патент
№ RU 2542420
МПК A61K31/66

ЛЕКАРСТВЕННОЕ СРЕДСТВО НА ОСНОВЕ ПОЛИПРЕНИЛФОСФАТОВ И БЕТА-СИТОСТЕРИНА И СПОСОБ ЕГО ПОЛУЧЕНИЯ

Авторы:
Старикова Мария Валентиновна Пронин Александр Васильевич Санин Александр Владимирович
Все (6)
Номер заявки
2014109680/15
Дата подачи заявки
13.03.2014
Опубликовано
20.02.2015
Страна
RU
Как управлять
интеллектуальной собственностью
Чертежи 
7
Реферат

Изобретение относится к фармацевтической промышленности и представляет собой способ получения лекарственного средства на основе полипренилфосфатов и бета-ситостерина, заключающийся в предварительном смешивании полипренилфосфатов и сорбита в ступке, размер которой соответствует суммарному объему смешиваемых веществ, при этом между стенкой и/или дном ступки и вводимыми полипренилфосфатами находится слой сорбита, полученную при смешивании смесь полипренилфосфатов в сорбите гомогенизируют, при этом в гомогенизатор добавляют сорбит, сухую смесь полипренилфосфатов в сорбите в соотношении 1:8 и бета-ситостерин, и гомогенизация производится в течение 10 минут в импульсном режиме, причем гомогенизацию осуществляют при скорости вращения 500-700 об/мин в течение 4 минут, 1000-1200 об/мин в течение 2 минут и затем со скоростью 500-600 об/мин в течение 4 минут, при этом при изменении скорости вращения делают перерыв 20 минут, причем после каждой остановки процесса производится интенсивное встряхивание чаши со смесью, после чего полученный порошок просеивают через сито с размером ячейки 20 мкм и, если масса отсева составляет менее 0,1% от массы загруженных ингредиентов, процесс гомогенизации заканчивают. Изобретение обеспечивает получение лекарственного средства с максимально эффективной концентрацией активных веществ, равномерно распределенных по всей массе, и повышенной биодоступностью. 2 н. и 1 з.п. ф-лы, 2 пр., 1 табл., 7 ил.

Формула изобретения

1. Способ получения лекарственного средства на основе полипренилфосфатов и бета-ситостерина, заключающийся в предварительном смешивании полипренилфосфатов и сорбита в ступке, размер которой соответствует суммарному объему смешиваемых веществ, при этом между стенкой и/или дном ступки и вводимыми полипренилфосфатами находится слой сорбита, полученную при смешивании смесь полипренилфосфатов в сорбите гомогенизируют, при этом в гомогенизатор добавляют сорбит, сухую смесь полипренилфосфатов в сорбите в соотношении 1:8 и бета-ситостерин, и гомогенизация производится в течение 10 минут в импульсном режиме, причем гомогенизацию осуществляют при скорости вращения 500-700 об/мин в течение 4 минут, 1000-1200 об/мин в течение 2 минут и затем со скоростью 500-600 об/мин в течение 4 минут, при этом при изменении скорости вращения делают перерыв 20 минут, причем после каждой остановки процесса производится интенсивное встряхивание чаши со смесью, после чего полученный порошок просеивают через сито с размером ячейки 20 мкм и, если масса отсева составляет менее 0,1% от массы загруженных ингредиентов, процесс гомогенизации заканчивают.

2. Лекарственное средство на основе полипренилфосфатов и бета-ситостерина для лечения гиперлипидемии, полученное способом по п. 1.

3. Лекарственное средство по п. 2, отличающееся тем, что содержит 8 мг полипренилфосфатов и 10 мг бета-ситостерина.

Описание

[1]

Изобретение относится к лекарственным средствам и способам их получения. Лекарственное средство предназначено для профилактики и лечения заболеваний сердца и сосудов, а также дислипидемий.

[2]

Наиболее близким аналогом является биологически активная добавка (БАД) и способ ее получения (RU 2427284, опубл. 27.08.2011).

[3]

Однако концентрации активных компонентов в организме, получаемые при использовании указанной БАД, существенно ниже терапевтических. Кроме того, технология приготовления, описанная в патенте RU 2427284, не позволяет достичь равномерного распределения действующих веществ в таблетке. В результате эффективность применения БАД снижается, а выраженный терапевтический эффект может быть достигнут только при длительном применении средства.

[4]

Для смешивания активных фармацевтических субстанций и вспомогательных веществ (наполнителей), имеющих различные физико-химические свойства, применяются различные методы: предварительное растворение и нанесение на наполнитель, смешивание расплавленных АФИ и субстанции, карамелизация и др.

[5]

Анализ показывает, что ни один из перечисленных методов в нашем случае не подходит, т.к. существуют ограничения по растворимости и температуре разложения активной фармацевтической субстанции натрия полипренилфосфата и вспомогательного вещества (наполнителя) сорбита.

[6]

Предлагается сухое смешивание полипренилфосфатов и сорбита.

[7]

Техническим результатом является получение стабильной таблетированной формы с максимально эффективной концентрацией активных компонентов, равномерно распределенных по всей массе таблетки и повышенной биодоступностью ингредиентов.

[8]

Технический результат достигается способом получения лекарственного средства на основе полипренилфосфатов и бета-ситостерина, который отличается тем, что растирают полипренилфосфат и сорбит в ступке, размер которой соответствует суммарному объему смешиваемых веществ, до получения сухой смеси полипренилфосфата и сорбита, после чего осуществляют гомогенизацию сорбита, бета-ситостерина и сухой смеси полипренилфосфата и сорбита, при этом гомогенизация проводится в течение 10 минут в импульсном режиме.

[9]

Технологический процесс смешивания состоит из двух основных этапов

[10]

Предварительное смешивание осуществляют посредством растирания полипренилфосфатов в сорбите.

[11]

Гомогенизация полученной смеси полипренилфосфатов в сорбите с использованием гомогенизатора.

[12]

Предварительное смешивание полипренилфосфатов и сорбита производится в ступке, размер которой соответствует суммарному объему смешиваемых веществ.

[13]

Оптимальное соотношение для смешивания растиранием: 20 г сорбита на 10 г полипренилфосфатов.

[14]

Для подготовки процесса в ступку засыпают 20 г сорбита, размер гранул 80-120 меш. Полипренилфосфаты, общей массой 10 г, вводят небольшими частями 1-2 г. После каждого введения полипренилфосфаты растирают, смешивая с сорбитом до получения сухой смеси. Время растирания не должно быть слишком долгим, т.к. длительное растирание приводит к агрегации (слипанию) измельченных частиц.

[15]

Полипренилфосфаты при диспергировании могут спрессовываться и прилипать к стенкам ступки, поэтому надо обращать внимание на то, чтобы между стенкой или дном ступки и вводимыми полипренилфосфатами находился слой сорбита.

[16]

По мере образования комков полипренилфосфатов, которые при соединении с сорбитом теряют способность прилипать к стенкам ступки, добавляется 3-5 г сорбита и перемешивается для получения однородной смеси. Полученную смесь направляют на 2 стадию.

[17]

Гомогенизация полученной смеси полипренилфосфатов в сорбите с использованием гомогенизатора.

[18]

Полученную на 1 этапе смесь гомогенизируют с использованием универсального гомогенизатора для твердых образцов типа Universal Mixer GK.

[19]

Для этого в гомогенизатор засыпают расчетное количество сорбита (но не более 1 кг) и смесь полипренилфосфатов в сорбите. Оптимальное соотношение полипренилфосфат: сорбит -1:8 (сорбит, введенный на 1 этапе, учитывается).

[20]

Загрузка ингредиентов в гомогенизатор производится в следующем порядке:

[21]

1-й слой - сорбит, 1/2 расчетного количества

[22]

2-й слой - смесь полипренолов и сорбита

[23]

3-й слой - сорбит, вторая половина расчетного количества.

[24]

Гомогенизация производится в течение 10 минут в импульсном режиме. После каждой остановки процесса - интенсивное встряхивание чаши со смесью.

[25]

Время и скорость вращения:

[26]

4 мин - 500-700 об/мин, перерыв 20 мин.

[27]

2 мин - 1000-1200 об/мин, перерыв 20 мин.

[28]

4 мин - 500-600 об/мин - окончание процесса.

[29]

Для проверки однородности смеси следует просеять полученный порошок через сито с размером ячейки 20 мкм. При появлении на поверхности сита отсева необходимо определить его вес и состав. Если вес отсева составляет менее 0,1% от массы загруженных ингредиентов, процесс гомогенизации заканчивается. Если вес отсева составляет более 0,2% от массы загруженных ингредиентов, а в отсеве просматриваются частицы полипренилфосфата, процесс гомогенизации продолжается на скорости вращения 1000-1200 об/мин в течение одной минуты. После этого производится повторное просеивание и определение веса отсева. Если отсев соответствует названным ранее условиям, процесс прекращается.

[30]

Визуальная оценка производится путем просматривания поверхности полученного порошка: невооруженным глазом на расстоянии 25 см не должно наблюдаться отдельных частиц, блесток или вкраплений желтого или желтоватого цвета.

[31]

При приготовлении смеси для получения таблетированной формы лекарственного средства на основе полипренилфосфатов и бета-ситостерина на этапе гомогенизации вместе с сорбитом добавляют также бета-ситостерин.

[32]

Оптимизированное соотношение активных фармацевтических субстанций (полипренилфосфатов и бета-ситостерина) и наполнителя (сорбита) для качественного прессования таблеток, исключения подлипания, разрушения формы таблетки массой 250 мг составляет 8 мг полипренилфосфатов и 10 мг бета-ситостерина. Снижение массы таблетки за счет уменьшения ввода сорбита не позволяет осуществлять прямое таблетирование таблетмассы. В то же время увеличение массы вводимых субстанций >10 мг для бета-ситостерина и, в особенности, >8 мг для полипренилфосфата приводит к разрушению формы таблетки и подлипанию.

[33]

Таким образом, предельное содержание полипренилфосфатов в одной таблетке составляет 8 мг, а бета-ситостерина - 10 мг.

[34]

Для определения оптимального содержания бета-ситостерина в препарате готовят 3 образца смеси, содержащих субстанцию бета-ситостерина (БСС) в количестве: 0,0 мг (контроль); 6,0 мг (образец 1) и 10,0 мг (образец 2) и наполнитель - сорбит.

[35]

У всех участвующих в опыте животных вызывают выраженную гиперлипидемию внутрибрюшинным введением полоксамера 407 в дозе 7,5 мг/мышь. Указанную дозу полоксамера вводят четырехкратно, через сутки, в утренние часы (с 10 до 11 часов утра). Для исследования влияния препаратов на уровень холестерина и триглицеридов в сыворотке крови гиперлипидемичных мышей формируют следующие группы экспериментальных животных (по 7 мышей в каждой группе):

[36]

1. Контрольная группа - мыши с гиперлипидемией, которым внутрижелудочно вводят 50 мг/мышь пищевого сорбита в 0,5 мл растворителя (среда RPMI-1640).

[37]

2. Опытная группа I - мыши с гиперлипидемией, которым внутрижелудочно вводят 50 мг/мышь образца №1 в 0,5 мл растворителя.

[38]

3. Опытная группа II - мыши с гиперлипидемией, которым внутрижелудочно вводят 50 мг/мышь образца №2 в 0,5 мл растворителя.

[39]

Все исследуемые препараты вводят ежедневно, начиная со следующего дня после первого введения полоксамера, в утренние часы, через желудочный зонд. Растворы и взвеси препаратов в растворителе готовят непосредственно перед введением животным.

[40]

Пробы крови берут у животных из хвостовых вен (мышам надрезают кончик хвоста и в пластиковый капилляр забирают 20-30 мкл крови), трехкратно, через день, при этом первую пробу забирают через сутки после второй инъекции полоксамера (то есть после двух введений исследуемого препарата).

[41]

Полученные данные представлены на фиг. 1. Образец №2, содержащий максимально возможную дозу БСС, достоверно снижает уровень холестерина.

[42]

Фиг. 1. Показывает влияние бета-ситостерина на уровень холестерина в сыворотке гиперлипидемичных мышей.

[43]

Специфические свойства полученной смеси можно проиллюстрировать следующими примерами.

[44]

Пример 1

[45]

Готовят 6 образцов лекарственной формы, содержащей по 10 мг БСС и разные дозы полипренилфосфатов (ППФ).

[46]

В таблице 1 приведены номера образцов и соответствующее им содержание БСС в лекарственном средстве.

[47]

Таблица 1. Образцы смеси и соответствующие им лекарственные формы.

[48]

[49]

У всех участвующих в опыте животных вызывают выраженную гиперлипидемию внутрибрюшинным введением полоксамера 407 в дозе 7,5 мг/мышь. Указанную дозу полоксамера вводят четырехкратно, через сутки, в утренние часы (с 10 до 11 часов утра). Для исследования влияния препаратов на уровень холестерина и триглицеридов в сыворотке крови гиперлипидемичных мышей формируют следующие группы экспериментальных животных (по 7 мышей в каждой группе):

[50]

1. Контрольная группа I - мыши с гиперлипидемией, которым внутрижелудочно вводят 50 мг/мышь образца №1 в 0,5 мл растворителя.

[51]

2. Опытная группа I - мыши с гиперлипидемией, которым внутрижелудочно вводят 50 мг/мышь образца №2 в 0,5 мл растворителя.

[52]

3. Опытная группа II - мыши с гиперлипидемией, которым внутрижелудочно вводят 50 мг/мышь образца №3 в 0,5 мл растворителя.

[53]

4. Опытная группа III - мыши с гиперлипидемией, которым внутрижелудочно вводят 50 мг/мышь образца №4 в 0,5 мл растворителя.

[54]

5. Опытная группа IV - мыши с гиперлипидемией, которым внутрижелудочно вводят 50 мг/мышь образца №5 в 0,5 мл растворителя.

[55]

6. Опытная группа V - мыши с гиперлипидемией, которым внутрижелудочно вводят 50 мг/мышь образца №6 в 0,5 мл растворителя.

[56]

Все исследуемые препараты вводят ежедневно, начиная со следующего дня после первого введения полоксамера, в утренние часы, через желудочный зонд. Растворы и взвеси препаратов в растворителе готовят непосредственно перед введением животным.

[57]

Пробы крови берут у животных из хвостовых вен (мышам надрезают кончик хвоста и в пластиковый капилляр забирают 20-30 мкл крови), трехкратно, через день, при этом первую пробу забирают через сутки после второй инъекции полоксамера (то есть после двух введений исследуемого препарата).

[58]

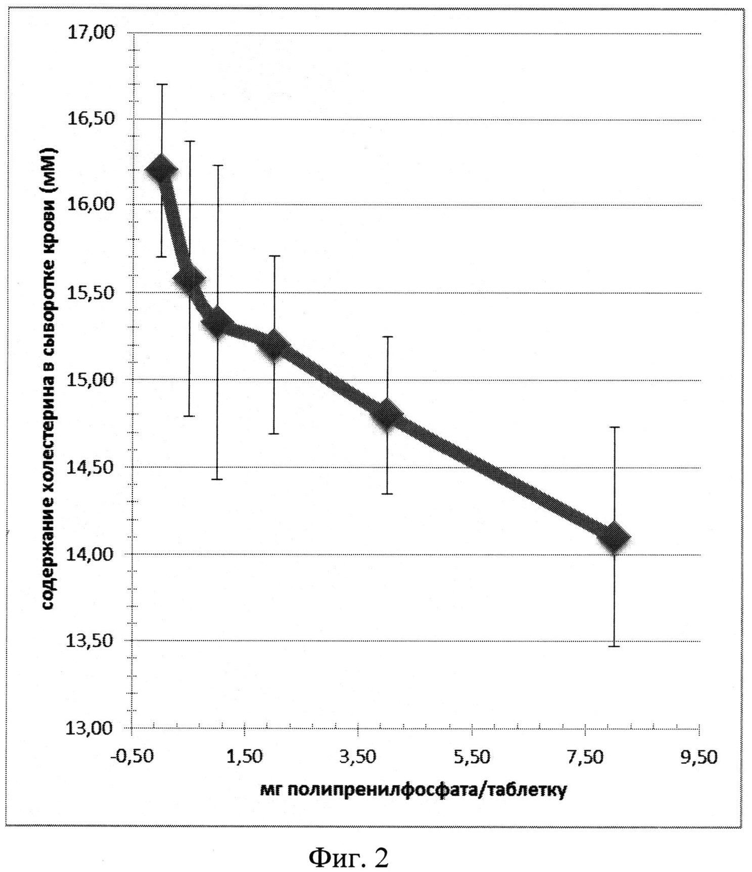
Полученные данные представлены на фиг. 2. Добавление ППФ дозозависимо усиливает действие БСС и приводит к дополнительному снижению уровня холестерина, причем максимальный эффект наблюдается при максимально возможном содержании ППФ в таблетке (8 мг).

[59]

Фиг. 2. Показывает влияние полипренилфосфата на содержание холестерина в сыворотке крови.

[60]

Таким образом, максимальный терапевтический эффект, определяемый по уровню снижения холестерина, достигается при предельном содержании полипренилфосфатов (8 мг), а бета-ситостерина (10 мг) в одной таблетке.

[61]

Пример 2.

[62]

На основе описанной выше смеси, содержащей 8 мг полипренилфосфатов и 10 мг бета-ситостерина, готовят таблетки массой 250 мг с сорбитом в качестве наполнителя - готовая лекарственная форма (ГЛФ).

[63]

У мышей гибридов первого поколения (C57Bl/6xDBA/2)F1 или мышей С57 В1/6 самок, в возрасте 2-х месяцев вызывают выраженную гиперлипидемию внутрибрюшинным введением полоксамера 407 в дозе 7,5 мг/мышь. Указанную дозу полоксамера вводят двух-четырехкратно, через сутки, в утренние часы (с 10 до 11 часов утра). Формируют следующие группы экспериментальных животных:

[64]

1. Контрольная группа I - мыши с гиперлипидемией, которым внутрижелудочно вводят растворитель (среду RPMI-1640 - 0,5 мл) - группа плацебо.

[65]

2. Контрольная группа II - мыши с гиперлипидемией.

[66]

3. Опытная группа III - мыши с гиперлипидемией, которым перорально вводят 0,2 мг/мышь полипренилфосфата натрия в 0,5 мл растворителя.(6,25 мг ГЛФ).

[67]

4. Опытная группа IV - мыши с гиперлипидемией, которым перорально вводят 0,8 мг/мышь полипренилфосфата натрия в 0,5 мл растворителя (25 мг ГЛФ).

[68]

5. Опытная группа V - мыши с гиперлипидемией, которым перорально вводят 1,6 мг/мышь полипренилфосфата натрия в 0,5 мл растворителя (50 мг ГЛФ).

[69]

6. Опытная группа VI - мыши с гиперлипидемией, которым перорально вводят 2,4 мг/мышь полипренилфосфата натрия в 0,5 мл растворителя (75 мг ГЛФ).

[70]

7. Опытная группа VII - мыши с гиперлипидемией, которым перорально вводят 3,2 мг/мышь полипренилфосфата натрия в 0,5 мл растворителя (100 мг ГЛФ).

[71]

Все исследуемые препараты вводят ежедневно, начиная со следующего дня после первого введения полоксамера, в утренние часы. Растворы и взвеси препаратов в растворителе готовят непосредственно перед введением животным.

[72]

Количество животных в группе формируют, исходя из необходимости трехкратного взятия крови. Пробы крови берут у животных из группы после декапитации, трехкратно, через день, при этом первую пробу забирают через сутки после второй инъекции полоксамера (то есть после двух введений исследуемого препарата).

[73]

Определение общего холестерина, триглицеридов, холестерина ЛПНП, холестерина ЛПВП проводят на биохимическом анализаторе Olympus 640 (Япония) с использованием коммерческих наборов фирмы Olympus (кат. №OSR6516, OSR6133, OSR6283, OSR6587, соответственно).

[74]

У мышей группы I показатели холестерина и триглицеридов (фиг. 3) достоверно (Р>0,05) не отличаются от соответствующих показателей мышей группы II.

[75]

Фиг. 3 показывает сравнение групп I (плацебо) и II (контроль) по уровню холестерина и триглицеридов.

[76]

Сравнение групп животных III-VII, получивших разные ГЛФ, с контрольной группой II позволяет определить эффективные дозы по исследованным параметрам.

[77]

Фиг. 4 показывает влияние ГЛФ на уровень холестерина в крови гиперлипидемичных мышей.

[78]

Уровень холестерина в крови гиперлипидемичных животных (фиг. 4) в наибольшей степени снижается в группе IV после введения 25 мг ГЛФ (0,8 мг полипренилфосфата натрия), что соответствует 1,25 г/кг. Дозы 75 и 100 мг достоверного влияния на уровень холестерина не оказывали.

[79]

Похожая картина наблюдается при исследовании уровня триглицеридов в крови (фиг. 5): максимальный эффект отмечается при введении 25 мг препарата. Дозы 50-75 мг оказывают чуть меньший, но достоверный эффект (Р<0,05) снижения уровня триглицеридов.

[80]

Фиг. 5 показывает влияние ГЛФ на уровень триглицеридов в крови гиперлипидемичных мышей.

[81]

Фиг. 6 - влияние ГЛФ на уровень ЛПВП в крови гиперлипидемичных мышей.

[82]

Фиг. 7 - влияние ГЛФ на уровень ЛПНП в крови гиперлипидемичных мышей.

[83]

Достоверное влияние ГЛФ на уровень ЛПВП (фиг. 6) и ЛПНП (фиг. 7) наблюдается в более широком диапазоне доз - от 6,25 до 100 мг. При этом наблюдается повышение уровня ЛПВП и снижение ЛПНП.

Как компенсировать расходы
на инновационную разработку
Похожие патенты