Настоящее изобретение относится к полиэтилену сверхвысокой молекулярной массы и к способу его получения. Указанный полиэтилен сверхвысокой молекулярной массы имеет средневязкостную молекулярную массу 150-1000×104 г/моль, содержание металлических элементов 0-50 млн-1 и удовлетворяет по меньшей мере одному из условия (1) и условия (2), где условие (1): модуль упругости при растяжении составляет свыше 250 МПа, и условие (2): модуль Юнга составляет более 300 МПа. Способ получения полиэтилена сверхвысокой молекулярной массы включает суспензионную полимеризацию в отсутствии газообразного водорода исходных материалов для получения полиэтилена с неметаллоценовым катализатором на носителе в качестве основного катализатора, с сокатализатором, с полимеризационным растворителем, в качестве которого используют алкановый растворитель, имеющий температуру кипения 5-55°С, или смешанный алкановый растворитель, имеющий давление насыщенного пара при 20°С 20-150 кПа. Температура полимеризации составляет 50-100°С, давление при полимеризации составляет 0,4-4,0 МПа и активность полимеризации выше 2*104 г полиэтилена/г основного катализатора. Полиэтилен сверхвысокой молекулярной массы имеет высокий модуль упругости при растяжении, высокие механические характеристики, высокую температуру плавления, низкие содержание металлических элементов и зольность, а способ его получения является простым, технически гибким и регулируемым. 2 н. и 18 з.п. ф-лы, 6 табл., 3 пр.
1. Способ получения полиэтилена сверхвысокой молекулярной массы, в котором указанный полиэтилен сверхвысокой молекулярной массы имеет средневязкостную молекулярную массу 150-1000×104 г/моль, который отличается тем, что исходные материалы, содержащие этилен и, необязательно, по меньшей мере один сомономер, подвергают суспензионной полимеризации в отсутствие газообразного водорода, с неметаллоценовым катализатором на носителе в качестве основного катализатора, с одним или многими из алюминоксана, алкилалюминия и галогенированного алкилалюминия как сокатализатора, с алкановым растворителем, имеющим температуру кипения 5-55°С, или смешанным алкановым растворителем, имеющим давление насыщенного пара при 20°С 20-150 кПа, в качестве полимеризационного растворителя, где суспензионную полимеризацию в резервуаре проводят в таких условиях, что температура полимеризации составляет 50-100°С, и давление при полимеризации составляет 0,4-4,0 МПа, и активность полимеризации является выше, чем 2×104 г полиэтилена/г основного катализатора, причем в случае, что присутствует сомономер, то в отношении общего числа молей этилена и сомономера, доля сомономера составляет 0,01-3 мол. %, и этилен и сомономер загружают совместно в полимеризационный резервуар. 2. Способ получения полиэтилена сверхвысокой молекулярной массы по п. 1, который отличается тем, что полиэтилен сверхвысокой молекулярной массы имеет средневязкостную молекулярную массу 300-700×104 г/моль, и/или суспензионную полимеризацию в резервуаре проводят в таких условиях, что температура полимеризации составляет 60-90°С, и давление при полимеризации составляет 1,0-3,0 МПа, активность полимеризации является выше 3×104 г полиэтилена/г основного катализатора, причем в случае, что присутствует сомономер, то в отношении общего числа молей этилена и сомономера, доля сомономера составляет 0,01-2 мол.%. 3. Способ получения полиэтилена сверхвысокой молекулярной массы по п. 1 или 2, который отличается тем, что полимеризационный растворитель представляет собой один из н-пентана, изопентана, неопентана и циклопентана; или смешанный алкановый растворитель из двух или многих из н-пентана, изопентана, неопентана и циклопентана. 4. Способ получения полиэтилена сверхвысокой молекулярной массы по п. 1 или 2, который отличается тем, что указанный сомономер выбран из С3-С10-альфа-олефинов, и может быть выбран из пропена, 1-бутена, 1-пентена, 1-гексена, и 1-октена. 5. Способ получения полиэтилена сверхвысокой молекулярной массы по п. 1 или 2, который отличается тем, что алюминоксан как указанный сокатализатор выбирают из метилалюминоксана, этилалюминоксана, изобутилалюминоксана, н-бутилалюминоксана, и их смеси(-сей), галогенированный алкилалюминий как указанный сокатализатор выбирают из монохлордиметилалюминия, дихлорметилалюминия, монохлордиэтилалюминия, дихлорэтилалюминия, монохлордипропилалюминия, дихлорпропилалюминия, монохлорди-н-бутилалюминия, дихлор-н-бутилалюминия, монохлордиизобутилалюминия, дихлоризобутилалюминия, монохлорди-н-гексилалюминия, дихлор-н-гексилалюминия, монохлордиизогексилалюминия, дихлоризогексилалюминия, и их смеси(-сей). 6. Способ получения полиэтилена сверхвысокой молекулярной массы по п. 1 или 2, способ соответствует по крайней мере одному из следующих требований: полимеризационный растворитель представляет собой одну из комбинации н-пентана и изопентана, комбинации изопентана и неопентана, комбинации н-пентана и циклопентана, комбинации н-пентана и неопентана, комбинации изопентана и циклопентана, комбинации неопентана и циклопентана, комбинации н-пентана-изопентана-циклопентана, и комбинации неопентана-изопентана-н-пентана; сомономер выбран из 1-бутена и 1-гексена; алюминоксан как указанный сокатализатор выбирают из метилалюминоксана, изобутилалюминоксана, и их смеси(-сей), алкилалюминий как указанный сокатализатор выбирают из триметилалюминия, триэтилалюминия, трипропилалюминия, триизобутилалюминия, три-н-бутилалюминия, триизопентилалюминия, три-н-пентилалюминия, тригексилалюминия, триизогексилалюминия, диэтилметилалюминия, диметилэтилалюминия, и их смеси(-сей); галогенированный алкилалюминий как указанный сокатализатор выбирают из монохлордиэтилалюминия, дихлорэтилалюминия, монохлорди-н-бутилалюминия, дихлор-н-бутилалюминия, монохлордиизобутилалюминия, дихлоризобутилалюминия, монохлорди-н-гексилалюминия, дихлор-н-гексилалюминия, и их смеси(-сей). 7. Способ получения полиэтилена сверхвысокой молекулярной массы по п. 1 или 2, который отличается тем, что указанный неметаллоценовый катализатор на носителе содержит неметаллоценовый комплекс и соединение металла Группы IVB. 8. Способ получения полиэтилена сверхвысокой молекулярной массы по п. 7, который отличается тем, что указанный неметаллоценовый комплекс выбирают из соединений, имеющих следующие химические структурные формулы, и их смесей: причем в вышеуказанной химической структурной формуле, q представляет 0 или 1; d представляет 0 или 1; m представляет 1, 2 или 3; М представляет центральный атом металла, выбранный из атомов металлов от Группы III до Группы XI в периодический системе элементов; n представляет 1, 2, 3 или 4, в зависимости от валентного состояния центрального атома металла М; X выбирают из атома галогена, атома водорода, C1-C30-углеводородной группы, замещенной C1-С30-углеводородной группы, кислородсодержащей группы, азотсодержащей группы, содержащей серу группы, содержащей бор группы, содержащей алюминий группы, содержащей фосфор группы, содержащей кремний группы, содержащей германий группы, или содержащей олово группы, многочисленные группы X могут быть идентичными или различными, и также могут образовывать связь или цикл друг с другом; группу А выбирают из атома кислорода, атома серы, атома селена, В выбирают из атома азота, азотсодержащей группы, содержащей фосфор группы, или С1-С30-углеводородной группы; D выбирают из атома азота, атома кислорода, атома серы, атома селена, атома фосфора, азотсодержащей группы, содержащей фосфор группы, С1-С30-углеводородной группы, сульфонильной или сульфинильной групп, причем каждый из N, О, S, Se, и Р представляет собой координирующий атом; Е выбирают из азотсодержащей группы, кислородсодержащей группы, содержащей серу группы, содержащей селен группы, содержащей фосфор группы, или цианогруппы, причем каждый из N, О, S, Se, и Р представляет собой координирующий атом; G выбирают из С1-С30-углеводородной группы, замещенной C1-С30-углеводородной группы, или инертной функциональной группы; символ «→» представляет одинарную связь или двойную связь; символ «-» представляет ковалентную связь или ионную связь; «---» представляет координационную связь, ковалентную связь или ионную связь; группы от R1 до R3, в каждом случае независимо, выбирают из атома водорода, С1-С30-углеводородной группы, замещенной C1-С30-углеводородной группы, или инертной функциональной группы, группы от R22 до R36, R38 и R39, в каждом случае независимо, выбирают из атома водорода, С1-С30-углеводородной группы или замещенной С1-С30-углеводородной группы, вышеуказанные группы могут быть одинаковыми или различающимися между собой, причем соседние группы могут быть объединены друг с другом с образованием связи или с формированием цикла; причем указанную инертную функциональную группу выбирают из атома галогена, кислородсодержащей группы, азотсодержащей группы, содержащей кремний группы, содержащей германий группы, содержащей серу группы, содержащей олово группы, С1-С10-сложноэфирной группы или нитрогруппы, указанную С1-С30-углеводородную группу выбирают из С1-С30-углеводородной группы, имеющей один или многие атомы галогена или С1-С30-алкильные группы как заместитель. 9. Способ получения по п. 8, который отличается тем, что указанный галоген выбирают из F, Cl, Br или I; указанную азотсодержащую группу выбирают из указанную фосфорсодержащую группу выбирают из указанную кислородсодержащую группу выбирают из гидроксигруппы, -OR34 и -T-OR34; указанную содержащую серу группу выбирают из -SR35, -Т-SR35, -S(O)R36 или -T-SO2R37; указанную содержащую селен группу выбирают из -SeR38, -Т-SeR38, -Se(O)R39 или -T-Se(O)R39; указанную группу Т выбирают из С1-С30-углеводородной группы или замещенной С1-С30-углеводородной группы; указанную группу R37 выбирают из атома водорода, C1-C30-углеводородной группы или замещенной С1-С30-углеводородной группы; указанную С1-С30-углеводородную группу выбирают из С1-С30-алкильной группы, С7-С30-алкиларильной группы, С7-С30-арилалкильной группы, циклической С3-С30-алкильной группы, С2-С30-алкенильной, С2-С30-алкинильной, С6-С30-арильной групп, группы конденсированного С8-С30-цикла или С4-С30-гетероциклической группы, причем указанная гетероциклическая группа содержит 1-3 гетероатома, выбранных из атома азота, атома кислорода или атома серы; указанную содержащую бор группу выбирают из BF4-, (C6F5)4B- или (R40BAr3)-; указанную содержащую алюминий группу выбирают из алкилалюминия, AlPh4-, A1F4-, AlCl4-, AlBr4-, AlI4- или R41AlAr3-; указанную содержащую кремний группу выбирают из -SiR42R43R44 или -T-SiR45; указанную содержащую германий группу выбирают из -GeR46R47R48 или -T-GeR49; указанную содержащую олово группу выбирают из - SnR50R51R52, -T-SnR53 или -T-Sn(O)R54; причем Ar представляет С6-С30-арил; группы от R40 до R54, в каждом случае независимо, выбирают из атома водорода, вышеуказанной C1-С30 -углеводородной группы, или вышеуказанной замещенной C1-C30-углеводородной группы, причем эти группы могут быть идентичными или отличающимися друг от друга, причем соседние группы могут быть объединены между собой с образованием связи или формированием цикла, и, указанная группа Т определена, как описано выше. 10. Способ получения полиэтилена сверхвысокой молекулярной массы по п. 7, в котором указанное соединение металла Группы IVB выбирают из галогенида металла Группы IVB, алкильного производного металла Группы IVB, алкоксипроизводного металла Группы IVB, галогенированного алкильного производного металла Группы IVB, галогенированного алкоксильного производного металла Группы IVB, и их смесей. 11. Способ получения полиэтилена сверхвысокой молекулярной массы по п. 8, который отличается тем, что указанный неметаллоценовый комплекс выбирают из соединений (А-1)-(А-4) и (В-1)-(В-4), имеющих следующие химические структурные формулы, и их смесей: М представляет центральный атом металла, выбранный из Ti(IV) и Zr(IV); F выбирают из атома азота, азотсодержащей группы, атома кислорода, атома серы, атома селена, или из содержащей фосфор группы, причем каждый из N, О, S, Se, и Р представляет собой координирующий атом; Y выбирают из атома кислорода, азотсодержащей группы, кислородсодержащей группы, содержащей серу группы, содержащей селен группы или содержащей фосфор группы, причем каждый из N, О, S, Se, и Р представляет собой координирующий атом; Z выбирают из азотсодержащей группы, кислородсодержащей группы, содержащей серу группы, содержащей селен группы, содержащей фосфор группы или цианогруппы, причем каждый из N, О, S, Se, и Р представляет собой координирующий атом; группы R4 и от R6 до R21, в каждом случае независимо, выбирают из атома водорода, С1-С30-углеводородной группы, замещенной С1-С30-углеводородной группы, или инертной функциональной группы, группы от R22 до R36, R38 и R39, в каждом случае независимо, выбирают из атома водорода, С1-С30-углеводородной группы или замещенной С1-С30-углеводородной группы, вышеуказанные группы могут быть одинаковыми или различающимися между собой, причем соседние группы могут быть объединены друг с другом с образованием связи или с формированием ароматического цикла; R5 выбирают из неподеленной пары электронов на азоте, атома водорода, С1-С30-углеводородной группы, замещенной С1-С30-углеводородной группы, кислородсодержащей группы, содержащей серу группы, азотсодержащей группы, содержащей селен группы или фосфорсодержащей группы; когда R5 представляет кислородсодержащую группу, содержащую серу группу, азотсодержащую группу, содержащую селен группу или фосфорсодержащую группу, N, О, S, Р и Se в R5 могут служить как координирующие атомы. 12. Способ получения полиэтилена сверхвысокой молекулярной массы по п. 7, в котором указанное соединение металла Группы IVB выбирают из TiCl4, TiBr4, ZrCl4, ZrBr4, HfCl4, HfBr4, и их смесей. 13. Способ получения полиэтилена сверхвысокой молекулярной массы по п. 8, который отличается тем, что указанный неметаллоценовый комплекс выбирают из соединений, имеющих следующие химические структурные формулы, и их смесей: 14. Полиэтилен сверхвысокой молекулярной массы, который отличается тем, что полиэтилен сверхвысокой молекулярной массы имеет средневязкостную молекулярную массу 150-1000×104 г/моль, и содержание металлических элементов 0-50 млн-1, и указанный полиэтилен удовлетворяет по меньшей мере одному из Условия (1) и Условия (2): Условие (1): модуль упругости при растяжении составляет свыше 250 МПа, Условие (2): модуль Юнга составляет более 300 МПа. 15. Полиэтилен сверхвысокой молекулярной массы по п. 14, который отличается тем, что указанный полиэтилен имеет объемную плотность 0,30-0,55 г/см3, абсолютную плотность 0,900-0,940 г/см3, температуру плавления 140-152°С. 16. Полиэтилен сверхвысокой молекулярной массы по п. 14, который отличается тем, что указанный полиэтилен имеет содержание титана 0-3 млн-1, содержание кальция 0-5 млн-1, содержание магния 0-10 млн-1, содержание алюминия 0-30 млн-1, содержание кремния 0-10 млн-1, и содержание хлора 0-50 млн-1. 17. Полиэтилен сверхвысокой молекулярной массы по п. 14, который отличается тем, что, когда полиэтилен содержит структурные единицы сомономера, полиэтилен имеет статистическую сополимеризационную структуру, причем молярная степень внедрения сомономера составляет 0,05-4,0%, причем сомономер выбран из С3-C10-альфа-олефинов. 18. Полиэтилен сверхвысокой молекулярной массы по п. 14, причем указанный полиэтилен удовлетворяет по меньшей мере одному условию от Условия (3) до Условия (6): Условие (3): предел текучести при растяжении более 22 МПа, Условие (4): предел прочности при растяжении до разрыва более 32 МПа, Условие (5): относительное удлинение при разрыве более 350%, Условие (6): ударная вязкость свыше 70 кДж/м2. 19. Полиэтилен сверхвысокой молекулярной массы по п. 14, который отличается тем, что указанный полиэтилен имеет зольность менее 200 млн-1. 20. Полиэтилен сверхвысокой молекулярной массы по п. 14, который отличается тем, что полиэтилен сверхвысокой молекулярной массы удовлетворяет, по меньшей мере, одному из следующих требований: полиэтилен сверхвысокой молекулярной массы имеет средневязкостную молекулярную массу 300-700×104 г/моль, и содержание металлических элементов 0-30 млн-1; указанный полиэтилен имеет объемную плотность 0,40-0,50 г/см3, абсолютную плотность 0,915-0,930 г/см3, температуру плавления 142-150°С, и кристалличность 45-70%; указанный полиэтилен имеет содержание титана 0-2 млн-1, содержание кальция 0-3 млн-1, содержание магния 0-5 млн-1, содержание алюминия 0-20 млн-1, содержание кремния 0-5 млн-1, и содержание хлора 0-30 млн-1; молярная степень внедрения сомономера составляет 0,10-2,0%, причем сомономер выбран из пропена, 1-бутена, 1-пентена, 1-гексена и 1-октена; указанный полиэтилен имеет зольность менее 150 млн-1.
,
, -NR23R24, -N(O)R25R26,
, -PR28R29, -P(O)R30OR31, сульфонильной, сульфинильной, или -Se (О) R39-группы, причем каждый из N, О, S, Se, и Р представляет собой координирующий атом;
, -NR23R24, -T-NR23R24 или -N(O)R25R26;
, PR28R29, -P(O)R30R31 или -Р (О)R32(OR33);





.
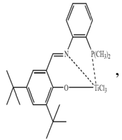
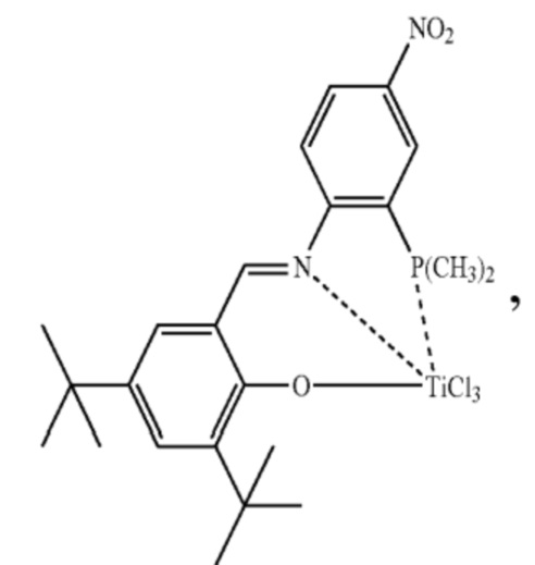
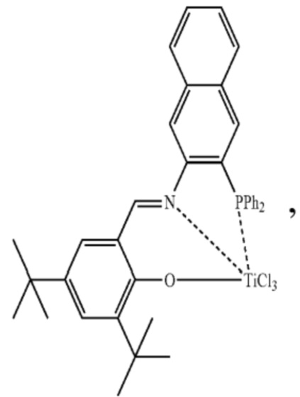
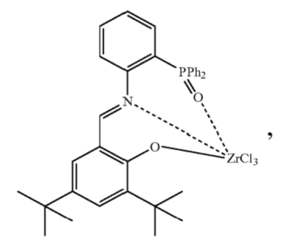
Область техники, к которой относится изобретение Настоящее изобретение относится к этиленовым гомополимеру и сополимеру со сверхвысокой молекулярной массой, с низким содержанием металлических элементов и высокими механическими характеристиками, а также к способу получения суспензии для гомополимера этилена и сополимера этилена с использованием алкана или смешанного алкана в качестве растворителя для полимеризации, и к каталитической системе, содержащей неметаллоценовый катализатор на носителе в качестве основного катализатора. Уровень техники Полиэтилен сверхвысокой молекулярной массы (UHMWPE) в общем имеет отношение к линейно-структурированному полиэтилену с относительной молекулярной массой 150×104 г/моль или выше. Он имеет такие преимущества, как превосходная износостойкость, исключительно высокая ударная вязкость, превосходная характеристика самосмазывания, превосходная химическая и низкотемпературная стойкость, превосходная адгезионная стойкость, гигиеничность, нетоксичность, и характеристики экологической чистоты, пригодность для применения в качестве вторичного сырья и возможность повторного использования, которые обычный полиэтилен не имеет, и поэтому широко применяется в таких областях, как текстиль, производство бумаги, пищевые продукты, химическая промышленность, упаковка, сельское хозяйство, строительство, терапевтическое лечение, очистка воды, спортивные занятия, развлекательные мероприятия, и военное дело. В высокотехнологичных вариантах применения полиэтилен сверхвысокой молекулярной массы со сверхвысокой средневязкостной молекулярной массой (как правило, средневязкостная молекулярная масса должна составлять выше 400×104 г/моль) и низкой зольностью может быть использован для сухого или мокрого гель-прядения полимерных волокон для получения высокопрочных волокон из сверхвысокомолекулярного полиэтилена, которые используют для пуленепробиваемых материалов, устойчивых к порезам тканей, парашютов, рыболовных ящиков и сетей, и тому подобных. Сверхвысокомолекулярный полиэтилен с низким содержанием металлических элементов и высокими механическими характеристиками может быть использован в материалах медицинского назначения, таких как искусственные суставы. В настоящее время в способе получения полиэтилена сверхвысокой молекулярной массы главным образом применяют катализаторы Циглера-Натта; и его получают полимеризацией в условиях суспензионной полимеризации. Патентный документ ZL94116488.8 раскрывает способ получения полиэтилена сверхвысокой молекулярной массы с высокой объемной плотностью, который получен каталитической полимеризацией этилена с использованием смешанного катализатора, содержащего органическое производное алюминия и титановый компонент. Патентный документ CN200410054344.7 раскрывает катализатор для полиэтилена сверхвысокой молекулярной массы и способ его получения и применения. Используемый катализатор состоит из производного магния, включающего содержащий титан компонент и кремнийсодержащий компонент. Полиэтилен сверхвысокой молекулярной массы получают в присутствии органического производноого алюминия. Патентный документ CN200710042467.2 раскрывает катализатор для полиэтилена сверхвысокой молекулярной массы и способ его получения. Получение основного компонента катализатора предусматривает проведение следующих стадий: (1) галогенид магния вводят в реакцию со спиртом с образованием магниевого соединения; (2) магниевое соединение вводят в реакцию с кремниевым соединением, имеющим по меньшей мере одну галогеновую группу с образованием промежуточного продукта; и (3) промежуточный продукт вводят в реакцию с производным титана для получения основного компонента катализатора; в каждой стадии реакции может быть селективно добавлен сложный эфир бензойной кислоты. Катализатор для полиэтилена сверхвысокой молекулярной массы проявляет высокую активность, и полученный сверхвысокомолекулярный полиэтилен имеет характеристики высокой объемной плотности. Патентный документ CN200710042468.7 раскрывает катализатор для полиэтилена сверхвысокой молекулярной массы и способ его получения. Основной компонент катализатора получают в следующих технологических стадиях: (1) галогенид магния вводят в реакцию со спиртовым соединением и сложноэфирным титанатным производным с образованием раствора магниевого соединения; (2) раствор магниевого соединения вводят в реакцию с алкилалюминийхлоридным соединением для получения промежуточного продукта; (3) затем промежуточный продукт вводят в реакцию с титановым соединением как электронодонором. Катализатор для полиэтилена сверхвысокой молекулярной массы проявляет высокую активность, и полученный сверхвысокомолекулярный полиэтилен имеет характеристики высокой объемной плотности. Патентный документ US4962167A1 раскрывает способ получения катализатора для образования полиэтилена реакцией продукта взаимодействия магнийгалогенидного производного и алкоксида титана с продуктом реакции галогенида алюминия и алкоксида кремния. Патентный документ US5587440 раскрывает способ получения сверхвысокомолекулярного полиэтилена с узким распределением частиц по размеру и высокой объемной плотностью путем восстановления галогенида титана(IV) алюминийорганическим соединением и подверганием дополнительной обработке, но активность катализатора является относительно низкой. Способы получения полиэтилена главным образом включают полимеризацию при высоком давлении, газофазную полимеризацию, суспензионную полимеризацию, полимеризацию в растворе, и другие технологии и способы. Из них способ суспензионной полимеризации этилена является одним из главных способов получения полиэтилена. Этот способ подразделяют на способ полимеризации в циркуляционном реакторе и способ суспензионной полимеризации в резервуаре с перемешиванием. Для получения полиэтилена сверхвысокой молекулярной массы обычно применяемым способом является полимеризация этилена в гексане или гептане как растворителе, при температуре полимеризации и под давлением при полимеризации, оба условия из которых являются низкими, насколько возможно. Высокая температура полимеризации будет облегчать перенос цепи, который ограничивает рост молекулярной цепи полиэтилена, и это затрудняет получение полиэтилена с высокой средневязкостной молекулярной массой. Более того, известно, что сополимеризация этилена и сомономера будет значительно снижать молекулярную массу образованного полиэтилена. В существующих технологиях даже затруднительно формировать этиленовые сополимеры со сверхвысокой молекулярной массой, имеющие средневязкостную молекулярную массу выше 150×104 г/моль. Патентный документ CN201480057309.2 раскрывает способ получения гранулированных сополимеров полиэтилена сверхвысокой молекулярной массы с металлоорганическим соединением (R33P=N-TiCpXn), нанесенным на магниевый носитель, его каталитическая активность является относительно низкой, и зольность сополимера относительно высока. Патентный документ CN201780000391.9 раскрывает порошок этиленового сополимера со сверхвысокой молекулярной массой, и формованное изделие с использованием порошка этиленового сополимера со сверхвысокой молекулярной массой. При этом общее количество α-олефиновых единиц составляет 0,01-0,10 мол.%. Однако из примеров можно видеть, что в сополимере является относительно высоким содержание титанового элемента. Патентные документы CN201610892732.5, CN201610892836.6, CN201610892837.0, и CN201610892424.2 соответственно раскрывают полиэтилен сверхвысокой молекулярной массы, и способы его получения и применения. Для проведения гомополимеризации этилена и сополимеризации этилена с альфа-олефином в стадиях использован неметаллоценовый катализатор на носителе. Молекулярная цепь полученного полиэтилена сверхвысокой молекулярной массы имеет по меньшей мере два сегмента (сегмент А гомополимеризации и сегмент В сополимеризации), и представляет собой блок-сополимер с широким молекулярно-массовым распределением. Чтобы получить полиэтилен сверхвысокой молекулярной массы с низким содержанием металлических элементов, общий подход состоит в выборе или формировании надлежащих каталитических систем для достижения настолько высокой полимеризационной активности, насколько возможно, в условиях полимеризации этилена, для чего требуется катализатор, имеющий высокую собственную полимеризационную активность; в альтернативном варианте, в условиях суспензионной пульсирующей полимеризации, длительность реакции полимеризации должна быть протяженной, насколько это возможно, для достижения высокой полимеризационной активности, для чего требуется катализатор, имеющий длительный срок полимеризационной активности, и текущее расходование этиленового мономера при его полимеризации должно возрастать, оставаться неизменным, или медленно убывать со временем, но не может проявлять быстрое сокращение, или даже быстрое снижение до предельно низкого уровня, приводя к утрате необходимости в продолжении реакции; в альтернативном варианте, полиэтилен сверхвысокой молекулярной массы, полученный после полимеризации, должен быть подвергнут дополнительной обработке. Например, патент Китая 200410024103.8 раскрывает последующую обработку полиэтилена сверхвысокой молекулярной массы, включающую фильтрование, промывание растворителем, высушивание, промывание водой, просеивание, и тому подобное. Однако обработка является сложной и требует регулирования содержания примесей в промывном растворителе, приводя к высокой стоимости промывания и высушивания. Патент Китая 201610747653.5 раскрывает устройство для непрерывного промывания водой и способ для полиэтилена сверхвысокой молекулярной массы, который указывает, что во время процесса полимеризации сверхвысокомолекулярного полиэтилена катализатор образует активный центр с алкилалюминием, запускающий реакцию полимеризации этилена, в то же время также образуя небольшое количество металлического производного кислоты. Если промывание водой не проводят, то во время последующей обработки порошка металлическое производное кислоты может вызывать коррозию технологического оборудования. В дополнение, чрезмерно присутствующее алкилалюминиевое производное с высокой температурой кипения во время полимеризации реагирует с небольшим количеством кислорода и следовым количеством воды в растворителе с образованием гидроксида алюминия, что обусловливает высокое содержание алюминиевого элемента в полиэтилене, тем самым снижая предел прочности при растяжении, ударную вязкость и износостойкость продукта. Поэтому современная ситуация в этой области все еще делает желательной разработку полиэтилена сверхвысокой молекулярной массы с высокой и контролируемой средневязкостной молекулярной массой, регулируемой средневязкостной молекулярной массой, высокой объемной плотностью и высокими механическими характеристиками, низким содержанием металлических элементов и низкой зольностью, и высокими механическими характеристиками; и способа получения полиэтилена сверхвысокой молекулярной массы, который удовлетворяет следующим характеристикам: в условиях суспензионной полимеризации этилена катализатор имеет длительный срок активности и высокую полимеризационную активность, способ получения полимеризацией является гибким и регулируемым, и пригоден для исполнения в большом масштабе. Полученный полиэтилен сверхвысокой молекулярной массы имеет высокую объемную плотность, и этиленовый гомополимер имеет низкую степень разветвленности, этиленовые сополимеры имеют высокий модуль упругости при растяжении, что является благоприятным для упаковки продуктов, хранения, перевозки, загрузки и применения в последующих обработках. Сущность изобретения На основе существующей технологии авторы настоящего изобретения провели доскональное исследование и нашли, что, когда исходные материалы, содержащие этилен и, необязательно, по меньшей мере один сомономер, подвергают суспензионной полимеризации с использованием алканового растворителя, имеющего температуру кипения 5-55°С, или смешанного алканового растворителя, имеющего давление насыщенного пара при 20°С 20-150 кПа, в качестве полимеризационного растворителя в суспензионной полимеризации этилена, с использованием неметаллоценового катализатора на носителе в качестве основного катализатора, и с использованием одного или многих из алюминоксана, алкилалюминия и галогенированного алкилалюминия как сокатализатора, в отсутствие газообразного водорода, может быть получен полиэтилен сверхвысокой молекулярной массы с низким содержанием металлических элементов и высокой механической характеристикой. Таким образом, могут быть разрешены вышеуказанные существующие проблемы, и тем самым было выполнено настоящее изобретение. То есть, посредством сверхвысокомолекулярного полиэтилена, имеющего низкое содержание металлических элементов и высокую механическую характеристику, и способа его получения согласно настоящему изобретению, может быть получен полиэтилен сверхвысокой молекулярной массы с низким содержанием металлических элементов и высокой механической характеристикой, без необходимости в строго соблюдаемой конфигурации реактора для суспензионной полимеризации этилена и в жестких условиях полимеризации, а также в сложных стадиях последующей обработки. Более конкретно, полученный полиэтилен имеет такие механические характеристики, как высокий модуль упругости при растяжении, высокий модуль Юнга, высокий предел текучести при растяжении, высокое сопротивление разрыву при растяжении, и высокую ударную вязкость, которые делают его весьма пригодным для получения в промышленном масштабе и для последующего формирования высокопрочного волокна из сверхвысокомолекулярного полиэтилена, и в медицине для искусственных суставов. Более конкретно, настоящее изобретение представляет полиэтилен сверхвысокой молекулярной массы, причем полиэтилен сверхвысокой молекулярной массы имеет средневязкостную молекулярную массу 150-1000×104 г/моль, предпочтительно 200-850×104 г/моль, более предпочтительно 300-700×104 г/моль, и содержание металлических элементов 0-50 млн-1, предпочтительно 0-30 млн-1, и указанный полиэтилен удовлетворяет по меньшей мере одному из условия (1) и условия (2): Условие (1): модуль упругости при растяжении свыше 250 МПа, предпочтительно выше 280 МПа, более предпочтительно выше 300 МПа, Условие (2): модуль Юнга более 300 МПа, предпочтительно более 350 МПа. Более конкретно, в случае, что указанный полиэтилен сверхвысокой молекулярной массы представляет собой этиленовый гомополимер, средневязкостная молекулярная масса составляет 150-1000×104 г/моль, предпочтительно 200-850×104 г/моль, содержание титана составляет 0-3 млн-1, предпочтительно 0-2 млн-1, более предпочтительно 0-1 млн-1, содержание кальция составляет величину 0-5 млн-1, предпочтительно 0-3 млн-1, более предпочтительно 0-2 млн-1, содержание магния составляет 0-10 млн-1, предпочтительно 0-5 млн-1, более предпочтительно 0-2 млн-1, содержание алюминия составляет 0-30 млн-1, предпочтительно 0-20 млн-1, более предпочтительно 0-15 млн-1, содержание кремния составляет 0-10 млн-1, предпочтительно 0-5 млн-1, более предпочтительно 0-3 млн-1, содержание хлора составляет 0-50 млн-1, предпочтительно 0-30 млн-1, зольность составляет менее 200 млн-1, предпочтительно менее 150 млн-1, более предпочтительно 80 млн-1 или менее, предел текучести при растяжении составляет свыше 22 МПа, предпочтительно выше 25 МПа, предел прочности при растяжении до разрыва составляет более 32 МПа, предпочтительно более 35 МПа, относительное удлинение при разрыве составляет более 350%, предпочтительно более 400%, ударная вязкость составляет более 70 кДж/м2, предпочтительно более 75 кДж/м2, модуль Юнга составляет свыше 300 МПа, предпочтительно свыше 350 МПа, более предпочтительно свыше 400 МПа. Более конкретно, в случае, что указанный полиэтилен сверхвысокой молекулярной массы представляет собой этиленовый сополимер, средневязкостная молекулярная масса составляет 150-800×104 г/моль, предпочтительно 200-700×104 г/моль, содержание титана составляет 0-3 млн-1, предпочтительно 0-2 млн-1, более предпочтительно 0-1 млн-1, содержание кальция составляет величину 0-5 млн-1, предпочтительно 0-3 млн-1, более предпочтительно 0-2 млн-1, содержание магния составляет 0-10 млн-1, предпочтительно 0-5 млн-1, более предпочтительно 0-2 млн-1, содержание алюминия составляет 0-30 млн-1, предпочтительно 0-20 млн-1, более предпочтительно 0-15 млн-1, содержание кремния составляет 0-10 млн-1, предпочтительно 0-5 млн-1, более предпочтительно 0-3 млн-1, содержание хлора составляет 0-50 млн-1, предпочтительно 0-30 млн-1, зольность составляет менее 200 млн-1, предпочтительно менее 150 млн-1, более предпочтительно 80 млн-1 или менее, модуль упругости при растяжении составляет свыше 250 МПа, предпочтительно свыше 280 МПа, более предпочтительно свыше 300 МПа. Настоящее изобретение также представляет способ получения полиэтилена сверхвысокой молекулярной массы, причем указанный сверхвысокомолекулярный полиэтилен имеет средневязкостную молекулярную массу 150-1000×104 г/моль, предпочтительно 200-850×104 г/моль, более предпочтительно 300-700×104 г/моль, причем исходные материалы, содержащие этилен и, необязательно, по меньшей мере один сомономер, подвергают суспензионной полимеризации в отсутствие газообразного водорода, с использованием неметаллоценового катализатора на носителе в качестве основного катализатора, с использованием одного или многих из алюминоксана, алкилалюминия и галогенированного алкилалюминия как сокатализатора, с использованием алканового растворителя, имеющего температуру кипения 5-55°C, или смешанного алканового растворителя, имеющего давление насыщенного пара при 20°C на уровне 20-150 кПа (предпочтительно 40-110 кПа), в качестве полимеризационного растворителя, для получения полиэтилена сверхвысокой молекулярной массы, имеющего низкое содержание металлических элементов. Технический эффект изобретения Полиэтилен сверхвысокой молекулярной массы согласно настоящему изобретению имеет высокую средневязкостную молекулярную массу, низкое содержание металлических элементов, низкую зольность, и превосходные механические характеристики. Более конкретно, полиэтилен имеет высокий модуль упругости при растяжении, высокий предел текучести при растяжении, высокое сопротивление разрыву при растяжении, высокую ударную вязкость, и высокий модуль Юнга, и высокое относительное удлинение при разрыве, которые делают его весьма полезным для улучшения прочности при растяжении, ударной вязкости и износостойкости изделий, выполненных из этого полиэтилена. В ходе исполнения способа согласно настоящему изобретению используемое количество сокатализатора, нужное для способа получения, является низким, процесс полимеризации является стабильным, расход этилена в режиме реального времени является стабильным, срок сохранения активности полимеризационной системы является длительным, и активность суспензионной полимеризации этилена является высокой. Полиэтилен, имеющий сверхвысокую средневязкостную молекулярную массу (этиленовый гомополимер или этиленовый сополимер), может быть получен при относительно более высокой температуре полимеризации. В дополнение, в ходе исполнения способа согласно настоящему изобретению, в качестве растворителя для полимеризации применяют алкановый растворитель, имеющий температуру кипения 5-55°С, или смешанный алкановый растворитель, имеющий давление насыщенного пара при 20°C на уровне 20-150 кПа. Выбранный диапазон растворителей для полимеризации является широким, и есть обширный диапазон вариантов для способа отведения тепла во время реакции полимеризации и последующей обработки порошка полиэтилена сверхвысокой молекулярной массы. Более того, последующая обработка полученного полиэтилена сверхвысокой молекулярной массы может быть проведена простым путем. Кроме того, будучи сопряженным с применением неметаллоценового катализатора, полученный полиэтилен сверхвысокой молекулярной массы имеет низкое содержание остаточного растворителя, что является очень благоприятным для сокращения времени сушки полиэтиленового материала, и экономит затраты на последующую обработку, что, в свою очередь, облегчает последующее промышленное применение этиленового полимера. Кроме того, может быть достигнут полиэтилен с низким содержанием металлических элементов и низкой зольностью, а также с превосходными механическими характеристиками. Более того, в способе полимеризации согласно настоящему изобретению применяют только алкановый растворитель, имеющий температуру кипения 5-55°С, или смешанный алкановый растворитель, имеющий давление насыщенного пара при 20°C на уровне 20-150 кПа, в качестве полимеризационного растворителя, без необходимости в использовании других растворителей, таких как диспергаторы и разбавители, в результате чего получаются простая реакционная система и простая и легкая последующая обработка. Подробное описание изобретения Теперь будет сделана подробная ссылка на приведенные варианты осуществления настоящего изобретения, но должно быть понятно, что область изобретения не ограничивается этими вариантами осуществления, но определяется пунктами прилагаемой формулы изобретения. В контексте настоящего изобретения, если четко не оговорено иное, или находится за пределами понимания квалифицированных специалистов в этой области технологии, углеводороды или группы на основе углеводородной основе, имеющие три или более атомов углерода (такие как пропильная, пропоксильная, бутильная группы, бутан, бутен, бутенил и гексан), которые не имеют префикса «н-», имеют такие же значения, как те, которые имеют префикс «н-». Например, пропил в общем смысле понимают как н-пропил, тогда как бутил в общем смысле понимают как н-бутил, если не оговорено иное. В этом описании, чтобы избежать усложненных выражений, когда не ясно, является ли состояние валентной связи каждого заместителя или группы одновалентным, двухвалентным, трехвалентным или четырехвалентным, квалифицированные специалисты в этой области технологии могут вывести конкретные суждения на основе положений или замещений этих заместителей или групп (таких как группы G, D, B, A, и F, описанные или определенные в этом описании) в структурных формулах соответствующих соединений, и выбрать определение, которое пригодно для статуса валентной связи в этом положении или в ситуации замещения, из определений, приведенных в этом описании для этих заместителей или групп. Все публикации, патентные заявки, патенты, и другие литературные ссылки, упомянутые в этом описании, целиком включены здесь ссылкой. Если не оговорено иное, все использованные здесь технические и научные термины имеют такие же значения, как это обычно понятно квалифицированным специалистам в области технологии, к которой принадлежит это изобретение. В случае противоречия решающее значение будет иметь настоящее описание, в том числе определения. Когда описание представляет материал, вещество, способ, стадию, устройство, элемент, и тому подобные, таким выражением, как «известный квалифицированным специалистам в этой области технологии», «прототип», или аналогичным термином, этим подразумевается, что представленный предмет обсуждения охватывает те, которые обычно применяются в технологии во время составления этой заявки, но также включает те, которые могут не быть настолько общепринятыми в настоящее время, но станут известными в технологии как подходящие для подобной цели. В контексте этого описания, за исключением того, что указано однозначно, любой неупомянутый объект или предмет непосредственно применим к тем, которые известны в технологии, без любых изменений. Более того, любые из описанных здесь вариантов осуществления могут быть свободно комбинированы с одним или многими другими описываемыми здесь вариантами осуществления, и выведенные в результате этого технические решения или технические идеи рассматриваются как часть исходного изобретения или оригинальной записи настоящего изобретения, и не должны толковаться как новое содержание, которое не было раскрыто или предположено в этом описании, если только квалифицированным специалистам в этой области технологии не станет понятно, что эта комбинация является очевидно неприемлемой. При отсутствии четкого указания, все процентные доли, части, соотношения, и тому подобные, упомянутые в этом описании, основаны на весовых единицах, кроме случаев, когда выражение в весовых единицах не согласуется с традиционным знанием квалифицированных специалистов в этой области технологии. Теперь будет сделана подробная ссылка на приведенные варианты осуществления настоящего изобретения, но должно быть понятно, что область изобретения не ограничивается этими вариантами осуществления, но определяется пунктами прилагаемой формулы изобретения. В контексте настоящего изобретения, если только не оговорено иное, величины физических характеристик (таких как температура кипения) материала представляют собой значения, измеренные при нормальной температуре (25°С) и нормальном давлении (101325 Па). Авторы настоящего изобретения провели обстоятельное исследование и подтвердили, что в способе полимеризации согласно настоящему изобретению с использованием алканового растворителя, имеющего температуру кипения 5-55°С, или смешанного алканового растворителя, имеющего давление насыщенного пара при 20°C на уровне 20-150 кПа, в качестве полимеризационного растворителя, сравнительно с использованными ранее полимеризационными растворителями, конкретный полимеризационный растворитель согласно настоящему изобретению и этилен, и, необязательно, по меньшей мере один олефин для сополимеризации (например, пропилен, 1-бутен, 1-гексен, 1-октен) в качестве реактанта, имеют значительно различающиеся температуры кипения, поэтому последующая обработка полученного порошка полиэтилена сверхвысокой молекулярной массы может быть проведена удобно и эффективно, и содержание остаточного растворителя в полученном порошке сверхвысокомолекулярного полиэтилена является низким, что является весьма благоприятным для сокращения времени сушки полиэтиленового порошка, обеспечивая экономию затрат на последующую обработку полиэтиленового порошка. Кроме того, в настоящем изобретении в качестве полимеризационного растворителя только алкановый растворитель, имеющий температуру кипения 5-55°С, или смешанный алкановый растворитель, имеющий давление насыщенного пара при 20°C на уровне 20-150 кПа, применяют как полимеризационный растворитель, без необходимости в использовании других растворителей, таких как диспергаторы и разбавители, в результате чего получаются простая реакционная система и простая и легкая последующая обработка. Кроме того, в настоящем изобретении каталитическая активность системы суспензионной полимеризации может быть дополнительно улучшена применением каталитической системы из неметаллоценового катализатора и сокатализатора в полимеризационном растворителе из алканового растворителя, имеющего температуру кипения 5-55°С, или смешанного алканового растворителя, имеющего давление насыщенного пара при 20°C на уровне 20-150 кПа (предпочтительно 40-110 кПа), обеспечивая тем самым стабильный процесс полимеризации и стабильное расходование этилена в режиме реального времени, и поэтому может быть получен полиэтилен, имеющий сверхвысокую средневязкостную молекулярную массу при более высокой температуре полимеризации. Более того, когда систему суспензионной полимеризации согласно настоящему изобретению применяют для сополимеризации, может быть получена более высокая степень внедрения олефина для сополимеризации. Поэтому полиэтилен сверхвысокой молекулярной массы, полученный согласно настоящему изобретению, проявляет высокую средневязкостную молекулярную массу, низкое содержание металлических элементов, и низкую зольность. Полученный полиэтилен имеет превосходные механические характеристики, более конкретно, полиэтилен имеет высокий модуль упругости при растяжении, высокий предел текучести при растяжении, высокое сопротивление разрыву при растяжении, высокую ударную вязкость, и высокий модуль Юнга, и высокое относительное удлинение при разрыве. Поэтому изделия, полученные с использованием сверхвысокомолекулярного полиэтилена согласно настоящему изобретению, имеют превосходную механическую прочность и низкое содержание примесей. Поэтому изделия, полученные с использованием сверхвысокомолекулярного полиэтилена согласно настоящему изобретению, пригодны для использования в таких областях, как аэрокосмическая техника, материалы медицинского назначения, и в других областях с жесткими требованиями к качеству. В ходе исполнения способа полимеризации согласно настоящему изобретению, после получения сырого продукта необработанного сверхвысокомолекулярного полиэтилена, нет необходимости в сложных процессах последующей очистки (таких как промывание высокочистым растворителем, промывание высокочистой водой, высокотемпературное вываривание, и измельчение и фильтрование полимера), и не остается ничего, кроме удаления соответствующего растворителя (путем фильтрования, декантирования, скоростного выпаривания, выпаривания до сухого состояния, и тому подобного), так что может быть получен высокочистый полиэтилен сверхвысокой молекулярной массы с низким содержанием металлических элементов, низкой зольностью, и превосходными механическими характеристиками. В настоящем изобретении этиленовый гомополимер и этиленовый сополимер сообща называются этиленовым полимером или полиэтиленом. Когда имеется образованная сополимеризацией структурная единица, сверхвысокомолекулярный полиэтилен согласно настоящему изобретению не является блок-сополимером, и его структура представляет собой структуру статистической сополимеризации. Полиэтилен сверхвысокой молекулярной массы, представленный в настоящем изобретении, характеризуется тем, что полиэтилен сверхвысокой молекулярной массы имеет средневязкостную молекулярную массу 150-1000×104 г/моль, предпочтительно 200-850×104 г/моль, более предпочтительно 300-700×104 г/моль, и содержание металлических элементов 0-50 млн-1, предпочтительно 0-30 млн-1, и указанный полиэтилен удовлетворяет по меньшей мере одному из условия (1) и условия (2): Условие (1): модуль упругости при растяжении свыше 250 МПа, предпочтительно выше 280 МПа, более предпочтительно выше 300 МПа, Условие (2): модуль Юнга более 300 МПа, предпочтительно более 350 МПа. В одном варианте осуществления настоящего изобретения указанный полиэтилен имеет объемную плотность 0,30-0,55 г/см3, предпочтительно 0,33-0,52 г/см3, более предпочтительно 0,40-0,50 г/см3. В одном варианте осуществления настоящего изобретения указанный полиэтилен имеет абсолютную плотность 0,900-0,940 г/см3, предпочтительно 0,905-0,935 г/см3, дополнительно предпочтительно 0,915-0,930 г/см3. В одном варианте осуществления настоящего изобретения указанный полиэтилен имеет температуру плавления 140-152°С, предпочтительно 142-150°С. В одном варианте осуществления настоящего изобретения указанный полиэтилен имеет кристалличность 40-75%, предпочтительно 45-70%. В одном варианте осуществления настоящего изобретения указанный полиэтилен имеет содержание титана 0-3 млн-1, предпочтительно 0-2 млн-1, более предпочтительно 0-1 млн-1. В одном варианте осуществления настоящего изобретения указанный полиэтилен имеет содержание кальция 0-5 млн-1, предпочтительно 0-3 млн-1, более предпочтительно 0-2 млн-1. В одном варианте осуществления настоящего изобретения указанный полиэтилен имеет содержание магния 0-10 млн-1, предпочтительно 0-5 млн-1, более предпочтительно 0-2 млн-1. В одном варианте осуществления настоящего изобретения указанный полиэтилен имеет содержание алюминия 0-30 млн-1, предпочтительно 0-20 млн-1, более предпочтительно 0-15 млн-1. В одном варианте осуществления настоящего изобретения указанный полиэтилен имеет содержание кремния 0-10 млн-1, предпочтительно 0-5 млн-1, более предпочтительно 0-3 млн-1. В одном варианте осуществления настоящего изобретения указанный полиэтилен имеет содержание хлора 0-50 млн-1, предпочтительно 0-30 млн-1. В одном варианте осуществления настоящего изобретения, когда полиэтилен содержит сомономерные структурные единицы, полиэтилен представляет собой статистический сополимер, причем молярная степень внедрения сомономера составляет 0,05-4,0%, предпочтительно 0,10-2,0%. В одном варианте осуществления настоящего изобретения указанный полиэтилен удовлетворяет по меньшей мере одному из следующих условий от условия (3) до условия (6): Условие (3): предел текучести при растяжении более 22 МПа, предпочтительно более 25 МПа, Условие (4): предел прочности при растяжении до разрыва более 32 МПа, предпочтительно более 35 МПа, Условие (5): относительное удлинение при разрыве более 350%, предпочтительно более 400%, Условие (6): ударная вязкость свыше 70 кДж/м2, предпочтительно свыше 75 кДж/м2. В одном варианте осуществления настоящего изобретения указанный полиэтилен имеет зольность менее 200 млн-1, предпочтительно менее 150 млн-1, более предпочтительно 80 млн-1 или менее. В одном варианте осуществления настоящего изобретения, когда указанный полиэтилен представляет собой этиленовый гомополимер, его средневязкостная молекулярная масса составляет 150-1000×104 г/моль, предпочтительно 200-850×104 г/моль. В одном варианте осуществления настоящего изобретения, когда указанный полиэтилен представляет собой этиленовый гомополимер, он имеет содержание титана 0-3 млн-1, предпочтительно 0-2 млн-1, более предпочтительно 0-1 млн-1, содержание кальция 0-5 млн-1, предпочтительно 0-3 млн-1, более предпочтительно 0-2 млн-1, содержание магния 0-10 млн-1, предпочтительно 0-5 млн-1, более предпочтительно 0-2 млн-1, содержание алюминия 0-30 млн-1, предпочтительно 0-20 млн-1, более предпочтительно 0-15 млн-1, содержание кремния 0-10 млн-1, предпочтительно 0-5 млн-1, более предпочтительно 0-3 млн-1, содержание хлора 0-50 млн-1, предпочтительно 0-30 млн-1. В одном варианте осуществления настоящего изобретения, когда указанный полиэтилен представляет собой этиленовый гомополимер, он имеет объемную плотность 0,30-0,55 г/см3, предпочтительно 0,33-0,52 г/см3, более предпочтительно 0,40-0,45 г/см3, абсолютную плотность 0,910-0,940 г/см3, предпочтительно 0,915-0,935 г/см3, более предпочтительно 0,920-0,930 г/см3, температуру плавления 140-152°C, предпочтительно 142-150°C, кристалличность 40-75%, предпочтительно 45-70%. В одном варианте осуществления настоящего изобретения, когда указанный полиэтилен представляет собой этиленовый гомополимер, он имеет предел текучести при растяжении свыше 22 МПа, предпочтительно свыше 25 МПа, предел прочности при растяжении до разрыва более 32 МПа, предпочтительно более 35 МПа, относительное удлинение при разрыве более 350%, предпочтительно более 400%, ударную вязкость свыше 70 кДж/м2, предпочтительно свыше 75 кДж/м2, и модуль Юнга более 300 МПа, предпочтительно более 350 МПа. В одном варианте осуществления настоящего изобретения, когда указанный полиэтилен представляет собой этиленовый гомополимер, он имеет зольность менее 200 млн-1, предпочтительно менее 150 млн-1, более предпочтительно 80 млн-1 или менее. В одном варианте осуществления настоящего изобретения, когда указанный полиэтилен представляет собой этиленовый сополимер, он имеет средневязкостную молекулярную массу 150-800×104 г/моль, предпочтительно 200-700×104 г/моль. В одном варианте осуществления настоящего изобретения, когда указанный полиэтилен представляет собой этиленовый сополимер, он имеет содержание титана 0-3 млн-1, предпочтительно 0-2 млн-1, более предпочтительно 0-1 млн-1, содержание кальция 0-5 млн-1, предпочтительно 0-3 млн-1, более предпочтительно 0-2 млн-1, содержание магния 0-10 млн-1, предпочтительно 0-5 млн-1, более предпочтительно 0-2 млн-1, содержание алюминия 0-30 млн-1, предпочтительно 0-20 млн-1, более предпочтительно 0-15 млн-1, содержание кремния 0-10 млн-1, предпочтительно 0-5 млн-1, более предпочтительно 0-3 млн-1, содержание хлора 0-50 млн-1, предпочтительно 0-30 млн-1. В одном варианте осуществления настоящего изобретения, когда указанный полиэтилен представляет собой этиленовый сополимер, он имеет объемную плотность 0,30-0,55 г/см3, предпочтительно 0,33-0,52 г/см3, более предпочтительно 0,41-0,50 г/см3, абсолютную плотность 0,900-0,940 г/см3, предпочтительно 0,905-0,935 г/см3, более предпочтительно 0,910-0,930 г/см3, температуру плавления 140-152°C, предпочтительно 142-150°C, кристалличность 40-75%, предпочтительно 45-70%. В одном варианте осуществления настоящего изобретения, когда полиэтилен представляет собой этиленовый сополимер, сополимер имеет структуру, образованную статистической полимеризацией, молярная степень внедрения сомономера составляет 0,05-4,0%, предпочтительно 0,10-2,0%. В одном варианте осуществления настоящего изобретения, когда указанный полиэтилен представляет собой этиленовый сополимер, модуль упругости при растяжении составляет более 250 МПа, предпочтительно более 280 МПа, более предпочтительно свыше 300 МПа. В одном варианте осуществления настоящего изобретения, когда указанный полиэтилен представляет собой этиленовый сополимер, он имеет зольность менее 200 млн-1, предпочтительно менее, чем 150 млн-1, более предпочтительно 80 млн-1 или менее. Полиэтилен сверхвысокой молекулярной массы, представляемый настоящим изобретением, имеет содержание металлических элементов 0-50 млн-1, предпочтительно 0-30 млн-1. Полиэтилен сверхвысокой молекулярной массы согласно настоящему изобретению образован следующим способом суспензионной полимеризации этилена согласно настоящему изобретению. Настоящее изобретение представляет способ получения полиэтилена сверхвысокой молекулярной массы, в котором исходные материалы, содержащие этилен и, необязательно, по меньшей мере один сомономер, подвергают обработке в условиях суспензионной полимеризации в отсутствие газообразного водорода, с использованием неметаллоценового катализатора на носителе в качестве основного катализатора, с использованием одного или многих из алюминоксана, алкилалюминия и галогенированного алкилалюминия в качестве сокатализатора, с использованием алканового растворителя, имеющего температуру кипения 5-55°С, или смешанного алканового растворителя, имеющего давление насыщенного пара при 20°С 20-150 кПа (предпочтительно 40-110 кПа), в качестве полимеризационного растворителя. В одном варианте осуществления настоящего изобретения, в способе получения указанного полиэтилена сверхвысокой молекулярной массы, температура полимеризации составляет 50-100°С, предпочтительно 60-90°С, и давление при полимеризации составляет 0,4-4,0 МПа, предпочтительно 1,0-3,0 МПа, наиболее предпочтительно 1,5-3,0 МПа. В одном варианте осуществления настоящего изобретения суспензионная полимеризация представляет собой суспензионную полимеризацию в резервуаре. В одном варианте осуществления настоящего изобретения, в способе получения указанного полиэтилена сверхвысокой молекулярной массы, активность суспензионной полимеризации этилена является более высокой, чем 2×104 г полиэтилена/г основного катализатора, предпочтительно активность полимеризации составляет выше, чем 3×104 г полиэтилена/г основного катализатора, наиболее предпочтительно активность полимеризации составляет выше, чем 4×104 г полиэтилена/г основного катализатора. В одном варианте осуществления настоящего изобретения, в способе получения указанного полиэтилена сверхвысокой молекулярной массы, в случае, что присутствует сомономер, молярное отношение сомономера к активному металлу в катализаторе составляет 10-500:1, предпочтительно 20-400:1, и этилен и сомономер вводят совместно в полимеризацию для выполнения одностадийной полимеризации. В одном варианте осуществления настоящего изобретения, в способе получения указанного полиэтилена сверхвысокой молекулярной массы, не применяют газообразный водород. В настоящем изобретении этиленовый гомополимер имеет отношение к гомополимеру, образованному гомополимеризацией этилена как единственного полимеризуемого мономера, тогда как этиленовый сополимер подразумевает сополимер, сформированный сополимеризацией этилена по меньшей мере с одним сомономером, который не является этиленом. Более конкретно, для этиленового сополимера сомономер выбирают из альфа-олефинов, диолефинов, циклических олефинов, и других соединений с олефиновой ненасыщенностью. В качестве указанного альфа-олефина он может представлять собой C3-C10-альфа-олефин, например, пропилен, 1-бутен, 1-пентен, 1-гексен, 1-гептен, 4-метил-1-пентен, 4-метил-1-гексен, 1-октен, 1-децен, 1-ундецен, 1-додецен, и может быть причислен стирол. В качестве циклического олефина, например, могут быть перечислены 1-циклопентен, этилиденнорборнен, и может быть причислен норборнен. В качестве диолефина, например, могут быть указаны 1,4-бутадиен, 2,5-пентадиен, 1,5-гексадиен, винилнорборнен, норборнадиен, 1,7-октадиен, и тому подобные. В качестве указанных других соединений с олефиновой ненасыщенностью, например, могут быть перечислены винилацетат, (мет)акрилат, и тому подобные. Из них сомономер предпочтительно представляет собой C3-C10-альфа-олефин, более предпочтительно выбранный из 1-бутена, 1-гексена, 4-метил-1-пентена, 1-октена, и их смесей, и еще более предпочтительно выбранный из 1-бутена, 1-гексена, 1-октена, и их смесей. альфа-Олефины в качестве сомономера могут быть применены по отдельности или в комбинации двух или более из них. В одном варианте осуществления настоящего изобретения, когда в реакции полимеризации используют сомономер, молярное отношение сомономера к активному металлу в катализаторе может составлять 10-500:1, предпочтительно 20-400:1, более предпочтительно 50-300:1. В одном варианте осуществления настоящего изобретения, когда в реакции полимеризации используют сомономер, в отношении общего числа молей этилена и сомономера, доля сомономера составляет 0,01-3 мол.%, предпочтительно 0,01-2 мол.%. Кроме того, во время реакции полимеризации этилен и сомономер вводят совместно в полимеризационный реактор. В настоящем изобретении выражение «этилен и сомономер вводят совместно в полимеризационный реактор» подразумевает подачу исходных материалов, содержащих этилен и сомономер, сообща в реактор, и проведение реакции полимеризации совместно без наличия раздельных стадий полимеризации, то есть, нет ни раздельных стадий сначала полимеризации этилена и затем сомономера для полимеризации, ни отдельных стадий гомогенизации сомономера и затем добавления этилена для полимеризации. Согласно настоящему изобретению, неметаллоценовый катализатор на носителе как основной катализатор может быть получен с использованием общеизвестных в технологии способов, таких как следующие способы: стадия растворения магниевого соединения в первом растворителе в присутствии спирта для получения раствора магниевого соединения; стадия смешения пористого носителя, который необязательно был подвергнут обработке для термической активации и/или обработке для химической активации, с раствором магниевого соединения для получения первой смесевой суспензии; стадия добавления осадителя к первой смесевой суспензии или высушивания первой смесевой суспензии для получения композитного носителя; стадия приведения композитного носителя в контакт с реагентом для химической обработки, выбранным из соединений металлов Группы IVВ для получения модифицированного композитного носителя; стадия приведения неметаллоценового комплекса в контакт с модифицированным композитным носителем в присутствии второго растворителя для получения второй смесевой суспензии, и, необязательно, высушивание для получения неметаллоценового катализатора на носителе. Далее будет приведено разъяснение относительно магниевого соединения. Согласно настоящему изобретению, термин «магниевое соединение» включает обычное в технологии понятие, подразумевающее органическое или неорганическое твердое безводное содержащее магний соединение, которое обычно применяют в качестве носителя в катализаторе полимеризации олефинов на носителе. Более конкретно, в качестве галогенида магния могут быть названы, например, хлорид магния (MgCl2), бромид магния (MgBr2), иодид магния (MgI2) и фторид магния (MgF2), причем предпочтителен хлорид магния. В качестве алкоксигалогенида магния, например, могут быть указаны метоксихлорид магния (Mg(OCH3)Cl), этоксихлорид магния (Mg(OC2H5)Cl), пропоксихлорид магния (Mg(OC3H7)Cl), н-бутоксихлорид магния (Mg(OC4H9)Cl), изобутоксихлорид магния (Mg(i-OC4H9)Cl), метоксибромид магния (Mg(OCH3)Br), этоксибромид магния (Mg(OC2H5)Br), пропоксибромид магния (Mg(OC3H7)Br), н-бутоксибромид магния (Mg(OC4H9)Br), изобутоксибромид магния (Mg(i-OC4H9)Br), метоксииодид магния (Mg(OCH3)I), этоксииодид магния (Mg(OC2H5)I), пропоксииодид магния (Mg(OC3H7)I), н-бутоксииодид магния (Mg(OC4H9)I), изобутоксииодид магния (Mg(i-OC4H9)I), и тому подобные, причем предпочтительны метоксихлорид магния, этоксихлорид магния и изобутоксихлорид магния. В качестве алкоксипроизводного магния могут быть перечислены, например, метоксид магния (Mg(OCH3)2), этоксид магния (Mg(OC2H5)2), пропоксид магния (Mg(OC3H7)2), бутоксид магния (Mg(OC4H9)2), изобутоксид магния (Mg(i-OC4H9)2), 2-этилгексоксид магния (Mg(OCH2CH(C2H5)C4H8)2), и тому подобные, причем предпочтительны этоксид магния и изобутоксид магния. В качестве алкилмагниевых производных, например, могут быть указаны диметилмагний (Mg(CH3)2), диэтилмагний (Mg(C2H5)2), дипропилмагний (Mg(C3H7)2), ди-н-бутилмагний (Mg(C4H9)2), диизобутилмагний (Mg(i-C4H9)2), и тому подобные, причем предпочтительны диэтилмагний и ди-н-бутилмагний. В качестве алкилмагнийгалогенидов, например, могут быть указаны метилмагнийхлорид (Mg(CH3)Cl), этилмагнийхлорид (Mg(C2H5)Cl), пропилмагнийхлорид (Mg(C3H7)Cl), н-бутилмагнийхлорид (Mg(C4H9)Cl), изобутилмагнийхлорид (Mg(i-C4H9)Cl), метилмагнийбромид (Mg(CH3)Br), этилмагнийбромид (Mg(C2H5)Br), пропилмагнийбромид (Mg(C3H7)Br), н-бутилмагнийбромид (Mg(C4H9)Br), изобутилмагнийбромид (Mg(i-C4H9)Br), метилмагнийиодид (Mg(CH3)I), этилмагнийиодид (Mg(C2H5)I), пропилмагнийиодид (Mg(C3H7)I), н-бутилмагнийиодид (Mg(C4H9)I), изобутилмагнийиодид (Mg(i-C4H9)I), и тому подобные, причем предпочтительны метилмагнийхлорид, этилмагнийхлорид и изобутилмагнийхлорид. В качестве алкилалкоксипроизводных магния могут быть перечислены, например, метилметоксид магния (Mg(OCH3)(CH3)), метилэтоксид магния (Mg(OC2H5)(CH3)), метилпропоксид магния (Mg(OC3H7)(CH3)), метил-н-бутоксид магния (Mg(OC4H9)(CH3)), метилизобутоксид магния (Mg(i-OC4H9)(CH3)), этилметоксид магния (Mg(OCH3)(C2H5)), этилэтоксид магния (Mg(OC2H5)(C2H5)), этилпропоксид магния (Mg(OC3H7)(C2H5)), этил-н-бутоксид магния (Mg(OC4H9)(C2H5)), этилизобутоксид магния (Mg(i-OC4H9)(C2H5)), пропилметоксид магния (Mg(OCH3)(C3H7)), пропилэтоксид магния (Mg(OC2H5)(C3H7)), пропилпропоксид магния (Mg(OC3H7)(C3H7)), пропил-н-бутоксид магния (Mg(OC4H9)(C3H7)), пропилизобутоксид магния (Mg(i-OC4H9)(C3H7)), н-бутилметоксид магния (Mg(OCH3)(C4H9)), н-бутилэтоксид магния (Mg(OC2H5)(C4H9)), н-бутилпропоксид магния (Mg(OC3H7)(C4H9)), н-бутил-н-бутоксид магния (Mg(OC4H9)(C4H9)), н-бутилизобутоксид магния (Mg(i-OC4H9)(C4H9)), изобутилметоксид магния (Mg(OCH3)(i-C4H9)), изобутилэтоксид магния (Mg(OC2H5)(i-C4H9)), изобутилпропоксид магния (Mg(OC3H7)(i-C4H9)), изобутил-н-бутоксид магния (Mg(OC4H9)(i-C4H9)), изобутилизобутоксид магния (Mg(i-OC4H9)(i-C4H9)), и тому подобные, причем предпочтителен бутилэтоксид магния. Эти магниевые соединения могут быть использованы по отдельности или в комбинации без любого конкретного ограничения. Когда их применяют в комбинации, молярное соотношение двух производных магния в смеси магниевых соединений составляет, например, 0,25-4:1, предпочтительно 0,5-3:1, более предпочтительно 1-2:1. Далее будет приведено разъяснение относительно стадии получения раствора магниевого соединения. Согласно этой стадии, магниевое соединение растворяют в первом растворителе (далее также называемом растворителем для растворения магниевого соединения) в присутствии спирта для получения раствора магниевого соединения. В качестве первого растворителя, например, могут быть указаны такие растворители, как ароматические C6-12-углеводороды, галогенированные ароматические C6-12-углеводороды, C5-12-алканы, сложные эфиры и простые эфиры. В качестве ароматического C6-12-углеводорода могут быть перечислены, например, толуол, ксилол, триметилбензол, этилбензол и диэтилбензол. В качестве галогенированного ароматического C6-12-углеводорода могут быть указаны, например, хлортолуол, хлорэтилбензол, бромтолуол, бромэтилбензол, и тому подобные. В качестве C5-12-алкана могут быть показаны, например, пентан, гексан, гептан, октан, нонан и декан, причем предпочтительны гексан, гептан и декан, и наиболее предпочтителен гексан. В качестве сложного эфира могут быть перечислены, например, метилформиат, этилформиат, пропилформиат, бутилформиат, метилацетат, этилацетат, пропилацетат, бутилацетат, метилпропионат, этилпропионат, бутилпропионат, бутилбутират, и тому подобные. В качестве простого эфира могут быть указаны, например, диэтиловый простой эфир, метилэтиловый простой эфир, тетрагидрофуран, и тому подобные. Из них предпочтительными являются ароматические C6-12-углеводороды, C5-12-алканы и тетрагидрофуран, и наиболее предпочтителен тетрагидрофуран. Эти растворители могут быть использованы по отдельности или в комбинации при любой пропорции. Согласно настоящему изобретению, термин «спирт» подразумевает соединение, полученное замещением по меньшей мере одного атома водорода в углеводородной цепи (такой как в С1-30-углеводороде) гидроксильной(-ными) группой(-ами). Он может быть выбран из алифатических спиртов, ароматических спиртов, алициклических спиртов, и их смесей. В качестве спирта, например, могут быть указаны алифатические C1-30-спирты (предпочтительно алифатические одноатомные C1-30-спирты), ароматические C6-30-спирты (предпочтительно ароматические одноатомные C6-30-спирты), и алициклические C4-30-спирты (предпочтительно алициклические одноатомные C4-30-спирты), причем предпочтительны алифатические одноатомные C1-30-спирты или алифатические одноатомные C2-8-спирты, и более предпочтительны этанол и бутанол. В дополнение, спирт необязательно может иметь по меньшей мере один заместитель, выбранный из атомов галогенов или C1-6-алкоксигрупп. В качестве алифатического C1-30-спирта могут быть перечислены, например, метанол, этанол, пропанол, 2-пропанол, бутанол, пентанол, 2-метилпентанол, 2-этилпентанол, 2-гексилбутанол, гексанол и 2-этилгексанол, и тому подобные, причем предпочтительны этанол, бутанол и 2-этилгексанол. В качестве ароматического C6-30-спирта могут быть перечислены, например, бензиловый спирт, фенилэтиловый спирт и метилбензиловый спирт, причем предпочтителен фенилэтиловый спирт. В качестве алициклического C4-30-спирта могут быть указаны, например, циклогексанол, циклопентанол, циклооктанол, метилциклопентанол, этилциклопентанол, пропилциклопентанол, метилциклогексанол, этилциклогексанол, пропилциклогексанол, метилциклооктанол, этилциклооктанол и пропилциклооктанол, и тому подобные, причем предпочтительны циклогексанол и метилциклогексанол. В качестве галогензамещенного спирта могут быть перечислены, например, трихлорметанол, трихлорэтанол, трихлоргексанол, и тому подобные, причем предпочтителен трихлорметанол. В качестве алкоксизамещенного спирта могут быть указаны, например, этиловый простой эфир этиленгликоля, н-бутиловый простой эфир этиленгликоля, 1-бутокси-2-пропанол, и тому подобные, причем предпочтителен этиловый простой эфир этиленгликоля. Эти спирты могут быть использованы по отдельности или в комбинации. Когда их применяют в комбинации, соотношение любых двух спиртов в смеси спиртов может быть произвольно определено без специальных ограничений. Чтобы получить раствор магниевого соединения, магниевое соединение может быть добавлено к смешанному растворителю, образованному из первого растворителя и спирта, для растворения, или магниевое соединение может быть добавлено к первому растворителю, и спирт может быть добавлен одновременно или после этого для растворения, но без ограничения этим. Время приготовления раствора магниевого соединения (то есть, длительность растворения магниевого соединения) не является конкретно ограниченным, но, как правило, составляет 0,5-24 часа, предпочтительно 4-24 часа. Во время процесса получения может быть применено перемешивание, чтобы стимулировать растворение магниевого соединения. Перемешивание может быть проведено любым способом, например, посредством лопастной мешалки (обычно при скорости вращения 10-1000 об/мин), и тому подобного. При необходимости растворение иногда может быть стимулировано надлежащим нагреванием (но максимальная температура должна быть ниже, чем температуры кипения первого растворителя и спирта). Согласно настоящему изобретению, пористый носитель, который необязательно был подвергнут обработке для термической активации и/или обработке для химической активации, смешивают с раствором магниевого соединения для получения первой смесевой суспензии. Далее будет приведено разъяснение относительно пористого носителя. Согласно настоящему изобретению, в качестве пористого носителя могут быть указаны, например, такие органические или неорганические пористые твердые материалы, традиционно применяемые в технологии в качестве носителя для формирования катализатора полимеризации олефинов на носителе. Более конкретно, в качестве указанного органического пористого твердого материала могут быть перечислены, например, олефиновый гомополимер или сополимер, поливиниловый спирт или его сополимер, циклодекстрин, сложнополиэфирный (со)полимер, полиамидный (со)полимер, гомополимер или сополимер винилхлорида, акрилатный гомополимер или сополимер, метакрилатный гомополимер или сополимер, гомополимер или сополимер стирола, и тому подобные, и эти гомополимеры или сополимеры в частично сшитой форме, причем предпочтителен частично сшитый полимер стирола (например, имеющий степень сшивания по меньшей мере 2%, но менее 100%). Согласно одному предпочтительному варианту осуществления настоящего изобретения, предпочтительно, чтобы на поверхности органического пористого твердого материала присутствовали любые одна или многие функциональные группы, например, выбранные из гидроксильной, первичной аминной, вторичной аминной, сульфоновой групп, карбоксильной, амидной, N-монозамещенной амидной, сульфамидной, N-монозамещенной сульфамидной групп, меркаптогруппы, имидной и гидразидной групп, предпочтительно по меньшей мере одной из карбоксильной и гидроксильной групп. Согласно одному варианту осуществления настоящего изобретения, органический пористый твердый материал перед применением подвергают обработке для термической активации и/или обработке для химической активации. Согласно настоящему изобретению, органический пористый твердый материал может быть подвергнут только обработке для термической активации перед применением, или может быть также подвергнут только обработке для химической активации перед применением, или может быть подвергнут указанной обработке для термической активации и указанной обработке для химической активации в любом порядке комбинации перед применением, без конкретных ограничений. Обработка для термической активации может быть проведена согласно обычному способу. Например, указанный органический пористый твердый материал нагревают при пониженном давлении или в инертной атмосфере. Под инертной атмосферой здесь подразумевают газ, содержащий только очень малое количество компонента, который может реагировать с указанным органическим пористым твердым материалом, или вообще не содержит компонент, который мог бы реагировать с указанным органическим пористым твердым материалом. В качестве указанной инертной атмосферы, например, может быть представлена атмосфера газообразного азота или атмосфера благородного газа, причем предпочтительна атмосфера газообразного азота. Поскольку органический пористый твердый материал имеет плохую термостойкость, обработка для термической активации должна быть проведена на основе необходимого условия, что не будет происходить никакое повреждение структуры и базового состава самого органического пористого твердого материала. Как правило, температура при термической активации составляет 50-400°С, предпочтительно 100-250°С, и длительность термической активации составляет 1-24 часа, предпочтительно 2-12 часов. После обработки для термической активации/химической активации органический пористый твердый материал должен быть выдержан при избыточном давлении в инертной атмосфере до последующего применения. В качестве указанного неорганического пористого твердого материала, например, могут быть перечислены огнеупорные оксиды металлов Групп IIA, IIIA, IVA или IVB периодической системы элементов (например, кремнезем (также известный как оксид кремния или силикагель), оксид алюминия, оксид магния, диоксид титана, оксид циркония, оксид тория, или тому подобные), или любой огнеупорный композитный оксид этих металлов (например, оксид кремния-алюминия, оксид магния-алюминия, оксид титана-кремния, оксид титана-магния и оксид титана-алюминия, или тому подобные), и глина, молекулярные сита (например, ZSM-5 и MCM-41), слюда, монтмориллонит, бентонит, диатомовая земля, и тому подобные. В качестве указанного неорганического пористого твердого материала также могут быть перечислены оксид, образованный пирогидролизом газообразного галогенида металла или газообразного кремниевого соединения, например, силикагель, полученный пирогидролизом тетрахлорида кремния, оксид алюминия, полученный пирогидролизом трихлорида алюминия, или тому подобные. В качестве указанного неорганического пористого твердого материала предпочтительны оксид кремния, оксид алюминия, оксид магния, оксид кремния-алюминия, оксид магния-алюминия, оксид титана-кремния, диоксид титана, молекулярные сита, монтмориллонит, и тому подобные, и особенно предпочтителен оксид кремния. Согласно настоящему изобретению, подходящий оксид кремния может быть получен стандартным способом, или может быть любым имеющимся в продаже на рынке продуктом, например, Grace 955, Grace 948, Grace SP9-351, Grace SP9-485, Grace SP9-10046, Grace 2480D, Grace 2212D, Grace 2485, Davsion Syloid 245 и Aerosil812, производства фирмы Grace company; ES70, ES70X, ES70Y, ES70W, ES757, EP10X и EP11 производства фирмы Ineos company; и CS-2133 и MS-3040 производства фирмы PQ company. Согласно предпочтительному варианту осуществления настоящего изобретения, предпочтительно, чтобы на поверхности неорганического пористого твердого материала находились активные функциональные группы, такие как гидроксильные группы. Согласно одному варианту осуществления настоящего изобретения, неорганический пористый твердый материал перед применением подвергают обработке для термической активации и/или обработке для химической активации. Согласно настоящему изобретению, неорганический пористый твердый материал может быть подвергнут только обработке для термической активации перед применением, или может быть также подвергнут только обработке для химической активации перед применением, или может быть подвергнут указанной обработке для термической активации и указанной обработке для химической активации в любом порядке комбинации перед применением, без конкретных ограничений. Обработка для термической активации может быть проведена обычным способом, например, нагреванием неорганического пористого твердого материала при пониженном давлении или в инертной атмосфере. Под инертной атмосферой здесь подразумевают газ, содержащий только очень малое количество компонента, который может реагировать с указанным неорганическим пористым твердым материалом, или вообще не содержит компонент, который мог бы реагировать с указанным неорганическим пористым твердым материалом. В качестве указанной инертной атмосферы, например, может быть представлена атмосфера газообразного азота или атмосфера благородного газа, причем предпочтительна атмосфера газообразного азота. Как правило, температура при термической активации составляет 200-800°С, предпочтительно 400-700°С, наиболее предпочтительно 400-650°С, и длительность нагревания составляет, например, 0,5-24 часа, предпочтительно 2-12 часов, наиболее предпочтительно 4-8 часов. После обработки для термической активации/химической активации неорганический пористый твердый материал должен быть выдержан при избыточном давлении в инертной атмосфере до последующего применения. Согласно настоящему изобретению, обработка для химической активации органического пористого твердого материала или неорганического пористого твердого материала может быть проведена обычным способом. Например, может быть указан способ с использованием химического активатора для химической активации органического пористого твердого материала или неорганического пористого твердого материала. Согласно настоящему изобретению, в качестве химического активатора используют соединение металла Группы IVB. В качестве указанного соединения металла Группы IVB, например, могут быть перечислены по меньшей мере один из галогенида металла Группы IVB, алкильного производного металла Группы IVB, алкоксильного производного металла Группы IVB, алкилгалогенидного производного металла Группы IVB, и алкоксигалогенидного производного металла Группы IVB. В качестве указанного соединения металла Группы IVB предпочтителен указанный галогенид металла Группы IVB, более предпочтительны TiCl4, TiBr4, ZrCl4, ZrBr4, HfCl4 и HfBr4, и наиболее предпочтительны TiCl4 и ZrCl4. Эти соединения металлов Группы IVB могут быть использованы по отдельности или в комбинации при любой пропорции. Когда химический активатор является жидким при нормальной температуре, он может быть непосредственно использован для добавления по каплям в предварительно определенном количестве химического активатора к органическому пористому твердому материалу или неорганическому пористому твердому материалу для активации посредством химического активатора. Когда химический активатор является твердым при нормальной температуре, то предпочтительным является применение химического активатора в форме раствора для облегчения отмеривания и проведения обработки. Конечно, когда химический активатор является жидким при комнатной температуре, он иногда может быть использован в форме раствора, если нужно, без конкретных ограничений. Когда получают раствор химического активатора, нет специальных ограничений в отношении растворителя, применяемого в это время, пока он может растворять химический активатор. Более конкретно, могут быть перечислены C5-12-алкан, C5-12-циклоалкан, галогенированный C5-12-алкан, галогенированный C5-12-циклоалкан, ароматический C6-12-углеводород, галогенированный ароматический C6-12-углеводород, и тому подобные, например, пентан, гексан, гептан, октан, нонан, декан, ундекан, додекан, циклопентан, циклогексан, циклогептан, циклооктан, толуол, этилбензол, ксилол, хлорпентан, хлоргексан, хлоргептан, хлороктан, хлорнонан, хлордекан, хлорундекан, хлордодекан, хлорциклогексан, хлортолуол, хлорэтилбензол, хлорксилол, и тому подобные, причем предпочтительны пентан, гексан, декан, циклогексан и толуол, наиболее предпочтительны гексан и толуол. Эти растворители могут быть использованы по отдельности или в комбинации при любой пропорции. В дополнение, нет специального ограничения в отношении концентрации химического активатора в его растворе, и она может быть надлежащим образом выбрана, как потребуется, пока может быть достигнута химическая активация с предварительно определенным количеством химического активатора. Как было упомянуто ранее, если химический активатор является жидким, он может быть непосредственно использован для активации, но также он может составить композицию в виде раствора химического активатора и применен. Молярную концентрацию химического активатора в его растворе, как правило, просто регулируют на величину 0,01-1,0 моль/л, но без ограничения этим. В качестве способа исполнения химической активации, например, может быть указано следующее: в случае, что химический активатор является твердым (например, тетрахлорид циркония), сначала получают раствор химического активатора, и затем раствор, содержащий предварительно определенное количество химического активатора, добавляют (предпочтительно по каплям) к активируемому органическому или неорганическому пористому твердому материалу для проведения реакции химической активации. В случае, что химический активатор является жидким (например, тетрахлорид титана), предварительно определенное количество химического активатора может быть непосредственно добавлено (предпочтительно по каплям) к активируемому органическому пористому твердому материалу или неорганическому пористому твердому материалу для проведения реакции химической активации, или химический активатор получают в виде раствора, и затем к органическому пористому твердому материалу или неорганическому пористому твердому материалу добавляют (предпочтительно по каплям) раствор, содержащий предварительно определенное количество указанного химического активатора, для проведения реакции химической активации. Вообще говоря, реакцию химической активации (при необходимости с перемешиванием) проводят в течение 0,5-24 часов, предпочтительно 1-8 часов, и более предпочтительно 2-6 часов, при температуре реакции от -30 до 60°С (предпочтительно от -20 до 30°С). После завершения реакции химической активации органический пористый твердый материал или неорганический пористый твердый материал, который был подвергнут химической активации, может быть получен фильтрованием, промыванием и высушиванием. Согласно настоящему изобретению, фильтрование, промывание и высушивание могут быть проведены стандартными способами, причем промывной растворитель может быть таким же растворителем, какой использован для растворения химического активатора. При необходимости промывание, как правило, выполняют 1-8 раз, предпочтительно 2-6 раз, и наиболее предпочтительно 2-4 раза. Высушивание может быть выполнено с использованием стандартных способов, например, сушкой в инертном газе, сушкой в вакууме или нагреванием и сушкой в вакууме, предпочтительно сушкой в инертном газе или нагреванием и сушкой в вакууме, наиболее предпочтительно нагреванием и сушкой в вакууме. Температура сушки, как правило, находится в диапазоне от нормальной температуры до 140°С, длительность сушки, как правило, составляет 2-20 часов, но без ограничения этим. Согласно настоящему изобретению, химический активатор используют в таком количестве, что отношение пористого носителя к химическому активатору как металлическому элементу Группы IVВ составляет 1 г:1-100 ммол, предпочтительно 1 г:2-5 ммол, более предпочтительно 1 г:10-25 ммол. Согласно настоящему изобретению, нет конкретного ограничения относительно площади поверхности пористого носителя, но, как правило, она составляет 10-1000 м2/г (по измерению методом BET (Брунауэра-Эммета-Теллера)), предпочтительно 100-600 м2/г; поровый объем пористого носителя (по измерению методом адсорбции азота), как правило, составляет 0,1-4 см3/г, предпочтительно 0,2-2 см3/г, и средний размер частиц (по измерению лазерным анализатором размера частиц) предпочтительно составляет 1-500 мм, более предпочтительно 1-100 мм. Согласно настоящему изобретению, пористый носитель может иметь любую морфологию, такую как микропорошковую, гранулированную, сферическую, агрегатную, или другие формы. Пористый носитель (который необязательно был подвергнут обработке для термической активации и/или обработке для химической активации) смешивают с раствором магниевого соединения для получения первой смесевой суспензии. Согласно настоящему изобретению, процесс смешения пористого носителя и раствора магниевого соединения может быть проведен стандартным способом, без конкретных ограничений. Например, может быть указано следующее: в диапазоне от нормальной температуры до температуры, при которой получен раствор магниевого соединения, добавляют пористый носитель в отмеренном количестве к раствору магниевого соединения, или раствор магниевого соединения в отмеренном количестве добавляют к пористому носителю, образованный материал смешивают в течение 0,1-8 часов, предпочтительно 0,5-4 часов, предпочтительно 1-2 часов (при необходимости, с перемешиванием). Согласно настоящему изобретению, пористый носитель используют в таком количестве, что массовое отношение магниевого соединения (как твердого магниевого соединения, содержащегося в растворе магниевого соединения) к пористому носителю достигает 1:0,1-20, предпочтительно 1:0,5-10, более предпочтительно 1:1-5. В этот момент полученная первая смесевая суспензия представляет собой подобную взвеси систему. Хотя в этом нет необходимости, чтобы обеспечить однородность системы, первую смесевую суспензию оставляют в закрытом состоянии в течение определенного периода времени (2-48 часов, предпочтительно 4-24 часов, наиболее предпочтительно 6-18 часов) после формирования. Согласно настоящему изобретению, твердый продукт с хорошей текучестью может быть получен непосредственным высушиванием первой смесевой суспензии, и он представляет собой композитный носитель согласно настоящему изобретению. Здесь непосредственное высушивание может быть проведено с использованием стандартных способов, например, сушкой в атмосфере инертного газа, сушкой в вакууме, нагреванием и сушкой в вакууме, или тому подобным, причем предпочтительны нагревание и сушка вакууме. Температура при сушке, как правило, составляет 30-160°С, предпочтительно 60-130°С, и длительность сушки, как правило, составляет 2-24 часа, но без ограничения этим в некоторых случаях. В альтернативном варианте, согласно настоящему изобретению, композитный носитель может быть получен добавлением осадителя в отмеренном количестве к первой смесевой суспензии для осаждения твердых веществ из первой смесевой суспензии. Далее будет приведено разъяснение относительно осадителя. Согласно настоящему изобретению, термин «осаждающее вещество, осадитель» включает обычное в технологии понятие, и подразумевает химически инертную жидкость, которая может снижать растворимость твердого растворенного вещества (например, магниевого соединения, пористого носителя, неметаллоценового лиганда, или неметаллоценового комплекса, и тому подобного) в его растворе, и последующее осаждение их в твердой форме из раствора. Согласно настоящему изобретению, в качестве осадителя, например, может быть указан такой растворитель, который является плохим растворителем для осаждаемого твердого растворенного вещества (например, магниевого соединения, пористого носителя, неметаллоценового лиганда, или неметаллоценового комплекса, и тому подобного), но хорошим растворителем относительно растворителя для растворения твердого растворенного вещества (например, магниевого соединения). Например, могут быть перечислены С5-12-алканы, С5-12-циклоалканы, галогенированные С1-10-алканы и галогенированные С5-12-циклоалканы. В качестве С5-12-алкана, например, могут быть названы пентан, гексан, гептан, октан, нонан и декан, причем предпочтительны гексан, гептан и декан, и наиболее предпочтителен гексан. В качестве указанного С5-12-циклоалкана могут быть перечислены, например, циклогексан, циклопентан, циклогептан, циклодекан, циклононан, и тому подобные, и наиболее предпочтителен циклогексан. В качестве указанного галогенированного С1-10-алкана могут быть перечислены, например, следующие: дихлорметан, дихлоргексан, дихлоргептан, трихлорметан, трихлорэтан, трихлорбутан, дибромметан, дибромэтан, дибромгептан, трибромметан, трибромэтан, трибромбутан, и тому подобные. В качестве указанного галогенированного С5-12-циклоалкана могут быть перечислены, например, следующие: хлорциклопентан, хлорциклогексан, хлорциклогептан, хлорциклооктан, хлорциклононан, хлорциклодекан, бромциклопентан, бромциклогексан, бромциклогептан, бромциклооктан, бромциклононан, бромциклодекан, и тому подобные. Эти осадители могут быть использованы по отдельности или в комбинации при любой пропорции. Осадителиь может быть добавлен сразу целиком или по каплям, предпочтительно одной порцией. Во время этого процесса осаждения может быть применено перемешивание для стимулирования диспергирования осадителя и облегчения конечного осаждения твердого продукта. Перемешивание может быть проведено в любой форме (например, с помощью лопастной мешалки), и скорость вращения обычно составляет 10-1000 об/мин, и тому подобную. Нет конкретного ограничения относительно используемого количества осадителя, но, как правило, отношение по объему осадителя к растворителю, примененному для растворения магниевого соединения, составляет 1:0,2-5, предпочтительно 1:0,5-2, более предпочтительно 1:0,8-1,5. Нет конкретного ограничения относительно температуры используемого осадителя, но, как правило, она предпочтительно составляет величину от нормальной температуры до температуры ниже температуры кипения любого из применяемых растворителей и температуры кипения осадителя (предпочтительно 20-80°С, более предпочтительно 40-60°С), но без ограничения этим в некоторых случаях. Кроме того, как правило, предпочтительным является выполнение процесса осаждения при температуре в диапазоне от нормальной температуры до температуры ниже температуры кипения любого из применяемых растворителей и температуры кипения осадителя (предпочтительно 20-80°С, более предпочтительно 40-60°С) в течение 0,3-12 часов, но без ограничения этим в некоторых случаях, при условии по существу полного осаждения твердого продукта. После полного осаждения полученный твердый продукт отфильтровывают, промывают и высушивают. Нет конкретного ограничения относительно способов фильтрования, промывания и высушивания, и по необходимости могут быть применены способы, обычно используемые в этой области. При необходимости промывание, как правило, выполняют 1-6 раз, предпочтительно 3-4 раза. При этом применяемый для промывания растворитель предпочтительно идентичен растворителю для осадителя, но он также может быть иным. Высушивание может быть проведено с использованием стандартных способов, например, сушкой в инертном газе, сушкой в вакууме или нагреванием и сушкой в вакууме, предпочтительно сушкой в инертном газе или нагреванием и сушкой в вакууме, наиболее предпочтительно нагреванием и сушкой в вакууме. Температура сушки, как правило, находится в диапазоне от нормальной температуры до 140°С. Длительность сушки, как правило, составляет 2-20 часов, но также может зависеть от растворителя, использованного для растворения магниевого соединения. Например, когда в качестве растворителя для растворения магниевого соединения применяют тетрагидрофуран, температура сушки, как правило, составляет около 80°С, и сушка должна быть проведена в вакууме в течение 2-12 часов, тогда как если в качестве растворителя для растворения магниевого соединения используют толуол, температура сушки, как правило, составляет около 100°С, и сушка должна быть проведена в вакууме в течение 4-24 часов. Согласно настоящему изобретению, модифицированный композитный носитель получают приведением вышеупомянутого композитного носителя в контакт с реагентом для химической обработки, выбранным из соединений металлов Группы IVВ. Далее будет приведено разъяснение относительно реагента для химической обработки. Согласно настоящему изобретению, в качестве реагента для химической обработки используют соединение металла Группы IVВ. В качестве указанного соединения металла Группы IVВ, например, могут быть перечислены по меньшей мере один из галогенида металла Группы IVB, алкильного производного металла Группы IVB, алкоксильного производного металла Группы IVB, алкилгалогенидного производного металла Группы IVB, и алкоксигалогенидного производного металла Группы IVB. В качестве указанного галогенида металла Группы IVB, указанного алкильного производного металла Группы IVB, указанного алкоксильного производного металла Группы IVB, указанного алкилгалогенидного производного металла Группы IVB, и указанного алкоксигалогенидного производного металла Группы IVB, могут быть перечислены соединения, имеющие структуру, представляемую следующей общей формулой: M(OR1)mXnR24-m-n, в которой m составляет 0, 1, 2, 3 или 4; n составляет 0, 1, 2, 3 или 4; M представляет металл Группы IVB периодической системы элементов, например, титан, цирконий, гафний, и тому подобный; X представляет галоген, например, F, Cl, Br, и I; и R1 и R2, в каждом случае независимо, выбраны из C1-10-алкильных групп, например, метильной, этильной, пропильной, н-бутильной, изобутильной, и тому подобных. Группы R1 и R2 могут быть идентичными или различными. Более конкретно, в качестве указанного галогенида металла Группы IVB, например, могут быть перечислены следующие: тетрафторид титана (TiF4), тетрахлорид титана (TiCl4), тетрабромид титана (TiBr4), тетраиодид титана (TiI4); тетрафторид циркония (ZrF4), тетрахлорид циркония (ZrCl4), тетрабромид циркония (ZrBr4), тетраиодид циркония (ZrI4); тетрафторид гафния (HfF4), тетрахлорид гафния (HfCl4), тетрабромид гафния (HfBr4), и тетраиодид гафния (HfI4). В качестве указанного алкильного производного металла Группы IVB, например, могут быть перечислены следующие: тетраметилтитан (Ti(CH3)4), тетраэтилтитан (Ti(CH3CH2)4), тетраизобутилтитан (Ti(i-C4H9)4), тетра-н-бутилтитан (Ti(C4H9)4), триэтилметилтитан (Ti(CH3)(CH3CH2)3), диэтилдиметилтитан (Ti(CH3)2(CH3CH2)2), триметилэтилтитан (Ti(CH3)3(CH3CH2)), триизобутилметилтитан (Ti(CH3)(i-C4H9)3), диизобутилдиметилтитан (Ti(CH3)2(i-C4H9)2), триметилизобутилтитан (Ti(CH3)3(i-C4H9)), триизобутилэтилтитан (Ti(CH3CH2)(i-C4H9)3), диизобутилдиэтилтитан (Ti(CH3CH2)2(i-C4H9)2), триэтилизобутилтитан (Ti(CH3CH2)3(i-C4H9)), три-н-бутилметилтитан (Ti(CH3)(C4H9)3), ди-н-бутилдиметилтитан (Ti(CH3)2(C4H9)2), триметил-н-бутилтитан (Ti(CH3)3(C4H9)), три-н-бутилэтилтитан (Ti(CH3CH2)(C4H9)3), ди-н-бутилдиэтилтитан (Ti(CH3CH2)2(C4H9)2), триэтил-н-бутилтитан (Ti(CH3CH2)3(C4H9)), и тому подобные; тетраметилцирконий (Zr(CH3)4), тетраэтилцирконий (Zr(CH3CH2)4), тетраизобутилцирконий (Zr(i-C4H9)4), тетра-н-бутилцирконий (Zr(C4H9)4), триэтилметилцирконий (Zr(CH3)(CH3CH2)3), диэтилдиметилцирконий (Zr(CH3)2(CH3CH2)2), триметилэтилцирконий (Zr(CH3)3(CH3CH2)), триизобутилметилцирконий (Zr(CH3)(i-C4H9)3), диизобутилдиметилцирконий (Zr(CH3)2(i-C4H9)2), триметилизобутилцирконий (Zr(CH3)3(i-C4H9)), триизобутилэтилцирконий (Zr(CH3CH2)(i-C4H9)3), диизобутилдиэтилцирконий (Zr(CH3CH2)2(i-C4H9)2), триэтилизобутилцирконий (Zr(CH3CH2)3(i-C4H9)), три-н-бутилметилцирконий (Zr(CH3)(C4H9)3), ди-н-бутилдиметилцирконий (Zr(CH3)2(C4H9)2), триметил-н-бутилцирконий (Zr(CH3)3(C4H9)), три-н-бутилэтилцирконий (Zr(CH3CH2)(C4H9)3), ди-н-бутилдиэтилцирконий (Zr(CH3CH2)2(C4H9)2), триэтил-н-бутилцирконий (Zr(CH3CH2)3(C4H9)), и тому подобные; тетраметилгафний (Hf(CH3)4), тетраэтилгафний (Hf(CH3CH2)4), тетраизобутилгафний (Hf(i-C4H9)4), тетра-н-бутилгафний (Hf(C4H9)4), триэтилметилгафний (Hf(CH3)(CH3CH2)3), диэтилдиметилгафний (Hf(CH3)2(CH3CH2)2), триметилэтилгафний (Hf(CH3)3(CH3CH2)), триизобутилметилгафний (Hf(CH3)(i-C4H9)3), диизобутилдиметилгафний (Hf(CH3)2(i-C4H9)2), триметилизобутилгафний (Hf(CH3)3(i-C4H9)), триизобутилэтилгафний (Hf(CH3CH2)(i-C4H9)3), диизобутилдиэтилгафний (Hf(CH3CH2)2(i-C4H9)2), триэтилизобутилгафний (Hf(CH3CH2)3(i-C4H9)), три-н-бутилметилгафний (Hf(CH3)(C4H9)3), ди-н-бутилдиметилгафний (Hf(CH3)2(C4H9)2), триметил-н-бутилгафний (Hf(CH3)3(C4H9)), три-н-бутилэтилгафний (Hf(CH3CH2)(C4H9)3), ди-н-бутилдиэтилгафний (Hf(CH3CH2)2(C4H9)2), триэтил-н-бутилгафний (Hf(CH3CH2)3(C4H9)), и тому подобные. В качестве указанного алкоксильного производного металла Группы IVB, например, могут быть перечислены следующие: тетраметоксититан (Ti(OCH3)4), тетраэтоксититан (Ti(OCH3CH2)4), тетраизобутоксититан (Ti(i-OC4H9)4), тетра-н-бутоксититан (Ti(OC4H9)4), триэтоксиметоксититан (Ti(OCH3)(OCH3CH2)3), диэтоксидиметоксититан (Ti(OCH3)2(OCH3CH2)2), триметоксиэтоксититан (Ti(OCH3)3(OCH3CH2)), триизобутоксиметоксититан (Ti(OCH3)(i-OC4H9)3), диизобутоксидиметоксититан (Ti(OCH3)2(i-OC4H9)2), триметоксиизобутоксититан (Ti(OCH3)3(i-OC4H9)), триизобутоксиэтоксититан (Ti(OCH3CH2)(i-OC4H9)3), диизобутоксидиэтоксититан (Ti(OCH3CH2)2(i-OC4H9)2), триэтоксиизобутоксититан (Ti(OCH3CH2)3(i-OC4H9)), три-н-бутоксиметоксититан (Ti(OCH3)(OC4H9)3), ди-н-бутоксидиметоксититан (Ti(OCH3)2(OC4H9)2), триметокси-н-бутоксититан (Ti(OCH3)3(OC4H9)), три-н-бутоксиэтоксититан (Ti(OCH3CH2)(OC4H9)3), ди-н-бутоксидиэтоксититан (Ti(OCH3CH2)2(OC4H9)2), триэтокси-н-бутоксититан (Ti(OCH3CH2)3(OC4H9)), и тому подобные; тетраметоксицирконий (Zr(OCH3)4), тетраэтоксицирконий (Zr(OCH3CH2)4), тетраизобутоксицирконий (Zr(i-OC4H9)4), тетра-н-бутоксицирконий (Zr(OC4H9)4), триэтоксиметоксицирконий (Zr(OCH3)(OCH3CH2)3), диэтоксидиметоксицирконий (Zr(OCH3)2(OCH3CH2)2), триметоксиэтоксицирконий (Zr(OCH3)3(OCH3CH2)), триизобутоксиметоксицирконий (Zr(OCH3)(i-OC4H9)3), диизобутоксидиметоксицирконий (Zr(OCH3)2(i-OC4H9)2), триметоксиизобутоксицирконий (Zr(OCH3)3(i-C4H9)), триизобутоксиэтоксицирконий (Zr(OCH3CH2)(i-OC4H9)3), диизобутоксидиэтоксицирконий (Zr(OCH3CH2)2(i-OC4H9)2), триэтоксиизобутоксицирконий (Zr(OCH3CH2)3(i-OC4H9)), три-н-бутоксиметоксицирконий (Zr(OCH3)(OC4H9)3), ди-н-бутоксидиметоксицирконий (Zr(OCH3)2(OC4H9)2), триметокси-н-бутоксицирконий (Zr(OCH3)3(OC4H9)), три-н-бутоксиэтоксицирконий (Zr(OCH3CH2)(OC4H9)3), ди-н-бутоксидиэтоксицирконий (Zr(OCH3CH2)2(OC4H9)2), триэтокси-н-бутоксицирконий (Zr(OCH3CH2)3(OC4H9)), и тому подобные; тетраметоксигафний (Hf(OCH3)4), тетраэтоксигафний (Hf(OCH3CH2)4), тетраизобутоксигафний (Hf(i-OC4H9)4), тетра-н-бутоксигафний (Hf(OC4H9)4), триэтоксиметоксигафний (Hf(OCH3)(OCH3CH2)3), диэтоксидиметоксигафний (Hf(OCH3)2(OCH3CH2)2), триметоксиэтоксигафний (Hf(OCH3)3(OCH3CH2)), триизобутоксиметоксигафний (Hf(OCH3)(i-OC4H9)3), диизобутоксидиметоксигафний (Hf(OCH3)2(i-OC4H9)2), триметоксиизобутоксигафний (Hf(OCH3)3(i-OC4H9)), триизобутоксиэтоксигафний (Hf(OCH3CH2)(i-OC4H9)3), диизобутоксидиэтоксигафний (Hf(OCH3CH2)2(i-OC4H9)2), триэтоксиизобутоксигафний (Hf(OCH3CH2)3(i-C4H9)), три-н-бутоксиметоксигафний (Hf(OCH3)(OC4H9)3), ди-н-бутоксидиметоксигафний (Hf(OCH3)2(OC4H9)2), триметокси-н-бутоксигафний (Hf(OCH3)3(OC4H9)), три-н-бутоксиэтоксигафний (Hf(OCH3CH2)(OC4H9)3), ди-н-бутоксидиэтоксигафний (Hf(OCH3CH2)2(OC4H9)2), триэтокси-н-бутоксигафний (Hf(OCH3CH2)3(OC4H9)), и тому подобные. В качестве указанного алкилгалогенидного производного металла Группы IVB, например, могут быть перечислены следующие: хлорид триметилтитана (TiCl(CH3)3), хлорид триэтилтитана (TiCl(CH3CH2)3), хлорид триизобутилтитана (TiCl(i-C4H9)3), хлорид три-н-бутилтитана (TiCl(C4H9)3), дихлорид диметилтитана (TiCl2(CH3)2), дихлорид диэтилтитана (TiCl2(CH3CH2)2), дихлорид диизобутилтитана (TiCl2(i-C4H9)2), хлорид три-н-бутилтитана (TiCl(C4H9)3), трихлорид метилтитана (Ti(CH3)Cl3), трихлорид этилтитана (Ti(CH3CH2)Cl3), трихлорид изобутилтитана (Ti(i-C4H9)Cl3), трихлорид н-бутилтитана (Ti(C4H9)Cl3); бромид триметилтитана (TiBr(CH3)3), бромид триэтилтитана (TiBr(CH3CH2)3), бромид триизобутилтитана (TiBr(i-C4H9)3), бромид три-н-бутилтитана (TiBr(C4H9)3), дибромид диметилтитана (TiBr2(CH3)2), дибромид диэтилтитана (TiBr2(CH3CH2)2), дибромид диизобутилтитана (TiBr2(i-C4H9)2), бромид три-н-бутилтитана (TiBr(C4H9)3), трибромид метилтитана (Ti(CH3)Br3), трибромид этилтитана (Ti(CH3CH2)Br3), трибромид изобутилтитана (Ti(i-C4H9)Br3), трибромид н-бутилтитана (Ti(C4H9)Br3); хлорид триметилциркония (ZrCl(CH3)3), хлорид триэтилциркония (ZrCl(CH3CH2)3), хлорид триизобутилциркония (ZrCl(i-C4H9)3), хлорид три-н-бутилциркония (ZrCl(C4H9)3), дихлорид диметилциркония (ZrCl2(CH3)2), дихлорид диэтилциркония (ZrCl2(CH3CH2)2), дихлорид диизобутилциркония (ZrCl2(i-C4H9)2), хлорид три-н-бутилциркония (ZrCl(C4H9)3), трихлорид метилциркония (Zr(CH3)Cl3), трихлорид этилциркония (Zr(CH3CH2)Cl3), трихлорид изобутилциркония (Zr(i-C4H9)Cl3), трихлорид н-бутилциркония (Zr(C4H9)Cl3); бромид триметилциркония (ZrBr(CH3)3), бромид триэтилциркония (ZrBr(CH3CH2)3), бромид триизобутилциркония (ZrBr(i-C4H9)3), бромид три-н-бутилциркония (ZrBr(C4H9)3), дибромид диметилциркония (ZrBr2(CH3)2), дибромид диэтилциркония (ZrBr2(CH3CH2)2), дибромид диизобутилциркония (ZrBr2(i-C4H9)2), бромид три-н-бутилциркония (ZrBr(C4H9)3), трибромид метилциркония (Zr(CH3)Br3), трибромид этилциркония (Zr(CH3CH2)Br3), трибромид изобутилциркония (Zr(i-C4H9)Br3), трибромид н-бутилциркония (Zr(C4H9)Br3); хлорид триметилгафния (HfCl(CH3)3), хлорид триэтилгафния (HfCl(CH3CH2)3), хлорид триизобутилгафния (HfCl(i-C4H9)3), хлорид три-н-бутилгафния (HfCl(C4H9)3), дихлорид диметилгафния (HfCl2(CH3)2), дихлорид диэтилгафния (HfCl2(CH3CH2)2), дихлорид диизобутилгафния (HfCl2(i-C4H9)2), хлорид три-н-бутилгафния (HfCl(C4H9)3), трихлорид метилгафния (Hf(CH3)Cl3), трихлорид этилгафния (Hf(CH3CH2)Cl3), трихлорид изобутилгафния (Hf(i-C4H9)Cl3), трихлорид н-бутилгафния (Hf(C4H9)Cl3); бромид триметилгафния (HfBr(CH3)3), дибромид триэтилгафния (HfBr(CH3CH2)3), дибромид триизобутилгафния (HfBr(i-C4H9)3), дибромид три-н-бутилгафния (HfBr(C4H9)3), дибромид диметилгафния (HfBr2(CH3)2), дибромид диэтилгафния (HfBr2(CH3CH2)2), дибромид диизобутилгафния (HfBr2(i-C4H9)2), бромид три-н-бутилгафния (HfBr(C4H9)3), трибромид метилгафния (Hf(CH3)Br3), трибромид этилгафния (Hf(CH3CH2)Br3), трибромид изобутилгафния (Hf(i-C4H9)Br3), трибромид н-бутилгафния (Hf(C4H9)Br3). В качестве указанного алкоксигалогенидного производного металла Группы IVB, например, могут быть перечислены следующие: хлорид триметоксититана (TiCl(OCH3)3), хлорид триэтоксититана (TiCl(OCH3CH2)3), хлорид триизобутоксититана (TiCl(i-OC4H9)3), хлорид три-н-бутоксититана (TiCl(OC4H9)3), дихлорид диметоксититана (TiCl2(OCH3)2), дихлорид диэтоксититана (TiCl2(OCH3CH2)2), дихлорид диизобутоксититана (TiCl2(i-OC4H9)2), хлорид три-н-бутоксититана (TiCl(OC4H9)3), трихлорид метоксититана (Ti(OCH3)Cl3), трихлорид этоксититана (Ti(OCH3CH2)Cl3), трихлорид изобутоксититана (Ti(i-C4H9)Cl3), трихлорид н-бутоксититана (Ti(OC4H9)Cl3); бромид триметоксититана (TiBr(OCH3)3), бромид триэтоксититана (TiBr(OCH3CH2)3), бромид триизобутоксититана (TiBr(i-OC4H9)3), бромид три-н-бутоксититана (TiBr(OC4H9)3), дибромид диметоксититана (TiBr2(OCH3)2), дибромид диэтоксититана (TiBr2(OCH3CH2)2), дибромид диизобутоксититана (TiBr2(i-OC4H9)2), бромид три-н-бутоксититана (TiBr(OC4H9)3), трибромид метоксититана (Ti(OCH3)Br3), трибромид этоксититана (Ti(OCH3CH2)Br3), трибромид изобутоксититана (Ti(i-C4H9)Br3), трибромид н-бутоксититана (Ti(OC4H9)Br3); хлорид триметоксициркония (ZrCl(OCH3)3), хлорид триэтоксициркония (ZrCl(OCH3CH2)3), хлорид триизобутоксициркония (ZrCl(i-OC4H9)3), хлорид три-н-бутоксициркония (ZrCl(OC4H9)3), дихлорид диметоксициркония (ZrCl2(OCH3)2), дихлорид диэтоксициркония (ZrCl2(OCH3CH2)2), дихлорид диизобутоксициркония (ZrCl2(i-OC4H9)2), хлорид три-н-бутоксициркония (ZrCl(OC4H9)3), трихлорид метоксициркония (Zr(OCH3)Cl3), трихлорид этоксициркония (Zr(OCH3CH2)Cl3), трихлорид изобутоксициркония (Zr(i-C4H9)Cl3), трихлорид н-бутоксициркония (Zr(OC4H9)Cl3); бромид триметоксициркония (ZrBr(OCH3)3), бромид триэтоксициркония (ZrBr(OCH3CH2)3), бромид триизобутоксициркония (ZrBr(i-OC4H9)3), бромид три-н-бутоксициркония (ZrBr(OC4H9)3), дибромид диметоксициркония (ZrBr2(OCH3)2), дибромид диэтоксициркония (ZrBr2(OCH3CH2)2), дибромид диизобутоксициркония (ZrBr2(i-OC4H9)2), бромид три-н-бутоксициркония (ZrBr(OC4H9)3), трибромид метоксициркония (Zr(OCH3)Br3), трибромид этоксициркония (Zr(OCH3CH2)Br3), трибромид изобутоксициркония (Zr(i-C4H9)Br3), трибромид н-бутоксициркония (Zr(OC4H9)Br3); хлорид триметоксигафния (HfCl(OCH3)3), хлорид триэтоксигафния (HfCl(OCH3CH2)3), хлорид триизобутоксигафния (HfCl(i-OC4H9)3), хлорид три-н-бутоксигафния (HfCl(OC4H9)3), дихлорид диметоксигафния (HfCl2(OCH3)2), дихлорид диэтоксигафния (HfCl2(OCH3CH2)2), дихлорид диизобутоксигафния (HfCl2(i-OC4H9)2), хлорид три-н-бутоксигафния (HfCl(OC4H9)3), трихлорид метоксигафния (Hf(OCH3)Cl3), трихлорид этоксигафния (Hf(OCH3CH2)Cl3), трихлорид изобутоксигафния (Hf(i-C4H9)Cl3), трихлорид н-бутоксигафния (Hf(OC4H9)Cl3); бромид триметоксигафния (HfBr(OCH3)3), бромид триэтоксигафния (HfBr(OCH3CH2)3), бромид триизобутоксигафния (HfBr(i-OC4H9)3), бромид три-н-бутоксигафния (HfBr(OC4H9)3), дибромид диметоксигафния (HfBr2(OCH3)2), дибромид диэтоксигафния (HfBr2(OCH3CH2)2), дибромид диизобутоксигафния (HfBr2(i-OC4H9)2), бромид три-н-бутоксигафния (HfBr(OC4H9)3), трибромид метоксигафния (Hf(OCH3)Br3), трибромид этоксигафния (Hf(OCH3CH2)Br3), трибромид изобутоксигафния (Hf(i-C4H9)Br3), трибромид н-бутоксигафния (Hf(OC4H9)Br3). В качестве указанного соединения металла Группы IVB, предпочтителен галогенид металла Группы IVB, более предпочтительны TiCl4, TiBr4, ZrCl4, ZrBr4, HfCl4 и HfBr4, и наиболее предпочтительны TiCl4 и ZrCl4. Эти соединения металлов Группы IVB могут быть использованы по отдельности или в комбинации при любой пропорции. Когда реагент для химической обработки является жидким при комнатной температуре, реагент для химической обработки может быть непосредственно использован для проведения указанной реакции химической обработки. Когда реагент для химической обработки является твердым при нормальной температуре, предпочтительным является применение реагента для химической обработки в форме раствора для облегчения измерения и обработки. Конечно, когда реагент для химической обработки является жидким при комнатной температуре, реагент для химической обработки иногда может быть использован в форме раствора, если нужно, без конкретных ограничений. Когда получают раствор реагента для химической обработки, нет специального ограничения в отношении растворителя, применяемого в это время, пока он может растворять реагент для химической обработки, и не повреждает (например, не растворяет) существующую структуру носителя в композитном носителе. Более конкретно, могут быть перечислены C5-12-алкан, C5-12-циклоалкан, галогенированный C5-12-алкан, галогенированный C5-12-циклоалкан, и тому подобные. Например, могут быть перечислены пентан, гексан, гептан, октан, нонан, декан, ундекан, додекан, циклопентан, циклогексан, циклогептан, циклооктан, хлопентан, хлоргексан, хлоргептан, хлороктан, хлорнонан, хлордекан, хлорундекан, хлордодекан, хлорциклогексан, и тому подобные, причем предпочтительны пентан, гексан, декан и циклогексан, и наиболее предпочтителен гексан. Эти растворители могут быть использованы по отдельности или в комбинации при любой пропорции. В дополнение, нет конкретного ограничения в отношении концентрации реагента для химической обработки в его растворе, и она может быть надлежащим образом выбрана по необходимости, пока это может обеспечивать реакцию химической обработки с предварительно определенным количеством реагента для химической обработки. Как было упомянуто ранее, если реагент для химической обработки является жидким, реагент для химической обработки может быть непосредственно использован для выполнения обработки, но также он может составить композицию в виде раствора реагента для химической обработки и применен. Вообще говоря, молярную концентрацию реагента для химической обработки в его растворе обычно регулируют на 0,01-1,0 моль/л, но без ограничения этим. Согласно настоящему изобретению, в качестве режима проведения реакции химической обработки, например, может быть указан способ приведения композитного носителя в контакт с реагентом для химической обработки в присутствии растворителя (также известного как растворитель для химической обработки). Согласно настоящему изобретению, нет конкретного ограничения в отношении растворителя для химической обработки, пока он может растворять реагент для химической обработки и не повреждает (например, не растворяет) существующую структуру носителя в композитном носителе. Более конкретно, в качестве указанного растворителя для химической обработки могут быть перечислены C5-12-алкан, C5-12-циклоалкан, галогенированный C5-12-алкан, галогенированный C5-12-циклоалкан, и тому подобные. Например, могут быть перечислены пентан, гексан, гептан, октан, нонан, декан, ундекан, додекан, циклопентан, циклогексан, циклогептан, циклооктан, хлопентан, хлоргексан, хлоргептан, хлороктан, хлорнонан, хлордекан, хлорундекан, хлордодекан, хлорциклогексан, и тому подобные, причем предпочтительны пентан, гексан, декан и циклогексан, и наиболее предпочтителен гексан. Эти растворители могут быть использованы по отдельности или в комбинации при любой пропорции. Согласно настоящему изобретению, растворитель для химической обработки применяют в таком количестве, что отношение композитного носителя к растворителю для химической обработки составляет 1 г:1-100 мл, предпочтительно 1 г:2-40 мл, но без ограничения этим в некоторых случаях. В дополнение, когда реагент для химической обработки используют в форме раствора, как упомянуто выше, применяемое количество растворителя для химической обработки может быть надлежащим образом снижено сообразно фактической ситуации, без любого конкретного ограничения. Согласно настоящему изобретению, реагент для химической обработки применяют в таком количестве, что молярное отношение композитного носителя (как магниевого элемента) к реагенту для химической обработки (как металлическому элементу Группы IVВ) достигает 1:0,01-1, предпочтительно 1:0,01-0,50, более предпочтительно 1:0,10-0,30. Согласно одному варианту осуществления настоящего изобретения, для проведения реакции химической обработки композитный носитель приводят в контакт с реагентом для химической обработки в присутствии растворителя для химической обработки. В качестве способа приведения в контакт, например, может быть указано следующее: композитный носитель добавляют к растворителю для химической обработки при перемешивании, и реагент для химической обработки или раствор реагента для химической обработки может быть добавлен одновременно или после этого (предпочтительно по каплям), и после завершения добавления проводят реакцию при перемешивании при температуре 0-100°С (предпочтительно 20-80°С). В это время нет конкретного ограничения в отношении продолжительности реакции, например, может быть указано время 0,5-8 часов, предпочтительно 1-4 часа. После завершения реакции химической обработки продукт, который был подвергнут химической обработке (модифицированный композитный носитель), может быть получен путем фильтрования, промывания и высушивания. Согласно настоящему изобретению, фильтрование, промывание и высушивание могут быть проведены стандартными способами, причем промывной растворитель может быть таким же растворителем, какой использован для химической обработки. При необходимости промывание, как правило, выполняют 1-8 раз, предпочтительно 2-6 раз, и наиболее предпочтительно 2-4 раза. Высушивание может быть выполнено с использованием стандартных способов, например, сушкой в инертном газе, сушкой в вакууме или нагреванием и сушкой в вакууме, предпочтительно сушкой в инертном газе или нагреванием и сушкой в вакууме, наиболее предпочтительно нагреванием и сушкой в вакууме. Температура сушки, как правило, находится в диапазоне от нормальной температуры до 140°С, длительность сушки, как правило, составляет 2-20 часов, но без ограничения этим. Согласно настоящему изобретению, неметаллоценовый комплекс приводят в контакт с модифицированным композитным носителем в присутствии второго растворителя, для получения неметаллоценового катализатора на носителе. Согласно настоящему изобретению, термин «неметаллоценовый комплекс», как отличный от металлоценовых катализаторов, имеет отношение к одноцентровому катализатору полимеризации олефинов, который в своей структуре не содержит циклопентадиенильные группы или их производные, такие как циклопентадиеновый цикл, флуореновый цикл, инденовый цикл, и тому подобные, и представляет собой металлоорганическое соединение, которое проявляет каталитическую активность в полимеризации олефинов, будучи объединенным с сокатализатором (таким как описываемые ниже) (поэтому неметаллоценовый комплекс иногда называют неметаллоценовым комплексом для полимеризации олефинов). Соединение содержит центральный атом металла и по меньшей мере один мультидентатный лиганд (предпочтительно тридентатный лиганд или полидентатный (более чем тридентатный) лиганд), связанный координационной связью с центральным атомом металла, и термин «неметаллоценовый лиганд» подразумевает вышеуказанный мультидентатный лиганд. Согласно настоящему изобретению, неметаллоценовый комплекс выбирают из соединения со следуюшей химической структурной формулой: Согласно этой химической структурной формуле, лиганд, который образует координационную связь с центральным атомом металла М, включает n групп Х и m мультидентатных лигандов (структурая формула в скобках). Согласно химической структурной формуле мультидентатного лиганда, группы A, D и E (координационные группы) образуют координационные связи с центральным атомом металла М через координирующие атомы, содержащиеся в этих группах (гетероатомы, такие как N, O, S, Se и P). В настоящем изобретении центральный атом металла М также известен как активный металл, и количество катализатора обычно представляют количеством центрального атома металла М в неметаллоценовом комплексе. Согласно настоящему изобретению, абсолютное значение общего отрицательного заряда, который несут все лиганды (в том числе группы Х и мультидентатные лиганды) идентично абсолютному значению положительного заряда, который несет центральный атом металла М. В более конкретном варианте осуществления неметаллоценовый комплекс выбирают из соединений (А) и (В) со следующими химическими структурными формулами: В более конкретном варианте осуществления неметаллоценовый комплекс выбирают из соединений от соединения (А-1) до соединения (А-4), и от соединения (В-1) до соединения (В-4) со следующими химическими структурными формулами: причем во всех вышеуказанных химических структурных формулах q представляет 0 или 1; d представляет 0 или 1; m представляет 1, 2 или 3; M представляет центральный атом металла, выбранный из атомов металлов от Группы III до Группы XI в Периодический Системе Элементов, предпочтительно атомов металлов Группы IVB. Например, могут быть перечислены Ti(IV), Zr(IV), Hf(IV), Cr(III), Fe(III), Ni(II), Pd(II) или Co(II); n представляет 1, 2, 3 или 4, в зависимости от валентного состояния центрального атома металла M; X выбирают из атома галогена, атома водорода, C1-C30-углеводородной группы, замещенной C1-C30-углеводородной группы, кислородсодержащей группы, азотсодержащей группы, содержащей серу группы, содержащей бор группы, содержащей алюминий группы, содержащей фосфор группы, содержащей кремний группы, содержащей германий группы, или содержащей олово группы, многочисленные группы X могут быть идентичными или различными, и также могут образовывать связь или цикл друг с другом; группу A выбирают из атома кислорода, атома серы, атома селена, Группы от R1 до R4 и от R6 до R21, в каждом случае независимо, выбирают из атома водорода, C1-C30-углеводородной группы, замещенной C1-C30-углеводородной группы (причем, предпочтительно, галогенированной углеводородной группы, например, -CH2Cl и -CH2CH2Cl), или инертной функциональной группы. Группы от R22 до R36, R38 и R39, в каждом случае независимо, выбирают из атома водорода, C1-C30-углеводородной группы или замещенной C1-C30-углеводородной группы (причем, предпочтительно, галогенированной углеводородной группы, например, -CH2Cl и -CH2CH2Cl). Вышеуказанные группы могут быть одинаковыми или различающимися между собой, причем соседние группы, например, R1 и R2, R6 и R7, R7 и R8, R8 и R9, R13 и R14, R14 и R15, R15 и R16, R18 и R19, R19 и R20, R20 и R21, R23 и R24, R25 и R26, или тому подобные, могут быть связаны друг с другом с образованием связи или с формированием цикла, предпочтительно с образованием ароматического цикла, например, незамещенного бензольного цикла, или бензольного цикла, замещенного 1-4 заместителями, выбранными из C1-C30-углеводородной группы или замещенной C1-C30-углеводородной группы (причем, предпочтительно, галогенированной углеводородной группы, например, -CH2Cl и -CH2CH2Cl), и R5 выбирают из неподеленной пары электронов на азоте, атома водорода, C1-C30-углеводородной группы, замещенной C1-C30-углеводородной группы, кислородсодержащей группы, содержащей серу группы, азотсодержащей группы, содержащей селен группы или фосфорсодержащей группы. Когда R5 представляет кислородсодержащую группу, содержащую серу группу, азотсодержащую группу, содержащую селен группу или фосфорсодержащую группу, N, O, S, P и Se в R5 могут служить как координирующие атомы (координирующие с центральным атомом металла М). В контексте настоящего изобретения указанную инертную функциональную группу, например, которая может быть перечислена, выбирают по меньшей мере из одного из галогена, кислородсодержащей группы, азотсодержащей группы, содержащей кремний группы, содержащей германий группы, содержащей серу группы, содержащей олово группы, C1-C10-сложноэфирной группы, нитрогруппы (-NO2), или тому подобной, но обычно с исключением C1-C30-углеводородной группы и замещенной C1-C30-углеводородной группы. В контексте настоящего изобретения, в соответствии с химической структурой мультидентатного лиганда, инертная функциональная группа имеет следующие характеристики: (1) не препятствует процессу координации между группами A, D, E, F, Y, или Z и центральным атомом металла M, и (2) способность к координации с центральным атомом металла M является более низкой, чем у групп A, D, E, F, Y, и Z, и не замещает существующую координацию между этими группами и центральным атомом металла M. Согласно настоящему изобретению, во всех вышеуказанных химических структурных формулах, в зависимости от конкретной ситуации, любые соседние две или более группы, такие как R21 и группа Z, или R13 и группа Y, могут быть объединены друг с другом с образованием цикла, предпочтительно с образованием ароматического C6-C30-гетероцикла, содержащего гетероатом из группы Z или Y, например, пиридинового цикла и тому подобного, причем ароматический гетероцикл необязательно замещен одним или более заместителями, выбранными из C1-C30-углеводородной группы и замещенной C1-C30-углеводородной группы. В контексте настоящего изобретения указанный галоген выбирают из F, Cl, Br или I. Указанную азотсодержащую группу выбирают из В контексте настоящего изобретения указанную C1-C30-углеводородную группу выбирают из C1-C30-алкильной группы (предпочтительно C1-C6-алкильной группы, например, изобутильной), C7-C30-алкиларильной группы (например, толильной, диметилфенильной, диизобутилфенильной, или тому подобной), C7-C30-арилалкильной группы (например, бензильной), циклической C3-C30-алкильной группы, C2-C30-алкенильной, C2-C30-алкинильной, C6-C30-арильной групп (например, фенильной, нафтильной, антрацильной, или тому подобной), группы конденсированного C8-C30-цикла или C4-C30-гетероциклической группы, причем указанная гетероциклическая группа содержит 1-3 гетероатома, выбранных из атома азота, атома кислорода или атома серы, например, пиридильная, пирролильная, фурильная, тиенильная группы, или тому подобные. Согласно настоящему изобретению, в контексте настоящего изобретения указанную C1-C30-углеводородную группу иногда называют C1-C30-углеводородной диильной (двухвалентной группой, или называют C1-C30-гидрокарбиленовой группой), или C1-C30-углеводородной триильной (трехвалентной группой), в зависимости от конкретной ситуации с данной группой их объединяют, что является очевидным для квалифицированных специалистов в этой области технологии. В контексте настоящего изобретения замещенная C1-C30-углеводородная группа имеет отношение к C1-C30-углеводородной группе с одним или многими инертными заместителями. Так называемый инертный заместитель имеет отношение к тем заместителям, которые по существу не препятствуют процессу координации между вышеуказанными координационными группами (это относится к группам A, D, E, F, Y, и Z, или, необязательно, включая группу R5) и центральным атомом металла M; другими словами, вследствие ограничения химической структуры мультидентатного лиганда, описываемого в настоящем изобретении, эти заместители не имеют способности или возможности (например, будучи под влиянием пространственных затруднений) вступать в реакцию координации с центральным атомом металла M с образованием координационной связи. Вообще говоря, инертный заместитель выбирают из галогена или C1-C30-алкильной группы (предпочтительно C1-C6-алкильной, такой как изобутильная). В контексте настоящего изобретения указанную содержащую бор группу выбирают из BF4-, (C6F5)4B- или (R40BAr3)-; указанную содержащую алюминий группу выбирают из алкилалюминия, AlPh4-, AlF4-, AlCl4-, AlBr4-, AlI4- или R41AlAr3-; указанную содержащую кремний группу выбирают из -SiR42R43R44 или -T-SiR45; указанную содержащую германий группу выбирают из -GeR46R47R48 или -T-GeR49; указанную содержащую олово группу выбирают из -SnR50R51R52, -T-SnR53 или -T-Sn(O)R54, причем Ar представляет C6-C30-арил. Группы от R40 до R54, в каждом случае независимо, выбирают из атома водорода, вышеуказанной C1-C30-углеводородной группы, или вышеуказанной замещенной C1-C30-углеводородной группы. Вышеупомянутве группы могут быть идентичными или отличающимися друг от друга, причем соседние группы могут быть объединены между собой с образованием связи или формированием цикла, причем группа T определена, как указано выше. В качестве неметаллоценового комплекса, например, могут быть перечислены следующие соединения: Неметаллоценовый комплекс предпочтительно выбирают из следующих соединений: Неметаллоценовый комплекс дополнительно предпочтительно выбирают из следующих соединений: Неметаллоценовый комплекс более предпочтительно выбирают из следующих соединений: Эти неметаллоценовые комплексы могут быть использованы по отдельности или в комбинации при любой пропорции. Согласно настоящему изобретению, мультидентатный лиганд в неметаллоценовом комплексе не является диэтильным соединением, традиционно применяемым в технологии в качестве электронодонорного соединения. Неметаллоценовый комплекс или мультидентатный лиганд могут быть получены согласно любому способу, известному квалифицированным специалистам в этой области технологии. Для конкретных описаний способа получения смотри, например, патентный документ WO03/010207 и патенты Китая ZL01126323.7 и ZL02110844.7, или тому подобные, которые включены здесь ссылкой во всей своей полноте. Согласно настоящему изобретению, для удобства отмеривания и проведения операции неметаллоценовый комплекс применяют в форме раствора, когда необходимо. Когда получают раствор указанного неметаллоценового комплекса, нет конкретного ограничения в отношении используемого в это время растворителя, пока он может растворять указанный неметаллоценовый комплекс. В качестве указанного растворителя могут быть перечислены один или многие из ароматического C6-12-углеводорода, галогенированного ароматического C6-12-углеводорода, галогенированного C1-10-алкана, сложного эфира и простого эфира. Более конкретно, например, могут быть перечислены толуол, ксилол, триметилбензол, этилбензол, диэтилбензол, хлортолуол, хлорэтилбензол, бромтолуол, бромэтилбензол, дихлорметан, дихлорэтан, этилацетат, тетрагидрофуран, и тому подобные. Из них предпочтительны ароматический C6-12-углеводород, дихлорметан и тетрагидрофуран. Эти растворители могут быть использованы по отдельности или в комбинации при любой пропорции. В случае растворения неметаллоценового комплекса при необходимости может быть применено перемешивание (скорость вращения мешалки, как правило, составляет 10-500 об/мин). Согласно настоящему изобретению, благоприятно, чтобы отношение неметаллоценового комплекса к растворителю, как правило, составляло 0,02-0,30 г/мл, предпочтительно 0,05-0,15 г/мл, но без ограничения этим в некоторых случаях. В качестве способа приведения неметаллоценового комплекса в контакт с модифицированным композитным носителем в присутствии второго растворителя, например, могут быть перечислены следующие способы. Во-первых, модифицированный композитный носитель и неметаллоценовый комплекс приводят в контакт (для реагировании в контакте) в присутствии второго растворителя, для получения второй смесевой суспензии. Во время формирования второй смесевой суспензии нет конкретного ограничения в отношении режима контактирования и порядка приведения в контакт между модифицированным композитным носителем и неметаллоценовым комплексом (а также со вторым растворителем). Например, может быть указано следующее: сначала смешивают модифицированный композитный носитель и неметаллоценовый комплекс, и затем к образованной смеси добавляют второй растворитель; в альтернативном варианте, растворяют неметаллоценовый комплекс во втором растворителе для получения раствора неметаллоценового комплекса, и затем смешивают модифицированный композитный носитель и раствор неметаллоценового комплекса, причем последний подход является предпочтительным. В дополнение, чтобы получить вторую смесевую суспензию, например, при контактировании между модифицированным композитным носителем и неметаллоценовым комплексом может быть проведена реакция в присутствии второго растворителя при температуре в диапазоне от нормальной температуры до температуры ниже температуры кипения любого из используемых растворителей (при перемешивании, если необходимо) в течение 0,5-24 часов, предпочтительно 1-8 часов, более предпочтительно 2-6 часов. В это время полученная вторая смесевая суспензия представляет собой подобную взвеси систему. Хотя в этом нет необходимости, чтобы обеспечить однородность системы, вторую смесевую суспензию оставляют в закрытом состоянии в течение определенного периода времени (2-48 часов, предпочтительно 4-24 часов, наиболее предпочтительно 6-18 часов) после формирования. Согласно настоящему изобретению, нет конкретного ограничения в отношении второго растворителя (далее иногда называемого растворителем для растворения неметаллоценового комплекса) во время формирования второй смесевой суспензии или во время приведения в контакт, пока он может растворять неметаллоценовый комплекс. В качестве второго растворителя, например, могут быть перечислены один или многие из ароматического C6-12-углеводорода, галогенированного ароматического C6-12-углеводорода, C5-12-алкана, галогенированного C1-10-алкана, и простого эфира. Более конкретно, могут быть перечислены, например, толуол, ксилол, триметилбензол, этилбензол, диэтилбензол, хлортолуол, хлорэтилбензол, бромтолуол, бромэтилбензол, гексан, дихлорметан, дихлорэтан, тетрагидрофуран, и тому подобные. Из них предпочтительны ароматический C6-12-углеводород, дихлорметан и тетрагидрофуран, и наиболее предпочтителен дихлорметан. Эти растворители могут быть использованы по отдельности или в комбинации при любой пропорции. Во время формирования второй смесевой суспензии или раствора неметаллоценового комплекса при необходимости может быть применено перемешивание (скорость вращения мешалки, как правило, составляет 10-500 об/мин). Согласно настоящему изобретению, нет ограничения в отношении используемого количества второго растворителя, пока оно является таким количеством, которое достаточно для достижения надлежащего контакта между модифицированным композитным носителем и неметаллоценовым комплексом. Например, благоприятно, чтобы отношение неметаллоценового комплекса ко второму растворителю составляло, как правило, 0,01-0,25 г/мл, предпочтительно 0,05-0,16 г/мл, но без ограничения этим в некоторых случаях. В одном варианте осуществления настоящего изобретения твердый продукт с хорошей текучестью может быть получен непосредственным высушиванием второй смесевой суспензии, и он представляет собой неметаллоценовый катализатор на носителе согласно настоящему изобретению. В одном варианте осуществления настоящего изобретения нет необходимости в высушивании второй смесевой суспензии, которая может быть непосредственно использована в качестве неметаллоценового катализатора на носителе. При этом непосредственное высушивание может быть проведено с использованием стандартных способов, например, сушкой в атмосфере инертного газа, сушкой в вакууме, нагреванием и сушкой в вакууме, или тому подобным, причем предпочтительны нагревание и сушка в вакууме. Как правило, сушку проводят при температуре на 5-15°С ниже температуры кипения любого растворителя, содержащегося в смесевой суспензии (как правило, при 30-160°С, предпочтительно 60-130°С), продолжительность сушки, как правило, составляет 2-24 часа, но без ограничения этим в некоторых случаях. Согласно настоящему изобретению, первый растворитель применяют в таком количестве, что отношение магниевого соединения к первому растворителю составляет 1 моль:75-400 мл, предпочтительно 1 моль:150-300 мл, более предпочтительно 1 моль:200-250 мл. Согласно настоящему изобретению, спирт применяют в таком количестве, что молярное отношение магниевого соединения как Mg-элемента к спирту составляет 1:0,02-4,00, предпочтительно 1:0,05-3,00, более предпочтительно 1:0,10-2,50. Согласно настоящему изобретению, пористый носитель применяют в таком количестве, что массовое отношение магниевого соединения как твердого магниевого соединения к пористому носителю составляет 1:0,1-20, предпочтительно 1:0,5-10, более предпочтительно 1:1-5. Согласно настоящему изобретению, осадитель применяют в таком количестве, что объемное отношение осадителя к первому растворителю составляет 1:0,2-5, предпочтительно 1:0,5-2, более предпочтительно 1:0,8-1,5. Согласно настоящему изобретению, реагент для химической обработки применяют в таком количестве, что молярное отношение композитного носителя как Mg-элемента к реагенту для химической обработки как металлическому элементу Группы IVВ составляет 1:0,01-1, предпочтительно 1:0,01-0,50, более предпочтительно 1:0,10-0,30. Согласно настоящему изобретению, неметаллоценовый комплекс применяют в таком количестве, что молярное отношение композитного носителя как Mg-элемента к неметаллоценовому комплексу составляет 1:0,01-1, предпочтительно 1:0,04-0,4, более предпочтительно 1:0,08-0,2. Квалифицированные специалисты в этой области технологии осведомлены, что все стадии вышеупомянутого способа предпочтительно проводят в по существу безводных и бескислородных условиях. Выражение «по существу безводные и бескислородные», как упомянутое здесь, подразумевает, что уровни содержания воды и кислорода в системе постоянно составляют ниже 100 млн-1. Более того, неметаллоценовый катализатор на носителе согласно настоящему изобретению после формирования обычно нужно хранить как запас в присутствии инертного газа при слегка повышенном давлении (например, газообразного азота, газообразного аргона, газообразного гелия, и тому подобного) в условиях плотной закупорки. В настоящем изобретении, если не оговорено иное, количество неметаллоценового катализатора на носителе выражается как количество активного металлического элемента Группы IVВ. Согласно настоящему изобретению, сокатализатор выбирают из алюминоксана, алкилалюминия, галогенированного алкилалюминия, и их смесей. В отношении указанного алюминоксана, например, применимы линейный алюминоксан, представленный следующей общей формулой (III-1), и циклический алюминоксан, представленный следующей общей формулой (III-2). В вышеуказанных общих формулах группы R являются идентичными между собой или отличающимися друг от друга (предпочтительно идентичными), и в каждом случае независимо выбраны из С1-С8-алкильной группы, предпочтительно метильной, этильной, пропильной, бутильной и изобутильной групп, наиболее предпочтительно метильной; n представляет любое целое число в диапазоне 1-50, предпочтительно любое целое число в диапазоне 10-30. В качестве указанного алюминоксана предпочтительны метилалюминоксан, этилалюминоксан, изобутилалюминоксан и н-бутилалюминоксан; более предпочтительны метилалюминоксан и изобутилалюминоксан, и наиболее предпочтителен метилалюминоксан. Эти алюминоксаны могут быть использованы по отдельности или в комбинации при любой пропорции. В качестве указанного алкилалюминия, например, могут быть перечислены соединения, описываеые следующей общей формулой (III): AlR3 (III), в которой группы R являются одинаковыми или различающимися между собой (предпочтительно идентичными), и в каждом случае независимо выбраны из С1-С8-алкильной группы, предпочтительно метильной, этильной, пропильной, бутильной и изобутильной групп, наиболее предпочтительно метильной. Более конкретно, в качестве указанного алкилалюминия могут быть перечислены следующие: триметилалюминий (Al(CH3)3), триэтилалюминий (Al(CH3CH2)3), три-н-пропилалюминий (Al(C3H7)3), триизопропилалюминий (Al(i-C3H7)3), триизобутилалюминий (Al(i-C4H9)3), три-н-бутилалюминий (Al(C4H9)3), триизопентилалюминий (Al(i-C5H11)3), три-н-пентилалюминий (Al(C5H11)3), три-н-гексилалюминий (Al(C6H13)3), триизогексилалюминий (Al(i-C6H13)3), диэтилметилалюминий (Al(CH3)(CH3CH2)2) и диметилэтилалюминий (Al(CH3CH2)(CH3)2), и тому подобные, причем предпочтительны триметилалюминий, триэтилалюминий, трипропилалюминий и триизобутилалюминий, и наиболее предпочтительны триэтилалюминий и триизобутилалюминий. Эти алкилалюминиевые производные могут быть использованы по отдельности или в комбинации при любой пропорции. В качестве указанного галогенированного алкилалюминия, например, может быть представлено соединение, описываемое следующей общей формулой (III’): Al(R)nX3-n (III’), в которой группы R являются одинаковыми или различающимися между собой (предпочтительно идентичными), и в каждом случае независимо выбраны из С1-С8-алкильной группы, предпочтительно метильной, этильной, пропильной, бутильной и изобутильной групп, наиболее предпочтительно метильной; X представляет F, Cl, Br, или I; n представляет 1 или 2. Более конкретно, в качестве галогенированного алкилалюминия, например, могут быть перечислены следующие: монохлордиметилалюминий (Al(CH3)2Cl), дихлорметилалюминий (Al(CH3)Cl2), монохлордиэтилалюминий (Al(CH3CH2)2Cl), дихлорэтилалюминий (Al(CH3CH2)Cl2), монохлордипропилалюминий (Al(C3H7)2Cl), дихлорпропилалюминий (Al(C3H7)Cl2)), монохлорди-н-бутилалюминий (Al(C4H9)2Cl), дихлор-н-бутилалюминий (Al(C4H9)Cl2), монохлордиизобутилалюминий (Al(i-C4H9)2Cl), дихлоризобутилалюминий (Al(i-C4H9)Cl2), монохлорди-н-пентилалюминий (Al(C5H11)2Cl), дихлор-н-пентилалюминий (Al(C5H11)Cl2), монохлордиизопентилалюминий (Al(i-C5H11)2Cl), дихлоризопентилалюминий (Al(i-C5H11)Cl2), монохлорди-н-гексилалюминий (Al(C6H13)2Cl), дихлор-н-гексилалюминий (Al(C6H13)Cl2), монохлордиизогексилалюминий (Al(i-C6H13)2Cl), дихлоризогексилалюминий (Al(i-C6H13)Cl2), монохлорметилэтилалюминий (Al(CH3)(CH3CH2)Cl), монохлорметилпропилалюминий (Al(CH3)(C3H7)Cl), монохлорметил-н-бутилалюминий (Al(CH3)(C4H9)Cl), монохлорметилизобутилалюминий (Al(CH3)(i-C4H9)Cl), монохлорпентилпропилалюминий (Al(CH2CH3)(C3H7)Cl), монохлорэтил-н-бутилалюминий (AlCH2CH3)(C4H9)Cl), монохлорметилизобутилалюминий (Al(CH2CH3)(i-C4H9)Cl), и тому подобные, причем предпочтительны монохлордиэтилалюминий, дихлорэтилалюминий, монохлорди-н-бутилалюминий, дихлор-н-бутилалюминий, монохлордиизобутилалюминий, дихлоризобутилалюминий, монохлорди-н-гексилалюминий, дихлор-н-гексилалюминий, более предпочтительны хлордиэтилалюмини, дихлорэтилалюминий и монохлорди-н-гексилалюминий, и наиболее предпочтителен монохлордиэтилалюминий. Эти галогенированные алкилалюминиевые производные могут быть использованы по отдельности или в комбинации при любой пропорции. В дополнение, согласно настоящему изобретению сокатализаторы могут быть применены по отдельности или в комбинации при любой пропорции, как потребуется, без любых конкретных ограничений. В настоящем изобретении, если не оговорено иное, количество сокатализатора выражается как содержание Al-элемента. Согласно настоящему изобретению, в ходе получения полиэтилена сверхвысокой молекулярной массы полимеризационный растворитель выбирают из алканового растворителя, имеющего температуру кипения 5-55°С, или смешанного алканового растворителя, имеющего давление насыщенного пара при 20°С 20-150 кПа (предпочтительно 40-110 кПа). Согласно настоящему изобретению, в качестве алканового растворителя, имеющего температуру кипения 5-55°С, могут быть перечислены, например, 2,2-диметилпропан (также известный как неопентан, имеющий температуру кипения 9,5°C, и давление насыщенного пара при 20°С 146,63 кПа), 2-метилбутан (также известный как изопентан, имеющий температуру кипения 27,83°C, и давление насыщенного пара при 20°С 76,7 кПа), н-пентан (имеющий температуру кипения 36,1°C, и давление насыщенного пара при 20°С 56,5 кПа), циклопентан (имеющий температуру кипения 49,26°C, и давление насыщенного пара при 20°С 34,6 кПа), предпочтительно алкановый растворитель, имеющий температуру кипения 25-52°C. В качестве смешанного алканового растворителя, имеющего давление насыщенного пара при 20°С 20-150 кПа (например, 40-110 кПа), представлен смешанный растворитель, образованный смешением различных алкановых растворителей согласно определенному соотношению, например, смешанный растворитель, образованный из гексана и его изомера, и из пентана и его изомера, или смесь алканов, полученная фракционированием из диапазона дистилляции в устройстве для перегонки растворителей, предпочтительно смешанный растворитель, образованный из гексана и его изомера. Более конкретно, могут быть перечислены комбинация н-пентана и изопентана, комбинация изопентана и неопентана, комбинация н-пентана и циклопентана, комбинация н-пентана и неопентана, комбинация изопентана и циклопентана, комбинация неопентана и циклопентана, комбинация н-гексана и циклопентана, комбинация н-гексана и н-пентана, комбинация н-пентана-изопентана-циклопентана, комбинация н-пентана-н-гексана-изопентана, или тому подобные, но без ограничения этим, пока он представляет собой смешанный алкан, имеющий давление насыщенного пара при 20°С 20-150 кПа (предпочтительно 40-110 кПа). В одном варианте осуществления настоящего изобретения в качестве смешанного алканового растворителя, имеющего давление насыщенного пара при 20°С 20-150 кПа (предпочтительно 40-110 кПа), представлен смешанный алкановый растворитель, имеющий давление насыщенного пара при 20°С 20-150 кПа (предпочтительно 40-110 кПа), образованный смешением двух или многих алканов, выбранных из н-пентана, изопентана, неопентана и циклопентана, более предпочтительно комбинация н-пентана и изопентана, комбинация изопентана и неопентана, комбинация н-пентана и циклопентана, комбинация изопентана и циклопентана, комбинация неопентана и циклопентана, комбинация неопентана и н-пентана, комбинация н-пентана-изопентана-циклопентана, комбинация неопентана-изопентана-н-пентана, и тому подобные. В отношении пропорции каждого алкана в смешанном алкане, например, когда смешаны два алкановых растворителя, их молярное отношение может составлять 0,01-100:1, предпочтительно 0,1-10:1, и когда смешаны три алкановых растворителя, их молярное отношение может составлять 0,01-100:0,01-100:1, предпочтительно 0,1-10:0,1-10:1, пока полученный смешанный алкановый растворитель имеет давление насыщенного пара при 20°С 20-150 кПа (предпочтительно 40-110 кПа). В одном варианте осуществления настоящего изобретения в качестве полимеризационного растворителя применяют только алкановый растворитель, имеющий температуру кипения 5-55°C, или смешанный алкановый растворитель, имеющий давление насыщенного пара при 20°С 20-150 кПа. В ходе получения полиэтилена сверхвысокой молекулярной массы согласно настоящему изобретению температура полимеризации при суспензионной полимеризации этилена составляет 50-100°С, предпочтительно 60-90°С. Из них, если суспензионную полимеризацию этилена проводят при более высокой температуре полимеризации, может быть использован растворитель с более высокой температурой кипения. Напротив, если суспензионную полимеризацию этилена проводят при более низкой температуре полимеризации, может быть использован растворитель с более низкой температурой кипения. Известно, что в условиях суспензионной полимеризации этилена, при подобных или сравнимых условиях, таких как давление при полимеризации, основной катализатор, сокатализатор и растворитель, в пределах диапазона температуры полимеризации, описанного в настоящем изобретении, когда повышают температуру полимеризации, сначала возрастает средневязкостная молекулярная масса полученного тем самым полиэтилена сверхвысокой молекулярной массы, и затем снижается. Поэтому, согласно настоящему изобретению, средневязкостную молекулярную массу получаемого в суспензионной полимеризации этилена полиэтилена сверхвысокой молекулярной массы можно корректировать и регулировать посредством температуры полимеризации. В ходе получения полиэтилена сверхвысокой молекулярной массы согласно настоящему изобретению давление при полимеризации составляет 0,4-4,0 МПа, предпочтительно 1,0-3,0 МПа, и более предпочтительно 1,5-3,0 МПа. Из них, если суспензионную полимеризацию этилена проводят при более высокой температуре полимеризации, может быть использовано более низкое давление при полимеризации. Напротив, если суспензионную полимеризацию этилена проводят при более низкой температуре полимеризации, может быть применено более высокое давление при полимеризации. В условиях суспензионной полимеризации этилена, при подобных или сравнимых условиях, таких как давление при полимеризации, основной катализатор, сокатализатор и растворитель, в пределах диапазона давления при полимеризации, описанного в настоящем изобретении, когда повышают давление при полимеризации, также сначала возрастает средневязкостная молекулярная масса полученного тем самым полиэтилена сверхвысокой молекулярной массы, и затем снижается. Поэтому, согласно настоящему изобретению, средневязкостную молекулярную массу получаемого в суспензионной полимеризации этилена полиэтилена сверхвысокой молекулярной массы можно корректировать и регулировать посредством давления при полимеризации. Применение алканового растворителя, имеющего температуру кипения 5-55°С, или смешанного алканового растворителя, имеющего давление насыщенного пара при 20°С 20-150 кПа, представляемых в настоящем изобретении в качестве полимеризационного растворителя, создает благоприятную возможность и вариант выбора для получения полиэтилена сверхвысокой молекулярной массы с различными значениями средневязкостной молекулярной массы в ходе суспензионной полимеризации этилена. Например, применение алканового растворителя, имеющего более низкую температуру кипения (например, н-пентана, изопентана или циклопентана, и тому подобного), или смешанного алканового растворителя, имеющего более высокое давление насыщенного пара при 20°С (например, комбинации н-пентана и неопентана, комбинации изопентана и неопентана, и тому подобного), обеспечивает отведение тепла из реакции суспензионной полимеризации этилена, и поэтому она может быть проведена при более низкой температуре полимеризации, тогда как при применении алканового растворителя, имеющего более высокую температуру кипения, или смешанного алканового растворителя, имеющего более низкое давление насыщенного пара при 20°С, она может быть проведена при более низком давлении при полимеризации и более высокой температуре полимеризации, чтобы эффективно отводить тепло из реакции полимеризации. В одном варианте осуществления настоящего изобретения представлен полиэтилен сверхвысокой молекулярной массы, причем полиэтилен сверхвысокой молекулярной массы имеет средневязкостную молекулярную массу 150-1000×104 г/моль, объемную плотность 0,30-0,55 г/см3, абсолютную плотность 0,910-0,950 г/см3, содержание титана 0-3 млн-1, содержание кальция 0-5 млн-1, содержание магния 0-10 млн-1, содержание алюминия 0-30 млн-1, содержание хлора 0-50 млн-1, общую зольность менее 200 млн-1, температуру плавления 140-152°С, кристалличность 40-70%, предел текучести при растяжении свыше 22 МПа, предел прочности при растяжении до разрыва более 32 МПа, относительное удлинение при разрыве более 350%, ударную вязкость более 70 кДж/м2, и модуль Юнга свыше 300 МПа. В одном варианте осуществления настоящего изобретения представлен полиэтилен сверхвысокой молекулярной массы, причем он имеет средневязкостную молекулярную массу 300-800×104 г/моль, объемную плотность 0,33-0,52 г/см3, абсолютную плотность 0,915-0,945 г/см3, содержание титана 0-2 млн-1, содержание кальция 0-3 млн-1, содержание магния 0-5 млн-1, содержание алюминия 0-20 млн-1, содержание хлора 0-30 млн-1, общую зольность менее 150 млн-1, температуру плавления 142-150°С, кристалличность 45-65%, предел текучести при растяжении свыше 25 МПа, предел прочности при растяжении до разрыва более 35 МПа, относительное удлинение при разрыве более 400%, ударную вязкость более 75 кДж/м2, и модуль Юнга свыше 350 МПа. В одном варианте осуществления настоящего изобретения представлен этиленовый сополимер со сверхвысокой средневязкостной молекулярной массой, причем этиленовый сополимер со сверхвысокой молекулярной массой имеет средневязкостную молекулярную массу 150-800×104 г/моль, объемную плотность 0,30-0,55 г/см3, абсолютную плотность 0,900-0,950 г/см3, молярную степень внедрения сомономера 0,05-4,0%, содержание титана 0-3 млн-1, содержание кальция 0-5 млн-1, содержание магния 0-10 млн-1, содержание алюминия 0-30 млн-1, содержание хлора 0-50 млн-1, общую зольность менее 200 млн-1, температуру плавления 140-152°С, кристалличность 40-70%, и модуль упругости при растяжении свыше 250 МПа. В одном варианте осуществления настоящего изобретения представлен этиленовый сополимер со сверхвысокой средневязкостной молекулярной массой, причем этиленовый сополимер имеет средневязкостную молекулярную массу 300-700×104 г/моль, объемную плотность 0,33-0,52 г/см3, абсолютную плотность 0,905-0,945 г/см3, молярную степень внедрения сомономера 0,10-2,0%, содержание титана 0-2 млн-1, содержание кальция 0-3 млн-1, содержание магния 0-5 млн-1, содержание алюминия 0-20 млн-1, содержание хлора 0-30 млн-1, общую зольность менее 150 млн-1, температуру плавления 142-150°С, кристалличность 45-65%, и модуль упругости при растяжении свыше 280 МПа. В одном варианте осуществления настоящего изобретения представлен способ получения полимеризацией полиэтилена со сверхвысокой средневязкостной молекулярной массой, причем этилен и, необязательно, сомономер подвергают суспензионной полимеризации с неметаллоценовым катализатором на носителе как основным катализатором, с одним или многими из алюминоксана, алкилалюминия и галогенированного алкилалюминия в качестве сокатализатора, с алкановым растворителем, имеющим температуру кипения 5-55°С, или смешанным алкановым растворителем, имеющим давление насыщенного пара при 20°С 20-150 кПа, в качестве полимеризационного растворителя, при температуре полимеризации 50-100°С, под давлением при полимеризации 0,4-4,0 МПа, в условиях суспензионной полимеризации этилена, и активность суспензионной полимеризации этилена является более высокой, чем 2×104 г полиэтилена/г основного катализатора. В одном варианте осуществления настоящего изобретения, в способе получения полимеризацией полиэтилена со сверхвысокой средневязкостной молекулярной массой, этилен подвергают суспензионной полимеризации при температуре полимеризации 60-90°С, под давлением при полимеризации 1,0-3,0 МПа, в условиях суспензионной полимеризации этилена, и активность суспензионной полимеризации этилена является более высокой, чем 3×104 г полиэтилена/г основного катализатора, и когда присутствует сомономер, молярное отношение сомономера к активному металлу в катализаторе составляет 20-400:1. В способе получения полиэтилена сверхвысокой молекулярной массы согласно настоящему изобретению реактор для суспензионной полимеризации этилена никоим образом не является ограниченным, пока этилен и, необязательно, сомономер могут приходить в контакт с основным катализатором и сокатализатором в растворителе, в пределах диапазонов давления при полимеризации и температуры полимеризации, описанных в настоящем изобретении. Чтобы эффективно избежать адгезии и агрегирования материала, он может представлять собой реактор для суспензионной полимеризации этилена типа резервуара с перемешиванием. В отношении резервуара с перемешиванием нет конкретного ограничения для скорости перемешивания в нем. Пока это может обеспечивать нормальное диспергирование суспензии в реакторе, скорость вращения при перемешивании является согласованной с объемом реактора. Вообще говоря, чем меньше объем реактора, тем более высокая скорость вращения требуется для перемешивания. Скорость вращения при перемешивании составляет 10-1000 об/мин, предпочтительно 20-500 об/мин. В способе получения полиэтилена сверхвысокой молекулярной массы согласно настоящему изобретению нет конкретного ограничения в отношении продолжительности реакции полимеризации, пока она находится в пределах определенного времени полимеризации, обусловленного основным катализатором согласно настоящему изобретению, полимеризационная активность суспензионной полимеризации этилена является более высокой, чем 2×104 г полиэтилена/г основного катализатора, предпочтительно полимеризационная активность суспензионной полимеризации этилена является более высокой, чем 3×104 г полиэтилена/г основного катализатора, наиболее предпочтительно полимеризационная активность является более высокой, чем 4×104 г полиэтилена/г основного катализатора. Согласно настоящему изобретению, режим добавления неметаллоценового катализатора на носителе как основного катализатора и одного или многих из алюминоксана, алкилалюминия или галогенированного алкилалюминия как сокатализатора, к системе реакции полимеризации может быть следующим: сначала добавление основного катализатора, и затем добавление сокатализатора; или сначала добавление сокатализатора, и затем добавление основного катализатора; или сначала смешение с приведением основного катализатора в контакт с сокатализатором, и затем добавление их совместно; или добавление основного катализатора и сокатализатора по отдельности в одно и то же время. Когда основной катализатор и сокатализатор добавляют по отдельности, они могут быть последовательно добавлены в один и тот же загрузочный трубопровод, или последовательно добавлены в различные загрузочные трубопроводы; тогда как если основной катализатор и сокатализатор добавляют по отдельности в одно и то же время, они должны быть добавлены в различные загрузочные трубопроводы. При получения полиэтилена сверхвысокой молекулярной массы, имеющего низкое содержание металлических элементов согласно настоящему изобретению, чтобы сократить содержание металлических элементов в полимере, необходимо полностью обеспечить и задействовать каталитическую активность основного катализатора для реакции полимеризации этилена. С использованием неметаллоценового катализатора на носителе, описываемого в настоящем изобретении, в условиях реакции полимеризации, включающих давление при полимеризации, температуру полимеризации, полимеризационный растворитель, и, необязательно, участие сомономера, может быть получен полиэтилен сверхвысокой молекулярной массы, имеющий низкое содержание металлических элементов и низкую зольность. Согласно настоящему изобретению, давление при полимеризации и полимеризационный растворитель согласно настоящему изобретению являются подходящими для достижения высокой активности катализатора, и тем самым для получения полиэтилена сверхвысокой молекулярной массы, имеющего низкое содержание металлических элементов. Температура полимеризации согласно настоящему изобретению является благоприятной для достижения высокой активности катализатора, но она будет влиять на средневязкостную молекулярную массу полученного таким образом полиэтилена. В дополнение, протяженное время полимеризации также является благоприятным для достижения высокой активности катализатора. Полиэтилен сверхвысокой молекулярной массы согласно настоящему изобретению представляет собой сверхвысокомолекулярный полиэтилен, имеющий низкое содержание металлических элементов и низкую зольность, и имеет такие механические характеристики, как высокий предел текучести при растяжении, высокое сопротивление разрушению при растяжении, и высокую ударную вязкость. Поэтому полиэтилен согласно настоящему изобретению может быть пригодным для получения высококачественных материалов, таких как высокопрочные волокна из полиэтилена сверхвысокой молекулярной массы и искусственные суставы в качестве медицинских имплантов. Примеры Настоящее изобретение будет дополнительно описано подробно со ссылкой на примеры, но настоящее изобретение не ограничено этими примерами. Определение объемной плотности полиэтилена сверхвысокой молекулярной массы проводят в соответствии со стандартом GB 1636-79, и абсолютную плотность определяют на основе метода градиентной колонки в трубке с градиентом плотности в соответствии со стандартом GB/T 1033-86. Полимеризационную активность основного катализатора рассчитывают согласно следующему способу: после завершения реакции полимеризации продукт полимеризации в реакционном резервуаре отфильтровывают и высушивают, и затем взвешивают продукт полимеризации, причем полимеризационная активность (в кг полимера/г катализатора, или «кг PE/г Cat») катализатора получается как величина массы продукта полимеризации, деленная на массу использованного основного катализатора для полиэтилена (неметаллоценового катализатора на носителе). Уровни содержания активного металлического элемента в неметаллоценовом катализаторе на носителе, и таких элементов, как титан, магний, кальций, алюминий, кремний и хлор, в полиэтилене сверхвысокой молекулярной массы определяют методом ICP-AES (атомно-эмиссионной спектрометрии с индуктивно-связанной плазмой). Зольность полиэтилена сверхвысокой молекулярной массы определяют методом прямого кальцинирования в соответствии с национальным стандартом GBT9345.1-2008. Полимер сжигают в муфельной печи, и его остаток обрабатывают при высокой температуре до постоянного веса, содержание получают делением массы остатка на массу исходного полимера. Определение степени внедрения сомономера в полиэтилене сверхвысокой молекулярной массы выполняют следующим образом, сополимер с известным содержанием калибруют методом ядерного магнитного резонанса, и проводят измерение с использованием инфракрасного спектрометра Bruker 66/S с Фурье-преобразованием от фирмы German Bruck Corporation. Средневязкостную молекулярную массу полиэтилена сверхвысокой молекулярной массы рассчитывают согласно следующему методу: в соответствии со стандартом ASTM D4020-00 измеряют характеристическую вязкость полимера с использованием вискозиметра Ubbelohde типа высокотемпературного разбавления (с капилляром, имеющим внутренний диаметр 0,44 мм, в среде ванны с постоянной температурой из силиконового масла # 300, с декалином в качестве растворителя для разбавления, и при температуре измерения 135°C), и затем рассчитывают средневязкостную молекулярную массу Mv полимера согласно следующему уравнению. Mv=5,37×104×[η]1,37, в котором η представляет характеристическую вязкость. Определение содержания остаточного растворителя во влажном материале после реакции полимеризации выполняют следующим образом: непосредственное отфильтровывание полимерного порошка из этиленовой суспензии, полученной после завершения реакции полимеризации в полимеризационном реакторе, проводят с использованием фильтровальной сетки с ячейками 100 меш, взвешивают влажный полимер и регистрируют массу как m1, и затем полностью высушивают влажный полимер в вакууме 20 мбар (2000 Па) при 80°С, и взвешивают высушенный полимерный порошок, и регистрируют массу как m2, и затем рассчитывают содержание остаточного растворителя. Содержание остаточного растворителя = Определение температуры плавления и кристалличности полиэтилена сверхвысокой молекулярной массы выполняют с использованием дифференциальной термической сканирующей калориметрии. В качестве прибора применяют дифференциальный термический сканирующий калориметр Q1000 DSC от фирмы TA Corporation, США, и определение проводят согласно стандарту YYT0815-2010. Предел текучести при растяжении, сопротивление разрушению и относительное удлинение при разрыве полимера измеряют в соответствии со стандартом GB/T 1040.2-2006. Ударную вязкость полимера определяют в соответствии со стандартом GB/T 1043-1993. Модуль Юнга измеряют с использованием универсальной машины для испытаний материалов, где условия сжатия включают температуру предварительного сжатия 80°С и давление 7,0 МПа, температура горячего сжатия составляет 190°C, и давление горячего сжатия составляет 7,0 МПа; температура холодного сжатия представляет собой нормальную температуру, и давление холодного сжатия составляет 15,0 МПа. Модуль упругости при растяжении измеряют с использованием универсальной машины для испытаний материалов в соответствии со стандартом GB/T 1040.2-2006, где условия сжатия включают температуру предварительного сжатия 80°С и давление предварительного сжатия 7,0 МПа, и температура горячего сжатия составляет 190°C, и давление горячего сжатия составляет 7,0 МПа; температура холодного сжатия представляет собой нормальную температуру, и давление холодного сжатия составляет 15,0 МПа. Пример 1: получение основного катализатора Пример 1-1 Магниевое соединение представляло собой безводный хлорид магния, первым растворителем был тетрагидрофуран, спирт представлял собой этанол, и пористым носителем был оксид кремния, то есть силикагель, которым был продукт ES757 от фирмы Ineos Company. Силикагель сначала термически активировали непрерывным кальцинированием при 600°С в атмосфере азота в течение 4 часов. Реагентом для химической обработки металла Группы IVB был тетрахлорид титана (TiCl4), вторым растворителем был дихлорметан, и неметаллоценовый комплекс представлял собой соединение, имеющее структуру К первому растворителю добавили 5 г магниевого соединения, затем добавили спирт. Смесь полностью растворили при комнатной температуре для получения раствора магниевого соединения. Затем добавили пористый носитель. Полученную смесь перемешивали в течение 2 часов для получения первой смесевой суспензии. Затем суспензию равномерно нагревали до 90°С, и непосредственно вакуумировали и высушили для получения композитного носителя. Полученный композитный носитель добавили в гексановый растворитель. Реагент для химической обработки с металлом Группы IVВ добавляли по каплям в течение 30 минут при нормальной температуре. Затем образованную смесь равномерно нагревали до 60°С для выполнения изотермической реакции в течение 2 часов, затем профильтровали, трижды промыли гексановым растворителем, используя при каждом промывании количество, идентичное количеству добавленного перед этим растворителя, и наконец высушили при 60°С для получения модифицированного композитного носителя. Неметаллоценовый комплекс добавили при комнатной температуре ко второму растворителю, с последующим добавлением модифицированного композитного носителя. Образованную смесь перемешивали в течение 4 часов, затем оставили стоять в закрытом состоянии в течение 12 часов, и затем сразу же вакуумировали и высушили при нормальной температуре для получения неметаллоценового катализатора на носителе. Использованное дозирование включало массовое соотношение магниевого соединения и пористого носителя, составляющее 1:2; молярное отношение магниевого соединения как Mg-элемента к спирту составляло 1:2; соотношение магниевого соединения и первого растворителя составляло 1 моль:210 мл; молярное отношение композитного носителя как Mg-элемента к реагенту для химической обработки как металлическому элементу Группы IVВ составляло 1:0,20; молярное отношение композитного носителя как Mg-элемента к неметаллоценовому комплексу составляло 1:0,08. Пропорция неметаллоценового комплекса относительно указанного второго растворителя составляла 0,1 г/мл. Неметаллоценовый катализатор на носителе был обозначен как CAT-1. Пример 1-2 В основном он был таким же, как Пример 1-1, но со следующими изменениями. Магниевое соединение было заменено на диэтоксимагний (Mg(OC2H5)2), спирт был заменен на н-бутанол, первый растворитель был заменен на толуол, пористый носитель был частично сшитым (степень сшивания 30%) полистиролом. Полистирол непрерывно высушивали при 85°С в атмосфере газообразного азота в течение 12 часов. Реагент для химической обработки был заменен на тетрахлорид циркония (ZrCl4). Использованным неметаллоценовым комплексом было соединение второй растворитель был заменен на толуол, изменение в режиме обработки первой смесевой суспензии включало добавление гексана в качестве осадителя к первой смесевой суспензии, чтобы обеспечить полное осаждение, фильтрование и трижды промывание осадителем, вакуумирование при 60°С и затем высушивание. Использованное дозирование включало массовое соотношение магниевого соединения и пористого носителя, составляющее 1:1; молярное отношение магниевого соединения как Mg-элемента к спирту составляло 1:1; соотношение магниевого соединения и первого растворителя составляло 1 моль:150 мл; молярное отношение композитного носителя как Mg-элемента к реагенту для химической обработки как металлическому элементу Группы IVВ составляло 1:0,30; молярное отношение композитного носителя как Mg-элемента к неметаллоценовому комплексу составляло 1:0,10; объемное отношение осадителя к первому растворителю составляло 1:1. Пропорция неметаллоценового комплекса относительно указанного второго растворителя составляла 0,06 г/мл. Неметаллоценовый катализатор на носителе был обозначен как CAT-2. Пример 1-3 В основном он был таким же, как Пример 1-1, но со следующими изменениями. Магниевое соединение было заменено на безводный бромид магния (MgBr2), спирт был заменен на 2-этилгексанол, первый растворитель и второй растворитель были заменены на гексан, и пористый носитель представлял собой монтмориллонит. Монтмориллонит непрерывно кальцинировали при 300°С в атмосфере газообразного азота в течение 6 часов. Реагент для химической обработки был заменен на тетрабромид титана (TiBr4), и использовали неметаллоценовый комплекс Изменение режима обработки первой смесевой суспензии включало непосредственное вакуумирование и высушивание при 105°С. Использованное дозирование включало массовое соотношение магниевого соединения и пористого носителя, составляющее 1:5; молярное отношение магниевого соединения как Mg-элемента к спирту составляло 1:0,7; соотношение магниевого соединения и первого растворителя составляло 1 моль:280 мл; молярное отношение композитного носителя как Mg-элемента к реагенту для химической обработки как металлическому элементу Группы IVВ составляло 1:0,10; и молярное отношение композитного носителя как Mg-элемента к неметаллоценовому комплексу составляло 1:0,05. Пропорция неметаллоценового комплекса относительно указанного второго растворителя составляла 0,05 г/мл. Неметаллоценовый катализатор на носителе был обозначен как CAT-3. Пример 2: получение этиленового гомополимера со сверхвысокой молекулярной массой Полимеризационный автоклав емкостью 5 л продували высокочистым азотом при 100°С в течение 2 часов, и затем провентилировали для снижения давления в нем. Добавили 2,5 л растворителя. Затем основной катализатор (неметаллоценовые катализаторы на носителе от CAT-1 до CAT-3), полученный в Примере 1 согласно настоящему изобретению, и сокатализатор добавили в условиях перемешивания (300 об/мин). Автоклав нагревали до предварительно заданной температуры, непрерывно вводили этилен, и поддерживали постоянные температуру и давление для проведения реакции в течение предварительно заданного времени полимеризации. Введение этилена прекратили, и автоклав провентилировали для снижения в нем давления. Автоклав охладили до комнатной температуры. Полимер вместе с растворителем выгрузили из автоклава. Удалили надосадочный растворитель, и образованный материал высушили и взвесили для получения конечной массы. Конкретные условия реакции суспензионной гомополимеризации этилена показаны в Таблице 1. Основным результатом было получение тем самым полиэтилена сверхвысокой молекулярной массы, что показано в Таблице 2. Обобщение результатов в отношении содержания металлических элементов, зольности и механическх свойств полиэтилена сверхвысокой молекулярной массы, полученного суспензионной полимеризацией этилена, показаны в Таблице 3. Сравнительный Пример 2-1 Этот сравнительный пример был по существу идентичен Примеру 2, за исключением того, что полимеризационный растворитель был заменен на н-гексан как растворитель, полимер имел номер UHMWPE15. Конкретные условия суспензионной гомополимеризации этилена показаны в Таблице 1. Результаты технических характеристик полиэтилена сверхвысокой молекулярной массы, полученного тем самым суспензионной гомополимеризацией этилена, показаны в Таблице 2. Обобщение результатов в отношении содержания металлических элементов, зольности и кристалличности полиэтилена сверхвысокой молекулярной массы, полученного суспензионной полимеризацией этилена, показаны в Таблице 3. Сравнительный Пример 2-2 Этот сравнительный пример был по существу идентичен Примеру 2, за исключением того, что полимеризационный растворитель был заменен на н-гептан как растворитель, полимер имел номер UHMWPE16. Конкретные условия суспензионной гомополимеризации этилена показаны в Таблице 1. Результаты технических характеристик полиэтилена сверхвысокой молекулярной массы, полученного тем самым суспензионной гомополимеризацией этилена, показаны в Таблице 2. Обобщение результатов в отношении содержания металлических элементов, зольности и кристалличности полиэтилена сверхвысокой молекулярной массы, полученного суспензионной полимеризацией этилена, показаны в Таблице 3. Сравнительный Пример 2-3 Этот сравнительный пример был по существу идентичен Примеру 2, за исключением того, что катализатор был заменен на дихлорцирконоцен, нанесенный на носитель из металлоценового катализатора типа силикагеля, использованным сокатализатором был метилалюминоксан, и полимеризацию проводили в течение 6 часов. Было найдено, что активность полимеризации была исключительно низкой (менее 2 кг PE/г Cat), и средневязкостная молекулярная масса полимера составляла менее 60×104 г/моль. Сравнительный Пример 2-4 Этот сравнительный пример был по существу идентичен Примеру 2, за исключением того, что катализатор был заменен на катализатор Циглера-Натта CM-типа (носитель представлял собой магниевое соединение и не содержал кремний, также известный как CMU-катализатор) от фирмы Beijing Auda Division of Sinopec Catalyst Co., Ltd., полимер имел номер UHMWPE17. Конкретные условия суспензионной гомополимеризации этилена показаны в Таблице 1. Результаты технических характеристик полиэтилена сверхвысокой молекулярной массы, полученного тем самым суспензионной гомополимеризацией этилена, показаны в Таблице 2. Обобщение результатов в отношении содержания металлических элементов, зольности и кристалличности полиэтилена сверхвысокой молекулярной массы, полученного суспензионной полимеризацией этилена, показаны в Таблице 3. Таблица 1: Обобщение условий реакций при получении этиленового гомополимера со сверхвысокой молекулярной массой суспензионной гомополимеризацией этилена Таблица 2: Обобщение результатов технических характеристик этиленового гомополимера со сверхвысокой молекулярной массой, полученного суспензионной гомополимеризацией этилена Таблица 3: Обобщение результатов относительно содержания металлических элементов, зольности, температуры плавления и кристалличности этиленового гомополимера со сверхвысокой молекулярной массой, полученного суспензионной гомополимеризацией этилена Из сравнения эффектов, полученных с образцами №№ 1 и 2 в Таблице 1, можно видеть, что активности полимеризации, которые были получены в условиях, что молярные отношения сокатализатора к активному металлу катализатора, необходимого в способе полимеризации, составляли 40 и 100, соответственно, были сравнимыми, что тем самым показывает, что, когда катализатор, представленный настоящим изобретением, был использован в полимеризации олефина, требуемое количество сокатализатора было относительно низким, и поэтому настоящее изобретение могло сократить применяемое количество сокатализатора. Из сравнения образцов №№ 1 и 2 в Таблице 2 можно видеть, что в некоторых других условиях полимеризации увеличением используемого количества сокатализатора можно было бы снизить средневязкостную молекулярную массу полимера. Поэтому с использованием способа получения полиэтилена сверхвысокой молекулярной массы, представленного настоящим изобретением, можно регулировать средневязкостную молекулярную массу и технические характеристики сверхвысокомолекулярного полиэтилена изменением сокатализатора, и долей и применяемым количеством сокатализатора. Как можно видеть из сравнения полученных результатов в Таблицах 1 и 2, повышением давления при полимеризации, повышением температуры полимеризации и увеличением продолжительности полимеризации можно достигать высокой активности полимеризации этилена, тем самым сокращая содержание металлических элементов в полученном полиэтилене сверхвысокой молекулярной массы. Из сравнения полученных эффектов в Таблицах 1 и 2 можно видеть, что согласно настоящему изобретению технические характеристики полученного таким образом полиэтилена сверхвысокой молекулярной массы можно регулировать выбором катализаторов, имеющих различные свойства, при надлежащих условиях суспензионной полимеризации этилена, таких как давление при полимеризации, температура полимеризации, полимеризационный растворитель, длительность полимеризации, сокатализатор, и молярное соотношение сокатализатора. Из сравнения результатов, полученных для образцов № 1 и № 15, № 16, № 17 в Таблицах 1-3, можно видеть, что с использованием способа получения полиэтилена сверхвысокой молекулярной массы согласно настоящему изобретению было очень легко высушивать порошок из суспензии этиленового полимера, полученный после окончания полимеризации. После завершения реакции полимеризации продукт был сразу же отфильтрован, содержание остаточного растворителя во влажном полимере составляло менее 20 вес.%, которое было более низким, чем содержание остаточного растворителя выше 25 вес.% во влажном полимере, полученном с использованием н-гексана или н-гептана в качестве полимеризационного растворителя, что было весьма благоприятным для сокращения времени сушки полиэтиленового материала и экономии расходов на последующую обработку полиэтилена. Кроме того, из Таблиц 2 и 3 можно видеть, что в условиях получения полиэтилена сверхвысокой молекулярной массы суспензионной полимеризацией этилена согласно настоящему изобретению, сравнительно с применением н-гексана или н-гептана в качестве растворителя, сверхвысокомолекулярный полиэтилен, полученный полимеризацией согласно настоящему изобретению, имел высокую объемную плотность, высокую средневязкостную молекулярную массу, низкие уровни содержания элементов (титана, кальция, магния, алюминия, кремния, хлора, и тому подобных), и низкую зольность, и все характеристики, как предел текучести при растяжении, сопротивление разрушению при растяжении, относительное удлинение при разрыве, ударная вязкость и модуль Юнга, полученного тем самым этиленового гомополимера со сверхвысокой молекулярной массой были относительно высокими. В дополнение, на основе полученных эффектов для образцов №№ 10-14 в Таблицах 1-3 можно видеть, что в результате применения способа получения полиэтилена сверхвысокой молекулярной массы согласно настоящему изобретению и использования смешанного алканового растворителя полученный полиэтилен имел более высокую объемную плотность, более высокую средневязкостную молекулярную массу, более низкое содержание элементов (титана, кальция, магния, алюминия, кремния, хлора, и тому подобных), и низкую зольность, и все характеристики, как предел текучести при растяжении, сопротивление разрушению при растяжении, относительное удлинение при разрыве, ударная вязкость и модуль Юнга, полученного тем самым этиленового гомополимера со сверхвысокой молекулярной массой были относительно более высокими. Пример 3. Получение этиленового сополимера со сверхвысокой молекулярной массой Полимеризационный автоклав емкостью 5 л продували высокочистым азотом при 100°С в течение 2 часов, и затем провентилировали для снижения давления в нем. Добавили 2,5 л растворителя. Затем основной катализатор (неметаллоценовые катализаторы на носителе от CAT-1 до CAT-3), полученный в Примере 1 согласно настоящему изобретению, и сокатализатор и сомономер добавили в условиях перемешивания (300 об/мин). Автоклав нагревали до предварительно заданной температуры, непрерывно вводили этилен, и поддерживали постоянные температуру и давление для проведения реакции в течение предварительно заданного времени полимеризации. Введение этилена прекратили, и автоклав провентилировали для снижения в нем давления. Автоклав охладили до комнатной температуры. Полимер вместе с растворителем выгрузили из автоклава. Удалили надосадочный растворитель, и образованный материал высушили и взвесили для получения конечной массы. Конкретные условия реакции суспензионной сополимеризации этилена показаны в Таблице 4. Результаты технических характеристик и свойств при растяжении этиленового сополимера со сверхвысокой молекулярной массой, полученного суспензионной полимеризацией этилена, показаны в Таблице 5. Обобщение результатов в отношении содержания металлических элементов, зольности, температуры плавления и кристалличности этиленового сополимера со сверхвысокой молекулярной массой, полученного суспензионной полимеризацией этилена, показаны в Таблице 6. Сравнительный Пример 3-1 Этот сравнительный пример был по существу идентичен Примеру 3, за исключением того, что полимеризационный растворитель был заменен на н-гексан как растворитель, полимер имел номер UHMWPE35. Конкретные условия реакции суспензионной полимеризации этилена показаны в Таблице 4. Результаты технических характеристик и свойств при растяжении полученного тем самым этиленового сополимера со сверхвысокой молекулярной массой, образованного суспензионной полимеризацией этилена, показаны в Таблице 5. Обобщение результатов в отношении содержания металлических элементов, зольности, температуры плавления и кристалличности этиленового сополимера со сверхвысокой молекулярной массой, полученного суспензионной полимеризацией этилена, показаны в Таблице 6. Сравнительный Пример 3-2 Этот сравнительный пример был по существу идентичен Примеру 3, за исключением того, что полимеризационный растворитель был заменен на н-гептан как растворитель, полимер имел номер UHMWPE36. Конкретные условия реакции суспензионной полимеризации этилена показаны в Таблице 4. Результаты технических характеристик и свойств при растяжении полученного тем самым этиленового сополимера со сверхвысокой молекулярной массой, образованного суспензионной полимеризацией этилена, показаны в Таблице 5. Обобщение результатов в отношении содержания металлических элементов, зольности, температуры плавления и кристалличности этиленового сополимера со сверхвысокой молекулярной массой, полученного суспензионной полимеризацией этилена, показаны в Таблице 6. Сравнительный Пример 3-3 Этот сравнительный пример был по существу идентичен Примеру 3, за исключением того, что катализатор был заменен на дихлорцирконоцен, нанесенный на носитель из металлоценового катализатора типа силикагеля, использованным сокатализатором был метилалюминоксан, и полимеризацию проводили в течение 6 часов. Было найдено, что реакционную суспензию получить не удалось, то есть, реакция не протекала. Сравнительный Пример 3-4 Этот сравнительный пример был по существу идентичен Примеру 3, за исключением того, что катализатор был заменен на катализатор Циглера-Натта CM-типа (носитель представлял собой магниевое соединение и не содержал кремний, также известный как CMU-катализатор) от фирмы Beijing Auda Division of Sinopec Catalyst Co., Ltd., полимер имел номер UHMWPE37. Конкретные условия реакции суспензионной полимеризации этилена показаны в Таблице 4. Результаты технических характеристик и свойств при растяжении полученного тем самым этиленового сополимера со сверхвысокой молекулярной массой, образованного суспензионной полимеризацией этилена, показаны в Таблице 5. Обобщение результатов в отношении содержания металлических элементов, зольности, температуры плавления и кристалличности этиленового сополимера со сверхвысокой молекулярной массой, полученного суспензионной полимеризацией этилена, показаны в Таблице 6. Таблица 4: Обобщение условий реакции при получении этиленового сополимера со сверхвысокой молекулярной массой суспензионной полимеризацией этилена Таблица 5: Обобщение результатов технических характеристик и свойств при растяжении этиленового сополимера со сверхвысокой молекулярной массой, полученного суспензионной полимеризацией этилена Таблица 6: Обобщение результатов относительно содержания металлических элементов, зольности, температуры плавления и кристалличности этиленового сополимера со сверхвысокой молекулярной массой, полученного суспензионной полимеризацией этилена Из сравнения полученных эффектов с образцами №№ 1 и 2 в Таблице 4 можно видеть, что активности полимеризации, которые были получены в условиях, что молярные отношения сокатализатора к активному металлу катализатора, необходимого в способе полимеризации, составляли 40 и 100, соответственно, были сравнимыми, что тем самым показывает, что, когда катализатор, представленный настоящим изобретением, был использован в полимеризации олефина, требуемое количество сокатализатора было относительно низким, и поэтому настоящее изобретение могло сократить применяемое количество сокатализатора. Из сравнения образцов №№ 1 и 2 в Таблице 5 можно видеть, что в некоторых других условиях полимеризации увеличением используемого количества сокатализатора можно было бы снизить средневязкостную молекулярную массу полимера. Поэтому с использованием способа получения этиленового сополимера со сверхвысокой средневязкостной молекулярной массой, представленного настоящим изобретением, можно регулировать средневязкостную молекулярную массу и технические характеристики полиэтилена со сверхвысокой средневязкостной молекулярной массой изменением сокатализатора, и долей и применяемым количеством сокатализатора. Из сравнения полученных результатов в Таблицах 4 и 5 можно видеть, что повышением давления при полимеризации, повышением температуры полимеризации и увеличением продолжительности полимеризации можно достигать высокой активности в суспензиионной полимеризации этилена, тем самым сокращая содержание металлических элементов в полученном полиэтилене со сверхвысокой средневязкостной молекулярной массой. Из сравнения полученных эффектов в Таблицах 4 и 5 можно видеть, что согласно настоящему изобретению технические характеристики полученного таким образом полиэтилена со сверхвысокой средневязкостной молекулярной массой можно регулировать выбором катализаторов, имеющих различные свойства, при надлежащих условиях суспензионной полимеризации этилена, таких как давление при полимеризации, температура полимеризации, полимеризационный растворитель, длительность полимеризации, сокатализатор, и молярное соотношение сокатализатора. Из сравнения результатов, полученных для образцов № 1 и № 15, № 16, № 17 в Таблицах 4-6, можно видеть, что применением способа получения этиленового сополимера со сверхвысокой молекулярной средневязкостной массой согласно настоящему изобретению было очень легко высушивать порошок из суспензии этиленового полимера, полученный после окончания полимеризации. После завершения реакции полимеризации продукт был сразу же отфильтрован, содержание остаточного растворителя во влажном полимере составляло менее 20 вес.%, которое было более низким, чем содержание остаточного растворителя выше 25 вес.% во влажном полимере, полученном с использованием н-гексана или н-гептана в качестве полимеризационного растворителя, что было весьма благоприятным для сокращения времени сушки полиэтиленового материала и экономии расходов на последующую обработку полиэтилена. Кроме того, из Таблицы 5 можно видеть, что в условиях получения полиэтилена сверхвысокой молекулярной массы суспензионной полимеризацией этилена согласно настоящему изобретению, сравнительно с применением н-гексана или н-гептана в качестве растворителя, сверхвысокомолекулярный полиэтилен, полученный полимеризацией согласно настоящему изобретению, имел высокую объемную плотность, высокую средневязкостную молекулярную массу, низкие уровни содержания элементов (титана, кальция, магния, алюминия, кремния, хлора, и тому подобных), и низкую зольность, и модуль упругости при растяжении полученного этим путем полученного тем самым этиленового сополимера со сверхвысокой молекулярной массой был относительно высоким. В дополнение, на основе полученных эффектов из образцов №№ 10-14 в Таблицах 4-6 можно видеть, что применением способа получения этиленового сополимера со сверхвысокой средневязкостной молекулярной массой согласно настоящему изобретению и использованием смешанного алканового растворителя полученный полиэтилен имел более высокую объемную плотность, более высокую средневязкостную молекулярную массу, более низкие уровни содержания элементов (титана, кальция, магния, алюминия, кремния, хлора, и тому подобных), и более низкую зольность, и модуль упругости при растяжении полученного тем самым этиленового сополимера со сверхвысокой молекулярной массой был более высоким. Хотя варианты осуществления настоящего изобретения были подробно описаны со ссылкой на примеры, следует отметить, что область настоящего изобретения не ограничивается этими вариантами осуществления, но определяется пунктами прилагаемой формулы изобретения. Квалифицированные специалисты в этой области технологии могут надлежащим образом модифицировать варианты осуществления без выхода за пределы технического смысла и области настоящего изобретения, и очевидно, что модифицированные варианты осуществления также включены в область настоящего изобретения.
и
(А) (В) 

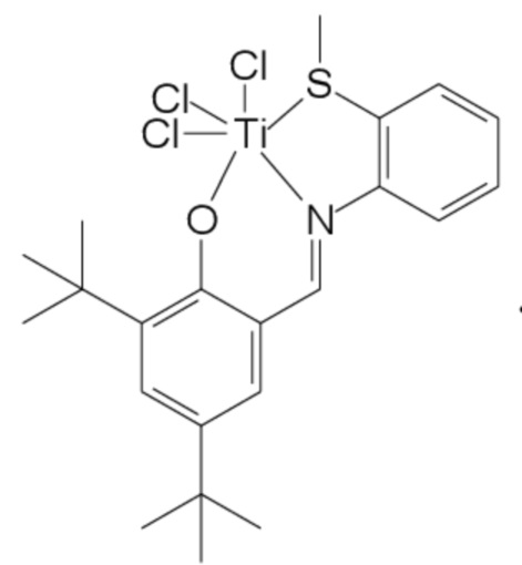
(А-1) (А-2) 

(А-3) (А-4) 

(В-1) (В-2)
и
(В-3) (В-4)
, -NR23R24, -N(O)R25R26,
, -PR28R29, -P(O)R30OR31, сульфонильной или сульфинильной групп, или -Se(O)R39, причем каждый из N, O, S, Se, и P представляет собой координирующий атом; B выбирают из атома азота, азотсодержащей группы, содержащей фосфор группы, или C1-C30-углеводородной группы; D выбирают из атома азота, атома кислорода, атома серы, атома селена, атома фосфора, азотсодержащей группы, содержащей фосфор группы, C1-C30-углеводородной группы, сульфонильной или сульфинильной групп, причем каждый из N, O, S, Se, и P представляет собой координирующий атом; E выбирают из азотсодержащей группы, кислородсодержащей группы, содержащей серу группы, содержащей селен группы, содержащей фосфор группы, или цианогруппы (-CN), причем каждый из N, O, S, Se, и P представляет собой координирующий атом; F выбирают из атома азота, азотсодержащей группы, атома кислорода, атома серы, атома селена, или из содержащей фосфор группы, причем каждый из N, O, S, Se, и P представляет собой координирующий атом; G выбирают из C1-C30-углеводородной группы, замещенной C1-C30-углеводородной группы, или инертной функциональной группы; Y выбирают из атома кислорода, азотсодержащей группы, кислородсодержащей группы, содержащей серу группы, содержащей селен группы или содержащей фосфор группы, причем каждый из N, O, S, Se, и P представляет собой координирующий атом; Z выбирают из азотсодержащей группы, кислородсодержащей группы, содержащей серу группы, содержащей селен группы, содержащей фосфор группы или цианогруппы (-CN), например, могут быть перечислены -NR23R24, -N(O)R25R26, -PR28R29, -P(O)R30R31, -OR34, -SR35, -S(O)R36, -SeR38 или -Se(O)R39, причем каждый из N, O, S, Se, и P представляет собой координирующий атом; символ «→» представляет одинарную связь или двойную связь; символ «-»представляет ковалентную связь или ионную связь; «---» представляет координационную связь, ковалентную связь или ионную связь.
, -NR23R24, -T-NR23R24 или -N(O)R25R26. Указанную фосфорсодержащую группу выбирают из
, -PR28R29, -P(O)R30R31 или -P(O)R32(OR33). Указанную кислородсодержащую группу выбирают из гидроксигруппы, -OR34 и -T-OR34. Указанную содержащую серу группу выбирают из -SR35, -T-SR35, -S(O)R36 или -T-SO2R37. Указанную содержащую селен группу выбирают из -SeR38, -T-SeR38, -Se(O)R39 или -T-Se(O)R39. Указанную группу T выбирают из C1-C30-углеводородной группы или замещенной C1-C30-углеводородной группы. Указанную группу R37 выбирают из атома водорода, C1-C30-углеводородной группы или замещенной C1-C30-углеводородной группы.


,















,
,











и 








и 




,и
, и

.
.
.Номер Основной катализатор Сокатализатор Молярное отношение сокатализатора к активному металлу основного катализатора Полимеризационный растворитель Давление при полимеризации (МПа) Температура полимеризации (°С) Время полимеризации (часов) Активность полимеризации (104×г PE/г Cat) Номер полимера 1 CAT-1 триэтил-алюминий 40 н-пентан 1,9 70 6 4,7 UHMWPE1 2 CAT-1 триэтил-алюминий 100 н-пентан 1,9 70 6 4,9 UHMWPE2 3 CAT-1 метил-алюмин-оксан 40 н-пентан 1,9 75 6 5,3 UHMWPE3 4 CAT-1 триэтил-алюминий 40 Смешанный алкановый растворитель, состоящий из н-пентана и изопентана, согласно молярному соотношению 1:1, и имеющий давление насыщенного пара при 20°C 66,6 кПа 1,0 83 8 5,5 UHMWPE4 5 CAT-1 монохлор-диэтил-алюминий 70 циклопентан 1,9 80 5 7,1 UHMWPE5 6 CAT-1 триэтил-алюминий 40 Смешанный алкановый растворитель, состоящий из н-пентана, изопентана и циклопентана, согласно молярному соотношению 1:1:1, и имеющий давление насыщенного пара при 20°C 55,93 кПа 0,5 70 10 4,5 UHMWPE6 7 CAT-2 триэтил-алюминий 40 изопентан 2,8 60 4 5,2 UHMWPE7 8 CAT-2 дихлор-этилалюминий 50 Смешанный алкановый растворитель, состоящий из н-пентана и изопентана, согласно молярному соотношению 1:1, и имеющий давление насыщенного пара при 20°C 66,6 кПа 2,6 65 4 4,3 UHMWPE8 9 CAT-3 три-изо-бутил-алюминий 60 неопентан 2,2 85 3 6,0 UHMWPE9 10 CAT-1 триэтил-алюминий 40 Смешанный алкановый растворитель, состоящий из н-пентана и циклопентана, согласно молярному соотношению 5:1, и имеющий давление насыщенного пара при 20°C 52,85 кПа 1,9 70 6 5,4 UHMWPE10 11 CAT-1 триэтил-алюминий 40 Смешанный алкановый растворитель, состоящий из неопентана и изопентана, согласно молярному соотношению 0,5:1, и имеющий давление насыщенного пара при 20°C 100,01 кПа 1,9 70 6 5,1 UHMWPE11 12 CAT-1 триэтил-алюминий 40 Смешанный алкановый растворитель, состоящий из изопентана и циклопентана, согласно молярному соотношению 8:1, и имеющий давление насыщенного пара при 20°C 72,02 кПа 1,9 70 6 5,2 UHMWPE12 13 CAT-2 триэтил-алюминий 40 Смешанный алкановый растворитель, состоящий из неопентана и н-пентана, согласно молярному соотношению 0,4:1, и имеющий давление насыщенного пара при 20°C 82,25 кПа 2,8 60 4 5,5 UHMWPE13 14 CAT-3 триизо-бутил-алюминий 60 Смешанный алкановый растворитель, состоящий из неопентана, изопентана и н-пентана, согласно молярному соотношению 0,5:0,5:1, и имеющий давление насыщенного пара при 20°C 84,08 кПа 2,2 85 3 6,4 UHMWPE14 15 CAT-1 триэтил-алюминий 40 н-гексан 1,9 70 6 4,2 UHMWPE15 16 CAT-1 триэтил-алюминий 40 н-гептан 1,9 70 6 4,5 UHMWPE16 17 CM триэтил-алюминий 40 н-пентан 1,9 70 6 3,7 UHMWPE17 Номер Номер полимера Содержание растворителя во влажном материале (вес.%) Средневязкостная молекулярная масса (104 г/моль) Объемная плотность (г/см3) Абсолютная плотность полимера (г/см3) Предел текучести при растяжении (МПа) Сопротивление разрушению при растяжении (МПа) Относительное удлинение при разрыве (%) Ударная вязкость (кДж/м2) Модуль Юнга (МПа) 1 UHMWPE1 17,4 670 0,45 0,922 25,3 39,5 469,9 82,5 412,7 2 UHMWPE2 17,0 620 0,43 0,923 24,5 38,2 453,3 81,3 416,7 3 UHMWPE3 15,5 945 0,44 0,918 26,3 44,7 380,5 85,4 405,5 4 UHMWPE4 18,8 265 0,42 0,937 22,6 34,7 407,1 76,4 421,0 5 UHMWPE5 16,2 535 0,43 0,933 24,2 36,7 427,5 74,8 430,3 6 UHMWPE6 12,7 735 0,42 0,920 26,0 42,4 375,4 91,3 369,2 7 UHMWPE7 15,9 830 0,40 0,921 26,4 43,7 438,3 88,5 400,2 8 UHMWPE8 17,4 515 0,45 0,932 24,0 36,4 433,8 83,4 405,4 9 UHMWPE9 17,5 170 0,40 0,940 22,8 33,4 440,5 104,3 372,3 10 UHMWPE10 17,3 705 0,45 0,920 25,7 41,4 480,3 85,2 418,3 11 UHMWPE11 17,0 685 0,45 0,920 25,4 40,1 475,5 84,3 417,5 12 UHMWPE12 17,2 690 0,45 0,920 25,5 40,6 478,2 83,7 415,6 13 UHMWPE13 15,5 850 0,42 0,920 27,0 44,4 449,3 91,0 405,6 14 UHMWPE14 16,9 195 0,40 0,938 23,0 33,8 450,2 107,3 380,5 15 UHMWPE15 25,7 470 0,39 0,935 20,4 30,5 325,4 64,3 276,3 16 UHMWPE16 29,4 425 0,38 0,936 21,5 31,3 314,3 67,5 283,5 17 UHMWPE17 18,5 385 0,39 0,938 21,8 32,3 335,4 74,3 322,7 Номер Номер полимера Содержание титана (млн-1) Содержание кальция (млн-1) Содержание магния (млн-1) Содержание алюминия (млн-1) Содержание хлора (млн-1) Содержание кремния (млн-1) Зольность (млн-1) Температура плавления (°C) Кристалличность (%) 1 UHMWPE1 0,50 1,61 1,47 12,0 12,4 2,3 75 145,4 65,1 2 UHMWPE2 0,49 1,59 1,45 16,7 16,3 2,1 70 145,0 63,0 3 UHMWPE3 0,45 1,52 1,34 13,2 14,5 1,9 64 148,5 64,4 4 UHMWPE4 0,44 1,50 1,31 13,0 33,3 1,8 61 142,3 67,5 5 UHMWPE5 0,38 0,77 1,07 14,8 19,4 1,5 50 144,8 47,5 6 UHMWPE6 0,52 1,65 1,53 12,4 15,5 2,4 80 146,2 46,3 7 UHMWPE7 0,42 1,48 1,28 13,7 25,4 1,7 60 147,2 51,4 8 UHMWPE8 0,62 1,25 1,64 11,5 22,7 2,5 77 145,3 62,5 9 UHMWPE9 0,85 1,82 1,22 14,3 23,5 1,6 68 143,8 69,3 10 UHMWPE10 0,48 1,55 1,42 11,5 12,0 2,2 72 145,5 64,7 11 UHMWPE11 0,46 1,53 1,40 11,2 11,4 2,0 68 145,7 64,5 12 UHMWPE12 0,49 1,58 1,45 11,7 11,7 2,1 70 145,6 65,0 13 UHMWPE13 0,40 1,44 1,24 13,5 25,8 1,6 58 147,5 51,0 14 UHMWPE14 0,83 1,79 1,20 14,1 24,0 1,5 62 144,3 68,4 15 UHMWPE15 1,52 11,74 11,54 50,5 75,4 3,8 252 140,2 72,3 16 UHMWPE16 1,47 16,62 13,27 38,3 68,3 3,0 217 139,5 71,4 17 UHMWPE17 1,32 2,54 5,54 26,1 43,7 0,5 178 141,6 68,3 





Номер Номер полимера Содержание растворителя во влажном материале (вес.%) Средневязкостная молекулярная масса (104 г/моль) Молярная степень внедрения сомономера (%) Объемная плотность полимера (г/см3) Абсолютная плотность полимера (г/см3) Модуль упругости при растяжении (МПа) 1 UHMWPE21 18,7 640 0,15 0,46 0,922 323 2 UHMWPE22 18,3 600 0,14 0,45 0,923 310 3 UHMWPE23 16,8 770 0,24 0,47 0,909 344 4 UHMWPE24 17,2 230 1,54 0,44 0,906 304 5 UHMWPE25 17,1 510 1,47 0,42 0,908 335 6 UHMWPE26 14,7 680 0,52 0,41 0,910 372 7 UHMWPE27 16,3 762 0,47 0,41 0,913 364 8 UHMWPE28 19,3 455 0,35 0,43 0,935 285 9 UHMWPE29 18,4 155 1,77 0,44 0,938 325 10 UHMWPE30 18,2 675 0,19 0,47 0,920 347 11 UHMWPE31 17,5 650 0,17 0,47 0,921 338 12 UHMWPE32 18,0 645 0,17 0,47 0,921 330 13 UHMWPE33 16,1 785 0,51 0,47 0,912 374 14 UHMWPE34 18,2 170 1,92 0,47 0,937 332 15 UHMWPE35 25,4 380 0,05 0,39 0,932 227 16 UHMWPE36 30,3 365 0,03 0,38 0,934 205 17 UHMWPE37 19,6 330 0,06 0,40 0,937 258 Номер Номер полимера Содержание титана (млн-1) Содержание кальция (млн-1) Содержание магния (млн-1) Содержание алюминия (млн-1) Содержание хлора (млн-1) Содержание кремния (млн-1) Зольность (млн-1) Температура плавления (°C) Кристалличность (%) 1 UHMWPE21 0,50 1,61 1,47 12,0 11,5 2,0 71 146,3 64,5 2 UHMWPE22 0,49 1,59 1,45 12,7 15,2 1,8 70 145,6 63,0 3 UHMWPE23 0,45 1,52 1,34 13,2 13,6 1,5 68 148,8 64,4 4 UHMWPE24 0,44 1,50 1,31 13,0 30,4 1,5 65 145,4 61,5 5 UHMWPE25 0,38 0,77 1,07 14,8 17,4 1,2 62 145,2 47,5 6 UHMWPE26 0,52 1,65 1,53 12,4 12,4 2,1 75 146,6 46,3 7 UHMWPE27 0,42 1,48 1,28 13,7 20,3 1,5 62 147,3 62,5 8 UHMWPE28 0,35 0,62 1,01 15,2 22,2 1,3 64 144,4 57,4 9 UHMWPE29 0,30 0,55 0,94 13,4 29,0 1,6 57 143,2 74,2 10 UHMWPE30 0,46 1,50 1,40 11,2 10,8 1,8 65 147,2 63,1 11 UHMWPE31 0,48 1,57 1,45 11,6 11,0 1,9 67 146,7 64,0 12 UHMWPE32 0,48 1,58 1,44 11,7 11,2 1,9 68 146,9 64,2 13 UHMWPE33 0,40 1,42 1,23 13,0 20,8 1,4 60 147,7 62,2 14 UHMWPE34 0,29 0,52 0,90 13,2 29,7 1,4 55 143,9 74,0 15 UHMWPE35 3,15 15,54 57,4 45,5 75,4 7,4 237 142,2 71,4 16 UHMWPE36 3,64 17,27 42,8 47,3 74,7 8,2 220 142,5 72,3 17 UHMWPE37 1,45 2,28 8,3 28,0 41,5 0,5 164 139,2 67,5