патент
№ RU 2606936
МПК G01B7/14

ИЗМЕРИТЕЛЬ ПЕРЕМЕЩЕНИЙ

Авторы:
Дунаевский Виктор Павлович
Номер заявки
2015138360
Дата подачи заявки
08.09.2015
Опубликовано
10.01.2017
Страна
RU
Как управлять
интеллектуальной собственностью
Чертежи 
3
Реферат

[16]

Изобретение относится к измерительной технике и, может быть использовано для контроля положения движущихся металлических частей роторных машин в энергетике, турбонасосных агрегатов в нефтегазовой промышленности и других областях. Технический результат заключается в расширении функциональных возможностей устройства путем увеличения линейного участка характеристики преобразования измерителя. Измеритель перемещений содержит вихретоковый датчик, подключенный к выходу высокочастотного генератора. Выход вихретокового датчика подключен к входу выпрямителя, выход которого соединен с входом низкочастотного фильтра, выход которого соединен с входом основного усилителя и индикатор. Для достижения технического результата введены ступень с регулируемой зоной нечувствительности, вход которой подключен к выходу низкочастотного фильтра, сумматор, выход которого подключен к индикатору, дополнительный усилитель и ключ, управляющий вход которого подключен к выходу ступени с регулируемой зоной нечувствительности. Вход ключа соединен с выходом низкочастотного фильтра, а выход - к входу дополнительного усилителя. Выход основного усилителя подключен к первому входу сумматора, выход дополнительного усилителя подключен ко второму входу сумматора. 4 ил.

Формула изобретения

Измеритель перемещений, содержащий вихретоковый датчик, подключенный к выходу высокочастотного генератора, выход вихретокового датчика подключен к входу выпрямителя, выход которого соединен с входом низкочастотного фильтра, выход которого соединен с входом основного усилителя и индикатор, введены ступень с регулируемой зоной нечувствительности, вход которой подключен к выходу низкочастотного фильтра, сумматор, выход которого подключен к индикатору, дополнительный усилитель и ключ, управляющий вход которого подключен к выходу ступени с регулируемой зоной нечувствительности, вход ключа соединен с выходом низкочастотного фильтра, а выход - к входу дополнительного усилителя, выход основного усилителя подключен к первому входу сумматора, выход дополнительного усилителя подключен ко второму входу сумматора.

Описание

[1]

Изобретение относится к измерительной технике и может быть использовано для контроля положения движущихся металлических частей роторных машин в энергетике, турбонасосных агрегатов в нефтегазовой промышленности и других областях.

[2]

Известен вихретоковый измеритель перемещений, содержащий вихретоковый датчик, генератор переменного напряжения, к выходу которого через токоограничивающий резистор подключен колебательный контур, в качестве индуктивности которого используется вихретоковый датчик, последовательно соединенные детектор, подключенный к колебательному контуру, и индикатор (см. патент РФ №2189585, кл. G01N 27/90, 2000 г. - аналог). Рабочая частота генератора настроена на резонансную частоту колебательного контура, образованного параллельным включением катушки индуктивности вихретокового датчика и входного конденсатора. Приближение металлического объекта к обмотке вихретокового датчика приводит к расстройке и увеличению потерь в колебательном контуре и, как следствие, уменьшению переменного напряжения на нем.

[3]

Этот измеритель реализует амплитудно-резонансный метод измерения, который имеет небольшой диапазон линейности характеристики преобразования измерителя.

[4]

Наиболее близким по технической сущности к заявляемому техническому решению является измеритель перемещений, в котором обмотка вихретокового датчика включена в цепь положительной обратной связи автогенератора и сигнал с обмотки вихретокового датчика после выпрямления и усиления используется для индикации измерений (см. патент РФ №2213934, кл. G01B 7/14 от 26.07.2001 г.). Это устройство реализует автогенераторный метод измерения, имеющий, по сравнению с амплитудно-резонансным методом (аналогом), увеличенный линейный участок измерения перемещения h.

[5]

Недостатком данного устройства является недостаточно большой линейный участок характеристики преобразования измерителя, что не позволяет использовать его для работы с подвижными объектами из цветных металлов (алюминий, медь и т.д.).

[6]

Задача, решаемая изобретением, заключается в расширении функциональных возможностей устройства путем увеличения линейного участка характеристики преобразования измерителя.

[7]

Ожидаемый технический эффект достигается тем, что в измеритель перемещений, содержащий вихретоковый датчик, подключенный к выходу высокочастотного генератора, выход вихретокового датчика подключен к входу выпрямителя, выход которого соединен с входом низкочастотного фильтра, выход которого соединен с входом основного усилителя и индикатор, введены ступень с регулируемой зоной нечувствительности, вход которой подключен к выходу низкочастотного фильтра, сумматор, выход которого подключен к индикатору, дополнительный усилитель и ключ, управляющий вход которого подключен к выходу ступени с регулируемой зоной нечувствительности, вход ключа соединен с выходом низкочастотного фильтра, а выход - к входу дополнительного усилителя. Выход основного усилителя подключен к первому входу сумматора, выход дополнительного усилителя подключен ко второму входу сумматора.

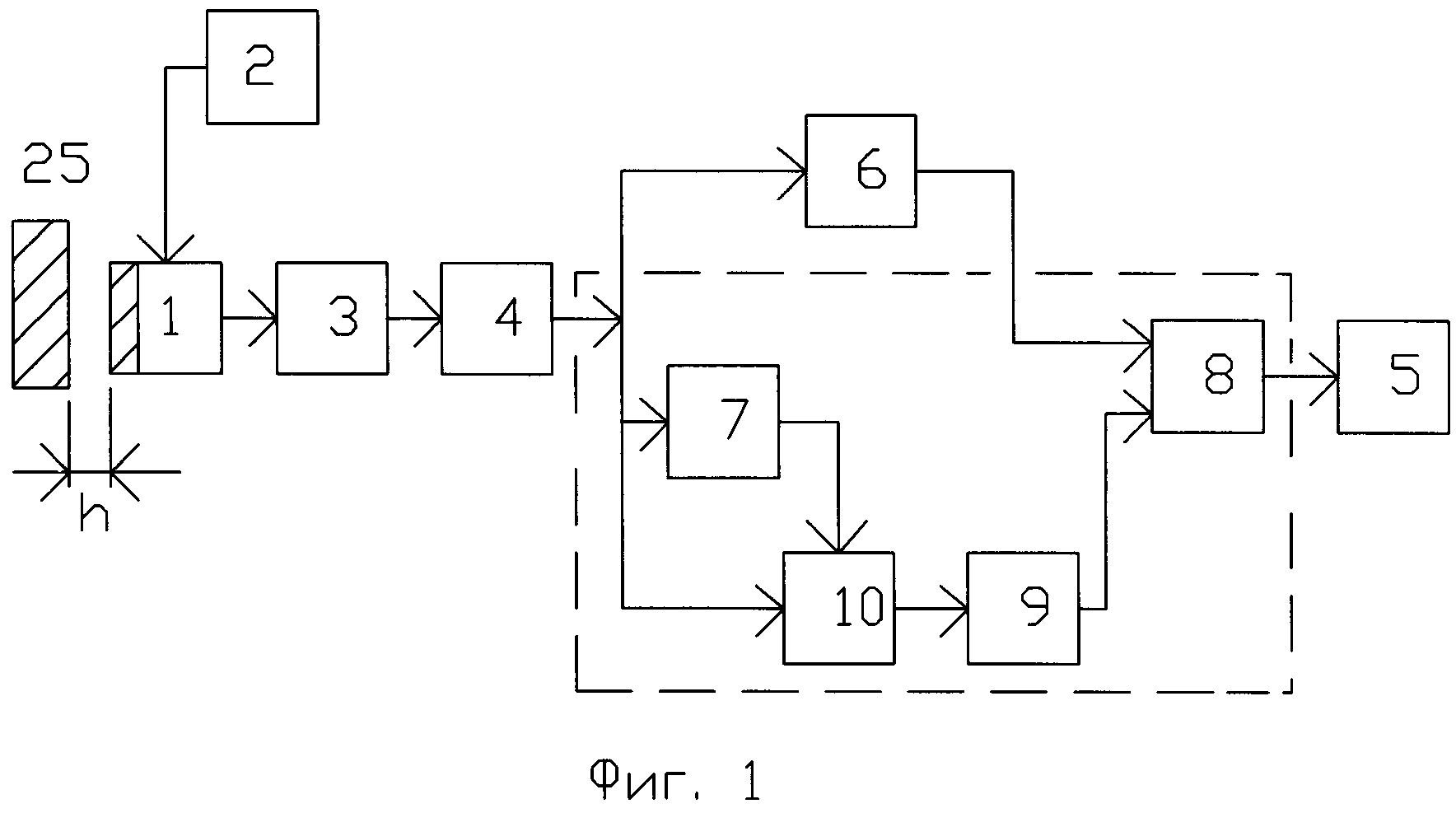
[8]

Функциональная схема предлагаемого устройства приведена на фиг. 1. На фиг. 2 изображены зависимости выходного напряжения на индикаторе от расстояния h между чувствительной зоной датчика и контролируемым объектом для прототипа (кривая 1) и заявляемого устройства (кривая 2). На фиг. 3 приведены зависимости напряжений на выходах дополнительного усилителя (зависимость 1) и сумматора (зависимость 2) соответственно. На фиг. 4 показан пример выполнения устройства.

[9]

Измеритель перемещений содержит вихретоковый датчик 1, подключенный к выходу высокочастотного генератора 2, выход вихретокового датчика 1 подключен к входу выпрямителя 3, выход которого соединен с входом низкочастотного фильтра 4, индикатор 5 и основной усилитель 6, подключенный к выходу низкочастотного фильтра 4. Кроме того, измеритель перемещений содержит ступень с регулируемой зоной нечувствительности 7, вход которой подключен к выходу низкочастотного фильтра 4, сумматор 8, выход которого подключен к индикатору 5, дополнительный усилитель 9 и ключ 10, управляющий вход которого подключен к выходу ступени с регулируемой зоной нечувствительности 7, вход ключа 10 соединен с выходом низкочастотного фильтра 4, а выход - к входу дополнительного усилителя 9. Выход основного усилителя 6 подключен к первому входу сумматора 8, выход дополнительного усилителя 9 подключен ко второму входу сумматора 8. Чувствительная зона вихретокового датчика 1 расположена у контролируемого металлического объекта 25 на расстоянии h.

[10]

Устройство работает следующим образом.

[11]

При включении источника питания (на чертеже не показан) измерителя перемещения генератор 2 возбуждается и «запитывает» обмотку вихретокового датчика 1 переменным напряжением с частотой около 1 МГц. Амплитуда высокочастотного напряжения на обмотке датчика 1 зависит от расстояния h до контролируемого объекта 25 и типа металла, из которого сделан контролируемый объект 25. Высокочастотный сигнал с обмотки датчика 1 после выпрямления амплитудным детектором 3 и сглаживания низкочастотным фильтром 4 поступает на вход основного усилителя 6, на первый вход компаратора 9 и вход ключа 10. Характерная зависимость напряжения U4 на выходе низкочастотного фильтра 4 от расстояния h для контролируемого объекта 25, выполненного из меди (или алюминия), представлена кривой 1 на фиг. 2. Основной усилитель 6 линейно усиливает поступающий на него сигнал и передает его первый вход сумматора 8. Ступень с регулируемой зоной нечувствительности 7 управляет через ключ 10 работой дополнительного усилителя 9. При сигнале U4, поступающем с выхода низкочастотного фильтра 4, меньшем, чем предустановленное пороговое напряжение Uп управляющее напряжение ступени с регулируемой зоной нечувствительности 7 запирает ключ 10, в результате сигнал U4 на вход дополнительного усилителя 9 не поступает. При сигнале U4 большем, чем Uп ступень 7 открывает ключ 10 и подает сигнал с низкочастотного фильтра 4 на вход дополнительного усилителя 9, который осуществляет дополнительное усиление сигнала U4 и подает его на второй вход сумматора 8. После сложения сумматором 8 выходное напряжение поступает на индикатор 5. На фиг. 3 показаны зависимости выходных напряжений от входного напряжения дополнительного усилителя 9 (кривая 1) и сумматора 8 (кривая 2).

[12]

Измеритель перемещений может быть выполнен, например, как это показано на фиг. 4.

[13]

Ступень с регулируемой зоной нечувствительности 7 выполнена на компараторе 11, источнике опорного напряжения 12 и переменном сопротивлении 13, подключенных к выходу источника опорного напряжения 12 и задающих порог срабатывания компаратора 11. Порог срабатывания компаратора 11 определяет зону нечувствительности ступени 7 (значение Uп на фиг. 3). Основной 6 и дополнительный 9 усилители и сумматор 8 выполнены на операционных усилителях 14, 15 и 16 и резисторах 17-24. С помощью переменного резистора 24 устанавливается коэффициент передачи дополнительного усилителя 9, определяющий наклон напряжения на участке Uвх≥Uп выходной характеристики измерителя.

[14]

Как известно, валы роторных и насосных механизмов выполняются в основном из нержавеющей стали типа 20X13, 34ХН1МА, 12Х18М10, Р9МА и т.д. Общепринятый рабочий диапазон h измерителей перемещений с объектами из нержавеющий стали составляет 0,5…2,5 мм. При этом выходное напряжение измерителей перемещений на рабочем участке h=0,50…2,50 мм должно изменяться линейно. Однако, как показывает практика, для контролируемых объектов, выполненных из алюминия и меди, линейный рабочий участок составляет h=0,50…1,50 мм. Экспериментальные исследования заявляемого измерителя перемещений показали, что по сравнению с прототипом для контролируемых объектов, выполненных из алюминия и меди, оно обеспечивает линейное выходное напряжение на рабочем участке h=0,50…2,70 мм. Для контролируемых объектов, выполненных из традиционных материалов (нержавеющие стали марок 20X13, 34ХН1МА, 12Х18М10, Р9МА), заявляемый измеритель обеспечивает линейное изменение выходного напряжения на рабочем участке h=0,50…3,60 мм, что расширяет область применения измерителя.

[15]

Введение и соответствующее подключение новых элементов в измеритель перемещений обеспечивает расширение его функциональных возможностей путем увеличения линейного участка характеристики преобразования измерителя, что в свою очередь позволяет использовать его при работе с объектами, выполненными как из нержавеющей стали, так и из цветного металла (алюминия, меди и т.д.).

Как компенсировать расходы
на инновационную разработку
Похожие патенты