патент
№ RU 2635418
МПК E21B43/20

СПОСОБ ПОДГОТОВКИ ПЛАСТОВЫХ ВОД ДЛЯ ПОДДЕРЖАНИЯ ПЛАСТОВОГО ДАВЛЕНИЯ И СПОСОБ ПОДДЕРЖАНИЯ ПЛАСТОВОГО ДАВЛЕНИЯ НЕФТЯНЫХ ЗАЛЕЖЕЙ

Авторы:
Андаева Екатерина Алексеевна Саетгараев Рустем Халитович Шишкин Кирил Владимирович
Все (5)
Номер заявки
2016119828
Дата подачи заявки
23.05.2016
Опубликовано
13.11.2017
Страна
RU
Как управлять
интеллектуальной собственностью
Чертежи 
2
Реферат

Настоящее изобретение относится к области нефтедобычи, в частности к подготовке пластовых вод для поддержания пластового давления нефтяных залежей. Способ подготовки пластовых вод для системы поддержания пластового давления нефтяных залежей девона и/или нижнего карбона и залежей среднего и/или верхнего карбона содержит этапы, на которых: добывают водогазонефтяную смесь – ВГНС из залежей девона и/или нижнего карбона, а также из залежей среднего и/или верхнего карбона, осуществляют извлечение нефти из указанной ВГНС и извлечение из нее нефти, полученные в результате этого пластовые воды залежей девона и/или нижнего карбона, содержащие ионы двухвалентного железа, смешивают с полученными в результате этого пластовыми водами залежей среднего и/или верхнего карбона, содержащими сероводород, добавляют по меньшей мере один коагулянт в смешанные пластовые воды для укрупнения частиц мелкодисперсной взвеси сульфида железа, образовавшегося в результате указанного смешивания, осуществляют очистку смешанных пластовых вод от взвеси сульфида железа и подают очищенную смесь пластовых вод в указанную систему поддержания пластового давления для закачки в нагнетательные скважины, эксплуатирующие залежи девона и/или нижнего карбона, а также залежи среднего и/или верхнего карбона. Способ поддержания пластового давления нефтяных залежей девона и/или нижнего карбона и залежей среднего и/или верхнего карбона содержит этап, на котором осуществляют закачку пластовых вод, подготовленных указанным выше способом, в нагнетательные скважины, эксплуатирующие залежи девона и/или нижнего карбона, а также залежи среднего и/или верхнего карбона. Изобретение развито в зависимых пунктах формулы. Технический результат – обеспечение возможности совместной подготовки пластовых вод из залежей девона и карбона для поддержания давления в указанных залежах.. 2 н. и 8 з.п. ф-лы, 2 ил.

Формула изобретения

1. Способ подготовки пластовых вод для системы поддержания пластового давления нефтяных залежей девона и/или нижнего карбона и залежей среднего и/или верхнего карбона, содержащий этапы, на которых:

добывают водогазонефтяную смесь из залежей девона и/или нижнего карбона, а также из залежей среднего и/или верхнего карбона;

осуществляют извлечение нефти из водогазонефтяной смеси залежей девона и/или нижнего карбона, а также осуществляют извлечение нефти из водогазонефтяной смеси залежей среднего и/или верхнего карбона;

полученные в результате указанного извлечения пластовые воды залежей девона и/или нижнего карбона, содержащие ионы двухвалентного железа, смешивают с полученными в результате указанного извлечения пластовыми водами залежей среднего и/или верхнего карбона, содержащими сероводород;

добавляют по меньшей мере один коагулянт в смешанные пластовые воды для укрупнения частиц мелкодисперсной взвеси сульфида железа, образовавшегося в результате указанного смешивания пластовых вод;

осуществляют очистку смешанных пластовых вод от взвеси сульфида железа; и

подают очищенную смесь пластовых вод в указанную систему поддержания пластового давления для закачки в нагнетательные скважины, эксплуатирующие залежи девона и/или нижнего карбона, а также залежи среднего и/или верхнего карбона.

2. Способ по п. 1, отличающийся тем, что перед добавлением коагулянта в смесь пластовых вод осуществляют корректировку значения рН смеси.

3. Способ по п. 2, отличающийся тем, что указанную корректировку осуществляют добавлением растворов кислотного или щелочного реагентов.

4. Способ по п. 3, отличающийся тем, что в качестве кислотного реагента при высокой щелочности воды используют серную кислоту.

5. Способ по п. 1, отличающийся тем, что очистку смешанных пластовых вод осуществляют посредством использования механических фильтров.

6. Способ по п. 1, отличающийся тем, что очистку смешанных пластовых вод осуществляют методом отстаивания.

7. Способ по п. 1, отличающийся тем, что температуру смешанных пластовых вод поддерживают в диапазоне 20-35°С.

8. Способ по п. 1, отличающийся тем, что после ввода коагулянта в смесь пластовых вод добавляют флокулянт.

9. Способ по п. 8, отличающийся тем, что флокулянт добавляют через 1-3 минуты после ввода коагулянта.

10. Способ поддержания пластового давления нефтяных залежей девона и/или нижнего карбона и залежей среднего и/или верхнего карбона, содержащий этап, на котором

осуществляют закачку пластовых вод, подготовленных в соответствии со способом по любому из пп. 1-9, в нагнетательные скважины, эксплуатирующие залежи девона и/или нижнего карбона, а также залежи среднего и/или верхнего карбона.

Описание

[1]

Способ подготовки пластовых вод для поддержания пластового давления и способ поддержания пластового давления нефтяных залежей

[2]

Настоящее изобретение относится к области нефтедобычи, в частности к подготовке пластовых вод для поддержания пластового давления нефтяных залежей.

[3]

Использование нефтепромысловых сточных вод в системе поддержания пластового давления (ППД) при водонапорном режиме разработки нефтяных месторождений - это важное технологическое и природоохранное мероприятие в процессе добычи нефти, которое позволяет осуществлять замкнутый цикл оборотного водоснабжения по схеме: «добывающая скважина - система сбора и подготовки нефти и газа с блоком водоподготовки - система ППД - нагнетательная скважина - продуктивный горизонт».

[4]

По составу и физико-химическим свойствам пластовые воды нефтяных месторождений Республики Татарстан представляют собой рассолы с плотностью 1,047-1,186 г/см3, с общей минерализацией вод 64,6-271,2 г/дм3, с содержанием хлоридов 34,7-170,6 г/дм3 и натрия с калием 23,0-72,7 г/дм3 и значением водородного показателя (рН) 5,7-6,9.

[5]

Пластовые воды залежей девона (девонские отложения) и нижнего карбона (каменноугольные отложения) относятся к водам хлоркальциевого типа, пластовые воды залежей среднего и верхнего карбона относятся ко второму менее распространенному сульфатно-натриевому типу.

[6]

Для хлоркальциевого типа вод залежей девона и нижнего карбона характерно содержание ионов двухвалентного железа (закисное железо) от 20 до 260 мг/дм3.

[7]

Для сульфатно-натриевого типа вод залежей среднего и верхнего карбона характерно присутствие сероводорода от 80 до 300 мг/дм3.

[8]

Минералогический анализ механических примесей в сточных водах ПАО «Татнефть», где преобладают железосодержащие пластовые воды (из отложений девона), показывает, что они состоят из глинистых частиц с массовой долей 20-40%, карбонатов с массовой долей 10-20%, оксида и гидрооксида железа с массовой долей 40-70%.

[9]

Механические примеси содержат в своем составе также органические вещества: парафины, асфальтены, смолы.

[10]

Закачиваемая в пласт вода является основным рабочим агентом, вытесняющим нефть.

[11]

Закачиваемая вода при контакте в пластовых условиях с пластовой водой и породой коллектора должна сохранять стабильность при изменении температуры и давления, быть совместимой с пластовой водой и породой пласта, не способствовать осадкообразованию.

[12]

Соединение пластовых вод хлоркальциевого типа (залежей девона и нижнего карбона) и сульфатно-натриевого типа (залежей среднего и верхнего карбона) приводит к образованию сульфида железа. Так как это может оказать отрицательное влияние на приемистость нагнетательных скважин, недопустимо использовать пластовые воды залежей девона и нижнего карбона для закачки в залежи среднего и верхнего карбона с целью ППД, и наоборот.

[13]

Известен способ подготовки пластовых вод системы поддержания пластового давления нефтяных месторождений (RU 2466100 С1, МПК C02F 1/40, C02F 9/04, C02F 103/36; опубл. 10.11.2012), включающий очистку пластовых вод многостадийной флотацией пузырьками растворенного газа, седиментацию в узле отстаивания, извлечение пенопродуктов путем использования пеносборников, извлечение растворенных газов и получение на выходе узла отстаивания нефтешлама и очищенной пластовой воды, которую закачивают в нефтескважину, причем пластовую воду предварительно обрабатывают реагентами в аванкамере, многостадийную флотацию пузырьками растворенного газа осуществляют в инертной газовой среде с использованием герметичных модулей флотокамер с импеллерными диспергаторами с обеспечением рециркуляции инертной газовой смеси, извлечение растворенных инертных газов осуществляют путем подачи пластовой воды из герметичных модулей флотокамер в узел отстаивания.

[14]

Также известен способ подготовки пластовой воды (RU 97100255 А, МПК Е21В 43/20; опубл. 27.01.1999), включающий предварительное отделение ее от водогазонефтяной смеси и последующую закачку в продуктивный пласт, причем перед закачкой в продуктивный пласт, твердые частицы, находящиеся во взвеси пластовой воды, измельчают до величины обеспечивающей беспрепятственное прохождение по поровым каналам продуктивного пласта и переводят в состояние гомогенной мелкодисперсной системы.

[15]

Однако известные решения не позволяют устранить приведенные выше проблемы при разработке месторождений с одновременной эксплуатацией залежей девона и карбона.

[16]

В связи с этим в настоящее время на нефтяных месторождениях, эксплуатирующих одновременно залежи девона и карбона, вынуждены применять раздельную схему сбора и подготовки нефти с раздельной системой подготовки и транспортировки воды для целей ППД (см. фиг. 1).

[17]

Существующий раздельный сбор и подготовка продукции с последующей закачкой сточной воды в пласт, добываемой из различных горизонтов, требует значительных капитальных вложений.

[18]

Задачей, на решение которой направлено настоящее изобретение, является обеспечение возможности совместной подготовки пластовых вод, извлекаемых из залежей девона и карбона, для поддержания пластового давления в упомянутых залежах.4

[19]

В одном аспекте настоящего изобретения для решения упомянутой задачи предложен способ подготовки пластовых вод для системы поддержания пластового давления, содержащий этапы, на которых:

[20]

добывают водогазонефтяную смесь из залежей девона и/или нижнего карбона, а также из залежей среднего и/или верхнего карбона;

[21]

осуществляют извлечение нефти из водогазонефтяной смеси залежей девона и/или нижнего карбона, а также осуществляют извлечение нефти из водогазонефтяной смеси залежей среднего и/или верхнего карбона;

[22]

полученные в результате упомянутого извлечения нефти пластовые воды залежей девона и/или нижнего карбона смешивают с полученными в результате упомянутого извлечения нефти пластовыми водами залежей среднего и/или верхнего карбона, причем пластовые воды девона и/или нижнего карбона содержат ионы двухвалентного железа, а пластовые воды среднего и/или верхнего карбона содержат сероводород;

[23]

осуществляют предварительную подготовку смешанных пластовых вод для корректировки значения рН среды;

[24]

добавляют коагулянт(ы) в смешанные пластовые воды для укрупнения частиц мелкодисперсной взвеси сульфида железа, образовавшегося в результате упомянутого смешивания пластовых вод;

[25]

осуществляют очистку смешанных пластовых вод от частиц сульфида железа,

[26]

подают очищенные пластовые воды в систему поддержания пластового давления для закачки в нагнетательные скважины, эксплуатирующие залежи девона и/или нижнего карбона, а также залежи среднего и/или верхнего карбона.

[27]

В другом аспекте настоящего изобретения предложен способ поддержания пластового давления в упомянутых залежах. Технический результат, достигаемый настоящим изобретением, заключается в упрощении способа подготовки пластовых вод для поддержания пластового давления на месторождениях, одновременно эксплуатирующих залежи девона и карбона, снижении трудовых и эксплуатационных затрат на подготовку пластовых вод для целей ППД.

[28]

Далее признаки и преимущества изобретения будут изложены со ссылкой на прилагаемые чертежи, на которых:

[29]

Фиг. 1 изображает известную общую схему раздельной подготовки и использования пластовых вод для целей ППД на нефтяных месторождениях, эксплуатирующих одновременно залежи девона и карбона;

[30]

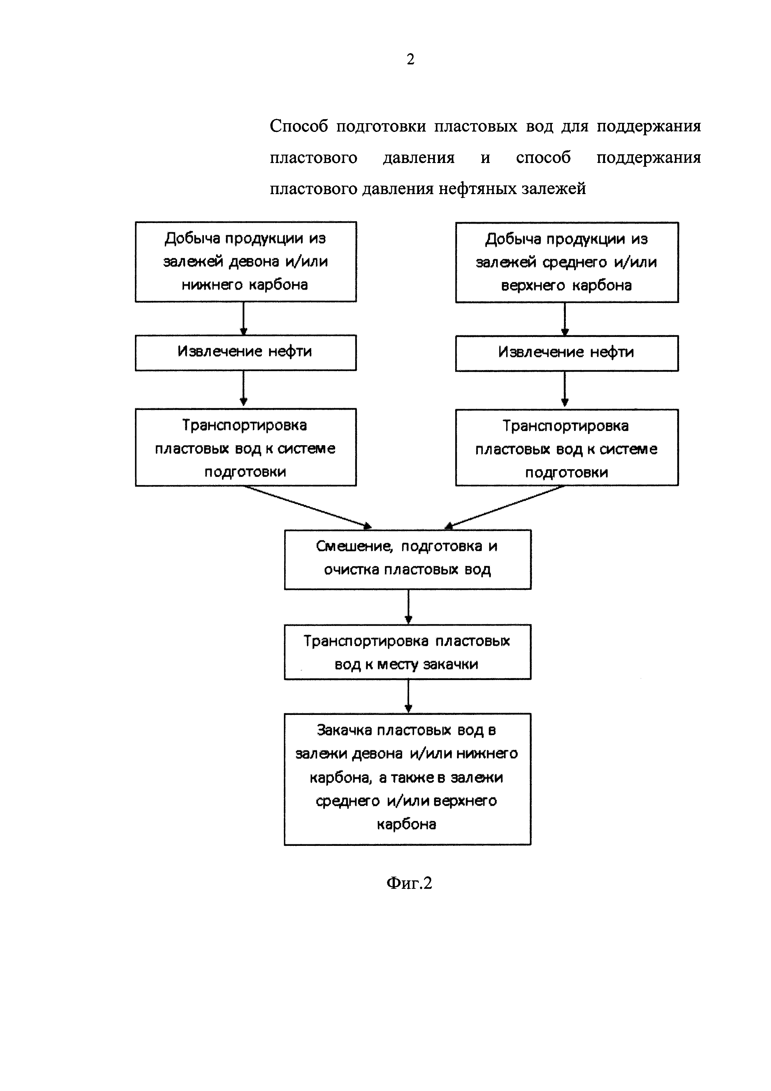
Фиг. 2 изображает общую схему совместной подготовки и использования пластовых вод, извлекаемых из залежей девона и карбона, для целей ППД на упомянутых нефтяных месторождениях согласно настоящему изобретению.

[31]

Целью современной системы ППД является обеспечение установленной добычи нефти с достижением максимально возможного коэффициента извлечения нефти при минимальных затратах.

[32]

Целью службы ППД является выполнение установленных и управляемых режимов закачки рабочего агента (для обеспечения установленной добычи и максимально возможного КИН (коэффициент извлечения нефти)) при минимальных затратах: капитальных, энергетических, трудовых, материальных.

[33]

Для выполнения этих задач система ППД должна обеспечивать:

[34]

- объем закачки и давление нагнетания рабочего реагента как по отдельным скважинам и объектам разработки, так и в целом по месторождению в соответствии с технологическими схемами и проектами разработки;

[35]

- трехуровневую систему заводнения (сточной, пластовой и пресной водой) для выработки запасов в зависимости от фильтрационно-емкостных свойств коллекторов;

[36]

- закачку и, при необходимости, дополнительную подготовку закачиваемой воды до состояния, соответствующего по составу, физико-химическим свойствам, содержанию механических примесей, кислорода и микроорганизмов коллекторским свойствам пласта;

[37]

- возможность систематических измерений приемистости скважин, учета объемов закачиваемой воды как по каждой скважине, группам скважин, объектам разработки, блокам, площадям, так и в целом по месторождению;

[38]

- герметичность и надежность эксплуатации замкнутого цикла получения, подготовки и закачки попутно добываемой воды со 100% использованием сточных нефтепромысловых вод для целей ППД;

[39]

- возможность изменения и регулирования режимов закачки воды в скважины, обработки призабойной зоны с целью восстановления или повышения приемистости пластов, охвата их заводнением, регулирования процессов вытеснения нефти к забоям добывающих скважин;

[40]

- возможность применения технологий по повышению нефтеотдачи пластов;

[41]

- защиту эксплуатационных колонн;

[42]

- возможность более полного использования существующего фонда скважин;

[43]

- мониторинг и оперативное управление состоянием насосного оборудования с использованием современных систем автоматизации.

[44]

Общая схема, иллюстрирующая предлагаемое решение, изображена на фиг. 2.

[45]

Согласно настоящему изобретению на месторождениях, одновременно эксплуатирующих залежи девона и карбона, осуществляют добычу водогазонефтяной смеси из залежей девона и/или нижнего карбона, а также из залежей среднего и/или верхнего карбона.

[46]

Далее осуществляют извлечение нефти из добытой водогазонефтяной смеси залежей девона и/или нижнего карбона, а также залежей среднего и/или верхнего карбона.

[47]

При этом газовый компонент составляет незначительную долю в исходной водогазонефтяной смеси и большая его часть самостоятельно выделяется в атмосферу без каких-либо дополнительных операций.

[48]

Полученные в результате упомянутого извлечения нефти пластовые воды залежей девона и/или нижнего карбона смешивают с полученными пластовыми водами залежей среднего и/или верхнего карбона.

[49]

Как было упомянуто выше, соединение пластовых вод хлоркальциевого типа и сульфатно-натриевого типа приводит к образованию сульфида железа. Проблему образования сульфида железа при смешении упомянутых пластовых вод предлагается использовать как основной (естественный) способ очистки воды от ТВЧ (твердые взвешенные частицы) и нефтепродуктов.

[50]

При смешении воды различной природы и минерального состава (пластовые воды залежей девона и/или нижнего карбона и пластовые воды залежей среднего и/или верхнего карбона) происходит процесс образования сульфида железа, который по своей природе имеет высокую адсорбционную способность (это связано с большой площадью поверхности частиц), что положительно сказывается на предварительной очистке сточных вод от взвешенных частиц и мелкодисперсных нефтепродуктов.

[51]

При этом осуществляют предварительную подготовку смешанных пластовых вод для корректировки значения рН смеси в диапазоне 4,5-8 до значения, обеспечивающего высокую эффективность последующего процесса коагуляции.

[52]

На следующем этапе подготовки для удаления мелкодисперсной взвеси сульфида железа необходимо максимально укрупнить эти частицы с помощью добавления коагулянтов, которые преобразуют сульфид железа в крупнодисперсный осадок (хлопья). В дальнейшем этот осадок удаляется путем прохождения жидкости через фильтр, либо методом отстаивания. Более эффективным методом считается использование механических фильтров, так как отстаивание воды может занять длительное количество времени.

[53]

Эффективными коагулянтами для систем с водной дисперсионной средой являются соли поливалентных металлов (алюминия, железа и др.). В качестве коагулянтов используют также водорастворимые органические высокомолекулярные соединения (полимеры), особенно полиэлектролиты.

[54]

В практике подготовки воды под коагуляцией понимается сумма мероприятий, направленных на очистку воды от грубой и тонкой взвеси, коллоидно-дисперсных веществ, а также обесцвечивание воды путем введения в обрабатываемую воду специального реагента - коагулянта. При введении коагулянта в обрабатываемой воде образуется осадок - коагулят, который содержит как продукты взаимодействия коагулянта с водой, так и примеси исходной воды. Осадок отделяется от воды, как правило, в осветлителях с последующим доосветлением воды в механических фильтрах или, реже, при прямоточной коагуляции - в механических фильтрах.

[55]

На полноту выделения мелкодисперсных взвешенных и коллоидных веществ и скорость образования осадка влияют такие факторы как:

[56]

- качество исходной воды;

[57]

- температура обрабатываемой воды;

[58]

- величина рН среды;

[59]

- величина дозы коагулянта;

[60]

- условия перемешивания воды с коагулянтом;

[61]

- применение вспомогательных средств;

[62]

- порядок ввода реагентов в обрабатываемую воду.

[63]

Высокое солесодержание исходной воды благоприятно для коагуляции коллоидных примесей вследствие большего сжатия диффузного слоя коллоидных частиц.

[64]

Для полного и быстрого гидролиза применяемого коагулянта температура коагулируемой воды должна быть в пределах 20-35°С. Так как с увеличением температуры улучшаются условия отделения взвеси, то в указанных пределах принимают ту максимальную температуру, которая приемлема по технико-экономическим соображениям. Заданная температура подогрева должна поддерживаться автоматически с точностью ±1°С.

[65]

Оптимальная доза коагулянта зависит от свойств дисперсной системы: температуры, количества взвешенных и коллоидно-дисперсных веществ, ионного состава дисперсионной среды, значения рН коагулируемой воды. Как правило, требуемые дозы коагулянта находятся в пределах 0,3-1,5 мг-экв/л, устанавливаются экспериментально для каждого водоисточника в различные характерные периоды года в лабораторных условиях и уточняются при эксплуатации по результатам обработки воды.

[66]

Воду и реагенты необходимо тщательно перемешивать. Интенсивность перемешивания должна быть достаточна для быстрого и равномерного распределения коагулянта в воде, но не слишком большой во избежание разрушения хлопьев.

[67]

Для интенсификации процесса коагуляции служат вспомогательные реагенты:

[68]

- растворы кислот или щелочных реагентов для коррекции оптимальной величины рН;

[69]

- флокулянты для увеличения производительности отдельных установок.

[70]

Очищаемую воду подщелачивают, если щелочной резерв воды недостаточен для удовлетворительного гидролиза коагулянтов.

[71]

При высокой щелочности исходной воды для достижения необходимого значения рН коагулированной воды возможна дозированная подача серной кислоты, которая нейтрализует эквивалентное количество бикарбонатной щелочности.

[72]

Флокулянты - это неорганические и органические высокомолекулярные соединения. В практике водоподготовки широко используются органические, синтетические флокулянты (высокомолекулярные флокулянты - ВМФ): полиакриламид - ПАА и его сополимеры с разнообразными функциональными группами (Сепаран, Суперфлок, Праестол), ВПК-402 - сильноосновной катионный полимер и другие. ВМФ выпускаются в порошкообразном, гранулированном и гелеобразном виде. Тип и дозы ВМФ подбираются индивидуально для каждого водоисточника на основании лабораторных опытов.

[73]

Очередность и место ввода реагентов в воду влияют на свойства образующегося осадка и тем самым на результаты очистки воды. Реагенты для коррекции рН-среды вводятся в обрабатываемую воду до коагулянта. Раствор коагулянта предпочтительнее вводить в зону контактной среды, а флокулянт через 1-3 минуты после ввода коагулянта. Необходимые места ввода реагентов должны быть предусмотрены при проектировании и уточнены при наладке системы фильтрации.

[74]

После этого вода поступает на КНС (кустовая насосная станция) системы поддержания пластового давления, предварительно пройдя очистку через фильтр.

[75]

Посредством КНС осуществляют закачку воды в нагнетательные скважины, эксплуатирующие залежи девона и/или нижнего карбона, а также залежи среднего и/или верхнего карбона.

[76]

Способ поддержания пластового давления нефтяных залежей содержит этап, на котором осуществляют закачку пластовых вод, подготовленных в соответствии со способом подготовки пластовых вод для системы поддержания пластового давления, в нагнетательные скважины, эксплуатирующие залежи девона и/или нижнего карбона, а также залежи среднего и/или верхнего карбона.

Как компенсировать расходы
на инновационную разработку
Похожие патенты