Изобретение относится к средствам квантового распределения ключей с недоверенным центральным узлом. Технический результат заключается в повышении устойчивости системы квантового распределения ключей к атакам на реализацию. Заявленный технический результат достигается за счет реализации системы квантового распределения ключей с недоверенным центральным узлом, которая содержит два передающих блока, связанных оптоволоконной связью с приемным блоком, в которой каждый передающий блок содержит источник лазерного излучения, генерирующий импульсы в режиме переключения усиления, поступающие на блок кодирования кубит, кодирующий квантовую информацию в разности фаз и/или во времени прихода лазерных импульсов и/или в поляризации оптических импульсов, которые затем передаются в оптический аттенюатор, выполняющий их ослабление до квазиоднофотонного уровня. При этом сигналы из каждого передающего блока поступают в недоверенный центральный узел, содержащий светоделитель, который выполняет запутывание полученных сигналов квантовых состояний; два детектора одиночных фотонов, выполняющих регистрацию поступающих сигналов от светоделителя. 2 н. и 6 з.п. ф-лы, 13 ил.
1. Система квантового распределения ключей (КРК) с недоверенным центральным узлом (НЦУ), содержащая два передающих блока, связанные оптоволоконной связью с приемным блоком, в которой каждый передающий блок содержит источник лазерного излучения, генерирующий импульсы в режиме переключения усиления, поступающие на блок кодирования кубит, кодирующий квантовую информацию в разности фаз и/или во времени прихода лазерных импульсов и/или в поляризации оптических импульсов, которые затем передаются в оптический аттенюатор, выполняющий их ослабление до квазиоднофотонного уровня; при этом сигналы из каждого передающего блока поступают в недоверенный центральный узел, содержащий светоделитель, который выполняет запутывание полученных ослабленных лазерных импульсов (квантовых состояний); два детектора одиночных фотонов, выполняющих регистрацию поступающих сигналов от светоделителя. 2. Система по п.1, характеризующаяся тем, что дополнительно содержит оптический полосовой фильтр, выполненный с возможностью обрезать высокочастотную часть спектра лазерных импульсов, связанную с чирпом. 3. Система по п.2, характеризующаяся тем, что оптический полосовой фильтр установлен между источником лазерного излучения и блоком кодирования кубит, или между блоком кодирования кубит и оптическим аттенюатором. 4. Система по п.3, характеризующаяся тем, что дополнительно содержит модулятор интенсивности, выполненный с возможностью обрезки переднего фронта импульса. 5. Система по п.4, характеризующаяся тем, что модулятор интенсивности установлен между источником лазерного излучения и блоком кодирования кубит, или между блоком кодирования кубит и оптическим аттенюатором. 6. Способ приготовления квантовых состояний для протокола передачи данных в системе КРК НЦУ по п.1, содержащий этапы, на которых: на передающих блоках с помощью источника лазерного излучения генерируют импульсы в режиме переключения усиления, поступающие на блок кодирования кубит, кодирующий квантовую информацию в разности фаз и/или во времени прихода лазерных импульсов и/или в поляризации оптических импульсов; осуществляют передачу упомянутых импульсов на оптический аттенюатор, выполняющий их ослабление до квазиоднофотонного уровня; при этом сигналы из каждого передающего блока передаются в недоверенный центральный узел, содержащий: светоделитель, который выполняет запутывание полученных сигналов квантовых состояний; два детектора одиночных фотонов, выполняющих регистрацию поступающих сигналов от светоделителя. 7. Способ по п.6, характеризующийся тем, что в каждом передающем блоке дополнительно установлен оптический полосовой фильтр, выполненный с возможностью обрезать высокочастотную часть спектра лазерных импульсов, связанную с чирпом. 8. Способ по п.6, характеризующийся тем, что в каждом передающем блоке дополнительно установлен модулятор интенсивности, выполненный с возможностью обрезки переднего фронта импульса.
ОБЛАСТЬ ТЕХНИКИ [0001] Настоящее техническое решение относится к области квантового распределения ключей с не доверенным центральным узлом. ПРЕДШЕСТВУЮЩИЙ УРОВЕНЬ ТЕХНИКИ [0002] Интерференция Хонга-У-Манделя (ХУМ), которая представляет собой группировку встречающихся на светоделителе двух неразличимых фотонов, широко применяется для прецизионных измерений, анализа квантовых состояний, квантовых коммуникаций и квантовых вычислений [1]. В квантовых коммуникациях интерференция ХУМ применяется в протоколе квантового распределения ключей с недоверенным узлом (КРК НЦУ), называемом также детектор-независимым КРК (ДН-КРК или англ. MDI-QKD). [0003] Поскольку скорость распределения квантового ключа зависит от видности интерференции ХУМ, при проектировании системы КРК НЦУ особое внимание уделяется качеству приготовления квантовых состояний. В практических системах КРК вместо источников одиночных фотонов зачастую используются ослабленные когерентные состояния (лазерные импульсы) вместо одиночных фотонов. На качество интерференции лазерных импульсов влияют различные параметры лазерных источников, такие как разность между несущими частотами, джиттер, частотное заполнение импульса (чирп) и др. Даже при условии выбора лазеров из одной партии и установке идентичных параметров, лазеры могут иметь отличающиеся внутренние характеристики, например коэффициент Генри, коэффициент нелинейности усиления и др. Под термином «чирп» следует понимать частотную модуляцию, т.е. эффект изменения несущей частоты сигнала со временем. Таким образом, достижение качественной интерференции в общем случае является непростой технической задачей. [0004] Наиболее распространенным подходом, позволяющим повысить качество интерференции ХУМ, является использование лазеров в режиме непрерывного излучения. В этом случае из непрерывного пучка при помощи оптического модулятора интенсивности вырезаются импульсы необходимой формы, которые затем посылаются на НЦУ. Достоинством данного метода является минимизация переходных процессов в лазерных импульсах, что положительно сказывается на видности интерференционной картины. Однако в этом случае лазерные импульсы будут скоррелированны по фазе, поэтому необходима фазовая рандомизация, для которой дополнительно требуется фазовый модулятор, подключенный к генератору случайных чисел (ГСЧ). [0005] В данной работе описывается подход, в котором используется пассивная рандомизация фазы (т.е. без использования фазового модулятора), но при этом обеспечивается высокое качество интерференции. Представлено теоретическое описание предлагаемого метода и экспериментальное сравнение с существующим методом на основе лазера с непрерывным излучением. [0006] При использовании непрерывного лазерного излучения с последующим вырезанием из лазерного пучка импульсов отсутствует чирп, а сами импульсы не содержат релаксационных пичков, что позволяет получить хорошую интерференцию с высоким значением видности. Однако, соседние квантовые состояния, оказываются в этом случае скоррелированными по фазе. Противник может использовать это в качестве лазейки, чтобы скомпрометировать систему КРК, что приводит к необходимости принудительной фазовой рандомизации, достигающейся за счет использования в схеме фазового модулятора, что усложняет оптическую схему передающих блоков, а также требует дополнительного количества случайности, что отрицательно сказывается на секретности, стабильности работы системы КРК, и снижает ее устойчивость к атакам. СУЩНОСТЬ ИЗОБРЕТЕНИЯ [0007] Заявленное изобретение направлено на решение технической проблемы, присущей известным подходам из уровня техники. [0008] Технический результат заключается в повышении устойчивости системы КРК к атакам на реализацию. [0009] Другим техническим результатом является упрощение схемы КРК за счет исключения из оптической схемы дополнительных модуляторов интенсивности и фазы. [0010] Заявленный технический результат достигается за счет реализации системы квантового распределения ключей с недоверенным центральным узлом, при этом система содержит два передающих блока, связанных оптоволоконной связью с приемным блоком, в которой каждый передающий блок содержит источник лазерного излучения, генерирующий импульсы в режиме переключения усиления, поступающие на блок кодирования кубит, кодирующий квантовую информацию в разности фаз и/или во времени прихода лазерных импульсов и/или в поляризации оптических импульсов, которые затем передаются в оптический аттенюатор, выполняющий их ослабление до квазиоднофотонного уровня; при этом сигналы из каждого передающего блока поступают в недоверенный центральный узел, содержащий светоделитель, который выполняет запутывание полученных сигналов квантовых состояний; два детектора одиночных фотонов, выполняющих регистрацию поступающих сигналов от светоделителя. [0011] В одном из частных вариантов реализации система дополнительно содержит оптический полосовой фильтр, выполненный с возможностью обрезать высокочастотную часть спектра лазерных импульсов, связанную с чирпом. [0012] В другом частном варианте реализации системы оптический полосовой фильтр установлен между источником лазерного излучения и блоком кодирования кубит, или между блоком кодирования кубит и оптическим аттенюатором. [0013] В другом частном варианте реализации система дополнительно содержит модулятор интенсивности, выполненный с возможностью обрезки переднего фронта импульса. [0014] В другом частном варианте реализации системы модулятор интенсивности установлен между источником лазерного излучения и блоком кодирования кубит, или между блоком кодирования кубит и оптическим аттенюатором. [0015] Заявленный технический результат достигается также за счет выполнения способа приготовления квантовых состояний для протокола передачи данных в вышеописанной системе квантового распределения ключей, при этом способ содержит этапы, на которых: на передающих блоках с помощью источника лазерного излучения генерируют импульсы в режиме переключения усиления, поступающие на блок кодирования кубит, кодирующий квантовую информацию в разности фаз и/или во времени прихода лазерных импульсов и/или в поляризации оптических импульсов; передачу упомянутых импульсов на оптический аттенюатор, выполняющий их ослабление до квазиоднофотонного уровня; при этом сигналы из каждого передающего блока передаются в недоверенный центральный узел, содержащий: светоделитель, который выполняет запутывание полученных ослабленных лазерных импульсов (квантовых состояний); два детектора одиночных фотонов, выполняющих регистрацию поступающих сигналов от светоделителя. [0016] В одном из частных вариантов реализации способа в каждом передающем блоке дополнительно установлен оптический полосовой фильтр, выполненный с возможностью обрезать высокочастотную часть спектра лазерных импульсов, связанную с чирпом. [0017] В другом частном варианте реализации способа в каждом передающем блоке дополнительно установлен модулятор интенсивности, выполненный с возможностью обрезать передний фронт импульса. КРАТКОЕ ОПИСАНИЕ ЧЕРТЕЖЕЙ [0018] Прилагаемые чертежи, которые включены в данное описание для обеспечения дополнительного понимания сущности заявленного решения и составляют его часть, иллюстрируют варианты реализации и вместе с описанием служат для пояснения принципов осуществления и работы заявленного решения. На чертежах: Цифровые обозначения: 1,2- детекторы одиночных фотонов, 3 - светоделитель, 4,5-передающие блоки, 6 - недоверенный центральный узел, 7 - лазер, 8 - модулятор интенсивности, 9 - блок кодирования кубит, 10 - фазовый модулятор, 11 - регулируемый оптический аттенюатор, 12 - квантовый канал, 13 - оптический полосовой фильтр. [0019] На Фиг. 1 показана оптическая схема квантового распределения ключей с недоверенным центральным узлом. [0020] На Фиг. 2 показаны: (слева) схема проведения эксперимента по интерференции независимых лазерных импульсов; (справа) зависимость числа двойных срабатываний от величины относительного временного сдвига лазерных импульсов Δt. [0021] На Фиг. 3 показана зависимость видности интерференции независимых когерентных состояний от произведения где μη - эффективность детекторов одиночных фотонов, μ - среднее число фотонов в импульсе. [0022] На Фиг. 4 показаны симуляции лазерных импульсов от двух разных лазеров с отличными коэффициентами уширения линии αх=4 и α2=5. Для сравнения приведены импульсы с оптическим полосовым фильтром с полосой пропускания 12.5 ГГц и импульсы без фильтрации. [0023] На Фиг. 5 показаны спектры импульсов, приведенных на Фиг. 4. [0024] На Фиг. 6 показаны симуляции лазерных импульсов от двух разных лазеров с отличными коэффициентами сжатия усиления, которые полагались равными γР1=20 W-1 и γР2=30 W-1. Для сравнения приведены импульсы с оптическим полосовым фильтром с полосой пропускания 12.5 ГГц и импульсы без фильтрации. [0025] На Фиг. 7 показаны спектры импульсов, приведенных на Фиг. 6. [0026] На Фиг. 8 показаны зависимости корреляционной функции второго порядка g(2) 0) от разницы коэффициентов уширения линии Δα между двумя лазерами при различных значениях джиттера. [0027] На Фиг. 9 показана оптическая схема квантового распределения ключей с недоверенным центральным узлом. [0028] На Фиг. 10 показана оптическая схема передающего блока, соответствующая Схеме I. [0029] На Фиг. 11 показана оптическая схема передающего блока, соответствующая Схеме II. [0030] На Фиг. 12 показана оптическая схема передающего блока, соответствующая Схеме III. [0031] На Фиг. 13 показана оптическая схема передающего блока, соответствующая Схеме IV. ОСУЩЕСТВЛЕНИЕ ИЗОБРЕТЕНИЯ [0032] Видность интерференции Хонга-У-Манделя [0033] Схематическое изображение системы КРК НЦУ показано на Фиг. 1. В передающих блоках (ПБ) 4 и 5 независимым образом приготавливаются квантовые состояния (ослабленные лазерные импульсы), которые затем отправляются на НЦУ (6). Для определенности будем считать, что используется фазо-временное кодирование. В НЦУ квантовые состояния встречаются на светоделителе 3, где они запутываются. Если квантовые состояния на ПБ были приготовлены в одинаковых базисах и при этом одновременно сработали оба детектора одиночных фотонов 1 и 2, это можно интерпретировать как успешное измерение белловского состояния Ψ-, что, в свою очередь, означает, что ПБ отправляли на НЦУ разные биты. [0034] Одним из основных параметров, характеризующих качество интерференции независимых слабых когерентных состояний на светоделителе, является видность V. Схема проведения эксперимента по интерференции независимых лазерных импульсов показана на Фиг. 2 слева, где импульсы, имеющие одинаковую поляризацию, одну и ту же несущую частоту и сходные временные профили (которые, однако, могут быть смещены по времени на Δt). сводятся на светоделителе (СД) 50:50, выходные плечи которого направлены на два независимых детектора одиночных фотонов (ДОФ). В терминах «щелчков» детекторов видность можно определить, как разницу между количеством двойных срабатываний при «наихудшем» (N) и «наилучшем» (n) перекрывании временных профилей импульсов: (Под «двойным срабатыванием» мы понимаем одновременное срабатывание детекторов 1 и 2.) Примерная зависимость числа двойных срабатываний от величины относительного временного сдвига лазерных импульсов Δt показана на Фиг. 2 справа. [0035] Будем считать, что приходящие на светоделитель (см. Фиг. 2) лазерные импульсы с хорошей степенью точности соответствуют когерентным состояниям |α⎬ и |β⎬, которые могут быть записаны с использованием формализма лестничных операторов следующим образом: где операторы рождения и уничтожения â+ ,â соответствуют входной моде а светоделителя, a где |00〉ab - двухмодовое вакуумное состояние, причем экспоненциальный оператор рождения когерентного состояния [0036] Преобразование на светоделителе лестничных операторов, соответствующих модам а и b, можно записать в следующем виде: где операторы ĉ, ĉ+ и где Поскольку Аналогичное соотношение получим для следующих операторов: а именно Таким образом, действие светоделителя на входные когерентные состояния |α〉 и |β〉 (при условии идеального перекрывания их временных профилей, т.е. при Δt=0) заключается в создании новых когерентных состояний [0037] Детекторы в портах светоделителя с и d (Фиг. 2) сработают, когда в данный порт попадает один или более фотонов (так как современные детекторы одиночных фотонов не могут различать количество фотонов), причем, поскольку эффективность реальных детекторов отличается от 100%, то при наличии l фотонов в порту с и т фотонов в порту d, т.е. для состояния | lm〉cd, можно определить 4 возможных случая: 1) ни один из детекторов не сработал; 2) щелчок в порту с; 3) щелчок в порту d; 4) щелкнули оба детектора. Этим событиям можно приписать следующие вероятности: где ηс и ηd - эффективности детекторов в портах с и d, соответственно. Для того чтобы определить вероятность двойного щелчка для случая, когда входные когерентные состояния |α〉 и |β〉 перекрываются с Δt=0, состояние поля в выходных портах следует разложить по базису фоковских состояний и просуммировать произведения квадратов модулей амплитуд состояний с соответствующими вероятностями детектирования Plm(1,1): Здесь индекс n означает, что речь идет о вероятности двойных кликов при «наилучшем» перекрывании временных профилей импульсов. [0038] Для определения вероятности двойного клика при наихудшем перекрывании временных профилей импульсов, прежде всего заметим, что в этом случае каждый из импульсов проходит через светоделитель независимо от другого, так что интенсивность каждого из состояний делится пополам. При этом состояния в выходных портах светоделителя остаются когерентными с интенсивностями [0039] Будем далее считать, что интенсивности падающих на светоделитель лазерных импульсов одинаковы, так что можно записать Считая, что интерферирующие импульсы являются независимыми, так что разность фаз θ является случайной величиной, равномерно распределенной в интервале [0,2π], получим для среднего числа двойных щелчков n: где I0(x)) -модифицированная функция Бесселя первого рода (нулевого порядка), и где мы ввели обозначение Таким образом, строгое аналитическое выражение для видности интерференции независимых когерентных состояний можно получить, подставив (14) и (15) в (1). Для случая детекторов, имеющих одинаковую эффективность, ηс=ηd=η, выражение для видности приобретает компактную форму: Зависимость функции (16) от произведения μη показана на Фиг. 3. Видно, что максимальное значение видности достигается при μη→0 и равно 0.5, что существенно отличается от ситуации, когда на светоделителе интерферируют идеальные одно фотонные (фоковские) состояния, для которых видность достигает значения 1 (при идеальном перекрывании волновых функций фотонов). Легко также показать, что V→0 при μη→∞. Кроме того, важно заметить, что в реальном эксперименте, когда μ≠0 и 0<η<1, видность V очень близка к 0.5, однако все же никогда не достигает этого значения даже в отсутствие темновых отсчетов детекторов и других шумов. Более того, согласно (16), при фиксированном μ видность тем ближе к своему предельному значению, чем меньше эффективность ДОФ. Так, например, при μ=0.3 и η=1 видность равна 0.4991, а при μ=0.3 и η=0.1 формула (16) предсказывает значение 0.49999. [0040] С практической точки зрения полезно сравнить полученный результат с классическим экспериментом, где интенсивные когерентные состояния (независимые лазерные импульсы), интерферирующие на светоделителе, детектируются классическими детекторами. В этом случае вероятность Plm(1,1), очевидно, следует положить равной единице (действительно, вероятность того, что классический детектор зарегистрирует интенсивный лазерный импульс, равна 1). Среднее число «двойных кликов» при идеальном перекрывании импульсов (n) в этом случае пропорционально усредненному произведению фототоков, зарегистрированных фото детекторами в плечах светоделителя с и d, или - что эквивалентно - усредненному произведению интенсивностей лазерных пучков в выходных портах светоделителя: Среднее число «двойных кликов» в отсутствие интерференции (N), будет, в свою очередь, определяться произведением средних фототоков или средних интенсивностей лазерных импульсов: Видность тогда будет иметь вид: Интенсивности Ic и Id двух интерферирующих на светоделителе 50:50 лазерных импульсов определяются следующими формулами (в предположении идеального перекрывания их временных профилей): где, как и прежде, θ - разность фаз между импульсами, знак «+» соответствует индексу с, а знак «-» соответствует индексу d. Считая, как и выше, что импульсы являются независимыми, т.е. разность фаз θ равномерно распределена в интервале [0,2 π], получим: Таким образом, видность будет иметь следующее выражение: где Rab=〈Ia〉/〈Ib〉. Из (22) видно, что при 〈Iа〉=〈Ib〉 видность равна 0.5, как и в квантовом случае, когда детектирование осуществляется с помощью ДОФ. Это очень полезный результат, который означает, что анализ качества интерференции независимых лазерных импульсов можно вполне «честно» оценивать, используя интенсивные когерентные состояния и классические детекторы. Полученное значение видности при этом будет отражать точность перекрывания временных профилей импульсов (а также, например, точность совпадения их поляризационных состояний). Последующее ослабление импульсов до квазиоднофотонного состояния и их детектирование с помощью ДОФ должно давать такое же значение видности. Расхождение результатов в классическом и квантовом экспериментах, в свою очередь, будет отражать вклад шумов ДОФ в видность интерференции. [0041] Стоит также отметить, что слагаемое Определения (1) и (23) можно считать эквивалентными. [0042] Влияние параметров лазерных диодов на качество интерференции [0043] Пользуясь эквивалентностью определений (1) и (23) для видности интерференции когерентных состояний, мы можем провести простой теоретический анализ влияния параметров лазерных диодов на качество интерференции в терминах видности (или в терминах g(2)(0), что, в сущности, эквивалентно). Для этого воспользуемся хорошо известной моделью скоростных уравнений полупроводникового лазера, которые запишем в следующем виде: где Q, ϕ, N - число фотонов, фаза и число носителей в активном слое лазера, соответственно, I - ток накачки, е - заряд электрона, τе - время жизни носителей, τph - время жизни фотонов в резонаторе, α - коэффициент уширения линии (фактор Генри), Csp - доля спонтанно излученных фотонов, попавших в рассматриваемую моду, Г - коэффициент удержания моды. Линейный нормированный коэффициент усиления GL задается формулой где γQ ~ безразмерный коэффициент сжатия усиления. Отметим, что число фотонов может быть переведено в выходную оптическую мощность Р посредством соотношения где η - дифференциальный квантовый выход, hω - энергия фотона, а множитель 1/2 обусловлен тем фактом, что выходную мощность лазера, как правило, определяют только с одного торца. Нелинейность усиления в терминах выходной мощности запишется тогда в виде [0044] Решение скоростных уравнений (24) существенно зависит от значения параметров τе, τph, α, Csp, Г, Ntr, Nth, γQ, поэтому в контексте интерференции импульсов от независимых лазерных источников особое значение будут иметь эффекты, связанные с отличиями внутренних характеристик лазерных диодов. Здесь стоит отметить, что вариация параметров между лазерными диодами одного и того же производителя даже в пределах одной партии может быть существенной, поэтому вопрос выбора подходящей пары лазеров для задач ДН-КРК в общем случае имеет важное значение. Особую роль для интерференции имеет частотное заполнение лазерных импульсов, которое, в свою очередь, сильно зависит от фактора Генри α и коэффициента сжатия усиления γQ. Поэтому представляется целесообразным исследовать зависимость спектра и формы лазерных импульса от этих двух параметров. Предварительно заметим, что экспериментальная реализация интерференции лазерных импульсов в ДН-КРК, как правило, предполагает использование частотной фильтрации, которая улучшает спектральное соответствие интерферирующих импульсов. Учитывая это обстоятельство, ниже будут приведены симуляции также для случая спектральной фильтрации. [0045] На Фиг. 4 показаны симуляции лазерных импульсов от двух разных лазеров, полученные с помощью уравнений (24). В симуляциях предполагалось, что все параметры лазеров одинаковы за исключением коэффициентов уширения линии, которые полагались равными α1=4 и α2=5. В симуляциях предполагалось, что ток накачки имел форму прямоугольных импульсов, следующих с частотой 312.5 МГц; ширина импульсов устанавливалась равной 500 пс. Ток смещения и модуляционный ток на обоих лазерах предполагались равными Ib=4.5 мА и Ip=13 мА, соответственно (пороговый ток предполагался равным Ith=eNth/τе=8.8 мА). Значения лазерных параметров устанавливались следующими; Nth=5.5×107, Ntr=4.9×107, τе=1нс, τрh=2пс, Csp=10-5.Г=0.12, γQ=24×10-7. [0046] Видно, что формы лазерных импульсов оказываются идентичными для обоих значений α, поскольку данный параметр не входит в уравнения для Q и N. Спектры же двух импульсов оказываются различными, что видно на Фиг. 5. Действительно, большему значению α соответствует более широкий спектр, т.е. лазер, имеющий большее значение фактора Генри, имеет более выраженный чирп. На этом же рисунке показаны спектры лазерных импульсов после частотной фильтрации, эквивалентной использованию полосового оптического фильтра с окном пропускания 12.5 ГГц. Для симуляции полосового фильтра использовался низкочастотный фильтр Баттерворта с частотой среза 6.25 ГГц, смещенный по частоте на величину (Ωth-ω)/2π=-21.5 ГГц, что соответствует положению максимума в спектре лазерного импульса. Очевидно, что импульс лазера, имеющий большее значение α и, как следствие, более широкий спектр, после спектральной фильтрации должен содержать в себе меньше мощности. Это хорошо видно на Фиг. 4, где показаны импульсы после фильтрации. Таким образом, будучи изначально неразличимыми по форме лазерные импульсы начинают заметно отличаться по интенсивности после полосового оптического фильтра. Здесь, однако, стоит отметить, что без фильтрации видность интерференции все же будет хуже, чем после фильтрации несмотря на то, что формы импульсов до фильтрации совершенно одинаковы. Это обусловлено тем, что результат интерференции лазерных импульсов гораздо более чувствителен к их спектральному несоответствию, чем к разнице в интенсивности. [0047] На Фиг. 6 показаны симуляции лазерных импульсов от двух разных лазеров, полученные с помощью уравнений (24) для случая, когда все параметры лазеров одинаковы за исключением коэффициентов сжатия усиления, которые полагались равными γР1=20 W-1 и γР2=30 W-1. Остальные значения лазерных параметров, а также параметры тока накачки использовались такие же, как и в симуляциях на Фиг. 4 и Фиг. 5. Видно, что большему значению коэффициента сжатия усиления соответствует более широкий импульс (с меньшей пиковой мощностью), что связано с тем фактом, что нелинейность усиления, определяемая формулой (25), демпфирует релаксационные колебания. Различие между спектрами, показанное на Фиг. 7, не так значительно, как в случае разных факторов Генри, поэтому спектрального соответствия в этом случае достичь проще, чем при различных α. Тем нем нее, после спектральной фильтрации, которая была выполнена таким же образом, как и на Фиг. 5, импульсы все же немного отличаются, что, очевидно, приводит к небольшому ухудшению видности. [0048] Влияние джиттера [0049] Сами по себе отличия внутренних характеристик лазерных диодов не оказывают значительного отрицательного эффекта на видность интерференции. Несоответствие параметров лазеров проявляется в значительной степени из-за флуктуации времени появления лазерных импульсов - джиттера. Временной джиттер принято характеризовать дисперсией где Ib - ток смещения, а Ion - значение тока накачки при «включении» импульса (если размах тока накачки обозначить Iр, то ток включения будет равен Ion=Ib+Ip. Первое слагаемое в (28) представляет собой время нарастания числа носителей от N(0) до Nth а ts представляет собой дополнительное время, необходимое для того, чтобы оптическая мощность в импульсе успела возрасти до стационарного значения (перед релаксационным скачком) уже после того, как число носителей достигло Nth. В случае, когда Ti<τе, задержку времени включения следует оценивать по следующей формуле: [0050] Как видно из (29), время задержки включения зависит от размаха модуляционного тока Iр, поэтому флуктуации Iр приведут к флуктуациям где ƒ' - производная функции ƒ, а X - среднее значение случайной величины X. Применяя эту формулу к (28), получим где где Из (31) и (33) видно, что джиттер уменьшается при увеличении тока смещения и в случае, когда Ib≈Ith, вкладом в джиттер от флуктуаций Iр можно пренебречь. Для оценки характерных значений джиттера, подставим в формулу τе=1 нс. С такими значениями получим [0051] Для того чтобы оценить влияние джиттера на видность интерференции (точнее, на величину g(2)(0)), мы провели симуляции лазерных импульсов от двух независимых лазеров в предположении, что все параметры лазеров одинаковы за исключением коэффициентов уширения линии, которые отличаются на Δα=α2-α1. Полученные в результате интерференции интенсивности на выходах с и d светоделителя (Фиг. 2) можно записать в виде: где ϕr - случайная разность фаз между интерферирующими импульсами, a Δt - случайная неточность перекрытия лазерных импульсов на светоделителе, обусловленная джиттером. Индекс k отличает разные пары интерферирующих импульсов. Значения где Т -период следования импульсов. С учетом введенных обозначений величина g(2)\0) примет вид: где Np - рассматриваемое число пар импульсов. [0052] На Фиг. 8 показаны зависимости g(2)(0) от Δα при различных значениях джиттера. Закрашенными синими точками показаны зависимости в отсутствие частотной фильтрации, а пустыми голубыми точками - после фильтрации полосовым фильтром с полосой пропускания 12.5 ГГц. Видно, что в отсутствие джиттера (Фиг. 6(a)) небольшое отличие факторов Генри практически не влияет на значение g(2)(0), и оно начинает заметно отличаться от 0.5 только когда Δα>0.3. При использовании же частотной фильтрации g(2)(0) остается равным 0.5 во всем диапазоне значений Δα. При наличии джиттера картина качественно меняется. Видно, что даже при Δα=0 значение g(2)(0) значительно превышает значение 0.5 и слабо меняется при увеличении Δα. Частотная фильтрация значительно улучшает ситуацию, хотя достичь значения g(2)(0) - 0 все-таки оказывается невозможным. [0053] Таким образом, наличие джиттера приводит к ухудшению видности интерференции в КРК НЦУ, так что реализовать данный протокол, используя в качестве источника приготовления квантовых состояний два независимых полупроводниковых лазера в режиме переключения усиления, едва ли возможно. По этой причине в большинстве практических реализаций для приготовления квантовых состояний используется непрерывный лазер, а импульсы «вырезаются» из лазерного пучка модулятором интенсивности. Видность интерференции можно связать с таким параметром как «фиделити» (fidelity - точность приготовления состояний). Т.е. в протоколе подразумевается, что передатчики (Алиса) готовят состояния, которые номинально описываются наперед заданным оператором плотности (матрицей плотности). Чем сильнее отличаются операторы плотности реальных состояний от номинальных, т.е. чем хуже фиделити, тем больше информации блок подслушивания (Ева) сможет получить, "рассматривая" бегущие по квантовому каналу кубиты. Таким образом, видность интерференции влияет на количество информации, которые может быть получено блоком Ева, и позволяет увеличить секретность передачи данных. [0054] При таком способе получения импульсов отсутствует чирп, а сами импульсы не содержат релаксационных пичков, что позволяет получить очень хорошую интерференцию. Однако, соседние импульсы, точнее соседние квантовые состояния, оказываются в этом случае скоррелированными по фазе. Противник может использовать это в качестве лазейки, чтобы скомпрометировать систему КРК, поэтому необходима принудительная фазовая рандомизация. Последняя, как правило, осуществляется при помощи дополнительного широкополосного фазового модулятора (10), расположенного после модулятора интенсивности (8) и блока кодирования кубит (9), как это показано на Фиг. 9. Наличие такого фазового модулятора усложняет оптическую схему передающих блоков (4 и 5 Фиг. 1 и Фиг. 9), а также требует дополнительного количества случайности, что отрицательно сказывается на стоимости, секретности, а также на стабильности работы системы КРК. [0055] Ниже будут описаны возможные реализации оптической схемы передающего блока и способы приготовления квантовых состояний, при которых достигается пассивная фазовая рандомизация, т.е. такая, для которой не требуется дополнительный фазовый модулятор (10). [0056] Способы приготовления квантовых состояний для КРК НЦУ [0057] Для приготовления квантовых состояний с пассивной рандомизацией фазы достаточно использовать полупроводниковый лазер в режиме переключения усиления. Действительно, при таком режиме работы разница фаз между соседними импульсами оказывается случайной благодаря вкладу спонтанного излучения, которое доминирует над вынужденным излучением, когда ток накачки становится ниже порогового. Далее будут описаны 4 возможных реализации оптических схем и соответствующих им способов генерации оптических импульсов, которые позволяют получить видность интерференции, близкую к теоретическому пределу, что является важным условием при использовании таких импульсов в качестве квантовых состояний для КРК НЦУ. [0058] Схема I [0059] На Фиг. 10 показана возможная реализация оптической схемы передающего блока, где лазер (7) генерирует импульсы в режиме переключения усиления. В таком режиме ток накачки после генерации импульса опускается ниже порогового значения, т.е. лазер перестает генерировать когерентное излучение, благодаря чему следующий импульс появляется со случайной фазой. Импульсы из лазера попадают в блок кодирования кубит (9), кодирующий квантовую информацию в разности фаз и/или во времени прихода лазерных импульсов и/или в поляризации оптических импульсов. После блока кодирования кубит импульсы попадают на регулируемый оптический аттенюатор (11), где они ослабляются до квазиоднофотонного уровня и затем направляются в квантовый канал. Как описано в разделе «Влияние джиттера», основной вклад в ухудшение видности интерференции дает совместный эффект чирпа и джиттера, поэтому для улучшения видности необходимо использовать широкие (более 500 пс) лазерные импульсы. Действительно, релаксационные колебания в начале лазерной генерации, как правило, затухают в течение первых 100-200 пс, поэтому всю оставшуюся часть импульса можно рассматривать как бы «вырезанной» из непрерывного пучка и считать в этой части импульса отсутствует чирп. Кроме того, при увеличении ширины лазерного импульса уменьшается отношение w/σΔt, где w - ширина импульса, что уменьшает вклад джиттера в интерференцию. [0060] Таким образом, в Схеме I для улучшения видности интерференции не используются никакие дополнительные оптические компоненты. Единственным условием получения значения видности, близкого к 1, является использование широких лазерных импульсов. Заметим, что указанное выше требование к ширине импульсов накладывает ограничение на максимальную частоту приготовления квантовых состояний, которая при таком подходе может достигать нескольких сотен мегагерц. [0061] Схема II [0062] На Фиг. 11 показана другая возможная реализация оптической схемы передающего блока, где лазер (7) генерирует импульсы в режиме переключения усиления. В данной схеме импульсы проходят через оптический фильтр (13), затем попадают в блок кодирования кубит (9) и после ослабления на оптическом аттенюаторе отправляются в квантовый канал. Отметим, что в данной схеме оптический фильтр может быть расположен как перед блоком кодирования кубит, так и после него - это не влияет на функциональность схемы. [0063] Оптический фильтр (13) должен быть настроен таким образом, чтобы обрезалась высокочастотная часть спектра, соответствующая чирпу. Лазерный импульс при этом должен быть широким (более 500 пс), как в Схеме I. Благодаря такой спектральной фильтрации не только в «дальней» части импульса, но и на его переднем фронте будет отсутствовать чирп, что существенно улучшит его спектральные характеристики и обеспечит хорошую интерференцию. [0064] Таким образом, в схеме II для улучшения видности интерференции используется полосовой оптический фильтр, который обрезает высокочастотную часть спектра импульса. Данная схема, как и Схема I, предполагает использование широких (более 500 пс) лазерных импульсов. [0065] Схема III [0066] На Фиг. 12 показана другая возможная реализация оптической схемы передающего блока, где лазер (7) генерирует импульсы в режиме переключения усиления. В данной схеме импульсы проходят через модулятор интенсивности (8), затем попадают в блок кодирования кубит (9) и после ослабления на оптическом аттенюаторе отправляются в квантовый канал. Отметим, что в данной схеме модулятор интенсивности может быть расположен как перед блоком кодирования кубит, так и после него - это не влияет на функциональность схемы. [0067] Модулятор интенсивности в данной схеме нужен для того, чтобы обрезать подверженный чирпу передний фронт импульса. Для этого электрический импульс, задающий временное окно пропускания модулятора, должен подаваться с небольшим опозданием (100-200 пс), чтобы начало лазерного импульса не прошло через модулятор. В определенном смысле модулятор интенсивности в данной схеме выполняет ту же функцию, что и полосовой оптический фильтр в Схеме II - обрезает чирпированную часть лазерного импульса. Разница в том, что полосовой фильтр делает это в частотной области, а модулятор интенсивности - во временной. [0068] Данная схема, как и предыдущие, предполагает использование широких (более 500 пс) лазерных импульсов. [0069] Схема IV [0070] На Фиг. 13 показана другая возможная реализация оптической схемы передающего блока, где лазер (7) генерирует импульсы в режиме переключения усиления. Данная схема является комбинацией схем II и III: здесь импульсы проходят через модулятор интенсивности (8), оптический полосовой фильтр (13), блок кодирования кубит (9) и после ослабления на оптическом аттенюаторе отправляются в квантовый канал. Отметим, что в данной схеме модулятор интенсивности, оптический полосовой фильтр и блок кодирования кубит могут стоять в произвольном порядке - это не влияет на функциональность схемы. [0071] Как и в Схеме III, здесь модулятор интенсивности обрезает передний фронт импульса, а оптический полосовой фильтр убирает остаточный чирп, что улучшает спектральное соответствие между импульсами. Как и предыдущие, данная схема предполагает использование широких (более 500 пс) лазерных импульсов. Среди описанных данная схема должна обеспечивать наилучшее качество интерференции. Источники информации: [1] F. Bouchard, A. Sit, Y. Zhang, R. Fickler, F.M. Miatto, Y. Yao, F. Sciarrino, and E. Karimi, "Two-photon interference: the Hong-Ou-Mandel effect," Reports on Progress in Physics, vol. 84, p. 012402, 2020. [2] M. Schiavon, G. Vallone, F. Ticozzi, and P. Villoresi, "Heralded single-photon sources for quantum-key-distribution applications," Physical Review A, vol. 93, p.012331, 2016. [3] Z. Tang, Z. Liao, F. Xu, B. Qi, L. Qian, and H.-K. Lo, "Experimental demonstration of polarization encoding measurement-device-independent quantum key distribution," Phys. Rev. Lett, vol. 112, p.190503, 2014. [4] L.C. Comandar, M. Lucamarini, B. Fröhlich, J.F. Dynes, Z.L. Yuan, and A.J. Shields, "Near perfect mode overlap between independently seeded, gain-switched lasers," Optics express, vol. 24, 2016.

- входной моде b (см. Фиг. 2). Поскольку состояния |α〉 и |β〉 взаимодействуют на светоделителе, моды поля во входных портах светоделителя а и b необходимо рассматривать как единую квантовую систему, иными словами состояние поля перед светоделителем следует записать как
действует на моду
- на моду b. 
соответствуют выходным модам c и d светоделителя. В терминах операторов рождения когерентных состояний действие светоделителя запишется тогда как

то легко показать, что коммутатор операторов Â и
равен нулю:
. Тогда, согласно теореме Бейкера-Хаусдорфа, имеем:

Легко видеть, что
следовательно,
итоге получаем:
в выходных портах светоделителя.

Таким образом, вероятность двойного щелчка при «наихудшем» перекрывании импульсов запишется в следующем виде:
- разность фаз между импульсами. Вероятности Pn и PN тогда запишутся в виде:

Среднее число N двойных щелчков в отсутствие интерференции, очевидно, совпадает с PN:







в формуле (19) можно интерпретировать как значение корреляционной функции второго порядка при идеальном перекрывании временных профилей импульсов: g(2)(0). Таким образом, видность V можно всегда записать в следующем общем виде:

где Ntr - число носителей, соответствующее прозрачности полупроводника на рассматриваемой длине волны излучения, а Nth - пороговое число носителей; нелинейность усиления учитывается в системе (24) введением нелинейного коэффициента усиления, определяемого как

где
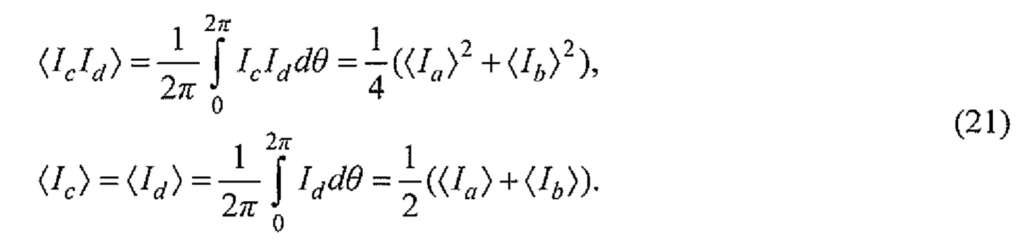
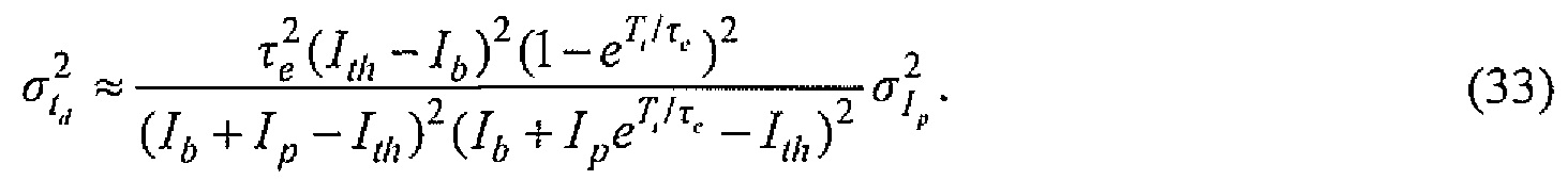
соответствует стандартному отклонению флуктуации времени появления импульсов Δt). Основным источником джиттера являются флуктуации времени появления электрических импульсов (собственный джиттер импульсов накачки) и флуктуации амплитуды этих импульсов. Флуктуации амплитуды дают существенный вклад в джиттер при работе лазера в режиме переключения усиления, где имеет место так называемая задержка времени включения td которая преимущественно обусловлена конечной скоростью нарастания концентрации носителей под порогом, т.е. конечным временем нарастания числа носителей от начального значения N(0) до Nth. В случае, когда задержка Ti между импульсами тока накачки существенно превышает время жизни носителей (Ti>5τе), время td можно оценить по формуле:

которые, в свою очередь, приведут к джиггеру. Для оценки дисперсии джиттера
предварительно заметим, что дисперсию
функции ƒ случайной переменной X можно аппроксимировать хорошо известной формулой: 

- дисперсия флуктуаций модуляционного тока. Джиттер, в свою очередь, можно оценить по формуле
- собственный джиттер импульсов тока накачки. В случае Ti<τе получим для 

и
пс. Собственный джиттер, как правило, тоже имеет порядок нескольких пикосекунд; положив также σp=5 пс, получим для джиттера σΔt≈7 пс.
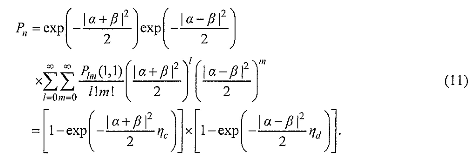
предполагались равномерно распределенными в интервале [0,2π], а значения Δtk -нормально распределенными со стандартным отклонением равным σΔt. Чтобы избавиться от временной зависимости, мы ввели интегральные сигналы, соответствующие площадям под лазерными импульсами:
