Изобретение относится к области энзимологии единичных молекул и может быть использовано для исследований ферментативных активностей единичных молекул фермента с применением нанотехнологии, а также процессов денатурации единичных молекул ферментов. Набор для секвенирования включает: проточную кювету, содержащую: подложку; каталитический полимерный гидрогель на подложке; праймер для амплификации, присоединенный к каталитическому полимерному гидрогелю; смесь для расщепления, включающую компонент, инициирующий расщепление блокирующей группы. Каталитический полимерный гидрогель включает в себя катализатор деблокирования, который ускоряет расщепление блокирующей группы 3’ OH блокированного нуклеотида, введенного в проточную кювету и встроенного в матричную цепь, присоединенную к праймеру для амплификации. Способ секвенирования в проточной кювете включает: введение добавляемой смеси в проточную кювету; встраивание отдельных нуклеотидов в соответствующие зарождающиеся цепи вдоль матричных цепей; удаление добавляемой смеси; включение индивидуальных нуклеотидов с помощью оптической визуализации; и введение смеси для расщепления. Группа изобретений обеспечивает улучшение кинетики деблокирования. 4 н. и 11 з.п. ф-лы, 3 ил.
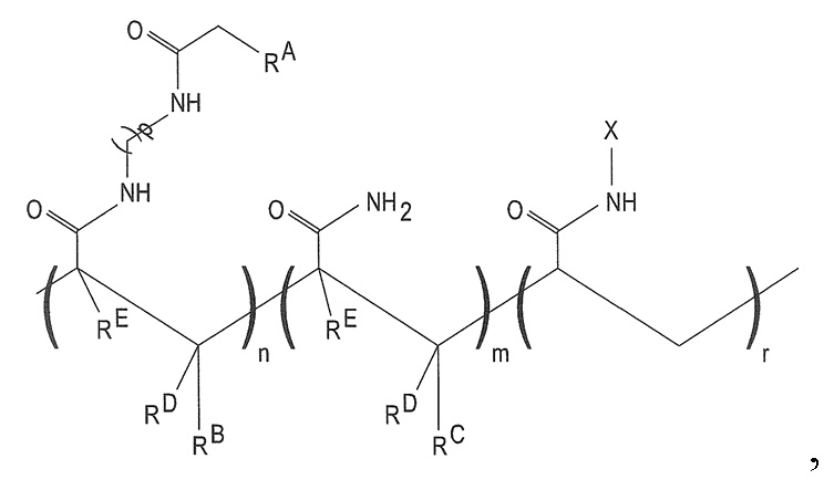
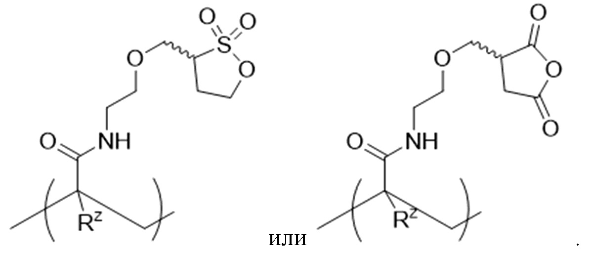
1. Набор для секвенирования, включающий: проточную кювету, содержащую: подложку; каталитический полимерный гидрогель на подложке, причем каталитический полимерный гидрогель включает в себя катализатор деблокирования, выбранный из группы, состоящей из фосфоновой кислоты; гетероциклического амина; фермента; пептида; ДНК-фермента; металла комплекса металл-лиганд; органического катализатора, выбранного из группы, состоящей из мочевины, тиомочевины, имидазола, гуанидина, 1,8-диазабицикло(5.4.0)ундец-7-ена и их комбинаций; и праймер для амплификации, присоединенный к каталитическому полимерному гидрогелю; причем катализатор ускоряет расщепление блокирующей группы 3’ OH блокированного нуклеотида, введенного в проточную кювету и встроенного в матричную цепь, присоединенную к праймеру для амплификации; и смесь для расщепления, включающую компонент, инициирующий расщепление блокирующей группы. 2. Набор по п. 1, отличающийся тем, что, если катализатор деблокирования представляет собой металл комплекса металл-лиганд, то он присоединен к полимерному гидрогелю. 3. Способ для секвенирования в проточной кювете, включающий: введение добавляемой смеси в проточную кювету, включающую: подложку; каталитический полимерный гидрогель на подложке, причем каталитический полимерный гидрогель включает в себя катализатор деблокирования, выбранный из группы, состоящей из фосфоновой кислоты; гетероциклического амина; фермента; пептида; ДНК-фермента; металла комплекса металл-лиганд; органического катализатора, выбранного из группы, состоящей из мочевины, тиомочевины, имидазола, гуанидина, 1,8-диазабицикло(5.4.0)ундец-7-ена и их комбинаций; и матричные цепи, прикрепленные к каталитическому полимерному гидрогелю; с осуществлением посредством этого встраивания отдельных нуклеотидов в соответствующие зарождающиеся цепи вдоль матричных цепей, причем отдельные нуклеотиды включают в себя: метку красителя, прикрепленную к основанию; и 3’ OH блокирующую группу, присоединенную к сахару; удаление добавляемой смеси; включение индивидуальных нуклеотидов с помощью оптической визуализации; и введение смеси для расщепления, включающей компонент, инициирующий расщепление 3’ OH блокирующей группы, в проточную кювету, посредством чего катализатор деблокирования ускоряет расщепление 3' OH блокирующей группы. 4. Способ по п. 3, отличающийся тем, что катализатор ускоряет удаление внешней защитной группы 3’ OH блокирующей группы, и при этом реагент в смеси для расщепления удаляет внутреннюю защитную группу 3' OH блокирующей группы. 5. Проточная кювета для секвенирования, содержащая: подложку; каталитический полимерный гидрогель на подложке, причем каталитический полимерный гидрогель содержит катализатор деблокирования, выбранный из группы, состоящей из: фосфоновой кислоты; гетероциклического амина; фермента; пептида; ДНК-фермента; металла комплекса металл-лиганд; органического катализатора, выбранного из группы, состоящей из мочевины, тиомочевины, имидазола, гуанидина, 1,8-диазабицикло(5.4.0)ундец-7-ена и их комбинаций; и фотокислотного генератора; и праймер для амплификации, присоединенный к каталитическому полимерному гидрогелю. 6. Проточная кювета по п. 5, в которой катализатор встроен в мономерное звено каталитического полимерного гидрогеля. 7. Проточная кювета по п. 5, в которой катализатор привит на исходный полимерный гидрогель. 8. Проточная кювета по п. 5, в которой каталитический полимерный гидрогель содержит исходный полимерный гидрогель, и проточная кювета дополнительно содержит олигонуклеотид, присоединенный к исходному полимерному гидрогелю, а катализатор деблокирования прикреплен к комплементарной олигонуклеотидной связке, которая гибридизована с олигонуклеотидом. 9. Проточная кювета по п.5, в которой: полимерный гидрогель включает в себя первый элемент пары, образующей водородную связь; катализатор деблокирования прикреплен к полимерному гидрогелю посредством второго элемента пары, образующей водородную связь; и праймер для амплификации присоединен к каталитическому полимерному гидрогелю. 10. Способ создания проточной кюветы для секвенирования с каталитическим полимерным гидрогелем на поверхности подложки, включающий: нанесение каталитического полимерного гидрогеля на поверхность подложки проточной кюветы, причем каталитический полимерный гидрогель содержит катализатор деблокирования, выбранный из группы, состоящей из: фосфоновой кислоты; гетероциклического амина; фермента; пептида; ДНК-фермента; металла комплекса металл-лиганд; органического катализатора, выбранного из группы, состоящей из мочевины, тиомочевины, имидазола, гуанидина, 1,8-диазабицикло(5.4.0)ундец-7-ена и их комбинаций; и фотокислотного генератора; и прикрепление праймеров для амплификации к каталитическому полимерному гидрогелю. 11. Способ по п. 10, дополнительно включающий формирование каталитического полимерного гидрогеля, включающего катализатор деблокирования. 12. Способ по п. 11, отличающийся тем, что формирование каталитического полимерного гидрогеля включает сополимеризацию первого мономера, включающего функциональную группу для прививки праймера, со вторым мономером, включающим катализатор деблокирования. 13. Способ по п. 11, отличающийся тем, что формирование каталитического полимерного гидрогеля включает в себя: синтез исходного полимерного гидрогеля; и прививание катализатора на исходный полимерный гидрогель. 14. Способ по п. 11, отличающийся тем, что формирование каталитического полимерного гидрогеля включает в себя: синтез исходного полимерного гидрогеля; прививание олигонуклеотида на исходный полимерный гидрогель; и гибридизацию комплементарной олигонуклеотидной связки с олигонуклеотидом, причем катализатор присоединен к комплементарной олигонуклеотидной связке. 15. Способ по п. 11, отличающийся тем, что формирование каталитического полимерного гидрогеля включает в себя: синтез исходного полимерного гидрогеля; и присоединение комплекса металл-лиганд к исходному полимерному гидрогелю, причем металл комплекса металл-лиганд представляет собой катализатор.
ПЕРЕКРЕСТНАЯ ССЫЛКА НА РОДСТВЕННУЮ ЗАЯВКУ [0001] Настоящая заявка испрашивает приоритет по предварительной заявке США № 62/948605, поданной 16 декабря 2019 г., содержание которой полностью включено в настоящий документ путем ссылки. ПРЕДПОСЫЛКИ СОЗДАНИЯ ИЗОБРЕТЕНИЯ [0002] Различные протоколы в биологических или химических исследованиях предусматривают проведение большого количества управляемых реакций на локальных поверхностях подложек или внутри предварительно определенных реакционных камер. Предусмотренные реакции затем можно наблюдать или обнаруживать, а последующий анализ может помочь идентифицировать или выявить свойства химических веществ, участвующих в реакции. В некоторых примерах контролируемые реакции генерируют флуоресценцию, и, таким образом, для их обнаружения можно использовать оптическую систему. В других примерах контролируемые реакции изменяют заряд, проводимость или какие-либо другие электрические свойства, и, таким образом, для их обнаружения можно использовать электронную систему. ВВЕДЕНИЕ [0003] Первый аспект изобретения, описанный в данном документе, представляет собой набор, который включает проточную кювету, содержащую: подложку; каталитический полимерный гидрогель на подложке, причем каталитический полимерный гидрогель включает в себя катализатор деблокирования; и праймер для амплификации, присоединенный к каталитическому полимерному гидрогелю; причем катализатор ускоряет расщепление блокирующей группы 3’ OH блокированного нуклеотида, введенного в проточную кювету и встроенного в матричную цепь, присоединенную к праймеру для амплификации; и смесь для расщепления, включающую компонент, инициирующий расщепление блокирующей группы. [0004] В одном из примеров согласно первому аспекту катализатор деблокирования выбран из группы, состоящей из кислотного катализатора, основного катализатора, фермента, пептида, ДНК-фермента, органического катализатора и их комбинаций. [0005] В одном из примеров согласно первому аспекту катализатор деблокирования представляет собой металл комплекса металл-лиганд, присоединенный к полимерному гидрогелю. [0006] В одном из примеров согласно первому аспекту катализатор деблокирования представляет собой кислотный катализатор, выбранный из группы, состоящей из карбоновой кислоты, фосфоновой кислоты, сульфоновой кислоты и их комбинаций. [0007] В одном из примеров согласно первому аспекту катализатор деблокирования представляет собой щелочной катализатор, выбранный из группы, состоящей из амина, гетероциклического амина и их комбинаций. [0008] В одном из примеров согласно первому аспекту катализатор деблокирования представляет собой фермент. [0009] В одном из примеров согласно первому аспекту катализатор деблокирования представляет собой пептид. [0010] В одном из примеров согласно первому аспекту катализатор деблокирования представляет собой ДНК-фермент. [0011] Следует понимать, что любые особенности набора, описанного в настоящем документе, можно комбинировать любым желаемым способом и/или в любой желаемой конфигурации для достижения преимуществ, описанных в настоящем изложении, включая, например, улучшенную кинетику деблокирования. [0012] Второй аспект, описанный в данном документе, включает введение добавляемой смеси в проточную кювету, содержащую: подложку, каталитический полимерный гидрогель на подложке, причем каталитический полимерный гидрогель включает в себя катализатор деблокирования; и матричные цепи, прикрепленные к каталитическому полимерному гидрогелю; посредством этого осуществляется встраивание отдельных нуклеотидов в соответствующие зарождающиеся цепи вдоль матричных цепей, причем отдельные нуклеотиды включают в себя: метку красителя, прикрепленную к основанию; и 3’ OH блокирующую группу, присоединенную к сахару; удаление добавляемой смеси; включение индивидуальных нуклеотидов с помощью оптической визуализации; и введение смеси для расщепления, включающей компонент, инициирующий расщепление 3’ OH блокирующей группы, в проточную кювету, посредством чего катализатор деблокирования ускоряет расщепление 3’ OH блокирующей группы. [0013] В примере согласно второму аспекту катализатор ускоряет удаление внешней защитной группы 3’ OH блокирующей группы, и при этом реагент в смеси расщепления удаляет внутреннюю защитную группу 3’ OH блокирующей группы. [0014] Следует понимать, что любые особенности способа можно комбинировать вместе любым желаемым образом. Кроме того, следует понимать, что любая комбинация характеристик метода и/или набора может использоваться вместе и/или в сочетании с любым из примеров, раскрытых в данном документе, для достижения преимуществ, описанных в данном раскрытии, включая, например, улучшение кинетики деблокирования. [0015] Третий аспект изобретения, описанный в данном документе, представляет собой проточную кювету, содержащую: подложку; каталитический полимерный гидрогель на подложке, причем каталитический полимерный гидрогель содержит катализатор деблокирования, выбранный из группы, состоящей из фосфоновой кислоты; гетероциклического амина; фермента; пептида; ДНК-фермента; металла комплекса металл-лиганд; органического катализатора, выбранного из группы, состоящей из мочевины, тиомочевины, имидазола, гуанидина, 1,8-диазабицикло(5.4.0)ундец-7-ена и их комбинаций; и фотокислотного генератора; и праймера для амплификации, присоединенного к каталитическому полимерному гидрогелю. [0016] В одном из примеров согласно третьему аспекту катализатор интегрирован в мономерное звено каталитического полимерного гидрогеля. [0017] В одном из примеров согласно третьему аспекту катализатор привит на исходный полимерный гидрогель. [0018] В одном из примеров согласно третьему аспекту каталитический полимерный гидрогель включает в себя исходный полимерный гидрогель, и причем проточная кювета дополнительно содержит олигонуклеотид, присоединенный к исходному полимерному гидрогелю, а катализатор деблокирования прикреплен к комплементарной олигонуклеотидной связке, которая гибридизируется с олигонуклеотидом. [0019] Следует понимать, что любые элементы проточной кюветы можно комбинировать любым желаемым образом. Более того, следует понимать, что любая комбинация характеристик проточной кюветы и/или характеристик набора и/или способа может использоваться вместе и/или в сочетании с любым из примеров, раскрытых в данном документе, для достижения преимуществ, таких как описанные в этом раскрытии, включая, например, создание полимерного гидрогеля, который способствует улучшению кинетики деблокирования. [0020] Четвертый аспект изобретения, описанный в данном документе, представляет собой проточную кювету, содержащую: подложку; полимерный гидрогель на подложке, причем полимерный гидрогель включает в себя первый элемент пары, образующей водородную связь; катализатор деблокирования, прикрепленный к полимерному гидрогелю посредством второго элемента пары, образующей водородную связь; и праймер для амплификации, присоединенный к каталитическому полимерному гидрогелю. [0021] Следует понимать, что любые элементы данной проточной кюветы можно комбинировать любым желаемым образом. Кроме того, следует понимать, что любая комбинация характеристик этой проточной кюветы и/или другой проточной кюветы и/или характеристик набора и/или метода может использоваться вместе и/или в сочетании с любым из примеров, раскрытых в данном документе, для достижения преимуществ, описанных в данном раскрытии, включая, например, улучшение кинетики деблокирования. [0022] Пятый аспект, описанный в данном документе, представляет собой способ, включающий: нанесение каталитического полимерного гидрогеля на поверхность подложки проточной кюветы, причем каталитический полимерный гидрогель содержит катализатор деблокирования, выбранный из группы, состоящей из фосфоновой кислоты; гетероциклического амина; фермента; пептида; ДНК-фермента; металла комплекса металл-лиганд; органического катализатора, выбранного из группы, состоящей из мочевины, тиомочевины, имидазола, гуанидина, 1,8-диазабицикло(5.4.0)ундец-7-ена и их комбинаций; и фотокислотного генератора; и праймеры для амплификации, присоединенные к каталитическому полимерному гидрогелю. [0023] Пример пятого аспекта дополнительно включает формирование каталитического полимерного гидрогеля, включающего в себя катализатор деблокирования. [0024] В примере согласно пятому аспекту формирование каталитического полимерного гидрогеля включает сополимеризацию первого мономера, включающего функциональную группу для прививки праймера, со вторым мономером, включающим катализатор деблокирования. [0025] В примере согласно пятому аспекту формирование каталитического полимерного гидрогеля включает в себя: синтез исходного полимерного гидрогеля; и прививание катализатора на исходный полимерный гидрогель. [0026] В примере согласно пятому аспекту формирование каталитического полимерного гидрогеля включает в себя: синтез исходного полимерного гидрогеля; прививание олигонуклеотида на исходный полимерный гидрогель; и гибридизацию комплементарной олигонуклеотидной связки с олигонуклеотидом, причем катализатор присоединен к комплементарной олигонуклеотидной связке. [0027] В примере согласно пятому аспекту формирование каталитического полимерного гидрогеля включает в себя: синтез исходного полимерного гидрогеля; и присоединение комплекса металл-лиганд к исходному полимерному гидрогелю, причем металл комплекса металл-лиганд представляет собой катализатор. [0028] Следует понимать, что любые особенности способа можно комбинировать вместе любым желаемым образом. Кроме того, следует понимать, что любая комбинация характеристик этого способа и/или другого способа и/или характеристик набора и/или проточной кюветы может использоваться вместе и/или в сочетании с любым из примеров, раскрытых в данном документе, для достижения преимуществ, описанных в данном раскрытии, включая, например, улучшение кинетики деблокирования. КРАТКОЕ ОПИСАНИЕ ГРАФИЧЕСКИХ МАТЕРИАЛОВ [0029] Признаки согласно примерам настоящего изобретения станут очевидными после ознакомления с нижеследующим подробным описанием и графическими материалами, на которых одинаковые номера позиций соответствуют подобным, хотя, возможно, неидентичным компонентам. Для краткости изложения номера позиций или признаки, имеющие ранее описанную функцию, могут быть описаны или не описаны применительно к другим графическим материалам, на которых они встречаются. [0030] На Фиг. 1 представлена принципиальная блок-схема, иллюстрирующая многоэтапный процесс деблокирования примера 3’ OH блокированного нуклеотида; [0031] На Фиг. 2 представлена схематическая иллюстрация примера катализатора, прикрепленного к примеру полимерного гидрогеля посредством примера нековалентной связи; [0032] На Фиг. 3A показан вид сверху примера проточной кюветы. [0033] На Фиг. 3B показан увеличенный вид с частичным вырезом примера проточного канала проточной кюветы, включая пример полимерного гидрогеля, расположенного в проточном канале; и [0034] На Фиг. 3C показан увеличенный вид с частичным вырезом примера проточного канала проточной кюветы, включая пример полимерного гидрогеля, расположенного в углублениях, выполненных в проточном канале. ПОДРОБНОЕ ОПИСАНИЕ [0035] В некоторых методиках секвенирования нуклеиновых кислот используется 3’ OH блокирующая группа, связанная с атомом кислорода молекулы сахара в нуклеотиде. Блокирующая группа 3’ OH может служить в качестве обратимого терминатора, который позволяет включать только одно основание в каждом цикле секвенирования. В некоторых случаях 3’ OH блокирующую группу необходимо удалять для инициирования следующего цикла секвенирования. Временное прекращение включения нуклеотидов позволяет в том числе проводить вымывание невключенных нуклеотидов с возбуждением обнаруживаемой метки (например, флуоресцентного красителя), присоединенной к встроенным нуклеотидам, визуализацию возбужденных обнаруживаемых меток и т.п. [0036] В настоящем документе описан каталитический полимерный гидрогель. Катализатор каталитического полимерного гидрогеля представляет собой реакционноспособную молекулу или ее часть, которая ускоряет отщепление 3’ OH блокирующих групп от включенных нуклеотидов. Катализатор может быть выбран таким образом, чтобы он не был активным в процессе введения. Катализатор может быть выбран для проведения реакции, протекающей во время деблокирования (после включения и визуализации), и, таким образом, может ускорять расщепление любой 3’ OH блокирующей группы. В некоторых вариантах осуществления катализатор может использоваться для 3’ OH блокирующих групп, которые являются более стабильными в водных растворах, но имеют тенденцию к более медленной кинетике деблокирования. В этих случаях катализатор может способствовать сокращению времени каждого цикла секвенирования, общего времени чередования последовательностей и проблем с фазированием, которые могут возникать при медленном деблокировании, и это лишь некоторые его преимущества. [0037] Во время расщепления 3’ OH блокирующей группы может происходить ряд реакций. На Фиг. 1 изображен один пример этой серии реакций для примера 3’ OH блокированного нуклеотида 10. 3’ OH Блокированный нуклеотид 10 включает в себя гетероциклическое основание B, сахар (показан в виде дезоксирибозы на Фиг. 1), одну или более фосфатных групп P и 3’ OH блокирующую группу 12, присоединенную к сахару. В этом примере 3’ OH блокирующая группа 12 представляет собой азидометил. На этапе 1, показанном на Фиг. 1, добавляют фосфин (PR3, где R представляет собой H или (CH2)nOH (n= 1-3)) для реакции с азидом. Данная реакция приводит к потере азота и образованию иминофосфорана. На этапе 2 иминофосфоран гидролизуется с образованием гемиаминального эфира, а на этапе 3 гемиаминальный эфир гидролизуется с получением 3’ OH. Для процесса деблокирования, показанного на Фиг. 1, любой катализатор, ускоряющий этапы гидролиза 2 и/или 3, показанные на Фиг. 1, может быть введен в полимерный гидрогель или помещен на него, или любой катализатор, ускоряющий реакцию на этапе 1, показанном на Фиг. 1, может быть введен в полимерный гидрогель или помещен на него. Если катализатор специально выбран для катализа этапа 1, показанного на Фиг. 1, катализатор ускоряет удаление внешней защитной группы 3’ OH блокирующей группы 12 (например, азидной группы, показанной на Фиг. 1), и для удаления внутренней защитной группы блокирующей группы 3’ OH 12 можно использовать реагент в смеси для расщепления (например, -CH2-, показанный на Фиг. 1). [0038] Хотя на Фиг. 1 проиллюстрирован один пример процесса деблокирования, следует понимать, что используемый катализатор может зависеть от 3’ OH блокирующей группы и реакции (реакций), применяемых для расщепления данной 3’ OH блокирующей группы. [0039] [0040] Следует понимать, что термины, используемые в данном документе, будут принимать их обычное значение в соответствующей области, если не указано иное. Ниже приведен ряд терминов, используемых в настоящем документе, и их значения. [0041] Формы единственного числа включают в себя ссылки во множественном числе, если контекст явно не диктует иное. [0042] Термины «состоящий из», «включающий», «содержащий» и различные формы этих терминов, являются синонимами друг друга и имеют одинаковое значение. [0043] Термины «верх», «низ», «ниже», «выше», «на» и т.п. используются для описания проточной кюветы и/или различных составляющих проточной кюветы. Следует понимать, что эти термины направления не подразумевают конкретную ориентацию, а используют для обозначения относительной ориентации между компонентами. Использование терминов направления не следует интерпретировать как ограничение примеров, описанных в данном документе, какой-либо(-ими) конкретной(-ыми) ориентацией(-ями). [0044] «Акриламидный мономер» представляет собой мономер со структурой [0045] В контексте данного документа термин «алкил» относится к линейной или разветвленной углеводородной цепи, которая является полностью насыщенной (т.е. не содержит двойных или тройных связей). Алкильная группа может иметь от 1 до 20 атомов углерода. Типичные алкильные группы включают метил, этил, пропил, изопропил, бутил, изобутил, третичный бутил, пентил, гексил и т.п. Только в качестве примера: «C1-C6-алкил» указывает, что в алкильной цепи присутствует от одного до шести атомов углерода, т.е. алкильную цепь выбирают из группы, состоящей из метила, этила, пропила, изопропила, н-бутила, изобутила, втор-бутила и трет-бутила. [0046] В контексте данного документа термин «алкенил» относится к линейной или разветвленной углеводородной цепи, содержащей одну или более двойных связей. Алкенильная группа может иметь от 2 до 20 атомов углерода. Примеры алкенильных групп включают этенил, пропенил, бутенил, пентенил, гексенил и т.п. [0047] Используемый в данном документе термин «алкинил» относится к линейной или разветвленной углеводородной цепи, содержащей одну или более тройных связей. Алкинильная группа может иметь от 2 до 20 атомов углерода. [0048] Используемые в данном документе термины «аралкил» и «арил(алкил)» относятся к арильной группе, присоединенной как заместитель через низшую алкиленовую группу. Низшая алкиленовая и арильная группа аралкила могут быть замещенными или незамещенными. Примеры включают в себя, но не ограничиваются ими, бензил, 2-фенилалкил, 3-фенилалкил и нафтилалкил. [0049] В контексте данного документа термин «арил» относится к ароматическому кольцу или кольцевой системе (т.е. к двум или более конденсированным кольцам, имеющим два общих соседних атома углерода), содержащей в основной цепи кольца только углерод. Если арил представляет собой кольцевую систему, каждое кольцо в системе является ароматическим. Арильная группа может иметь от 6 до 18 атомов углерода. Примеры арильных групп включают фенил, нафтил, азуленил и антраценил. [0050] Функциональная группа «амин» или «амино» относится к группе -NRaRb, где Ra и Rb независимо выбирают из водорода (например, [0051] Используемый в данном документе термин «прикрепленный» относится к состоянию двух компонентов, присоединяемых, скрепляемых, склеенных, соединенных или связанных друг с другом. Например, нуклеиновая кислота может быть присоединена к полимерному гидрогелю посредством ковалентной или нековалентной связи. Ковалентная связь характеризуется наличием пар электронов между атомами. Нековалентная связь представляет собой химическую связь, которая не включает совместное использование пар электронов, но может включать, например, водородные связи, ионные связи, вандерваальсовы силы, гидрофильные или гидрофобные взаимодействия. [0052] «Азидная» функциональная группа или «азидо» относится к -N3. [0053] Термины «блок-сополимер» и мономерные звенья, образованные «в блоке», относятся к сополимеру, образованному в случае, когда два или более мономера сгруппированы вместе и образуют блоки повторяющихся звеньев. Каждый блок должен иметь по меньшей мере один признак и/или по меньшей мере одну специфичную для блока функциональную группу (например, азид для присоединения праймера, катализатор и т.д.), которая(-ые) отсутствует(-ют) в смежных блоках. [0054] В контексте данного документа термин «каталитический полимерный гидрогель» относится к сополимеру, в котором катализатор встроен в одно из мономерных звеньев, или к исходному полимерному гидрогелю, к которому прикреплен катализатор. В контексте данного документа термин «исходный полимерный гидрогель» относится к полимеризованному гидрогелю до любой реакции/взаимодействия для введения катализатора. [0055] В настоящем документе термин «карбоциклил» означает неароматическое циклическое кольцо или кольцевую систему, содержащую только атомы углерода в основной цепи кольцевой системы. Когда карбоциклил представляет собой кольцевую систему, два или более кольца могут быть соединены друг с другом по типу конденсирования, образования мостика или спиросоединения. Карбоциклилы могут иметь любую степень насыщения при условии, что по меньшей мере одно кольцо в кольцевой системе не является ароматическим. Таким образом, к карбоциклилам относятся циклоалкилы, циклоалкенилы и циклоалкинилы. Карбоциклильная группа может содержать от 3 до 20 атомов углерода. Примеры карбоциклильных колец включают циклопропил, циклобутил, циклопентил, циклогексил, циклогексенил, 2,3-дигидроинден, бицикло[2.2.2]октанил, адамантил и спиро[4.4]нонанил. [0056] В контексте данного документа термин «карбоновая кислота» или «карбоксил» относится к -COOH. [0057] В данном документе термин «циклоалкил» относится к полностью насыщенной (без двойных или тройных связей) моно-или мультициклической углеводородной кольцевой системе. Если кольца состоят из двух и более колец, они могут быть объединены по типу слияния. Циклоалкильные группы могут содержать от 3 до 10 атомов в кольце(-ах). В некоторых вариантах реализации циклоалкильные группы могут содержать от 3 до 8 атомов в кольце(-ах). Циклоалкильная группа может быть замещенной или незамещенной. Примеры циклоалкильных групп включают циклопропил, циклобутил, циклопентил, циклогексил, циклогептил и циклооктил. [0058] В контексте данного документа термин «циклоалкенил» или «циклоалкен» означает карбоциклильное кольцо или кольцевую систему, имеющую по меньшей мере одну двойную связь, причем ни одно кольцо в кольцевой системе не является ароматическим. Примеры включают циклогексенил или циклогексен и норборненил или норборнен. [0059] В контексте данного документа термин «циклоалкинил» или «циклоалкин» означает карбоциклильное кольцо или кольцевую систему, имеющую по меньшей мере одну тройную связь, причем ни одно кольцо в кольцевой системе не является ароматическим. Примером является циклооктин. Другим примером является бициклононин. [0060] Используемый в данном документе термин «осаждение» относится к любой подходящей методике нанесения, которая может быть ручной или автоматизированной и в некоторых случаях приводить к изменению поверхностных свойств. Как правило, осаждение может осуществляться с использованием технологий осаждения из паровой фазы, технологий нанесения покрытия, технологий прививки и т.п. Некоторые конкретные примеры включают в себя химическое осаждение из паровой фазы (CVD), покрытие распылением (например, ультразвуковое напыление), покрытие методом центрифугирования, покрытие окунанием или погружением, покрытие с помощью ракельного ножа, нанесение струйного покрытия, аэрозольную печать, трафаретную печать, микроконтактную печать, струйную печать и т.п. [0061] В данном документе термин «углубление» относится к дискретному вогнутому элементу в подложке или смоле с рисунком, имеющему отверстие на поверхности, которое по меньшей мере частично окружено промежутком(-ами) подложки или смолой с рисунком. Углубления могут иметь любую из множества форм у их отверстий на поверхности, включая, например, круглую, эллиптическую, квадратную, многоугольную, звездообразную (с любым количеством вершин) и т.д. Поперечное сечение углубления, взятое перпендикулярно поверхности, может быть изогнутым, квадратным, многоугольным, гиперболическим, коническим, угловым и т.д. Например, углубление может представлять собой лунку или две взаимно соединенные лунки. Углубление также может иметь более сложные архитектуры, такие как гребни, ступенчатые элементы и т.д. [0062] Используемый в данном документе термин «каждый» применительно к совокупности элементов предназначен для обозначения отдельного элемента в данной совокупности, но не обязательно относится к каждому элементу в данной совокупности. Исключения могут возникать, если явное раскрытие или контекст однозначно определяет иное. [0063] Используемый в данном документе термин «проточная кювета» означает сосуд, имеющий камеру (например, проточный канал), в которой может протекать реакция, впускное отверстие для доставки реагента(-ов) в камеру и выпускное отверстие для удаления реагента(-ов) из камеры. В некоторых примерах камера позволяет обнаруживать протекание реакции в камере. Например, камера может включать в себя одну или более прозрачных поверхностей, обеспечивающих оптическое обнаружение чипов, оптически маркированных молекул и т.п. [0064] В контексте данного документа термин «проточный канал» или «канал» может представлять собой область, образованную между двумя соединенными или иным образом прикрепленными друг к другу компонентами, которые могут избирательно принимать жидкую пробу. В некоторых примерах проточный канал может быть образован между подложкой с рисунком или без рисунка и крышкой и, таким образом, может сообщаться по текучей среде с одним или более углублениями, образованными в смоле с рисунком. Проточный канал также может быть образован между двумя поверхностями подложки с рисунком или без рисунка, которые связаны друг с другом. [0065] В контексте данного документа термин «гетероциклический амин» относится к ароматическому кольцу или кольцевой системе (т.е. к двум или более конденсированным кольцам, имеющим два соседних атома), содержащей азот амина в качестве одного или единственного гетероатома в основной цепи кольца. [0066] В контексте данного документа термин «гетероарил» относится к ароматическому кольцу или кольцевой системе (т.е. двум или более конденсированным кольцам, имеющим два общих соседних атома), которые содержат один или более гетероатомов, т.е. элемент, отличный от углерода, включая, без ограничений, азот, кислород и серу, в основной цепи кольца. Если гетероарил представляет собой кольцевую систему, каждое кольцо в системе является ароматическим. Гетероарильная группа может содержать 5-18 членов кольца (т. е. число атомов, составляющих основную цепь кольца). [0067] В контексте данного документа термин «гетероциклил» означает неароматическое циклическое кольцо или кольцевую систему, содержащую по меньшей мере один гетероатом в основной цепи кольца. Гетероциклы могут быть соединены друг с другом по типу конденсации, образования мостика или спиросоединения. Гетероциклилы могут иметь любую степень насыщения при условии, что по меньшей мере одно кольцо в кольцевой системе не является ароматическим. Гетероатом(-ы) может (могут) присутствовать либо в неароматическом, либо в ароматическом кольце в кольцевой системе. Гетероциклильная группа может содержать от 3 до 20 членов кольца (т.е. число атомов, составляющих основную цепь, включая атомы углерода и гетероатомы). В некоторых примерах гетероатом(-ы) представляет(-ют) собой O, N или S. [0068] В контексте данного документа термины «гидразин» или «гидразинил» относятся к группе -NHNH2. [0069] В контексте данного документа термин «гидразон» или «гидразонил» относится к [0070] В данном документе термины «гидрокси» или «гидроксил» относятся к группе - OH. [0071] В данном документе термин «промежуточная область» относится к области, например, подложки, структурированной смолы или другой опоры, разделяющей углубления. Например, промежуточная область может отделять одно углубление массива от другого углубления массива. Две углубления, отделенные друг от друга, могут быть дискретными, т.е. без физического контакта друг с другом. Во многих примерах промежуточная область является непрерывной, тогда как углубления являются дискретными, например, как в случае множества углублений, образованных на непрерывной в остальном поверхности. В других примерах промежуточные области и элементы являются дискретными, например, как в случае множества канавок, разделенных соответствующими промежуточными областями. Разделение, обеспечиваемое промежуточной областью, может быть частичным или полным. Промежуточные области могут иметь материал поверхности, который отличается от материала поверхности углублений, образованных на поверхности. Например, углубления могут содержать полимер и набор праймеров, а промежуточные области не могут содержать ни полимера, ни набора праймеров. [0072] В контексте данного документа термин «нитрилоксид» означает группу «RaC≡N+O-» в которой элемент Ra определен в настоящем документе. Примеры получения нитрилоксида включают его генерацию [0073] В контексте данного документа термин «нитрон» означает [0074] В данном документе термин «нуклеотид» включает в себя азотсодержащее гетероциклическое основание, сахар и одну или более фосфатных групп. Нуклеотиды представляют собой мономерные звенья нуклеотидной последовательности. В РНК сахар представляет собой рибозу, а в ДНК - дезоксирибозу, т.е. сахар, в котором отсутствует гидроксильная группа, присутствующая в положении 2' в рибозе. Азотсодержащее гетероциклическое основание (т. е. нуклеотидное основание) может представлять собой пуриновое основание или пиримидиновое основание. Пуриновые основания включают аденин (А) и гуанин (G), а также их модифицированные производные или аналоги. К пиримидиновым основаниям относятся цитозин (C), тимин (T) и урацил (U), а также их модифицированные производные или аналоги. Атом C-1 дезоксирибозы связан с N-1 пиримидина или N-9 пурина. Аналог нуклеиновой кислоты может иметь любые измененные фосфатный остов, сахар или азотистое основание. Примеры аналогов нуклеиновых кислот включают, например, универсальные основания или аналоги фосфатно-сахарного остова, такие как пептидная нуклеиновая кислота (PNA). [0075] Термин «узорчатая смола» относится к любому полимеру, в котором могут быть образованы углубления. Конкретные примеры смол и методов узорчатых смол будут дополнительно описаны ниже. [0076] В контексте данного документа термин «фосфоновая кислота» относится к R-PO3H2. [0077] В данном документе термин «праймер» определяется как одноцепочечная нуклеотидная последовательность (например, одноцепочечная ДНК или одноцепочечная РНК). Некоторые праймеры, называемые в данном документе праймерами для амплификации, служат в качестве отправной точки для амплификации матриц и генерации кластеров. Другие праймеры, называемые в данном документе праймерами для секвенирования, служат в качестве отправной точки для синтеза ДНК или РНК. 5'-конец праймера можно модифицировать для обеспечения реакции связывания с функциональной группой полимера. Длина праймера может иметь любое число оснований и может включать множество нуклеотидов искусственного происхождения. В одном примере праймер для секвенирования представляет собой короткую цепь, имеющую длину в диапазоне от 10 до 60 оснований или от 20 до 40 оснований. [0078] В контексте данного документа термин «разделительный слой» относится к материалу, который связывает два компонента вместе. В некоторых примерах разделительный слой может представлять собой поглощающий излучение материал, который способствует связыванию, или может быть приведен в контакт с поглощающим излучение материалом, который способствует связыванию. [0079] Термин «подложка» относится к структуре, в которую могут быть добавлены различные компоненты проточной кюветы (например, каталитический полимерный гидрогель, праймер(-ы) и т.д.). Подложка может быть пластиной, панелью, прямоугольным листом, матрицей или любой другой подходящей конфигурацией. Подложка является по существу жесткой и нерастворимой в водной жидкости. Подложка может быть инертной по отношению к химическому составу, используемому для модификации углублений или присутствующему в углублениях. Например, подложка может быть инертной по отношению к химическому составу, используемому для образования каталитического полимерного гидрогеля, для присоединения грунтовочного(-ых) слоя(-ев) и т.д. Подложка может представлять собой однослойную структуру или многослойную структуру (например, включая опору и смолу с узором на опоре). Примеры подходящих подложек будут описаны ниже. [0080] В контексте данного документа термин «сульфоновая кислота» относится к −S(=O)2−OH. [0081] Термин «тиоловая» в отношении функциональной группы относится к -SH. [0082] В контексте данного документа термины «тетразин» и «тетразинил» обозначают шестичленную гетероарильную группу, содержащую четыре атома азота. Тетразин может быть необязательно замещенным. [0083] В контексте данного документа термин «тетразол» относится к пятичленной гетероциклической группе, включающей четыре атома азота. Тетразол может быть необязательно замещенным. [0084] [0085] Основная полимерная цепь в любом примере каталитического полимерного гидрогеля может представлять собой полужесткий полимерный материал, проницаемый для жидкостей и газов. В некоторых примерах каталитический полимерный гидрогель включает в себя исходный полимерный гидрогель, к которому прикреплен катализатор. В этих примерах катализатор добавляют к исходному полимерному гидрогелю с помощью постполимеризационной обработки. В других примерах каталитический полимерный гидрогель может представлять собой сополимер, в одном из мономерных компонентов которого находится катализатор. [0086] Пример исходного полимерного гидрогеля включает акриламидный сополимер, например, сополимер N-(5-азидоацетамидилпентил)акриламида и акриламида (PAZAM). PAZAM и некоторые другие формы акриламидного сополимера представлены следующей структурой (I): причем: RA выбран из группы, состоящей из азидо, необязательно замещенного амино, необязательно замещенного алкенила, необязательно замещенного алкина, галогена, необязательно замещенного гидразона, необязательно замещенного гидразина, карбоксила, гидрокси, необязательно замещенного тетразола, необязательно замещенного тетразина, нитрилоксида, нитрона, сульфата и тиола; RB представляет собой H или необязательно замещенный алкил; каждый из RC, RD и RE независимо выбран из группы, состоящей из H и необязательно замещенного алкила; каждый из -(CH2)p- может быть необязательно замещенным; p представляет собой целое число в диапазоне от 1 до 50; n представляет собой целое число в диапазоне от 1 до 50 000; и m представляет собой целое число в диапазоне от 1 до 100 000. [0087] Специалисту в данной области будет понятно, что конфигурация повторяющихся элементов n и m в структуре (I) является типичной, а мономерные субъединицы могут присутствовать в любом порядке в структуре полимера (например, случайная, блочная, структурированная форма или их комбинация). [0088] Молекулярная масса PAZAM и других форм акриламидного сополимера может находиться в диапазоне от около 5 кДа до около 1500 кДа или от около 10 кДа до около 1000 кДа, или может составлять в конкретном примере около 312 кДа. [0089] В некоторых примерах PAZAM и другие формы акриламидного сополимера являются линейными полимерами. В некоторых других примерах PAZAM и другие формы акриламидного сополимера представляют собой слабо сшитые полимеры. [0090] В других примерах исходный полимерный гидрогель может представлять собой вариант структуры (I). В одном примере акриламидное звено может быть заменено N, N-диметилакриламидом ( [0091] В качестве другого примера исходного полимерного гидрогеля повторяющийся элемент n в структуре (I) может быть заменен мономером, включающим гетероциклическую азидную группу, имеющую структуру (II): где R1 представляет собой H или C1-C6 алкил; R2 представляет собой H или C1-C6 алкил; L представляет собой линкер, включающий линейную цепь из 2-20 атомов, выбранных из группы, состоящей из углерода, кислорода и азота и 10 необязательных заместителей у углерода и любых атомов азота в цепи; E представляет собой линейную цепь, содержащую от 1 до 4 атомов, выбранных из группы, состоящей из углерода, кислорода и азота и необязательных заместителей у углерода и любых атомов азота в цепи; A представляет собой N-замещенный амид, у которого к N присоединены H или C1-C4 алкил; и Z представляет собой азотсодержащий гетероцикл. Примеры Z включают 5-10 членов кольца, присутствующих в виде одной циклической структуры или слитой структуры. Некоторые конкретные примеры Z включают пирролидинил, пиридинил или пиримидинил. [0092] В качестве еще одного примера исходный полимерный гидрогель может включать повторяющееся звено каждой из структур (III) и (IV): где каждый из R1a, R2a, R1b и R2b независимо выбран из водорода, необязательно замещенного алкила или необязательно замещенного фенила; каждый из R3a и R3b независимо выбран из водорода, необязательно замещенного алкила, необязательно замещенного фенила или необязательно замещенного C7-C14 аралкила; и каждый из L1 и L2 независимо выбран из необязательно замещенного алкиленового линкера или необязательно замещенного гетероалкиленового линкера. [0093] Следует понимать, что для образования исходного полимерного гидрогеля можно использовать другие молекулы при условии, что они функционализированы трансплантационными олигонуклеотидными праймерами. Другие примеры подходящих полимерных слоев включают слои, имеющие коллоидную структуру, например агароза; или полимерную сетчатую структуру, например желатин; или сшитую полимерную структуру, например полиакриламидные полимеры и сополимеры, не содержащий силанов акриламид (SFA) или азидолизированный вариант SFA. Примеры подходящих полиакриламидных полимеров можно синтезировать из акриламида и акриловой кислоты или акриловой кислоты, содержащей винильную группу, или из мономеров, которые вступают в реакции фотоциклоприсоединения [2+2]. Другие примеры подходящих исходных полимерных гидрогелей включают смешанные сополимеры акриламидов и акрилатов. В описанных в настоящем документе примерах можно использовать различные архитектуры полимеров, содержащие акриловые мономеры (например, акриламиды, акрилаты и т.п.), такие как разветвленные полимеры, включая звездчатые полимеры, звездообразные или звездчатые блок-полимеры, дендримеры и т.п. Например, мономеры (например, акриламид, содержащий акриламид катализатор и т.д.) могут быть введены, либо случайным образом, либо в блоке, в ветви (фрагменты) звездообразного полимера. [0094] Исходный полимерный гидрогель может быть сформирован с применением любого подходящего процесса сополимеризации. Затем катализатор может быть прикреплен к исходному полимерному гидрогелю с образованием каталитического полимерного гидрогеля. Для прикрепления катализатора к исходному полимерному гидрогелю можно использовать множество различных способов постполимеризации. [0095] В одном примере катализатор может быть привит на исходный полимерный гидрогель. В данном примере способа формирование каталитического полимерного гидрогеля включает синтез исходного полимерного гидрогеля (который не включает катализатор); и прививание катализатора на исходный полимерный гидрогель. В одном примере прививание включает клик-реакцию, например, катализируемую медью клик-реакцию, или использование промотируемой напряжением клик-реакции без катализатора, например, с бицикло[6.1.0] нон-4-ином (BCN). В одном примере клик-реакция приводит к ковалентному присоединению катализатора к исходному полимерному гидрогелю. Следует понимать, что протекающая реакция будет зависеть от химического состава исходного полимерного гидрогеля и катализатора. [0096] В качестве катализатора можно использовать любую реакционноспособную молекулу, функциональную группу и т.п., которая повышает скорость химической реакции, отщепляющей 3’ OH блокирующую группу от встроенного нуклеотида. Следует понимать, что любой кислотный катализатор, щелочной катализатор, органический катализатор, ферментный катализатор, пептидный катализатор или ДНК-ферментный катализатор могут быть привиты на исходный полимерный гидрогель. Некоторые из перечисленных катализаторов могут относиться к двум из перечисленных категорий катализаторов. В некоторых конкретных примерах катализатор деблокирования выбран из группы, состоящей из фосфоновой кислоты; гетероциклического амина; фермента; пептида; ДНК-фермента; металла комплекса металл-лиганд; органического катализатора, выбранного из группы, состоящей из мочевины, тиомочевины, имидазола, гуанидина, 1,8-диазабицикло(5.4.0)ундец-7-ена и их комбинаций; и фотокислотного генератора. [0097] В некоторых примерах катализатор представляет собой кислотный катализатор, выбранный из группы, состоящей из карбоновой кислоты, фосфоновой кислоты, сульфоновой кислоты и их комбинаций. Кислотный катализатор может катализировать реакцию гидролиза, протекающую при деблокировании. [0098] В других примерах катализатор представляет собой щелочной катализатор, выбранный из группы, состоящей из амина, гетероциклического амина и их комбинаций. Основания по Льюису, такие как тиоэфиры, триазолы, имидазолы и т.д., могут быть особенно подходящими элементами для катализа реакции азид-фосфина (этап 1 на Фиг. 1). Основной катализатор может катализировать реакцию гидролиза, протекающую при деблокировании. [0099] Органический катализатор состоит из углерода, водорода, серы и/или других неметаллических элементов, обнаруживаемых в органических соединениях, и увеличивает скорость химической реакции удаления защитных групп. Примеры органических катализаторов могут быть выбраны из группы, состоящей из мочевины, тиомочевины, имидазола, гуанидина, 1,8-диазабицикло(5.4.0)ундец-7-ена и их комбинаций. [00100] Ферментный катализатор может представлять собой гидролазу. Примеры подходящих гидролаз включают фосфатазы, эстеразы (например, ацетилхолинэстеразу, липазы и т.п.), сиквенс-специфичные протеазы (например, протеазу TEV или тромбин) и гликозидазы (которые не расщепляют рибозу, например, целлюлоза или амилаза). Другая подходящая гидролаза представляет собой карбоангидразу. Другой ферментный катализатор представляет собой сериновую протеазу, которая расщепляет пептидные связи в белках и может катализировать гидролиз амидов и сложных эфиров. [00101] Другие катализаторы включают ДНК-ферменты, которые также называют дезоксирибозимами. Примеры ДНК-ферментов включают ДНК-ферменты, нацеленные на гидролиз сложноэфирной группы, в том числе ДНК-миметики ферментов, таких как эстеразы. В этих примерах химическая реакция удаления защитных групп катализируется ДНК-ферментом. [00102] Хотя было предложено несколько примеров, считается, что можно использовать любой доступный фермент или сконструированный фермент при условии, что фермент способен катализировать удаление защитных групп с 3’ OH блокирующей группы. [00103] Примеры пептидного катализатора включают супермолекулярные β-цилиндрические эстеразы с гидрофобной внешней фракцией и внутренней частью пор с высоким содержанием гистидина, самособранные пептидные катализаторы и другие каталитические пептидные сборки. В этих примерах химическая реакция удаления защитных групп катализируется пептидом. [00104] В качестве другого примера катализатор может быть введен посредством нековалентного присоединения к поверхности исходного полимерного гидрогеля. Нековалентные присоединения могут включать, например, гибридизацию с олигонуклеотидами с привитой поверхностью исходного полимерного гидрогеля, массивы водородных связей, биотин-стрептавидин или другие подобные связи, комплексообразование типа «металл-лиганд» или т.п. [00105] На Фиг. 2 схематически изображен один пример нековалентного присоединения катализатора. В частности, на Фиг. 2 показан олигонуклеотид 14, присоединенный к исходному полимерному гидрогелю 16, а катализатор 18 присоединен к комплементарной олигонуклеотидной связке 20, которая гибридизуется с олигонуклеотидом 14. Олигонуклеотид 14, присоединенный к исходному полимерному гидрогелю 16, можно привить так, как описано в настоящем документе со ссылкой на Фиг. 3A - 3C для праймеров для амплификации (например посредством клик-реакции на концевом азиде). Олигонуклеотид 14 может иметь от 5 до 20 нуклеотидов (показаны в виде N на Фиг. 2), а последовательность может быть аналогичной последовательности праймеров для амплификации (описана ниже) или отличаться от нее. Катализатор 18 присоединен к связке 20, которая имеет последовательность, комплементарную олигонуклеотиду 14. Катализаторы 18, которые могут быть присоединены в соответствии с примером, показанным на Фиг. 2, включают любые кислотные катализаторы, основные катализаторы, органические катализаторы (например, имидазолы, гуанидины и т.п.), медные катализаторы, ферментные катализаторы, пептидные катализаторы или ДНК-ферментные катализаторы. [00106] Подходящие медные катализаторы могут включать медные(I) катализаторы, такие как ацетат меди(I), бромид меди(I), хлорид меди(I), иодид меди(I), бис(1,3-бис(2,6-диизопропилфенил)имидазол-2-илиден)тетрафторборат меди(I), Бис[(йодид тетрабутиламмония)меди(I) йодид], [Бис(триметилсилил)ацетилен](гексафторацетилацетонато)меди(I), Бромтрис(трифенилфосфин)меди(I), димер хлор(1,5-циклооктадиен)меди(I), 3-метилсалицилат меди(I) и т.п. [00107] Пример способа формирования каталитического полимерного гидрогеля 16’, показанного на Фиг. 2, включает синтез исходного полимерного гидрогеля 16 (который не включает катализатор 18); прививание олигонуклеотида 14 на исходный полимерный гидрогель 16; и гибридизацию комплементарной олигонуклеотидной связки 20 с олигонуклеотидом 14, причем катализатор 18 присоединен к комплементарной олигонуклеотидной связке 20. [00108] Другой пример нековалентного присоединения катализатора 18 к исходному полимерному гидрогелю 16 включает массивы водородных связей. В данном примере катализатор 18 связан водородными связями с полимерным гидрогелем 16. Можно использовать любую пару водородных связей, где один компонент пары ковалентно присоединен к исходному полимерному гидрогелю, а другой компонент пары присоединен к катализатору 18. Примеры пар водородных связей включают в себя, например, O⋅H, NH⋅N и CH⋅N. [00109] Еще один пример нековалентного присоединения катализатора 18 к исходному полимерному гидрогелю 16 включает образование комплекса металл-лиганд. В одном примере катализатор 18 представляет собой металл комплекса металл-лиганд, присоединенный к исходному полимерному гидрогелю 16. Катализатор 18 может представлять собой любой подходящий каталитический металл, например, медь, палладий, рутений и т.д. Каталитические металлокомплексы с лигандом, присоединенным к исходному полимерному гидрогелю 16. Примеры комплекса металл-лиганд включают комплексы меди (II) с лигандами, такими как бис(2-пиридилметил)-амин или циклодекстрин, функционализированный пиридином. [00110] Пример способа формирования данного примера каталитического полимерного гидрогеля 16’ включает синтез исходного полимерного гидрогеля 16; и присоединение комплекса металл-лиганд к исходному полимерному гидрогелю 16, причем металл комплекса металл-лиганд представляет собой катализатор 18. [00111] Другие катализаторы 18, которые могут быть прикреплены к исходному полимерному гидрогелю 16, включают в себя фотокислотные генераторы. При использовании фотокислотного генератора в качестве катализатора 18 каталитическая активность может инициироваться или усиливаться под воздействием внешних стимулов, например, фотонов, с длиной волны, соответствующей конкретному фотокислотному генератору. [00112] Фотокислотный генератор может быть прикреплен к полимерному гидрогелю 16’ с помощью химического состава типа «гость-хозяин», где катализатор 18 является «гостем», а «хозяин» способен i) присоединяться к полимерному гидрогелю 16’ и ii) удерживать «гостя» до момента внешней стимуляции. Примеры соединений типа «хозяин» включают кукурбитурилы и циклодекстрины. Примером катализатора фотокислотного генератора типа «гость» является фотокислотный генератор на основе синего/видимого спектра светового излучения. Фотоинициируемые катализаторы (например, фотокислотные генераторы) также могут использоваться в качестве «гостя» в примерах типа «гость-хозяин». [00113] Молекула типа «гость-хозяин» может быть присоединена к исходному полимерному гидрогелю 16 с помощью любого из способов постполимеризации (например, прививания, нековалентного присоединения), описанных в настоящем документе. [00114] Хотя было представлено несколько примеров, следует понимать, что катализатор 18, прикрепленный к исходному полимерному гидрогелю 16, может частично зависеть от химического состава исходного полимерного гидрогеля 16 и химического состава блокирующей группы 12, включенной в нуклеотид 10, который должен быть введен в каталитический полимерный гидрогель 16’. [00115] В других примерах, описанных в настоящем документе, исходный полимерный гидрогель 16 не используется. Вместо этого продуктом сополимеризации является каталитический полимерный гидрогель 16’. В этих примерах катализатор 18 интегрирован в мономерное звено, применяемое во время сополимеризации. [00116] В этих примерах катализатор 18 может быть частью любого из акриламидных мономерных звеньев исходного полимерного гидрогеля 16, описанных в настоящем документе. В одном примере RA по структуре (I) может представлять собой карбоксильную группу, которая является одним примером кислотного катализатора. В другом примере R2 по структуре (II) может представлять собой C1-C6 алкил, а катализатор 18 может быть встроен в C1-C6 алкильную цепь в качестве концевой группы. Катализатор, содержащий мономерное звено, может быть сополимеризован (случайным образом или в блоке) с любым из акриламидных мономерных звеньев, описанных в настоящем документе, при условии, что одно из звеньев включает в себя функциональную группу для прививки праймера. Один пример катализатора, содержащего акриламидное мономерное звено, который может применяться, показан в структуре (V): где R4 представляет собой H или CH3, и X представляет собой функциональную группу, выполняющую роль катализатора. В некоторых примерах данный катализатор (X) может представлять собой любые примеры кислотного катализатора, основного катализатора или органического катализатора, описанные в настоящем документе. В некоторых примерах между NH и катализатором (X) может быть расположена связующая группа (например, алкильная группа, короткая полиэтиленгликолевая цепь и т. д.). [00117] Другие примеры катализатора, содержащего мономерное звено, который может применяться, включают (мет)акриловые мономеры (например, акриловую кислоту, метакриловую кислоту) с присоединенным к ним катализатором (X). [00118] В одном примере способа формирование каталитического полимерного гидрогеля 16’ включает сополимеризацию первого мономера, включающего функциональную группу для прививки праймера (например, азид), со вторым мономером, включающим катализатор 18. В некоторых примерах в процессе сополимеризации также можно использовать третье акриламидное мономерное звено. Один пример сополимера, образованного данным способом, показан в структуре (VI): где RA, RB, RC, RD, RE и p соответствуют описанию для структуры (I), X соответствует описанию для структуры (V), n и r независимо находятся в диапазоне от 5 мол.% до 30 мол.%, а m представляет собой остальную часть мол.%. [00119] В одном примере поверхностная концентрация катализатора 18 может находиться в диапазоне от около 0,01% до около 50% повторяющихся звеньев полимерного гидрогеля 16’. Данные концентрации могут превышать практические концентрации каталитического раствора, что способствует высокой эффективности в рамках примеров, описанных в настоящем документе. [00120] В других примерах в качестве якоря для катализатора 18 или для генерации катализатора [00121] В одном примере данную реакцию раскрытия кольца можно проводить во время деблокирования таким образом, чтобы катализатор 18, например, кислота или основание, образовывался [00122] В другом примере «Nu» представляет собой катализатор 18, а реакция раскрытия кольца создает ковалентную связь с элементом, ранее являвшимся сультоном. Данная реакция может образовываться до секвенирования таким образом, чтобы при выполнении деблокирования катализатор 18 присутствовал. [00123] Другие примеры функциональной группы, чувствительной к нуклеофилам, имеют следующую структуру: (a) Y представляет собой SO2, а Y’ представляет собой CH2; или оба элемента (b) Y и Y’ представляют собой C(O). В других аспектах функциональная группа, чувствительная к нуклеофилам, представляет собой: [00124] В некоторых аспектах мономер, содержащий функциональную группу, чувствительную к нуклеофилам, представляет собой: В конкретных примерах мономер представляет собой: [00125] [00126] Полимерный гидрогель 16 и встроенный катализатор 18 можно использовать в проточной кювете 22, пример которой изображен на Фиг. 3A. Проточная кювета 22 включает в себя подложку 24 и каталитический полимерный гидрогель 16’, расположенный на подложке 24. [00127] Подложка 24 может представлять собой один слой/материал. Примеры подходящих однослойных подложек включают эпоксидный силоксан, стекло, модифицированное или функционализированное стекло, пластмассы (включая акрилы, полистирол и сополимеры стирола и других материалов, полипропилен, полиэтилен, полибутилен, полиуретаны, политетрафторэтилен (например, TEFLON® от Chemours), циклические олефины/циклоолефиновые полимеры (COP) (такие как ZEONOR® от Zeon), полиимиды и т.д.), нейлон (полиамиды), керамика/керамические оксиды, диоксид кремния, плавленый диоксид кремния или материалы на основе диоксида кремния, силикат алюминия, кремний и модифицированный кремний (например, кремний p+, легированный бором), нитрид кремния (Si3N4), оксид кремния (SiO2), пентоксид тантала (Ta2O5) или другие оксиды тантала (TaOx), оксид гафния (HfO2), углерод, металлы, неорганические стекла или подобное. Подложка 24 также может представлять собой многослойную структуру. Некоторые примеры многослойной структуры включают стекло или кремний со слоем покрытия из оксида тантала или другого керамического оксида на поверхности. Другие примеры многослойной структуры включают нижележащую подложку (например, стекло или кремний), на которой нанесена смола с нанесенным узором. Другие примеры многослойной подложки могут включать подложку типа «кремний на изоляторе» (SOI). [00128] В примере подложка 24 может иметь диаметр в диапазоне от около 2 мм до около 300 мм, или представлять собой прямоугольный лист или панель, наибольший размер которой составляет до около 10 футов (~3 метров). В примере подложка 24 представляет собой пластину, имеющую диаметр в диапазоне от около 200 мм до около 300 мм. В другом примере подложка 24 представляет собой матрицу шириной от около 0,1 мм до около 10 мм. Хотя приведены примерные размеры, следует понимать, что можно использовать подложку 24 любых подходящих размеров. В другом примере может использоваться панель, которая представляет собой прямоугольную опору, которая имеет большую площадь поверхности, чем круглая пластина 300 мм. [00129] В примере, показанном на Фиг. 3A, проточная кювета 22 содержит проточные каналы 26. Хотя показаны несколько проточных каналов 26, следует понимать, что в проточную кювету 22 может быть включено любое количество каналов 26 (например, один канал 26, четыре канала 26 и т.д.). Каждый проточный канал 26 представляет собой область, образованную между двумя соединенными компонентами (например, подложкой 24 и крышкой или двумя подложками 24), которые могут содержать текучие среды (например, описанные в данном документе), вводимые в них и удаляемые из них. Каждый проточный канал 26 может быть изолирован от каждого другого проточного канала 26 таким образом, что текучая среда, введенная в любой конкретный проточный канал 26, не протекает в какой-либо смежный проточный канал 26. Некоторые примеры текучих сред, вводимых в проточные каналы 26, могут вводить реакционные компоненты (например, полимеразы, праймеры для секвенирования, нуклеотиды и т. п.), промывочные растворы, деблокирующие агенты и т.п. [00130] Проточный канал 26 может быть образован в подложке 24 с использованием любого подходящего способа, который частично зависит от материала(-ов) подложки 24. В одном примере проточный канал 26 вытравлен в стеклянной подложке 24. В другом примере проточный канал 26 может быть сформирован в полимерной подложке 24 с помощью фотолитографии, наноимпринт-литографии и т.д. В еще другом примере на подложку 24 можно нанести отдельный материал (не показан) таким образом, что этот отдельный материал образует стенки проточного канала 26, а подложка 24 образует нижнюю часть проточного канала 26. [00131] В одном примере проточный канал 26 имеет прямоугольную конфигурацию. Длина и ширина проточного канала 26 могут быть соответственно меньше длины и ширины подложки 24, так что часть поверхности 24 подложки, окружающая проточный канал 26, доступна для прикрепления к крышке (не показана). В некоторых случаях ширина каждого проточного канала 26 может составлять по меньшей мере около 1 мм, по меньшей мере около 2,5 мм, по меньшей мере около 5 мм, по меньшей мере около 7 мм, по меньшей мере около 10 мм или более. В некоторых случаях длина каждой дорожки 20 может составлять по меньшей мере около 10 мм, по меньшей мере около 25 мм, по меньшей мере около 50 мм, по меньшей мере около 100 мм или более. Ширина и/или длина каждого проточного канала 26 может быть больше, меньше вышеуказанных значений или может иметь промежуточное значение. В другом примере проточный канал 26 имеет квадратную форму (например, 10 мм × 10 мм). [00132] Глубина каждого проточного канала 26 может составлять всего один монослой, когда микроконтактная, аэрозольная или струйная печать используется для нанесения отдельного материала, определяющего стенки проточного канала. В других примерах глубина каждого проточного канала 26 может составлять около 1 мкм, около 10 мкм, около 50 мкм, около 100 мкм или более. В примере глубина может находиться в диапазоне от около 10 мкм до около 100 мкм. В другом примере глубина составляет около 5 мкм или менее. Следует понимать, что глубина каждого проточного канала 26 может быть больше, меньше вышеуказанных значений или может иметь промежуточное значение. [00133] Различные примеры архитектуры внутри проточных каналов 26 проточной кюветы 22 показаны на Фиг. 3B и Фиг. 3C. [00134] В примере, показанном на Фиг. 3B, проточная кювета 22 включает в себя однослойную подложку 24A и проточный канал 26, образованный в однослойной подложке 24A. В этом примере каталитический полимерный гидрогель 16’ расположен внутри проточного канала 26. [00135] Для введения каталитического полимерного гидрогеля 16’ в проточный канал 26 можно создавать смесь каталитического полимерного гидрогеля 16’, а затем наносить ее на подложку 24 (при наличии проточного канала 26). В одном примере каталитический полимерный гидрогель 16’ может присутствовать в смеси (например, с водой или с этанолом и водой). Затем смесь может быть нанесена на поверхности подложки (в том числе в проточный канал(-лы) 26) с использованием покрытия центрифугированием, или покрытия погружением, или потока материала под положительным или отрицательным давлением, или другой подходящей методики. Эти типы методик неплотно осаждают каталитический полимерный гидрогель 16’ на подложку 24 (например, в проточный канал 26 и на промежуточные участки 28). Для специфического осаждения каталитического полимерного гидрогеля 16’ в проточном канале 26, а не на промежуточных участках 28, можно использовать другие способы селективного осаждения (например, с использованием маски, управляемой технологии печати и т.п.). [00136] В некоторых примерах поверхность подложки (включая часть, которая является открытой в проточном канале 26) можно активировать, а затем наносить на нее смесь (включая каталитический полимерный гидрогель 16’). В одном примере силан или производное силана (например, норборнен-силан) может быть нанесен на поверхность подложки с использованием осаждения из паровой фазы, центрифугирования или других методов осаждения. В другом примере поверхность подложки можно подвергать плазменному озолению с образованием активирующего(-их) поверхность агента(-ов) (например, групп -OH), который(-ые) можно присоединять к каталитическому полимерному гидрогелю 16’. [00137] В зависимости от химического состава каталитического полимерного гидрогеля 16’ нанесенная смесь может быть подвергнута процессу отверждения. В одном примере отверждение может происходить при температуре в диапазоне от комнатной температуры (например, около 25 °C) до около 95°C в течение времени в диапазоне от около 1 миллисекундыдо около нескольких дней. [00138] Можно затем выполнять полировку, чтобы удалить каталитический полимерный гидрогель 16’ с промежуточных областей 28 по периметру проточного(-ых) канала(-ов) 26 и при этом оставить каталитический полимерный гидрогель 16’ на поверхности в проточном(-ых) канале(-ах) 26 по меньшей мере по существу нетронутым. [00139] В некоторых примерах каталитический полимерный гидрогель 16’ после осаждения уже содержит прикрепленный к нему катализатор 18, и, таким образом, дополнительная обработка для введения катализатора 18 в проточный(-ые) канал(-ы) 26 не выполняется. Одним из примеров является то, что катализатор 18 является частью мономерного звена основной цепи полимерного гидрогеля. Другим примером этого является присоединение катализатора 18 после полимеризации. Таким образом, один пример способа, описанного в настоящем документе, включает формирование каталитического полимерного гидрогеля 16’, включающего катализатор 18; и нанесение каталитического полимерного гидрогеля 16’ на поверхность подложки 24. [00140] В других примерах полимерный гидрогель после осаждения представляет собой исходный полимерный гидрогель 16, к которому не прикреплен катализатор 18. Поскольку исходный полимерный гидрогель 16 не включает в себя катализатор 18, выполняется дополнительная обработка для введения катализатора 18 в исходный полимерный гидрогель 16 с образованием каталитического полимерного гидрогеля 16’ в проточном(-ых) канале(-ах) 26. В данных примерах исходный полимерный гидрогель 16 осаждается в проточный(-ые) канал(-ы) 26 и полируется, а затем для введения катализатора 18 в исходный полимерный гидрогель 16 может применяться любой из способов присоединения после полимеризации, описанных в настоящем документе. Поскольку исходный полимерный гидрогель 16 присутствует в проточном(-ых) канале(-ах) 26, а не на промежуточном(-ых) участке(-ах) 28, катализатор 18 предпочтительно будет присоединен к исходному полимерному гидрогелю 16 в проточном(-ых) канале(-ах) 26. [00141] Проточная кювета 22 дополнительно включает праймер для амплификации 30, присоединенный к каталитическому полимерному гидрогелю 16’. Последующее описание прикрепления праймера затрагивает каталитический полимерный гидрогель 16’. Следует понимать, что при введении исходного полимерного гидрогеля 16 в проточный(-ые) канал(-ы) 26 катализатор 18 можно вводить до или после праймеров для амплификации 30. Таким образом, описание прикрепления праймера также является приемлемым для исходного полимерного гидрогеля 16. [00142] Для встраивания праймеров для амплификации 30 в каталитический полимерный гидрогель 16’ в проточном канале 26 можно реализовать процесс прививания. В одном примере праймеры 30 для амплификации можно иммобилизовать на каталитическом полимерном гидрогеле 16’ с помощью одноточечного ковалентного прикрепления за 5′-конец праймеров 30 или вблизи него. Данное прикрепление оставляет i) специфичный для адаптера участок праймеров 30 свободным для отжига с распознаваемым им готовым к секвенированию фрагментом нуклеиновой кислоты и ii) 3′-гидроксильную группу свободной для достройки праймера. Для этой цели можно использовать любое подходящее средство ковалентного связывания. Примеры праймеров с пригодными для использования концевыми группами включают праймеры с концевыми алкинами (например, которые могут присоединяться к азидной поверхностной функциональной группе каталитического полимерного гидрогеля 16’), праймеры с концевыми фосфотиоатными группами (например, которые могут присоединяться к поверхностной функциональной группе брома каталитического полимерного гидрогеля 16’) или праймеры с концевыми азидными группами (например, которые могут быть присоединены к алкиновой поверхностной функциональной группе каталитического полимерного гидрогеля 16’). [00143] Конкретные примеры подходящих праймеров 30 включают праймеры P5 и P7, используемые на поверхности доступных в продаже проточных кювет, продаваемых компанией Illumina Inc., для секвенирования на приборах HiSeq™, HiSeqX™, MiSeq™, MiSeqDX™, MiNISeq™, NextSeq™, NextSeqDX™, NovaSeq™, Genome Analyzer™, ISEQ™ и других инструментальных платформах. [00144] В одном примере прививка может включать проточное нанесение (например, с использованием временно связанной или постоянно связанной крышки), нанесение покрытия путем замачивания, нанесение напылением, нанесение трамбовкой или другим подходящим способом, при котором праймер(-ы) 30 будут присоединены к каталитическому полимерному гидрогелю 16’ в проточном канале 26. В каждом из данных примеров методик можно использовать раствор праймера или смесь праймера, которая может включать праймер(-ы) 30, воду, буфер и катализатор. При любом из способов прививки праймеры 30 реагируют с реакционноспособными группами каталитического полимерного гидрогеля 16’ в проточном канале 26 и не имеют аффинности к окружающей подложке 24. Таким образом, праймеры 30 избирательно прививают на каталитический полимерный гидрогель 16’ в проточном канале 26. [00145] В примере, показанном на Фиг. 3C, проточная кювета 22 включает в себя многослойную подложку 24B, которая включает в себя опору 32 и узорчатый материал 34, расположенный на опоре 32. Узорчатый материал 34 определяет углубления 36, разделенные промежуточными участками 28. Углубления 36 расположены в пределах каждого из проточных каналов 26. [00146] В примере, показанном на Фиг. 3C, узорчатый материал 34 расположен на опоре 32. Следует понимать, что для материала с рисунком 34 можно использовать любой материал, который можно избирательно осаждать или осаждать и наносить в виде рисунка с образованием углублений 36 и промежуточных областей 28. [00147] В одном из примеров узорчатого материала 34 неорганический оксид можно избирательно наносить на опоре 32 посредством осаждения из паровой фазы, аэрозольной печати или струйной печати. Примеры подходящих неорганических оксидов включают оксид тантала (например, Ta2O5), оксид алюминия (например, Al2O3), оксид кремния (например, SiO2), оксид гафния (например, HfO2) и т.д. [00148] В качестве другого примера узорчатого материала 34 на опору 32 можно нанести смолу, а затем нанести рисунок. К подходящим методикам нанесения относятся химическое осаждение из паровой фазы, нанесение окунанием, нанесение избыточным покрытием, нанесение методом центрифугирования, нанесение распылением, нанесение с использованием лопастей, нанесение методом ультразвукового распыления, нанесение с использованием ракельного ножа, аэрозольная печать, трафаретная печать, микроконтактная печать и т.д. Подходящие технологии формирования узора включают в себя фотолитографию, наноимпринтную литографию (NIL), методики штамповки, методики тиснения, методики литья, методики микротравления, методики печати и т.п. Некоторые примеры подходящих смол включают в себя полимер на основе полиэдрической олигомерной смолы силсесквиоксана (POSS), эпоксидную смолу, не содержащую POSS, полиэтиленгликолевую смолу, полиэфирную смолу (например, эпоксидные смолы с раскрытием кольца), акриловую смолу, акрилатную смолу, метакрилатную смолу, аморфную фторполимерную смолу (например, CYTOP® производства Bellex) и их комбинации. [00149] Используемый в данном документе термин «полиэдрический олигомерный силсесквиоксан» (POSS) относится к химическому составу, который представляет собой гибридное промежуточное соединение (например, RSiO1.5) между соединением кремнезема (SiO2) и силикона (R2SiO). Примером POSS может служить описанный в публикации Kehagias et al., Microelectronics Engineering 86 (2009), pp. 776-778, которая полностью включена в настоящий документ путем ссылки. В одном примере композиция представляет собой кремнийорганическое соединение с химической формулой [RSiO3/2]n, где группы R могут быть одинаковыми или разными. Примеры R-групп для POSS включают эпоксидную, азид/азидо, тиольную группу, полиэтиленгликоль, норборнен, тетразин, акрилаты и/или метакрилаты или дополнительно, например, алкильную, арильную, алкоксильную и/или галогеналкильную группы. Композиция смолы, описанная в данном документе, может содержать одну или более различных каркасных или ядерных структур в качестве мономерных единиц. Полиэдрическая структура может представлять собой структуру Т8, такую как: [00150] Мономерная единица может иметь каркасную структуру с 10 атомами кремния и 10 R группами, именуемые как Т10, такую как: [00151] В некоторых примерах POSS, описанных в данном документе, по меньшей мере один из R1-R8, или R10, или R12 содержит эпоксидную группу. R1-R8, или R10, или R12 могут быть одинаковыми или могут не быть одинаковыми, и в некоторых примерах по меньшей мере один из R1 - R8, или R10, или R12 содержит эпоксидную функциональную группу, и по меньшей мере один другой из R1 - R8, или R10, или R12 представляет собой неэпоксидную функциональную группу. Неэпоксидная функциональная группа может представлять собой (a) реакционноспособную группу, которая является ортогонально реакционноспособной к эпоксидной группе (т.е. реагирует в условиях, отличных от эпоксидной группы), которая служит в качестве ручки для связывания смолы с праймером для амплификации, полимером или агентом полимеризации; или (b) группу, которая регулирует механические или функциональные свойства смолы, например, корректировки поверхностной энергии. В некоторых примерах неэпоксидная функциональная группа выбрана из группы, состоящей из азида/азидо, тиола, поли(этиленгликоля), норборнена, тетразина, амино, гидроксила, алкинила, кетона, альдегида, сложноэфирной группы, алкила, арила, алкокси и галогеналкила. [00152] Как показано на Фиг. 3C, узорчатый материал 34 включает в себя выполненные в нем углубления 36 и промежуточные участки 28, разделяющие смежные углубления 36. Можно предусмотреть множество различных схем углублений 36, включая регулярные, повторяющиеся и нерегулярные узоры. В одном примере углубления 36 расположены шестиугольной сеткой для плотной упаковки и повышения плотности. Другие схемы размещения могут включать в себя, например, прямолинейные (прямоугольные) схемы размещения, треугольные схемы размещения и т. п. В некоторых примерах схема или узор может быть в формате x-y углублений 36, которые расположены в строках и столбцах. В некоторых других примерах схема или узор может представлять собой повторяющееся расположение углублений 36 и/или промежуточных областей 28. В еще других примерах схема или узор могут представлять собой произвольное расположение углублений 36 и/или промежуточных областей 28. Узор может включать в себя пятна, площадки, лунки, столбы, полосы, завитки, линии, треугольники, прямоугольники, круги, дуги, клетки, плиты, диагонали, стрелки, квадраты и/или перекрестные штриховки. [00153] Схема или узор углублений 36 могут быть охарактеризованы по критерию плотности углублений 36 (количества углублений 36) в определенной области. Например, углубления 36 могут иметь плотность около 2 миллионов на мм2. Плотность может быть настроена на различные плотности, включая, например, плотность около 100 на мм2, около 1000 на мм2, около 0,1 миллиона на мм2, около 1 миллиона на мм2, около 2 миллионов на мм2, около 5 миллионов на мм2, около 10 миллионов на мм2, около 50 миллионов на мм2, или больше или меньше. Кроме того, следует понимать, что плотность углублений 36 в узорчатом материале 34 может находиться между одним из нижних значений и одним из верхних значений, выбранных из указанных выше диапазонов. Например, массив высокой плотности может характеризоваться наличием углублений 36, разделенных менее чем около 100 нм, массив средней плотности может характеризоваться наличием углублений 36, разделенных от около 400 нм до около 1 мкм, а массив низкой плотности может характеризоваться наличием углублений 36, разделенных более чем около 1 мкм. Хотя приведены примеры плотностей, следует понимать, что можно использовать любые подходящие значения плотности. Плотность углублений 36 может частично зависеть от глубины углублений 36. В некоторых случаях может быть желательно, чтобы расстояние между углублениями 36 было еще больше, чем в примерах, перечисленных в данном документе. [00154] Расположение или рисунок углублений 36 также или альтернативно может быть охарактеризовано в терминах среднего шага или расстояния от центра углубления 36 до центра соседнего углубления 36 (межцентровое расстояние) или от края одного углубления 36 до края соседнего углубления 36 (межкраевое расстояние). Узор может быть регулярным, так что коэффициент вариации вокруг среднего шага мал, или узор может быть нерегулярным, и в этом случае коэффициент вариации может быть относительно большим. В любом случае средний шаг может составлять, например, около 50 нм, около 0,1 мкм, около 0,5 мкм, около 1 мкм, около 5 мкм, около 10 мкм, около 100 мкм или больше или меньше.менее. Средний шаг для конкретного расположения углублений 36 может находиться в диапазоне от одного из нижних значений до одного из верхних значений, выбранных из приведенных выше диапазонов. В одном примере углубления 36 имеют шаг (расстояние между центрами) около 1,5 мкм. Хотя предоставлены примеры средних значений шага, следует понимать, что могут использоваться другие средние значения шага. [00155] Размер каждого углубления 36 может характеризоваться его объемом, площадью отверстия, глубиной и/или диаметром. [00156] Каждое углубление 36 может иметь любой объем, способный удерживать текучую среду. Минимальный или максимальный объем может быть выбран, например, таким образом, чтобы соответствовать пропускной способности (например, мультиплексность), разрешению, нуклеотидам 10 или реакционной способности аналита, ожидаемой при последующих применениях проточной кюветы 22. Например, объем может составлять по меньшей мере около 1×10-3 мкм3, по меньшей мере около 1×10-2 мкм3, по меньшей мере около 0.1 мкм3, по меньшей мере около 1 мкм3, по меньшей мере около 10 мкм3, по меньшей мере около 100 мкм3 или более. В альтернативном варианте или дополнительно объем может составлять не более около 1×104 мкм3, не более около 1×103 мкм3, не более около 100 мкм3, не более около 10 мкм3, не более около 1 мкм3, не более около 0,1 мкм3 или менее. [00157] Площадь, занимаемая каждым проемом углубления, может быть выбрана на основе критериев, аналогичных критериям, изложенным выше для объема. Например, площадь каждого проема углубления может составлять по меньшей мере около 1×10-3 мкм2, по меньшей мере около 1×10-2 мкм2, по меньшей мере, около 0,1 мкм2, по меньшей мере, около 1 мкм2, по меньшей мере, около 10 мкм2, при по меньшей мере около 100 мкм2 или более. В альтернативном варианте или дополнительно площадь может составлять не более около 1×103 мкм2, не более около 100 мкм2, не более около 10 мкм2, не более около 1 мкм2, не более около 0,1 мкм2, не более около 1×10−2 мкм2 или менее. Площадь, занимаемая каждым проемом углубления, может быть больше указанных значений, меньше указанных значений или находиться в промежутке между указанными выше значениями. [00158] Глубина каждого углубления 36 может быть достаточно большой для размещения части каталитического полимерного гидрогеля 16’. В одном примере глубина может составлять, по меньшей мере, около 0,1 мкм, по меньшей мере, около 0,5 мкм, по меньшей мере, около 1 мкм, по меньшей мере, около 10 мкм, по меньшей мере, около 100 мкм или более. В альтернативном варианте или дополнительно глубина может составлять не более около 1×103 мкм, не более около 100 мкм, не более около 10 мкм или менее. В некоторых примерах глубина составляет около 0,4 мкм. Глубина каждого углубления 36 может быть больше, меньше или находится в промежутке между указанными выше значениями. [00159] В некоторых случаях диаметр или длина и ширина каждого углубления 36 могут составлять, по меньшей мере, около 50 нм, по меньшей мере, около 0,1 мкм, по меньшей мере, около 0,5 мкм, по меньшей мере, около 1 мкм, по меньшей мере, около 10 мкм, по меньшей мере, около 100 мкм. мкм или более. В альтернативном варианте или дополнительно диаметр или длина и ширина могут составлять не более чем около 1×103 мкм, не более чем около 100 мкм, не более чем около 10 мкм, не более чем около 1 мкм, не более чем около 0.5 мкм, не более чем около 0.1 мкм или менее (например, около 50 нм). В некоторых примерах диаметр или длина и ширина составляют около 0,4 мкм. Диаметр или длина и ширина каждого углубления 36 могут быть больше, меньше или находится в промежутке между указанными выше значениями. [00160] В примере, показанном на Фиг. 3C, каталитический полимерный гидрогель 16’ расположен внутри каждого из углублений 36. Каталитический полимерный гидрогель 16’ можно наносить так, как описано со ссылкой на Фиг. 3B, чтобы каталитический полимерный гидрогель 16’ находился в углублениях 36 и не находился на окружающих промежуточных областях 28. [00161] В примере, показанном на Фиг. 3C, праймеры 30 могут быть привиты на каталитический полимерный гидрогель 16’ в каждом из углублений 36. Праймеры 30 можно наносить так, как описано со ссылкой на Фиг. 3B, и, таким образом, они будут прививаться на каталитический полимерный гидрогель 16’, а не на окружающие промежуточные области 28. [00162] Хотя это не показано на Фиг. 3A, Фиг. 3B или Фиг. 3C, следует понимать, что проточная кювета 22 может также включать в себя крышку, прикрепленную к подложке 24. В одном примере крышка может быть соединена по меньшей мере с частью подложки 24, например на некоторых промежуточных областях 28. Связь, образованная между крышкой и подложкой 24, может представлять собой химическую связь или механическую связь (например, с применением крепежного элемента и т.д.). [00163] Крышка может быть выполнена из любого материала, прозрачного для возбуждающего света, направленного в сторону подложки 24. В качестве примеров крышка может представлять собой стекло (например, боросиликатное стекло, плавленый кварц и т.п.), пластик или т.п. Доступным в продаже примером подходящего боросиликатного стекла является D 263® от компании Schott North America, Inc. Доступные в продаже примеры подходящих пластиковых материалов, а именно циклоолефиновых полимеров, представляют собой продукты ZEONOR® производства Zeon Chemicals L.P. [00164] Крышка может быть соединена с подложкой 24 с помощью любого подходящего способа, такого как лазерная пайка, диффузионная пайка, анодная пайка, пайка эвтектическим сплавом, пайка плазменным активированием, пайка стеклокристаллическим припоем, или другими способами, известными в данной области. В одном примере разделительный слой может использоваться при прикреплении крышки к подложке 24. Слой разделителя может быть выполнен из любого материала, который будет герметично соединять по меньшей мере участок подложки 24 и крышку. В некоторых примерах разделительный слой может представлять собой поглощающий излучение материал, который способствует связыванию подложки 24 с крышкой. [00165] В других примерах проточная кювета 22 может также включать в себя дополнительную подложку 24 с узором или без узора, прикрепленную к подложке 24. [00166] [00167] Нуклеотиды, которые используются в примерах проточной кюветы 22, представляют собой 3’ OH блокированный нуклеотид 10 (см. фиг. 1). Как описано в настоящем документе, 3’ OH блокированный нуклеотид 10 включает в себя нуклеотид и 3' OH блокирующую группу 12, присоединенную к сахару нуклеотида. Нуклеотид может представлять собой любой из примеров, описанных в настоящем документе. [00168] 3’ OH Блокирующая группа 12 может быть связана с атомом кислорода молекулы сахара в нуклеотиде. 3’ OH Блокирующая группа 12 может служить в качестве обратимого терминатора, который позволяет включать только одно основание в каждом цикле секвенирования. Обратимый терминатор останавливает встраивание дополнительных оснований в зарождающуюся цепь, которая является комплементарной относительно цепи полинуклеотидов матрицы. Это позволяет обнаруживать и идентифицировать единое встроенное основание. Затем 3’ OH блокирующую группу 12 можно удалить, что позволяет провести дополнительные циклы секвенирования для каждой цепи полинуклеотидов матрицы. Реакция расщепления для удаления 3’ OH блокирующей группы 12 катализируется катализатором 18. [00169] Примеры различных 3’ OH блокирующих групп 12 включают обратимый терминатор 3’-ONH2, обратимый терминатор 3’- [00170] 3’ OH Блокированный нуклеотид 10 представляет собой полностью функциональный нуклеотид, который также может включать в себя обнаруживаемую метку, присоединенную к основанию B нуклеотида. Обнаруживаемая метка может представлять собой любой оптически обнаруживаемый компонент, в том числе люминесцентные, хемилюминесцентные, флуоресцентные, флуорогенные, хромофорные и/или хромогенные функциональные группы. Некоторые примеры приемлемых оптически обнаруживаемых функциональных групп включают в себя флуоресцеиновые, родаминовые, цианиновые метки (например, Cy3, Cy5 и т.п.) и семейство флуоресцентных красителей Alexa и другие флуоресцентные и флуорогенные красители). [00171] Для прикрепления обнаруживаемой метки к основанию B нуклеотида можно использовать любую подходящую связывающую молекулу. Связывающая молекула является расщепляемой и может подвергаться серии реакций, аналогичной тем, которые протекают для удаления деблокирующей группы 12. В одном примере связывающая молекула представляет собой разделительную группу формулы -((CH2)2O)n-, где n представляет собой целое число от 2 до 50. [00172] В некоторых вариантах применения может быть желательно использовать обнаруживаемые метки разных типов для каждого из нуклеотидов 10, которые включают в себя другое основание, например, A, T, G, C (а также U или I). Например, флуоресцентные или флуорогенные метки можно выбирать таким образом, чтобы каждая из таких меток поглощала возбуждающее излучение и/или испускала флуоресценцию на длине волны, отличающейся от длин волн других групп меток. Такие различимые аналоги обеспечивают возможность одновременного отслеживания наличия разных меток в одной и той же реакционной смеси. В некоторых примерах один из четырех нуклеотидов, представляющих собой последовательности, может не включать в себя метки, тогда как три других нуклеотида содержат разные метки. [00173] [00174] Примеры проточной кюветы 22 можно использовать в методе ансамблевого секвенирования, например секвенирование путем синтеза (SBS). При ансамблевом секвенировании матричная полинуклеотидная цепь (не показана), которая должна быть секвенирована, может быть сформирована на проточной кювете 22 с использованием праймеров для амплификации 30. В начале формирования цепи полинуклеотидов матрицы можно получить библиотечные матрицы из любого образца нуклеиновых кислот (например, образца ДНК или образца РНК). Образец нуклеиновой кислоты может быть фрагментирован на одноцепочечные фрагменты ДНК или РНК сходного размера (например, <1000 п.о.). В процессе подготовки к концам этих фрагментов можно добавлять адаптеры. Путем амплификации с уменьшенным циклом в адаптеры можно вводить различные мотивы, такие как сайты связывания, индексы и области секвенирования, которые комплементарны праймерам 30 в углублениях 36. Конечные матрицы библиотеки включают в себя фрагменты ДНК или РНК и адаптеры на обоих концах. В некоторых примерах к фрагментам из одного образца нуклеиновой кислоты добавлены одни и те же адаптеры. [00175] В проточную кювету 22 может быть введено множество библиотечных матриц. Матрицы из множества библиотек гибридизируют, например, с одним из двух типов праймеров 30, иммобилизованных в проточном канале (каналах) 26 или в углублениях 36 в проточном канале (каналах) 26. [00176] Затем может быть выполнено создание кластера. В одном примере создания кластера матрицы библиотеки копируются из гибридизированных праймеров путем 3’удлинения с использованием ДНК-полимеразы высокой точности Исходные шаблоны библиотеки денатурируют, оставляя копии иммобилизованными в проточном канале 26 или в углублениях 36. Изотермическая мостиковая амплификация или какая-либо другая форма амплификации может использоваться для амплификации иммобилизованных копий. Например, скопированные шаблоны образуют петлю и гибридизуются с соседним комплементарным праймером 30, а полимераза копирует скопированные шаблоны с образованием двухцепочечных мостиков, которые денатурируют с образованием двух одноцепочечных цепей. Эти две цепи образуют петлю и гибридизуются с соседними комплементарными праймерами 30, а затем снова удлиняются с образованием двух новых двухцепочечных петель. Процесс повторяют на каждой копии шаблона в циклах изотермической денатурации и амплификации с получением плотных клональных кластеров. Каждый кластер двухцепочечных мостиков денатурируют. В одном примере обратную цепь удаляют путем специфического расщепления оснований, в результате чего остаются шаблонные полинуклеотидные цепи прямого направления. Кластеризация приводит к образованию нескольких матричных полинуклеотидных цепей в проточном канале 26 или в каждом углублении 36. Этот пример кластеризации представляет собой мостовую амплификацию и является одним из примеров амплификации, которая может быть выполнена. Следует понимать, что могут использоваться и другие методики амплификации, такие как рабочий процесс эксклюзионной амплификации (Examp) (Illumina Inc.). [00177] Можно ввести праймер для секвенирования, который гибридизуется с комплементарной последовательностью на матричной полинуклеотидной цепи. Данный праймер для секвенирования делает матричную полинуклеотидную цепь готовой к секвенированию. [00178] Чтобы инициировать секвенирование, добавляемая смесь может быть добавлена в проточную кювету 22. В одном примере добавляемая смесь включает в себя жидкий носитель, полимеразу и 3’ OH блокированные нуклеотиды 10. Следует понимать, что в некоторых примерах добавляемую смесь выбирают таким образом, чтобы она не активировала катализатор 18, поскольку инициирование отщепления блокирующей группы 12 перед включением и визуализацией является нежелательным. В примере типа «гость-хозяин» добавляемая смесь может включать в себя катализатор типа «гость» (например, металл) в неактивированном состоянии. Катализатор типа «гость» может связываться с исходным полимерным гидрогелем 16’ (например посредством лиганда) и затем при деблокировании может быть стимулирован ортогонально (например, путем воздействия определенной длины волны) для преобразования катализатора типа «гость» в активированную форму. [00179] Когда добавляемая смесь вводится в проточную кювету 22, жидкость поступает в проточный канал 26 и/или в углубления 36 (где присутствуют матричные полинуклеотидные цепи). [00180] 3’ OH Блокированные нуклеотиды 10 добавляют к праймеру для секвенирования (тем самым расширяя праймер для секвенирования) зависимым от матрицы способом, так что определение порядка и типа нуклеотидов, добавленных к праймеру для секвенирования, может использоваться для определения последовательности матрицы. Более конкретно, один из нуклеотидов встраивается соответствующей полимеразой в зарождающуюся цепь, которая удлиняет праймер для секвенирования и комплементарна цепи матричного полинуклеотида. Другими словами, по меньшей мере в некоторых цепях матричных полинуклеотидов через проточную кювету 22 соответствующие полимеразы удлиняют гибридизованный праймер для секвенирования одним из нуклеотидов в добавляемой смеси. [00181] В этом примере способа после включения нуклеотидного основания в зарождающуюся цепь возможно удаление добавляемой смеси, которая включает в себя любые невстроенные 3’ OH блокированные нуклеотиды 10, из проточной кюветы 22. Этого можно достичь с помощью промывочного раствора (например, буфер). [00182] Как описано в данном документе, блокированные 3’ OH нуклеотиды 10 включают свойство обратимой терминации (например, 3’ OH блокирующую группу 12), которая прекращает дальнейшее удлинение праймера после того, как нуклеотид был добавлен к праймеру для секвенирования. Без дальнейшего встраивания последние встроенные нуклеотиды 10 могут быть обнаружены с помощью события визуализации. Во время события визуализации система освещения (не показана) может подавать возбуждающий свет на проточный канал 26 и/или углубления 36. [00183] Затем в проточную кювету 22 можно ввести смесь для расщепления. В описанных в настоящем документе примерах смесь для расщепления способна i) удалять 3’ OH блокирующую группу 12 из включенных нуклеотидов и ii) отщеплять обнаруживаемые метки от включенных нуклеотидов. Катализатор, присутствующий на полимерном гидрогеле 16', может ускорять реакцию, протекающую во время удаления 3' OH блокирующей группы. Удаление 3’ OH блокирующей группы 12 позволяет выполнить последующий цикл секвенирования, а ускорение данной реакции с применением катализатора 18 может повысить эффективность всего процесса секвенирования. [00184] Некоторые примеры катализатора ускоряют промежуточные этапы во время реакции деблокирования. Таким образом, после включения смеси для расщепления и инициирования реакции деблокирования катализатор выполняет свою функцию. При использовании фотокислотного генератора в качестве катализатора 18 для инициации каталитической активности можно использовать дополнительное оптическое экспонирование. [00185] Примеры 3’ OH блокирующих групп и приемлемых агентов/компонентов для деблокирования в смеси расщепления могут включать сложноэфирные функциональные группы, которые могут быть удалены путем гидролиза оснований; аллильные функциональные группы, которые можно удалить с помощью Nal, хлортриметилсилана и Na2S2O3 или Hg(II) в ацетоне/воде; азидометил, который может быть расщеплен фосфинами, например, трис(2-карбоксиэтил)фосфином (TCEP) или три(гидроксипропил)фосфином (THP); ацетали, например, трет-бутоксиэтокси, которые могут быть расщеплены в кислотной среде; функциональные группы MOM (-CH2OCH3), которые могут быть расщеплены с помощью LiBF4 и CH3CN/H2O; 2,4-динитробензолсульфенил, который может быть расщеплен нуклеофилами, такими как тиофенол и тиосульфат; тетрагидрофураниловый эфир, который может быть расщеплен Ag(I) или Hg(II); и 3’ фосфат, который может быть расщеплен ферментами фосфатазы (например, полинуклеотидкиназой). [00186] Промывка(-и) может (могут) происходить между различными стадиями подачи текучей среды. Затем цикл SBS можно повторить n раз для расширения праймера для секвенирования на n нуклеотидов и обнаружения последовательности, длина которой равна n. В некоторых примерах можно использовать секвенирование спаренных концов, в рамках которого прямые цепи секвенируются и удаляются, а затем конструируются и секвенируются обратные цепи. [00187] Хотя метод SBS был подробно описан, следует понимать, что описанные в данном документе проточные кюветы 22 могут использоваться с другим протоколом секвенирования, для генотипирования или в других химических и/или биологических применениях. В некоторых случаях праймеры проточной кюветы можно выбрать таким образом, чтобы обеспечить одновременное секвенирование спаренных концов, при котором на каталитическом полимерном гидрогеле 16’ имеются как прямые, так и обратные цепи, что позволяет одновременно распознавать каждое считывание. Последовательное и одновременно парное секвенирование облегчает обнаружение геномных перестроек и повторяющихся элементов последовательности, а также слияния генов и новых транскриптов. В другом примере проточные кюветы 10, раскрытые в данном документе, можно использовать для создания библиотеки на проточных кюветах. [00188] [00189] Любой пример проточной кюветы 22, описанный в настоящем документе, может быть частью набора. Таким образом, любые примеры полимерного гидрогеля 16’, описанные в настоящем документе, могут быть частью набора. Некоторые примеры набора включают в себя проточную кювету 22, включающую в себя подложку 24; каталитический полимерный гидрогель 16’ на подложке 24, причем каталитический полимерный гидрогель 16' включает в себя катализатор 18; и праймер для амплификации 30, присоединенный к каталитическому полимерному гидрогелю 16’; где катализатор 18 предназначен для ускорения расщепления блокирующей группы 12 3’ OH блокированного нуклеотида 10, введенного в проточную кювету 22 и встроенного в матричную цепь, присоединенную к праймеру 30 для амплификации. и смесь для расщепления, включающую компонент, инициирующий расщепление блокирующей группы 12. [00190] [00191] Следует понимать, что все комбинации вышеуказанных концепций и дополнительных концепций, более подробно описанных ниже (при условии, что такие концепции не являются взаимно противоречащими), рассматриваются как часть объекта изобретения, описанного в данном документе. В частности, все комбинации заявленного объекта изобретения, появляющиеся в конце данного описания, считаются частью объекта изобретения, описанного в данном документе. Следует также понимать, что терминология, явно используемая в настоящем документе, которая также может присутствовать в любом описании, включенном в настоящий документ путем ссылки, должна иметь значение, наиболее соответствующее конкретным концепциям, описанным в настоящем документе. [00192] Ссылка во всем описании на «один пример», «другой пример», «пример» и так далее означает, что конкретный элемент (например, признак, структура и/или характеристика), описанный в связи с примером, включен по меньшей мере, в один пример, описанный в данном документе, и может присутствовать или не присутствовать в других примерах. Кроме того, следует понимать, что описанные элементы любого примера можно комбинировать любым подходящим способом с разными примерами, если из контекста явно не следует иное. [00193] Следует понимать, что представленные в данном документе диапазоны включают в себя указанный диапазон и любое значение или поддиапазон в пределах указанного диапазона, как если бы такие значения или поддиапазоны были явно указаны. Например, диапазон от около 2 мм до около 300 мм следует интерпретировать как включающий не только явно указанные пределы от около 2 мм до около 300 мм, но также включающий отдельные значения, например, около 40 мм, около 250,5 мм и т.д., и поддиапазоны, например, от около 25 мм до около 175 мм и т.д. Более того, если термины «около» и/или «по существу» используются для описания величины, они охватывают незначительные отклонения (до ±10%) от указанного значения. [00194] Хотя подробно описано несколько примеров, следует понимать, что описанные примеры могут быть изменены. Таким образом, представленное выше описание следует рассматривать как не имеющее ограничительного характера.
или мономер, включающий акриламидную группу с данной структурой. Примеры мономера, включающего акриламидную группу, включают азидоацетамидопентилакриламид:
и N-изопропилакриламид:
Могут использоваться другие акриламидные мономеры, некоторые примеры которых изложены в настоящем документе.
), C1-C6 алкила, C2-C6 алкенила, C2-C6 алкинила, C3-C7 карбоциклила, C6-C10 арила, 5-10-членного гетероарила и 5-10-членного гетероциклила, как определено в настоящем документе.
группе, где Ra и Rb независимо выбирают из водорода, C1-C6 алкила, C2-C6 алкенила, C2-C6 алкинила, C3-C7 карбоциклила, C6-C10 арила, 5-10-членного гетероарила и 5-10-членного гетероциклила, как определено в настоящем документе.
группу, в которой R1, R2 и R3 могут представлять собой любую из групп Ra и Rb, определенных в настоящем документе.
). В этом примере акриламидное звено в структуре (I) может быть заменено
где каждый из RD, RE и RF представляет собой H или алкил C1-C6 алкил, а каждый из RG и RH представляет собой C1-C6 алкил (вместо H, как в случае с акриламидом). В этом примере q может представлять собой целое число в диапазоне от 1 до 100 000. В другом примере N, N-диметилакриламид можно использовать в дополнение к акриламидному звену. В данном примере структура (I) может включать
в дополнение к повторяющимся элементам n и m, причем каждый из RD, RE и RF представляет собой H или C1-C6 алкил, а каждый из RG и RH представляет собой C1-C6 алкил. В этом примере q может представлять собой целое число в диапазоне от 1 до 100 000.



.
Подходящие нуклеофилы включают первичные алкиламины и алкиловые спирты.

и представлена как:
Это мономерная единица обычно имеет восемь плеч функциональных групп с R1 по R8.
или может иметь каркасную структуру с 12 атомами кремния и группами 12 R, именуемые как Т12, такую как:
Материал на основе POSS в альтернативном варианте может включать каркасные структуры Т6, Т14 или Т16. Среднее содержание каркаса можно регулировать во время синтеза и/или контролировать с помощью способов очистки, а в описанных в данном документе примерах можно использовать распределение размеров каркаса мономерных единиц.