Изобретение относится к антенной технике, а именно к антенным системам с аппаратно-формируемой диаграммой направленности и электронным управлением лучом, и может быть использовано в мобильных и стационарных средствах связи. Амплитудные Аи фазовые ϕкоэффициенты формируемой диаграммы направленности рассчитываются по специальному численному алгоритму, который одновременно оптимизирует два функционала: минимизирует среднеквадратичное отклонение диаграммы направленности ЦФАР от теоретической оптимальной, учитывая при этом взаимное влияние антенных элементов (например, от синфазной ДН, математически сдвинутой на требуемый угол сканирования ϕ, боковые лепестки которой "искусственно" понижены до требуемого уровня), и максимизирует при этом отношение сигнал/шум всей приемной системы, которое отвечает за ее чувствительность. Технический результат - формирование сканирующих диаграмм направленности приемной системы с требуемым уровнем боковых лепестков и минимальным значением уровня чувствительности. 4 ил.
Способ формирования диаграммы направленности приемной кольцевой цифровой фазированной антенной решетки, включающий цифровую обработку сигнала, формирование сигналов в соответствии с данными о требуемой диаграмме направленности (ДН) и передачу отдельным приемным трактам сигналов с амплитудно-фазовым распределением, определенным в соответствии с выбранным критерием, отличающийся тем, что амплитуды An и фазы ϕn определяют, оптимизируя два функционала: минимизируя функцию F среднеквадратического отклонения формируемой диаграммы направленности D(ϕ) от заданного распределения поля излучения антенной решетки R(ϕ), характеризующегося заданным уровнем боковых лепестков при данной ширине основного лепестка, и максимизируя функцию G, определяющую отношение сигнал/шум приемной системы, при этом оба функционала используют диаграмму направленности одного излучателя с учетом взаимного влияния элементов.
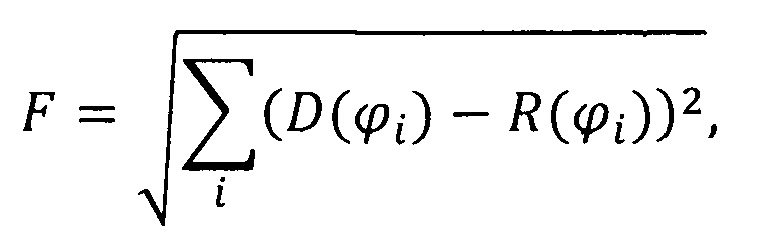
Изобретение относится к антенной технике, а именно к антенным системам с аппаратно-формируемой диаграммой направленности (ДН) и электронным управлением лучом, и может быть использовано в мобильных и стационарных средствах связи. Известны способы формирования диаграммы направленности кольцевой цифровой фазированной антенной решетки с уменьшенным уровнем боковых лепестков за счет выбора кольцевых структур и размещения антенных элементов (RU №2144200 C1, G01S 3/74, 10.01.2000, Бюл. №1; RU 2310956 C1, H01Q 21/06, 20.11.2007, Бюл. №32). Недостатком данных способов является то, что они не решают задач управления формированием ДН. Известны способы управления формированием ДН в антенных системах с электронным управлением лучом, в которых амплитудно-фазовое распределение выходных сигналов антенных элементов устанавливают в соответствии с выбранным критерием (RU №2287880 С2, H01Q 3/26, 20.11.2006, Бюл. №32; RU №2395141 C1, H01Q 3/00, 20.07.2010, Бюл. №20). Они решают задачу управления формированием ДН в системах с линейными антенными решетками с дипольными излучателями. Недостатками данных способов является то, что используемые в них алгоритмы не применимы к кольцевым антенным системам. Наиболее близким к предлагаемому является способ формирования диаграммы направленности двухкольцевой цифровой фазированной антенной решетки (RU №2573715 C1, H01Q 3/00, G01S 3/14, 27.01.2016, Бюл. №3). Способ формирования диаграммы направленности двухкольцевой цифровой фазированной антенной решетки (ЦФАР) включает: цифровую обработку СВЧ-сигнала, формирование управляющих сигналов в соответствии с данными о требуемой ДН и передачу излучателям возбуждающих сигналов с амплитудно-фазовым распределением, определенным в соответствии с выбранным критерием, амплитуды Anm и фазы ϕnm возбуждающих сигналов, где n - номер излучателя, определяют, минимизируя функцию F среднеквадратического отклонения формируемой диаграммы направленности R(ϕ) от заданного распределения Е(ϕ) поля излучения антенной решетки, характеризующегося наименьшим уровнем боковых лепестков при данной ширине основного лепестка, при этом величина амплитуды Anm не превышает 1. Недостатком данного способа является то, что, во-первых, в нем не учитывается взаимное влияние антенных элементов, что приводит к недостаточной точности определения требуемых весовых коэффициентов, а, во-вторых, не контролируется изменение уровня чувствительности системы при амплитудно-фазовом синтезе, если система является приемной. Задача изобретения - управление формированием диаграммы направленности в сканирующих приемных системах с кольцевой цифровой фазированной антенной решеткой. Достигаемый технический результат - формирование сканирующих диаграмм направленности приемной системы с требуемым уровнем боковых лепестков и минимальным значением уровня чувствительности. Технический результат достигается тем, в способе формирования диаграммы направленности приемной кольцевой цифровой фазированной антенной решетки, включающем цифровую обработку сигнала, формирование сигналов в соответствии с данными о требуемой диаграмме направленности и передачу отдельным приемным трактам сигналов с амплитудно-фазовым распределением, определенным в соответствии с выбранным критерием, согласно изобретению амплитуды Аn и фазы ϕnопределяют, оптимизируя два функционала: минимизируя функцию F среднеквадратического отклонения формируемой диаграммы направленности D(ϕ) от заданного распределения поля излучения антенной решетки R(ϕ), характеризующегося заданным уровнем боковых лепестков при данной ширине основного лепестка, и максимизируя функцию G, определяющую отношение сигнал/шум приемной системы, при этом оба функционала используют диаграмму направленности одного излучателя с учетом взаимного влияния элементов. На фиг. 1 представлена функциональная схема приемной антенной системы с кольцевой цифровой фазированной антенной решеткой, где обозначено: 1 - блок управления; 2 - устройство цифрового формирования принятого сигнала; 3 - устройства цифровой обработки сигнала; 4 - излучатели. На фиг. 2 - парциальная диаграмма направленности одного излучателя с учетом взаимного влияния элементов; на фиг. 3 - измеренные нормированные диаграммы направленности кольцевой ЦФАР: синтезированной на основе геометрических фазовых коэффициентов (кривая 1) и синтезированная на основе предложенного алгоритма с уровнем боковых лепестков - 16 дБ (кривая 2); на фиг. 4 - измеренные сканирующие нормированные диаграммы направленности кольцевой ЦФАР, синтезированные на основе предложенного алгоритма с уровнем боковых лепестков – 16 дБ (кривая 1 - угол сканирования 180°, кривая 2 - угол сканирования 190°, кривая 3 - угол сканирования 200°, кривая 4 - угол сканирования 210°), причем уровень чувствительности увеличился лишь на 0,5 дБ. Кольцевая ЦФАР состоит из блока управления 1, устройства цифрового формирования принятого сигнала 2, идентичных устройств цифровой обработки сигнала 3 и идентичных излучателей 4, причем число устройств цифровой обработки сигнала 3 равно числу излучателей 4. Каждое устройство цифровой обработки 3 одним входом соединено с соответствующим излучателем 4, которые расположены на концентрической окружности с одинаковым угловым шагом, а другим - с соответствующим выходом блока управления 1. Выход каждого устройства цифровой обработки сигнала 3 соединен со входом устройства формирования принятого сигнала 2. Блок управления 1 может быть выполнен, например, на основе процессора (RU №2516683 С9, H01Q 21/00, G01S 13/26, 27.08.2014, Бюл. №24). Устройство формирования принятого сигнала 2 может быть выполнено, например, в виде сумматора (RU №2287880 С2, H01Q 3/26, 20.11.2006, Бюл. №32). Устройство цифровой обработки сигнала 3 может быть выполнено, например, в виде умножителя (Активные фазированные антенные решетки. Под ред. Д.И. Воскресенского. М.: Радиотехника, 2004, с. 28). Способ формирования диаграммы направленности приемной кольцевой цифровой фазированной антенной решетки осуществляется следующим образом. Для формирования диаграммы направленности приемной кольцевой антенной решетки необходимо задание амплитудных коэффициентов Аn и фаз ϕn. На вход блока управления 1 поступают данные о направлении прихода принимаемого сигнала. В памяти блока управления 1 хранятся наборы комплексных коэффициентов Сn=Аn ехр (jϕn), соответствующие различным направлениям приема для ЦФАР. Данные коэффициенты вычисляются с учетом взаимного влияния антенных элементов и того, что ЦФАР должна осуществлять электронное сканирование в горизонтальной плоскости с требуемым угловым шагом, обеспечивать требуемый уровень боковых лепестков и иметь минимально возможный уровень чувствительности. Это достигается за счет применения алгоритма, минимизирующего среднеквадратическое отклонение формируемой диаграммы направленности от заданной и максимизирующего отношение сигнал/шум системы. Затем коэффициенты Сn передаются на первый вход устройств цифровой обработки сигнала 3. Излучатели 4 принимают электромагнитную волну, преобразуют в сигнал и передают его на другой вход устройства цифровой обработки 3, где происходит перемножение сигнала и коэффициентов Сn. С выходов устройств цифровой обработки 3 сигналы поступают на устройство формирования принятого сигнала 2, где происходит их сложение. Сущность алгоритма расчета коэффициентов Сn заключается в следующем. Диаграмма направленности кольцевой антенной решетки, сфазированной под некоторым углом ϕc, имеет вид [Watanabe. F, Goto N., Nagayama A., Yoshida G. A pattern synthesis of circular arrays by phase adjustment // IEEE Transactions on Antenna and Propagations, 1980, vol. AP-28, No 6, p. 857-863]: где N - число элементов в кольцевой антенной решетке, Bn(ϕ) - комплексная диаграмма направленности одного излучателя с учетом взаимного влияния элементов. Комплексные коэффициенты Сn вычисляют при одновременном выполнении двух условий: достижения заданного уровня боковых лепестков и минимизации уровня чувствительности системы. Для этого одновременно на основе генетического алгоритма оптимизируют два функционала. Во-первых, минимизируют функцию F среднеквадратической ошибки (уклонения) диаграммы направленности D(ϕ) антенной решетки, сфазированной под некоторым углом ϕс от искомого распределения R(ϕ), характеризующегося заданным уровнем боковых лепестков при данной ширине основного лепестка: где суммирование проводится по множеству углов ϕi, в которых уклонение диаграммы направленности от заданной должно быть минимальным. Во-вторых, максимизируют функцию G, определяющую отношение сигнал/шум приемной системы: Примеры измеренных сканирующих диаграмм направленности приемной кольцевой цифровой фазированной антенной решетки, сформированных в соответствии с заявленным способом, а также сравнительные характеристики, подтверждающие достижение технического результата, представлены на фиг. 3, фиг. 4. Таким образом, осуществляется формирование сканирующих диаграмм направленности приемной системы с требуемым уровнем боковых лепестков и минимальным значением уровня чувствительности.

