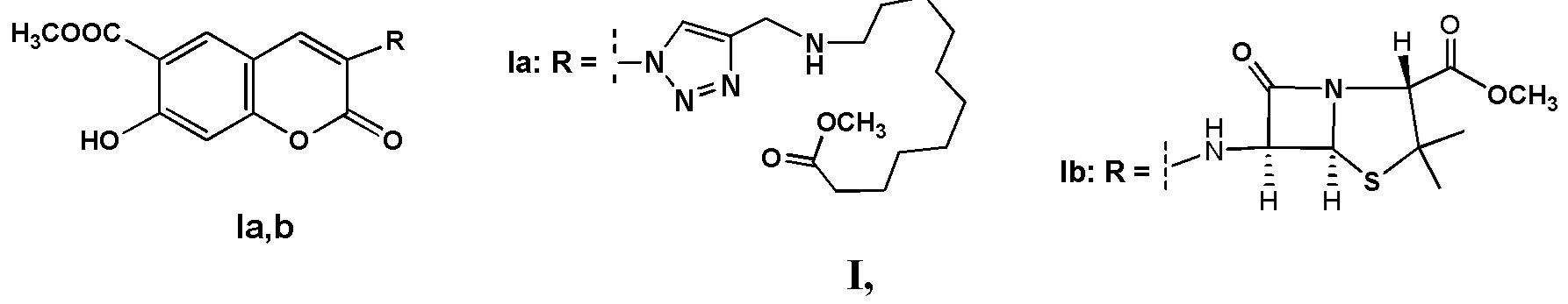
Изобретение относится к области медицины, конкретно к новым химическим соединениям – 3-замещенным 6-(метоксикарбонил)умбеллиферонам указанной ниже структурной формулы (Ia,b), в которых заместитель в положении С-3 кумарина представлен фрагментами метилового эфира 11-[(1


3-Замещенные 6-(метоксикарбонил)умбеллифероны общей формулы (I), где заместитель в положении С-3 представлен фрагментами метилового эфира 11-[(1 обладающие ингибирующей активностью в отношении вируса гриппа A/Н1N1.
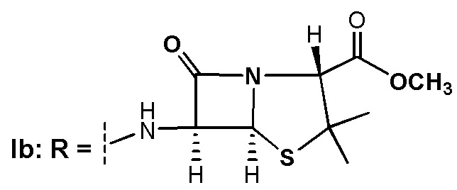
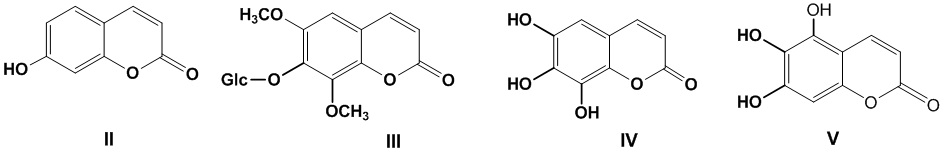
Изобретение относится к новым химическим соединениям, конкретно к 3-{3,3- диметил-2-(метоксикарбонил)-7-оксо-4-тиа-1-азабицикло[3.2.0]гептан-6-иламино}- или 3-(1,2,3-триазолил)- замещенным производным 6-(метоксикарбонил)умбеллиферона, структурной формулы (I), I обладающим антивирусным действием в отношении вируса гриппа А/H1N1. Указанные свойства позволяют предполагать возможность использования соединения в медицине. Изобретение относится к области химии и медицины, в частности, к средствам терапии вирусных заболеваний (вируса гриппа). Грипп - это респираторная инфекция, характеризующаяся выраженной общей интоксикацией, поражением эпителия верхних дыхательных путей и геморрагическим синдромом. Из-за высокой заразности сезонный грипп быстро приобретает характер эпидемии, иногда пандемии, охватывающей весь земной шар [Neumann G., Noda T., Kawaoka Y. Emergence and pandemic potential of swine-origin H1N1 influenza virus // Nature. - 2009. - V. 459. - P. 931-939]. На основании различий в структуре внутренних антигенов выделяют три подтипа вируса гриппа, имеющих значение для человеческой популяции: А, В и С. Наиболее опасным является вирус гриппа А. Печально известная «испанка» была пандемией вируса гриппа А, свиной грипп и птичий грипп также являются вариантами вируса гриппа А. Вирусы гриппа В и С могут вызывать локальные вспышки заболевания, но причиной массовой эпидемии не являются. Известным способом профилактики инфекции является вакцинация, однако в случае гриппа она может быть неадекватной из-за высокой мутабельности вируса и его склонности к передаче генетического материала между подтипами. Применяемые в медицинской практике производные адамантана амантадин и ремантадин (ингибиторы оболочечного белка М2), эффективны против инфекции, вызываемой различными штаммами вируса гриппа типа А [Машковский М.Д. Лекарственные средства // Москва, Новая волна. - 2010. - С. 884]. Отечественный препарат арбидол (умифеновир) по механизму противовирусного действия относится к ингибиторам слияния (фузии), взаимодействует с гемагглютинином вируса и препятствует слиянию липидной оболочки вируса и клеточных мембран одобрены для использования в профилактике инфекции вируса гриппа у взрослых и детей проявляет хорошую эффективность до развития симптоматики заболевания [Киселев О.И., Малеев В.В., Деева Э.Г., Ленева И.А., Селькова Е.П., Осипова Е.А. Клиническая эффективность препарата Арбидол (умифеновир) в терапии гриппа у взрослых: промежуточные результаты многоцентрового двойного слепого рандомизированного плацебоконтролируемого исследования // Терапевтический архив. - 2015. - Т. 87(1). - С. 88-96]. При гриппе эффективен препарат ингавирин (имидазолилэтанамид пентандиовой кислоты), механизм действия которого реализуется на уровне инфицированных клеток за счет активации факторов врожденного иммунитета, подавляемых вирусными белками [Геппе Н.А., Малахов А.Б., Кондюрина Е.Г. Обоснование выбора противовирусной терапии ОРВИ в педиатрии (мета-анализ клинических исследований эффективности имидазолилэтанамида пентандиовой кислоты у детей разных возрастных групп // Вопросы практической педиатрии. - 2020. - Т. 15(3). - С. 106-114.]. Необходимо отметить, что перечисленные препараты эффективны в первые 3 дня болезни или для профилактики гриппа, затем их эффективность резко снижается. Дополнительно, необходимо применение патогенетических и симптоматических средств: жаропонижающие, противовоспалительные, противокашлевые. Препараты занамивир, осельтамивир и перамивир (ингибиторы нейраминидазы), направлены специфично против вирусов гриппа типа А и В, однако в последнее время появляются данные о штаммах вируса гриппа А, резистентных к указанным препаратам [Samson M., Pizzorno A., Abed Y., Boivin G. Influenza virus resistance to neuraminidase inhibitors. Antiviral Res. - 2013. - V. 98(2). - P. 174-185; Yen H.L., McKimm-Breschkin J.L., Choy K.T., Wong D.D., Cheung P.P., Zhou J., Ng H., Webby R.J., Guan Y., Webster R.G., Peiris J.S. Resistance to neuraminidase inhibitors conferred by an R292K mutation in a human influenza virus H7N9 isolate can be masked by a mixed R/K miral population // MBio. - 2013. - V. 4. - N 4. - e00396-13]. Кроме того, применение ингибиторов нейраминдазы лимитируется их токсичностью [Alame, M. M.; Massaad, E.; Zaraket, H. Peramivir: A novel intravenous neuraminidase inhibitor for treatment of acute influenza infections // Front. Microbiol. - 2016. - V. 7. - P. 450]. В последнее время внимание привлекают препараты - ингибиторы вирусной полимеразы - фавипиравир, пимодивир и балоксавир, которые ингибируют в доклинических моделях вирусы гриппа А, включая вирусы, представляющие пандемическую угрозу, и вирусы, устойчивые к одобренным в настоящее время противовирусным препаратам, а два (фавипиравир и балоксавир) также ингибируют вирусы гриппа В [Shiraki K., Daikoku T. Favipiravir, an anti-influenza drug against life-threatening RNA virus infections // Pharmacology and Therapeutics - 2020. - V. 209. - Article N 107512]. Комбинации новых ингибиторов полимеразы с ингибиторами нейраминидазы демонстрируют синергизм на доклинических моделях и в настоящее время проходят клинические испытания на госпитализированных пациентах [Valenzuela-Sánchez F, Valenzuela-Méndez B, Rodríguez-Gutiérrez JF, Estella Á. Latest developments in early diagnosis and specific treatment of severe influenza infection // J Intensive Med. - 2023. - V. 4(2). - P. 160-174]. Несмотря на прогресс в разработке противовирусных средств, появление новых и возвращающихся инфекций, большая распространенность сочетанных форм, а также лекарственная устойчивость обуславливают важность и актуальность синтеза и изучения новых химических соединений, обладающих противовирусной активностью, в частности, антивирусным действием в отношении вируса гриппа А/H1N1. Известны природные и синтетические кумарины, обладающие противовирусной активностью. Так, 7-гидроксикумарин (умбеллиферон) (II) проявлял цитокино-модулирующую активность у мышей, инфицированных вирусом гриппа, что приводило к облегчению гриппозной инфекции [Kurokawa M., Watanabe W., Shimizu T., Sawamura R., Shiraki K. Modulation of cytokine production by 7-hydroxycoumarin in vitro and its efficacy against influenza infection in mice // Antiviral. Res. - 2010. - V. 85. - P. 373-380]. Интерес представляет кумариновый гликозид элеутерозид B1 (III), ингибирующий экспрессию гена нуклеопротеина, который является составной частью вирусного рибонуклеопротеинового комплекса vRNP, важного для репликации вируса. Был оценен механизм действия элеутерозида B1 против вирусной инфекции гриппа, показавший, что мишенью этого соединения является ген POLR2A, который отвечает за экспрессию вирусной полимеразы [Wang Y., Yan W., Chen Q., Huang, W., Yang Z., Li X., Wang X. Original article Inhibition viral RNP and anti-inflammatory activity of coumarins against influenza virus //Biomed. Pharmacother. - 2017. - V. 87. - P. 583-588]. 6,7,8- или 5,6,7-Тригидроксизамещенные кумарины (IV,V) проявили и ингибирующую активность в отношении вируса гриппа A/PR8/H1N1 (IC50 47-69 мкг/мл) наряду с антиоксидатной активностью. Авторы показали, что эффективность подавления репродукции вируса гриппа кумаринами (IV, V) базируется на контроле модуляции белков, участвующих в окислительно-восстановительных превращениях в клетке-хозяина, что важно для преодоления лекарственной устойчивости вирусных штаммов [Bizzarri B.M., Botta L., Capecchi E., Celestino I., Checconi P., Palamara A.T., Nencioni L. Regioselective IBX-mediated synthesis of coumarin derivatives with antioxidant and anti-influenza activities // J. Nat. Prod. - 2017. - V. 80. - P. 3247-3254]. Большое внимание при создании противовирусных агентов уделяется производным кумаринов, содержащих гетероциклические заместители в положении C-3. Так, известны кумарины (VI), содержащие тиазольный заместитель, которые проявили многообещающие противовирусные свойства против штаммов гриппа H3N2 и H1N1 (вирус А H1N1: IC50 = 4.84 мкг/мл в MDCK клетках). Противогриппозную активность соединений связывают с ингибированием нейраминидазы [Osman H., Yusufzai S.K., Khan M.S., Razik B.M.A., Sulaiman O., Mohamad S., Gansau J.A., Ezzat M.O., Parumasivam T., Hassan M.Z. New thiazolyl-coumarin hybrids: design, synthesis, characterization, X-ray crystal structure, antibacterial and antiviral evaluation // J. Mol. Struct. - 2018. - V. 1166. - P. 147-154]. Соединение (VII) было выбрано из ряда бис-(триазолотиадиазинил)бикумаринов, по результатам изучения на предмет противогриппозной активности (вирус А H1N1: EC50 = 45-72 μM; А H3N2: EC50 = 20-40 μM в MDCK клетках). Сайтом-мишенью этого синтезированного кумарина является белок нейраминидаза, что наблюдали путем измерения аффинитета производного кумарина к целевому белку вируса гриппа [Pavurala S., Vaarla K., Kesharwani R., Liekens S., Vedula R.R. Bis coumarinyl bis triazolothiadiazinyl ethane derivatives: synthesis, antiviral activity evaluation, and molecular docking studies // Synth. Commun. - 2018. - V. 48. - P. 1494-1503]. Как видно, сочетание в структуре природного 7-гидроксикумарина (умбеллиферона) и гетероциклического заместителя в положении С-3 открывает возможности создания новых противогриппозных агентов. Задачей предлагаемого изобретения является разработка новых противовирусных агентов на основе доступного растительного кумарина пеурутеницина (6-метоксикарбонилумбеллиферона) (XI). Указанное соединение является минорным вторичным метаболитом горичника Морисона ( Поставленная задача решается новыми химическими соединениями - азотсодержащими производными кумарина пеурутеницина (6-метоксикарбонилумбеллиферона), структурной формулы (Ia,b), в которых азотсодержащие заместители в положении С-3 представлены фрагментами метил 11-[(1 Способ получения соединений (Ia,b) из пеурутеницина (XI) реализуется по приведенной Фиг. 2. Бромирование пеурутеницина (6-метоксикарбонилумбеллиферона) (XI) диоксандибромидом в хлористом метилене получали соответствующий 3-бромпеурутеницин (XIII) (выход 88%). Взаимодействие бромида (XIII) c азидом натрия при нагревании в диметилформамиде до 40°С приводило к 2-азидо-6-метоксикарбонилумбеллиферону (XIV) (выход 68%). Взаимодействие азида (XIV) с метиловым эфиром 11-(проп-2-инил)ундекановой кислоты (XV) в присутствии иодида меди и диизопропилэтиламина приводило к 3-(1,2,3-триазолил)замещенному кумарину (Ia) (выход 78%). Аминирование 3-бромпеурутеницина (XIII) метиловым эфиром 6-аминопенициллановой кислоты (XVI) протекало при нагревании в диоксане в присутствии каталитической системы ацетат палладия-Xantphos, и карбоната цезия в качестве основания и приводило к образованию кумарина, содержащего в положении С-3 остаток метилового эфира 6-аминопенициллановой кислоты. Выход соединения (Ib) составил 68%. Достоинством изобретения является синтез новых соединений (Ia,b) путем химической модификации растительного кумарина пеурутеницина (XI) и их противовирусная активность. Физико-химические данные новых, впервые полученных соединений (Ia,b) приведены в примерах 1,2. На первой стадии биологических экспериментов определяли 50% цитотоксическую дозу (ЦТД50) агентов (Ia,b), исходного кумарина 6-метоксикарбонилумбеллиферона (XI) и препаратов сравнения в культуре клеток MDCK. Далее оценивали противовирусную активность каждого агента и определяли 50% ингибирующую концентрацию (ЭД50), а также вычисляли химиотерапевтический индекс (ХТИ) - отношение ЦТД50 к ЭД50. Это соотношение отражает эффективность исследуемого соединения как противовирусного агента. Полученные данные сравнивали с соответствующими показателями препаратов сравнения - ремантадин и осельтамивир карбоксилат. Исследования биологической активности соединений (Ia,b) показали их высокую эффективность как ингибиторов репродукции вируса гриппа A/ Puerto Rico/8/34/ (H1N1) (Таблица). Соединения (Ia,b) ингибировали репродукцию вируса с ЭД50 в микромолярном диапазоне, не менее чем в тридцать раз превосходя по активности препарат сравнения ремантадин, хотя и немного уступали по эффективной дозе препарату сравнения осельтамивир карбоксилат (в два раза). Новые соединения (Ia,b) превышали эффект исходного кумарина 6-(метоксикарбонил)умбеллиферона (XI). Значения ЭД50 новых кумарина (XI) в двадцать раз ниже, чем для ремантадина, что свидетельствует о наличии противовирусных свойств у исходного 6-(метоксикарбонил)умбеллиферона (XI) и их значительном увеличении после модификации. Из данных таблицы видно, что оба соединения (Ia,b) обладают сниженной цитотоксичностью по сравнению с исходным веществом, причем значения ЦТД50 для них отличались от исходного не менее, чем в 7 раз. Эти данные свидетельствуют об улучшении токсикологических характеристик полученных соединений. Новые производные умбеллиферона (Ia,b) также менее токсичны, чем используемый в медицине препарат ремантадин. Таблица. Результаты тестирования соединений (Ia,b) и (XI) в отношении вируса гриппа A/ Puerto Rico/8/34/ (H1N1) ЦТД50 (MDCK) - концентрации, вызывающие 50% гибель клеточной линии MDCK; ЭД50(H1N1) представляет собой концентрацию, приводящую к 50% ингибированию цитопатогенного действия вируса гриппа H1N1. ХТИ - химиотерапевтический индекс, отношение ЦТД50/ЭД50. Представленные данные являются средними из трех независимых экспериментов. Технический результат: повышение эффективности подавления репродукции вируса гриппа и расширение ассортимента ингибиторов репродукции вируса гриппа для преодоления лекарственной устойчивости современных вирусных штаммов. Изобретение иллюстрируется примерами. Пример 1. Метил 7-гидрокси-3-{4-[(11-метокси-11-оксоундециламино)метил]-1 Пример 2. Синтез (2 Пример 3. Изучение цитотоксичности новых 3-замещенных производных 6-метоксиумбеллиферона (Ia,b). Клетки Madin-Darby Canine Kidney (MDCK) (ATCC # CCL-34) культивировали в среде (MEM) с добавлением 5% эмбриональной бычьей сыворотки (FBS) и ципрофлоксацина (2 мг/мл). Соединения растворяли в ДМСО до концентрации 5 мг/мл и готовили серийные двукратные разведения (1000-4 мг/мл). Клетки MDCK высевали в 96-луночные планшеты и культивировали в МЕМ с добавлением 5% фетальной телячьей сыворотки. После формирования монослоя клетки промывали бессывороточной МЕМ, наносили на клетки растворы изучаемых соединений и инкубировали 48 ч при 37°С. После инкубации клетки дважды промывали фосфатно-солевым буфером (PBS) и количество выживших клеток оценивали с помощью микротетразолиевого теста (МТТ). Вкратце, добавляли 3-(4,5-диметилтиазол-2-ил)-2,5-дифенилтетразолия бромид (ICN Biochemicals Inc., США, 0,5 мг/мл, 0,1 мл на лунку) с последующей инкубацией планшетов при 37°С в 5% CO2 в течение 60 мин. Окрашенный осадок растворяли в 100 мл ДМСО. Планшеты осторожно встряхивали и оставляли в темноте при комнатной температуре на 30 мин. Оптическую плотность измеряли с помощью спектрофотометра (Victor 1420, Perkin Elmer, Финляндия) при длине волны 535 нм. На основании этих данных для каждого соединения рассчитывали значение ЦТД50 (концентрация соединения, при которой погибает 50% клеток). Полученные результаты приведены в таблице. Пример 4. Изучение противовирусной активности соединений (Ia,b) в отношении вируса гриппа A/PR/8/34 (H1N1). Вирусы гриппа A/Puerto Rico/8/34 (H1N1) были получены из коллекции вирусов ФГБУ Научно-исследовательского института гриппа им. А.А. Смородинцева МЗ РФ (Россия). Перед экспериментом вирусы размножали в аллантоисной полости 10-12-дневных куриных эмбрионов в течение 48 ч при 36°С (вирусы гриппа А). Инфекционный титр вируса определяли в клетках MDCK в 96-луночных планшетах. Противовирусная активность в отношении вируса гриппа. Анализ снижения выхода вируса. Серийные двукратные разведения соединений готовили в среде МЕМ («Биолот», РФ), содержащей 2 мМ аргинина (Sigma-Aldrich, США), 2 мМ глутамина (Sigma-Aldrich, США) и 2 мг/мл трипсина (Sigma-Aldrich, США) и инкубировали с клетками MDCK в течение 1 ч при 36°С в присутствии 5% СО2 (объем 100 мл на лунку). Каждую концентрацию тестировали трижды; необработанные клетки использовали в качестве контроля. Затем культуру клеток дважды промывали PBS и инокулировали соответствующим вирусом при множественности заражения 0.1 (объем 100 мл на лунку) и соответствующем разведении соединения (объем 100 мл на лунку; общий объем каждой лунки составлял 200 мл) и инкубировали в течение 24 ч. После инкубации к клеткам MDCK добавляли десятикратные разведения супернатанта и затем инкубировали в течение 48 ч при 36°C в присутствии 5% CO2. Титры вируса в супернатанте определяли методом гемагглютинации. Реакцию гемагглютинации проводили следующим образом. 100 мкл супернатанта переносили в круглодонные лунки, смешивали со 100 мл 1% взвеси куриных эритроцитов и затем инкубировали 1 ч при комнатной температуре. Титр вируса рассматривали как обратную величину конечного разведения инокулята, при котором вирус был способен вызывать положительную гемагглютинацию в 50% лунок и выражали в 50% дозах, заражающих культуру ткани (TCID50). Противовирусную активность соединений оценивали по их способности снижать титр вируса. На основании полученных результатов рассчитывали ЭД50 - 50% эффективную дозу (концентрация соединения, снижающая продукцию вируса в два раза по сравнению с контролем) и химиотерапевтический индекс (ХТИ, отношение ЦТД50 к ЭД50). Критерием оценки противовирусной активности является статистически значимое снижение титра вируса при применении препарата по сравнению с контролем. Статистическая обработка данных. Статистический анализ выполнен с использованием пакета программ GraphPad Prism и Microsoft Office Excel. Экспериментальные результаты представлены как средние значения данных, полученные из трех независимо проведенных экспериментов.



Шифр соединения ЦТД50, μМ ЭД50, μМ ХТИ Ia 496 ± 7.2 1.7 ± 0.11 294 Ib 587 ± 12 1.8 ± 0.09 326 XI 71.5 ± 5.8 3.0 ± 0.2 24 Ремантадин 348 ± 8.1 60.2 ± 1.2 6 Осельтамивир карбоксилат 691 ± 9.8 0.95 ± 0.04 725
Design and synthesis of 3-(N-substituted)aminocoumarins as anticancer agents from 3-bromopeuruthenicin // ChemistrySelect - 2019. - V. 4. - N 34. - P. 10197-102010]. К раствору 3-бромпеурутеницина (XIII) (0.15 г, 0.5 ммоль) в 5 мл диоксана в атмосфере аргона последовательно прибавили Pd(OAc)2 (0.0011 г, 1 моль%), Xantphos (0.0058 г, 2 моль%), Cs2CO3 (0.244 г, 0.75 ммоль) и метиловый эфир 6-аминопенициллановой кислоты (XVI) 0.128 г (0.6 ммоль). Реакционную смесь перемешивали 8 ч при 100 °C, затем растворитель упарили в вакууме, к остатку добавили 10 мл воды, продукт извлекли хлористым метиленом (4×10 мл), органические слои высушили над MgSO4 и упарили. Остаток хроматографировали на колонке с силикагелем (элюент - хлороформ, хлороформ-этанол 50:1). После обработки 2-ой фракции этилацетатом выделяли соединение (Ib), выход 68%, белый кристаллический порошок. Т.пл. 200-201°С (этанол). [α]D +21.5 (