиг.9. Для упрощения пояснений приведен спектр, состоящий из пяти спектральных составляющих. Здесь по оси абсцисс подписаны в порядке возрастания условные номера спектральных составляющих. После процедуры сортировки спектральных составляющих по уровню получен спектр, изображенный на среднем графике фиг.9. Здесь, также, по оси абсцисс подписаны условные номера спектральных составляющих. Далее, переставляя спектральные составляющие, как было описано выше, получим почти симметричный и монотонно убывающий в обе стороны от центральной частоты спектр, изображенный в нижней части фиг.9. Аналогичным образом, по оси абсцисс подписаны номера исходных спектральных составляющих. Следует также отметить, что при увеличении количества спектральных составляющих (линеек блока защиты) до бесконечности асимметрия спектра после спектральных перестановок стремится к нулю.

[58]

Реализация блоков 11…1n, 2, 31…3n, 4, 5 в заявляемом устройстве приема ШПС сигнала аналогична блокам прототипа.

[59]

Реализация блока 14 аналогична реализации блока 4 изделия прототипа.

[60]

Реализация блока 6, осуществляющего вычисление рангового вектора, известна и описана в работе Левин Б.Р. «Теоретические основы статистической радиотехники» книга 3. М.: Советское радио 1976 г., с.71.

[61]

Блоки 7, 12 спектральных перестановок первого типа, а также блоки 10, 13 спектральных перестановок второго типа осуществляют преобразование по частоте n входных полосовых сигналов по заранее заданному закону преобразования. Перенос спектра полосового сигнала с заранее известной частоты входного сигнала fвх на выходную частоту fвых.

[62]

Частота входного сигнала:

[63]

fвх=f1+i·Δf,

[64]

где f1 - центральная частота 1-го полосового фильтра

[65]

i - номер линейки блока защиты;

[66]

Δf - полоса частот пропускания полосового фильтра.

[67]

Аналогично, значение выходной частоты полосового фильтра определяется:

[68]

fвых=f1+i·Δf,

[69]

где f1 - центральная частота 1-го полосового фильтра линейки блока защиты;

[70]

j - номер частоты выходного сигнала:

[71]

Δf - полоса частот пропускания полосового фильтра.

[72]

Выполнения преобразования по частоте может быть реализовано по схеме Уивера, описанной в работе: Применение цифровой обработки сигналов. Под ред. Э. Оппенгейма. - М.: Мир, 1980. - 552 с.: ил. с. 17. При этом при сносе в ноль в генераторах задается частота fвх соответствующей линейки БЗ, а при восстановлении - частота fвых.

[73]

Реализация источников опорного напряжения 81-8n известна и описана в книге «Искусство схемотехники» издание 5-е переработанное, авторов Пауль Хоровиц и Уинфилд Хилл. М.: Мир, 1998 г., с.349.

[74]

Реализация умножителей 91…9n аналогична реализации умножителей 31…3n прототипа. Работа одного умножителя описана в монографии: Пауль Хоровиц и Уинфилд Хилл «Искусство схемотехники» в 2-х томах. Том 1. М.: Мир, 1986 г., с.388.

[75]

Реализация блоков перестановок 10, 13 также может быть выполнена по схеме Уивера, которая описана в работе: Применение цифровой обработки сигналов. Под ред. Э. Оппенгейма. - М.: Мир, 1980. - 552 с.: ил., с.17, и отличается от работы блоков 7, 12 тем, что спектральные перестановки всегда осуществляются по заранее известному закону перестановок.

[76]

Для доказательства эффективности работы заявляемого устройства рассмотрим более детально работу заявляемого устройства.

[77]

Как известно из И.С. Гоноровский «Радиотехнические цепи и сигналы». М.: Радио и связь, 1986 г., 512 с., что корреляционная функция сигнала определяется как обратное преобразование Фурье от энергетического спектра сигнала. Это также означает, что фазовая составляющая спектра не влияет на форму корреляционной функции сигнала, поскольку операция согласованной фильтрации в частотной области эквивалентна умножению спектра сигнала на функцию, комплексно сопряженную с сигналом. Результатом умножения будет действительный спектр. Более того, в спектральной области, не нарушая принципа согласованной фильтрации, можно осуществить спектральные перестановки сигнала по определенному закону и провести такие же перестановки с комплексно сопряженной копией. В результате также получим действительный спектр, но корреляционная функция, получаемая обратным преобразованием Фурье, будет другая. Для минимизации нежелательных выбросов корреляционной функции необходимо осуществить такие спектральные перестановки спектра принимаемого сигнала и его копии, чтобы спектр был как можно более симметричным и монотонно убывал относительно центральной частоты спектра в область низких и высоких частот. Именно такой подход заложен в заявляемое устройство.

[78]

Покажем работу заявляемого устройства на примере.

[79]

Предположим, что на вход приемника ШПС сигналов действует сам ШПС сигнал и сосредоточенные помехи.

[80]

Спектр сосредоточенных помех приведен на фиг.4. По оси абсцисс отложены номера фильтров блоков защиты, по оси ординат - относительные уровни сосредоточенных помех, поступающих на вход приемника ШПС сигналов, попадающих в соответствующие линейки блока защиты. При этом мощность сосредоточенных помех существенно превышает мощность аддитивного гауссова шума, поступающего на вход приемника. Заметим, что спектр помех является несимметричным.

[81]

На фиг.5 приведен спектр входного ШПС сигнала.

[82]

В результате работы блоков 11…1n, 2, 31…3n получаем спектр ШПС сигнала, приведенный на фиг.6. По формуле (1) получаем сигнал как произведение вектора весовых коэффициентов, вычисляемых исходя из входного спектра помех, на спектр входного ШПС сигнала.

[83]

Спектр ШПС сигнала после спектральных перестановок, выполненного блоками спектральных перестановок 7 и 10, показан на фиг.7. Характерной особенностью спектра является то, что он является симметричной равномерно спадающей функцией в обе стороны относительно центральной частоты. Поскольку копия сигнала подвергается точно таким же спектральным перестановкам, то далее блоком 5 будет осуществляться именно согласованная фильтрация принимаемого ШПС сигнала.

[84]

Рассчитанная корреляционная функция для данного случая показана на фиг.2 пунктирной линией. Как видно из чертежа, больших боковых пиков корреляционной функции нет, но имеется некоторое расширение основного лепестка корреляционной функции. Это объясняется уменьшением базы сигнала в блоке защиты от сосредоточенных помех при уменьшении коэффициента передачи в линейках, пораженных сосредоточенными помехами.

[85]

Таким образом, при поражении половины спектра ШПС сигнала сосредоточенными помехами ширина корреляционной функции увеличивается примерно в 2 раза, а дополнительные моды корреляционной функции будут практически устранены.

Как компенсировать расходы
на инновационную разработку
Похожие патенты