патент
№ RU 2533345
МПК G01R33/00

СПОСОБ ИЗМЕРЕНИЯ АМПЛИТУДЫ ДВУХПОЛЯРНОГО ИМПУЛЬСА МАГНИТНОГО ПОЛЯ

Авторы:
Молочков Виктор Федорович
Номер заявки
2013129615/28
Дата подачи заявки
28.06.2013
Опубликовано
20.11.2014
Страна
RU
Как управлять
интеллектуальной собственностью
Чертежи 
2
Реферат

Изобретение относится к измерительной технике, представляет собой способ автономной регистрации амплитуды напряженности двухполярного импульса магнитного поля и может применяться к импульсам магнитного поля в динамическом диапазоне напряженностей в сотни килоампер на метр при длительностях импульсов в десятки микросекунд в моноцикличных электромагнитных процессах. При реализации способа используют два чувствительных элемента с прямоугольной петлей гистерезиса, изготовленных из магнитного материала, имеющего коэрцитивную силу, соответствующую середине динамического диапазона измерения амплитуды. В исходном состоянии первый и второй чувствительные элементы намагничивают до насыщения, затем помещают их в исследуемую точку пространства и ориентируют противоположно. Первый элемент размагничивается первой полярностью определяемого импульса магнитного поля, а второй - второй полярностью. После прохождения определяемого импульса сначала по остаточной намагниченности второго чувствительного элемента и его калибровочному графику, полученному для однополярного импульса, находят величину второй полярности определяемого импульса магнитного поля, затем по величине второй полярности, остаточной намагниченности первого чувствительного элемента и его семейства калибровочных графиков, полученных для одно- и двухполярных импульсов, находят амплитуду определяемого импульса магнитного поля. 2 ил.

Формула изобретения

Способ измерения амплитуды двухполярного импульса магнитного поля, заключающийся в том, что на чувствительный элемент с прямоугольной петлей гистерезиса воздействуют определяемым двухполярным импульсом магнитного поля, отличающийся тем, что рядом с первым чувствительным элементом располагают второй чувствительный элемент с прямоугольной петлей гистерезиса, причем магнитный материал, из которого изготовлены оба чувствительных элемента, имеет коэрцитивную силу, соответствующую середине динамического диапазона измерения амплитуды, в исходном состоянии до воздействия определяемого импульса магнитного поля первый и второй чувствительные элементы намагничивают до насыщения, затем помещают их в исследуемую точку пространства и ориентируют противоположно, так чтобы первый из них размагничивался первой полярностью определяемого импульса магнитного поля, второй размагничивался второй полярностью определяемого импульса магнитного поля, а после прохождения определяемого импульса магнитного поля сначала по остаточной намагниченности второго чувствительного элемента и его калибровочному графику, полученному для однополярного импульса, находят величину второй полярности определяемого импульса магнитного поля, затем по величине второй полярности определяемого импульса магнитного поля, остаточной намагниченности первого чувствительного элемента и его семейства калибровочных графиков, полученных для одно и двухполярных импульсов, находят амплитуду определяемого импульса магнитного поля.

Описание

[1]

Способ измерения амплитуды двухполярного импульса магнитного поля относится к измерительной технике, а именно к способам для автономной регистрации амплитуды напряженности двухполярного импульса магнитного поля.

[2]

Известен способ измерения напряженности магнитных полей [1] путем пропускания переменного тока через магниторезистивный элемент, подключения его в плечо измерительного моста, предварительной балансировки измерительного моста, последующего помещения моста в измеряемое магнитное поле и дистанционного считывания напряжения разбаланса моста.

[3]

Однако результат измерения напряженности магнитного поля по этому способу амплитуды импульсного магнитного поля подвержен сильному влиянию электрических наводок на линию связи между мостом и регистрирующим прибором.

[4]

Известен также способ измерения напряженности магнитных полей [2], при котором путем пропускания постоянного и переменного токов через полупроводниковый магниточувствительный датчик с различными скоростями поверхностной рекомбинации носителей на границах зоны проводимости, включения полупроводникового датчика в плечо измерительного моста, предварительной балансировки моста на частоте переменного тока питания, а также последующего помещения моста в измеряемое магнитное поле и регистрации измерительным прибором сигнала разбаланса моста с частотой тока питания. При этом благодаря увеличению чувствительности датчика, при измерении амплитуды импульсного магнитного поля достигается большее отношение сигнал/помеха.

[5]

Однако этот способ из-за влияния на результат измерений длительности импульса измеряемого магнитного поля применим только для постоянных и медленно изменяющихся магнитных полей.

[6]

Наиболее близким техническим решением (прототипом) является способ определения магнитного поля [3]. Этот способ определения величины магнитного поля заключается в том, что на чувствительный элемент с прямоугольной петлей гистерезиса воздействуют определяемым магнитным полем и одновременно воздействуют суммой линейно нарастающего компенсирующего магнитного поля, а также высокочастотного переменного магнитного поля с амплитудой, превышающей поле старта, регистрируют скачки перемагничивания, прекращают рост линейно нарастающего компенсирующего магнитного поля при достижении равенства интервалов времени между скачками перемагничивания от воздействия высокочастотного магнитного поля. По величине достигнутого в этот момент линейно нарастающего компенсирующего поля определяют измеряемое магнитное поле.

[7]

В прототипе, повышая скорость изменения компенсирующего магнитного поля, добиваются измерения амплитуды импульсного однополярного магнитного поля с приемлемой погрешностью в динамическом диапазоне амплитуд напряженностей в сотни ампер на метр при миллисекундной длительности импульсов.

[8]

Недостатком прототипа является невозможность измерения амплитуд двухполярных импульсов магнитного поля в динамическом диапазоне напряженностей в сотни килоампер на метр при длительностях импульсов в десятки микросекунд в электромагнитных процессах, протекающих моноциклично с двумя последовательными полуволнами (квазиполупериодами) разной полярности, характерных, например, для молниевых разрядов, из-за резкого роста энергопотребления и соответственно, инерции в системе, формирующей линейно нарастающее компенсирующее магнитное поле.

[9]

Техническим результатом предлагаемого способа измерения амплитуды двухполярного импульса магнитного поля является возможность измерения амплитуд двухполярных импульсов магнитного поля в динамическом диапазоне напряженностей в сотни килоампер на метр при длительностях импульсов в десятки микросекунд в электромагнитных процессах, протекающих моноциклично с двумя последовательными полуволнами (квазиполупериодами) разной полярности.

[10]

Технический результат в способе измерения амплитуды двухполярного импульса магнитного поля достигается тем, что на чувствительный элемент с прямоугольной петлей гистерезиса воздействуют определяемым двухполярным импульсом магнитного поля, рядом с первым чувствительным элементом располагают второй чувствительный элемент с прямоугольной петлей гистерезиса, причем магнитный материал, из которого изготовлены оба чувствительных элемента, имеет коэрцитивную силу, соответствующую середине динамического диапазона измерения амплитуды, в исходном состоянии до воздействия определяемого импульса магнитного поля первый и второй чувствительные элементы намагничивают до насыщения, затем помещают их в исследуемую точку пространства и ориентируют противоположно, так чтобы первый из них размагничивался первой полярностью определяемого импульса магнитного поля, второй размагничивался второй полярностью определяемого импульса магнитного поля, а после прохождения определяемого импульса магнитного поля сначала по остаточной намагниченности второго чувствительного элемента и его калибровочному графику, полученному для однополярного импульса, находят величину второй полярности определяемого импульса магнитного поля, затем по величине второй полярности определяемого импульса магнитного поля, остаточной намагниченности первого чувствительного элемента и его семейства калибровочных графиков, полученных для одно и двухполярных импульсов, находят амплитуду определяемого импульса магнитного поля.

[11]

Сущность изобретения поясняется чертежами, где на фиг.1 изображено семейство калибровочных графиков чувствительного элемента для одно и двухполярных импульсов воздействующего магнитного поля с различной величиной первой полуволны, а на фиг.2 схематически представлен ход изменения состояния намагниченности чувствительного элемента из начального состояния (состояния насыщения) в конечное состояние в процессе прохождения определяемого двухполярного импульса магнитного поля.

[12]

На фиг.1, 2 по осям абсцисс даны напряженности магнитного поля в первой полуволне (H1) и второй полуволне (H2) импульса, а по осям ординат намагниченность чувствительного элемента J.

[13]

На фиг.1 цифрой 1 обозначен калибровочный график для однополярных импульсов воздействующего магнитного поля, цифрами 2-9 калибровочные графики для двухполярных импульсов воздействующего магнитного поля.

[14]

Предлагаемый способ измерения амплитуды двухполярного импульса магнитного поля осуществляют следующим образом.

[15]

Перед началом цикла измерения амплитуды двухполярного импульса магнитного поля (например, импульса имитатора молниевого разряда) первый и второй чувствительные элементы, изготовленные из материала с прямоугольной петлей гистерезиса и коэрцитивной силой, соответствующей середине динамического диапазона измерения амплитуды, намагничивают до насыщения в продольном однородном магнитном поле импульсного электромагнита. Затем их помещают в точку исследуемого пространства и ориентируют противоположно (с противофазной ориентацией), так чтобы первый из них размагничивался первой полярностью (первой полуволной) определяемого импульса, магнитного поля, второй размагничивался второй полярностью (второй полуволной) определяемого импульса магнитного поля. После прохождения определяемого импульса магнитного поля с помощью устройства считывания измерительной информации (например, феррозондового типа) определяют остаточную намагниченность первого и второго чувствительных элементов и сначала по остаточной намагниченности второго чувствительного элемента и его калибровочному графику, полученному для однополярного импульса, находят величину второй полярности определяемого импульса магнитного поля, затем по величине второй полярности определяемого импульса магнитного поля, остаточной намагниченности первого чувствительного элемента и его семейства калибровочных графиков, полученных для одно и двухполярных импульсов, находят амплитуду определяемого импульса магнитного поля.

[16]

Чувствительные элементы, реализующие предлагаемый способ измерения амплитуды двухполярного импульса магнитного поля, работают следующим образом.

[17]

При воздействии двухполярного импульса магнитного поля на первый чувствительный элемент первая (например, положительной полярности) полуволна импульса магнитного поля размагничивает его из состояния насыщения тем больше, чем сильнее ее напряженность поля. При этом происходит пропорциональное уменьшение намагниченности первого чувствительного элемента до момента достижения максимума магнитного поля в первой полуволне импульса. В то же время второй чувствительный элемент, расположенный противоположно первому, под действием первой полуволны не изменяет своего состояния и остается в насыщении. Воздействие на второй чувствительный элемент второй (отрицательной полярности) полуволны импульса магнитного поля приводит к его размагничиванию из состояния насыщения тем больше, чем сильнее напряженность поля в этой полуволне. При этом происходит пропорциональное уменьшение намагниченности второго чувствительного элемента до момента достижения максимума магнитного поля, во второй полуволне импульса. В это время первый чувствительный элемент под действием второй полуволны начинает намагничиваться из своего промежуточного состояния, отвечающего максимуму магнитного поля в первой полуволне. Этот переход намагниченности первого чувствительного элемента в конечное состояние происходит по частной петле гистерезиса, зависящей от величины максимума напряженности поля в первой полуволне.

[18]

При этом возможны два случая реализации двухполярного импульса магнитного поля: первый - когда максимум первой полуволны (Hm1) больше максимума второй полуволны (Hm2), второй - когда максимум первой полуволны меньше или равен максимуму второй полуволны. Во втором случае определяемая амплитуда двухполярного импульса магнитного поля находится непосредственно с помощью калибровочного графика второго чувствительного элемента, полученного для однополярного импульса, по его остаточной намагниченности. В первом случае изменение состояния намагниченности, связанное с воздействием второй полярности импульса магнитного поля, перед фиксацией конечного состояния первого чувствительного элемента увеличивает погрешность измерений амплитуды двухполярного импульса магнитного поля.

[19]

В предлагаемом способе измерения амплитуды двухполярного импульса магнитного поля эта погрешность снижена путем восстановления промежуточной (после воздействия первой полуволны импульса магнитного поля) намагниченности первого чувствительного элемента с помощью значений остаточной намагниченности первого и второго чувствительных элементов и семейства калибровочных графиков, полученных для первого чувствительного элемента при различных величинах Hm1.

[20]

Алгоритм восстановления амплитуды двухполярного импульса магнитного поля Hm, руководствуясь данными по остаточной намагниченности первого и второго чувствительных элементов и фиг.1, следующий:

[21]

1) по значению и знаку остаточной намагниченности второго чувствительного элемента Jr2 с помощью его калибровочного графика, полученного для однополярного импульса магнитного поля, находят максимальное значение напряженности магнитного поля Hm2 во второй полуволне;

[22]

2) по значению и знаку остаточной намагниченности первого чувствительного элемента Jr1 и значению Hm2 на семействе калибровочных графиков первого чувствительного элемента, полученных для двухполярных импульсов магнитного поля, находят точку пересечения Jr1 и Hm2, откладывая Jr1 по оси ординат, а Hm2 по оси абсцисс справа от начала координат;

[23]

3) если точка пересечения Jr1 и Hm2 оказалась на линии границы области, занимаемой семейством кривых перемагничивания, отвечающих двухполярному импульсу магнитного поля, то при этом возможен один из трех следующих принципиально различных вариантов ее положения:

[24]

a) если точка пересечения Jr1 и Hm2 лежит на оси остаточной намагниченности (Hm2=0), то амплитуда импульса Hm=Hm1 и находится по значению и знаку Jr1 на графике 1 (левой крайней ветви петли гистерезиса фиг.1), соответствующем калибровке первого чувствительного элемента одиночным импульсом магнитного поля,

[25]

b) если точка пересечения Jr1 и Hm2 лежит на прямой линии, параллельной оси абсцисс, соответствующей ординате начального состояния первого чувствительного элемента , то Hm=Hm2,

[26]

c) если точка пересечения Jr1 и Hm2 лежит на графике 2 (правой крайней ветви петли гистерезиса), то амплитуда и не может быть определена;

[27]

4) если точка пересечения Jr1 и Hm2 оказались внутри области, занимаемой семейством кривых, отвечающих двухполярному импульсу магнитного поля, то а) в случае, если эта точка лежит на одной из семейства калибровочных зависимостей (графики 3, 4, 5, 6, 7, 8 и 9), полученных для двухполярного импульса магнитного поля, то точка пересечения этой зависимости с осью ординат дает промежуточное (между двумя разнополярными полуволнами) значение , которому на графике 1 соответствует восстановленное значение Hm1,

[28]

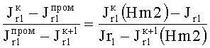
b) в случае, если эта точка лежит между соседними калибровочными зависимостями (например, графиками к и к+1), то значение может быть найдено путем аппроксимации из соотношения

[29]

[30]

где , - значения остаточной индукции Jr1, соответствующее точкам пересечения графиков к и к+1 с вертикальной прямой, соответствующей значению Hm2 на оси абсцисс,

[31]

c) после того, как найдено восстановленное значение Hm1, амплитуда импульса определяется как максимальное из двух значений

[32]

Hm=max{Hm1,Hm2}.

[33]

Погрешность определения амплитуды по предлагаемому способу может быть снижена уменьшением шага дискретизации семейства калибровочных графиков.

[34]

На фиг.2 поясняется ход перемагничивания определяемым двухполярным импульсом магнитного поля первого чувствительного элемента из начального состояния насыщения (точка A на оси ординат) в конечное состояние (точка F на оси ординат), где

[35]

участок A-B - размагничивание до нуля в период роста первой полуволны импульса магнитного поля;

[36]

участок В-С - намагничивание в период роста до максимума первой полуволны;

[37]

участок С-Д - сохранение промежуточного состояния остаточной намагниченности в период спадания от максимума до нуля первой полуволны импульса магнитного поля;

[38]

участок Д-Е - размагничивание в период роста от нуля до максимума второй полуволны (противоположной полярности) импульса магнитного поля;

[39]

участок E-F - сохранение конечного состояния остаточной намагниченности в период спадания от максимума до нуля второй полуволны импульса магнитного поля.

[40]

Предлагаемый способ измерения амплитуды двухполярного импульса магнитного поля был реализован с помощью двух чувствительных элементов, изготовленных из специального материала с прямоугольной петлей гистерезиса и коэрцитивной силой ~400 кА/м с использованием устройства подготовки и считывания ТС 568.

[41]

Полученная основная погрешность измерения амплитуды двухполярного импульса магнитного поля в динамическом диапазоне напряженностей от 80 до 800 кА/м и при длительностях импульсов в диапазоне от 20 мкс до 1 сек составляет не более ±10%. Максимальное время хранения измерительной информации чувствительными элементами составляет не менее шести месяцев; габаритные размеры чувствительных элементов - диаметр 5 мм, длина 5 мм.

[42]

Таким образом, в предлагаемом способе измерения амплитуды двухполярного импульса магнитного поля достигнута возможность измерения амплитуд импульсных магнитных полей в динамическом диапазоне напряженностей в сотни килоампер на метр при длительностях импульсов в десятки микросекунд в электромагнитных процессах, протекающих моноциклично с двумя последовательными полуволнами разной полярности.

[43]

Литература

[44]

1. Авторское свидетельство СССР №256849, кл. G01R 33/12, 1969.

[45]

2. Авторское свидетельство СССР №410342, кл. G01R 33/02, 1974.

[46]

3. Г.В. Ломаев, С.К. Водеников; патент РФ №2395101 C1, кл. G01R 33/02, 20.07.2010.

Как компенсировать расходы
на инновационную разработку
Похожие патенты