патент
№ RU 2624611
МПК H01L21/66

СПОСОБ ИЗМЕРЕНИЯ МЕХАНИЧЕСКИХ НАПРЯЖЕНИЙ В МЭМС-СТРУКТУРАХ

Авторы:
Патюков Николай Николаевич Дедкова Анна Александровна Гусев Евгений Эдуардович
Все (4)
Номер заявки
2016138367
Дата подачи заявки
28.09.2016
Опубликовано
04.07.2017
Страна
RU
Как управлять
интеллектуальной собственностью
Чертежи 
1
Реферат

Использование: для измерения механических напряжений в МЭМС структурах. Сущность изобретения заключается в том, что способ измерения механических напряжений в МЭМС структурах включает формирование между пленкой-покрытием и основой промежуточного слоя, при этом промежуточный слой может иметь произвольную толщину, измеряют относительное удлинение пленки-покрытия по изменению величины зазора между краем балки и периферией пленки-покрытия посредством растрового электронного микроскопа и рассчитывают механические напряжения на рабочих пластинах по формуле,где L - длина свободного конца балки после удлинения/сжатия, d- зазор между краем балки и областью периферии пленки-покрытия до травления промежуточного слоя, d - зазор между краем балки и областью периферии пленки-покрытия после травления промежуточного слоя,- модуль Юнга покрытия,-коэффициент Пуассона покрытия. Технический результат: обеспечение возможности повышения точности измерения. 2 ил.

Формула изобретения

Способ измерения механических напряжений в МЭМС структурах, включающий формирование между пленкой-покрытием и основой промежуточного слоя, отличающийся тем, что промежуточный слой может иметь произвольную толщину, измеряют относительное удлинение пленки-покрытия по изменению величины зазора между краем балки и периферией пленки-покрытия посредством растрового электронного микроскопа и рассчитывают механические напряжения на рабочих пластинах по формуле

,

где L - длина свободного конца балки после удлинения/сжатия, d0 - зазор между краем балки и областью периферии пленки-покрытия до травления промежуточного слоя, d - зазор между краем балки и областью периферии пленки-покрытия после травления промежуточного слоя, - модуль Юнга покрытия, - коэффициент Пуассона покрытия.

Описание

[1]

Изобретение относится к электронной технике, в частности к микроэлектронике, и может быть использовано при изготовлении кристаллов интегральных схем (ИС) и дискретных полупроводниковых приборов. Остаточные напряжения в материалах микроэлектромеханических систем (МЭМС) существенно влияют на процент выхода годных кристаллов и на надежность ИС. В связи с этим необходимо постоянное совершенствование способов контроля механических напряжений.

[2]

Известен способ определения механических напряжений в тонких пленках путем вытравливания в подложке окон и измерения геометрических размеров деформированной пленки, по которым судят о величине механических напряжений, отличающийся тем, что, с целью повышения точности и упрощения процесса измерений, после травления подложку скрайбируют по лицевой стороне через выбранные для исследования структуры так, чтобы излом прошел параллельно свободно висящему краю пленки, отламывают часть пластины и вновь скрайбируют ее параллельно полученному ранее излому с шагом, обеспечивающим прохождение излома через исследуемые структуры, вновь отламывают часть структуры подложки и располагают ее под углом α к оси электронного микроскопа [1].

[3]

Недостатком данного способа является операция скрайбирования, которая вносит механические напряжения в исследуемую структуру. Кроме этого, необходимость излома образца не позволяет проводить измерения на рабочих пластинах.

[4]

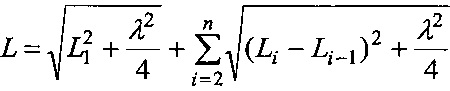
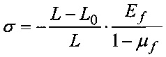
Наиболее близким по сути к изобретению является способ контроля величины остаточных напряжений в структуре пленка-подложка, включающий формирование между пленкой и подложкой промежуточного слоя заданной толщины, вскрытие в пленке методом фотолитографии окон в виде круга, отделение полоски пленки по краю окон на ширину 5-100 мкм путем селективного травления промежуточного слоя, определение относительного удлинения пленки по интерференционной картине в зазоре пленка-подложка и расчет остаточных напряжений σ по формуле

[5]

,

[6]

где L - длина свободного конца балки после удлинения/сжатия, Lo - длина исходной балки, μƒ - коэффициент Пуассона покрытия, Еƒ - модуль Юнга покрытия [2].

[7]

Длину свободного конца балки L определяют по формуле

[8]

,

[9]

где L1 - расстояние от точки отсчета до первой линии интерференции; i - номер линии; n - количество линий интерференции; (Li-Li-1) - расстояние между двумя линиями интерференции с номерами i и (i-1); λ - длина волны света, в котором наблюдалась интерференционная картина (для зеленого λ=0,54 (мкм)) [3].

[10]

Учитывая, что каждое измерение размера переменной вносит некоторую погрешность в расчет механических напряжений, необходимо минимизировать число измерений. Кроме того, с уменьшением рассматриваемой области увеличивается точность измерений. Как известно, изображение, анализируемое исследователем, представляет собой матрицу 1000×1000 (пкс). Погрешность оператора составляет 1 (пкс). Количество измерений не менее трех: измерение Loдлины исходной балки, измерение L1 расстояния от точки отсчета до первой линии интерференции, измерение L2 расстояния от точки отсчета до второй линии интерференции. Количество линий интерференции более двух.

[11]

Проведем оценку величины L1 и L2. Например, для L 70 (мкм) в случае минимального количества измерений, то есть две линии интерференции: значение L2 будет составлять около 70 (мкм), а значением L1 можно пренебречь. Погрешность будет составлять 1 (пкс), то есть около 70 (нм).

[12]

В процессе расчета механических напряжений количество переменных можно описать зависимостью (n+1). Минимальное количество переменных - 3 (при n=2, то есть две линии интерференции). Очевидно, что с увеличением количества линий интерференции (n=3; 4; 5…) количество переменных будет возрастать, а значит погрешность увеличится.

[13]

Задачей настоящего изобретения является повышение точности измерения за счет измерения зазора с помощью растрового электронного микроскопа (РЭМ) между краем балки и периферией пленки-покрытия до и после травления промежуточного слоя.

[14]

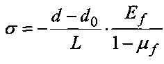
Поставленная задача решается тем, что измеряют механические напряжения в МЭМС структурах, включающих формирование между пленкой-покрытием и основой промежуточного слоя, промежуточный слой может иметь произвольную толщину, измеряют относительное удлинение пленки-покрытия по изменению величины зазора между краем балки и периферией пленки-покрытия посредством РЭМ и рассчитывают механические напряжения σ на рабочих пластинах по формуле

[15]

,

[16]

где L - длина свободного конца балки после удлинения/сжатия, d0 - зазор между краем балки и областью периферии пленки-покрытия до травления промежуточного слоя, d - зазор между краем балки и областью периферии пленки-покрытия после травления промежуточного слоя, Eƒ - модуль Юнга покрытия, μƒ - коэффициент Пуассона покрытия.

[17]

Количество измерений переменных в заявляемом способе не меняется и составляет три, а именно измерение L длины свободной балки, измерение d зазора между краем балки и областью периферии пленки-покрытия после травления промежуточного слоя, измерение d0 зазора между краем балки и областью периферии пленки-покрытия до травления промежуточного слоя. Следовательно, точность измерения в заявляемом способе возрастет по сравнению с прототипом за исключением случая, когда анализируемая картина будет иметь две линии интерференции.

[18]

Кроме того, можно сформировать зазор между краем исследуемой структуры и периферией пленки-покрытия, в m раз меньший по величине, чем длина исследуемой структуры, значит точность измерений увеличится в m раз.

[19]

Контроль относительного удлинения пленки по изменению величины зазора между краем балки и периферией пленки-покрытия осуществляется посредством РЭМ на рабочих пластинах. Не требуется изготовление шаблонов. Промежуточный слой может иметь произвольную толщину. Измеряемый материал покрытия и промежуточный слой не ограничиваются оксидом кремния.

[20]

На фиг. 1 и на фиг. 2 представлен макет балочной структуры с контролируемыми параметрами, где L0 - длина исходной балки, d0 - зазор между краем балки и областью периферии пленки-покрытия до травления промежуточного слоя, 1 - пленка-покрытие, 2 - промежуточный слой, 3 - балка, 4 - основа.

[21]

Пример конкретного применения. С помощью заявляемого способа проведены исследования и определены величины остаточных напряжений в МЭМС структурах на примере Si (основа) - SiO2 (промежуточный слой) - Si3N4 (пленка-покрытие, исследуемый материал). При величине зазора между краем балки и периферией 5 (мкм), погрешность ΔL составит 5 (нм). Так как величина балки составляет 70 (мкм), то по сравнению с прототипом повышается точность измерений в 12 раз. Истинное значение σ рассчитано по формуле (3) с учетом деформации балки на величину 0.6 (мкм) и составляет 1.641 (ГПа).

[22]

Таким образом, заявляемый способ контроля механических напряжений в МЭМС по сравнению с прототипом позволяет повысить точность измерения механических напряжений.

[23]

Источники информации

[24]

1. Патент СССР 1442012.

[25]

2. Патент РФ 2345337 – прототип.

[26]

3. В.А. Зеленин. Контроль остаточных напряжений в структурах Si-Si02. Доклады БГУИР, №8 (70), 2012.

Как компенсировать расходы
на инновационную разработку
Похожие патенты