патент
№ RU 2469020
МПК C07C233/63

(3R,4R,5S)-5-АМИНО-4-АЦИЛАМИНО-3-(1-ЭТИЛ-ПРОПОКСИ)-ЦИКЛОГЕКС-1-ЕН-КАРБОНОВЫЕ КИСЛОТЫ, ИХ ЭФИРЫ И СПОСОБ ПРИМЕНЕНИЯ

Авторы:
Иващенко Александр Васильевич
Правообладатель:
Все (2)
Номер заявки
2011144997/04
Дата подачи заявки
08.11.2011
Опубликовано
10.12.2012
Страна
RU
Как управлять
интеллектуальной собственностью
Реферат

Изобретение относится к новым замещенным (3R,4R,5S)-5-амино-4-ациламино-3-(1-этил-пропокси)-циклогекс-1-ен-карбоновым кислотам общей формулы 1, их эфирам, фармацевтически приемлемым солям и/или гидратам, обладающим противовирусной активностью, связанной с ингибированием нейраминидазы, в частности нейраминидазы вируса гриппа. Соединения могут найти применение при лечении вируса гриппа и пневмонии, обусловленной вирусом гриппа. Изобретение также относится к фармацевтическим композициям и лекарственному средству на их основе, способу ингибирования нейраминидазы и способу лечения гриппа и пневмонии, обусловленной вирусом гриппа. В общей формуле 1R1 представляет собой водород, С-Салкил, С-Салкенил или С-Салкинил, необязательно замещенные С-Сциклоалкилом, фенилом, пиридилом, C-Салкокси; R2 представляет собой водород; -NH; СНО-, замещенный С-Салкил, выбранный из -СНОН, -CH-NH, -СН=СН, -СН=СНСl, -С=СН, -CHF, -CHF, -CF, -CHCF, цикло-CH, -CFCFCFCF, -CFCFCFCHF, -CHCFCFCFCF. 6 н. и 4 з.п. ф-лы, 3 табл., 33 пр.

Формула изобретения

1. (3R,4R,5S)-5-Амино-4-ациламино-3-(1-этил-пропокси)-циклогекс-1-ен-карбоновые кислоты, их эфиры общей формулы 1 и их фармацевтически приемлемые соли и/или гидраты

где R1 представляет собой водород, С17алкил, С27алкенил или С27алкинил, необязательно замещенные С36циклоалкилом, фенилом, пиридилом, С13алкокси;
R2 представляет собой водород; -NH2; С2Н5О-; замещенный С15алкил, выбранный из -СН2ОН, -CH2-NH2, -СН=СН2, -СН=CHCl, -C≡CH, -CH2F, -CHF2, -CF3, -CH2CF3, цикло-С3Н7, --CF2CF2CF2CF3, -CF2CF2CF2CHF2, -CH2CF2CF2CF2CF3.

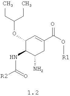
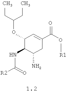
2. Соединения по п.1, представляющие собой кислоты общей формулы 1.1 и их эфиры общей формулы 1.2

в которых R1 представляет собой С15алкил, С35алкенил или С35алкинил, a R2 имеет вышеуказанное значение.

3. Соединения по п.2, представляющие собой
(3R,4R,5S)-5-амино-4-формиламино-3-(1-этилпропокси)-циклогекс-1-ен-карбоновую кислоту 1.1.1,
(3R,4R,5S)-5-амино-4-(2-гидрокси-ацетиламино)-3-(1-этилпропокси)-циклогекс-1-ен-карбоновую кислоту 1.1.2,
(3R,4R,5S)-5-амино-4-(2-амино-ацетиламино)-3-(1-этилпропокси)-циклогекс-1-ен-карбоновую кислоту 1.1.3,
(3R,4R,5S)-4-акрилоиламино-5-амино-3-(1-этилпропокси)-циклогекс-1-ен-карбоновую кислоту 1.1.4,
(3R,4R,5S)-5-амино-4-пропиноиламино-3-(1-этилпропокси)-циклогекс-1-ен-карбоновую кислоту 1.1.5,
(3R,4R,5S)-5-амино-4-(2-фтор-ацетиламино)-3-(1-этилпропокси)-циклогекс-1-ен-карбоновую кислоту 1.1.6,
(3R,4R,5S)-5-амино-4-(2,2-дифтор-ацетиламино)-3-(1-этилпропокси)-циклогекс-1-ен-карбоновую кислоту 1.1.7,
(3R,4R,5S)-5-амино-4-(2,2,2-трифтор-ацетиламино)-3-(1-этилпропокси)-циклогекс-1-ен-карбоновую кислоту 1.1.8,
(3R,4R,5S)-5-амино-4-(3,3,3-трифтор-пропиониламино)-3-(1-этилпропокси)-циклогекс-1-ен-карбоновую кислоту 1.1.9,
(3R,4R,5S)-5-амино-4-(2,2,3,3,4,4,5,5-октафтор-пентаноиламино)-3-(1-этилпропокси)-циклогекс-1-ен-карбоновую кислоту 1.1.10,
(3R,4R,5S)-5-амино-4-(2,2,3,3,4,4,5,5,5-нонафтор-пентаноиламино)-3-(1-этилпропокси)-циклогекс-1-ен-карбоновую кислоту 1.1.11,
(3R,4S,5S)-5-амино-4-(2,2,3,3,4,4,5,5,6,6,6-ундекафтор-гексаноиламино)-3-(1-этилпропокси)-циклогекс-1-ен-карбоновую кислоту 1.1.12,
(3R,4R,5S)-5-амино-4-(циклопропилкарбонил-амино)-3-(1-этилпропокси)-циклогекс-1-ен-карбоновой кислоты 1.1.14,
(3R,4R,5S)-5-амино-4-(этоксикарбонил-амино)-3-(1-этилпропокси)-циклогекс-1-ен-карбоновой кислоты 1.1.15,
(3R,4R,5S)-5-амино-4-уреидо-3-(1-этилпропокси)-циклогекс-1-ен-карбоновой кислоты 1.1.16,
(3R,4R,58)-4-(3-хлорпроп-2-еноил-амино)-5-амино-3-(1-этилпропокси)-циклогекс-1-ен-карбоновая кислота 1.1.17.
этиловый эфир (3R,4R,5S)-5-амино-4-формиламино-3-(1-этилпропокси)-циклогекс-1-ен-карбоновой кислоты 1.2.1,
этиловый эфир (3R,4R,5S)-5-амино-4-(2-гидрокси-ацетиламино)-3-(1-этилпропокси)-циклогекс-1-ен-карбоновой кислоты 1.2.2,
этиловый эфир (3R,4R,5S)-5-амино-4-(2-амино-ацетиламино)-3-(1-этилпропокси)-циклогекс-1-ен-карбоновой кислоты 1.2.3,
этиловый эфир (3R,4R,5S)-4-акрилоиламино-5-амино-3-(1-этилпропокси)-циклогекс-1-ен-карбоновой кислоты 1.2.4,
этиловый эфир (3R,4R,5S)-5-амино-4-пропиноиламино-3-(1-этилпропокси)-циклогекс-1-ен-карбоновой кислоты 1.2.5,
этиловый эфир (3R,4R,5S)-5-амино-4-(2-фтор-ацетиламино)-3-(1-этилпропокси)-циклогекс-1-ен-карбоновой кислоты 1.2.6,
этиловый эфир (3R,4R,5S)-5-амино-4-(2,2-дифтор-ацетиламино)-3-(1-этилпропокси)-циклогекс-1-ен-карбоновой кислоты 1.2.7,
этиловый эфир (3R,4R,5S)-5-амино-4-(2,2,2-трифтор-ацетиламино)-3-(1-этилпропокси)-циклогекс-1-ен-карбоновой кислоты 1.2.8,
этиловый эфир (3R,4R,5S)-5-амино-4-(3,3,3-трифтор-пропиониламино)-3-(1-этилпропокси)-циклогекс-1-ен-карбоновой кислоты 1.2.9,
этиловый эфир (3R,4R,5S)-5-амино-4-(2,2,3,3,4,4,5,5-октафтор-пентаноиламино)-3-(1-этилпропокси)-циклогекс-1-ен-карбоновой кислоты 1.2.10,
этиловый эфир (3R,4R,5S)-5-амино-4-(2,2,3,3,4,4,5,5,5-нонафтор-пентаноиламино)-3-(1-этилпропокси)-циклогекс-1-ен-карбоновой кислоты 1.2.11,
этиловый эфир (3R,4R,5S)-5-амино-4-(2,2,3,3,4,4,5,5,6,6,6-ундекафтор-гексаноиламино)-3-(1-этилпропокси)-циклогекс-1-ен-карбоновой кислоты 1.2.12,
этиловый эфир (3R,4R,5S)-5-амино-4-(циклопропилкарбонил-амино)-3-(1-этилпропокси)-циклогекс-1-ен-карбоновой кислоты 1.2.14,
этиловый эфир (3R,4R,5S)-5-амино-4-уреидо-3-(1-этилпропокси)-циклогекс-1-ен-карбоновой кислоты 1.2.15,
этиловый эфир (3R,4R,5S)-5-амино-4-(этоксикарбоиламино)-3-(1-этилпропокси)-циклогекс-1-ен-карбоновой кислоты 1.2.16,
этиловый эфир (3R,4R,5S)-4-(3-хлорпроп-2-еноил-амино)-5-амино-3-(1-этилпропокси)-циклогекс-1-ен-карбоновой кислоты 1.2.17,
аллиловый эфир (3R,4R,5S)-5-амино-4-(2,2,2-трифтор-ацетиламино)-3-(1-этилпропокси)-циклогекс-1-ен-карбоновой кислоты 1.2.18,
проп-2-иниловый эфир (3R,4R,5S)-5-амино-4-(2,2,2-трифтор-ацетиламино)-3-(1-этилпропокси)-циклогекс-1-ен-карбоновой кислоты 1.2.19.

4. Лекарственное начало, обладающее активностью в отношении нейраминидазы, представляющее собой соединение по любому из пп.1-3.

5. Фармацевтическая композиция, обладающее противовирусной активностью и предназначенная для лечения гриппа и пневмонии, обусловленной вирусом гриппа, включающая лекарственное начало по п.4 в терапевтически эффективном количестве.

6. Лекарственное средство в форме таблеток, капсул или инъекций, помещенных в фармацевтически приемлемую упаковку, содержащее фармацевтическую композицию по п.5 в эффективном количестве.

7. Лекарственное средство по п.6, для лечения пневмонии, обусловленной вирусом гриппа.

8. Способ ингибирования активности нейраминидазы, включающий стадию ее контактирования с соединением по любому из пп.1-3.

9. Способ по п.8, в котором в качестве нейраминидазы используют нейраминидазу вируса гриппа.

10. Способ профилактики и лечения гриппа и пневмонии, обусловленной вирусом гриппа, заключающийся во введении терапевтически эффективного количества лекарственного начала по п.4, или фармацевтической композиции по п.5, или лекарственного средства по п.6 или 7.

Описание

[1]

Данное изобретение относится к новым соединениям - замещенным 4,5-диамино-3-алкилокси-циклогекс-1-ен-карбоновым кислотам и их эфирам - ингибиторам активности нейраминидазы.

[2]

Многие из микроорганизмов, содержащих нейраминидазу, патогенны по отношению к человеку и другим животным, включая птицу, лошадей, cвиней и тюленей. Такие патогенные организмы включают вирус гриппа. Нейраминидаза связана с патогенностью вируса гриппа.

[3]

В этой связи новые замещенные 4,5-диамино-3-алкилокси-циклогекс-1-ен-карбоновые кислоты и их эфиры представляют интерес в качестве лекарственных субстанций для препаратов, предназначенных для профилактики и лечения гриппа.

[4]

Наиболее известными ингибиторами нейраминидазы являются (3R,4R,5S)-5-амино-3-алкилокси-4-ацетиламино-циклогекс-1-ен-карбоновые кислоты общей формулы А1, причем наиболее активной из них является (3R,4R,5S)-5-амино-4-ацетиламино-3-(1-этил-пропокси)-циклогекс-1-ен-карбоновая кислота формулы А2, которая, на основании рентгеноструктурных данных ее комплекса с нейраминидазой вируса гриппа, эффективно связывается с активным центром фермента (Oseltamivir Carboxylate) [С.U.Kim, W.Lew, M.A.Williams, et al. J.Am.Chem. Soc. 1997, 119, 681-690.].

[5]

Этиловый эфир озельтамивир карбоксилата A3, известный как озельтамивир фосфат или Тамифлю (Oseltamivir Phosphate, Tamiflu) [J.С.Rohloff, К.M.Kent, М.J.Postich, et al. J. Org. Chem. 1998, 63, 4545.], является предшественником кислоты A2 и известным противогриппозным препаратом [https://integrity.thomson-pharma.com/].

[6]

[7]

R=H, C1-C7 алкил

[8]

В источнике RU 2181357 (публикация международной заявки WO 1996026933) используются соединения общей формулы А

[9]

[10]

где, среди прочего, (а) Е1 означает -СО2Н; G1 означает -N(H)(C(NH)(NH2)); Т1 означает -N(H)(Ac); U1 означает -CH2OH; (b) Е1 означает -СО2Н; G1 означает -NH2; Т1 означает -N(H)(Ac); U1 означает -CH2OH; (с) Е1 означает -СН2ОН, -CH2OTMS, -CO2H или -СНО; G1 означает -N3; Т1 означает -N(H)(Ac); и U1 означает -CH2OCH2Ph; (d) E1 означает -CO2H или -CO2CH3; G1 означает -NH3; Т1 означает -N(H)(Ac); и U1 означает -СН2ОН.

[11]

Получаемые соединения используются в качестве ингибиторов вирусных или бактериальных нейраминидаз, для лечения или профилактики инфекции вируса гриппа, Исследования in vitro проводились согласно описанным методикам тестов (например, Warner and O'Brien, Biochemistry, vol 18, No 13, pp.2783-2787, 1979). Авторы RU 2181357 проводили испытания на разбавленных растворах вирусов, а активность измеряли по флуоресценции раствора. Экспериментальные данные ингибирующей активности приведены в Таблице 1.

[12]

Таблица 1.
Определение ферментингибирующей активности согласно RU №2181357.
Соединениепк50
А2+++
А4/А5 (2:1)++
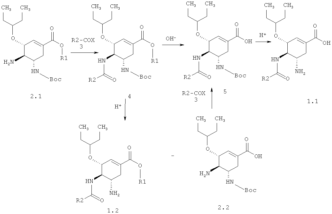
А6++
А7++
А8++
А9++
А10+
А11/А12 (1.2:1)+
А13+++
А14+++
А15+++

[13]

ПК50 - концентрация соединения, при которой наблюдается 50% ингибирование ферментативной активности (+соответствует ПК50=10-100 мкмоль, ++1-10 мкмоль, +++<1,0 мкмоль).

[14]

[15]

[16]

[17]

[18]

При осуществлении изобретения, описанного в RU №2181357, в примерах осуществления изобретения значение Т1 представляет собой преимущественно -NHC(O)CH3, и при этом не указывается на получение и свойства соединений со значением T1 -NHC(O)CH2F, -NHC(O)CHF2, -NHC(O)CF3.

[19]

Поиск высокоэффективных противогриппозных лекарственных препаратов, обладающих повышенной активностью и пониженной токсичностью, по-прежнему является одним из основных направлений создания новых фармакологических средств для лечения гриппа. В этой связи актуальным является разработка новых противогриппозных субстанций, фармацевтических композиций и лекарственных препаратов, а также способов их получения и применения.

[20]

Ниже приведены определения терминов, которые использованы в описании этого изобретения.

[21]

«Алкенил» означает алифатическую линейную или разветвленную углеводородную группу, содержащую от 2 до 7 атомов углерода и включающую по крайней мере одну углерод-углеродную двойную связь.

[22]

Разветвленная означает, что к линейной алкенильной цепи присоединены один или несколько низших алкильных групп, таких как метил, этил или пропил. Алкильная группа может иметь один или несколько заместителей, например, таких как галоген, алкенилокси, циклоалкил, циано, гидрокси, алкокси, карбокси, алкинилокси, аралкокси, арилокси, арилоксикарбонил, алкилтио, гетероаралкилокси, гетероциклил, гетероциклилалкилокси, алкоксикарбонил, аралкоксикарбонил, гетроаралкилоксикарбонил или

[23]

где и независимо друг от друга представляют собой «заместители аминогруппы», значение которых определено в данном разделе, например атом водорода, алкил, арил, аралкил, гетероаралкил, гетероциклил или гетероарил, или и вместе с атомом N, с которым они связаны, образуют через и 4-7-членный гетероциклил или гетероцикленил. Предпочтительными алкильными группами являются метил, трифторметил, циклопропилметил, циклопентилметил, этил, н-пропил, изо-пропил, н-бутил, трет-бутил, н-пентил, 3-пентил, метоксиэтил, карбоксиметил, метоксикарбонилметил, бензилоксикарбонилметил и пиридилметилоксикарбнилметил. Предпочтительными алкенильными группами являются этенил, пропенил, н-бутенил, изо-бутенил, 3-метилбут-2-енил, н-пентенил, и циклогексилбутенил.

[24]

«Алкенилокси» означает алкенил-О-группу, в которой алкенил определен в данном разделе. Предпочтительными алкенилоксигруппами являются аллилокси и 3-бутенилокси.

[25]

«Алкенилоксиалкил» означает алкенил-О-алкилгруппу, в которой алкил и алкенил определены в данном разделе.

[26]

«Алкил» означает алифатическую углеводородную линейную или разветвленную группу с 1-12 атомами углерода в цепи. Разветвленная означает, что алкильная цепь имеет один или несколько «низших алкильных» заместителей. Алкил может иметь один или несколько одинаковых или различных заместителей («алкильных заместителей»), включая галоген, алкенилокси, циклоалкил, арил, гетероарил, гетероциклил, ароил, циано, гидрокси, алкокси, карбокси, алкинилокси, аралкокси, арилокси, арилоксикарбнил, алкилтио, гетероарилтио, аралкилтио, арилсульфонил, алкилсульфонилгетероаралкилокси, аннелированный гетероарил цикл оалкенил, аннелированный гетероарилциклоалкил, аннелированный гетероарилгетероцикленил, аннелированный гетероарилгетероциклил, аннелированный арилциклоалкенил, аннелированный арилциклоалкил, аннелированный арилгетероцикленил, аннелированный арилгетероциклил, алкоксикарбонил, аралкоксикарбонил, гетероаралкилоксикарбонил или

[27]

где и независимо друг от друга представляют собой «заместители аминогруппы», значение которых определено в данном разделе, например атом водорода, алкил, арил, аралкил, гетероаралкил, гетероциклил или гетероарил, или и вместе с атомом N, с которым они связаны, образуют через и 4-7-членный гетероциклил или гетероцикленил. Предпочтительными алкильными группами являются метил, трифторметил, циклопропилметил, циклопентилметил, этил, н-пропил, изо-пропил, н-бутил, трет-бутил, н-пентил, 3-пентил, метоксиэтил, карбоксиметил, метоксикарбонилметил, этоксикарбонилметил, бензилоксикарбонилметил метоксикарбонилметил и пиридилметилоксикарбнилметил. Предпочтительными «алкильными заместителями» являются циклоалкил, арил, гетероарил, гетероциклил, гидрокси, алкокси, алкоксикарбонил, аралкокси, арилокси, алкилтио, гетероарилтио, аралкилтио, алкилсульфонил, арилсульфонил, алкоксикарбонил, аралкоксикарбонил, гетероаралкилоксикарбонил или аннелированный арилгетероцикленил, аннелированный арилгетероциклил.

[28]

«Алкинил» означает алифатическую линейную или разветвленную углеводородную группу, содержащую от 2 до 12 атомов углерода и включающую по крайней мере одну углерод-углеродную тройную связь.

[29]

Разветвленная означает, что к линейной алкинильной цепи присоединены один или несколько низших алкильных групп, таких как метил, этил или пропил. Алкильная группа может иметь один или несколько заместителей, например, таких как галоген, алкенилокси, циклоалкил, циано, гидрокси, алкокси, лкинилокси, аралкокси, арилокси, арилоксикарбонил, алкилтио, гетероаралкилокси, гетероциклил, гетероциклилалкилокси, алкоксикарбонил, аралкоксикарбонил, гетроаралкилоксикарбонил или где и независимо друг от друга представляют собой «заместители аминогруппы», значение которых определено в данном разделе, например атом водорода, алкил, арил, аралкил, гетероаралкил, гетероциклил или гетероарил, или и вместе с атомом N, с которым они связаны, образуют через и 4-7-членный гетероциклил или гетероцикленил. Предпочтительными алкильными группами являются метил, трифторметил, циклопропилметил, циклопентилметил, этил, н-пропил, изо-пропил, н-бутил, трет-бутил, н-пентил, 3-пентил, метоксиэтил, карбоксиметил, метоксикарбнилметил, бензилоксикарбонилметил и пиридилметилоксикарбнилметил. Предпочтительными алкенильными группами являются этенил, пропенил, н-бутенил, изо-бутенил, 3-метилбут-2-енил, н-пентенил, бута-1,3-диин и гекса-1,3,5-триин.

[30]

«Алкокси» означает алкил-О-группу, в которой алкил определен в данном разделе. Предпочтительным алкилоксигруппами являются метокси, этокси, н-пропокси, изо-пропокси и н-бутокси.

[31]

«Арил» означает ароматическую моноциклическую или полициклическую систему, включающую от 6 до 14 атомов углерода, преимуществено от 6 до 10 атомов углерода. Арил может содержать один или более «заместителей циклической системы», которые могут быть одинаковыми или разными. Представителями арильных групп являются фенил или нафтил, замещенный фенил или замещенный нафтил. Арил может быть анелирован с неароматической циклической системой или гетероциклом.

[32]

«Гетероциклил» означает ароматическую или неароматическую насыщенную моноциклическую или полициклическую систему, включающую от 3 до 10 атомов углерода, преимущественно от 5 до 6 атомов углерода, в которой один или несколько атомов углерода заменены на гетероатом, такой как азот, кислород, сера. Приставка «аза», «окса» или «тиа» перед гетероциклилом означает наличие в циклической системе атома азота, атома кислорода или атома серы соответственно. Гетероциклил может иметь один или несколько «заместителей циклической системы», которые могут быть одинаковыми или разными. Атомы азота и серы, находящиеся в гетероциклиле, могут быть окислены до N-оксида, S-оксида или S-диоксида. Представителями гетероциклилов являются пиперидин, пирролидин, пиперазин, морфолин, тиоморфолин, тиазолидин, 1,4-диоксан, тетрагидрофуран, тетрагидротиофен и др.

[33]

«Гидрат» означает сольват, в котором вода является молекулой или молекулами растворителя.

[34]

«Заместитель» означает химический радикал, который присоединяется к скэффолду (фрагменту), например «заместитель алкильный», «заместитель аминогруппы», «заместитель карбамоильный», «заместитель циклической системы», значения которых определены в данном разделе.

[35]

«Лекарственное начало» (лекарственная субстанция) (лекарственное вещество), drug-substance) означает физиологически активное вещество синтетического или иного (биотехнологического, растительного, животного, микробного и прочего) происхождения, обладающее фармакологической активностью и являющееся активным началом фармацевтической композиции, используемой для производства и изготовления лекарственного препарата (средства).

[36]

«Лекарственное средство (препарат)» - вещество (или смесь веществ в виде фармацевтической композиции) в виде таблеток капсул инъекций, мазей и др. готовых форм, предназначенное для восстановления, исправления или изменения физиологических функций у человека и животных, а также для лечения и профилактики болезней, диагностики, анестезии, контрацепции, косметологии и прочего.

[37]

Нейраминидаза (сиалидаза, ацилнейраминил гидролаза и ЕС 3.2.1.18) является обычным для животных и ряда микроорганизмов ферментом. Она представляет собой гликогидролазу, которая отщепляет альфакетосидикально связанные сиаловые кислоты от гликопротеинов, гликолипидов и олигосахаридов. Многие из микроорганизмов, содержащих нейраминидазу, патогенны по отношению к человеку и другим животным, включая птицу, лошадей, свиней и тюленей. Такие патогенные организмы включают вирус гриппа. Нейраминидаза связана с патогенностью вируса гриппа. Предположительно она содействует элюированию вновь синтезированных вирионов из инфицированных клеток и движению вируса (благодаря ее гидролазной активности) через слизь респираторного тракта.

[38]

«Низший алкил» означает линейный или разветвленный алкил с 1-5 атомами углерода.

[39]

«Терапевтический коктейль» представляет одновременно администрируемую комбинацию двух и более лекарственных препаратов, обладающих различным механизмом фармакологического действия и направленных на различные биомишени, участвующие в патогенезе заболевания.

[40]

«Фармацевтическая композиция» обозначает композицию, включающую в себя соединение формулы 1 и, по крайней мере, один из компонентов, выбранных из группы, состоящей из фармацевтически приемлимых и фармакологически совместимых наполнителей, растворителей, разбавителей, носителей, вспомогательных, распределяющих и воспринимающих средств, средств доставки, таких как консерванты, стабилизаторы, наполнители, измельчители, увлажнители, эмульгаторы, суспендирующие агенты, загустители, подсластители, отдушки, ароматизаторы, антибактериальные агенты, фунгициды, лубриканты, регуляторы пролонгированной доставки, выбор и соотношение которых зависит от природы и способа назначения и дозировки. Примерами суспендирующих агентов являются этоксилированный изостеариловый спирт, полиоксиэтилен, сорбитол и сорбитовый эфир, микрокристаллическая целлюлоза, метагидроксид алюминия, бентонит, агар-агар и трагакант, а также смеси этих веществ. Защита от действия микроорганизмов может быть обеспечена с помощью разнообразных антибактериальных и противогрибковых агентов, например, таких как, парабены, хлорбутанол, сорбиновая кислота и подобные им соединения. Композиция может включать также изотонические агенты, например сахара, хлористый натрий и им подобные. Пролонгированное действие композиции может быть обеспечено с помощью агентов, замедляющих абсорбцию активного начала, например моностеарат алюминия и желатин. Примерами подходящих носителей, растворителей, разбавителей и средств доставки являются вода, этанол, полиспирты, а также их смеси, растительные масла (такие, как оливковое масло) и инъекционные органические сложные эфиры (такие, как этилолеат). Примерами наполнителей являются лактоза, молочный сахар, цитрат натрия, карбонат кальция, фосфат кальция и им подобные. Примерами измельчителей и распределяющих средств являются крахмал, алгиновая кислота и ее соли, силикаты. Примерами лубрикантов являются стеарат магния, лаурилсульфат натрия, тальк, а также полиэтиленгликоль с высоким молекулярным весом. Фармацевтическая композиция для перорального, сублингвального, трансдермального, внутримышечного, внутривенного, подкожного, местного или ректального введения активного начала, одного или в комбинации с другим активным началом, может быть введена животным и людям в стандартной форме введения, в виде смеси с традиционными фармацевтическими носителями. Пригодные стандартные формы введения включают пероральные формы, такие как таблетки, желатиновые капсулы, пилюли, порошки, гранулы, жевательные резинки и пероральные растворы или суспензии, сублингвальные и трансбуккальные формы введения, аэрозоли, имплантаты, местные, трансдермальные, подкожные, внутримышечные, внутривенные, интраназальные или внутриглазные формы введения и ректальные формы введения.

[41]

«Фармацевтически приемлемая соль» означает относительно нетоксичные органические и неорганические соли кислот и оснований, заявленных в настоящем изобретении. Эти соли могут быть получены in situ в процессе синтеза, выделения или очистки соединений или приготовлены специально. В частности, соли оснований могут быть получены специально, исходя из очищенного свободного основания заявленного соединения и подходящей органической или неорганической кислоты. Примерами полученных таким образом солей являются гидрохлориды, гидробромиды, сульфаты, бисульфаты, фосфаты, нитраты, ацетаты, оксалаты, валериаты, олеаты, пальмитаты, стеараты, лаураты, бораты, бензоаты, лактаты, тозилаты, цитраты, малеаты, фумараты, сукцинаты, тартраты, мезилаты, малонаты, салицилаты, пропионаты, этансульфонаты, бензолсульфонаты, сульфаматы и им подобные (Подробное описание свойств таких солей дано в Berge S.M., et al., "Pharmaceutical Salts" J. Pharm. Sci. 1977, 66: 1-19). Соли заявленных кислот также могут быть специально получены реакцией очищенной кислоты с подходящим основанием, при этом могут быть синтезированы соли металлов и аминов. К металлическим относятся соли натрия, калия, кальция, бария, цинка, магния, лития и алюминия, наиболее желательными из которых являются соли натрия и калия. Подходящими неорганическими основаниями, из которых могут быть получены соли металлов, являются гидроксид, карбонат, бикарбонат и гидрид натрия, гидроксид и бикарбонат калия, поташ, гидроксид лития, гидроксид кальция, гидроксид магния, гидроксид цинка. В качестве органических оснований, из которых могут быть получены соли заявленных кислот, выбраны амины и аминокислоты, обладающие достаточной основностью, чтобы образовать устойчивую соль, и пригодные для использования в медицинских целях (в частности, они должны обладать низкой токсичностью). К таким аминам относятся аммиак, метиламин, диметиламин, триметиламин, этиламин, диэтиламин, триэтиламин, бензиламин, дибензиламин, дициклогексиламин, пиперазин, этилпиперидин, трис(гидроксиметил)аминометан и подобные им. Кроме того, для солеобразования могут быть использованы гидроокиси тетраалкиламмония, например, такие как, холин, тетраметиламмоний, тетраэтиламмоний и им подобные. В качестве аминокислот могут быть использованы основные аминокислоты - лизин, орнитин и аргинин.

[42]

Авторы обнаружили новые ингибиторы нейраминидазы, представляющие собой неизвестные ранее (3R,4R,5S)-5-амино-4-ациламино-3-(1-этил-пропокси)-циклогекс-1-ен-карбоновые кислоты и их эфиры общей формулы 1 и их фармацевтически приемлемые соли или гидраты,

[43]

[44]

где R1 представляет собой водород, С17алкил, С27алкенил или С27алкинил, необязательно замещенные С36циклоалкилом, фенилом, пиридилом, C13алкокси;

[45]

R2 представляет собой водород; -NH2; С2Н5О-; замещенный C13алкил, выбранный из -СН2ОН, -CH2-NH2, -СН=СН2, -СН=CHCl, -С≡СН, -CH2F, -CHF2, -CF3, -CH2CF3, цикло-C3H7, -CF2CF2CF2CF3, -CF2CF2CF2CHF2, -CH2CF2CF2CF2CF3.

[46]

Согласно данному изобретению предпочтительными соединениями являются кислоты общей формулы 1.1 и их эфиры общей формулы 1.2,

[47]

[48]

в которых R1 представляет собой С15алкил, С35алкенил или С35алкинил, а R2 имеет вышеуказанное значение.

[49]

Согласно данному изобретению более предпочтительными соединениями являются

[50]

(3R,4R,5S)-5-амино-4-формиламино-3-(1-этилпропокси)-циклогекс-1-ен-карбоновая кислота 1.1.1,

[51]

(3R,4R,5S)-5-амино-4-(2-гидрокси-ацетиламино)-3-(1-этилпропокси)-циклогекс-1-ен-карбоновая кислота 1.1.2,

[52]

(3R,4R,5S)-5-амино-4-(2-амино-ацетиламино)-3-(1-этилпропокси)-циклогекс-1-ен-карбоновая кислота 1.1.3,

[53]

(3R,4R,5S)-4-акрилоиламино-5-амино-3-(1-этилпропокси)-циклогекс-1-ен-карбоновая кислота 1.1.4,

[54]

(3R,4R,5S)-5-амино-4-пропиноиламино-3-(1-этилпропокси)-циклогекс-1-ен-карбоновая кислота 1.1.5,

[55]

(3R,4R,5S)-5-амино-4-(2-фтор-ацетиламино)-3-(1-этилпропокси)-циклогекс-1-ен-карбоновая кислота 1.1.6,

[56]

[57]

[58]

(3R,4R,5S)-5-амино-4-(2,2-дифтор-ацетиламино)-3-(1-этилпропокси)-циклогекс-1-ен карбоновая кислота 1.1.7,

[59]

(3R,4R,5S)-5-амино-4-(2,2,2-трифтор-ацетиламино)-3-(1-этилпропокси)-циклогекс-1-ен-карбоновая кислота 1.1.8,

[60]

(3R,4E,5S)-5-амино-4-(3,3,3-трифтор-пропиониламино)-3-(1-этилпропокси)-циклогекс-1-ен-карбоновая кислота 1.1.9,

[61]

(3R,4R,5S)-5-амино-4-(2,2,3,3,4,4,5,5-октафтор-пентаноиламино)-3-(1-этилпропокси)-циклогекс-1-ен-карбоновая кислота 1.1.10,

[62]

(3R,4R,5S)-5-амино-4-(2,2,3,3,4,4,5,5,5-нонафтор-пентаноиламино)-3-(1-этилпропокси)-циклогекс-1-ен-карбоновая кислота 1.1.11,

[63]

(3R,4R,5S)-5-амино-4-(2,2,3,3,4,4,5,5,6,6,6-ундекафтор-гексаноиламино)-3-(1-этилпропокси)-циклогекс-1-ен-карбоновая кислота 1.1.12,

[64]

[65]

[66]

(3R,4R,5S)-5-амино-4-(циклопропилкарбонил-амино)-3-(1-этилпропокси)-циклогекс-1-ен-карбоновой кислоты 1.1.14,

[67]

(3R,4R,5S)-5-амино-4-(этоксикарбонил-амино)-3-(1-этилпропокси)-циклогекс-1-ен-карбоновой кислоты 1.1.15,

[68]

(3R,4R,5S)-5-амино-4-уреидо-3-(1-этилпропокси)-циклогекс-1-ен-карбоновой кислоты 1.1.16,

[69]

(3R,4R,5S)-4-(3-хлорпроп-2-еноил-амино)-5-амино-3-(1-этилпропокси)-циклогекс-1-ен-карбоновая кислота 1.1.17,

[70]

[71]

этиловый эфир (3R,4R,5S)-5-амино-4-формиламино-3-(1-этилпропокси)-циклогекс-1-ен-карбоновой кислоты 1.2.1,

[72]

этиловый эфир (3R,4R,5S)-5-амино-4-(2-гидрокси-ацетиламино)-3-(1-этилпропокси)-циклогекс-1-ен-карбоновой кислоты 1.2.2,

[73]

этиловый эфир (3R,4R,5S)-5-амино-4-(2-амино-ацетиламино)-3-(1-этилпропокси)-циклогекс-1-ен-карбоновой кислоты 1.2.3,

[74]

этиловый эфир (3R,4R,5S)-4-акрилоиламино-5-амино-3-(1-этилпропокси)-циклогекс-1-ен-карбоновой кислоты 1.2.4,

[75]

этиловый эфир (3R,4R,5S)-5-амино-4-пропиноиламино-3-(1-этилпропокси)-циклогекс-1-ен-карбоновой кислоты 1.2.5,

[76]

этиловый эфир (3R,4R,5S)-5-амино-4-(2-фтор-ацетиламино)-3-(1-этилпропокси)-циклогекс-1-ен-карбоновой кислоты 1.2.6,

[77]

[78]

[79]

этиловый эфир (3R,4R,5S)-5-амино-4-(2,2-дифтор-ацетиламино)-3-(1-этилпропокси)-циклогекс-1-ен-карбоновой кислоты 1.2.7,

[80]

этиловый эфир (3R,4R,5S)-5-амино-4-(2,2,2-трифтор-ацетиламино)-3-(1-этилпропокси)-циклогекс-1-ен-карбоновой кислоты 1.2.8,

[81]

этиловый эфир (3R,4R,5S)-5-амино-4-(3,3,3-трифтор-пропиониламино)-3-(1-этилпропокси)-циклогекс-1-ен-карбоновой кислоты 1.2.9,

[82]

этиловый эфир (3R,4R,5S)-5-амино-4-(2,2,3,3,4,4,5,5-октафтор-пентаноиламино)-3-(1-этилпропокси)-циклогекс-1-ен-карбоновой кислоты 1.2.10,

[83]

этиловый эфир (3R,4R,5S)-5-амино-4-(2,2,3,3,4,4,5,5,5-нонафтор-пентаноиламино)-3-(1-этилпропокси)-циклогекс-1-ен-карбоновой кислоты 1.2.11,

[84]

этиловый эфир (3R,4R,5S)-5-амино-4-(2,2,3,3,4,4,5,5,6,6,6-ундекафтор-гексаноиламино)-3-(1-этилпропокси)-циклогекс-1-ен-карбоновой кислоты 1.1.12,

[85]

[86]

[87]

этиловый эфир (3R,4R,5S)-5-амино-4-(циклопропилкарбониламино)-3-(1-этилпропокси)-циклогекс-1-ен-карбоновой кислоты 1.2.14,

[88]

этиловый эфир (3R,4R,5S)-5-амино-4-уреидо-3-(1-этилпропокси)-циклогекс-1-ен-карбоновой кислоты 1.2.15,

[89]

этиловый эфир (3R,4R,5S)-5-амино-4-(этоксикарбониламино)-3-(1-этилпропокси)-циклогекс-1-ен-карбоновой кислоты 1.2.16,

[90]

этиловый эфир (3R,4R,5S)-4-(3-хлорпроп-2-еноил-амино)-5-амино-3-(1-этилпропокси)-циклогекс-1-ен-карбоновой кислоты 1.2.17,

[91]

аллиловый эфир (3R,4R,5S)-5-амино-4-(2,2,2-трифтор-ацетиламино)-3-(-этилпропокси)-циклогекс-1-ен-карбоновой кислоты 1.2.18,

[92]

проп-2-иниловый эфир (3R,4R,5S)-5-амино-4-(2,2,2-трифтор-ацетиламино)-3-(1-этилпропокси)-циклогекс-1-ен-карбоновой кислоты 1.2.19.

[93]

[94]

[95]

(3R,4R,5S)-5-амино-4-ациламино-3-(1-этил-пропокси)-циклогекс-1-ен-карбоновые кислоты и их эфиры общей формулы 1 получают по аналогии с синтезом известных соединений А2 и A3 [М.Morita et al. Bioorg. Med. Chem. Lett. 18, 600-602 (2008). F. Konno et al. Bioorg. Med. Chem. Lett. 18, 1260-1263 (2008)] по схеме, представленной ниже,

[96]

[97]

где R1 и R2 имеют вышеуказанное значение.

[98]

Новые замещенные 4,5-диамино-3-гидрокси-циклогекс-1-ен-карбоновые кислоты общей формулы 1 и их фармацевтически приемлемые соли и/или гидраты являются ингибиторами нейраминидазы и проявляют противогриппозную активность (Таблица 1).

[99]

Согласно данному изобретению новые соединения общей формулы 1 представляют собой лекарственное начало для приготовления фармацевтической композиции и готовых лекарственных форм для профилактики и лечения гриппа у теплокровных животных и людей.

[100]

Предметом данного изобретения является фармацевтическая композиция, включающая в качестве лекарственного начала соединения общей формулы 1 или их фармацевтически приемлемые соли и/или гидраты в терапевтически эффективном количестве.

[101]

Фармацевтические композиции могут включать фармацевтически приемлемые эксципиенты. Под фармацевтически приемлемым эксципиентами подразумеваются применяемые в сфере фармацевтики разбавители, вспомогательные агенты и/или носители. Фармацевтическая композиция, наряду с соединением общей формулы 1 или их фармацевтически приемлемой солью и/или гидратом по настоящему изобретению, может включать и другие активные субстанции, в том числе обладающие противогриппозной активностью, при условии, что они не вызывают нежелательных эффектов.

[102]

При необходимости использования фармацевтической композиции по настоящему изобретению в клинической практике она может смешиваться с традиционными фармацевтическими носителями.

[103]

Носители, используемые в фармацевтических композиций по настоящему изобретению, представляют собой носители, которые применяются в сфере фармацевтики для получения распространенных форм, в том числе в пероральных формах используются связующие вещества, смазывающие агенты, дезинтеграторы, растворители, разбавители, стабилизаторы, суспендирующие агенты, бесцветные агенты, корригенты вкуса; в формах для инъекций используются антисептические агенты, солюбилизаторы, стабилизаторы; в местных формах используются основы, разбавители, смазывающие агенты, антисептические агенты.

[104]

Предметом данного изобретения является способ получения фармацевтической композиции смешением с инертным наполнителем и/или растворителем, по крайней мере, одного лекарственного начала общей формулы 1 или его фармацевтически приемлемой соли и/или гидрата в терапевтически эффективном количестве.

[105]

Предметом данного изобретения является также лекарственное средство для лечения гриппа в форме таблеток, капсул или инъекций, помещенных в фармацевтически приемлемую упаковку, предназначенное для профилактики лечения гриппа у людей и теплокровных животных, включающее в свой состав противогриппозное лекарственное начало общей формулы 1 или новую фармацевтическую в терапевтически эффективном количестве.

[106]

Предметом данного изобретения являются также терапевтические коктейли для лечения гриппа, включающие в качестве одного из компонентов новое лекарственное средство или новую фармацевтическую композицию, содержащих в качестве активного компонента, по крайней мере, одно соединение общей формулы 1 или их фармацевтически приемлемую соль и/или гидрат.

[107]

Терапевтический коктейль для и лечения гриппа, наряду с лекарственным средством по данному изобретению, может включать другие известные препараты, предназначенные для лечения гриппа или препараты, усиливающие иммунную систему пациента.

[108]

В соответствии с данным изобретением способ профилактики и лечения гриппа у животных и людей заключается во введении пациенту нового лекарственного средства, новой фармацевтической композиции или нового терапевтического коктейля.

[109]

Лекарственные средства могут вводиться перорально или парентерально (например, внутривенно, подкожно, внутрибрюшинно или местно. Клиническая дозировка средства общей формулы 1 у пациентов может корректироваться в зависимости от терапевтической эффективности и биодоступности активных ингредиентов в организме, скорости их обмена и выведения из организма, а также в зависимости от возраста, пола и стадии заболевания пациента, при этом суточная доза у взрослых обычно составляет 10~500 мг, предпочтительно 50~300 мг. Поэтому во время приготовления из фармацевтической композиции лекарственного средства по настоящему изобретению в виде единиц дозировки необходимо учитывать вышеназванную эффективную дозировку, при этом каждая единица дозировки препарата должна содержать 10~500 мг средства общей формулы 1, предпочтительно 50~300 мг. В соответствии с указаниями врача или фармацевта данные препараты могут приниматься несколько раз в течение определенных промежутков времени (предпочтительно от одного до шести раз).

[110]

Предметом данного изобретения является также способ ингибирования активности нейраминидазы в естественных условиях, в том числе нейраминидазы вируса гриппа, включающий стадию контактирования соединения общей формулы 1 и нейраминидазы.

[111]

Данное изобретение иллюстрируется, но не ограничивается следующими примерами.

[112]

Пример 1. Получение (3R,4R,5S)-5-амино-4-формиламино-3-(1-этилпропокси)-циклогекс-1-ен-карбоновой кислоты 1.1.1. Растворили 250 мг (3R,4R,5S)-4-амино-5-(трет-бутоксикарбониламино)-3-(пентан-3-илокси)циклогекс-1-енкарбоновой кислоты 2.2 в 15 мл толуола, добавили 500 мг муравьиной кислоты и 1 г молекулярного сита 3А и кипятили реакционную массу с обратным холодильником в течение ночи. Затем реакционную массу отфильтровывали, осадок промывали этанолом, маточный раствор упаривали, сухой остаток растворяли в этилацетате, промывали 5% раствором соды, сушили над Mg2SO4 и затем упаривали. Очистку продукта реакции проводили методом HPLC. Получали (3R,4R,5S)-5-амино-4-формиламино-3-(1-этилпропокси)-циклогекс-1-ен-карбоновой кислоты 1.1.1: LSMS m/z 271 (М+1), C13H22N2O4.

[113]

Пример 2. Получение (3R,4R,5S)-5-амино-4-(2-гидрокси-ацетиламино)-3-(1-этилпропокси)-циклогекс-1-ен-карбоновой кислоты 1.1.2. К раствору 1000 мг (2.7 ммоль) исходного (3R,4R,5S)-этил-4-амино-5-(трет-бутоксикарбониламино)-3-(пентан-3-илокси)циклогекс-1-енкарбоксилата 2.1, 620 мг (3.24 ммоль) гидрохлорида N-[3-(диметиламино)пропил]-N'-этилкарбодиимида, 438 мг (3.24 ммоль) гидроксибензотриазола и 1150 мг (8.92 ммоль) N,N-диизопропилэтиламина в 10 мл сухого ТГФ прибавили 247 мг (3.24 ммоль) 2-гидрокиуксусной кислоты. Реакционную массу перемешивали при комнатной температуре в течение ночи. По окончании реакции растворитель отгоняли, сухой остаток растворяли в этилацетате, промывали 5% раствором соды, сушили над Mg2SO4 и затем упаривали. Получали этиловый эфир (3R,4R,5S)-4-(2-гидрокси-ацетиламино)-5-(трет-бутоксикарбониламино)-3-(1-этилпропокси)-циклогекс-1-ен-карбоновой кислоты 4 (R1=Et, R2=СН2ОН) с выходом по данным LCMS 93%. Полученный продукт (100 мг) перемешивали в 1 мл 5% водного раствора гидроксида лития в течение 5-10 минут при комнатной температуре, затем растворитель отгоняли, остаток растворяли в диоксане, фильтровали, полученный раствор упаривали и сушили в вакууме. Получали кислоту 5 (R2=CH2OH), растворяли в 1 мл 3М раствора соляной кислоты в диоксане. Полученный раствор перемешивали при комнатной температуре до окончания реакции. Контроль за ходом реакции осуществляли методом HPLC. Продукт очищали методом HPLC. Получали (3R,4R,5S)-5-амино-4-(2-гидрокси-ацетиламино)-3-(1-этилпропокси)-циклогекс-1-ен-карбоновую кислоту 1.1.2: LSMS m/z 301 (М+1), C14H24N2O5.

[114]

Пример 3. Получение (3R,4R,5S)-5-амино-4-(2-амино-ацетиламино)-3-(1-этилпропокси)-циклогекс-1-ен-карбоновой кислоты 1.1.3. К раствору 500 мг (1.35 ммоль) исходного (3R,4R,5S)-этил-4-амино-5-(трет-бутоксикарбониламино)-3-(пентан-3-илокси)циклогекс-1-енкарбоксилата 2.1, 387 мг (2.027 ммоль) гидрохлорида N-[3-(диметиламино)пропил]-N'-этилкарбодиимида, 237 мг (1.76 ммоль) гидроксибензотриазола и 5 мл сухого ДМФА прибавляли 308 мг (1.76 ммоль) 2-(трет-бутоксикарбониламино)уксусной кислоты. Реакционную массу перемешивали при комнатной температуре в течение ночи. По окончании реакции растворитель отгоняли, сухой остаток растворяли в этилацетате, промыли 5% раствором соды, сушили над Mg2SO4 и затем упарили. Полученное соединение использовали в дальнейших реакциях без дополнительной очистки. Выход неочищенного продукта составил 604 мг. Щелочной гидролиз 4 (R1=Et, R2=CH2NH2) проводили, как описано в примере 2, а снятие Вос-защиты соединения 5 (R2=CH2NH2) проводили в трифторуксусной кислоте. Получали (3R,4R,5S)-5-амино-4-(2-амино-ацетиламино)-3-(1-этилпропокси)-циклогекс-1-ен-карбоновую кислоту в виде трифторацетата 1.1.3·CF3CO2H LSMS m/z 300 (М+1), C16H26F3N3O6.

[115]

Пример 4. Получение (3R,4R,5S)-4-акрилоиламино-5-амино-3-(1-этилпропокси)-циклогекс-1-ен-карбоновой кислоты 1.1.4. К раствору (3R,4R,5S)-этил-4-амино-5-(трет-бутоксикарбониламино)-3-(пентан-3-илокси)циклогекс-1-енкарбоксилата в ДМФА добавляли 1.5 эквивалента акриловой кислоты и 1.5 эквивалента TBTU. Реакционную массу перемешивали при 50°С в течение 12 часов. По окончании реакции растворитель отгоняли, сухой остаток растворяли в этилацетате, промывали 5% K2CO3 и сушили в вакууме. Очистку амида 4 (R1=Et, R2=СН=СН2) проводили методом HPLC. Щелочной гидролиз 4 (R1=Et, R2=СН=СН2) проводили, как описано в примере 2. Продукт 5 (R2=СН=СН2) (50 мг) гидролизовали в 0.5 мл диоксана и 50 мкл серной кислоты. Реакционную малссу перемешивали при комнатной температуре до окончания реакции. Контроль за ходом реакции осуществляли методом LCMS. По окончании реакции к раствору добавляли гидрокарбонат натрия до полной нейтрализации серной кислоты, затем растворитель отгоняли и выделяли с помощью HPLC (3R,4R,5S)-4-акрилоиламино-5-амино-3-(1-этилпропокси)-циклогекс-1-ен-карбоновую кислоту 1.1.4: LSMS m/z 297 (М+1), C15H24N2O4. Аналогичным образом получали (3R,4R,5S)-4-(3-хлорпроп-2-еноил-амино)-5-амино-3-(1-этилпропокси)-циклогекс-1-ен-карбоновую кислоту 1.1.17: LSMS m/z 331 (М+1), C15H23ClN2O4.

[116]

Пример 5. Получение (3R,4R,5S)-5-амино-4-пропиноиламино-3-(1-этилпропокси)-циклогекс-1-ен-карбоновой кислоты 1.1.5. К раствору 750 мг (2 ммоль) исходного (3R,4R,5S)-этил-4-амино-5-(трет-бутоксикарбониламино)-3-(пентан-3-илокси)циклогекс-1-енкарбоксилата в 7.5 мл хлористого метилена добавили 213 мг (3.04 ммоль) пропионовой кислоты и 626 мг (3.05 ммоль) N,N'-дициклогексилкарбодиимида. Полученную смесь перемешивали при комнатной температуре в течение ночи. По окончании реакции растворитель отгоняли, сухой остаток растворяли в эфире и отфильтровывали осадок. Маточный раствор упаривали и использовали полученное соединение в дальнейших реакциях без дополнительной очистки. Выход неочищенного продукта составил 61%. Щелочной гидролиз 4 (R1=Et, R2=С≡СН) проводили, как описано в примере 2. Продукт 5 (R2=С≡СН) (50 мг) гидролизовали в 0.5 мл диоксана и 50 мкл серной кислоты. Реакционную массу перемешивали при комнатной температуре до окончания реакции. Контроль за ходом реакции осуществляли методом LCMS. По окончании реакции к раствору добавляли гидрокарбонат натрия до полной нейтрализации серной кислоты, затем растворитель отгоняли и выделяли с помощью HPLC (3R,4R,5S)-5-амино-4-пропиноиламино-3-(1-этилпропокси)-циклогекс-1-ен-карбоновую кислоту 1.1.5: LSMS m/z 295 (М+1), C15H22N2O4.

[117]

Пример 6. Получение (3R,4R,5S)-5-амино-4-(2-фтор-ацетиламино)-3-(1-этилпропокси)-циклогекс-1-ен-карбоновой кислоты 1.1.6 проводили по аналогии с синтезом кислоты 1.1.4, как описано в примере 4. LSMS m/z 303 (М+1), C14H23FN2O4.

[118]

Пример 7. Получение (3R,4R,5S)-5-амино-4-(2,2-дифтор-ацетиламино)-3-(1-этилпропокси)-циклогекс-1-ен-карбоновой кислоты 1.1.7 проводили по аналогии с синтезом кислоты 1.1.4, как описано в примере 4. LSMS m/z 321 (М+1), C14H22F2N2O4.

[119]

Пример 8. Получение (3К,4К,5S)-5-амино-4-(2,2,2-трифтор-ацетиламино)-3-(1-этилпропокси)-циклогекс-1-ен-карбоновой кислоты 1.1.8 проводили по аналогии с синтезом кислоты 1.1.4, как описано в примере 4. LSMS m/z 339 (М+1), C14H21F3N2O4.

[120]

Пример 9. Получение (3R,4R,5S)-5-амино-4-(3,3,3-трифтор-пропиониламино)-3-(1-этилпропокси)-циклогекс-1-ен-карбоновой кислоты 1.1.9. К раствору 300 мг (0.81 ммоль) исходного (3R,4R,5S)-этил-4-амино-5-(трет-бутоксикарбониламино)-3-(пентан-3-илокси)циклогекс-1-енкарбоксилата 2.1, 186 мг (0.972 ммоль) гидрохлорида N-[3-(диметиламино)пропил]-N'-этилкарбодиимида, 132 мг (0.972 ммоль) гидроксибензотриазола и 345 мг (2.68 ммоль) N,N-диизопропилэтиламина в 10 мл сухого ТГФ прибавляли 126 мг (0.972 ммоль) 3,3,3-трифторпропионовой кислоты. Реакционную массу перемешивали при комнатной температуре в течение ночи. По окончании реакции растворитель отгоняли, сухой остаток растворяли в этилацетате, промывали 5% раствором соды, сушили над Na2SO4 и затем упаривали. Выход продукта по данным LCMS-спектра составил 80%. Полученное соединение использовали в дальнейших реакциях без дополнительной очистки. Щелочной гидролиз 4 (R1=Et, R2=CH2CF3) и кислотный гидролиз 5 (R2=CH2CF3) проводили, как описано в примере 2. Получили (3R,4R,5S)-5-амино-4-(3,3,3-трифтор-пропиониламино)-3-(1-этилпропокси)-циклогекс-1-ен-карбоновую кислоту 1.1.9: LSMS m/z 353 (М+1), C15H23F3N2O4.

[121]

Пример 10. Получение (3R,4R,5S)-5-амино-4-(2,2,3,3,4,4,4-гептафторбутириламино)-3-(1-этилпропокси)-циклогекс-1-ен-карбоновой кислоты 1.1.10. К раствору 150 мг (0.4 ммоль) исходного (3R,4R,5S)-этил-4-амино-5-(трет-бутоксикарбониламино)-3-(пентан-3-илокси)циклогекс-1-енкарбоксилата 2.1 и 113 мг (1.22 ммоль) триэтиламина в 1.5 мл сухого дихлорметана добавляли 142 мг (0.6 ммоль) хлорангидрида 2,2,3,3,4,4,4-гептафторбутановой кислоты. Реакционную массу перемешивали при комнатной температуре до окончания реакции. Контроль за ходом реакции осуществляли методом LCMS. По окончании реакции полученное соединение использовали в дальнейших реакциях без дополнительной очистки. Выход неочищенного продукта близок к количественному. Щелочной гидролиз 4 (R1=Et, R2=CF2CF2CF3) и кислотный гидролиз 5 (R2=CF2CF2CF3) проводили, как описано в примере 2. Получали (3R,4R,5S)-5-амино-4-(2,2,3,3,4,4,4-гептафтор-бутириламино)-3-(1-этилпропокси)-циклогекс-1-ен-карбоновую кислоту 1.1.10: LSMS m/z 439 (М+1), C16H21F7N2O4.

[122]

Пример 11. Получение (3R,4R,5S)-5-амино-4-(2,2,3,3,4,4,5,5-октафтор-пентаноиламино)-3-(1-этилпропокси)-циклогекс-1-ен-карбоновой кислоты 1.1.11. К раствору 150 мг (0.4 ммоль) исходного (3R,4R,5S)-этил-4-амино-5-(трет-бутоксикарбониламино)-3-(пентан-3-илокси)циклогекс-1-енкарбоксилата 2.1 и 113 мг (1.22 ммоль) триэтиламина в 1.5 мл сухого дихлорметана добавляли 117 мг (0.45 ммоль) хлорангидрида 2,2,3,3,4,4,5,5-октафторпентановой кислоты. Реакционную массу перемешивали при комнатной температуре до окончания реакции. Контроль за ходом реакции осуществляли методом LCMS. По окончании реакции полученное соединение использовали в дальнейших реакциях без дополнительной очистки. Выход неочищенного продукта близок к количественному. Щелочной гидролиз 4 (R1=Et, R2=CF2CF2CF2CHF2) и кислотный гидролиз 5 (R2=CF2CF2CF2CHF2) проводили, как описано в примере 2. Получали (3R,4R,5S)-5-амино-4-(2,2,3,3,4,4,5,5-октафтор-пентаноиламино)-3-(1-этилпропокси)-циклогекс-1-ен-карбоновую кислоту 1.1.11: LSMS m/z 471 (М+1), C17H22F8N2O4.

[123]

Пример 12. Получение (3R,4R,5S)-5-амино-4-(2,2,3,3,4,4,5,5,6,6,6-ундекафтор-гексаноиламино)-3-(1-этилпропокси)-циклогекс-1-ен-карбоновой кислоты 1.1.12. К раствору 180 мг (0.486 ммоль) исходного (3R,4R,5S)-этил-4-амино-5-(трет-бутоксикарбониламино)-3-(пентан-3-илокси)циклогекс-1-енкарбоксилата 2.1 и 148 мг (1.46 ммоль) триэтиламина в 1.8 мл сухого дихлорметана добавляли 194 мг (0.73 ммоль) хлорангидрида 2,2,3,3,4,4,5,5,5-нонафторпентановой кислоты. Реакционную массу перемешивали при комнатной температуре до окончания реакции. Контроль за ходом реакции осуществляли методом LCMS. По окончании реакции полученное соединение использовали в дальнейших реакциях без дополнительной очистки. Выход неочищенного продукта близок к количественному. Щелочной гидролиз 4 (R1=Et, R2=CF2CF2CF2CF3) и кислотный гидролиз 5 (R2=CF2CF2CF2CF3) проводили, как описано в примере 2. Получали (3R,4R,5S)-5-амино-4-(2,2,3,3,4,4,5,5,6,6,6-ундекафтор-гексаноиламино)-3-(1-этилпропокси)-циклогекс-1-ен-карбоновую кислоту 1.1.12: LSMS m/z 489 (М+1), C17H21F9N2O4.

[124]

Пример 13. Получение (3R,4R,5S)-5-амино-4-(циклопропилкарбониламино)-3-(1-этилпропокси)-циклогекс-1-ен-карбоновой кислоты 1.1.14 проводили по аналогии с синтезом кислоты 1.1.4, как описано в примере 4. LSMS m/z 311 (М+1), C16H26N2O4.

[125]

Пример 14. Получение (3R,4R,5S)-5-амино-4-(этоксикарбониламино)-3-(1-этилпропокси)-циклогекс-1-ен-карбоновой кислоты 1.1.15. К раствору 300 мг (0.81 ммоль) исходного (3R,4R,5S)-этил-4-амино-5-(трет-бутоксикарбониламино)-3-(пентан-3-илокси)циклогекс-1-енкарбоксилата и 157 мг (1.2 ммоль) N,N-диизопропилэтиламина в 3 мл дихлорметана добавляли 114 мг этилхлорформиата. Реакционную массу перемешивали при комнатной температуре 1 час. По окончании реакции растворитель отгоняли, сухой остаток растворяли в этилацетате, промывали водой, сушили над Na2SO4, упаривали. Полученное соединение использовали в дальнейших реакциях без дополнительной очистки. Щелочной гидролиз 4 (R1=Et, R2=OEt) и кислотный гидролиз 5 (R2=OEt) проводили, как описано в примере 2. Получали (3R,4R,5S)-5-амино-4-(этоксикарбониламино)-3-(1-этилпропокси)-циклогекс-1-ен-карбоновую кислоту 1.1.15: LSMS m/z 315 (М+1), C15H26N2O5.

[126]

Пример 15. Получение (3R,4R,5S)-5-амино-4-уреидо-3-(1-этилпропокси)-циклогекс-1-ен-карбоновой кислоты 1.1.16. К раствору 90 мг (0.243 ммоль) исходного (3R,4R,5S)-этил-4-амино-5-(трет-бутоксикарбониламино)-3-(пентан-3-илокси)циклогекс-1-енкарбоксилата 2.1 в 900 мкл ледяной уксусной кислоты добавляли 22 мг (0.267 ммоль) KNCO. Реакционную массу перемешивали при комнатной температуре 1 час. Затем растворитель отгоняли и использовали полученное соединение в дальнейших реакциях без дополнительной очистки. Щелочной гидролиз 4 (R1=Et, R2=NH2) и кислотный гидролиз 5 (R2=NH2) проводили, как описано в примере 2. Получали (3R,4R,5S)-5-амино-4-уреидо-3-(1-этилпропокси)-циклогекс-1-ен-карбоновую кислоту 1.1.16: LSMS m/z 286 (М+1), C13H23N3O4.

[127]

Пример 16. Получение гидрохлорида этилового эфира (3R,4R,5S)-5-амино-4-формиламино-3-(1-этилпропокси)-циклогекс-1-ен-карбоновой кислоты 1.2.1. К раствору 750 мг (2 ммоль) исходного (3R,4R,5S)-этил-4-амино-5-(трет-бутоксикарбониламино)-3-(пентан-3-илокси)-циклогекс-1-енкарбоксилата 2.1 в 15 мл толуола добавляли 242 мг (5.26 ммоль) муравьиной кислоты и 1 г молекулярных сит 3А. Реакционную массу кипятили с обратным холодильником в течение ночи. Затем реакционную массу отфильтровывали, маточный раствор промывали 5% раствором соды, сушили над Mg2SO4 и затем упаривали. Очистку продукта реакции проводили методом HPLC. Получали 262 мг продукта 4 (R1=Et, R2=Н), Вос-защиту снимали соляной кислотой, очищали с помощью HPLC и переводили в гидрохлорид. Получали гидрохлорид этилового эфира (3R,4R,5S)-5-амино-4-формиламино-3-(1-этилпропокси)-циклогекс-1-ен-карбоновой кислоты 1.2.1·HCl: LSMS m/z 299 (М+1), C15H27ClN3O4.

[128]

Пример 17. Получение гидрохлорида этилового эфира (3R,4R,5S)-5-амино-4-(2-гидрокси-ацетиламино)-3-(1-этилпропокси)-циклогекс-1-ен-карбоновой кислоты 1.2.2. К раствору 1000 мг (2.7 ммоль) исходного (3R,4R,5S)-этил-4-амино-5-(трет-бутоксикарбониламино)-3-(пентан-3-илокси)циклогекс-1-енкарбоксилата 2.1, 620 мг (3.24 ммоль) гидрохлорида N-[3-(диметиламино)пропил]-N'-этилкарбодиимида, 438 мг (3.24 ммоль) гидроксибензотриазола и 1150 мг (8.92 ммоль) N,N-диизопропилэтиламина в 10 мл сухого ТГФ прибавляли 247 мг (3.24 ммоль) 2-гидроксиуксусной кислоты. Реакционную массу перемешивали при комнатной температуре в течение ночи. По окончании реакции растворитель отгоняли, сухой остаток растворяли в этилацетате, промывали 5% раствором соды, сушили над Mg2SO4 и затем упаривали. Выход продукта по данным LCMS-спектра составил 93%. Полученный продукт 4 (R1=Et, R2=СН2ОН) использовали в дальнейших реакциях без дополнительной очистки, Вос-защиту снимали соляной кислотой, очищали с помощью HPLC и переводили в гидрохлорид. Получали 180 мг гидрохлорида этилового эфира (3R,4R,5S)-5-амино-4-(2-гидрокси-ацетиламино)-3-(1-этилпропокси)-циклогекс-1-ен-карбоновой кислоты 1.2.2·HCl: LSMS m/z 329 (М+1), C16H28ClN2O5.

[129]

Пример 18. Получение дигидрохлорида этилового эфира (3R,4R,5S)-5-амино-4-(2-амино-ацетиламино)-3-(1-этилпропокси)-циклогекс-1-ен-карбоновой кислоты 1.2.3. К раствору 500 мг (1.35 ммоль) исходного (3R,4R,5S)-этил-4-амино-5-(трет-бутоксикарбониламино)-3-(пентан-3-илокси)циклогекс-1-енкарбоксилата 2.1, 387 мг (2.027 ммоль) гидрохлорида N-[3-(диметиламино)пропил]-N'-этилкарбодиимида, 237 мг (1.76 ммоль) гидроксибензотриазола и 5 мл сухого ДМФА прибавляли 308 мг (1.76 ммоль) 2-(трет-бутоксикарбониламино)уксусной кислоты. Реакционную массу перемешивали при комнатной температуре в течение ночи. По окончании реакции растворитель отгоняли, сухой остаток растворяли в этилацетате, промывали 5% раствором соды, сушили над Mg2SO4 и затем упаривали. Выход неочищенного продукта составил 604 мг. Полученный продукт 4 (R1=Et, R2=CH2NH2) использовали в дальнейших реакциях без дополнительной очистки, Вос-защиту снимали соляной кислотой, очищали с помощью HPLC и переводили в дигидрохлорид. Получали 180 мг дигидрохлорида этилового эфира (3R,4R,5S)-5-амино-4-(2-амино-ацетиламино)-3-(1-этилпропокси)-циклогекс-1-ен-карбоновой кислоты 1.2.3·2HCl: LSMS m/z 328 (М+1), C16H31C12N3O4.

[130]

Пример 19. Получение гидрохлорида этилового эфира (3R,4R,5S)-4-акрилоиламино-5-амино-3-(1-этилпропокси)-циклогекс-1-ен-карбоновой кислоты 1.2.4·HCl. К раствору (3R,4R,5S)-этил-4-амино-5-(трет-бутоксикарбониламино)-3-(пентан-3-илокси)циклогекс-1-енкарбоксилата в ДМФА добавляли 1.5 эквивалента акриловой кислоты и 1.5 эквивалента TBTU. Реакционную массу перемешивали при 50°С в течение 12 часов. По окончании реакции растворитель отгоняли, сухой остаток растворяли в этилацетате, промывали 5% K2CO3 и высушивали в вакууме. Очистку амида 4 (R1=Et, R2=СН=СН2) проводили методом HPLC. С полученного продукта 4 (R1=Et, R2=CH2NH2) Вос-защиту снимали соляной кислотой, очищали с помощью HPLC и переводили в гидрохлорид. Получали гидрохлорид этилового эфира (3R,4R,5S)-4-акрилоиламино-5-амино-3-(1-этилпропокси)-циклогекс-1-ен-карбоновой кислоты 1.2.4·HCl: LSMS m/z 325 (M+1), C17H29ClN2O4. Аналогичным образом получали гидрохлорид этилового эфира (3R,4R,5S)-4-(3-хлорпроп-2-еноил-амино)-5-амино-3-(1-этилпропокси)-циклогекс-1-ен-карбоновой кислоты 1.2.17·HCl: LSMS m/z 359 (М+1), C17H27ClN2O4.

[131]

Пример 20. Получение фосфата и гидрохлорида этилового эфира (3R,4R,5S)-5-амино-4-пропиноиламино-3-(1-этилпропокси)-циклогекс-1-ен-карбоновой кислоты 1.2.5. К раствору 750 мг (2 ммоль) исходного (3R,4R,5S)-этил-4-амино-5-(трет-бутоксикарбониламин)-3-(пентан-3-илокси)циклогекс-1-енкарбоксилата 2.1 в 7.5 мл хлористого метилена добавляли 213 мг (3.04 ммоль) пропионовой кислоты и 626 мг (3.05 ммоль) N,N'-дициклогексилкарбодиимида. Полученную смесь перемешивали при комнатной температуре в течение ночи. По окончании реакции растворитель отгоняли, сухой остаток растворяли в эфире и отфильтровывали осадок. Маточный раствор упаривали и использовали полученное соединение в дальнейших реакциях без дополнительной очистки. Выход неочищенного продукта 4 (R1=Et, R2=С≡СН) в виде гидрохлорида составил 61%, Вос-защиту снимали соляной кислотой, очищали с помощью HPLC и переводили в фосфат. Получали 203 мг фосфата этилового эфира (3R,4R,5S)-5-амино-4-пропиноиламино-3-(1-этилпропокси)-циклогекс-1-ен-карбоновой кислоты, который переводили в гидрохлорид 1.2.5·HCl: LSMS m/z 323 (М+1), C17H27ClN2O4.

[132]

Пример 21. Получение гидрохлорида этилового эфира (3R,4R,5S)-5-амино-4-(2-фтор-ацетиламино)-3-(1-этилпропокси)-циклогекс-1-ен-карбоновой кислоты 1.2.6·HCl проводили по аналогии с 1.2.4·HCl, как описано в примере 19. Получали гидрохлорид этилового эфира (3R,4R,5S)-5-амино-4-(2-фтор-ацетиламино)-3-(1-этилпропокси)-циклогекс-1-ен-карбоновой кислоты 1.2.6·HCl: LSMS m/z 331 (М+1), C16H28ClFN2O4.

[133]

Пример 22. Получение гидрохлорида этилового эфира (3R,4R,5S)-5-амино-4-(2,2-дифтор-ацетиламино)-3-(1-этилпропокси)-циклогекс-1-ен-карбоновой кислоты 1.2.7. К раствору 300 мг (0.81 ммоль) исходного (3R,4R,5S)-этил-4-амино-5-(трет-бутоксикарбониламино)-3-(пентан-3-илокси)циклогекс-1-енкарбоксилата 2.1, 186 мг (0.972 ммоль) гидрохлорида N-[3-(диметиламино)пропил]-N'-этилкарбодиимида, 132 мг (0.972 ммоль) гидроксибензотриазола и 345 мг (2.68 ммоль) N,N-диизопропилэтиламина в 10 мл сухого ТГФ прибавляли 93 мг (0.972 ммоль) 2,2-дифторуксусной кислоты. Реакционную массу перемешивали при комнатной температуре в течение ночи. По окончании реакции растворитель отгоняли, сухой остаток растворяли в этилацетате, промывали 5% раствором соды, сушили над Na2SO4 и затем упаривали. Выход неочищенного продукта 4 (R1=Et, R2=CHF2) составил 307 мг. Полученное соединение гидролизовали без дополнительной очистки в 1 мл трифторуксусной кислоты. Реакционную массу перемешивали при комнатной температуре в течение 30 минут. Затем растворитель отгоняли и очищали с использованием HPLC. Получали гидрохлорид этилового эфира (3R,4R,5S)-5-амино-4-(2,2-дифтор-ацетиламино)-3-(1-этилпропокси)-циклогекс-1-ен-карбоновой кислоты 1.2.7·HCl: LSMS m/z 349 (М+1), C16H27ClF2N2O4.

[134]

Пример 23. Получение гидрохлорида этилового эфира (3R,4R,5S)-5-aминo-4-(2,2,2-трифтор-ацетиламино)-3-(1-этилпропокси)-циклогекс-1-ен-карбоновой кислоты 1.2.8. К раствору 300 мг (0.8 ммоль) исходного (3R,4R,5S)-этил-4-амино-5-(трет-бутоксикарбониламино)-3-(пентан-3-илокси)циклогекс-1-енкарбоксилата 2.1 и 158 мг (1.22 ммоль) N,N-диизопропилэтиламина в 3.6 мл сухого дихлорметана добавляли 388 мг (1.46 ммоль) хлорангидрида 2,2,3,3,4,4,5,5,5-нонафторпентановой кислоты. Реакционную массу перемешивали при комнатной температуре до окончания реакции. Контроль за ходом реакции осуществляли методом LCMS. По окончании реакции полученное соединение использовали в дальнейших реакциях без дополнительной очистки. Выход неочищенного продукта 4 (R1=Et, R2=CF3) близок к количественному. Полученное соединение гидролизовали без дополнительной очистки в 1 мл трифторуксусной кислоты. Реакционную массу перемешивали при комнатной температуре в течение 30 минут. Затем растворитель отгоняли. Полученный продукт подвергали HPLC. Получали гидрохлорид этилового эфира (3R,4R,5S)-5-амино-4-(2,2,2-трифтор-ацетиламино)-3-(1-этилпропокси)-циклогекс-1-ен-карбоновой кислоты 1.2.8-HCl: LS MS m/z 367 (М+1), C16H26ClF3N2O4.

[135]

Используя в качестве исходного соединения 2.1 (3R,4R,5S)-аллил-4-амино-5-(трет-бутоксикарбониламин)-3-(пентан-3-илокси)циклогекс-1-енкарбоксилат и (3R,4R,5S)-проп-2-инил-4-амино-5-(трет-бутоксикарбониламин)-3-(пентан-3-илокси)циклогекс-1-енкарбоксилат аналогично получали гидрохлорид аллилового эфира (3R,4R,5S)-5-амино-4-(2,2,2-трифтор-ацетиламино)-3-(1-этилпропокси)-циклогекс-1-ен-карбоновой кислоты 1.2.18·HCl: LSMS m/z 379 (М+1), C17H26ClF3N2O4 и гидрохлорид проп-2-инилового эфира (3R,4R,5S)-5-амино-4-(2,2,2-трифтор-ацетиламино)-3-(1-этилпропокси)-циклогекс-1-ен-карбоновой кислоты 1.2.19·HCl: LSMS m/z 377 (М+1), C17H24ClF3N2O4.

[136]

Используя в качестве исходного соединения соответствующий (3R,4R,5S)-4-амино-5-(трет-бутоксикарбониламин)-3-(пентан-3-илокси)циклогекс-1-енкарбоксилат 2.1 получали:

[137]

гидрохлорид 2-циклогексилэтилового эфира (3R,4R,5S)-5-амино-4-(2,2,2-трифтор-ацетиламино)-3-(1-этилпропокси)-циклогекс-1-ен-карбоновой кислоты 1.2.20·HCl: LS MS m/z 449 (М+1), C22H36ClF3N2O4;

[138]

гидрохлорид 2-фенилэтилового эфира (3R,4R,5S)-5-амино-4-(2,2,2-трифтор-ацетиламино)-3-(1-этилпропокси)-циклогекс-1-ен-карбоновой кислоты 1.2.21·HCl: LS MS m/z 443 (М+1), C22H30ClF3N2O4;

[139]

гидрохлорид 2-пиридин-3-илэтилового эфира (3R,4R,5S)-5-амино-4-(2,2,2-трифтор-ацетиламино)-3-(1-этилпропокси)-циклогекс-1-ен-карбоновой кислоты 1.2.22·HCl: LS MS m/z 444 (М+1), C21H29ClF3N3O4;

[140]

гидрохлорид 2-метоксиэтилового эфира (3R,4R,5S)-5-амино-4-(2,2,2-трифтор-ацетиламино)-3-(1-этилпропокси)-циклогекс-1-ен-карбоновой кислоты 1.2.23·HCl: LS MS m/z 397 (М+1), C17H28ClF3N2O5.

[141]

Пример 24. Получение гидрохлоридов этилового эфира (3R,4R,5S)-5-амино-4-(ациламино)-3-(1-этилпропокси)-циклогекс-1-ен-карбоновой кислоты 1.2.9·HCl-1.2.12·HCl. К раствору 300 мг (0.81 ммоль) исходного (3R,4R,5S)-этил-4-амино-5-(трет-бутоксикарбониламин)-3-(пентан-3-илокси)циклогекс-1-енкарбоксилата 2.1, 186 мг (0.972 ммоль) гидрохлорида N-[3-(диметиламино)пропил]-N'-этилкарбодиимида, 132 мг (0.972 ммоль) гидроксибензотриазола и 345 мг (2.68 ммоль) N,N-диизопропилэтиламина в 10 мл сухого ТГФ прибавляли 126 мг (0.972 ммоль) 3,3,3-трифторпропионовой кислоты. Реакционную массу перемешивали при комнатной температуре в течение ночи. По окончании реакции растворитель отгоняли, сухой остаток растворяли в этилацетате, промыли 5% раствором соды, сушили над Na2SO4 и затем упаривали. Выход продукта по данным LCMS-спектра составил 80%. Полученное соединение 4 (R1=Et, R2=CH2CF3) гидролизовали без дополнительной очистки в 1 мл трифторуксусной кислоты. Реакционную массу перемешивали при комнатной температуре в течение 30 минут. Затем растворитель отгоняли. Полученный продукт подвергали HPLC. Получали гидрохлорид этилового эфира (3R,4R,5S)-5-амино-4-(3,3,3-трифтор-пропиониламино)-3-(1-этилпропокси)-циклогекс-1-ен-карбоновой кислоты 1.2.9·HCl: LSMS m/z 381 (М+1), C16H26ClF3N2O4.

[142]

Аналогично получали следующее.

[143]

Гидрохлорид этилового эфира (3R,4R,5S)-5-амино-4-(2,2,3,3,4,4,4-трет-бутириламино)-3-(1-этилпропокси)-циклогекс-1-ен-карбоновой кислоты 1.2.10·HCl: LSMS m/z 467 (М+1), C18H26ClF7N2O4.

[144]

Гидрохлорид этилового эфира (3R,4R,5S)-5-амино-4-(2,2,3,3,4,4,5,5-октафтор-пентаноиламино)-3-(1-этилпропокси)-циклогекс-1-ен-карбоновой кислоты 1.2.11·HCl: LSMS m/z 499 (М+1), C19H27ClF8N2O4.

[145]

Гидрохлорид этилового эфира (3R,4R,5S)-5-амино-4-(2,2,3,3,4,4,5,5,6,6,6-ундекафтор-гексаноиламино)-3-(1-этилпропокси)-циклогекс-1-ен-карбоновой кислоты 1.2.12·HCl: LSMS m/z 517 (М+1), C19H26ClF9N2O4.

[146]

Пример 25. Получение гидрохлорид этилового эфира (3R,4R,5S)-5-амино-4-(циклопропилкарбонил-амино)-3-(1-этилпропокси)-циклогекс-1-ен-карбоновой кислоты 1.2.14·HCl проводили по аналогии с 1.2.4·HCl, как описано в примере 19. Получали гидрохлорид этилового эфира (3R,4R,5S)-5-амино-4-(циклопропилкарбонил-амино)-3-(1-этилпропокси)-циклогекс-1-ен-карбоновой кислоты 1.2.14·HCl: LSMS m/z 339 (М+1), C18H31ClN2O4.

[147]

Пример 26. Получение гидрохлорид этилового эфира (3R,4R,5S)-5-амино-4-уреидо-3-(1-этилпропокси)-циклогекс-1-ен-карбоновой кислоты 1.2.15·HCl. К раствору 90 мг (0.243 ммоль) исходного (3R,4R,5S)-этил-4-амино-5-(трет-бутоксикарбониламино)-3-(пентан-3-илокси)циклогекс-1-енкарбоксилата 2.1 в 900 мкл ледяной уксусной кислоты добавляли 22 мг (0.267 ммоль) KNCO. Реакционную массу перемешивали при комнатной температуре 1 час. Затем растворитель отгоняли и получали соединение 4 (R1=Et, R2=NH2), Вос-защиту снимали соляной кислотой, очищали с помощью HPLC и получали гидрохлорид этилового эфира (3R,4R,5S)-5-амино-4-уреидо-3-(1-этилпропокси)-циклогекс-1-ен-карбоновой кислоты 1.2.15·HCl: LSMS m/z 343 (М+1), C17H31ClN2O5.

[148]

Пример 27. Получение гидрохлорида этилового эфира (3R,4R,5S)-5-амино-4-(этоксикарбонил-амино)-3-(1-этилпропокси)-циклогекс-1-ен-карбоновой кислоты 1.2.16·HCl. К раствору 300 мг (0.81 ммоль) исходного (3R,4R,5S)-этил-4-амино-5-(трет-бутоксикарбониламин)-3-(пентан-3-илокси)циклогекс-1-енкарбоксилата 2.1 и 157 мг (1.2 ммоль) N,N-диизопропилэтиламина в 3 мл дихлорметана добавляли 114 мг этилхлорформиата. Реакционную массу перемешивали при комнатной температуре 1 час. По окончании реакции растворитель отгоняли, сухой остаток растворили в этилацетате, промыли водой, высушивали над Na2SO4, упаривали. С полученного соединения 4 (R1=Et, R2=OEt) Вос-защиту снимали соляной кислотой, очищали с помощью HPLC и получили 198 мг гидрохлорида этилового эфира (3R,4R,5S)-5-амино-4-(этоксикарбонил-амино)-3-(1-этилпропокси)-циклогекс-1-ен-карбоновой кислоты 1.2.16·HCl: LSMS m/z 314 (М+1), C15H28ClN3O4.

[149]

Пример 28. Получение лекарственного средства в форме таблеток. Смешивали 1600 мг крахмала, 1600 мг измельченной лактозы, 400 мг талька и 1000 мг гидрохлорид этиловый эфир (3R,4R,5S)-5-амино-4-формиламино-3-(1-этилпропокси)-циклогекс-1-ен-карбоновой кислоты 1.2.1·HCl. Полученный брусок измельчили в гранулы и просеивали через сита, собирая гранулы размером 14-16 меш. Полученные гранулы таблетировали в подходящую форму таблетки весом 560 мг каждая.

[150]

Пример 29. Получение лекарственного средства в форме капсул. Тщательно смешивали гидрохлорид этиловый эфир (3R,4R,5S)-5-амино-4-(2-гидрокси-ацетиламино)-3-(1-этилпропокси)-циклогекс-1-ен-карбоновой кислоты 1.2.2·HCl с порошком лактозы в соотношении 2:1. Полученную порошкообразную смесь упаковывали по 300 мг в желатиновые капсулы подходящего размера.

[151]

Пример 30. Получение лекарственного средства в форме инъекционных композиций для внутримышечных, внутрибрюшинных или подкожных инъекций. Смешивали 500 мг гидрохлорида этиловый эфир (3R,4R,5S)-5-амино-4-(2-фтор-ацетиламино)-3-(1-этилпропокси)-циклогекс-1-ен-карбоновой кислоты 1.2.6·HCl с 300 мг хлорбутанола, 2 мл пропиленгликоля и 100 мл инъекционной воды. Полученный раствор отфильтровывали и помещали по 1 мл в ампулы, которые после запаивали.

[152]

Пример 31. Определение противогриппозной активности соединений общей формулы 1. Противогриппозную активность препаратов in vitro определяли на культурах клеток MDCK, зараженных вирусом гриппа H1N1 (множественность заражения ~100 CCID50/лунку). Тестируемые препараты растворяли в DMSO (20 мг/мл) и хранили при -20°С. Перед употреблением готовили восемь 3,3-кратных разбавлений тестируемых препаратов (от 100 до 0,03 мкг/мл) в среде MEM, содержащей 50 мг/мл гентамицина и 0,25% раствора трипсин/EDTA. Каждое разбавление добавляли к 5 лункам с монослоем клеток MDCK (96-луночные планшеты). Три из каждых 5 лунок заражали вирусом гриппа штамма А (изолят Калифорния/07/2009), две оставшиеся лунки использовали для определения цитотоксичности препаратов. В качестве стандартных ингибиторов использовали Рибавирин и Осельтамивир карбоксилат. Клеточные культуры инкубировали в течение 3-4 дней до достижения максимального цитопатического эффекта в зараженных лунках, не содержащих ингибиторов. После этого культуры окрашивали нейтральным красным в течение двух часов, экстрагировали смесью равных объемов цитратного буфера Соренсена и этанола и считывали оптическую плотность в лунках при помощи спектрофотометра. Концентрация препарата, уменьшающая цитопатический эффект вируса на 50%, принималась за ингибирующую концентрацию 50 (ЕС50). Концентрация препарата, уменьшающая выживание незараженных клеток на 50%, принималась за цитотоксическую концентрацию 50 (СС50). В таблице 1 представлены данные по активности (ЕС50) и токсичности (СС50) для некоторых новых соединений общей формулы 1, подтверждающие их высокую противогриппозную активность: + соответствует ЕС50>10 µМ, ++ соответствует ЕС50 от 1 до 10 µМ и +++ соответствует ЕС50<1 µМ.

[153]

Большинство новых соединений общей формулы 1 показывают более высокую противогриппозную активность по сравнению с контрольным соединением при таком же уровне токсичности.

[154]

Таблица 2.
Противогриппозная активность (ЕС50) и токсичность (СС50) соединений общей формулы 1 in vitro на культурах клеток MDCK, зараженных вирусом гриппа H1N1
СоединенияЕС50СС50, цМ
A3 (Тамифлю-контроль)++(1.5 µМ)>100
1.1.1+++>100
1.1.2+++>100
1.1.3++>100
1.1.4+++>100
1.1.5+++>100
1.1.6++>100
1.1.7+++>100
1.1.8+++>100
1.1.9+++>100
1.1.10++>100
1.1.11++>100
1.1.12++>100
1.1.14+++>100
1.1.15+++>100

[155]

Таблица 2.
1.1.16+++>100
1.1.17+++>100
1.2.1+++>100
1.2.2+++>100
1.2.3++>100
1.2.4+++>100
1.2.5+++>100
1.2.6++>100
1.2.7+++>100
1.2.8+++>100
1.2.9+++>100
1.2.10++>100
1.2.11++>100
1.2.12++>100
1.2.14+++>100
1.2.15+++>100
1.2.16+++>100
1.2.17+++>100
1.2.18++>100
1.2.19++>100

[156]

Большинство новых соединений общей формулы 1 показывают более высокую противогриппозную активность по сравнению с контрольным соединением и в среднем в 1000 раз выше, чем активность соединений из источника RU 2181357 (Таблица 1).

[157]

Пример 32. Определение активности соединений общей формулы 1 по отношению к нейраминидазе аллантоисного вируса гриппа A/California/07/09 (H1N1) в соответствии с методом [WHO COLLABORATING CENTRE FOR REFERENCE & RESEARCH ON INFLUENZA, AUSTRALIA, Standard Operating Procedure WHO - 025. Reviewed by: Aeron Hurt, Senior Scientist Review Date: 13/3/2009]. В предварительных экспериментах были определены рабочие разведения для штамма аллантоисного вируса гриппа A/California/07/09 (H1N1). Для этого было приготовлено 60 мкл двукратно разведенного вируса на реакционной буферной смеси (РБС, 50 мМ MES, 5 мМ CaCl2, рН 6,5) в 96-луночном планшете с круглым дном. Из этого планшета 50 мкл двукратно разведенного вируса было перенесено в 96-луночные планшеты с плоским дном для измерения флуоресценции (FluoroNunc, черные, кат.No. 237105), далее к ним был добавлен равный объем субстратного буфера (СБ, 12,5 мМ 2'-(4-метилумбеллиферил)-α-D-N-ацетилнейраминовой кислоты, Sigma, на 40 мМ ацетатного буфера рН 5,8). В качестве контроля были использованы лунки, к которым вместо вируса было добавлено 50 мкл РБС. После инкубации планшета при 37° в течение 1 часа, при слабом покачивании, к каждой лунке планшета было добавлено по 100 мкл стоп-раствора (2.225 mL 0.824М NaOH в 11.0 mL этанола), после чего было проведено измерение флуоресценции на приборе Varioskan Flach (Thermo Scientific) при λex=360 нм и λem=448 нм. Для дальнейшей работы были выбраны те разведения вируса, которые соответствовали середине линейного участка кривой зависимости разведения вируса от величины флуоресценции. Для определения антинейраминидазной активности соединений в 96-луночные планшеты с плоским дном для измерения флуоресценции (FluoroNunc, черные, кат. No.237105) в лунки рядов от В до Н было добавлено по 50 мкл приготовленных на РБС разведений соединений, Озельтамивира карбоксилата, Занамивира (концентрации 0,03; 0,3; 3; 30; 300; 3000; 30000 нм - каждая концентрация на ряд). В качестве вирусного контроля были использованы лунки ряда А, к которым было добавлено по 50 мкл РБС. Далее к соответствующим лункам было добавлено 50 мкл выбранных рабочих разведений каждого из вирусов на РБС. В качестве контроля были использованы лунки, к которым вместо вируса был добавлен такой же объем РБС. После перемешивания и инкубации при комнатной температуре в течение 45 минут ко всем лункам был добавлен равный объем СБ. После перемешивания и инкубации планшета при 37°С в течение 1 час к каждой лунке планшета было добавлено по 100 мкл стоп-раствора. Измерение флуоресценции было проведено на приборе Varioskan Flach (Thermo Scientific) при λex=360 нм и λem=448 нм. Все определения проводились не менее чем в двух повторах (две лунки планшета). Процент ингибирования нейраминидазной активности изучаемым веществом общей формулы 1 определяли по формуле: процент ингибирования = 100-(УЕФ опыта - УЕФ контроля / УЕФ вирусного контроля в отсутствии соединения - УЕФ контроля). Концентрация препарата, уменьшающая значение величины УЕФ на 50%, принималась за ингибирующую концентрацию 50 (ИК50). В таблице 2 представлены данные, полученные по активности (ИК50) для некоторых из новых соединений общей формулы 1, подтверждающие их высокую активность по отношению к нейраминидазе аллантоисного вируса A/California/07/09 (H1N1):+соответствует ИК50>10 nM, ++ соответствует ИК50 от 1 до 10 nM и +++ соответствует ИК50<1 nM.

[158]

Таблица 3
Активность (ИК50) соединений общей формулы 1 по отношению к нейраминидазе аллантоисного вируса A/California/07/09 (H1N1).
СоединенияИК50
Озельтамивир карбоксилат А2 (Контроль)++
1.1.1+++
1.1.2++
1.1.3++
1.1.4++
1.1.5++
1.1.6+++
1.1.7+++
1.1.8+++
1.1.9+++
1.1.10++
1.1.11++
1.1.12++
1.1.14+++
1.1.15++
1.1.16+++
1.1.17+++
1.2.1+++
1.2.2++
1.2.3++
1.2.4++
1.2.5++
1.2.6+++
1.2.7+++
1.2.8+++
1.2.9+++

[159]

Таблица 3.
1.2.10++
1.2.11++
1.2.12++
1.2.14+++
1.2.15+++
1.2.16+++
1.2.17+++
1.2.18++
1.2.19++

[160]

Пример 33. Изучение противогриппозной активности соединений общей формулы 1 на модели гриппозной пневмонии мышей. Предварительно взвешенные мыши (самки нелинейные, средний вес 12-15 г) инфицировались интраназально под легким эфирным наркозом вирусом гриппа А/Аичи/2/69 (H3N2) (10 ЛД50 в 50 мкл). В предварительном опыте было проведено определение ЛД50 путем титрования - аллантоисного вируса на таких же мышах, которые затем использовались в основном опыте. Была использована следующая схема лечения соединениями: за 24 часа до инфицирования, за 1 час до инфицирования, через 24 часа и далее 1 раз в день в течение 5 дней. Для перорального введения использовали одноразовый инсулиновый шприц со специальной иглой (лаваж), исследовался эффект следующих доз: 25 мг/кг/день соединений в объеме 100 мкл. В качестве препарата сравнения был использован Тамифлю в дозе 25 мг/кг/день. В группе «вирусного контроля» было 10 животных, в группах «леченных соединениями» общей формулы 1 (1.2.1·HCl, 1.2.2·HCl, 1.2.5·HCl, 1.2.8·HCl, 1.2.9·HCl) и Тамифлю было по 10 мышей. За лечеными и контрольными животными велось ежедневное наблюдение, в первые 5 дней после инфицирования мышей взвешивали каждый день, далее - через день. Химиотерапевтическую активность соединений на модели гриппозной пневмонии мышей оценивали по показателю защиты от смертельной вирусной инфекции, и снижение веса в группах животных, леченных препаратом, по сравнению с контрольной группой. Уменьшение или увеличение веса рассчитывалось отдельно для каждой мыши и выражалось в процентах. При этом за 100% принимался вес животного перед инфицированием. Для всех мышей одной группы определялось среднее значение процента потери или увеличения веса.

[161]

В предварительном опыте определяют дозу вируса, содержащую 10 ЛД50 в объеме 100 мкл. Всех животных в опыте заражают этой дозой вируса. Эффективность действия соединений общей формулы 1 (1.2.1·HCl, 1.2.2·HCl, 1.2.5·HCl, 1.2.8·HCl, 1.2.9·HCl) на модели гриппозной пневмонии мышей оценивалась по количеству животных, выживших после инфицирования вирусом, средней продолжительности жизни и изменению веса инфицированных животных.

[162]

Было установлено, что на 7-й день наблюдения все мыши, зараженные вирусом и не прошедшие лечение указанными соединениями (группа «вирусного контроля»), погибли.

[163]

Проведенные эксперименты показали, что к последнему дню гибели животных из группы «вирусного контроля» лечение указанными соединениями общей формулы 1 (1.2.1·HCl, 1.2.2·HCl, 1.2.5·HCl, 1.2.8·HCl, 1.2.9·HCl) и Тамифлю животных из групп «леченных соединениями» позволило предотвратить их гибель полностью.

[164]

Противогриппозная эффективность изученных препаратов общей формулы 1 (1.2.1·HCl, 1.2.2·HCl, 1.2.5·HCl, 1.2.8·HCl, 1.2.9·HCl) и Тамифлю выражается в снижении темпов потери веса в группах леченых мышей по сравнению с группой «вирусного контроля». Потеря веса животного является одним из клинических признаков проявления гриппозной пневмонии. Большее снижение веса животного свидетельствует о более тяжелом протекании заболевания. Взвешивание мышей проводилось на 1, 2, 3, 4, 5 дни после инфицирования, а далее через день до 15 дня наблюдения. Было установлено, что в группе вирусного контроля животные больше всего теряли вес на 5 день после инфицирования (около 10%). В отличие от вирусного контроля в группах животных, проходящих лечение всеми указанными соединениями общей формулы 1 (1.2.1·HCl, 1.2.2·HCl, 1.2.5·HCl, 1.2.8·HCl, 1.2.9·HCl) и Тамифлю, в среднем не наблюдалось потери веса. Начиная с 9 дня, все животные в группах «леченных соединениями» активно и стабильно набирали в весе.

[165]

Таким образом, показана высокая эффективность лечения гриппозной пневмонии мышей соединениями общей формулы 1.

Как компенсировать расходы
на инновационную разработку
Похожие патенты