Изобретение относится к области радиотехники. Технический результат - снижение уровня фазовых шумов перестраиваемых генераторов с резонансными системами на трехпроводных связанных микрополосковых линиях передач, отличающихся друг от друга на оптимальную величину. Для этого перестраиваемый генератор со связанными микрополосковыми линиями, в частности, выполнен по индуктивной трехточечной схеме на биполярном транзисторе, который включен по схеме с общим эмиттером. Он содержит базовый резистивный делитель напряжения и эмиттерный резистор, с помощью которых устанавливается режим работы транзистора по постоянному току. Для развязки СВЧ-цепей по управлению и по питанию используются развязывающая индуктивность и блокировочные конденсаторы. Для подачи запирающего напряжения на варикап и напряжений смещения транзистора используются плюсовые источники питания. Оставшиеся элементы схемы являются частотозадающими, они образуют базовый, коллекторный контуры и эмиттерную цепь. 12 ил.
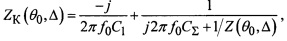
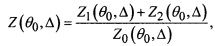
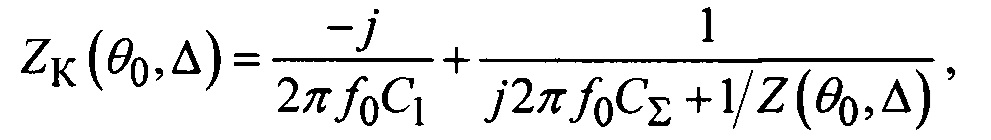
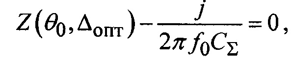
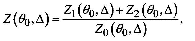
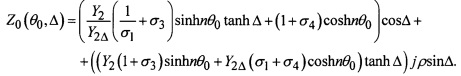
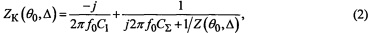
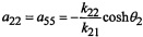
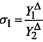
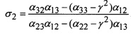
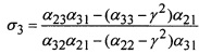
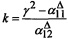
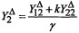
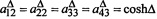
Перестраиваемый генератор со связанными микрополосковыми линиями, содержащий включенный по схеме с общим эмиттером транзистор 105, коллектор которого соединен через последовательно соединенные конденсаторы 121 и 122 с общей шиной, а база транзистора 105 подключена к общей точке соединения первых выводов конденсаторов 118 и 119, причем второй вывод конденсатора 119 соединен с первым общим выводом параллельной RC-цепи, состоящей из резистора 108 и конденсатора 120, электромагнитно связанные микрополосковые линии передач 112, 113 и 114 с объединенными вместе первыми выводами, подключенный к общей шине резистор 107, другой вывод которого соединен с резистором 106, варикап 116, анод которого подключен к общей шине, а катод - к общей точке соединения первых выводов развязывающей индуктивности 109 и конденсатора 117, второй вывод которого соединен со вторым выводом конденсатора 118, подключенный к общей шине конденсатор 124, второй вывод которого является выходом устройства, микрополосковые линии передач 115, 123 и подключенные к общей шине конденсаторы 110 и 111, другие выводы которых присоединены к положительным клеммам 126 и 125 источников напряжения питания и управляющего напряжения, соответственно, отрицательные клеммы которых являются контактами общей шины устройства, отличающийся тем, что микрополосковая линия передач 115 включена между коллектором и положительной клеммой 126 источника питания, линия 123 - между выходом устройства и общей точкой конденсаторов 121 и 122, эмиттер транзистора подключен к точке соединения конденсатора 119 с параллельной RC-цепью, второй общий вывод элементов которой подключен к общей шине, база транзистора подключена к общей точке соединения резисторов 106 и 107, а второй вывод резистора 106 - к положительной клемме 126 источника напряжения питания, второй вывод развязывающей индуктивности 109 подключен к положительной клемме 125 источника управляющего напряжения, первые объединенные выводы связанных микрополосковых линий передач 112, 113 и 114 подключены к общей шине, на вторых выводах линий передач 112 и 114 реализован режим холостого хода, а второй вывод линии передачи 113 подключен к общей точке соединения конденсаторов 117 и 118, причем линия 113 по отношению к линии 112, также как и линия 114 в сравнении с линией 113 отличаются на фазовый сдвиг где ƒ0 - основная частота генерации устройства, СЭ - эквивалентная емкость эмиттерной цепи, a LК, LБ - эквивалентные индуктивности коллекторного и базового контуров, кроме того для выбранного значения фазового сдвига причем это сопротивление носит индуктивный характер, достигая своего максимума при оптимальной величине фазового сдвига Δопт, если выполняется равенство: где С1 - емкость конденсатора 118, CΣ - суммарная емкость варикапа 116 и конденсатора 117, a Z(θ0,Δ) - входное комплексное сопротивление трехпроводной линии, образованной короткозамкнутыми с одной стороны тремя связанными микрополосковыми линиями 112, 113 и 114, на других концах в линиях 112 и 114 которых установлен режим холостого хода, при этом, если предположить, что ширины линий 112 и 114 одинаковы и зазоры их электромагнитных связей с линией 113 тоже, а также считать, что фазовые сдвиги, соответствующие распространению волн четного и нечетного типов в линиях 112 и 114 передач длиной где Здесь ρ - волновое сопротивление однопроводного отрезка длиной где Yij, αij - элементы матрицы проводимости и произведения матриц сопротивления и проводимости, det - определитель произведения матриц сопротивления и проводимости.
или при длине волны в диэлектрике λ отличаются на физическую длину
в области электромагнитной связи, при этом величины основных элементов перестраиваемого генератора удовлетворяют уравнению:
, который соответствует физической длине
линии 112, входное сопротивление базового контура генератора ZК(θ0,Δ) определяется следующим выражением:

отличаются от набегов фаз в линии 113 в n раз, а аналогичные характеристики двухпроводной линии передач длиной
, которая является продолжением отрезков 113 и 114 трехпроводной линии передач, имеют при условии
равные величины, то комплексное сопротивление Z(θ0,Δ) находится следующим образом:



, который является продолжением линии 114,
, где
и
- проводимости, устанавливающие связи между нормированными амплитудами токов и напряжений в отрезках длиной
двухпроводной линии передач и определяемые выражениями:
и
, в которых
, γ - постоянная распространения, а
,
- элементы матрицы проводимости и произведения матриц сопротивления и проводимости. В выражение Z(θ0,Δ) входят также числовые коэффициенты σ2, σ3, σ4 и проводимость Y2, определяющая связь между нормированными амплитудами токов и напряжений в отрезке трехпроводной линии длиной
, которые вычисляются так:
,
,
,
,
,
,
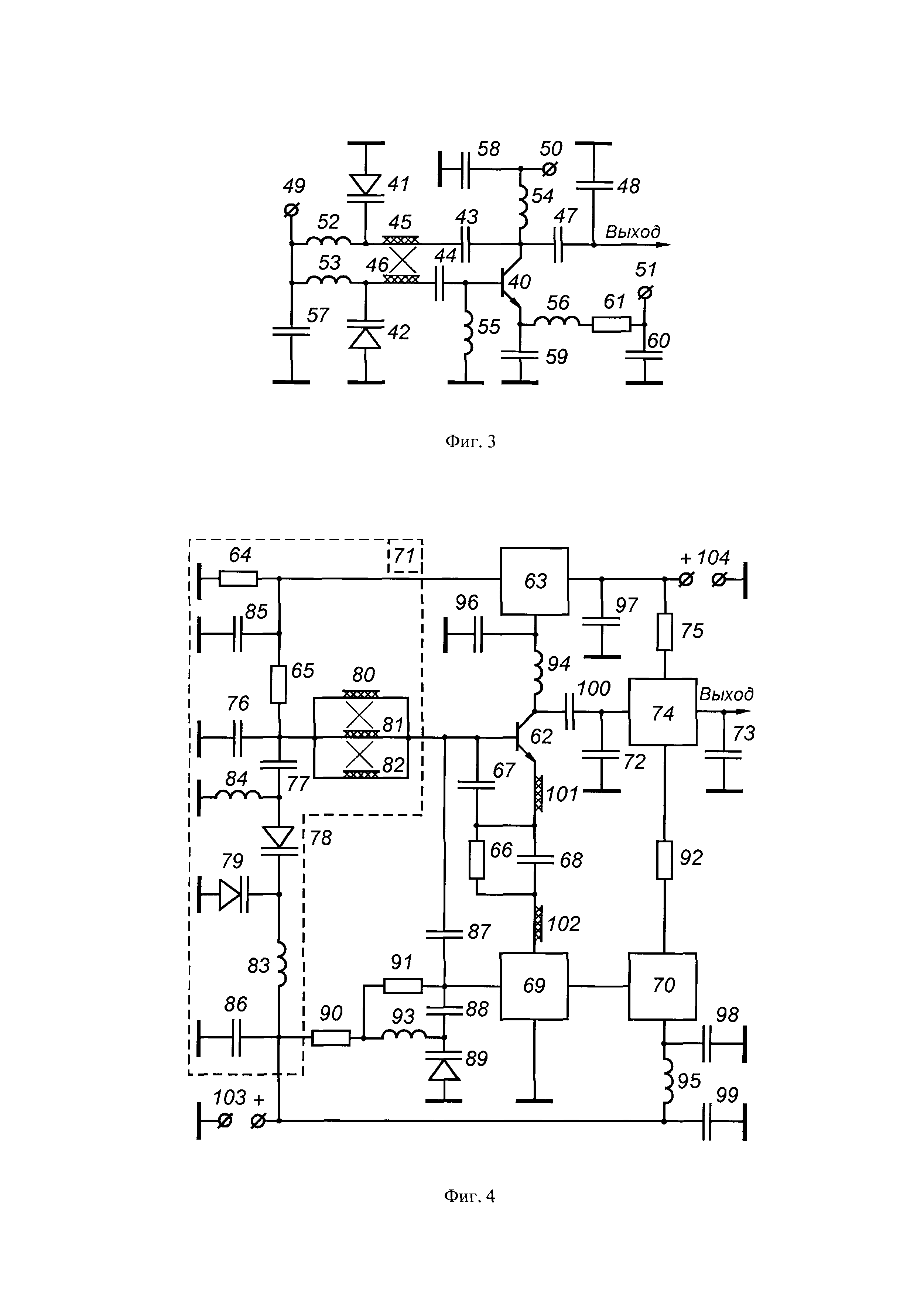
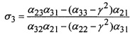
Предлагаемое устройство относится к области радиотехники и может быть использовано в современных синтезаторах частот, которые входят в состав различной приемо-передающей радиоаппаратуры, работающей вплоть до СВЧ-диапазона. В частности, это устройство относится к СВЧ генераторам, управляемым напряжением (ГУН), в которых для улучшения частотных характеристик используются либо двух-, либо трех-, либо многопроводные связанные полосковые линии передач. Известен ГУН (См. Sevimli, О. GaAs НЕМТ monolithic voltage-controlled oscillators at 20 and 30 GHz incorporating Schottky-varactor frequency tuning / O. Sevimli, J.W. Archer and G.J. Griffiths // IEEE Trans. on Microwave Theory and Techniques. - 1998. - Vol. 46. - N. 10. - P. 1572-1576). Данное устройство, принципиальная схема которого изображена на фиг. 1, выполнено на полевом GaAs НЕМТ транзисторе 1, включенном по схеме с общим стоком. В этом ГУН применен резонатор, содержащий варикап 2 и связанные микрополосковые линии (МПЛ) передач 3 и 4 длиной Недостатком аналога является относительно высокий уровень фазовых шумов. Известен ГУН (См. Merenda, J.L. Varactor tuned strip line resonator and VCO using same / J.L. Merenda // USA Patent US 5942950 A. - 24 august 1999). Принципиальная схема этого устройства приведена на фиг. 2. ГУН выполнен на биполярном транзисторе 20 и резонаторе, который содержит варикап 21, конденсаторы 22, 23 и связанные отрезки МПЛ передач 24 и 25 длиной Аналог имеет тот же недостаток - относительно высокий уровень фазовых шумов. Известен ГУН (См. Grebennikov, A. RF and microwave transistor oscillator design / A. Grebennikov. - Chichester, England: John Wiley & Sons, Ltd, 2007. - 441 p.) Его принципиальная схема изображена на фиг. 3. ГУН выполнен на биполярном транзисторе 40 и цепи внешней обратной связи, в которую входят варикапы 41, 42, конденсаторы 43, 44, связанные отрезки МПЛ передач 45 и 46, а также конденсаторы 47, 48. Через соответствующие клеммы 49-51 управляющее напряжение и напряжения питания подаются на варикапы и электроды транзистора с помощью следующих элементов: развязывающих индуктивностей 52-56 и блокировочных конденсаторов 57-60. Ток транзистора устанавливается при помощи резистора 61. Выходной сигнал ГУН снимается с емкостного делителя напряжений, образованного элементами 47, 48. Отличительной особенностью данного аналога является то, что за счет возможности возбуждения в связанных линиях разных типов волн здесь одновременно реализуются два режима работы, которые соответствуют емкостным трехточечным схемам генераторов Клаппа и Сейлера. К индуктивному элементу между коллектором и базой транзистора в первом случае последовательно, а во втором параллельно подключается дополнительная емкость варикапа, причем тип трехтонки в обоих случаях остается емкостным. Реализация двойного режима работы обеспечивает минимальные изменения амплитуды колебаний в широком диапазоне перестройки частоты. Так, при изменении управляющего напряжения от 1 до 25 В частота меняется с 2.2 до 4 ГГц. Можно предположить, что при выборе одинаковых типов биполярных транзисторов уровень фазовых шумов данного ГУН с учетом разницы частот можно оценить той же величиной, что и у предыдущего аналога. Недостатком этого аналога является также повышенный уровень фазовых шумов. Наиболее близким к предлагаемому техническим решением является СВЧ генератор, управляемый напряжением (См. Rohde, U.L. Low noise, hybrid tuned wideband voltage controlled oscillator / U.L. Rohde, A.K. Poddar, R. Rebel, P. Patel, K.J. Schoepf // USA Patent US 7365612 B2 - 29 April 2008). На фиг. 4 изображена упрощенная схема устройства, которое представлено на fig. 7 описания патента. Данный ГУН выполнен на биполярном транзисторе 62, включенном по схеме с общим эмиттером. Режим работы транзистора по постоянному току устанавливается при помощи цепи активной стабилизации 63 и резисторов 64-66. Устройство содержит емкость связи 67, емкость эмиттерной RC-цепи 68, первую 69 и вторую резонансную систему на варикапах и многопроводных связанных микрополосковых линиях, цепи грубой 70 и точной 71 регулировки первой и второй резонансных систем, соответственно. На выходе ГУН вместе с конденсаторами 72, 73 используется перестраиваемый фильтр 74 со встроенным буферным усилителем, напряжение питания которому подается через резистор 75. Кроме резисторов 64 и 65 в состав цепи точной настройки 71 входят вторая резонансная система, образованная емкостями конденсаторов 76, 77 и варикапов 78, 79 и трехпроводными связанными микрополосковыми линиями 80-82, а также развязывающие индуктивности 83, 84 и блокировочные конденсаторы 85, 86. Во вторую резонансную систему цепи 71 включается также суммарная параллельная емкость конденсаторов 87, 88 и варикапа 89, которые, в свою очередь, используются и в работе первой резонансной системы 69. Для развязки СВЧ цепей по питанию и управлению в ГУН используются резисторы 90-92, индуктивные элементы 93-95, а также блокировочные конденсаторы 96-99. Конденсатор 100 разделительный, а отрезки МПЛ 101 и 102 являются соединительными. Для подачи запирающего напряжения на варикапы используются клеммы 103, а для ввода напряжения питания на транзистор и буферный усилитель - клеммы 104. Для реализации диапазона перестройки частот от 1200 до 3600 МГц в данном устройстве при регулировке резонансных систем используются цепи грубой и точной настойки, в которые входят 10 различных варикапов. Еще четыре варикапа входят в состав активного перестраиваемого фильтра для уменьшения уровня гармоник. В полосе рабочих частот от 1600 до 3600 МГц уровень фазовых шумов ГУН достигает величин чуть меньших -90 дБ/Гц на частоте отстройки 10 кГц [2]. Для снижения фазовых шумов, кроме двух резонансных систем на основе связанных микрополосковых линий, здесь используются шумовой RC-фильтр в эмиттерный цепи, а в коллекторной цепи - схема активной стабилизации, при помощи которой реализуется отрицательная обратная связь по низкочастотным шумам. Несмотря на все принятые в устройстве - прототипе меры по снижению фазовых шумов, недостатком прототипа является их относительно высокий уровень. Технический эффект, на достижение которого направлено предлагаемое решение, заключается в снижении уровня фазовых шумов перестраиваемых генераторов с резонансными системами на трехпроводных связанных микрополосковых линиях передач, отличающихся друг от друга на оптимальную длину. Этот эффект достигается тем, что в перестраиваемом генераторе со связанными микрополосковыми линиями, содержащем включенный по схеме с общим эмиттером транзистор 105, коллектор которого соединен через последовательно соединенные конденсаторы 121 и 122 с общей шиной, а база транзистора 105 подключена к общей точке соединения первых выводов конденсаторов 118 и 119, причем второй вывод конденсатора 119 соединен с первым общим выводом параллельной RC-цепи, состоящей из резистора 108 и конденсатора 120, электромагнитно связанные микрополосковые линии передач 112, 113 и 114 с объединенными вместе первыми выводами, подключенный к общей шине резистор 107, другой вывод которого соединен с резистором 106, варикап 116, анод которого подключен к общей шине, а катод - к общей точке соединения первых выводов развязывающей индуктивности 109 и конденсатора 117, второй вывод которого соединен со вторым выводом конденсатора 118, подключенный к общей шине конденсатор 124, второй вывод которого является выходом устройства, микрополосковые линии передач 115, 123 и подключенные к общей шине конденсаторы 110 и 111, другие выводы которых присоединены к положительным клеммам 126 и 125 источников напряжения питания и управляющего напряжения, соответственно, отрицательные клеммы которых являются контактами общей шины устройства, согласно изобретению микрополосковая линия передач 115 включена между коллектором и положительной клеммой 126 источника питания, линия 123 - между выходом устройства и общей точкой конденсаторов 121 и 122, эмиттер транзистора подключен к точке соединения конденсатора 119 с параллельной RC-цепью, второй общий вывод элементов которой подключен к общей шине, база транзистора подключена к общей точке соединения резисторов 106 и 107, а второй вывод резистора 106 - к положительной клемме 126 источника напряжения питания, второй вывод развязывающей индуктивности 109 подключен к положительной клемме 125 источника управляющего напряжения, первые объединенные выводы связанных микрополосковых линий передач 112, 113 и 114 подключены к общей шине, на вторых выводах линий передач 112 и 114 реализован режим холостого хода, а второй вывод линии передачи 113 подключен к общей точке соединения конденсаторов 117 и 118, причем линия 113 по отношению к линии 112, также как и линия 114 в сравнении с линией 113 отличаются на фазовый сдвиг где ƒ0 - основная частота генерации устройства, СЭ - эквивалентная емкость эмиттерной цепи, а LК, LБ - эквивалентные индуктивности коллекторного и базового контуров, кроме того для выбранного значения фазового сдвига причем это сопротивление носит индуктивный характер, достигая своего максимума при оптимальной величине фазового сдвига Δопт, если выполняется равенство: где С1 - емкость конденсатора 118, CΣ - суммарная емкость варикапа 116 и конденсатора 117, a Z(θ0,Δ) - входное комплексное сопротивление трехпроводной линии, образованной короткозамкнутыми с одной стороны тремя связанными микрополосковыми линиями 112, 113 и 114, на других концах в линиях 112 и 114 которых установлен режим холостого хода, при этом, если предположить, что ширины линий 112 и 114 одинаковы и зазоры их электромагнитных связей с линией 113 тоже, а также считать, что фазовые сдвиги, соответствующие распространению волн четного и нечетного типов в линиях 112 и 114 передач длиной где Здесь ρ - волновое сопротивление однопроводного отрезка длиной где Yij, αij - элементы матрицы проводимости и произведения матриц сопротивления и проводимости, det - определитель произведения матриц сопротивления и проводимости. На фиг. 5 представлена принципиальная схема перестраиваемого генератора со связанными микрополосковыми линиями. Устройство выполнено по трехточечной схеме на биполярном транзисторе 105, который включен по схеме с общим эмиттером. При помощи резисторов 106-108 устанавливается режим работы транзистора по постоянному току. Для развязки СВЧ цепей по питанию используются индуктивность 109 и конденсаторы 110, 111. Оставшиеся элементы схемы являются частотозадающими. В большей степени эту функцию выполняют микрополосковые линии 112-115, варикап 116 и конденсаторы 117-122. В меньшей степени - микрополосковая линия 123 и конденсатор 124, которые, в основном, служат для подавления на 50-Омном выходе высших гармоник основной частоты. Для подачи запирающего напряжения на варикап 116 используется положительная клемма 125, а для ввода напряжений питания на транзистор - клемма 126. Электромагнитно связанные микрополосковые линии 112-114 (см. фиг 6) представляют собой трехпроводную линию передач, в которой вторая линия Л2 от первой Л1, а третья Л3 от второй Л2 линии отличаются на оптимальную физическую длину С учетом всех замечаний предложенное устройство работает следующим образом. Для рассматриваемого устройства, которое описывается моделью на фиг. 7, частота генерации ƒ0 находится из условия: ХКХЭ+ХЭХБ+ХКХБ=0 [4], где То есть при выборе элементов схемы этого устройства, рассчитанных с помощью формулы (1), реализуется индуктивная эквивалентная трехточечная схема автогенератора с последовательной обратной связью, которая приведена на фиг. 7. Рассчитаем входное сопротивление ZK(θ0,Δ) базового контура, при котором оно в соответствии с представленной на фиг. 7 моделью носит индуктивный характер. Запишем данный импеданс в следующем виде: где C1 - емкость конденсатора 118, CΣ - суммарная емкость варикапа 116 и конденсатора 117, Для рассмотренной на фиг. 6 связанной микрополосковой структуры рассчитаем сопротивление Z(θ0,Δ), которое входит в выражения (2) и (3). Для этого представим трехпроводную линию из отрезков разной длины на фиг. 6 в виде трех последовательно соединенных частей: трехпроводной линии, выполненной на неоднородном в поперечном сечении диэлектрике, но с одинаковой длиной отрезков где ρ - волновое сопротивление однопроводного отрезка линии длиной Для случая двух неодинаковых связанных линий с однородным диэлектриком, когда коэффициенты распространения волн двух типов возбуждения равны между собой γ, величины Значения элементов а также их обращаемыми матрицами [AU]-1, [AI]-1, элементами которых являются cij и dij. Элементы матриц, объединенных в выражении (5), рассчитываются по формулам: где Yij, Вычисление величин Сгруппировав полученные произведения элементов матриц где причем безразмерные величины чисел σ1, σ2, σ3, σ4 рассчитываются следующим образом: Подставив полученное выражение (6) в уравнение (2) с заранее определенными величинами CΣ, C1, ƒ0, оценим при выбранных величинах n, θ0, а также σi, Y1Δ, Y2Δ, Y2 поведение мнимой части и модуля входного сопротивления ZK(θ0,Δ) базового контура в зависимости от изменения малой величины На фиг. 8, 9 и 10 приведены зависимости мнимых частей входных сопротивлений ZK(θ0,Δ) а) и их модулей б) для трех типов резонансных контуров, использующих предложенную структуру (кривые 1), микрополосковую систему на фиг. 6 с нулевой длиной Таким образом, если параметры элементов в предлагаемом устройстве на фиг. 5 выбрать в соответствии с формулами (1)-(3) и (6), то заявленный технический эффект будет гарантирован. Его результатом становится снижение уровня фазовых шумов перестраиваемых генераторов с резонансными системами на трехпроводных связанных микрополосковых линиях передач, отличающихся друг от друга на оптимальную длину. Пример конкретного выполнения устройства. Разработаем макет генератора с параметрами резонансной системой, близкими к установленным в расчетах импедансных характеристик на фиг. 9: n=2, θ0=π/6, Таким образом, в соответствии со схемой на фиг. 5 разработан управляемый напряжением генератор с резонансной системой на трех связанных микрополосковых линиях передач, отличающихся друг от друга на оптимальную длину. Фотография данного устройства приведена на фиг. 11а). Вариант реализации трехпроводной связанной микрополосковой линии, где используются отрезки МПЛ разной длины, представлен на фиг. 11б). При потребляемом токе 16 мА и напряжении питания +5 В разработанный генератор с выходной мощностью (0.7-1.2) мВт перестраивается в диапазоне частот от 1.03 до 1.09 ГГц при изменении управляющего напряжения от 0.5 до 12 В. При этом в указанном частотном диапазоне спектральная плотность мощности фазовых шумов при отстройках 10 и 100 кГц составляет -101 и-123 дБ/Гц (см. фиг. 12), что на 6-10 дБ/Гц ниже типовых уровней фазовых шумов генератора, который выполнен по той же схеме и на том же транзисторе с резонансным контуром, использующем одиночный отрезок МПЛ. В данном генераторе применены комплектующие элементы только отечественного производства. Расположение контактных площадок вводов питающего и управляющего напряжений и выходного сигнала, габаритные размеры корпуса в генераторе полностью, а его типовые характеристики в основном соответствуют импортному аналогу ROS-1100V. Таким образом, приведенный пример конкретной реализации перестраиваемого генератора с тремя связанными микрополосковыми линиями разной длины, подтверждает возможность получения пониженных уровней фазовых шумов за счет выбора оптимальной разницы в этих длинах. Теоретически и экспериментально установлен положительный эффект снижения уровня фазовых шумов величиной 6-10 дБ/Гц. Источники информации 1. Аристархов, Г.М. Стабилизация частоты микрополосковых автогенераторов СВЧ при помощи систем связанных линий с неравными фазовыми скоростями / Г.М. Аристархов, В.И. Паншин // Электронная техника. Сер. 10. Микроэлектронные устройства. - 1984. -Вып. 2(44). - С.5-11. 2. Poddar, А.К. Slow-Wave Resonator based Tunable Multi-Band Multi-Mode Injection-Locked Oscillators: Habilitationsschrift / Ajay Kumar Poddar. - Brandenburg University of Technology, Gottbus-Senftenberg. - 2014. - 250 p. 3. Баранов, A.B. Частные и обобщенные эквивалентные трехточечные схемы СВЧ автогенераторов / А.В. Баранов // Электронная техника. Сер.1. СВЧ - техника. - 2017. -Вып. 1(532). - С. 18-25. 4. Баранов, А.В. Управляемая напряжением система двух взаимно синхронизированных СВЧ автогенераторов / А.В. Баранов // Материалы XIX координационного научно-технического семинара по СВЧ технике, п. Хахалы Нижегородской обл., (05-07).09.2017. - Нижний Новгород, 2017. - С. 55 - 57. 5. Малютин, Н.Д. Многосвязные полосковые структуры и устройства на их основе. -Томск: Издательство Томского университета, 1990. - 164 с. 6. Leeson, D. A simple model of feedback oscillator noise spectrum / D. Leeson // Proceedings of the IEEE. - 1966. - Vol. 54. - N 2. - P. 329-332. 7. Rohde, U.L. The design of modern microwave oscillators for wireless applications / U.L. Rohde, A.K. Poddar,
, на двух диагональных концах которых реализован режим работы «холостого хода». При помощи отрезков МПЛ 5 и 6 на входе транзистора 1 создается необходимое для генерации колебаний отрицательное сопротивление. Управляющее напряжение и напряжения питания через клеммы 7-9 подаются на варикап и электроды транзистора, используя следующие элементы развязки: резисторы 10, 11, блокировочные конденсаторы 12-16, а также четвертьволновые отрезки МПЛ 17 и 18. Конденсатор 19 на выходе устройства является разделительным. В ≈8%-ном диапазоне перестраиваемых частот (от 20.4 до 22 ГГц) типовые уровни фазовых шумов ГУН на данном полевом транзисторе находятся в пределах от -71.3 до -80.3 дБ/Гц на частотах отстройки 100 кГц. Для этого ГУН установлено также, что по сравнению с однопроводной микрополосковой линией длиной
применение двух связанных линий приводит к снижению спектральной плотности мощности фазовых шумов на 3-4 дБ/Гц. Подобный вывод сделан и в работе [1], где на основе аналитических выражений показано, что крутизна реактивного сопротивления параллельного резонанса одиночной линии ниже аналогичной величины, соответствующей двухпроводной связанной линии.
, на двух диагональных концах которых реализован короткозамкнутый режим. Необходимое для генерации колебаний отрицательное сопротивление на входе транзистора 20 создается при помощи емкости связи 26, индуктивности 27, а также RC-цепи из элементов 28 и 29. Используя клеммы 30-32, управляющее напряжение и напряжения питания подаются на варикап и транзистор через элементы развязки: индуктивности 33-35 и блокировочные конденсаторы 36-38. Выходной сигнал ГУН снимается с коллекторного отрезка МПЛ 39. Использование в связанных отрезках МПЛ вместо холостого хода режимы короткого замыкания, а также применение вместо полевого GaAs НЕМТ-транзистора кремниевого биполярного транзистора приводят к улучшению частотных характеристик ГУН, в частности, к расширению полосы перестройки и уменьшению уровня фазовых шумов. Так, в 25%-ном диапазоне перестройки частоты от 4.9 до 6.3 ГГц спектральная плотность мощности фазовых шумов ГУН не превышает -105 дБ/Гц на частоте анализа 100 кГц.
или при длине волны в диэлектрике λ отличаются на физическую длину
в области электромагнитной связи, при этом величины основных элементов перестраиваемого генератора удовлетворяют уравнению:
, который соответствует физической длине
линии 112, входное сопротивление базового контура генератора ZК(θ0,Δ) определяется следующим выражением:

отличаются от набегов фаз в линии 113 в n-раз, а аналогичные характеристики двухпроводной линии передач длиной
, которая является продолжением отрезков 113 и 114 трехпроводной линии передач, имеют при условии
равные величины, то комплексное сопротивление Z(θ0,Δ) находится следующим образом:



, который является продолжением линии 114,
, где
и
- проводимости, устанавливающие связи между нормированными амплитудами токов и напряжений в отрезках длиной
двухпроводной линии передач и определяемые выражениями:
и
, в которых
, γ - постоянная распространения, а
,
- элементы матрицы проводимости и произведения матриц сопротивления и проводимости. В выражение Z(θ0,Δ) входят также числовые коэффициенты σ2, σ3, σ4 и проводимость Y2, определяющая связь между нормированными амплитудами токов и напряжений в отрезке трехпроводной линии длиной
, которые вычисляются так:
,
,
,
,
,
,
(или соответствующую ей оптимальную фазовую величину Δ). При этом ширины w линий Л1 и Л3 одинаковы и их зазоры s связи с линией Л2 тоже. С одной стороны данной трехпроводной линии реализованы режимы короткого замыкания с общей шиной, а с другой, на входах первой и третьей линиях - режимы холостого хода. Свободный вывод линии Л2 является входом трехпроводной линии передач, которая вместе с емкостями варикапа 116 и конденсаторов 117, 118 образует базовый контур. Кроме того в модели трехпроводной линии на фиг 6 предполагается, что фазовые сдвиги, соответствующие распространению волн четного и нечетного типов в линиях Л1 и Л3 длиной
отличаются от набегов фаз линии Л2 в n-раз. Вместе с тем, здесь аналогичные характеристики двухпроводной линии передач длиной
, которая является продолжением первого Л1 и второго Л2 отрезков трехпроводной линии передач, считаются равными по величине при условии, что
. Поскольку импедансы коллекторной и базовой цепей предложенного генератора носят индуктивный характер, а эмиттерной цепи - емкостной, в качестве модели такого автогенератора используем индуктивную эквивалентную трехточечную схему с последовательной обратной связью, которая приведена на фиг. 7. Данная звездообразная схема получена в работе [3] из типовой треугольной схемы индуктивной трехтонки на основе общих взаимных условий эквивалентных преобразований треугольника сопротивлений в звезду и наоборот - преобразования сопротивлений звезды в треугольник. В рассматриваемой на фиг. 7 модели автогенератора точки отмечены буквами
,
,
и равна:

- фазовый сдвиг, соответствующий физической длине
линии Л3,
- фазовый сдвиг, соответствующий физической длине
, λ - длина волны в диэлектрике, Z(θ0,Δ) - входное комплексное сопротивление связанных микрополосковых линий на фиг. 6. Для выбранного значения θ0 и оптимальной величины Δопт сопротивление ZK(θ0,Δ) носит индуктивный характер и достигает максимума при выполнении равенства:
, а также короткими отрезками двухпроводной и однопроводной линий с длинами
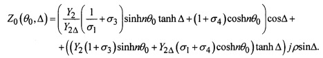
, где можно считать диэлектрик однородным. Такой переход (от связанных полосковьгх линий с разной физической длиной в области электромагнитной связи к связанным полосковым линиям с неоднородным в поперечном сечении диэлектриком) правомерен с точки зрения одинаковых возможностей реализации неуравновешенных связей между матрицами первичных параметров, например, между матрицами сопротивлений [Z] и проводимостей [Y], когда [Z]≠[Y]-1 [5]. Отмеченные составные части исходной трехпроводной линии являются двенадцатиполюсным, восьмиполюсным и четырехполюсным элементами, которые соединены между собой последовательно. Опишем каждый из этих элементов соответствующими матрицами передач. Используя с учетом граничных условий элементы суммарной матрицы, полученной в результате перемножения матриц передач трех каскадно-соединенных двенадцати-, восьми- и четырехполюсника, найдем выражение для входного сопротивления Z(θ0,Δ) представленной на фиг. 6 микрополосковой структуры:
, который является продолжением входящего в состав линии Л1 первого отрезка двухпроводной линии длиной
,
- элементы матриц передачи двенадцати- и восьмиполюсников.
в выражении (4) имеют вид:
,
,
,
,
, где
,
и
, а
,
- элементы матрицы проводимости и произведения матриц сопротивления и проводимости. Указанные значения
получены после раскрытия неопределенностей вида
в формулах элементов матрицы передачи
для двухпроводной связанной полосковой линии, рассмотренной в работе [5].
, которые после применения в двенадцатиполюснике граничных условий остались в уравнении (4) ненулевыми, находятся из выражений: 
- коэффициент распространения i-ой моды (i=1, 2, 3). Здесь используются принятые в работе [5] обозначения параметров трехпроводной связанной полосковой линии, описываемой матрицами нормированных амплитуд напряжения [AU] и тока [AI]:
,
,
,
в процессе распространения разных типов волн.
одинаковы, то есть, если k31=1 и m31=1. В результате, значения элементов матрицы
,
,
- фазовый сдвиг, соответствующий физической длине
отрезка третьей микрополосковой линии.
в уравнении (4) и поделив его числитель и знаменатель на cosΔ и на величину
(или
), запишем выражение для входного сопротивления Z(θ0,Δ) структуры на фиг. 6 в новом виде:



,
,
,
.
. Затем сравним полученные характеристики с аналогичными зависимостями для подобной фиг. 6 микрополосковой структуры с нулевой добавкой длины
. Кроме того, сравним их с характеристиками аналога [1], в котором используется двухпроводная структура полосковых линий, короткозамкнутых с одной стороны и с режимом холостого хода на одной из них с другой стороны. При этом выберем величину
, равной волновому сопротивлению линий Л1 (или ρ), а значения 1/|Y2Δ| и 1/|Y2| такими же, как и значение волнового сопротивления линии Л2 микрополосковой структуры на фиг. 6. Другими словами, когда значения θ0 равны или π/5 или π/3 (или в относительных длинах -
или 1/6), коэффициент n выбран 1.3 или 2, а величины модулей 1/Y2 соответствуют 65 и 85 Омам, рассмотрим примеры резонансных систем, описываемых уравнениями (2) и (6), в которых ρ=130 Ом, σ1=0.5, а σ2=σ3=σ4=1.
(кривые 2) и рассмотренную в работе [1] двухпроводную линию (кривые 3). Все характеристики рассчитаны на одной частоте ƒ0=1.08 ГГц при одинаковых значениях С1=1.8 пФ и СΣ=2.35-2.5 пФ. При расчете зависимостей на фиг. 8 использовались величины n=1.3, θ0=π/5 и 1/|Y2|=85 Ом, характеристики на фиг. 9 получены при n=2, θ0=π/5 и 1/|Y2|=65 Ом, а на фиг. 10 параметры ZK(θ0,Δ) вычислялись при n=2, θ0=π/3 и 1/|Y2|=65 Ом. Анализ импедансных характеристик, полученных для резонансного контура с микрополосковыми линиями разной длины (кривые 1) показывает, что существуют оптимальные величины Δопт, которым соответствуют максимальные положительные значения мнимых частей и модулей входных сопротивлений. При выбранных параметрах контура оптимальные величины Δопт находится в пределах от 0.069 до 0.081, что соответствует оптимальным физическим длинам
мм. При построении кривых (2) и (3) в формулах для их вычисления ZK(θ0,Δ) кроме θ0 использованы дополнительные фазовые сдвиги ϕ0, с помощью которых максимальные значения мнимых частей и модулей входных сопротивлений для второй и третьей резонансных систем графически совмещаются с аналогичными характеристиками предлагаемого устройства с оптимальными величинами Δопт. В результате такого совмещения можно сделать следующие выводы. Первый вывод состоит в том, что импедансные характеристики (ImZK(θ0,Δ) и модуль ZK(θ0,Δ)) ухудшаются при увеличении значений n и θ0. Так, при увеличении θ0 с π/5 до π/3 крутизна функции ImZK(θ0,Δ) вблизи Δопт уменьшается до 2 раз, а ширина графика модуля ZK(θ0,Δ) по уровню 4×104 Ом - до 4 раз. Приблизительно также ведут себя импедансные характеристики при увеличении n с 1.3 до 2. Основной же вывод заключается в том, что резонансный контур, использующий предлагаемую структуру микрополосковых линий разной длины, обладает существенно большими возможностями для увеличения нагруженной добротности колебательной системы автогенератора. Причем это увеличение достигается не за счет высокой собственной добротности ненагруженного контура, а схемотехническим путем, когда колебательная система превращается в эквивалентную многоконтурную структуру. Подтверждением тому в предлагаемом генераторе служат большие в 2-4 раза крутизны функций ImZK(θ0,Δ), а также меньшие в 4-10 раз ширины графиков модулей ZK(θ0,Δ) по уровню 4×104 Ом (см. фиг. 8, 9, 10 а) и б) вблизи Δопт). Такое поведение зависимостей на фиг. 8, 9 и 10 соответствует выводам работы [1] и приводит к повышению нагруженной добротности колебательной системы, по крайней мере, в q-раз (в 2-4 раза). Если в качестве оценки уровня фазовых шумов генератора использовать шумы его простой модели [6], то при прочих равных с другими генераторами условиях (одинаковых входных мощностях усилителей при согласовании с источниками, коэффициентах шума усилителей и собственных добротностей ненагруженных контуров) спектральная плотность мощности фазовых шумов предлагаемого устройства становится в q2-раз ниже. Другими словами, по сравнению с аналогами и прототипом уровень фазовых шумов предлагаемого устройства уменьшается на величину 6-12 дБ/Гц. Причем этот эффект практически не зависит от величин n и θ0.
мм, Δопт=0.068,
мм. При помощи формул (1)-(3) предварительно рассчитаем значения элементов схемы, а затем уточним их величины, используя известный прием проектирования автогенераторов [7]. Его суть состоит в том, чтобы реализовать суммарную входную проводимость на базе транзистора 105 равной нулю. При этом параметры всех элементов схемы ГУН на фиг. 5 определяются вновь, используя справочные данные об [S]-параметрах для выбранного транзистора 2Т 682 А-2. Другими словами, на базовом порту с сопротивлением, равным общему сопротивлению резисторов 106 и 107, результатом оптимизации уточненных параметров элементов схемы ГУН является одновременное выполнение на расчетной частоте ~1.08 ГГц приблизительного равенства нулю и действительной и мнимой частей суммарной проводимости. Такой прием проектирования автогенераторов применяется для индуктивной трехточечной схемы генераторных устройств с параллельной обратной связью, которая эквивалентна их звездообразной схеме на фиг. 7 [3]. Минимальные величины суммарной проводимости имеют место при следующих уточненных параметрах элементов. Величины конденсаторов равны 3.9 пФ (для элементов 119 и 122), 2 пФ (для 121 элемента), 8.2 пФ (для 120 элемента), 1.8 пФ (для элементов 118 и 124). При этом длина отрезка МПЛ 115 составляет 5.8 мм, отрезок МПЛ 123 имеет длину 9.5 мм, а длины связанных отрезков 112, 113 и 114 равны 13.3, 14.9 и 16.5 мм, соответственно. Кроме того, основной полосок МПЛ 113 имеет ширину 0.7 мм при зазорах между отрезками МПЛ 112, 114 величиной 0.2 мм, а ширины всех остальных отрезков составляет 0.3 мм при толщине 0.8 мм стеклотекстолитовой подложки типа FR-4. Суммарная емкость конденсатора 117 и варикапа 2В 169 А9 меняется в пределах от 1.45 до 2.5 пФ. Развязывающий элемент 109 выбран величиной 82 нГн, а блокирующие конденсаторы 110 и 111 имеют величины 330 и 100 пФ. Величины резистивных элементов 106-108 составляют 1.5 кОм, 1 кОм и 75 Ом.
- New Jersey, USA: John Wiley & Sons, Inc., 2005. - 543 p.