патент
№ RU 2825582
МПК C07K16/28

ХЕМОСЕЛЕКТИВНАЯ ТИОЛ-КОНЪЮГАЦИЯ С АЛКЕН- ИЛИ АЛКИН-ФОСФОНОТИОЛАТАМИ И -ФОСФОНАТАМИ

Авторы:
ШУМАХЕР, Доминик (DE) ХАКЕНБЕРГЕР, Кристиан (DE) ХЕЛЬМА-СМЕТС, Йонас (DE)
Все (9)
Номер заявки
2020128767
Дата подачи заявки
06.03.2019
Опубликовано
27.08.2024
Страна
RU
Дата приоритета
15.12.2025
Номер приоритета
Страна приоритета
Как управлять
интеллектуальной собственностью
Реферат

[740]

Изобретение относится к области биотехнологии. Описана группа изобретений, включающая способ получения фосфонтиолата (варианты), способ получения соединения формулы (I) или формулы (I*), соединение (варианты), набор для твердофазного синтеза пептидов. В одном из вариантов реализации способ получения фосфонтиолата включает стадию приведения соединения формулы (I) во взаимодействие с тиолсодержащей молекулой с получением соединения формулы (III). Изобретение расширяет арсенал способов получения фосфонтиолатов. 10 н. и 12 з.п. ф-лы, 22 ил., 5 табл., 25 пр.

[741]

Формула изобретения

1. Способ получения фосфонотиолата, включающий стадию:

приведение соединения формулы (I)

где представляет собой двойную связь или тройную связь;

X представляет собой R3-C, когда представляет собой тройную связь;

X представляет собой (R3R4)C, когда представляет собой двойную связь;

Y представляет собой S;

R1 представляет собой необязательно замещенный алифатический или ароматический остаток;

R3 представляет собой Н или C1-C8-алкил;

R4 представляет собой Н или C1-C8-алкил; и

представляет собой алифатический или ароматический остаток;

во взаимодействие с тиолсодержащей молекулой формулы (II)

где представляет собой аминокислоту, пептид, белок, антитело, нуклеотид, олигонуклеотид, сахарид, полисахарид, полимер, необязательно замещенный C1-C8-алкил, необязательно замещенный фенил или необязательно замещенную ароматическую 5- или 6-членную гетероциклическую систему;

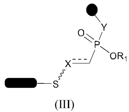
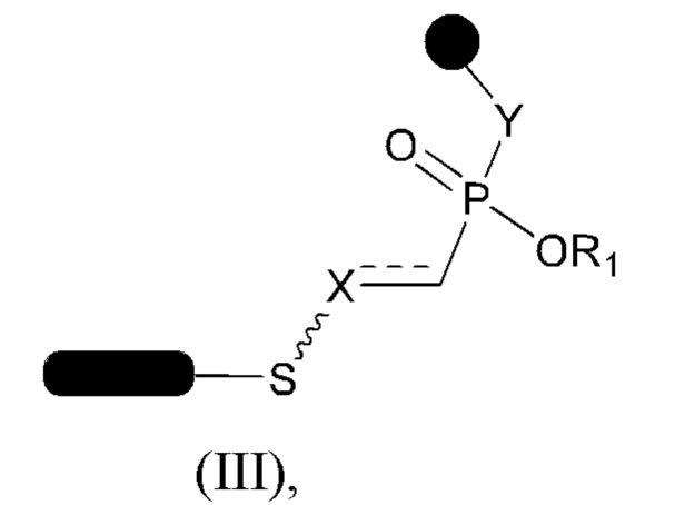
с получением соединения формулы (III)

где представляет собой связь, если в соединении формулы (I) представляет собой двойную связь; или

представляет собой двойную связь, если в соединении формулы (I) представляет собой тройную связь; и

R1, X и Y являются такими, как определено выше.

2. Способ по п. 1, отличающийся тем, что

а) представляет собой двойную связь, X представляет собой (R3R4)C, R3 и R4независимо представляют собой Н или C1-C8-алкил и представляет собой связь; или

б) представляет собой тройную связь, X представляет собой R3-C, R3представляет собой Н или C1-C8-алкил и представляет собой двойную связь.

3. Способ по п. 1 или 2, дополнительно включающий получение соединения формулы (I), при этом:

а) указанное получение включает:

приведение соединения формулы (IV)

где R1, X, Y, и являются такими, как определено в любом из предшествующих пунктов;

во взаимодействие с окислителем, таким как, например, трет-бутилгидропероксид (tBu-OOH), мета-хлорпероксибензойная кислота (mCPBA), пероксид водорода (Н2О2), йод (I2), пероксимоносульфат калия или кислород (О2), с образованием соединения формулы (I);

предпочтительно дополнительно включающий получение соединения формулы (IV), при этом указанное получение включает:

приведение во взаимодействие, в указанной последовательности, тригалогенида фосфора (X), предпочтительно PCl3, с (i) R1-OH (XI), (ii) где R2независимо представляет собой C1-C8-алкил, (iii) , где Hal представляет собой галоген, выбранный из группы, состоящей из Cl, Br и I, предпочтительно Br, и (iv) с образованием соединения формулы (IV);

где R1, X, Y, и являются такими, как определено в любом из предшествующих пунктов;

или

б) указанное получение включает:

приведение соединения формулы (V)

во взаимодействие с соединением формулы (VIa) или (VIb):

с образованием соединения формулы (I);

где EWG представляет собой электроноакцепторную группу, причем указанная электроноакцепторная группа предпочтительно выбрана из группы, состоящей из , где # указывает положение S; Hal представляет собой галоген, выбранный из группы, состоящей из Cl, Br и I, предпочтительно Cl, и

где R1, X, являются такими, как определено в любом из предшествующих пунктов;

предпочтительно, когда представляет собой двойную связь и X представляет собой (R3R4)C, где R3 и R4 являются такими, как определено в любом из предшествующих пунктов.

4. Способ получения фосфонотиолата, включающий стадию:

приведение соединения формулы (I*)

где V представляет собой C1-C8-алкил;

X представляет собой (R3R4)C;

где , Y, R1, R3 и R4 являются такими, как определено в любом из предшествующих пунктов,

во взаимодействие с тиолсодержащей молекулой формулы (II)

где является таким, как определено в любом из предшествующих пунктов;

с получением соединения формулы (III*)

где V, R1, X и Y являются такими, как определено в любом из предшествующих пунктов.

5. Способ по п. 4, дополнительно включающий получение соединения формулы (I*), при этом

а) указанное получение включает:

приведение соединения формулы (IV*)

где X представляет собой (R3R4)C и Y, R1, R3, R4, V и являются такими, как определено в любом из предшествующих пунктов;

во взаимодействие с окислителем, таким как, например, трет-бутилгидропероксид (tBu-OOH), мета-хлорпероксибензойная кислота (mCPBA), пероксид водорода (Н2О2), йод (I2), пероксимоносульфат калия или кислород (О2), с образованием соединения формулы (I*);

предпочтительно дополнительно включающий получение соединения формулы (IV*), при этом указанное получение включает:

приведение во взаимодействие, в указанной последовательности, тригалогенида фосфора (X), предпочтительно PCl3, с (i) R1-OH (XI), (ii) где R2независимо представляет собой C1-C8-алкил, (iii) где Hal представляет собой галоген, выбранный из группы, состоящей из Cl, Br и I, предпочтительно Br, и X представляет собой (R3R4)C, и с образованием соединения формулы (IV*);

где R1, R3, R4, V, Y и являются такими, как определено в любом из предшествующих пунктов;

или

б) указанное получение включает:

приведение соединения формулы (V*)

во взаимодействие с соединением формулы (VIa) или (VIb):

с образованием соединения формулы (I*);

где EWG представляет собой электроноакцепторную группу, причем указанная электроноакцепторная группа предпочтительно выбрана из группы, состоящей из где # указывает положение S; Hal представляет собой галоген, выбранный из группы, состоящей из Cl, Br и I, предпочтительно Cl; и

где X представляет собой (R3R4)C и R1, R3, R4, V и являются такими, как определено в любом из предшествующих пунктов.

6. Способ по п. 4 или 5, где V представляет собой метил, этил или пропил, более предпочтительно метил.

7. Способ по любому из предшествующих пунктов, отличающийся тем, что:

(1a) R1 представляет собой C1-C8-алкил, необязательно замещенный по меньшей мере одним (С18-алкокси)n, где n равняется 1, 2, 3, 4, 5 или 6, F, Cl, Br, I, -NO2, -N(С18-алкилом)Н, -NH2, -N3, -N(С18-алкилом)2, =O, С38-циклоалкилом, -S-S-(С18-алкилом), гидрокси-(С18-алкокси)n, где n равняется 1, 2, 3, 4, 5 или 6, С28-алкенилом, С28-алкинилом; или

R1 представляет собой фенил, необязательно независимо замещенный по меньшей мере одним C1-C8-алкилом, (С18-алкокси)n, где n равняется 1, 2, 3, 4, 5 или 6, F, Cl, I, Br, -NO2, -N(С18-алкилом)Н, -NH2 или -N(С18-алкилом)2; или

R1 представляет собой 5- или 6-членную гетероароматическую систему, такую как пиридил;

предпочтительно R1 представляет собой C1-C8-алкил, C1-C8-алкил, замещенный -S-S-(С18-алкилом), C1-C8-алкил, замещенный (С18-алкокси)n, где n равняется 1, 2, 3, 4, 5 или 6, C1-C8-алкил, замещенный необязательно замещенным фенилом; или фенил; или фенил, замещенный -NO2; и/или

(1б) R1 представляет собой метил, этил, пропил или бутил, более предпочтительно метил или этил; или

(1в) R1 представляет собой где каждый из R10, R11, R12 и R13 независимо представляет собой водород или C1-C8-алкил;

и # представляет собой положение О; или

(1г) R1 представляет собой C1-C8-алкил, замещенный фенилом, причем указанный фенил дополнительно замещен , где Z представляет собой О или NH, предпочтительно О, и где # представляет собой положение указанного фенила; или

(1д) R1 представляет собой C1-C8-алкил, замещенный фенилом, причем указанный фенил дополнительно замещен , и где # представляет собой положение указанного фенила;

(1e) R1 представляет собой , где n=0, 1, 2, 3, 4, 5, 6, 7, 8, 9 или 10; ; или, где n=0, 1, 2, 3, 4, 5, 6, 7, 8, 9 или 10, где # представляет собой положение О; или

(1ж) R1 представляет собой алифатический остаток, выбранный из нуклеиновой кислоты, пептида, белка, фермента, кофермента, антитела, нуклеотида, олигонуклеотида, моносахарида, полисахарида, полимера, такого как полиэтиленгликоль, полиоксиэтилен или полиглицерин, флуорофора или необязательно замещенного бензола, при условии, что прямая связь такой молекулы с основной структурой является алифатической; или

R1 представляет собой ароматический остаток, выбранный из необязательно замещенного фенила или пиридила, или пептида, при условии, что прямая связь пептида с основной структурой осуществляется через фенильный остаток;

и/или

(2а) представляет собой небольшую молекулу, такую как, например, необязательно замещенный C1-C8-алкил, предпочтительно этил, -CH2-фенил,

представляет собой необязательно замещенный фенил; или

представляет собой радиоактивный или нерадиоактивный нуклид, биотин, репортерный фермент, нуклеотид, олигонуклеотид, флуорофор, такой как CY5 или EDANS, аминокислоту, пептид или необязательно замещенную 5- или 6-членную гетероароматическую систему; где необязательно дополнительно содержит линкер, который соединен с Y; или

(2б) представляет собой:

биотин; или

представляет собой CY5 или EDANS; или

представляет собой фенил, необязательно замещенный одним, двумя, тремя, четырьмя или пятью заместителями, независимо выбранными из группы, состоящей из C1-C8-алкила, C1-C8-алкокси, галогена, -CN, -NO2, -NH2, -N(C1-C8-алкила), -N(С18-алкила)2, -СООН, -СОО(С18-алкила), -O-С(O)-(С18-алкила), -С(O)N(С18-алкила), -N(Н)-С(O)-(С18-алкила), предпочтительно необязательно замещенный одним заместителем, выбранным из группы, состоящей из C1-C8-алкокси, -СООН, -СОО(С18-алкила) и NO2; или

представляет собой C1-C8-алкил, необязательно замещенный по меньшей мере одним заместителем, выбранным из группы, состоящей из С38-циклоалкила; гетероциклила с 3-8 кольцевыми членами, где гетероатом(ы) выбран(ы) из N, О, S; C1-C8-алкокси; галогена; -CN; -NO2; -NH2; -N(С18-алкила); -N(С18-алкила)2; -СООН; -СОО(С18-алкила); -O-С(O)-(С18-алкила); -CONH2; -C(O)N(C1-C8-алкила)2; -С(O)NH-(С18-алкила); -N(Н)-С(O)-(С18-алкила), предпочтительно C1-C8-алкокси, -СООН, -СОО(С18-алкила) и NO2, фенила или гетероароматической системы, моносахарида, полисахарида, пептида, белка, антитела, нуклеотида, олигонуклеотида, полимера, такого как, например, полиэтиленгликоль, полиоксиэтилен или полиглицерин, аминокислоты, флуорофора, белковой метки в качестве заместителя 1-го поколения, где заместитель 1-го поколения необязательно может быть снова замещен С3-C8-циклоалкилом; гетероциклилом с 3-8 кольцевыми членами, где гетероатом(ы) выбран(ы) из N, О, S; C1-C8-алкокси; галогеном; -CN; -NO2; -NH2; -N(C1-C8-алкилом); -N(С18-алкилом)2; -СООН; -СОО(С18-алкилом); -O-C(O)-(C1-C8-алкилом); -CONH2; -С(O)N(С18-алкилом)2; -С(O)NH-(С18-алкилом); -N(H)-С(O)-(С18-алкилом), предпочтительно C1-C8-алкокси, -СООН, -COO(C1-C8-алкилом) и NO2, фенилом или гетероароматической системой в качестве заместителей 2-го поколения, и где заместитель 2-го поколения может быть снова замещен по меньшей мере одним заместителем, выбранным из той же группы, и где такое замещение может продолжаться до 3, 4, 5, 6, 7, 8, 9 или 10 поколения; или

представляет собой аминокислоту, пептид, белок, антитело, нуклеотид, олигонуклеотид, сахарид, полисахарид, полимер, такой как, например, полиэтиленгликоль, полиоксиэтилен или полиглицерин, необязательно замещенный C1-C8-алкил, необязательно замещенный фенил или необязательно замещенную ароматическую 5- или 6-членную гетероциклическую систему; где

необязательно дополнительно содержит линкер, который соединен с Y; или

представляет собой аминокислоту, пептид, белок, антитело, нуклеотид или олигонуклеотид; где необязательно дополнительно содержит линкер, который соединен с Y; или

(2в) представляет собой лекарственное средство, белковую метку или флуорофор, такой как CY5 или EDANS, биотин, белок, пептид, антитело или олигонуклеотид; где необязательно дополнительно содержит линкер, который соединен с Y; или

(2г) представляет собой линкер или конъюгат линкер-лекарственное средство;

(2д) представляет собой аминокислоту, пептид, нуклеотид или олигонуклеотид, где аминокислота, пептид, нуклеотид или олигонуклеотид связаны с твердой подложкой, где необязательно дополнительно содержит линкер, который соединен с Y; или

(2e) представляет собой алифатический остаток, выбранный из нуклеиновой кислоты, пептида, белка, фермента, кофермента, антитела, нуклеотида, олигонуклеотида, моносахарида, полисахарида, полимера, такого как полиэтиленгликоль, полиоксиэтилен или полиглицерин, флуорофора или необязательно замещенного бензола, при условии, что прямая связь такой молекулы с основной структурой является алифатической; или

представляет собой ароматический остаток, выбранный из необязательно замещенного фенила или пиридила, или пептида, при условии, что прямая связь пептида с основной структурой осуществляется через фенильный остаток;

и/или

(3а) представляет собой аминокислоту, пептид, белок, антитело, нуклеотид или олигонуклеотид; и/или

(3б) представляет собой антитело, предпочтительно антитело IgG, более предпочтительно цетуксимаб, или трастузумаб, или брентуксимаб; белок, предпочтительно белок GFP или белок eGFP, альбумин, трипептид, предпочтительно пептид формулы (VIII)

или формулы (IX)

где # представляет собой положение S; и/или

(3в) представляет собой аминокислоту, пептид, нуклеотид или олигонуклеотид, где аминокислота, пептид, нуклеотид или олигонуклеотид связаны с твердой подложкой.

8. Способ по любому из пп. 1-7, отличающийся тем, что

(а) представляет собой антитело и

представляет собой белковую метку или флуорофор, такой как CY5 или EDANS, биотин, пептид, белок, олигонуклеотид или небольшую молекулу; где

необязательно дополнительно содержит линкер, который соединен с Y; или

(б) представляет собой белок и

представляет собой белковую метку или флуорофор, такой как CY5 или EDANS, биотин, пептид, антитело, белок, олигонуклеотид или небольшую молекулу; где необязательно дополнительно содержит линкер, который соединен с Y; или

(в) представляет собой пептид и

представляет собой белковую метку или флуорофор, такой как CY5 или EDANS, биотин, пептид, белок, олигонуклеотид или небольшую молекулу; где

необязательно дополнительно содержит линкер, который соединен с Y; или

(г) представляет собой аминокислоту и

представляет собой белковую метку или флуорофор, такой как CY5 или EDANS, биотин, пептид, белок, олигонуклеотид или небольшую молекулу; где

необязательно дополнительно содержит линкер, который соединен с Y; или

(д) представляет собой антитело и

представляет собой линкер, лекарственное средство или конъюгат линкер-лекарственное средство; или

(е) представляет собой нуклеотид и

представляет собой пептид, белок, белковую метку, антитело, олигонуклеотид, флуорофор, такой как CY5 или EDANS, биотин или небольшую молекулу; где необязательно дополнительно содержит линкер, который соединен с Y; или

(ж) представляет собой нуклеотид и

представляет собой линкер; или

(з) представляет собой олигонуклеотид и

представляет собой пептид, белок, белковую метку, антитело, олигонуклеотид, флуорофор, такой как CY5 или EDANS, биотин или небольшую молекулу; где необязательно дополнительно содержит линкер, который соединен с Y; или

(и) представляет собой олигонуклеотид и

представляет собой линкер;

и/или

(к) и находятся в одной и той же молекуле; или

(л) находятся в одной и той же молекуле.

9. Способ по любому из пп. 1-8, отличающийся тем, что любая группа, определенная как необязательно замещенная, может быть замещена одним или более заместителями, выбранными из нитро, циано, Cl, F, Br, -NH-R, NR2, СООН, -COOR, -OC(O)R, -NH2, -ОН, -CONH2, CONHR, CON(R)2, -S-R, -SH, -С(O)Н, -C(O)R, (С120)-алкила, (С120)-алкокси, (С220)-аллила, (гетеро)циклических колец с 3-8 кольцевыми членами, в которых гетероатом или атомы, если присутствуют, независимо выбраны из N, О и S, (гетеро)ароматических систем с 5-12 кольцевыми атомами, где R может представлять собой любой из указанных заместителей.

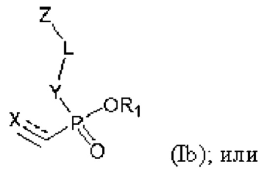
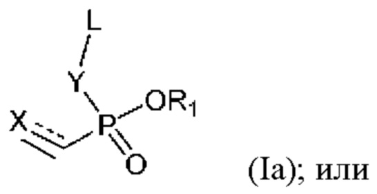
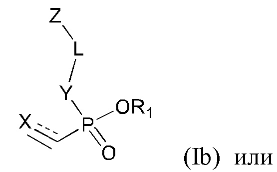
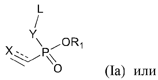
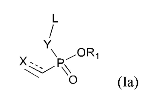
10. Способ получения соединения формулы (I) или формулы (I*), включающий:

(I) приведение соединения формулы (Ia)

формулы (I*а)

где L представляет собой линкер, подходящий для связывания с аминокислотой, пептидом, нуклеотидом или олигонуклеотидом, и

, X, Y, V и R1 являются такими, как определено в любом из предшествующих пунктов,

во взаимодействие с аминокислотой, пептидом, нуклеотидом или олигонуклеотидом, где аминокислота, пептид, нуклеотид или олигонуклеотид связаны с твердой подложкой,

с получением соединения формулы (Ib) или (I*b):

где Z представляет собой аминокислоту, пептид, нуклеотид или олигонуклеотид, где аминокислота, пептид, нуклеотид или олигонуклеотид связаны с твердой подложкой; и

(II) отщепление соединения формулы (Ib) или формулы (I*b) от твердой подложки с получением соединения формулы (I) или формулы (I*):

где представляет собой аминокислоту, пептид, нуклеотид или олигонуклеотид, связанные с Y через линкер L и

, X, Y, V и R1 являются такими, как определено выше.

11. Способ по п. 10, отличающийся тем, что

(а) линкер L представляет собой , где указывает положение Y, и каждый из m и n независимо представляет собой целое число от 0 до 20, от 0 до 15, от 1 до 10, от 1 до 8, от 1 до 6, от 1 до 4, от 1 до 3, от 1 до 2 или 1, предпочтительно m равняется 1 и n равняется 1; и/или

(б) соединение формулы (Ia) или (I*а) приводят во взаимодействие с пептидом, связанным с твердой подложкой, или олигонуклеотидом, связанным с твердой подложкой, предпочтительно с пептидом, связанным с твердой подложкой; и/или

(в) отщепление проводят в кислых условиях; и/или

(г) дополнительно включающий приведение соединения формулы (I) или формулы (I*) во взаимодействие с соединением формулы (II), как определено в любом из предшествующих пунктов.

12. Соединение формулы (I)

где представляет собой двойную связь, X представляет собой (R3R4)C, R3 представляет собой Н и R4 представляет собой Н; или

представляет собой тройную связь, X представляет собой R3-C и R3 представляет собой Н или C1-C8-алкил;

R1 и Y являются такими, как определено в любом из предшествующих пунктов; и

является таким, как определено в любом из предшествующих пунктов, за исключением нуклеотидов и олигонуклеотидов.

13. Соединение формулы (I*)

где X представляет собой (R3R4)C, R3 представляет собой Н и R4 представляет собой Н;

R1, V и Y являются такими, как определено в любом из предшествующих пунктов;

и является таким, как определено в любом из предшествующих пунктов, за исключением нуклеотидов и олигонуклеотидов.

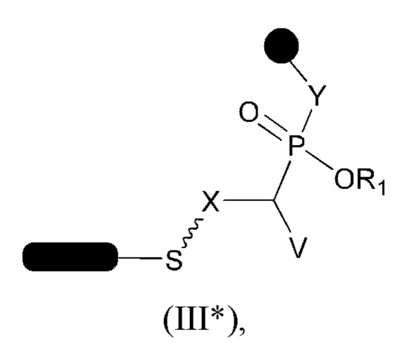
14. Соединение формулы (III)

где

(a1) представляет собой связь и X представляет собой (R3R4)C, где R3 и R4 независимо представляют собой Н или C1-C8-алкил, и представляет собой аминокислоту, пептид, белок, антитело, сахарид, полисахарид или полимер; или

(а2) представляет собой двойную связь и X представляет собой R3C, где R3 представляет собой Н или C1-C8-алкил, и представляет собой аминокислоту, пептид, белок, антитело, сахарид, полисахарид или полимер; R1 и Y являются такими, как определено в любом из предшествующих пунктов; и

является таким, как определено в любом из предшествующих пунктов, за исключением нуклеотидов и олигонуклеотидов.

15. Соединение формулы (III*)

где X представляет собой (R3R4)C и представляет собой аминокислоту, пептид, белок, антитело, сахарид, полисахарид или полимер;

V, Y, R1, R3 и R4 являются такими, как определено в любом из предшествующих пунктов; и

является таким, как определено в любом из предшествующих пунктов, за исключением нуклеотидов и олигонуклеотидов.

16. Соединение по любому из пп. 12-15, отличающееся тем, что

(1a) R1 представляет собой C1-C8-алкил, необязательно замещенный по меньшей мере одним (С18-алкокси)n, где n равняется 1, 2, 3, 4, 5 или 6, F, Cl, Br, I, -NO2, -N(С18-алкилом)Н, -NH2, -N3, -N(С18-алкилом)2, =O, С38-циклоалкилом, -S-S-(С18-алкилом), гидрокси-(С18-алкокси)n, где n равняется 1, 2, 3, 4, 5 или 6, С28-алкенилом, С28-алкинилом; или

R1 представляет собой фенил, необязательно независимо замещенный по меньшей мере одним C1-C8-алкилом, (С18-алкокси)n, где n равняется 1, 2, 3, 4, 5 или 6, F, Cl, I, Br, -NO2, -N(С18-алкилом)Н, -NH2 или -N(С18-алкилом)2; или

R1 представляет собой 5- или 6-членную гетероароматическую систему, такую как пиридил;

предпочтительно R1 представляет собой C1-C8-алкил, C1-C8-алкил, замещенный -S-S-(С18-алкилом), C1-C8-алкил, замещенный (С18-алкокси)n, где n равняется 1, 2, 3, 4, 5 или 6, C1-C8-алкил, замещенный необязательно замещенным фенилом; или фенил; или фенил, замещенный -NO2; и/или

(1б) R1 представляет собой метил, этил, пропил или бутил, более предпочтительно метил или этил; или

(1в) R1 представляет собой где каждый из R10, R11, R12 и R13 независимо представляет собой водород или C1-C8-алкил; и # представляет собой положение О; или

(1г) R1 представляет собой C1-C8-алкил, замещенный фенилом, причем указанный фенил дополнительно замещен где Z представляет собой О или NH, предпочтительно О, и где # представляет собой положение указанного фенила; или

(1д) R1 представляет собой C1-C8-алкил, замещенный фенилом, причем указанный фенил дополнительно замещен , и где # представляет собой положение указанного фенила;

(1e) R1 представляет собой , где n=0, 1, 2, 3, 4, 5, 6, 7, 8, 9 или 10; , где n=0, 1, 2, 3, 4, 5, 6, 7, 8, 9 или 10, где # представляет собой положение О; или

(1ж) R1 представляет собой алифатический остаток, выбранный из нуклеиновой кислоты, пептида, белка, фермента, кофермента, антитела, нуклеотида, олигонуклеотида, моносахарида, полисахарида, полимера, такого как полиэтиленгликоль, полиоксиэтилен или полиглицерин, флуорофора или необязательно замещенного бензола, при условии, что прямая связь такой молекулы с основной структурой является алифатической; или

R1 представляет собой ароматический остаток, выбранный из необязательно замещенного фенила или пиридила, или пептида, при условии, что прямая связь пептида с основной структурой осуществляется через фенильный остаток;

и/или

(2а) представляет собой небольшую молекулу, такую как, например, необязательно замещенный C1-C8-алкил, предпочтительно этил, -CH2-фенил,

, где указывает положение Y; или

представляет собой необязательно замещенный фенил; или

представляет собой радиоактивный или нерадиоактивный нуклид, биотин, репортерный фермент, флуорофор, такой как CY5 или EDANS, аминокислоту, пептид или необязательно замещенную 5- или 6-членную гетероароматическую систему; где необязательно дополнительно содержит линкер, который соединен с Y; или

(2б) представляет собой биотин; или

представляет собой CY5 или EDANS; или

представляет собой фенил, необязательно замещенный одним, двумя, тремя, четырьмя или пятью заместителями, независимо выбранными из группы, состоящей из C1-C8-алкила, C1-C8-алкокси, галогена, -CN, -NO2, -NH2, -N(C1-C8-алкила), N(С18-алкила)2, -СООН, -СОО(С18-алкила), -O-С(O)-(С18-алкила), -С(O)N(С18-алкила), -N(Н)-С(O)-(С18-алкила), предпочтительно необязательно замещенный одним заместителем, выбранным из группы, состоящей из С18-алкокси, -СООН, -СОО(С18-алкила) и NO2; или

представляет собой C1-C8-алкил, необязательно замещенный по меньшей мере одним заместителем, выбранным из группы, состоящей из С38-циклоалкила; гетероциклила с 3-8 кольцевыми членами, где гетероатом(ы) выбран(ы) из N, О, S; С18-алкокси; галогена; -CN; -NO2; -NH2; -N(С18-алкила); -N(С18-алкила)2; -СООН; -СОО(С18-алкила); -O-С(O)-(С18-алкила); -CONH2; -C(O)N(C1-C8-алкила)2; -С(O)NH-(С18-алкила); -N(Н)-С(O)-(С18-алкила), предпочтительно C1-C8-алкокси, -СООН, -СОО(С18-алкила) и NO2, фенила или гетероароматической системы, моносахарида, полисахарида, пептида, белка, антитела, нуклеотида, олигонуклеотида, полимера, такого как, например, полиэтиленгликоль, полиоксиэтилен или полиглицерин, аминокислоты, флуорофора, белковой метки в качестве заместителя 1-го поколения, где заместитель 1-го поколения необязательно может быть снова замещен С3-C8-циклоалкилом; гетероциклилом с 3-8 кольцевыми членами, где гетероатом(ы) выбран(ы) из N, О, S; C1-C8-алкокси; галогеном; -CN; -NO2; -NH2; -N(C1-C8-алкилом); -N(С18-алкилом)2; -СООН; -СОО(С18-алкилом); -O-C(O)-(C1-C8-алкилом); -CONH2; -С(O)N(С18-алкилом)2; -С(O)NH-(С18-алкилом); -N(H)-С(O)-(С18-алкилом), предпочтительно C1-C8-алкокси, -СООН, -COO(C1-C8-алкилом) и NO2, фенилом или гетероароматической системой в качестве заместителей 2-го поколения, и где заместитель 2-го поколения может быть снова замещен по меньшей мере одним заместителем, выбранным из той же группы, и где такое замещение может продолжаться до 3, 4, 5, 6, 7, 8, 9 или 10 поколения; или

представляет собой аминокислоту, пептид, белок, антитело, сахарид, полисахарид, полимер, такой как, например, полиэтиленгликоль, полиоксиэтилен или полиглицерин, необязательно замещенный C1-C8-алкил, необязательно замещенный фенил или необязательно замещенную ароматическую 5- или 6-членную гетероциклическую систему; где необязательно дополнительно содержит линкер, который соединен с Y; или

представляет собой аминокислоту, пептид, белок или антитело; где необязательно дополнительно содержит линкер, который соединен с Y; или

(2в) представляет собой лекарственное средство, белковую метку или флуорофор, такой как CY5 или EDANS, биотин, белок, пептид или антитело; где

необязательно дополнительно содержит линкер, который соединен с Y; или

(2 г) представляет собой линкер или конъюгат линкер-лекарственное средство;

(2д) представляет собой аминокислоту или пептид, где аминокислота или пептид связаны с твердой подложкой, где необязательно дополнительно содержит линкер, который соединен с Y, предпочтительно где соединение представляет собой соединение формулы (I) или формулы (I*); или

(2e) представляет собой алифатический остаток, выбранный из нуклеиновой кислоты, пептида, белка, фермента, кофермента, антитела, моносахарида, полисахарида, полимера, такого как, например, полиэтиленгликоль, полиоксиэтилен или полиглицерин, флуорофора или необязательно замещенного бензола, при условии, что прямая связь такой молекулы с основной структурой является алифатической; или

представляет собой ароматический остаток, выбранный из необязательно замещенного фенила, или пиридила, или пептида, при условии, что прямая связь пептида с основной структурой осуществляется через фенильный остаток;

и/или

соединение по п. 14, 15 или 16, подпункты от (1а) до (2е), отличающееся тем, что

(3а) представляет собой аминокислоту, пептид, белок или антитело; и/или

(36) представляет собой антитело, предпочтительно антитело IgG, более предпочтительно цетуксимаб, или трастузумаб, или брентуксимаб; белок, предпочтительно белок GFP или белок eGFP, альбумин, трипептид, предпочтительно пептид формулы (VIII)

или формулы (IX)

где # представляет собой положение S; и/или

(3в) представляет собой аминокислоту или пептид, где аминокислота или пептид связаны с твердой подложкой.

17. Соединение по п. 14, 15 или 16, отличающееся тем, что

(а) представляет собой антитело и

представляет собой белковую метку или флуорофор, такой как CY5 или EDANS, биотин, пептид, белок или небольшую молекулу; где необязательно дополнительно содержит линкер, который соединен с Y; или

(б) представляет собой белок и

представляет собой белковую метку или флуорофор, такой как CY5 или EDANS, биотин, пептид, антитело, белок или небольшую молекулу; где необязательно дополнительно содержит линкер, который соединен с Y; или

(в) представляет собой пептид и

представляет собой белковую метку или флуорофор, такой как CY5 или EDANS, биотин, пептид, антитело, белок или небольшую молекулу; где необязательно дополнительно содержит линкер, который соединен с Y; или

(г) представляет собой аминокислоту и

представляет собой белковую метку или флуорофор, такой как CY5 или EDANS, биотин, пептид, белок или небольшую молекулу; где необязательно дополнительно содержит линкер, который соединен с Y; или

(д) представляет собой антитело и

представляет собой линкер, лекарственное средство или конъюгат линкер-лекарственное средство.

18. Соединение по любому из пп. 12-17, отличающееся тем, что любая группа, определенная как необязательно замещенная, может быть замещена одним или более заместителями, выбранными из нитро, циано, Cl, F, Br, -NH-R, NR2, СООН, -COOR, -OC(O)R, -NH2, -ОН, -CONH2, CONHR, CON(R)2, -S-R, -SH, -С(O)Н, -C(O)R, (С120)-алкила, (С120)-алкокси, (С220)-аллила, (гетеро)циклических колец с 3-8 кольцевыми членами, в которых гетероатом или атомы, если присутствуют, независимо выбраны из N, О и S, (гетеро)ароматических систем с 5-12 кольцевыми атомами, где R может представлять собой любой из указанных заместителей.

19. Набор, подходящий для твердофазного синтеза пептидов, включающий твердую подложку и

соединение формулы (Ia)

и/или соединение формулы (I*а)

где L представляет собой линкер, подходящий для связывания с аминокислотой или пептидом; и

где , R1, X, Y и V являются такими, как определено в любом из предшествующих пунктов.

20. Набор по п. 19, отличающийся тем, что

(а) линкер L представляет собой , где # указывает положение Y, и каждый из m и n независимо представляет собой целое число от 0 до 20, от 0 до 15, от 1 до 10, от 1 до 8, от 1 до 6, от 1 до 4, от 1 до 3, от 1 до 2 или 1, предпочтительно m равняется 1 и n равняется 1; и/или

(б) дополнительно включающий одну или более аминокислот и/или один или более пептидов.

21. Соединение формулы (IIIа)

где представляет собой связь и X представляет собой (R3R4)C; или

представляет собой двойную связь и X представляет собой R3-C;

представляет собой аминокислоту, пептид, белок, антитело, сахарид, полисахарид или полимер;

является таким, как определено в любом из предшествующих пунктов, за исключением нуклеотидов и олигонуклеотидов; и

R1, X и Y являются такими, как определено в любом из предшествующих пунктов.

22. Соединение формулы (III*а)

где X представляет собой (R3R4)C;

представляет собой аминокислоту, пептид, белок, антитело, сахарид, полисахарид или полимер;

является таким, как определено в любом из предшествующих пунктов, за исключением нуклеотидов и олигонуклеотидов; и

V, Y, R1, R3 и R4 являются такими, как определено в любом из предшествующих пунктов.

Описание

[1]

УРОВЕНЬ ТЕХНИКИ

[2]

Хемоселективные и биоортогональные реакции являются мощными инструментами для сайт-специфической модификации белков (Hackenberger, С.P.R.; Schwarzer, D. Angew. Chemie - Int. Ed. 2008, 47 (52), 10030; Spicer, C.D.; Davis, B.G. Nat. Commun. 2014, 5, 4740). Посредством указанных реакций стали доступны различные конъюгаты на основе белков и антител, которые несут функциональные модули, такие как флуорофоры и другие спектроскопические метки, полимеры, токсины, а также небольшие молекулы и белки, которые сходны с посттрансляционными модификациями белков. Таким образом, способы хемоселективной модификации белков внесли большой вклад в фундаментальные исследования, начиная от изучения биологических функций белков и разработки новых способов визуализации до новых многообещающих медицинских подходов в диагностике, разработки фармацевтических препаратов на основе белков и направленной доставки лекарственных средств.

[3]

В последние годы исследователи основное внимание уделяли двум различным аспектам разработки биоортогональных реакций модификации белков (Sletten, Е.М.; Bertozzi, С.R. Angew. Chemie - Int. Ed. 2009, 48 (38), 6974). С одной стороны, много усилий было направлено на быстрые реакции, требующие высокореакционных исходных материалов для трансформации уникальных функциональных групп, присутствующих в боковых цепях белка (Patterson, D.М.; Nazarova, L.A.; Prescher, J.A. ACS Chem. Biol. 2014, 9 (3), 592; Lang, K.; Chin, J.W. ACS Chem. Biol. 2014, 9 (1), 16). Указанный подход дополняется передовыми техниками амбер-супрессии для достижения сайт-специфического введения метки, в результате чего ряд генетически закодированных высокореакционных биоортогональных репортеров подвергаются различным типам реакций циклоприсоединения, включая азид-алкиновое циклоприсоединение, промотируемое напряжением, или обращенные варианты реакций Дильса-Альдера (Nikic, I.; Plass, Т.; Schraidt, О.; Szymaski, J.; Briggs, J.A.G.; Schultz, C.; Lemke, E.A. Angew. Chemie - Int. Ed. 2014, 53 (8), 2245; Agard, N.J.; Prescher, J.A.; Bertozzi, C.R. J. Am. Chem. Soc. 2004, 126 (46), 15046). С другой стороны, исследователи сосредоточились на разработке и применении реакций модификации белков с высоким выходом, особенно если требуются большое количество функциональных конъюгатов белков и, в идеале, количественные превращения для избегания трудоемких, если вообще возможных, стадий очистки (1). Для достижения этого особое значение имеют высокие выходы при экспрессии белка. Поскольку амбер-супрессия может приводить к низким количествам экспрессируемого белка, часто предпочтительны стандартные и ауксотрофные системы экспрессии. Распространенным сценарием для достижения сайт-специфического введения метки в сочетании со стандартной экспрессией белка является размещение уникального Cys остатка в выбранном белке путем сайт-направленного мутагенеза с последующими стратегиями модификации Cys (Chalker, J.М.; Bemardes, G.J.L.; Lin, Y.A.; Davis, B.G. Chem. - An Asian J. 2009, 4 (5), 630). Альтернативно, азид- или алкинсодержащие аминокислоты можно включать с применением ауксотрофных систем экспрессии (Hoesl, М.G.; Budisa, N. Angew. Chemie - Int. Ed. 2011, 50 (13), 2896), которые можно модифицировать с применением лигирования по Штаудингеру и азид-алкинового циклоприсоединения, катализируемого Cu (CuAAC) (Artner, L.М.; Merkel, L.; Bohlke, N.; Beceren-Braun, F.; Weise, C.; Dernedde, J.; Budisa, N.; Hackenberger, C.P.R. Chem. Commun. 2012, 48 (4), 522; van Kasteren, S. I.; Kramer, H. В.; Jensen, H. H.; Campbell, S. J.; Kirkpatrick, J.; Oldham, N.J.; Anthony, D.C.; Davis, B.G. Nature 2007, 446(7139), 1105).

[4]

Хотя в последние годы в обоих указанных аспектах произошли значительные улучшения, общая и модульная доступность высокореакционных и комплексных функциональных модулей для безметалловой хемоселективной реакции модификации часто остается сложной задачей. Это связано с необходимостью дополнительных манипуляций с защитными группами при синтезе реакционноспособных структурных элементов, что может являться проблематичным с учетом высокой реакционной способности и лабильности применяемых функциональных групп. Например, синтез высокореакционного циклооктинсодержащего флуоресцентного пептида, несущего Хекриптофан для молекулярной визуализации, требует сложного и при этом обладающего низким выходом применения ортогональных защитных групп (Witte, С.; Martos, V.; Rose, Н.М.; Reinke, S.; Klippel, S.; Schröder, L.; Hackenberger, C.P.R. Angew. Chemie - Int. Ed. 2015, 54 (9), 2806).

[5]

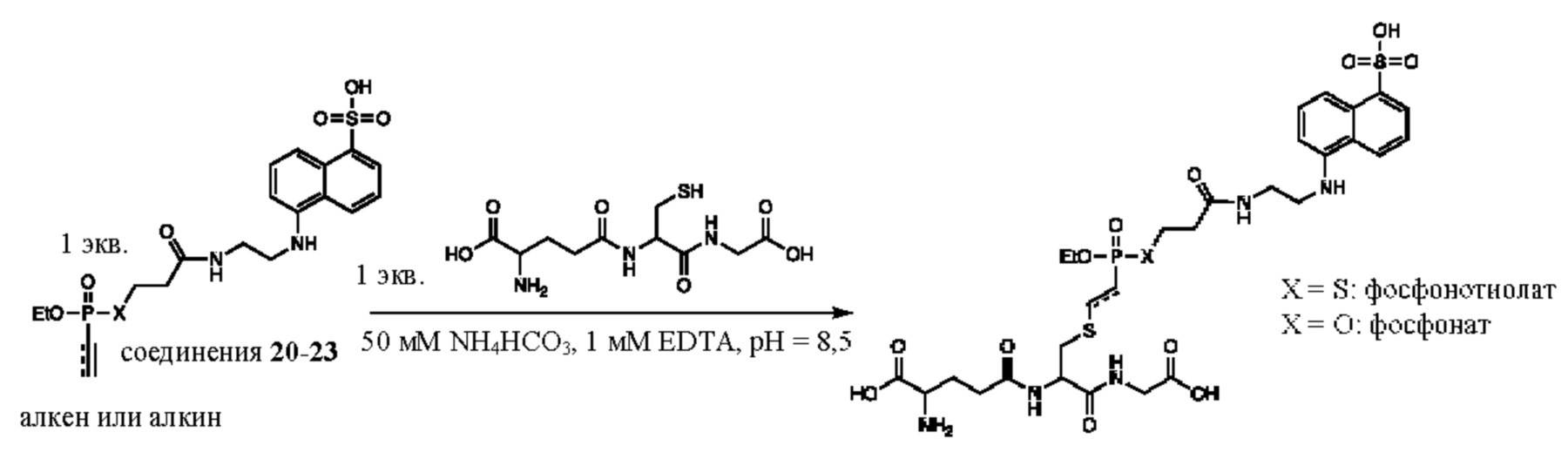
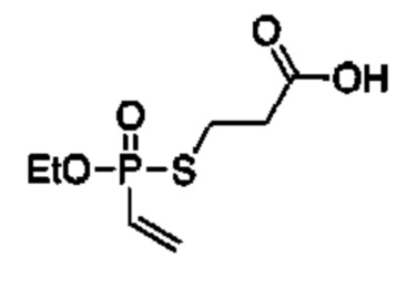
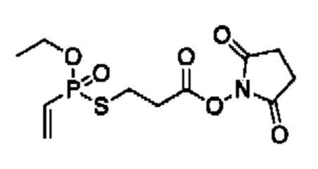
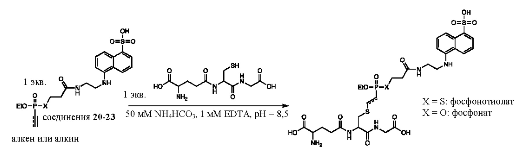
Предыдущие способы конъюгации остатков Cys основаны преимущественно на конъюгации малеимида. Тем не менее, конъюгаты малеимида часто являются нестабильными, в частности, они часто склонны к гидролизу и тиольному обмену при высоких концентрациях тиола. Недавний комплексный обзор способов Cys-конъюгации см. в Gunnoo, S.В.; Madder, A.; ChemBioChem. 2016, 17, 529-553. В качестве альтернативного способа конъюгации в документе № WO 2015/169784 описывается способ получения пептидов и белков с С2-дисульфидной мостиковой связью, в котором мостиковую связь получают путем тиол-иновой реакции с алкинами. В документе № US 2535174 описывается катализируемое щелочью присоединение насыщенных алифатических меркаптанов к сложным эфирам этенфосфоновых кислот. В J. Bertran-Vicente et al., Nature Comm. 2016, 7, DOI: 10.1038/ncomms12703 описывается последовательность, в которой защищенный фосфит взаимодействует сначала с электрофильным дисульфидом с образованием сложного эфира фосфотиоловой кислоты, который при снятии защиты (например, под воздействием УФ-света или основания) приводит к получению фосфорилированного цистеина. Указанный способ применяли для синтеза встречающихся в природе фосфорилированных цистеиновых пептидов.

[6]

Задачей настоящего изобретения является обеспечение дополнительных способов получения конъюгатов и обеспечение дополнительных конъюгатов.

[7]

ПОДРОБНОЕ ОПИСАНИЕ ИЗОБРЕТЕНИЯ

[8]

Определения

[9]

Специалисту в данной области техники известно, что формы единственного числа, применяемые в настоящей заявке, могут, в зависимости от ситуации, означать "один (1)", "один (1) или более" или "по меньшей мере один (1)".

[10]

Галоген, если не указано иное: элементы 7ой главной группы, предпочтительно фтор, хлор, бром и йод, более предпочтительно фтор, хлор и бром, и в комбинации с Mg еще более предпочтительно бром.

[11]

Алкил, если в другом месте не указано иное: насыщенные углеводородные радикалы с прямой или разветвленной цепью, содержащие предпочтительно (C1-C8)-, (C16)- или (С14)-атомов углерода. Примеры: метил, этил, пропил, 1-метилэтил, бутил и т.д.

[12]

Алкенил, если в другом месте не указано иное: ненасыщенные углеводородные радикалы с прямой или разветвленной цепью, содержащие двойную связь. Алкенил предпочтительно представляет собой (С28)-, (С26)- или (С24)-алкенил. Примеры: этенил, 1-пропенил, 3-бутенил и т.д.

[13]

Алкинил, если в другом месте не указано иное: ненасыщенные углеводородные радикалы с прямой или разветвленной цепью, содержащие тройную связь. Алкинил предпочтительно представляет собой (C28)-, (C26)- или (С24)-алкинил. Примеры: этинил, 1-пропинил и т.д.

[14]

Алкокси (алкильный радикал -О-), если в другом месте не указано иное: алкильный радикал, который прикреплен через атом кислорода (-О-) к основной структуре. Алкокси предпочтительно представляет собой (С18)-, (С16)- или (С14)-алкокси. Примеры: метокси, этокси, пропокси, 1-метилэтокси и т.д.

[15]

Аналогично, алкенокси и алкинокси, если в другом месте не указано иное, представляют собой алкенильные радикалы и алкинильные радикалы, соответственно, которые прикреплены через -О- к основной структуре. Алкенокси предпочтительно представляет собой (С28)-, (С26)- или (С24)-алкенокси. Алкинокси предпочтительно представляет собой (С310)-, (С36)- или (С34)-алкинокси.

[16]

Алкилкарбонил (алкильный радикал -С(=O)-), если не указано иное: алкилкарбонил предпочтительно представляет собой (C1-C8)-, (C1-C6)- или (С14)-алкилкарбонил. В данном случае количество атомов углерода относится к алкильному радикалу в алкилкарбонильной группе.

[17]

Аналогично, алкенилкарбонил и алкинилкарбонил, если в другом месте не указано иное, представляют собой алкенильные радикалы и алкинильные радикалы, соответственно, которые прикреплены через -С(=O)- к основной структуре. Алкенилкарбонил предпочтительно представляет собой (С28)-, (С26)- или (С24)-алкенилкарбонил. Алкинилкарбонил предпочтительно представляет собой (С2-C8)-, (С26)- или (С24)-алкинилкарбонил.

[18]

Алкоксикарбонил (алкильный радикал -O-С(=O)-), если в другом месте не указано иное: алкоксикарбонил предпочтительно представляет собой (C1-C8)-, (C1-C6)- или (С14)-алкоксикарбонил. В данном случае количество атомов углерода относится к алкильному радикалу в алкоксикарбонильной группе.

[19]

Аналогично, алкеноксикарбонил и алкиноксикарбонил, если в другом месте не указано иное, представляют собой алкенильные радикалы и алкинильные радикалы, соответственно, которые прикреплены через -O-С(=O)- к основной структуре. Алкеноксикарбонил предпочтительно представляет собой (С2-C8)-, (С26)- или (С24)-алкеноксикарбонил. Алкиноксикарбонил предпочтительно представляет собой (С38)-, (С36)- или (С34)-алкиноксикарбонил.

[20]

Алкилкарбонилокси (алкильный радикал -С(=O)-O-), если в другом месте не указано иное: алкильный радикал, который прикреплен через атом кислорода карбонилоксигруппы (-С(=O)-O-) к основной структуре. Алкилкарбонилокси предпочтительно представляет собой (C1-C8)-, (C16)- или (С14)-алкилкарбонилокси.

[21]

Аналогично, алкенилкарбонилокси и алкинилкарбонилокси, если в другом месте не указано иное, представляют собой: алкенильные радикалы и алкинильные радикалы, соответственно, которые прикреплены через (-С(=O)-O-) к основной структуре. Алкенилкарбонилокси предпочтительно представляет собой (С2-C8)-, (С26)- или (С24)-алкенилкарбонилокси. Алкинилкарбонилокси предпочтительно представляет собой (С28)-, (С26)- или (С24)-алкинилкарбонилокси.

[22]

Алкилтио, если в другом месте не указано иное: алкильный радикал, который прикреплен через -S- к основной структуре. Алкилтио предпочтительно представляет собой (C1-C8)-, (C1-C6)- или (С14)-алкилтио.

[23]

Аналогично, алкенилтио и алкинилтио, если в другом месте не указано иное, представляют собой: алкенильные радикалы и алкинильные радикалы, соответственно, которые прикреплены через -S- к основной структуре. Алкенилтио предпочтительно представляет собой (C2-C8)-, (С26)- или (С24)-алкенилтио. Алкинилтио предпочтительно представляет собой (С3-C8)-, (С36)- или (С34)-алкинилтио.

[24]

Применяемые термины "замещенный" или "необязательно замещенный" или т.п., если в другом месте не указано иное, относятся к очень широкой схеме замещения. Как можно видеть из описания настоящего изобретения, особенно положения R1, и допускают замещение многочисленными органическими (макро)молекулами. Предполагают, что структура указанных молекул не имеет отношения к описанному в настоящем изобретении способу и получаемым конъюгатам. Таким образом, было бы чрезмерным ограничивать принцип указанной новой и инновационной концепции только некоторыми молекулами. Тем не менее, предполагают, что термин относится к органическим заместителям или их солям, соответственно, которые могут быть снова замещены несколько раз дополнительными органическими заместителями или их солями, соответственно. Примеры таких комплексных заместителей были получены и представлены в настоящей заявке (см., например, схемы 7, 8, фигуру 4 и примеры синтеза). Предпочтительно термин "замещенный" относится к группам, которые замещены одним или более заместителями, выбранными из нитро, циано, Cl, F, Cl, Br, -NH-R, NR2, СООН, -COOR, -OC(O)R, -NH2, -ОН, -CONH2, CONHR, CON(R)2, -S-R, -SH, -C(O)H, -C(O)R, (С120)-алкила, (С120)-алкокси, (С220)-аллила, (гетеро)циклических колец с 3-8 кольцевыми членами, в которых гетероатом или гетероатомы, если присутствуют, независимо выбраны из N, О и S, (гетеро)ароматических систем с 5-12 кольцевыми атомами (например, фенил, пиридил, нафтил и т.д.), где R опять же может представлять собой любой из указанных заместителей, и замещение можно повторять несколько раз, например, замещение можно повторять 1, 2, 3, 4, 5, 6, 7, 8, 9 или 10 раз; см., например, заместитель в следующем фрагменте:

[25]

где # представляет собой положение Y (сера или кислород в применяемых в настоящем документе соединениях), если уже является частью соединения, например, формулы (I) или (III). Тем не менее, специалист в данной области техники согласится с тем, что алкильную цепь, которая замещена, например, полисахаридом из 40 звеньев, нельзя просто описать общей схемой замещения.

[26]

Термин "пептид", применяемый в настоящей заявке, относится к органическому соединению, содержащему две или более аминокислот, ковалентно связанных пептидными связями (амидная связь). С учетом количества составляющих аминокислот, к пептидам можно отнести дипептид, т.е. содержащий два аминокислотных остатка, трипептид, содержащий три, и т.д. Пептиды, содержащие десять или менее аминокислот, можно отнести к олигопептидам, тогда как пептиды, содержащие более десяти аминокислотных остатков, например, вплоть до примерно 30 аминокислотных остатков, представляют собой полипептиды. Аминокислоты могут образовывать по меньшей мере один круг, или разветвленную или неразветвленную цепь, или их смесь. Белки и антитела являются пептидами и, таким образом, охватываются указанным термином, но могут указываться отдельно из-за их важности.

[27]

Термин "аминокислота", применяемый в настоящей заявке, относится к органическому соединению, содержащему группу -СН(NH3)-СООН. В одном из вариантов реализации термин "аминокислота" относится к встречающейся в природе аминокислоте: аргинину, лизину, аспарагиновой кислоте, глутаминовой кислоте, глутамину, аспарагину, гистидину, серину, треонину, тирозину, цистеину, метионину, триптофану, аланину, изолейцину, лейцину, фенилаланину, валину, пролину и глицину. Тем не менее, термин в своем более широком значении также охватывает не встречающиеся в природе аминокислоты.

[28]

Аминокислоты и пептиды согласно настоящему изобретению также могут быть модифицированы по функциональным группам. Неограничивающие примеры представляют собой сахариды, например, N-ацетилгалактозамин (GalNAc), или защитные группы, например, флуоренилметоксикарбонил (Fmoc)-модификации или сложные эфиры.

[29]

Термин "белок" относится к пептидам, которые содержат одну или более длинных цепей аминокислотных остатков, например, с более, чем примерно 30 аминокислотными остатками. Белки выполняют широкий спектр функций in vivo и in vitro, включая катализирование метаболических реакций, репликацию ДНК, реагирование на стимулы и транспортировку молекул, катализирующих реакции. Белки складываются в определенную трехмерную структуру. Остатки в белках часто модифицированы химически, например, путем посттрансляционной модификации, которая изменяет физические и химические свойства, фолдинг, стабильность, активность и, в итоге, функцию белков. Иногда к белкам присоединены непептидные группы, которые можно назвать простетическими группами или кофакторами. Белки, включая ферменты и коферменты, также могут работать вместе для достижения определенной функции, и они часто связываются с образованием стабильных белковых комплексов. Все указанные формы охватываются термином "белок".

[30]

Термин "белковые метки", применяемый в настоящей заявке, относится к пептидным последовательностям, которые можно присоединять к белкам или другим тиолсодержащим соединениям через линкер согласно настоящему изобретению для различных целей. Неограничивающие примеры белковых меток представляют собой аффинные метки, солюбилизирующие метки, хроматографические метки, эпитопные метки и репортерные ферменты.

[31]

Аффинные метки присоединяются к белкам и другим тиолсодержащим соединениям через линкер согласно настоящему изобретению, так что они могут быть, например, очищены с применением аффинного способа. Они включают, например, метку хитинсвязывающий белок (СВР), мальтозосвязывающий белок (МВР) и глутатион-S-трансферазу (GST) или поли(His).

[32]

Солюбилизирующие метки можно применять для содействия правильному фолдингу белков и предотвращения их осаждения. Они включают тиоредоксин (TRX) и поли(NANP). Некоторые аффинные метки играют двойную роль в качестве солюбилизирующего агента, например, МВР и GST.

[33]

Хроматографические метки применяют для изменения хроатографических свойств белка для обеспечения различного разрешения в зависимости от конкретного способа разделения. Часто они состоят из полианионных аминокислот, например, FLAG-метка.

[34]

Эпитопные метки представляют собой короткие пептидные последовательности, которые выбирают благодаря тому, что высокоаффинные антитела могут стабильно вырабатываться у множества различных видов. Они обычно происходят из вирусных генов. Эпитопные метки включают V5-метку, Мус-метку, НА-метку и NE-метку. Указанные метки особенно подходят для экспериментов по вестерн-блоттингу, иммунофлуоресценции и иммунопреципитации и очистки антител.

[35]

Термин "репортерные ферменты", применяемый в настоящей заявке, относится к любому известному ферменту, который позволяет увеличить сигнал при биохимическом детектировании. Неограничивающие примеры представляют собой ферменты, образующие окрашивающие вещества, такие как щелочная фосфатаза (АР), пероксидаза хрена (HRP) или глюкозооксидаза (GOX); флуоресцентные белки, такие как зеленый флуоресцентный белок (GFP), редокс-чувствительный GFP (RoGFP), азурит или изумруд; люциферазу, т.е. класс окислительных ферментов, вызывающих биолюминесценцию (например, люцифераза светлячков (ЕС 1.13.12.7)); хлорамфеникол-ацетилтрансферазу (CAT); β-галактозидазу; или β-глюкуронидазу.

[36]

Неограничивающие примеры белковых меток представляют собой: AviTag, пептид, позволяющий биотинилирование ферментом BirA, и поэтому белок может быть выделен стрептавидином (GLNDIFEAQKIEWHE), кальмодулиновую метку, пептид, связанный с белком кальмодулином (KRRWKKNFIAVSAANRFKKISSSGAL), полиглутаматную метку, пептид, эффективно связывающийся с анионообменной смолой, такой как Mono-Q (ЕЕЕЕЕЕ), Е-метку, пептид, распознаваемый антителом (GAPVPYPDPLEPR), FLAG-метку, пептид, распознаваемый антителом (DYKDDDDK), НА-метку, пептид из гемагглютинина, распознаваемый антителом (YPYDVPDYA), His-метку, 5-10 гистидинов, связанных с хелатом никеля или кобальта (НННННН), Мус-метку, пептид, полученный из с-myc, распознаваемый антителом (EQKLISEEDL), NE-метку, новый синтетический 18-аминокислотный пептид (TKENPRSNQEESYDDNES), распознаваемый моноклональным IgG1 антителом, который применяют в широком спектре применений, включая вестерн-блоттинг, ELISA, проточную цитометрию, иммуноцитохимию, иммунопреципитацию и аффинную очистку рекомбинантных белков, S-метку, пептид, полученный из рибонуклеазы A (KETAAAKFERQHMDS), SBP-метку, пептид, который связывается со стрептавидином (MDEKTTGWRGGHVVEGLAGELEQLRARLEHHPQGQREP), Softag 1, для экспрессии у млекопитающих (SLAELLNAGLGGS), Softag 3, для прокариотической экспрессии (TQDPSRVG), Strep-метку, пептид, который связывается со стрептавидином или модифицированным стрептавидином, называемым стрептактином (Strep-метка II: WSHPQFEK), ТС-метку, тетрацистеиновую метку, которая распознается бимышьяковыми соединениями FlAsH и ReAsH (CCPGCC), V5-метку, пептид, распознаваемый антителом (GKPIPNPLLGLDST), VSV-метку, пептид, распознаваемый антителом (YTDIEMNRLGK), Xpress-метку (DLYDDDDK), Isopeptag, пептид, который ковалентно связывается с белком pilin-C (TDKDMTITFTNKKDAE), SpyTag, пептид, который ковалентно связывается с белком SpyCatcher (AHIVMVDAYKPTK), SnoopTag, пептид, который ковалентно связывается с белком SnoopCatcher (KLGDIEFIKVNK), ВССР (белок-носитель биотин-карбоксила), белковый домен, биотинилированный BirA, обеспечивающий распознавание стрептавидином, глутатион-S-трансферазную метку, белок, который связывается с иммобилизованным глутатионом, метку зеленого флуоресцентного белка, белок, который самопроизвольно флуоресцирует и может связываться с нанотелами, Halo-метку, мутированную гидролазу, которая ковалентно присоединяется к смоле HaloLink™ (Promega), метку мальтозосвязывающего белка, белок, который связывается с амилозой-агарозой, Nus-метку, тиоредоксиновую метку, Fc-метку, полученную из домена Fc иммуноглобулина, обеспечивающую димеризацию и солюбилизацию. Можно применять для очистки на протеин А-сефарозе, разработанных внутренне неупорядоченных метках, содержащих аминокислоты, способствующие неупорядочению (P, E, S, T, A, Q, G, …), щелочной фосфатазе (АР), пероксидазе хрена (HRP), глюкозооксидазе (GOX), зеленом флуоресцентном белке (GFP), редокс-чувствительном GFP (RoGFP), азурите, изумруде, люциферазе светлячков (ЕС 1.13.12.7)); хлорамфеникол-ацетилтрансферазе (CAT); β-галактозидазе, β-глюкуронидазе, тубулин-тирозин лигазе (TTL).

[37]

Термин "антитело", применяемый в настоящей заявке, относится к молекулам иммуноглобулинов, предпочтительно состоящих из четырех полипептидных цепей, двух тяжелых (Н) цепей и двух легких (L) цепей, которые обычно связаны между собой дисульфидными связями. Каждая из тяжелых цепей состоит из вариабельной области тяжелой цепи (в настоящей заявке сокращенно VH) и константной области тяжелой цепи. Константная область тяжелой цепи может включать, например, три домена СН1, СН2 и СН3. Каждая из легких цепей состоит из вариабельной области легкой цепи (в настоящей заявке сокращенно VL) и константной области легкой цепи. Константная область легкой цепи состоит из одного домена (CL). Области VH и VL можно дополнительно подразделять на области гипервариабельности, называемые определяющими комплементарность областями (CDR), чередующиеся с областями, которые являются более консервативными, называемыми каркасными областями (FR). Каждая из VH и VL обычно состоит из трех CDR и вплоть до четырех FR, расположенных от амино-конца до карбокси-конца, например, в следующем порядке: FR1, CDR1, FR2, CDR2, FR3, CDR3, FR4.

[38]

Применяемый в настоящей заявке термин "определяющие комплементарность области" (CDR; например, CDR1, CDR2 и CDR3) относится к аминокислотным остаткам вариабельного домена антитела, присутствие которых необходимо для связывания антигена. Каждый из вариабельных доменов обычно имеет три CDR области, обозначаемые как CDR1, CDR2 и CDR3. Каждая из определяющих комплементарность областей может содержать аминокислотные остатки из "определяющей комплементарность области", как определено Кабатом (Kabat) (например, примерно остатки 24-34 (L1), 50-56 (L2) и 89-97 (L3) в вариабельном домене легкой цепи и 31-35 (H1), 50-65 (Н2) и 95-102 (Н3) в вариабельном домене тяжелой цепи); и/или те остатки из "гипервариабельной петли" (например, примерно остатки 26-32 (L1), 50-52 (L2) и 91-96 (L3) в вариабельном домене легкой цепи и 26-32 (H1), 53-55 (Н2) и 96-101 (Н3) в вариабельном домене тяжелой цепи). В некоторых случаях определяющая комплементарность область может включать аминокислоты как из CDR области, определенной согласно Кабату (Kabat), так и из гипервариабельной петли.

[39]

В зависимости от аминокислотной последовательности константного домена их тяжелых цепей интактные антитела можно отнести к разным "классам". Существует пять основных классов интактных антител: IgA, IgD, IgE, IgG и IgM, и некоторые из них можно дополнительно разделить на "подклассы" (изотипы), например, IgG1, IgG2, IgG3, IgG4, IgA1 и IgA2. Предпочтительным классом иммуноглобулинов для применения в настоящем изобретении является IgG.

[40]

Константные домены тяжелых цепей, которые соответствуют различным классам антител, называются [альфа], [дельта], [эпсилон], [гамма] и [мю], соответственно. Структуры субъединиц и трехмерные конфигурации различных классов иммуноглобулинов хорошо известны. Применяемые в настоящей заявке антитела являются обычными известными антителами и их функциональными фрагментами.

[41]

"Функциональный фрагмент" или "антигенсвязывающий фрагмент антитела" антитела/иммуноглобулина в настоящем документе определяется как фрагмент антитела/иммуноглобулина (например, вариабельная область IgG), который содержит антигенсвязывающую область. "Антигенсвязывающая область" антитела обычно находится в одной или более гипервариабельных областях антитела, например, областях CDR1, -2 и/или -3; тем не менее, вариабельные "каркасные" области также могут играть важную роль в связывании антигена, например, обеспечивая каркас для CDR. Предпочтительно "антигенсвязывающая область" содержит по меньшей мере аминокислотные остатки 4-103 вариабельной легкой (VL) цепи и 5-109 вариабельной тяжелой (VH) цепи, более предпочтительно аминокислотные остатки 3-107 VL и 4-111 VH и особенно предпочтительно представляет собой полные VL и VH цепи (положения аминокислот 1-109 VL и 1-113 VH; нумерация в соответствии с документом № WO 97/08320).

[42]

"Функциональные фрагменты", "антигенсвязывающие фрагменты антител" или "фрагменты антител" согласно настоящему изобретению включают, но не ограничиваются ими, фрагменты Fab, Fab', Fab'-SH, F(ab')2 и Fv; диатела; однодоменные антитела (DAb), линейные антитела; молекулы одноцепочечных антител (scFv); и мультиспецифические, такие как би- и триспецифические, антитела, образованные из фрагментов антител. Подразумевают, что все сайты связывания антитела, отличного от "мультиспецифического" или "мультифункционального" антитела, являются идентичными. F(ab')2 или Fab могут быть сконструированы для минимизации или полного удаления межмолекулярных дисульфидных взаимодействий, которые происходят между доменами СН1 и CL.

[43]

Термин "Fc область" применяют в настоящем документе для обозначения С-концевой области тяжелой цепи иммуноглобулина, которая содержит по меньшей мере часть константной области. Термин включает Fc области с нативной последовательностью и вариантные Fc области. В одном из вариантов реализации Fc область тяжелой цепи IgG человека простирается от Cys226 или от Pro230 до карбоксильного конца тяжелой цепи. Тем не менее, С-концевой лизин (Lys447) Fc области может присутствовать или отсутствовать. Если в настоящей заявке не указано иное, нумерацию аминокислотных остатков в Fc области или константной области осуществляют в соответствии с системой нумерации EU, также называемой EU-индексом.

[44]

Варианты антител или антигенсвязывающих фрагментов антител, рассматриваемых в настоящем изобретении, представляют собой молекулы, в которых сохраняется связывающая активность антитела или антигенсвязывающего фрагмента антитела.

[45]

"Связывающие белки", рассматриваемые в настоящем изобретении, представляют собой, например, миметики антител, такие как аффитела, аднектины, антикалины, дарпины, авимеры, нанотела.

[46]

"Человеческое" антитело или его антигенсвязывающий фрагмент в настоящем документе определяют как антитело, которое не является химерным (например, не "гуманизированным") и не происходит (полностью или частично) от видов, отличных от человека. Человеческое антитело или его антигенсвязывающий фрагмент может быть получено от человека или может представлять собой синтетическое человеческое антитело. "Синтетическое человеческое антитело" в настоящем документе определяют как антитело, имеющее последовательность, полностью или частично полученную путем компьютерного моделирования из синтетических последовательностей, которые основаны на анализе известных последовательностей человеческих антител. Компьютерное моделирование последовательности человеческого антитела или его фрагмента можно проводить, например, путем анализа базы данных последовательностей человеческих антител или фрагментов антител и разработки полипептидной последовательности с применением данных, полученных из него. Другим примером человеческого антитела или его антигенсвязывающего фрагмента является антитело, которое кодируется нуклеиновой кислотой, выделенной из библиотеки последовательностей антител человеческого происхождения (например, такая библиотека основана на антителах, взятых из естественного человеческого источника).

[47]

"Гуманизированное антитело" или его гуманизированный антигенсвязывающий фрагмент в настоящем документе определяют как антитело, которое (i) получено из нечеловеческого источника (например, трансгенной мыши, несущей гетерологичную иммунную систему) и основано на человеческой последовательности зародышевого типа; (ii) в котором аминокислоты каркасных областей нечеловеческого антитела частично заменены последовательностями аминокислот человека путем генной инженерии, или (iii) CDR-привитое, где CDR вариабельного домена имеют нечеловеческое происхождение, тогда как один или более каркасов вариабельного домена имеют человеческое происхождение, и константный домен (при наличии) имеет человеческое происхождение.

[48]

"Химерное антитело" или его антигенсвязывающий фрагмент в настоящем документе определяют как антитело, в котором вариабельные домены имеют нечеловеческое происхождение, и некоторые или все константные домены имеют человеческое происхождение.

[49]

Термин "моноклональное антитело", применяемый в настоящей заявке, относится к антителу, полученному из популяции по существу гомогенных антител, т.е. отдельные антитела, составляющие популяцию, являются идентичными, за исключением возможных мутаций, например, встречающихся в природе мутаций, которые могут присутствовать в незначительных количествах. Таким образом, термин "моноклональное" указывает на то, что антитело не представляет собой смесь отдельных антител. В отличие от препаратов поликлональных антител, которые обычно содержат различные антитела, направленные против различных детерминант (эпитопов), каждое моноклональное антитело в препарате моноклонального антитела направлено против одной детерминанты на антигене. В дополнение к их специфичности препараты моноклонального антитела обладают преимуществом, заключающимся в том, что они, как правило, не загрязнены другими иммуноглобулинами. Термин "моноклональное" не следует истолковывать в качестве требования к получению антитела каким-либо конкретным способом. Термин "моноклональное антитело" включает, в частности, химерные, гуманизированные и человеческие антитела.

[50]

"Изолированное" антитело представляет собой антитело, которое было идентифицировано и отделено от компонента клетки, который его экспрессировал. Загрязняющие компоненты клетки представляют собой материалы, которые могут мешать диагностическому или терапевтическому применению антитела, и могут включать ферменты, гормоны и другие белковые или небелковые растворенные вещества.

[51]

Применяемое в настоящей заявке антитело, которое "специфически связывается с", является "специфичным для/в отношении" или "специфически распознает" интересующий антиген, например, опухолеассоциированный полипептидный антиген-мишень представляет собой антитело, которое связывает антиген с достаточной аффинностью, так что антитело подходит для применения в качестве терапевтического агента для направленного воздействия на клетку или ткань, экспрессирующую антиген, и не провоцирует значительной перекрестной реакции с другими белками, отличными от ортологов и вариантов (например, мутантные формы, сплайс-варианты или протеолитически процессированные формы) указанного выше антигена-мишени. Применяемый в настоящей заявке термин "специфически распознает", или "связывается специфически с", или является "специфичным для/в отношении" конкретного полипептида или эпитопа на конкретной полипептидной мишени может проявляться, например, антителом или его антигенсвязывающим фрагментом, имеющим моновалетный KD в отношении антигена менее примерно 10-4 М, альтернативно менее примерно 10-5 М, альтернативно менее примерно 10-6 М, альтернативно менее примерно 10-7 М, альтернативно менее примерно 10-8 М, альтернативно менее примерно 10-9 М, альтернативно менее примерно 10-10 М, альтернативно менее примерно 10-11 М, альтернативно менее примерно 10-12 М или менее. Антитело "связывается специфически с", является "специфичным для/в отношении" или "специфически распознает" антиген, если такое антитело способно различать такой антиген и один или более антигенов сравнения. В свой наиболее общей форме термины "специфическое связывание", "связывается специфически с", является "специфичным для/в отношении" или "специфически распознает" относятся к способности антитела различать интересующий антиген и неродственный антиген, что определяется, например, в соответствии с одним из следующих способов. Такие способы включают, но не ограничиваются ими, поверхностный плазмонный резонанс (SPR), вестерн-блоттинг, ELISA-, RIA-, ECL-, IRMA-тесты и сканирование пептида. Например, можно проводить стандартный ELISA анализ. Оценку можно проводить по стандартному проявлению цвета (например, вторичное антитело с пероксидазой хрена и тетраметилбензидин с пероксидом водорода). Реакцию в определенных лунках оценивают по оптической плотности, например, при 450 нм. Типичный фон (= отрицательная реакция) может составлять 0,1 OD; типичная положительная реакция может составлять 1 OD. Это означает, что разница между положительной и отрицательной реакциями составляет более 5 раз, 10 раз, 50 раз и предпочтительно более 100 раз. Как правило, определение специфичности связывания выполняют с применением не одного антигена сравнения, а набора из примерно трех-пяти неродственных антигенов, таких как сухое молоко, БСА, трансферрин и т.п.

[52]

"Аффинность связывания" или "аффинность" относится к силе общей суммы нековалентных взаимодействий между одним сайтом связывания молекулы и его партнером по связыванию. Если не указано иное, применяемая в настоящей заявке "аффинность связывания" относится к внутренней аффинности связывания, которая отражает 1:1 взаимодействие между членами связывающейся пары (например, антитело и антиген). Константу диссоциации "KD" обычно применяют для описания аффинности между молекулой (такой как антитело) и ее партнером по связыванию (таким как антиген), т.е. насколько прочно лиганд связывается с конкретным белком. На аффинность лиганд-белок влияют нековалентные межмолекулярные взаимодействия между двумя молекулами. Аффинность можно измерять обычными способами, известными в данной области техники, включая способы, описанные в настоящей заявке. В одном из вариантов реализации "KD" или "значение KD" согласно настоящему изобретению измеряют с применением анализов поверхностного плазмонного резонанса с использованием подходящих устройств, включая, но не ограничиваясь ими, приборы Biacore, такие как Biacore Т100, Biacore Т200, Biacore 2000, Biacore 4000, Biacore 3000 (GE Healthcare Biacore, Inc.), или прибор ProteOn XPR36 (Bio-Rad Laboratories, Inc.).

[53]

Термины "нуклеозид" и "нуклеозидный фрагмент", применяемые в настоящей заявке, относятся к субъединице нуклеиновой кислоты, содержащей группу сахара и гетероциклическое основание, а также к аналогам таких субъединиц, таким как модифицированный или встречающийся в природе дезоксирибонуклеозид, или рибонуклеозид, или их любые химические модификации. Другие группы (например, защитные группы) можно присоединять к любому(ым) компоненту(ам) нуклеозида. Модификации нуклеозидов включают, но не ограничиваются ими, модификации сахара по 2'-, 3'- и 5'-положению, модификации пиримидина по 5- и 6-положению, модификации пурина по 2-, 6- и 8-положению, модификации в экзоциклических аминах, замещение 5-бромурацила и т.п. Нуклеозиды можно подходящим образом защищать и модифицировать для обеспечения синтеза олигонуклеотидов при помощи способов, известных в данной области техники, таких как твердофазный автоматизированный синтез с применением нуклеозид-фосфорамидитных мономеров, Н-фосфонатное сочетание или сочетание со сложным триэфиром фосфорной кислоты.

[54]

"Нуклеотид" или "нуклеотидный фрагмент" относится к субъединице нуклеиновой кислоты, которая содержит фосфатную группу, группу сахара и гетероциклическое основание, а также к аналогам таких субъединиц. Другие группы (например, защитные группы) можно присоединять к любому(ым) компоненту(ам) нуклеотида. Термин "нуклеотид" может относиться к модифицированному или встречающемуся в природе дезоксирибонуклеотиду или рибонуклеотиду. В некоторых случаях нуклеотиды включают пурины и пиримидины, которые включают тимидин, цитидин, гуанозин, аденин и уридин. Термин "нуклеотид" включает те фрагменты, которые содержат не только известные пуриновые и пиримидиновые основания, например, аденин (А), тимин (Т), цитозин (С), гуанин (G) или урацил (U), но также другие модифицированные гетероциклические основания. Такие модификации включают метилированные пурины или пиримидины, ацилированные пурины или пиримидины, алкилированные рибозы или другие гетероциклы. Такие модификации включают, например, диаминопурин и его производные, инозин и его производные, алкилированные пурины или пиримидины, ацилированные пурины или пиримидины, тиолированные пурины или пиримидины и т.п., или добавление защитной группы, такой как ацетил, дифторацетил, трифторацетил, изобутирил, бензоил, 9-флуоренилметоксикарбонил, феноксиацетил, диметилформамидин, дибутилформамидин, диметилацетамидин, N,N-дифенилкарбамат и т.п. Пуриновое или пиримидиновое основание также может являться аналогом указанных выше; подходящие аналоги известны специалистам в данной области техники, и описаны в соответствующих текстах и литературе. Типичные аналоги включают, но не ограничиваются ими, 1-метиладенин, 2-метиладенин, N6-метиладенин, N6-изопентиладенин, 2-метилтио-N6-изопентиладенин, N,N-диметиладенин, 8-бромаденин, 2-тиоцитозин, 3-метилцитозин, 5-метилцитозин, 5-этилцитозин, 4-ацетилцитозин, 1-метилгуанин, 2-метилгуанин, 7-метилгуанин, 2,2-диметилгуанин, 8-бромгуанин, 8-хлоргуанин, 8-аминогуанин, 8-метилгуанин, 8-тиогуанин, 5-фторурацил, 5-бромурацил, 5-хлорурацил, 5-йодурацил, 5-этилурацил, 5-пропилурацил, 5-метоксиурацил, 5-гидроксиметилурацил, 5-(карбоксигидроксиметил)урацил, 5-(метиламинометил)урацил, 5-(карбоксиметиламинометил)урацил, 2-тиоурацил, 5-метил-2-тиоурацил, 5-(2-бромвинил)урацил, урацил-5-оксиуксусную кислоту, сложный метиловый эфир урацил-5-оксиуксусной кислоты, псевдоурацил, 1-метилпсевдоурацил, квеуозин, инозин, 1-метилинозин, гипоксантин, ксантин, 2-аминопурин, 6-гидроксиаминопурин, 6-тиопурин и 2,6-диаминопурин.

[55]

Термин "олигонуклеотид", применяемый в настоящей заявке, относится к полинуклеотиду, образованному из множества связанных нуклеотидных звеньев, как определено выше. Каждое из нуклеотидных звеньев содержит нуклеозидное звено, связанное через фосфатную связующую группу, или ее аналог. Термин олигонуклеотид также относится к множеству нуклеотидов, которые связаны друг с другом через связи, отличные от фосфатных связей, такие как фосфоротиоатные связи или скварамидные связи. Олигонуклеотид может являться встречающимся в природе или не встречающимся в природе. В некоторых случаях олигонуклеотиды могут содержать рибонуклеотидные мономеры (т.е. могут представлять собой олигорибонуклеотиды) и/или дезоксирибонуклеотидные мономеры. В качестве иллюстративных примеров, олигонуклеотиды могут содержать от 2 до 50 нуклеотидных звеньев, например, от 2 до 40 нуклеотидных звеньев, например, от 5 до 35 нуклеотидных звеньев, например, от 10 до 35 нуклеотидных звеньев, например, от 15 до 30 нуклеотидных звеньев.

[56]

Термин "моносахарид", применяемый в настоящей заявке, относится к соединению с открытой цепью или циклическому соединению общей формулы Cm(H2O)n, где m равняется 3, 4, 5, 6, 7 или 8, и n равняется 2, 3, 4, 5 6, 7 или 8. Тем не менее, термин также охватывает производные указанных основных соединений, в которых ОН группа заменена на NH2 группу (например, глюкозамин), дезоксисахариды, в которых по меньшей мере ОН группа заменена на Н (например, дезоксирибоза). Предпочтительными примерами моносахаридов являются D-(+)-глицеринальдегид; D-(-)-эритроза; D-(-)-треоза; D-(-)-рибоза; D-(-)-арабиноза; D-(+)-ксилоза; D-(-)-ликсоза; D-(+)-аллоза; D-(+)-альтроза; D-(+)-глюкоза; D-(+)-манноза; D-(-)-мулоза; D-(-)-идоза; D-(+)-галактоза; D-(+)-талоза; дигидроксиацетон; D-эритрулоза; D-рибулоза; D-ксилулоза; D-псикоза; D-фруктоза; D-сорбоза; D-тагатоза. Термин "моносахарид" также охватывает моносахариды, в которых замещены одна, две, три или четыре гидроксильные группы.

[57]

Термин "полисахариды" относится к молекулам, содержащим по меньшей мере 2 (два), предпочтительно по меньшей мере 5 (пять), более предпочтительно по меньшей мере 10 (десять) моносахаридов, которые связаны через гликозидную связь.

[58]

"Углевод", применяемый в настоящей заявке, охватывает моносахарид и полисахарид и их производные.

[59]

"Полимер", применяемый в настоящей заявке, относится к макромолекулам, состоящим из множества повторяющихся органических субъединиц, однако, не являющимся полисахаридами, олигонуклеотидами или пептидами. Примерами полимеров являются полиэтиленгликоль (PEG), полиоксиэтилен (РЕО) или полиглицерин (например, полиглицерин-полирицинолеат (PGPR).

[60]

Термин "флуорофор" хорошо известен специалистам и относится к химическим соединениям, которые повторно излучают свет при световом возбуждении. Неограничивающие примеры представляют собой CY5, EDANS, производные ксантена (например, флуоресцеин, родамин, Oregon Green, эозин, Texas Red), производные цианина (например, индокарбоцианин, оксакарбоцианин, мероцианин), производные скварена (например, красители Seta, Se Tau, Square), производные нафталина (например, производные дансила или продана), производные кумарина, производные оксадиазола, производные антрацена (например, антрахиноны, такие как DRAQ5, DRAQ7, CyTRAK Orange), производные пирена (например, Cascade Blue), производные оксазина (например, Nile Red, Nile Blue, Cresyl Violet), производные акридина (например, профлавин, Acridine Orange, Acridine Yellow), производные арилметина (например, аурамин, Crystal Violet, Malachite Green) или производные тетрапиррола (например, парфин, фталоцианин, билирубин).

[61]

Термин "алифатический или ароматический остаток", применяемый в настоящей заявке, относится к алифатическому заместителю, например, алкильному остатку, который, тем не менее, может быть необязательно замещен дополнительными алифатическими и/или ароматическими заместителями, например, алифатический остаток может представлять собой нуклеиновую кислоту, пептид, белок, фермент, кофермент, антитело, нуклеотид, олигонуклеотид, моносахарид, полисахарид, полимер, флуорофор, необязательно замещенный бензол и т.д., при условии, что прямая связь такой молекулы с основной структурой (в случае R1, например, с соответствующим кислородом соединения, например, формулы (I), (I*), (III) или (III*)) является алифатической. Ароматический остаток представляет собой заместитель, в котором прямая связь с основной структурой является частью ароматической системы, например, необязательно замещенный фенил, или пиридил, или пептид, при условии, что прямая связь пептида с основной структурой осуществляется, например, через фенильный остаток.

[62]

Применяемый в настоящей заявке термин "конъюгат антитело-лекарственное средство" или сокращенно ADC хорошо известен специалисту в данной области техники и относится к связыванию антитела или его антигенсвязывающего фрагмента с лекарственным средством, таким как химиотерапевтический агент, токсин, иммунотерапевтический агент, зонд для визуализации и т.п. Применяемый в настоящей заявке "линкер" представляет собой любой химический фрагмент, который ковалентно связывает антитело или его антигенсвязывающий фрагмент с лекарственным средством. Линкер может представлять собой любой линкер, известный специалисту в данной области техники. Применяемый в настоящей заявке термин "конъюгат линкер-лекарственное средство" относится к молекуле или химической группе, содержащей или состоящей из линкера, как определено в настоящей заявке ранее, и лекарственного средства. В этом отношении термин "конъюгат линкер-лекарственное средство", в целом, относится к той части конъюгата антитело-лекарственное средство, которая не является антителом или его антигенсвязывающим фрагментом. В целом, в конъюгате линкер-лекарственное средство линкер ковалентно связан с лекарственным средством. В качестве иллюстративного примера, линкер, применяемый в настоящем изобретении, может включать самоотщепляющийся пептид, который может отщепляться под воздействием фермента, например, катепсина В. В частности, линкер, содержащий самоотщепляющийся пептид, применяемый в настоящем изобретении, может включать валин-цитруллин-n-аминобензилоксикарбонил (VC-PAB, ), валин-аланин-n-аминобензилоксикарбонил (VA-PAB, ), лизин-фенилаланин-n-аминобензилоксикарбонил (KF-PAB, ) или валин-лизин-n-аминобензилоксикарбонил (VK-PAB, ). Например, линкер, содержащий самоотщепляющийся пептид, может представлять собой или предпочтительно где # указывает положение Y (О (кислород) или S (сера), предпочтительно S), и * указывает положение лекарственного средства, и каждый из m и n независимо представляет собой целое число, например, от 0 до 20, от 0 до 15, от 1 до 10, от 1 до 8, от 1 до 6, от 1 до 4, от 1 до 3, от 1 до 2 или 1, предпочтительно m равняется 1, и n равняется 1. Линкеры с самоотщепляющимся пептидом описаны, например, в публикации заявки на патент США № US 2006/0074008, G.M. Dubowchik et al., Bioconjuate Chem. 2002, 13, 855-869, или S.O. Doronina et al., Nature Biotechnology, vol. 21, 778-784 (2003), причем полное описание указанных документов включено в настоящую заявку посредством ссылки. Конъюгат линкер-лекарственное средство может представлять собой или предпочтительно где # указывает положение Y (О (кислород) или S (сера), предпочтительно S), и каждый из m и n независимо представляет собой целое число, например, от 0 до 20, от 0 до 15, от 1 до 10, от 1 до 8, от 1 до 6, от 1 до 4, от 1 до 3, от 1 до 2 или 1, предпочтительно m равняется 1, и n равняется 1. В качестве иллюстративного примера, лекарственное средство, применяемое в настоящем изобретении, может представлять собой ауристатин, предпочтительно монометилауристатин Е (ММАЕ) или монометилауристатин F (MMAF). Предпочтительно ауристатин, в частности ММАЕ или MMAF, можно применять в комбинации с саморасщепляющимся пептидом, таким как, например, VC-PAB, VA-PAB, KF-PAB или VK-PAB. Соответственно, конъюгат линкер-лекарственное средство, применяемый в настоящем изобретении, может включать VC-PAB-MMAE, VC-PAB-MMAF, VA-PAB-MMAE, VA-PAB-MMAF, KF-PAB-MMAE, KF-PAB-MMAF, VK-PAB-ММАЕ или VK-PAB-MMAF. В частности, конъюгат линкер-лекарственное средство может представлять собой или предпочтительно или более предпочтительногде # указывает положение Y (О (кислород) или S (сера), предпочтительно S), и каждый из m и n независимо представляет собой целое число, например, от 0 до 20, от 0 до 15, от 1 до 10, от 1 до 8, от 1 до 6, от 1 до 4, от 1 до 3, от 1 до 2 или 1, предпочтительно m равняется 1, и n равняется 1.

[63]

В настоящей заявке также описаны "конъюгаты антитело-флуорофор" или сокращенно AFC, которые относятся к связыванию антитела или его антигенсвязывающего фрагмента с флуорофором, таким как, например, Су5. Флуорофор может быть связан с антителом или его антигенсвязывающим фрагментом через линкер. Линкер может представлять собой любой линкер, известный специалисту в данной области техники. Конъюгат антитело-флуорофор может содержать "конъюгат линкер-флуорофор". Применяемый в настоящей заявке термин "конъюгат линкер-флуорофор" относится к молекуле или химической группе, содержащей или состоящей из линкера, как определено в настоящей заявке ранее, и флуорофора. В этом отношении, термин "конъюгат линкер-флуорофор", в целом, относится к той части конъюгата антитело-флуорофор, которая не является антителом или его антигенсвязывающим фрагментом. В целом, в конъюгате линкер-флуорофор линкер ковалентно связан с флуорофором.

[64]

Термин "небольшая молекула", применяемый в настоящей заявке, обозначает органическую молекулу, содержащую по меньшей мере два атома углерода, но предпочтительно не более 7, 12, 15 или 20 углеродных связей, способных к вращению, более предпочтительно не более 7, 12 или 15 углеродных связей, способных к вращению, более предпочтительно не более 7 или 12 углеродных связей, способных к вращению, имеющую молекулярную массу в диапазоне от 100 до 2000 Дальтонов, предпочтительно от 100 до 1000 Дальтонов, и необязательно содержащую один или два атома металла. Исключительно в качестве иллюстративных примеров небольших молекул можно упомянуть биотин и флуорофоры EDANS и Су5.

[65]

Способы

[66]

В настоящем изобретении предложена новая реакция тиолсодержащих соединений с алкен- или алкин-фосфонотиолатами и -фосфонатами. На схеме 1 представлена общая реакция согласно настоящему изобретению и применение, в качестве иллюстративных примеров, этенил- и этинил-фосфонотиолатов и -фосфонатов.

[67]

Схема 1:

[68]

[69]

Предполагают, что способы, описанные в настоящей заявке, позволяют объединять огромное количество различных органических остатков в положениях R1, и В частности, способы согласно настоящему изобретению подходят для образования конъюгатов, когда представляет собой аминокислоту, пептид, белок, антитело, нуклеотид или олигонуклеотид. В качестве преимущества, тиольные группы, присутствующие в такой аминокислоте, пептиде, белке или антителе, такие как, например, тиольная группа цистеинового остатка, или тиольные группы, присутствующие в нуклеотиде или олигонуклеотиде, хемоселективно взаимодействуют с алкен- или алкин-фосфонотиолатом или -фосфонатом, в результате чего обеспечивается способ хемоселективной модификации. Вследствие такой хемоселективности тиолсодержащее соединение, в частности аминокислота, пептид, белок, антитело, нуклеотид или олигонуклеотид, могут являться незамещенными, что означает, что нет необходимости в защитных группах. Алкен- или алкин-фосфонотиолаты или -фосфонаты могут являться электронодефицитными алкен- или алкин-фосфонотиолатами или -фосфонатами.

[70]

Кроме того, способы согласно настоящему изобретению позволяют получать конъюгаты двух сложных молекул. Например, белок можно связывать с антителом или другим белком.

[71]

В настоящей заявке продемонстрированы:

[72]

• Синтез электрофильных алкен- и алкин-фосфонотиолатов и -фосфонатов

[73]

• Реакции конъюгации электронодефицитных алкен- и алкин-фосфонотиолатов и -фосфонатов с тиолсодержащими молекулами, включая аминокислоты, пептиды, белки и антитела

[74]

• Стабильность указанных конъюгатов в физиологически значимых условиях

[75]

• Конъюгация работает в физиологически значимых условиях, таких как, например, физиологический рН

[76]

В настоящем изобретении представлены несколько инновационных аспектов, которые дополнительно облегчают доступность конъюгатов, таких как конъюгаты на основе антител или белков, с новыми условиями конъюгации:

[77]

• Реакция модификации тиолов в различных соединениях, например, в небольших молекулах, белках и антителах.

[78]

• Две сложные молекулы (например, флуорофор и белок или антитело) можно связывать путем простой конъюгации, которая является цистеин-селективной в случае пептидов, белков и антител.

[79]

• Высокая стабильность конъюгатов по сравнению с обычными малеимидными реагентами; быстрые реакции конъюгации.

[80]

• В отличие от других способов модификации или конъюгации пептидов, белков и антител, из-за селективности цистеина нет необходимости в манипуляциях с защитными группами после получения алкенфосфонотиолата или алкинфосфонотиолата, или после получения алкен- или алкинфосфоната, и/или после хемоселективной конъюгации.

[81]

• Ненасыщенные фосфонотиолаты обладают важным преимуществом, поскольку они значительно быстрее взаимодействуют в реакции тиольного присоединения по сравнению с соответствующими фосфонатами. Для реакций биоконъюгации весьма желательны высокие скорости реакции, поскольку таким образом можно повысить конверсию, а также выход. Получаемые конъюгаты тиол-фосфонотиолат демонстрируют хорошие профили стабильности в физиологически значимых условиях.

[82]

• Высокую стабильность фосфонотиолатов в кислых условиях обычно используют для отщепления пептида от твердой подложки после твердофазного синтеза.

[83]

Были описаны некоторые примеры фосфонотиолатов и тиольных присоединений к фосфонатам, см., например, патентные документы № US 3904710 A, № GB 917085, № GB 863434, № DE 1064512, и публикации Gao et al., Chemistry Eur. J. 2009, 15(9), 2064-2070; Khusinova et al., Russian Chemical Bulletin, International Edition, 2004, vol. 53, no. 10, pp. 2253-2256, и Acheson et al., Journal of Chemical Research, Synopses, 1986. Тем не менее, в указанных документах не сообщалось о тиольном присоединении к фосфонотиолатам. Кроме того, указанные документы не относятся к модификации биомолекул, таких как, например, пептиды, белки, антитела или олигонуклеотиды, и не касаются вопросов скорости реакции и стабильности в физиологически значимых условиях.

[84]

Обычно способ согласно настоящему изобретению можно осуществлять для конъюгации различных соединений, таких как небольшие молекулы (например, необязательно замещенный алкил, фенил или гетероциклы), пептиды, белки, антитела, олигонуклеотиды или полисахариды, с метками, белками, олигонуклеотидами и т.д. Соответственно, настоящее изобретение относится к способу получения соединения формулы (III), включающему стадии:

[85]

приведения соединения формулы (I)

[86]

[87]

где

[88]

представляет собой двойную связь или тройную связь;

[89]

X представляет собой R3-С, когда представляет собой тройную связь;

[90]

X представляет собой (R3R4)С, когда представляет собой двойную связь;

[91]

Y представляет собой S или О;

[92]

R1 представляет собой необязательно замещенный алифатический или ароматический остаток;

[93]

R3 представляет собой Н или C18-алкил;

[94]

R4 представляет собой Н или C1-C8-алкил; и

[95]

представляет собой алифатический или ароматический остаток;

[96]

во взаимодействие с тиолсодержащей молекулой формулы (II)

[97]

[98]

где представляет собой аминокислоту, пептид, белок, антитело, нуклеотид, олигонуклеотид, сахарид, полисахарид, полимер, необязательно замещенный C1-C8-алкил, необязательно замещенный фенил или необязательно замещенную ароматическую 5- или 6-членную гетероциклическую систему;

[99]

с получением соединения формулы (III)

[100]

[101]

где

[102]

представляет собой связь, если в соединении формулы (I) представляет собой двойную связь; или

[103]

представляет собой двойную связь, если в соединении формулы (I) представляет собой тройную связь; и

[104]

R1, X и Y являются такими, как определено для соединений формулы (I) и (II).

[105]

В некоторых вариантах реализации любого из способов согласно настоящему изобретению, в которых соединение формулы (I) приводят во взаимодействие с соединением формулы (II) с получением соединения формулы (III), представляет собой двойную связь, X представляет собой (R3R4)C, R3 и R4 независимо представляют собой Н или C1-C8-алкил, и представляет собой связь. Предпочтительно R3 и R4 независимо представляют собой Н или C16-алкил, более предпочтительно Н или C14-алкил, еще более предпочтительно Н или С12-алкил. Б предпочтительных вариантах реализации R3 и R4 являются одинаковыми. В предпочтительных вариантах реализации R3 и R4 оба представляют собой Н.

[106]

Альтернативно, в некоторых вариантах реализации любого из способов согласно настоящему изобретению, в которых соединение формулы (I) приводят во взаимодействие с соединением формулы (II) с получением соединения формулы (III), представляет собой тройную связь, X представляет собой R3-C, R3 представляет собой Н или C1-C8-алкил, и представляет собой двойную связь. Предпочтительно R3 представляет собой Н или C16-алкил, более предпочтительно Н или С14-алкил, более предпочтительно Н или С12-алкил. В предпочтительных вариантах реализации R3 представляет собой Н.

[107]

В любом из способов согласно настоящему изобретению, в которых соединение формулы (I) приводят во взаимодействие с соединением формулы (II) с получением соединения формулы (III), Y может представлять собой S (серу) или О (кислород). Когда Y представляет собой S, соединения (I) и (III) представляют собой фосфонотиолаты. Когда Y представляет собой О, соединения (I) и (III) представляют собой фосфонаты. Соответственно, в некоторых вариантах реализации Y представляет собой S. В некоторых вариантах реализации Y представляет собой О. В предпочтительных вариантах реализации любого из способов, в которых соединение формулы (I) приводят во взаимодействие с соединением формулы (II) с получением соединения формулы (III), Y представляет собой S. Авторы настоящего изобретения обнаружили, что присоединение тиолов формулы (II) к тройной связи или двойной связи фосфонотиолата, т.е. когда Y представляет собой S, происходит значительно быстрее по сравнению с присоединением к соответствующим фосфонатам, т.е. когда Y представляет собой О. Такая высокая скорость реакции является весьма желательной, поскольку таким образом повышаются конверсия и выход.

[108]

Получение соединения формулы (I) может включать:

[109]

приведение соединения формулы (IV)

[110]

[111]

где R1, X, Y, и являются такими, как определено в настоящей заявке выше и ниже;

[112]

во взаимодействие с окислителем с образованием соединения формулы (I). Окислитель может быть выбран из группы, состоящей из трет-бутилгидропероксида (tBu-OOH), мета-хлорпероксибензойной кислоты (mCPBA), пероксида водорода (Н2О2), йода (I2), пероксимоносульфата калия или кислорода (О2), например, кислорода из воздуха. Предпочтительно окислитель представляет собой трет-бутилгидропероксид (tBu-OOH). Получение соединения формулы (IV) может включать:

[113]

приведение во взаимодействие, в указанной последовательности, тригалогенида фосфора (X), предпочтительно PCl3, с

[114]

(i) R1-OH (XI), (ii) где R2 независимо представляет собой C1-C8-алкил, (iii) где Hal представляет собой галоген, выбранный из группы, состоящей из Cl, Br и I, предпочтительно Br, и (IV) с образованием соединения формулы (IV);

[115]

где R1, X, Y, и являются такими, как определено в настоящей заявке выше и ниже. Тригалогенид фосфора может представлять собой PCl3, PBr3 или PI3, при этом PCl3 является предпочтительным. R2 в независимо представляет собой C1-C8-алкил, предпочтительно C1-C6-алкил, более предпочтительно С14-алкил, еще более предпочтительно C1-C3-алкил. Предпочтительно оба R2 являются одинаковыми. Более предпочтительно оба R2 представляют собой изопропил. Предпочтительно стадию (iv), на которой осуществляют взаимодействие проводят в присутствии тетразола. Тетразол может представлять собой незамещенный тетразол или замещенный тетразол.

[116]

Альтернативно, когда Y представляет собой S, получение соединения формулы (I) может включать:

[117]

приведение соединения формулы (V)

[118]

[119]

во взаимодействие с соединением формулы (VIa) или (VIb)

[120]

[121]

с образованием соединения формулы (I);

[122]

где EWG представляет собой электроноакцепторную группу, причем указанная электроноакцепторная группа предпочтительно выбрана из группы, состоящей из и где # указывает положение S; Hal представляет собой галоген, выбранный из группы, состоящей из Cl, Br и I, предпочтительно Cl, и

[123]

где R1, X, и являются такими, как определено в настоящей заявке выше и ниже. Предпочтительно в соединении формулы (V) оба R1 являются одинаковыми. Более предпочтительно при применении соединения формулы (VIa), EWG представляет собой Соединения формулы (V) можно получать, например, по способу, включающему:

[124]

приведение во взаимодействие с с получением соединения формулы (V), где R1, X и являются такими, как определено в настоящей заявке выше и ниже; и Hal1 представляет собой галоген, выбранный из группы, состоящей из Cl, Br и I, предпочтительно Cl; и Hal2 представляет собой галоген, выбранный из группы, состоящей из Cl, Br и I, предпочтительно Br. Соединения формулы (VIa) можно получать, например, путем приведения соединения во взаимодействие с с получением соединения формулы (VIa), где EWG представляет собой электроноакцепторную группу, предпочтительно электроноакцепторную группу, выбранную из группы, состоящей из и где # указывает положение S, более предпочтительно предпочтительно в соединении формулы (XXX) обе EWG являются одинаковыми; и где является таким, как определено в настоящей заявке выше и ниже. Соединения формулы VIb можно получать согласно известным из литературы способам, например, путем взаимодействия тиола с сульфурилхлоридом (см., например, Allared, F. et al, Synthetic Metals, 120(1-3), 1061-1062; 2001) или тионилхлоридом (см., например, Masaki, Yukio et al, Chemical & Pharmaceutical Bulletin, 33(5), 1930-40; 1985) или путем взаимодействия тиола с N-хлорсукцинимидом (NCS) (см., например, Kawamura, Takamasa et al. European Journal of Organic Chemistry, 2015(4), 719-722; 2015) или хлором (см., например, E. Schneider, Chemische Berichte 84, 911-916 (1951), где является таким, как определено в настоящей заявке выше и ниже.

[125]

Предпочтительно, когда соединение формулы (I) получают путем приведения соединения формулы (V) во взаимодействие с соединением формулы (VIa) или (VIb), в соединении формулы (V) представляет собой двойную связь, и X представляет собой (R3R4)С, где R3 и R4 являются такими, как определено в настоящей заявке выше и ниже.

[126]

Настоящее изобретение также относится к способу получения соединения формулы (III*), включающему стадию:

[127]

приведения соединения формулы (I*)

[128]

[129]

где

[130]

V представляет собой C18-алкил, предпочтительно метил, этил или пропил, более предпочтительно метил;

[131]

X представляет собой (R3R4)С;

[132]

Y представляет собой S или О;

[133]

R1 представляет собой необязательно замещенный алифатический или ароматический остаток;

[134]

R3 представляет собой Н или C18-алкил;

[135]

R4 представляет собой Н или C18-алкил; и

[136]

представляет собой алифатический или ароматический остаток;

[137]

во взаимодействие с тиолсодержащей молекулой формулы (II)

[138]

[139]

где представляет собой аминокислоту, пептид, белок, антитело, нуклеотид, олигонуклеотид, сахарид, полисахарид, полимер, необязательно замещенный C18-алкил, необязательно замещенный фенил или необязательно замещенную ароматическую 5- или 6-членную гетероциклическую систему;

[140]

с получением соединения формулы (III*)

[141]

[142]

где V, R1, X и Y являются такими, как определено для соединений формулы (I*) и (II).

[143]

В любом из способов согласно настоящему изобретению, в которых соединение формулы (I*) приводят во взаимодействие с соединением формулы (II) с получением соединения формулы (III*), Y может представлять собой S (серу) или О (кислород), т.е. когда Y представляет собой S, соединения (I*) и (III*) представляют собой фосфонотиолаты, и когда Y представляет собой О, соединения (I*) и (III*) представляют собой фосфонаты. Соответственно, в некоторых вариантах реализации Y представляет собой S. В некоторых вариантах реализации Y представляет собой О. В предпочтительных вариантах реализации любого из способов, в которых соединение формулы (I*) приводят во взаимодействие с соединением формулы (II) с получением соединения формулы (III*), Y представляет собой S, поскольку авторы настоящего изобретения обнаружили, что присоединение тиолов к тройной связи или двойной связи фосфонотиолата, т.е. когда Y представляет собой S, происходит значительно быстрее по сравнению с присоединением к соответствующим фосфонатам, т.е. когда Y представляет собой О.

[144]

Получение соединения формулы (I*) может включать:

[145]

приведение соединения формулы (IV*)

[146]

[147]

где X представляет собой (R3R4)C, и Y, R1, R3, R4, V и являются такими, как определено в настоящей заявке выше и ниже;

[148]

во взаимодействие с окислителем с образованием соединения формулы (I*). Окислитель может быть выбран из группы, состоящей из трет-бутилгидропероксида (tBu-OOH), мета-хлорпероксибензойной кислоты (mCPBA), пероксида водорода (Н2О2), йода (I2), пероксимоносульфата калия или кислорода (О2), например, кислорода из воздуха. Предпочтительно окислитель представляет собой трет-бутилгидропероксид (tBu-OOH). Получение соединения формулы (IV*) может включать:

[149]

приведение во взаимодействие, в указанной последовательности, тригалогенида фосфора (X), предпочтительно PCl3, с

[150]

(i) R1-OH (XI), (ii) где R2 независимо представляет собой С18-алкил, (iii) где Hal представляет собой галоген, выбранный из группы, состоящей из Cl, Br и I, предпочтительно Br, и X представляет собой (R3R4)C, и (iv) с образованием соединения формулы (IV*);

[151]

где R1, R3, R4, V, Y и являются такими, как определено в настоящей заявке выше и ниже. Тригалогенид фосфора может представлять собой PCl3, PBr3 или PI3, при этом PCl3 является предпочтительным. R2 в независимо представляет собой С18-алкил, предпочтительно С16-алкил, более предпочтительно С14-алкил, более предпочтительно С13-алкил. Предпочтительно оба R2 являются одинаковыми. Более предпочтительно оба R2 представляют собой изопропил. Предпочтительно стадию (iv), на которой взаимодействует проводят в присутствии тетразола. Тетразол может представлять собой незамещенный тетразол или замещенный тетразол.

[152]

Альтернативно, когда Y представляет собой S, получение соединения формулы (I*) может включать:

[153]

приведение соединения формулы (V*)

[154]

[155]

во взаимодействие с соединением формулы (VIa) или (VIb)

[156]

[157]

с образованием соединения формулы (I*);

[158]

где EWG представляет собой электроноакцепторную группу, причем указанная электроноакцепторная группа предпочтительно выбрана из группы, состоящей из и где # указывает положение S; Hal представляет собой галоген, выбранный из группы, состоящей из Cl, Br и I, предпочтительно Cl, и

[159]

где X представляет собой (R3R4)C, и R1, R3, R4, V и являются такими, как определено в настоящей заявке выше и ниже. Предпочтительно в соединении формулы (V*) оба R1 являются одинаковыми. Более предпочтительно при применении соединения формулы (VIa) EWG представляет собой Соединения формулы (V*) можно получать, например, по способу, включающему:

[160]

приведение во взаимодействие с с получением соединения формулы (V*), где X представляет собой (R3R4)C, и R1, R3, R4 и V являются такими, как определено в настоящей заявке выше и ниже; и Hal1 представляет собой галоген, выбранный из группы, состоящей из Cl, Br и I, предпочтительно Cl; и Hal2 представляет собой галоген, выбранный из группы, состоящей из Cl, Br и I, предпочтительно Br. Соединения формулы (VIa) и (VIb) можно получать, например, как описано в настоящей заявке выше и ниже.

[161]

В некоторых вариантах реализации любого из способов согласно настоящему изобретению R1 представляет собой С18-алкил, необязательно замещенный по меньшей мере одним (С18-алкокси)n, где n равняется 1, 2, 3, 4, 5 или 6, F, Cl, Br, I, -NO2, -N(С18-алкилом)Н, -NH2, -N3, -N(С18-алкилом)2, =O, С38-циклоалкилом, -S-S-(С18-алкилом), гидрокси-(С18-алкокси)n, где n равняется 1, 2, 3, 4, 5 или 6, С28-алкенилом или С28-алкинилом.

[162]

В некоторых вариантах реализации любого из способов согласно настоящему изобретению R1 представляет собой необязательно замещенный фенил, такой как или

[163]

где # представляет собой положение О.

[164]

В некоторых вариантах реализации любого из способов согласно настоящему изобретению R1 представляет собой фенил, необязательно независимо замещенный по меньшей мере одним С18-алкилом, (С18-алкокси)n, где n равняется 1, 2, 3, 4, 5 или 6, F, Cl, I, Br, -NO2, -N(С18-алкилом)Н, -NH2 или -N(С18-алкилом)2.

[165]

В некоторых вариантах реализации любого из способов согласно настоящему изобретению R1 представляет собой 5- или 6-членную гетероароматическую систему, такую как пиридил.

[166]

В некоторых вариантах реализации любого из способов согласно настоящему изобретению R1 представляет собой С18-алкил, С18-алкил, замещенный -S-S-(С18-алкилом), С18-алкил, замещенный (С18-алкокси)n, где n равняется 1, 2, 3, 4, 5 или 6, С18-алкил, замещенный необязательно замещенным фенилом; или фенил; или фенил, замещенный NO2.

[167]

В некоторых вариантах реализации любого из способов согласно настоящему изобретению R1 представляет собой метил, этил, пропил или бутил, предпочтительно метил или этил.

[168]

В некоторых вариантах реализации любого из способов согласно настоящему изобретению R1 представляет собой алифатический или ароматический остаток, который необязательно замещен -S-S-(С18-алкилом). В предпочтительном варианте реализации R1 представляет собой где каждый из R10, R11, R12 и R13 независимо представляет собой водород или С18-алкил; и # представляет собой положение О. В более предпочтительном варианте реализации каждый из R10, R11, R12 и R13 независимо представляет собой водород, метил или этил. В предпочтительном варианте реализации R1 представляет собой где R10 и R11 независимо представляют собой водород или С18-алкил; и # представляет собой положение О. В более предпочтительном варианте реализации R10 и R11 независимо представляют собой водород, метил или этил. В более предпочтительном варианте реализации R1 представляет собой где R10 и R11 независимо представляют собой водород, метил или этил; и # представляет собой положение О. В некоторых из указанных вариантов реализации оба из R10 и R11 представляют собой водород. В некоторых из указанных вариантов реализации R10 представляет собой водород, и R11 представляет собой С16-алкил. В некоторых из указанных вариантов реализации R10 представляет собой водород, и R11 представляет собой метил или этил. В некоторых из указанных вариантов реализации R10 и R11 являются одинаковыми. В предпочтительном варианте реализации R1 представляет собой более предпочтительно где R10 и R11 являются такими, как определено в настоящей заявке ранее. В другом предпочтительном варианте реализации R1 представляет собой где R12 и R13 независимо представляют собой водород или С18-алкил; и # представляет собой положение О. В более предпочтительном варианте реализации R12 и R13 независимо представляют собой водород, метил или этил. В более предпочтительном варианте реализации R1 представляет собой где R12 и R13 независимо представляют собой водород, метил или этил; и # представляет собой положение О. В некоторых из указанных вариантов реализации оба из R12 и R13 представляют собой водород. В некоторых из указанных вариантов реализации R12 представляет собой водород, и R13 представляет собой С16-алкил. В некоторых из указанных вариантов реализации R12 представляет собой водород, и R13 представляет собой метил или этил. В некоторых из указанных вариантов реализации R12 и R13 являются одинаковыми.

[169]

В некоторых вариантах реализации любого из способов согласно настоящему изобретению R1 представляет собой С18-алкил, замещенный фенилом, причем указанный фенил дополнительно замещен где Z представляет собой О или NH, и где # представляет собой положение указанного фенила. В некоторых вариантах реализации Z представляет собой О. В некоторых вариантах реализации Z представляет собой NH. С18-алкил в может представлять собой, например, метил, этил, пропил или бутил; предпочтительно метил, этил или пропил; более предпочтительно метил или этил; наиболее предпочтительно метил. В предпочтительном варианте реализации R1 представляет собой где С18-алкил может представлять собой, например, метил, этил, пропил или бутил; предпочтительно метил, этил или пропил; более предпочтительно метил или этил; наиболее предпочтительно метил; где Z представляет собой О или NH, и где # представляет собой положение О. В другом предпочтительном варианте реализации R1 представляет собой где С18-алкил может представлять собой, например, метил, этил, пропил или бутил; предпочтительно метил, этил или пропил; более предпочтительно метил или этил; наиболее предпочтительно метил; где Z представляет собой О или NH, и где # представляет собой положение О.

[170]

В некоторых вариантах реализации любого из способов согласно настоящему изобретению R1 представляет собой С18-алкил, замещенный фенилом, причем указанный фенил дополнительно замещен где # представляет собой положение указанного фенила. В некоторых вариантах реализации R1 представляет собой С18-алкил, замещенный фенилом, причем указанный фенил дополнительно замещен где # представляет собой положение указанного фенила. В предпочтительном варианте реализации R1 представляет собой , где # представляет собой положение О. В другом предпочтительном варианте реализации R1 представляет собой , где # представляет собой положение О.

[171]

В некоторых вариантах реализации любого из способов согласно настоящему изобретению R1 представляет собой где # представляет собой положение О, и n=0, 1, 2, 3, 4, 5, 6, 7, 8, 9 или 10, предпочтительно n=0, 1, 2, 3, 4, 5, 6; более предпочтительно n=0, 1, 2, 3, 4; более предпочтительно n=0, 1, 2, 3, более предпочтительно n=0, 1, 2, более предпочтительно n=0, 1; и наиболее предпочтительно n=1.

[172]

В некоторых вариантах реализации любого из способов согласно настоящему изобретению R1 представляет собой алифатический или ароматический остаток, который необязательно замещен С28-алкинилом. В предпочтительном варианте реализации R1 представляет собой гомопропаргил.

[173]

В некоторых вариантах реализации любого из способов согласно настоящему изобретению R1 представляет собой где # представляет собой положение О, n=0, 1, 2, 3, 4, 5, 6, 7, 8, 9 или 10, предпочтительно n=0, 1, 2, 3, 4, 5, 6; более предпочтительно n=0, 1, 2, 3, 4; более предпочтительно n=0, 1, 2, 3, более предпочтительно n=0, 1, 2, более предпочтительно n=0, 1; и наиболее предпочтительно n=1, т.е. когда n равняется 1, R1 представляет собой

[174]

В некоторых вариантах реализации любого из способов согласно настоящему изобретению представляет собой небольшую молекулу; где необязательно дополнительно содержит линкер, который соединен с Y.

[175]

В некоторых вариантах реализации любого из способов согласно настоящему изобретению представляет собой небольшую молекулу, такую как, например, необязательно замещенный С18-алкил, -CH2-фенил, или где # указывает положение Y. В предпочтительных вариантах реализации представляет собой необязательно замещенный С18-алкил, предпочтительно необязательно замещенный С16-алкил, более предпочтительно необязательно замещенный С14-алкил, еще более предпочтительно С12-алкил. В некоторых вариантах реализации представляет собой -CH2-фенил, т.е. бензил. В предпочтительных вариантах реализации представляет собой где # указывает положение Y. В предпочтительных вариантах реализации представляет собой , где # указывает положение Y. В предпочтительных вариантах реализации представляет собой где # указывает положение Y. В предпочтительных вариантах реализации представляет собой где # указывает положение Y. В предпочтительных вариантах реализации представляет собой где # указывает положение Y. В предпочтительных вариантах реализации представляет собой где # указывает положение Y. В предпочтительных вариантах реализации представляет собой где # указывает положение Y.

[176]

В некоторых вариантах реализации представляет собой где # указывает положение Y. В некоторых вариантах реализации представляет собой , где # указывает положение Y. В некоторых вариантах реализации представляет собой где # указывает положение Y.

[177]

В некоторых вариантах реализации любого из способов согласно настоящему изобретению представляет собой необязательно замещенный фенил, предпочтительно где # указывает положение Y.

[178]

В некоторых вариантах реализации любого из способов согласно настоящему изобретению представляет собой радиоактивный или нерадиоактивный нуклид, биотин, репортерный фермент, нуклеотид, олигонуклеотид, флуорофор, такой как CY5 или EDANS, аминокислоту, пептид, необязательно замещенную 5- или 6-членную гетероароматическую систему; где необязательно дополнительно содержит линкер, который соединен с Y. Соответственно, в некоторых вариантах реализации представляет собой радиоактивный или нерадиоактивный нуклид. В предпочтительных вариантах реализации представляет собой биотин. В некоторых вариантах реализации представляет собой репортерный фермент. В предпочтительных вариантах реализации представляет собой нуклеотид. В предпочтительных вариантах реализации представляет собой олигонуклеотид. В предпочтительных вариантах реализации представляет собой флуорофор, такой как CY5 или EDANS. В предпочтительных вариантах реализации представляет собой аминокислоту. В предпочтительных вариантах реализации представляет собой пептид. В предпочтительных вариантах реализации представляет собой необязательно замещенную 5- или 6-членную гетероароматическую систему. Необязательно, в любом из указанных вариантов реализации дополнительно содержит линкер, который соединен с Y.

[179]

В настоящем описании, везде, где указано в отношении любого способа или любого соединения, что "необязательно дополнительно содержит линкер, который соединен с Y" и т.п., может дополнительно содержать практически любой линкер, и линкер связан с Y, причем указанный Y является, например, как изложено в настоящей заявке в отношении соединения формулы (I), (I*), (III) или (III*), S (серой) или О (кислородом), предпочтительно S. Линкер может представлять собой любой линкер, известный специалисту в данной области техники, например, пептидный линкер или фрагмент на основе линейного или разветвленного углеводорода. Линкер также может содержать циклические фрагменты. Пептидный линкер может содержать, например, от 1 до 50, от 1 до 40, от 1 до 30, от 1 до 20, от 1 до 10, от 1 до 5, от 1 до 3, или 2, или 1 аминокислоту(ы). Если линкер представляет собой фрагмент на основе углеводорода, основная цепь линкера может содержать только атомы углерода, но также может содержать гетероатомы, такие как атомы кислорода (О), азота (N) или серы (S), и/или может содержать карбонильные группы (С=O). Линкер может представлять собой, например, цепь из С120 атомов углерода или цепь на основе простого полиэфира, такую как цепь на основе полиэтиленгликоля с повторяющимися звеньями -(О-СН2-СН2)-. В типичных вариантах реализации линкеров на основе углеводорода линкерный фрагмент содержит от 1 до примерно 150, от 1 до примерно 100, от 1 до примерно 75, от 1 до примерно 50, или от 1 до примерно 40, или от 1 до примерно 30, или от 1 до примерно 20, включая 2, 3, 4, 5, 6, 7, 8, 9, 10, 11, 12, 13, 14, 15, 16, 17, 18 и 19 атомов основной цепи. В качестве иллюстративного примера, линкер может представлять собой где # указывает положение Y, и * указывает положение другой части где указанная другая часть может представлять собой, в качестве неограничивающих примеров, аминокислоту, пептид, антитело, белок, нуклеотид, олигонуклеотид или небольшую молекулу; и каждый из m и n независимо представляет собой целое число, например, от 0 до 20, от 0 до 15, от 1 до 10, от 1 до 8, от 1 до 6, от 1 до 4, от 1 до 3, от 1 до 2 или 1, предпочтительно m равняется 1, и n равняется 1. Упомянутые выше иллюстративные линкеры также можно применять, например, когда в настоящем описании упоминается "линкер", как таковой, или "конъюгат линкер-лекарственное средство", например, в контексте конъюгата антитело-лекарственное средство, или "конъюгат линкер-флуорофор", например, в контексте конъюгата антитело-флуорофор. Специалисту в данной области техники известно, как выбирать подходящие линкеры.

[180]

В некоторых вариантах реализации любого из способов согласно настоящему изобретению представляет собой циклический RGD пептид структуры (VII) (c(RDGfK))

[181]

[182]

где * представляет собой положение Y.

[183]

В некоторых вариантах реализации любого из способов согласно настоящему изобретению представляет собой фенил, необязательно замещенный одним, двумя, тремя, четырьмя или пятью заместителями, независимо выбранными из группы, состоящей из С18-алкила, С18-алкокси, галогена, -CN, -NO2, -NH2, -N(С18-алкила), -N(С18-алкила)2, -СООН, -СОО(С18-алкила), -O-С(O)-(С18-алкила), -C(O)N-(С18-алкила), -N(Н)-С(O)-(С18-алкила), предпочтительно необязательно замещенного одним заместителем, выбранным из группы, состоящей из С18-алкокси, -СООН, -СОО(С18-алкила) и NO2.

[184]

В некоторых вариантах реализации любого из способов согласно настоящему изобретению представляет собой С18-алкил, необязательно замещенный по меньшей мере одним заместителем, выбранным из группы, состоящей из С38-циклоалкила; гетероциклила с 3-8 кольцевыми членами, где гетероатом(ы) выбран(ы) из N, О, S; С18-алкокси; галогена; -CN; -NO2; -NH2; N(С18-алкила); N(С18-алкила)2; -СООН; -СОО(С18-алкила); -O-С(O)-(С18-алкила); -CONH2; -С(O)N(С18-алкила)2; -С(O)NH-(С18-алкила); -N(Н)-С(O)-(С18-алкила), предпочтительно С18-алкокси, -СООН, -СОО(С18-алкила) и NO2, фенила или гетероароматической системы, моносахарида, полисахарида, пептида, белка, антитела, нуклеотида, олигонуклеотида, полимера, аминокислоты, флуорофора, белковой метки (заместитель 1ого поколения), где заместитель 1ого поколения необязательно может быть снова замещен С38-циклоалкилом; гетероциклилом с 3-8 кольцевыми членами, где гетероатом(ы) выбран(ы) из N, О, S; С18-алкокси; галогеном; -CN; -NO2; -NH2; -N(С18-алкилом); -N(С18-алкилом)2; -СООН; -СОО(С18-алкилом); -O-С(O)-(С18-алкилом); -CONH2; -С(O)Н(С18-алкилом)2; -С(O)NH-(С18-алкилом); -N(Н)-С(O)-(С18-алкилом), предпочтительно С18-алкокси, -СООН, -СОО(С18-алкилом) и NO2, фенилом или гетероароматической системой (заместители 2ого поколения), и где заместитель 2ого поколения может быть снова замещен по меньшей мере одним заместителем, выбранным из той же группы, и где такое замещение может продолжаться до 3, 4, 5, 6, 7, 8, 9 или 10 поколения.

[185]

В некоторых вариантах реализации любого из способов согласно настоящему изобретению представляет собой аминокислоту, пептид, белок, антитело, нуклеотид, олигонуклеотид, сахарид, полисахарид, полимер, необязательно замещенный С18-алкил, необязательно замещенный фенил или необязательно замещенную ароматическую 5- или 6-членную гетероциклическую систему; где необязательно дополнительно содержит линкер, который соединен с Y. Соответственно, в предпочтительных вариантах реализации представляет собой аминокислоту. В предпочтительных вариантах реализации представляет собой пептид. В предпочтительных вариантах реализации представляет собой белок. В предпочтительных вариантах реализации представляет собой антитело. В предпочтительных вариантах реализации представляет собой нуклеотид. В предпочтительных вариантах реализации представляет собой олигонуклеотид. В некоторых вариантах реализации представляет собой сахарид. В некоторых вариантах реализации представляет собой полисахарид. В некоторых вариантах реализации представляет собой полимер. В некоторых вариантах реализации представляет собой необязательно замещенный С18-алкил, предпочтительно необязательно замещенный С16-алкил, более предпочтительно необязательно замещенный С14-алкил, более предпочтительно необязательно замещенный С12-алкил. В некоторых вариантах реализации представляет собой необязательно замещенный фенил. В некоторых вариантах реализации представляет собой необязательно замещенную ароматическую 5- или 6-членную гетероциклическую систему. Необязательно, в любом из указанных вариантов реализациидополнительно содержит линкер, который соединен с Y.

[186]

В предпочтительных вариантах реализации любого из способов согласно настоящему изобретению представляет собой аминокислоту, пептид, белок, антитело, нуклеотид или олигонуклеотид; где необязательно дополнительно содержит линкер, который соединен с Y. В более предпочтительных вариантах реализации представляет собой пептид, белок, антитело или олигонуклеотид; где необязательно дополнительно содержит линкер, который соединен с Y. В предпочтительных вариантах реализации представляет собой аминокислоту. В предпочтительных вариантах реализации представляет собой пептид. В предпочтительных вариантах реализации представляет собой белок. В предпочтительных вариантах реализации представляет собой антитело. В предпочтительных вариантах реализации представляет собой нуклеотид. В предпочтительных вариантах реализации представляет собой олигонуклеотид. Необязательно, в любом из указанных вариантов реализации дополнительно содержит линкер, который соединен с Y.

[187]

В предпочтительных вариантах реализации любого из способов согласно настоящему изобретению, представляет собой лекарственное средство, белковую метку или флуорофор, такой как CY5 или EDANS, биотин, белок, пептид, антитело или олигонуклеотид; где необязательно дополнительно содержит линкер, который соединен с Y. Соответственно, в предпочтительных вариантах реализации представляет собой лекарственное средство. В предпочтительных вариантах реализации представляет собой белковую метку. В предпочтительных вариантах реализации представляет собой конъюгат линкер-лекарственное средство. В предпочтительных вариантах реализации представляет собой флуорофор, такой как CY5 или EDANS. В предпочтительных вариантах реализации представляет собой биотин. В предпочтительных вариантах реализации представляет собой белок. В предпочтительных вариантах реализации представляет собой пептид. В предпочтительных вариантах реализации представляет собой антитело. В предпочтительных вариантах реализации представляет собой олигонуклеотид. Необязательно, в любом из указанных вариантов реализации дополнительно содержит линкер, который соединен с Y.

[188]

В предпочтительных вариантах реализации любого из способов согласно настоящему изобретению представляет собой линкер или конъюгат линкер-лекарственное средство. В предпочтительных вариантах реализации представляет собой линкер, такой как, например, линкер, содержащий VC-PAB, VA-PAB, KF-PAB или VK-PAB, предпочтительно линкер, содержащий VC-PAB. В предпочтительных вариантах реализации представляет собой конъюгат линкер-лекарственное средство, такой как, например, предпочтительно , где # указывает положение Y (О (кислород) или S (сера), предпочтительно S), и каждый из m и n независимо представляет собой целое число, например, от 0 до 20, от 0 до 15, от 1 до 10, от 1 до 8, от 1 до 6, от 1 до 4, от 1 до 3, от 1 до 2 или 1, предпочтительно m равняется 1, и n равняется 1. Более предпочтительно, конъюгат линкер-лекарственное средство представляет собой более предпочтительно или наиболее предпочтительно где # указывает положение Y (О (кислород) или S (сера), предпочтительно S), и каждый из m и n независимо представляет собой целое число, например, от 0 до 20, от 0 до 15, от 1 до 10, от 1 до 8, от 1 до 6, от 1 до 4, от 1 до 3, от 1 до 2 или 1, предпочтительно m равняется 1, и n равняется 1.

[189]

В соответствии с любым из способов согласно настоящему изобретению может представлять собой аминокислоту, пептид, белок, антитело, нуклеотид, олигонуклеотид, сахарид, полисахарид, полимер, необязательно замещенный C1-C8-алкил, необязательно замещенный фенил или необязательно замещенную ароматическую 5- или 6-членную гетероциклическую систему. В предпочтительных вариантах реализации представляет собой аминокислоту, пептид, белок, антитело, нуклеотид или олигонуклеотид. В более предпочтительных вариантах реализации представляет собой пептид, белок, антитело или олигонуклеотид. В предпочтительных вариантах реализации представляет собой аминокислоту. В предпочтительных вариантах реализации представляет собой пептид. В предпочтительных вариантах реализации представляет собой белок. В предпочтительных вариантах реализации представляет собой антитело. В предпочтительных вариантах реализации представляет собой нуклеотид. В предпочтительных вариантах реализации представляет собой олигонуклеотид. В некоторых вариантах реализации представляет собой сахарид. В некоторых вариантах реализации представляет собой полисахарид. В некоторых вариантах реализации представляет собой полимер. В некоторых вариантах реализации представляет собой необязательно замещенный C1-C8-алкил, предпочтительно необязательно замещенный C16-алкил, более предпочтительно необязательно замещенный С14-алкил, более предпочтительно необязательно замещенный C12-алкил. В некоторых вариантах реализации представляет собой необязательно замещенный С38-алкил, предпочтительно необязательно замещенный С36-алкил, более предпочтительно необязательно замещенный С34-алкил. В некоторых вариантах реализации представляет собой необязательно замещенный С58-алкил, предпочтительно необязательно замещенный С67-алкил. В некоторых вариантах реализации представляет собой необязательно замещенный фенил. В некоторых вариантах реализации представляет собой необязательно замещенную ароматическую 5- или 6-членную гетероциклическую систему.

[190]

В предпочтительных вариантах реализации любого из способов согласно настоящему изобретению представляет собой антитело, предпочтительно антитело IgG, более предпочтительно цетуксимаб, или трастузумаб, или брентуксимаб; белок, предпочтительно белок GFP или белок eGFP, альбумин, трипептид, предпочтительно пептид формулы (VIII)

[191]

[192]

или формулы (IX)

[193]

[194]

где # представляет собой положение S. Соответственно, в предпочтительных вариантах реализации представляет собой антитело. В более предпочтительных вариантах реализации антитело представляет собой антитело IgG, более предпочтительно цетуксимаб, или трастузумаб, или брентуксимаб. В предпочтительных вариантах реализации представляет собой белок, более предпочтительно белок GFP или белок eGFP. В предпочтительных вариантах реализации представляет собой альбумин. В предпочтительных вариантах реализации представляет собой трипептид. В предпочтительных вариантах реализации представляет собой пептид формулы (VIII) В предпочтительных вариантах реализации представляет собой пептид формулы (IX)

[195]

[196]

В предпочтительных вариантах реализации любого из способов согласно настоящему изобретению представляет собой антитело (например, цетуксимаб, трастузумаб или брентуксимаб), и представляет собой белковую метку или флуорофор, такой как CY5 или EDANS, биотин, пептид, белок, олигонуклеотид или небольшую молекулу; где необязательно дополнительно содержит линкер, который соединен с Y. Соответственно, в предпочтительных вариантах реализации представляет собой антитело, и представляет собой белковую метку. В предпочтительных вариантах реализации представляет собой антитело, и представляет собой флуорофор, такой как CY5 или EDANS. В предпочтительных вариантах реализации представляет собой антитело, и представляет собой биотин. В предпочтительных вариантах реализации представляет собой антитело, и представляет собой пептид. В предпочтительных вариантах реализации представляет собой антитело, и представляет собой белок. В предпочтительных вариантах реализации представляет собой антитело, и представляет собой олигонуклеотид. В предпочтительных вариантах реализации представляет собой антитело, и представляет собой небольшую молекулу. Необязательно, в любом из указанных вариантов реализации дополнительно содержит линкер, который соединен с Y.

[197]

В предпочтительных вариантах реализации любого из способов согласно настоящему изобретению представляет собой белок (например, белок GFP или белок eGFP), и представляет собой белковую метку или флуорофор, такой как CY5 или EDANS, биотин, пептид, антитело, белок, олигонуклеотид или небольшую молекулу; где необязательно дополнительно содержит линкер, который соединен с Y. Соответственно, в предпочтительных вариантах реализации представляет собой белок, и представляет собой белковую метку. В предпочтительных вариантах реализации представляет собой белок, и представляет собой флуорофор, такой как CY5 или EDANS. В предпочтительных вариантах реализации представляет собой белок, и представляет собой биотин. В предпочтительных вариантах реализации представляет собой белок, и представляет собой пептид. В предпочтительных вариантах реализации представляет собой белок, и представляет собой антитело. В предпочтительных вариантах реализации представляет собой белок, и представляет собой белок. В предпочтительных вариантах реализации представляет собой белок, и представляет собой олигонуклеотид. В предпочтительных вариантах реализации представляет собой белок, и представляет собой небольшую молекулу. Необязательно, в любом из указанных вариантов реализации дополнительно содержит линкер, который соединен с Y.

[198]

В предпочтительных вариантах реализации любого из способов согласно настоящему изобретению представляет собой пептид, и представляет собой белковую метку или флуорофор, такой как CY5 или EDANS, биотин, пептид, белок, олигонуклеотид или небольшую молекулу; где необязательно дополнительно содержит линкер, который соединен с Y. Соответственно, в предпочтительных вариантах реализации представляет собой пептид, и представляет собой белковую метку. В предпочтительных вариантах реализации представляет собой пептид, и представляет собой флуорофор, такой как CY5 или EDANS. В предпочтительных вариантах реализации представляет собой пептид, и представляет собой биотин. В предпочтительных вариантах реализации представляет собой пептид, и представляет собой пептид. В предпочтительных вариантах реализации представляет собой пептид, и представляет собой белок. В предпочтительных вариантах реализации представляет собой пептид, и представляет собой олигонуклеотид. В предпочтительных вариантах реализации представляет собой пептид, и представляет собой небольшую молекулу. Необязательно, в любом из указанных вариантов реализации дополнительно содержит линкер, который соединен с Y.

[199]

В предпочтительных вариантах реализации любого из способов согласно настоящему изобретению представляет собой аминокислоту, и представляет собой белковую метку или флуорофор, такой как CY5 или EDANS, биотин, пептид, белок, олигонуклеотид или небольшую молекулу; где необязательно дополнительно содержит линкер, который соединен с Y. Соответственно, в предпочтительных вариантах реализации представляет собой аминокислоту, и представляет собой белковую метку. В предпочтительных вариантах реализации представляет собой аминокислоту, и представляет собой флуорофор, такой как CY5 или EDANS. В предпочтительных вариантах реализации представляет собой аминокислоту, и представляет собой биотин. В предпочтительных вариантах реализации представляет собой аминокислоту, и представляет собой пептид. В предпочтительных вариантах реализации представляет собой аминокислоту, и представляет собой белок. В предпочтительных вариантах реализации представляет собой аминокислоту, и представляет собой олигонуклеотид. В предпочтительных вариантах реализации представляет собой аминокислоту, и представляет собой небольшую молекулу. Необязательно, в любом из указанных вариантов реализации дополнительно содержит линкер, который соединен с Y.

[200]

В предпочтительных вариантах реализации любого из способов согласно настоящему изобретению представляет собой антитело (например, цетуксимаб, трастузумаб или брентуксимаб), и представляет собой линкер, лекарственное средство или конъюгат линкер-лекарственное средство. Соответственно, в предпочтительных вариантах реализации представляет собой антитело, и представляет собой линкер, такой как, например, линкер, содержащий VC-PAB, VA-PAB, KF-PAB или VK-РАВ, предпочтительно линкер, содержащий VC-PAB. В предпочтительных вариантах реализации представляет собой антитело, и представляет собой лекарственное средство. В предпочтительных вариантах реализации представляет собой антитело, и представляет собой конъюгат линкер-лекарственное средство, такой как, например предпочтительно , где # указывает положение Y (О (кислород) или S (сера), предпочтительно S), и каждый из m и n независимо представляет собой целое число, например, от 0 до 20, от 0 до 15, от 1 до 10, от 1 до 8, от 1 до 6, от 1 до 4, от 1 до 3, от 1 до 2 или 1, предпочтительно m равняется 1, и n равняется 1. В более предпочтительных вариантах реализации представляет собой антитело, и представляет собой конъюгат линкер-лекарственное средство, такой как, например, более предпочтительно или наиболее предпочтительно где # указывает положение Y (О (кислород) или S (сера), предпочтительно S), и каждый из m и n независимо представляет собой целое число, например, от 0 до 20, от 0 до 15, от 1 до 10, от 1 до 8, от 1 до 6, от 1 до 4, от 1 до 3, от 1 до 2 или 1, предпочтительно m равняется 1, и n равняется 1. В любом из указанных вариантов реализации антитело может представлять собой цетуксимаб, трастузумаб или брентуксимаб, предпочтительно брентуксимаб.

[201]

В предпочтительных вариантах реализации любого из способов согласно настоящему изобретению представляет собой нуклеотид, и представляет собой пептид, белок, белковую метку, антитело, олигонуклеотид, флуорофор, такой как CY5 или EDANS, биотин или небольшую молекулу; где необязательно дополнительно содержит линкер, который соединен с Y. В предпочтительных вариантах реализации представляет собой нуклеотид, и представляет собой пептид. В предпочтительных вариантах реализации представляет собой нуклеотид, и представляет собой белок. В предпочтительных вариантах реализации представляет собой нуклеотид, и представляет собой белковую метку. В предпочтительных вариантах реализации представляет собой нуклеотид, и представляет собой антитело. В предпочтительных вариантах реализации представляет собой нуклеотид, и представляет собой олигонуклеотид. В предпочтительных вариантах реализации представляет собой нуклеотид, и представляет собой флуорофор, такой как CY5 или EDANS. В предпочтительных вариантах реализации представляет собой нуклеотид, и представляет собой биотин. В предпочтительных вариантах реализации представляет собой нуклеотид, и представляет собой небольшую молекулу. Необязательно, в любом из указанных вариантов реализации дополнительно содержит линкер, который соединен с Y.

[202]

В предпочтительных вариантах реализации любого из способов согласно настоящему изобретению представляет собой нуклеотид, и представляет собой линкер.

[203]

В предпочтительных вариантах реализации любого из способов согласно настоящему изобретению представляет собой олигонуклеотид, и представляет собой пептид, белок, белковую метку, антитело, олигонуклеотид, флуорофор, такой как CY5 или EDANS, биотин или небольшую молекулу; где необязательно дополнительно содержит линкер, который соединен с Y. В предпочтительных вариантах реализации представляет собой олигонуклеотид, и представляет собой пептид. В предпочтительных вариантах реализации представляет собой олигонуклеотид, и представляет собой белок. В предпочтительных вариантах реализации представляет собой олигонуклеотид, и представляет собой белковую метку. В предпочтительных вариантах реализации представляет собой олигонуклеотид, и представляет собой антитело. В предпочтительных вариантах реализации представляет собой олигонуклеотид, и представляет собой олигонуклеотид. В предпочтительных вариантах реализации представляет собой олигонуклеотид, и представляет собой флуорофор, такой как CY5 или EDANS. В предпочтительных вариантах реализации представляет собой олигонуклеотид, и представляет собой биотин. В предпочтительных вариантах реализации представляет собой олигонуклеотид, и представляет собой небольшую молекулу. Необязательно, в любом из указанных вариантов реализации дополнительно содержит линкер, который соединен с Y.

[204]

В предпочтительных вариантах реализации любого из способов согласно настоящему изобретению представляет собой олигонуклеотид, и представляет собой линкер.

[205]

В предпочтительных вариантах реализации любого из способов согласно настоящему изобретению представляет собой аминокислоту, пептид, нуклеотид или олигонуклеотид, где аминокислота, пептид, нуклеотид или олигонуклеотид связаны с твердой подложкой. В некоторых вариантах реализации представляет собой аминокислоту или пептид, связанные с твердой подложкой. В некоторых вариантах реализации представляет собой нуклеотид или олигонуклеотид, связанные с твердой подложкой. В предпочтительных вариантах реализации представляет собой пептид, связанный с твердой подложкой. В качестве преимущества, авторы настоящего изобретения обнаружили, что фосфонотиолаты согласно настоящему изобретению являются высокостабильными в кислых условиях, которые обычно используют для отщепления пептида от твердой подложки, например, 90% трифторуксусной кислоты (ТФК). Твердая подложка может представлять собой любую твердую подложку, известную специалисту в данной области техники, которая подходит для твердофазного синтеза пептидов, или любую твердую подложку, которая подходит для твердофазного синтеза олигонуклеотидов. Такие твердые подложки также известны как смолы. Иллюстративные примеры твердых подложек, подходящих для твердофазного синтеза пептидов, включают органические и неорганические подложки, такие как полистирольная смола Меррифилда (сополимер стирола и 1-2% дивинилбензола), полиакриламидные смолы, TentaGel (графт-полимер, в котором полиэтиленгликоль привит к полистиролу), смола Ванга (обычно на основе сшитого полистирола, такого как в смоле Меррифилда) или пористое стекло с определенным размером пор в качестве примера неорганической твердой подложки. Иллюстративные примеры коммерчески доступных твердых подложек для твердофазного синтеза пептидов представляют собой амидные смолы Ринка или смолы NovaSyn®TGR, поставляемые Merck Millipore. Иллюстративные примеры коммерчески доступных твердых подложек, подходящих для твердофазного синтеза олигонуклеотидов, включают стекло с определенным размером пор (стекло с контролируемым размером пор, CPG) и полистирол, такой как макропористый полистирол (MPPS). Необязательно, в указанных выше вариантах реализации, в которых аминокислота, пептид, нуклеотид или олигонуклеотид связаны с твердой подложкой, дополнительно содержит линкер, который соединен с Y формул, описанных в настоящей заявке, в частности, соединений (I), (III), (I*) и (III*). Кроме того, линкер связан с аминокислотой, пептидом, нуклеотидом или олигонуклеотидом. Соответственно, может иметь структуру линкер аминокислота твердая подложка, линкер-пептид-твердая подложка, линкер-нуклеотид-твердая подложка или линкер-олигонуклеотид-твердая подложка. "Линкер" может представлять собой практически любой линкер, и линкер связан с Y, причем указанный Y является, например, как изложено в настоящей заявке в отношении соединения формулы (I), (I*), (III) или (III*), S (серой) или О (кислородом), предпочтительно S. Линкер может представлять собой любой линкер, известный специалисту в данной области техники, например, пептидный линкер или фрагмент на основе линейного или разветвленного углеводорода. Линкер также может содержать циклические фрагменты. Пептидный линкер может содержать, например, от 1 до 50, от 1 до 40, от 1 до 30, от 1 до 20, от 1 до 10, от 1 до 5, от 1 до 3, или 2, или 1 аминокислоту(ы). Если линкер представляет собой фрагмент на основе углеводорода, основная цепь линкера может содержать только атомы углерода, но также может содержать гетероатомы, такие как атомы кислорода (О), азота (N) или серы (S), и/или может содержать карбонильные группы (С=О). Линкер может представлять собой, например, цепь из С120 атомов углерода или цепь на основе простого полиэфира, такую как цепь на основе полиэтиленгликоля с повторяющимися звеньями -(О-CH2-CH2)-. В типичных вариантах реализации линкеров на основе углеводорода линкерный фрагмент содержит от 1 до примерно 150, от 1 до примерно 100, от 1 до примерно 75, от 1 до примерно 50, или от 1 до примерно 40, или от 1 до примерно 30, или от 1 до примерно 20, включая 2, 3, 4, 5, 6, 7, 8, 9, 10, 11, 12, 13, 14, 15, 16, 17, 18 и 19 атомов основной цепи. Специалисту в данной области техники известно, как выбирать подходящие линкеры. Например, в некоторых вариантах реализации линкер может представлять собой где # указывает положение Y, и * указывает положение аминокислоты, пептида, нуклеотида или олигонуклеотида, и каждый из m и n независимо представляет собой целое число, например, от 0 до 20, от 0 до 15, от 1 до 10, от 1 до 8, от 1 до 6, от 1 до 4, от 1 до 3, от 1 до 2 или 1, предпочтительно m равняется 1, и n равняется 1. Аминокислота, пептид, нуклеотид или олигонуклеотид могут быть связаны с линкером через атом N (азота).

[206]

В предпочтительных вариантах реализации любого из способов согласно настоящему изобретению представляет собой аминокислоту, пептид, нуклеотид или олигонуклеотид, где аминокислота, пептид, нуклеотид или олигонуклеотид связаны с твердой подложкой. В некоторых вариантах реализации представляет собой аминокислоту или пептид, связанные с твердой подложкой. В некоторых вариантах реализации представляет собой нуклеотид или олигонуклеотид, связанные с твердой подложкой. В предпочтительных вариантах реализации представляет собой пептид, связанный с твердой подложкой.

[207]

Настоящее изобретение также относится к способу получения соединения формулы (I) или формулы (I*), включающему:

[208]

(I) приведение соединения формулы (Ia)

[209]

[210]

формулы (I*а)

[211]

[212]

где

[213]

L представляет собой линкер, подходящий для связывания с аминокислотой, пептидом, нуклеотидом или олигонуклеотидом; и

[214]

X, Y, V и R1 являются такими, как определено в настоящей заявке выше и ниже, во взаимодействие с аминокислотой, пептидом, нуклеотидом или олигонуклеотидом, где аминокислота, пептид, нуклеотид или олигонуклеотид связаны с твердой подложкой,

[215]

с получением соединения формулы (Ib) или (I*b),

[216]

[217]

[218]

где Z представляет собой аминокислоту, пептид, нуклеотид или олигонуклеотид, где аминокислота, пептид, нуклеотид или олигонуклеотид связаны с твердой подложкой; и

[219]

(II) отщепление соединения формулы (Ib) или формулы (I*b) от твердой подложки с получением соединения формулы (I) или формулы (I*):

[220]

[221]

[222]

где представляет собой аминокислоту, пептид, нуклеотид или олигонуклеотид, связанные с Y через линкер L, и

[223]

X, Y, V и R1 являются такими, как определено выше в стадии (I). В некоторых вариантах реализации линкер L представляет собой где # указывает положение Y, и каждый из m и n независимо представляет собой целое число от 0 до 20, от 0 до 15, от 1 до 10, от 1 до 8, от 1 до 6, от 1 до 4, от 1 до 3, от 1 до 2 или 1, предпочтительно m равняется 1, и n равняется 1. Аминокислота, пептид, нуклеотид или олигонуклеотид связаны с таким линкером через карбоксильную группу. В некоторых вариантах реализации соединение формулы (Ia) или (I*а) взаимодействует с пептидом, связанным с твердой подложкой, или олигонуклеотидом, связанным с твердой подложкой, предпочтительно соединение формулы (Ia) или (I*а) взаимодействует с пептидом, связанным с твердой подложкой. В некоторых вариантах реализации стадию отщепления (II) проводят в кислых условиях, например, с применением водного раствора трифторуксусной кислоты (например, 90% ТФК). В этом отношении, авторы настоящего изобретения обнаружили, что фосфонотиолаты (Y=S) согласно настоящему изобретению являются высокостабильными в кислых условиях, которые используют, в частности, для отщепления пептида от твердой подложки. Необязательно, в любом из указанных вариантов реализации способ может дополнительно включать приведение соединения формулы (I) или формулы (I*) во взаимодействие с соединением формулы (II), как определено в настоящей заявке выше и ниже.

[224]

В варианте реализации способа согласно настоящему изобретению и находятся в одной и той же молекуле. Соответственно, настоящее изобретение также относится к способу, в котором соединение формулы (L)

[225]

[226]

где и находятся в одной и той же молекуле, как показано дугой, соединяющей и приводят во взаимодействие с получением соединения формулы (IIIa):

[227]

[228]

где представляет собой связь, если в соединении формулы (XX) представляет собой двойную связь, и Х представляет собой (R3 R4)С; или

[229]

представляет собой двойную связь, если в соединении формулы (XX) представляет собой тройную связь, и X представляет собой R3-C; и

[230]

R1, R3 , R4 и Y являются такими, как определено в настоящей заявке выше и ниже.

[231]

Настоящее изобретение также относится к способу, в котором соединение формулы (L*)

[232]

[233]

где и находятся в одной и той же молекуле, как показано дугой, соединяющей и приводят во взаимодействие с получением соединения формулы (III*а):

[234]

[235]

где X представляет собой (R3 R4)C, и V, R1, R3 , R4 и Y являются такими, как определено в настоящей заявке выше и ниже.

[236]

В некоторых вариантах реализации соединение (L), содержащее и в одной и той же молекуле, представляет собой пептид, такой как, например, пептид BCL9. Соответственно, соединение формулы (IIIa), полученное по указанному способу, может представлять собой циклический пептид, такой как, например, циклический пептид, полученный из пептида BCL9. В некоторых вариантах реализации соединение (L*), содержащее и в одной и той же молекуле, представляет собой пептид, такой как, например, пептид BCL9. Соответственно, соединение формулы (III*а), полученное по указанному способу, может представлять собой циклический пептид, такой как, например, циклический пептид, полученный из пептида BCL9.

[237]

Все способы, описанные в настоящей заявке для соединений формул (I), (I*), (II), (III) и (III*), можно проводить аналогичным образом для соединений формул (L), (L*), (IIIa) и (III*а).

[238]

Соединения

[239]

Настоящее изобретение также относится к соединениям, которые можно получать или получены по любому из способов, описанных в настоящей заявке. Также настоящее изобретение относится к соединениям, которые применяют в любом из способов, описанных в настоящей заявке, например, в качестве исходных материалов или промежуточных соединений. В частности, настоящее изобретение также относится к соединениям формул (I), (I*), (III), (III*), (L), (L*), (IIIa) и (III*а).

[240]

Соответственно, настоящее изобретение также относится к соединению формулы (I)

[241]

[242]

где

[243]

представляет собой двойную связь или тройную связь;

[244]

X представляет собой R3-С, когда представляет собой тройную связь;

[245]

X представляет собой (R3 R4)С, когда представляет собой двойную связь;

[246]

Y представляет собой S или О;

[247]

R1 представляет собой необязательно замещенный алифатический или ароматический остаток;

[248]

R3 представляет собой Н или C1-C8-алкил;

[249]

R4 представляет собой Н или C1-C8-алкил, и

[250]

представляет собой алифатический или ароматический остаток.

[251]

В некоторых вариантах реализации соединения формулы (I) представляет собой двойную связь, X представляет собой (R3 R4)C, и R3 и R4 независимо представляют собой Н или C1-C8-алкил. Предпочтительно, R3 и R4 независимо представляют собой Н или C1-C8-алкил, более предпочтительно Н или C1-C6-алкил, еще более предпочтительно Н или С14-алкил и еще более предпочтительно Н или С12-алкил. В предпочтительных вариантах реализации R3 и R4 являются одинаковыми. В предпочтительных вариантах реализации оба из R3 и R4 представляют собой Н.

[252]

Альтернативно, в некоторых вариантах реализации соединения формулы (I) представляет собой тройную связь, Х представляет собой R3-C, и R3 представляет собой Н или C1-C8-алкил. Предпочтительно R3 представляет собой Н или C1-C8-алкил, более предпочтительно Н или C16-алкил, более предпочтительно Н или С14-алкил и более предпочтительно Н или С12-алкил. В предпочтительных вариантах реализации R3 представляет собой Н.

[253]

Настоящее изобретение также относится к соединению формулы (I*)

[254]

[255]

где

[256]

V представляет собой С18-алкил, предпочтительно метил, этил или пропил, более предпочтительно метил;

[257]

X представляет собой (R3 R4)C;

[258]

Y представляет собой S или О;

[259]

R1 представляет собой необязательно замещенный алифатический или ароматический остаток;

[260]

R3 представляет собой Н или C1-C8-алкил;

[261]

R4 представляет собой Н или C1-C8-алкил; и

[262]

представляет собой алифатический или ароматический остаток.

[263]

Настоящее изобретение также относится к соединению формулы (III)

[264]

[265]

где

[266]

представляет собой связь, и X представляет собой (R3 R4)C; или

[267]

представляет собой двойную связь, и X представляет собой R3-C;

[268]

Y представляет собой S или О;

[269]

R1 представляет собой необязательно замещенный алифатический или ароматический остаток;

[270]

R3 представляет собой Н или C1-C8-алкил;

[271]

R4 представляет собой Н или C1-C8-алкил; и

[272]

представляет собой алифатический или ароматический остаток;

[273]

представляет собой аминокислоту, пептид, белок, антитело, нуклеотид, олигонуклеотид, сахарид, полисахарид, полимер, необязательно замещенный C1-C8-алкил, необязательно замещенный фенил или необязательно замещенную ароматическую 5- или 6-членную гетероциклическую систему.

[274]

В некоторых вариантах реализации соединения формулы (III) представляет собой связь, X представляет собой (R3 R4)C, и R3 и R4 независимо представляют собой Н или С18-алкил. Предпочтительно R3 и R4 независимо представляют собой Н или C1-C6-алкил, более предпочтительно Н или C1-C4-алкил, еще более предпочтительно Н или C12-алкил. В предпочтительных вариантах реализации R3 и R4 являются одинаковыми. В предпочтительных вариантах реализации оба из R3 и R4 представляют собой Н.

[275]

Альтернативно, в некоторых вариантах реализации соединения формулы (III) представляет собой двойную связь, X представляет собой R3-C, и R3 представляет собой Н или C1-C8-алкил. Предпочтительно R3 представляет собой Н или C1-C6-алкил, более предпочтительно Н или C1-C4-алкил, более предпочтительно Н или С12-алкил. В предпочтительных вариантах реализации R3 представляет собой Н.

[276]

Настоящее изобретение также относится к соединению формулы (III*)

[277]

[278]

где

[279]

X представляет собой (R3 R4)C;

[280]

Y представляет собой S или О;

[281]

R1 представляет собой необязательно замещенный алифатический или ароматический остаток;

[282]

R3 представляет собой Н или C1-C8-алкил;

[283]

R4 представляет собой Н или C1-C8-алкил;

[284]

V представляет собой С18-алкил, предпочтительно метил, этил или пропил, более предпочтительно метил;

[285]

представляет собой алифатический или ароматический остаток; и

[286]

представляет собой аминокислоту, пептид, белок, антитело, нуклеотид, олигонуклеотид, сахарид, полисахарид, полимер, необязательно замещенный C18-алкил, необязательно замещенный фенил или необязательно замещенную ароматическую 5- или 6-членную гетероциклическую систему.

[287]

В некоторых вариантах реализации соединения формулы (III*) R3 и R4 независимо представляют собой Н или C1-C8-алкил. Предпочтительно R3 и R4 независимо представляют собой Н или C1-C6-алкил, более предпочтительно Н или С14-алкил, более предпочтительно Н или С12-алкил. В предпочтительных вариантах реализации R3 и R4 являются одинаковыми. В предпочтительных вариантах реализации оба из R3 и R4 представляют собой Н.

[288]

В любом из соединений формулы (I), (I*), (III) или (III*) Y может представлять собой S (серу) или О (кислород), т.е. когда Y представляет собой S, соединения (I), (I*), (III) или (III*) представляют собой фосфонотиолаты, и когда Y представляет собой О, соединения (I), (I*), (III) или (III*) представляют собой фосфонаты. Соответственно, в некоторых вариантах реализации Y представляет собой S. В некоторых вариантах реализации Y представляет собой О. В качестве преимущества, авторы настоящего изобретения показали, что фосфонотиолаты и фосфонаты являются стабильными в физиологически значимых условиях. В предпочтительных вариантах реализации любого из соединений (I), (I*), (III) или (III*) Y представляет собой S. Было обнаружено, что тиольное присоединение в случае фосфонотиолатов формул (III) и (III*), где Y представляет собой S, происходит быстрее по сравнению с соответствующими фосфонатами. Такая более высокая скорость реакции является весьма желательной, поскольку таким образом повышаются конверсия и выход фосфонотиолатов.

[289]

В некоторых вариантах реализации любого из соединений (I), (I*), (III) или (III*) R1 представляет собой C1-C8-алкил, необязательно замещенный по меньшей мере одним (С18-алкокси)n, где n равняется 1, 2, 3, 4, 5 или 6, F, Cl, Br, I, -NO2, -N(С18-алкилом)Н, -NH2, -N3, -N(С18-алкилом)2, =O, С38-циклоалкилом, -S-S-(С18-алкилом), гидрокси-(С18-алкокси)n, где n равняется 1, 2, 3, 4, 5 или 6, С28-алкенилом или С28-алкинилом.

[290]

В некоторых вариантах реализации любого из соединений (I), (I*), (III) или (III*) R1 представляет собой необязательно замещенный фенил, такой как

[291]

[292]

где # представляет собой положение О.

[293]

В некоторых вариантах реализации любого из соединений (I), (I*), (III) или (III*) R1 представляет собой фенил, необязательно независимо замещенный по меньшей мере одним С18-алкилом, (С18-алкокси)n, где n равняется 1, 2, 3, 4, 5 или 6, F, Cl, I, Br, -NO2, -N(С18-алкилом)Н, -NH2 или -N(С18-алкилом)2.

[294]

В некоторых вариантах реализации любого из соединений (I), (I*), (III) или (III*) R1 представляет собой 5- или 6-членную гетероароматическую систему, такую как пиридил.

[295]

В некоторых вариантах реализации любого из соединений (I), (I*), (III) или (III*) R1 представляет собой C1-C8-алкил, C1-C8-алкил, замещенный -S-S-(C18-алкилом), C1-C8-алкил, замещенный (С18-алкокси)n, где n равняется 1, 2, 3, 4, 5 или 6, C1-C8-алкил, замещенный необязательно замещенным фенилом, или фенил, или фенил, замещенный -NO2.

[296]

В некоторых вариантах реализации любого из соединений (I), (I*), (III) или (III*) R1 представляет собой метил, этил, пропил или бутил, предпочтительно метил или этил.

[297]

В некоторых вариантах реализации любого из соединений (I), (I*), (III) или (III*) R1 представляет собой алифатический или ароматический остаток, который необязательно замещен -S-S-(С18-алкилом). В предпочтительном варианте реализации R1представляет собой где каждый из R10, R11, R12 и R13 независимо представляет собой водород или C1-C8-алкил; и # представляет собой положение О. В более предпочтительном варианте реализации каждый из R10, R11, R12 и R13 независимо представляет собой водород, метил или этил. В предпочтительном варианте реализации R1 представляет собой где R10 и R11 независимо представляют собой водород или C1-C8-алкил; и # представляет собой положение О. В более предпочтительном варианте реализации R10 и R11 независимо представляют собой водород, метил или этил. В более предпочтительном варианте реализации R1 представляет собой где R10 и R11 независимо представляют собой водород, метил или этил; и # представляет собой положение О. В некоторых из указанных вариантов реализации R10 и R11 оба из представляют собой водород. В некоторых из указанных вариантов реализации R10 представляет собой водород, и R11 представляет собой C1-C6-алкил. В некоторых из указанных вариантов реализации R10 представляет собой водород, и R11 представляет собой метил или этил. В некоторых из указанных вариантов реализации R10 и R11 являются одинаковыми. В предпочтительном варианте реализации R1 представляет собой более предпочтительно где R10 и R11 являются такими, как определено в настоящей заявке ранее. В предпочтительном варианте реализации R1 представляет собой где R12 и R13 независимо представляют собой водород или C1-C8-алкил; и # представляет собой положение О. В более предпочтительном варианте реализации R12 и R13 независимо представляют собой водород, метил или этил. В более предпочтительном варианте реализации R1 представляет собой где R12 и R13 независимо представляют собой водород, метил или этил; и # представляет собой положение О. В некоторых из указанных вариантов реализации оба из R12 и R13 представляют собой водород. В некоторых из указанных вариантов реализации R12 представляет собой водород, и R13 представляет собой C16-алкил. В некоторых из указанных вариантов реализации R12 представляет собой водород, и R13 представляет собой метил или этил. В некоторых из указанных вариантов реализации R12 и R13 являются одинаковыми.

[298]

В некоторых вариантах реализации любого из соединений (I), (I*), (III) или (III*) R1 представляет собой C1-C8-алкил, замещенный фенилом, причем указанный фенил дополнительно замещен где Z представляет собой О или NH, и где # представляет собой положение указанного фенила. В некоторых вариантах реализации Z представляет собой О. В некоторых вариантах реализации Z представляет собой NH. C1-C8-алкил в может представлять собой, например, метил, этил, пропил или бутил; предпочтительно метил, этил или пропил; более предпочтительно метил или этил; наиболее предпочтительно метил. В предпочтительном варианте реализации R1 представляет собой где С18-алкил может представлять собой, например, метил, этил, пропил или бутил; предпочтительно метил, этил или пропил; более предпочтительно метил или этил; наиболее предпочтительно метил; где Z представляет собой О или NH, и где # представляет собой положение О. В другом предпочтительном варианте реализации R1 представляет собой где C1-C8-алкил может представлять собой, например, метил, этил, пропил или бутил; предпочтительно метил, этил или пропил; более предпочтительно метил или этил; наиболее предпочтительно метил; где Z представляет собой О или NH, и где # представляет собой положение О.

[299]

В некоторых вариантах реализации любого из соединений (I), (I*), (III) или (III*) R1 представляет собой C1-C8-алкил, замещенный фенилом, причем указанный фенил дополнительно замещен , и где # представляет собой положение указанного фенила. В некоторых вариантах реализации R1 представляет собой C1-C8-алкил, замещенный фенилом, причем указанный фенил дополнительно замещен где # представляет собой положение указанного фенила. В предпочтительном варианте реализации R1 представляет собой где # представляет собой положение О. В другом предпочтительном варианте реализации R1 представляет собой где # представляет собой положение О.

[300]

В некоторых вариантах реализации любого из соединений (I), (I*), (III) или (III*) R1 представляет собой где # представляет собой положение О, n=0, 1, 2, 3, 4, 5, 6, 7, 8, 9 или 10, предпочтительно n = 0, 1, 2, 3, 4, 5, 6; более предпочтительно n= 0, 1, 2, 3, 4; более предпочтительно n = 0, 1, 2, 3, более предпочтительно n = 0, 1, 2, более предпочтительно n = 0, 1; и наиболее предпочтительно n = 1.

[301]

В некоторых вариантах реализации любого из соединений (I), (I*), (III) или (III*) R1 представляет собой алифатический или ароматический остаток, который необязательно замещен С28-алкинилом. В предпочтительном варианте реализации R1 представляет собой гомопропаргил.

[302]

В некоторых вариантах реализации любого из соединений (I), (I*), (III) или (III*) R1 представляет собой где # представляет собой положение О, n = 0, 1, 2, 3, 4, 5, 6, 7, 8, 9 или 10, предпочтительно n = 0, 1, 2, 3, 4, 5, 6; более предпочтительно n = 0, 1, 2, 3, 4; более предпочтительно n = 0, 1, 2, 3, более предпочтительно n = 0, 1, 2, более предпочтительно n = 0, 1; и наиболее предпочтительно n=1, т.е. когда n равняется 1, R1 представляет собой

[303]

В некоторых вариантах реализации любого из соединений (I), (I*), (III) или (III*) представляет собой небольшую молекулу; где необязательно дополнительно содержит линкер, который соединен с Y.

[304]

В некоторых вариантах реализации любого из соединений (I), (I*), (III) или (III*) представляет собой небольшую молекулу, такую как, например, необязательно замещенный C1-C8-алкил, -СН2-фенил, где # указывает положение Y. В предпочтительных вариантах реализации представляет собой необязательно замещенный С18-алкил, предпочтительно необязательно замещенный C16-алкил, более предпочтительно необязательно замещенный С14-алкил, более предпочтительно С12-алкил. В некоторых вариантах реализации представляет собой -CH2-фенил, т.е. бензил. В предпочтительных вариантах реализации представляет собой где # указывает положение Y. В предпочтительных вариантах представляет собой где # указывает положение Y. В предпочтительных вариантах реализации представляет собой где # указывает положение Y. В предпочтительных вариантах реализации представляет собой где # указывает положение Y. В предпочтительных вариантах реализации представляет собой где # указывает положение Y. В предпочтительных вариантах реализации представляет собой где # указывает положение Y. В предпочтительных вариантах реализации представляет собой где # указывает положение Y. В некоторых вариантах реализации представляет собой где # указывает положение Y. В некоторых вариантах реализации представляет собой где # указывает положение Y. В некоторых вариантах реализации представляет собой где # указывает положение Y.

[305]

В некоторых вариантах реализации любого из соединений (I), (I*), (III) или (III*) представляет собой необязательно замещенный фенил, предпочтительно где # указывает положение Y. В некоторых вариантах реализации любого из соединений (I), (I*), (III) или (III*) представляет собой радиоактивный или нерадиоактивный нуклид, биотин, репортерный фермент, нуклеотид, олигонуклеотид, флуорофор, такой как CY5 или EDANS, аминокислоту, пептид, необязательно замещенную 5- или 6-членную гетероароматическую систему; где необязательно дополнительно содержит линкер, который соединен с Y. Соответственно, в некоторых вариантах реализации представляет собой радиоактивный или нерадиоактивный нуклид. В некоторых предпочтительных вариантах реализации представляет собой биотин. В некоторых вариантах реализации представляет собой репортерный фермент. В некоторых предпочтительных вариантах реализации представляет собой нуклеотид. В некоторых предпочтительных вариантах реализации представляет собой олигонуклеотид. В некоторых предпочтительных вариантах реализации представляет собой флуорофор, такой как CY5 или EDANS. В некоторых предпочтительных вариантах реализации представляет собой аминокислоту. В некоторых предпочтительных вариантах реализации представляет собой пептид. В некоторых предпочтительных вариантах реализации представляет собой необязательно замещенную 5- или 6-членную гетероароматическую систему. Необязательно, в любом из указанных вариантов реализации дополнительно содержит линкер, который соединен с Y.

[306]

В некоторых вариантах реализации любого из соединений (I), (I*), (III) или (III*) представляет собой циклический RGD пептид структуры (VII) (c(RDGfK))

[307]

[308]

где * представляет собой положение Y.

[309]

В некоторых вариантах реализации любого из соединений (I), (I*), (III) или (III*) представляет собой фенил, необязательно замещенный одним, двумя, тремя, четырьмя или пятью заместителями, независимо выбранными из группы, состоящей из C1-C8-алкила, C1-C8-алкокси, галогена, -CN, -NO2, -NH2, -N(С18-алкила), -N(С18-алкила)2, -СООН, -СОО(С18-алкила), -O-С(O)-(С18-алкила), -С(O)N-(C18-алкила), -N(H)-С(O)-(С18-алкила), предпочтительно необязательно замещенного одним заместителем, выбранным из группы, состоящей из C1-C8-алкокси, -СООН, -СОО(С18-алкила) и NO2.

[310]

В некоторых вариантах реализации любого из соединений (I), (I*), (III) или (III*) представляет собой C1-C8-алкил, необязательно замещенный по меньшей мере одним заместителем, выбранным из группы, состоящей из С38-циклоалкила; гетероциклила с 3-8 кольцевыми членами, где гетероатом(ы) выбран(ы) из N, О, S; C1-C8-алкокси; галогена; -CN; -NO2; -NH2; -N(С18-алкила); -N(С18-алкила)2; -СООН; -COO(C1-C8-алкила); -O-С(O)-(С18-алкила); -CONH2; -С(O)N(С18-алкила)2; -C(O)NH-(C1-C8-алкила); -N(Н)-С(O)-(С18-алкила), предпочтительно C1-C8-алкокси, -СООН, -COO(C18-алкила) и NO2, фенила или гетероароматической системы, моносахарида, полисахарида, пептида, белка, антитела, нуклеотида, олигонуклеотида, полимера, аминокислоты, флуорофора, белковой метки (заместитель 1ого поколения), где заместитель 1ого поколения необязательно может быть снова замещен С38 циклоалкилом; гетероциклилом с 3-8 кольцевыми членами, где гетероатом(ы) выбран(ы) из N, О, S; C1-C8-алкокси; галогеном; -CN; -NO2; -NH2; -N(С18-алкилом); -N(C1-C8-алкилом)2; -СООН; -СОО(С18-алкилом); -O-С(O)-(С18-алкилом); -CONH2; -С(O)N(С18-алкилом)2; -С(O)NH-(С18-алкилом); -N(H)-C(O)-(C1-C8-алкилом), предпочтительно C1-C8-алкокси, -СООН, -СОО(С18-алкилом) и NO2, фенилом или гетероароматической системой (заместители 2ого поколения), и где заместитель 2ого поколения может быть снова замещен по меньшей мере одним заместителем, выбранным из той же группы, и где такое замещение может продолжаться до 3, 4, 5, 6, 7, 8, 9 или 10 поколения.

[311]

В некоторых вариантах реализации любого из соединений (I), (I*), (III) или (III*) представляет собой аминокислоту, пептид, белок, антитело, нуклеотид, олигонуклеотид, сахарид, полисахарид, полимер, необязательно замещенный C1-C8-алкил, необязательно замещенный фенил или необязательно замещенную ароматическую 5- или 6-членную гетероциклическую систему; где необязательно дополнительно содержит линкер, который соединен с Y. Соответственно, в предпочтительных вариантах реализации представляет собой аминокислоту. В предпочтительных вариантах реализации представляет собой пептид. В предпочтительных вариантах реализации представляет собой белок. В предпочтительных вариантах реализации представляет собой антитело. В предпочтительных вариантах реализации представляет собой нуклеотид. В предпочтительных вариантах реализации представляет собой олигонуклеотид. В некоторых вариантах реализации представляет собой сахарид. В некоторых вариантах реализации представляет собой полисахарид. В некоторых вариантах реализации представляет собой полимер. В некоторых вариантах реализации представляет собой необязательно замещенный C1-C8-алкил, предпочтительно необязательно замещенный C16-алкил, более предпочтительно необязательно замещенный С14-алкил, более предпочтительно необязательно замещенный С12-алкил. В некоторых вариантах реализации представляет собой необязательно замещенный фенил. В некоторых вариантах реализации представляет собой необязательно замещенную ароматическую 5- или 6-членную гетероциклическую систему. Необязательно, в любом из указанных вариантов реализации дополнительно содержит линкер, который соединен с Y.

[312]

В предпочтительных вариантах реализации любого из соединений (I), (I*), (III) или (III*) представляет собой аминокислоту, пептид, белок, антитело, нуклеотид или олигонуклеотид; где необязательно дополнительно содержит линкер, который соединен с Y. В более предпочтительных вариантах реализации представляет собой пептид, белок, антитело или олигонуклеотид; где необязательно дополнительно содержит линкер, который соединен с Y. В предпочтительных вариантах реализации представляет собой аминокислоту. В предпочтительных вариантах реализации представляет собой пептид. В предпочтительных вариантах реализации представляет собой белок. В предпочтительных вариантах реализации представляет собой антитело. В предпочтительных вариантах реализации представляет собой нуклеотид. В предпочтительных вариантах реализации представляет собой олигонуклеотид. Необязательно, в любом из указанных вариантов реализации дополнительно содержит линкер, который соединен с Y.

[313]

В предпочтительных вариантах реализации любого из соединений (I), (I*), (III) или (III*) представляет собой лекарственное средство, белковую метку или флуорофор, такой как CY5 или EDANS, биотин, белок, пептид, антитело или олигонуклеотид; где необязательно дополнительно содержит линкер, который соединен с Y. Соответственно, в предпочтительных вариантах реализации представляет собой лекарственное средство. В предпочтительных вариантах реализации представляет собой белковую метку. В предпочтительных вариантах реализации представляет собой конъюгат линкер-лекарственное средство. В предпочтительных вариантах реализации представляет собой флуорофор, такой как CY5 или EDANS. В предпочтительных вариантах реализации представляет собой биотин. В предпочтительных вариантах реализации представляет собой белок. В предпочтительных вариантах реализации представляет собой пептид. В предпочтительных вариантах реализации представляет собой антитело. В предпочтительных вариантах реализации представляет собой олигонуклеотид. Необязательно, в любом из указанных вариантов реализации дополнительно содержит линкер, который соединен с Y.

[314]

В предпочтительных вариантах реализации любого из соединений (I), (I*), (III) или (III*) представляет собой линкер или конъюгат линкер-лекарственное средство. В предпочтительных вариантах реализации представляет собой линкер, такой как, например, линкер, содержащий VC-PAB, VA-PAB, KF-PAB или VK-PAB, предпочтительно линкер, содержащий VC-PAB. В предпочтительных вариантах реализации представляет собой конъюгат линкер-лекарственное средство, такой как, например, предпочтительно , где # указывает положение Y (О (кислород) или S (сера), предпочтительно S), и каждый из m и n независимо представляет собой целое число, например, от 0 до 20, от 0 до 15, от 1 до 10, от 1 до 8, от 1 до 6, от 1 до 4, от 1 до 3, от 1 до 2 или 1, предпочтительно m равняется 1, и n равняется 1. Более предпочтительно, конъюгат линкер-лекарственное средство представляет собой более предпочтительно или наиболее предпочтительно где # указывает положение Y (О (кислород) или S (сера), предпочтительно S), и каждый из m и n независимо представляет собой целое число, например, от 0 до 20, от 0 до 15, от 1 до 10, от 1 до 8, от 1 до 6, от 1 до 4, от 1 до 3, от 1 до 2 или 1, предпочтительно m равняется 1, и n равняется 1.

[315]

Согласно любому из соединений (III) или (III*) может представлять собой аминокислоту, пептид, белок, антитело, нуклеотид, олигонуклеотид, сахарид, полисахарид, полимер, необязательно замещенный C1-C8-алкил, необязательно замещенный фенил или необязательно замещенную ароматическую 5- или 6-членную гетероциклическую систему. В предпочтительных вариантах реализации представляет собой аминокислоту, пептид, белок, антитело, нуклеотид или олигонуклеотид. В более предпочтительных вариантах реализации представляет собой пептид, белок, антитело или олигонуклеотид. В предпочтительных вариантах реализации представляет собой аминокислоту. В предпочтительных вариантах реализации представляет собой пептид. В предпочтительных вариантах реализации представляет собой белок. В предпочтительных вариантах реализации представляет собой антитело. В предпочтительных вариантах реализации представляет собой нуклеотид. В предпочтительных вариантах реализации представляет собой олигонуклеотид. В некоторых вариантах реализации представляет собой сахарид. В некоторых вариантах реализации представляет собой полисахарид. В некоторых вариантах реализации представляет собой полимер. В некоторых вариантах реализации представляет собой необязательно замещенный C1-C8-алкил, предпочтительно необязательно замещенный C16-алкил, более предпочтительно необязательно замещенный С14-алкил, более предпочтительно необязательно замещенный С12-алкил. В некоторых вариантах реализации представляет собой необязательно замещенный С38-алкил, предпочтительно необязательно замещенный С36-алкил, более предпочтительно необязательно замещенный С34-алкил. В некоторых вариантах реализации представляет собой необязательно замещенный С58-алкил, предпочтительно необязательно замещенный С67-алкил. В некоторых вариантах реализации представляет собой необязательно замещенный фенил. В некоторых вариантах реализации представляет собой необязательно замещенную ароматическую 5- или 6-членную гетероциклическую систему.

[316]

В предпочтительных вариантах реализации любого из соединений (III) или (III*) представляет собой антитело, предпочтительно антитело IgG, более предпочтительно цетуксимаб, или трастузумаб, или брентуксимаб; белок, предпочтительно белок GFP или белок eGFP, альбумин, трипептид, предпочтительно пептид формулы (VIII)

[317]

[318]

или формулы (IX)

[319]

[320]

где # представляет собой положение S. Соответственно, в предпочтительных вариантах реализации представляет собой антитело. В более предпочтительных вариантах реализации антитело представляет собой антитело IgG, более предпочтительно цетуксимаб, или трастузумаб, или брентуксимаб. В предпочтительных вариантах реализации представляет собой белок, более предпочтительно белок GFP или белок eGFP. В предпочтительных вариантах реализации представляет собой альбумин. В предпочтительных вариантах реализации представляет собой трипептид. В предпочтительных вариантах реализации представляет собой пептид формулы (VIII) В предпочтительных вариантах реализации представляет собой пептид формулы (IX)

[321]

[322]

В предпочтительных вариантах реализации любого из соединений (III) или (III*) представляет собой антитело (например, цетуксимаб, трастузумаб или брентуксимаб), и представляет собой белковую метку или флуорофор, такой как CY5 или EDANS, биотин, пептид, белок, олигонуклеотид или небольшую молекулу; где необязательно дополнительно содержит линкер, который соединен с Y. Соответственно, в предпочтительных вариантах реализации представляет собой антитело, и представляет собой белковую метку. В предпочтительных вариантах реализации представляет собой антитело, и представляет собой флуорофор, такой как CY5 или EDANS. В предпочтительных вариантах реализации представляет собой антитело, и представляет собой биотин. В предпочтительных вариантах реализации представляет собой антитело, и представляет собой пептид. В предпочтительных вариантах реализации представляет собой антитело, и представляет собой белок. В предпочтительных вариантах реализации представляет собой антитело, и представляет собой олигонуклеотид. В предпочтительных вариантах реализации представляет собой антитело, и представляет собой небольшую молекулу. Необязательно, в любом из указанных вариантов реализации дополнительно содержит линкер, который соединен с Y.

[323]

В предпочтительных вариантах реализации любого из соединений (III) или (III*) представляет собой белок (например, белок GFP или белок eGFP), и представляет собой белковую метку или флуорофор, такой как CY5 или EDANS, биотин, пептид, антитело, белок, олигонуклеотид или небольшую молекулу; где необязательно дополнительно содержит линкер, который соединен с Y. Соответственно, в предпочтительных вариантах реализации представляет собой белок, и представляет собой белковую метку. В предпочтительных вариантах реализации представляет собой белок, и представляет собой флуорофор, такой как CY5 или EDANS. В предпочтительных вариантах реализации представляет собой белок, и представляет собой биотин. В предпочтительных вариантах реализации представляет собой белок, и представляет собой пептид. В предпочтительных вариантах реализации представляет собой белок, и представляет собой антитело. В предпочтительных вариантах реализации представляет собой белок, и представляет собой белок. В предпочтительных вариантах реализации представляет собой белок, и представляет собой олигонуклеотид. В предпочтительных вариантах реализации представляет собой белок, и представляет собой небольшую молекулу. Необязательно, в любом из указанных вариантов реализации дополнительно содержит линкер, который соединен с Y.

[324]

В предпочтительных вариантах реализации любого из соединений (III) или (III*) представляет собой пептид, и представляет собой белковую метку или флуорофор, такой как CY5 или EDANS, биотин, пептид, антитело, белок, олигонуклеотид или небольшую молекулу; где необязательно дополнительно содержит линкер, который соединен с Y. Соответственно, в предпочтительных вариантах реализации представляет собой пептид, и представляет собой белковую метку. В предпочтительных вариантах реализации представляет собой пептид, и представляет собой флуорофор, такой как CY5 или EDANS. В предпочтительных вариантах реализации представляет собой пептид, и представляет собой биотин. В предпочтительных вариантах реализации представляет собой пептид, и представляет собой пептид. В предпочтительных вариантах реализации представляет собой пептид, и представляет собой антитело. В предпочтительных вариантах реализации представляет собой пептид, и представляет собой белок. В предпочтительных вариантах реализации представляет собой пептид, и представляет собой олигонуклеотид. В предпочтительных вариантах реализации представляет собой пептид, и представляет собой небольшую молекулу. Необязательно, в любом из указанных вариантов реализации дополнительно содержит линкер, который соединен с Y.

[325]

В предпочтительных вариантах реализации любого из соединений (III) или (III*) представляет собой аминокислоту, и представляет собой белковую метку или флуорофор, такой как CY5 или EDANS, биотин, пептид, белок, олигонуклеотид или небольшую молекулу; где необязательно дополнительно содержит линкер, который соединен с Y. Соответственно, в предпочтительных вариантах реализации представляет собой аминокислоту, и представляет собой белковую метку. В предпочтительных вариантах реализации представляет собой аминокислоту, и представляет собой флуорофор, такой как CY5 или EDANS. В предпочтительных вариантах реализации представляет собой аминокислоту, и представляет собой биотин. В предпочтительных вариантах реализации представляет собой аминокислоту, и представляет собой пептид. В предпочтительных вариантах реализации представляет собой аминокислоту, и представляет собой белок. В предпочтительных вариантах реализации представляет собой аминокислоту, и представляет собой олигонуклеотид. В предпочтительных вариантах реализации представляет собой аминокислоту, и представляет собой небольшую молекулу. Необязательно, в любом из указанных вариантов реализации дополнительно содержит линкер, который соединен с Y.

[326]

В предпочтительных вариантах реализации любого из соединений (III) или (III*) представляет собой антитело (например, цетуксимаб, трастузумаб или брентуксимаб), и представляет собой линкер, лекарственное средство или конъюгат линкер- лекарственное средство. Соответственно, в предпочтительных вариантах реализации представляет собой антитело, и представляет собой линкер, такой как, например, линкер, содержащий VC-PAB, VA-PAB, KF-PAB или VK-PAB, предпочтительно линкер, содержащий VC-PAB. В предпочтительных вариантах реализации представляет собой антитело, и представляет собой лекарственное средство. В предпочтительных вариантах реализации представляет собой антитело, и представляет собой конъюгат линкер-лекарственное средство, такой как, например, предпочтительно где # указывает положение Y (О (кислород) или S (сера), предпочтительно S), и каждый из m и n независимо представляет собой целое число, например, от 0 до 20, от 0 до 15, от 1 до 10, от 1 до 8, от 1 до 6, от 1 до 4, от 1 до 3, от 1 до 2 или 1, предпочтительно m равняется 1, и n равняется 1. В более предпочтительных вариантах реализации представляет собой антитело, и представляет собой конъюгат линкер-лекарственное средство, такой как, например, более предпочтительно или наиболее предпочтительно где # указывает положение Y (О (кислород) или S (сера), предпочтительно S), и каждый из m и n независимо представляет собой целое число, например, от 0 до 20, от 0 до 15, от 1 до 10, от 1 до 8, от 1 до 6, от 1 до 4, от 1 до 3, от 1 до 2 или 1, предпочтительно m равняется 1, и n равняется 1. В любом из указанных вариантов реализации антитело может представлять собой цетуксимаб, трастузумаб или брентуксимаб, предпочтительно брентуксимаб.

[327]

В предпочтительных вариантах реализации любого из соединений (III) или (III*) представляет собой нуклеотид, и представляет собой пептид, белок, белковую метку, антитело, олигонуклеотид, флуорофор, такой как CY5 или EDANS, биотин или небольшую молекулу; где необязательно дополнительно содержит линкер, который соединен с Y. В предпочтительных вариантах реализации представляет собой нуклеотид, и представляет собой пептид. В предпочтительных вариантах реализации представляет собой нуклеотид, и представляет собой белок. В предпочтительных вариантах реализации представляет собой нуклеотид, и представляет собой белковую метку. В предпочтительных вариантах реализации представляет собой нуклеотид, и представляет собой антитело. В предпочтительных вариантах реализации представляет собой нуклеотид, и представляет собой олигонуклеотид. В предпочтительных вариантах реализации представляет собой нуклеотид, и представляет собой флуорофор, такой как CY5 или EDANS. В предпочтительных вариантах реализации представляет собой нуклеотид, и представляет собой биотин. В предпочтительных вариантах реализации представляет собой нуклеотид, и представляет собой небольшую молекулу. Необязательно, в любом из указанных вариантов реализации дополнительно содержит линкер, который соединен с Y.

[328]

В предпочтительных вариантах реализации любого из соединений (III) или (III*) представляет собой нуклеотид, и представляет собой линкер.

[329]

В предпочтительных вариантах реализации любого из соединений (III) или (III*) представляет собой олигонуклеотид, и представляет собой пептид, белок, белковую метку, антитело, олигонуклеотид, флуорофор, такой как CY5 или EDANS, биотин или небольшую молекулу; где необязательно дополнительно содержит линкер, который соединен с Y. Соответственно, в предпочтительных вариантах реализации представляет собой олигонуклеотид, и представляет собой пептид. В предпочтительных вариантах реализации представляет собой олигонуклеотид, и представляет собой белок. В предпочтительных вариантах реализации представляет собой олигонуклеотид, и представляет собой белковую метку. В предпочтительных вариантах реализации представляет собой олигонуклеотид, и представляет собой антитело. В предпочтительных вариантах реализации представляет собой олигонуклеотид, и представляет собой олигонуклеотид. В предпочтительных вариантах реализации представляет собой олигонуклеотид, и представляет собой флуорофор, такой как CY5 или EDANS. В предпочтительных вариантах реализации представляет собой олигонуклеотид, и представляет собой биотин. В предпочтительных вариантах реализации представляет собой олигонуклеотид, и представляет собой небольшую молекулу. Необязательно, в любом из указанных вариантов реализации дополнительно содержит линкер, который соединен с Y.

[330]

В предпочтительных вариантах реализации любого из соединений (III) или (III*) представляет собой олигонуклеотид, и представляет собой линкер.

[331]

В предпочтительных вариантах реализации любого из соединений (I), (I*), (III) или (III*) представляет собой аминокислоту, пептид, нуклеотид или олигонуклеотид, где аминокислота, пептид, нуклеотид или олигонуклеотид связаны с твердой подложкой. В некоторых вариантах реализации соединение представляет собой соединение формулы (I) или соединение формулы (I*). В некоторых вариантах реализации представляет собой аминокислоту или пептид, связанные с твердой подложкой. В некоторых вариантах реализации представляет собой нуклеотид или олигонуклеотид, связанные с твердой подложкой. В предпочтительных вариантах реализации представляет собой пептид, связанный с твердой подложкой. В качестве преимущества, авторы настоящего изобретения обнаружили, что фосфонотиолаты (Y=S) согласно настоящему изобретению являются высокостабильными в кислых условиях, которые обычно используют для отщепления пептида от твердой подложки, например, 90% трифторуксусной кислоты (ТФК). Твердая подложка может представлять собой любую твердую подложку, известную специалисту в данной области техники, которая подходит для твердофазного синтеза пептидов, или любую твердую подложку, которая подходит для твердофазного синтеза олигонуклеотидов, например, как описано в настоящей заявке выше в контексте способа. Необязательно, в указанных выше вариантах реализации, в которых аминокислота, пептид, нуклеотид или олигонуклеотид связаны с твердой подложкой, дополнительно содержит линкер, который соединен с Y формул, описанных в настоящей заявке, в частности, соединений (I), (III), (I*) и (III*). Кроме того, линкер связан с аминокислотой, пептидом, нуклеотидом или олигонуклеотидом. Соответственно, может иметь структуру линкер-аминокислота-твердая подложка, линкер-пептид-твердая подложка, линкер-нуклеотид-твердая подложка или линкер-олигонуклеотид-твердая подложка. "Линкер" может представлять собой практически любой линкер, и линкер связан с Y, причем указанный Y является, например, как изложено в настоящей заявке в отношении соединения формулы (I), (I*), (III) или (III*), S (серой) или О (кислородом), предпочтительно S. Линкер может представлять собой любой линкер, известный специалисту в данной области техники, например, пептидный линкер или фрагмент на основе линейного или разветвленного углеводорода. Линкер также может содержать циклические фрагменты. Пептидный линкер может содержать, например, от 1 до 50, от 1 до 40, от 1 до 30, от 1 до 20, от 1 до 10, от 1 до 5, от 1 до 3, или 2, или 1 аминокислоту(ы). Если линкер представляет собой фрагмент на основе углеводорода, основная цепь линкера может содержать только атомы углерода, но также может содержать гетероатомы, такие как атомы кислорода (О), азота (N) или серы (S), и/или может содержать карбонильные группы (С=O). Линкер может представлять собой, например, цепь из С120 атомов углерода или цепь на основе простого полиэфира, такую как цепь на основе полиэтиленгликоля с повторяющимися звеньями -(О-CH2-CH2)-. В типичных вариантах реализации линкеров на основе углеводорода линкерный фрагмент содержит от 1 до примерно 150, от 1 до примерно 100, от 1 до примерно 75, от 1 до примерно 50, или от 1 до примерно 40, или от 1 до примерно 30, или от 1 до примерно 20, включая 2, 3, 4, 5, 6, 7, 8, 9, 10, 11, 12, 13, 14, 15, 16, 17, 18 и 19 атомов основной цепи. Специалисту в данной области техники известно, как выбирать подходящие линкеры. Например, в некоторых вариантах реализации линкер может представлять собой где # указывает положение Y, и * указывает положение аминокислоты, пептида, нуклеотида или олигонуклеотида, и каждый из m и n независимо представляет собой целое число, например, от 0 до 20, от 0 до 15, от 1 до 10, от 1 до 8, от 1 до 6, от 1 до 4, от 1 до 3, от 1 до 2 или 1, предпочтительно m равняется 1, и n равняется 1. Аминокислота, пептид, нуклеотид или олигонуклеотид могут быть связаны с линкером через атом N (азота).

[332]

В предпочтительных вариантах реализации любого из соединений (I), (I*), (III) или (III*) представляет собой аминокислоту, пептид, нуклеотид или олигонуклеотид, где аминокислота, пептид, нуклеотид или олигонуклеотид связаны с твердой подложкой. В некоторых вариантах реализации представляет собой аминокислоту или пептид, связанные с твердой подложкой. В некоторых вариантах реализации представляет собой нуклеотид или олигонуклеотид, связанные с твердой подложкой. В предпочтительных вариантах реализации представляет собой пептид, связанный с твердой подложкой.

[333]

Настоящее изобретение также относится к набору, включающему твердую подложку, и соединение формулы (I)

[334]

[335]

и/или соединение формулы (I*)

[336]

[337]

где представляет собой линкер, подходящий для связывания с аминокислотой, пептидом, нуклеотидом или олигонуклеотидом; и

[338]

где R1, X, Y и V являются такими, как определено в настоящей заявке выше и ниже. Такой набор подходит для твердофазного синтеза пептидов и/или твердофазного синтеза олигонуклеотидов. Предпочтительно, набор можно применять для твердофазного синтеза пептидов, поскольку авторы настоящего изобретения обнаружили, что фосфонотиолаты (Y=S) согласно настоящему изобретению являются высокостабильными в кислых условиях, которые обычно используют для отщепления пептида от твердой подложки, например, 90% трифторуксусной кислоты (ТФК). Во время твердофазного синтеза аминокислота, пептид, нуклеотид или олигонуклеотид связываются с твердой подложкой, и линкер соединения формулы (I) или формулы (I*) связывается с аминокислотой, пептидом, нуклеотидом или олигонуклеотидом.

[339]

В предпочтительных вариантах реализации набора линкер представляет собой где # указывает положение Y, и каждый из m и n независимо представляет собой целое число от 0 до 20, от 0 до 15, от 1 до 10, от 1 до 8, от 1 до 6, от 1 до 4, от 1 до 3, от 1 до 2 или 1, предпочтительно m равняется 1, и n равняется 1. Аминокислота, пептид, нуклеотид или олигонуклеотид связаны с таким линкером через карбоксильную группу. В некоторых вариантах реализации соединение формулы (I) имеет структуру

[340]

Набор может дополнительно включать одну или более аминокислот, один или более пептидов, один или более нуклеотидов и/или один или более олигонуклеотидов, которые можно применять в твердофазном синтезе. В частности, поскольку твердофазный синтез пептидов является предпочтительным, набор может включать одну или более аминокислот.

[341]

Настоящее изобретение также относится к соединению формулы (IIIa)

[342]

[343]

где и находятся в одной и той же молекуле, как показано дугой, соединяющей и , и где , , , X, Y и R1 являются такими, как определено в настоящей заявке выше и ниже, в частности, как определено в отношении соединения (III). Предпочтительно, соединение (IIIa) представляет собой циклический пептид, такой как, например, циклический пептид, полученный из пептида BCL9.

[344]

Настоящее изобретение также относится к соединению формулы (III*а)

[345]

[346]

где и находятся в одной и той же молекуле, как показано дугой, соединяющей и , где , , V, X, Y и R1 являются такими, как определено в настоящей заявке выше и ниже, в частности, как определено в отношении соединения (III*). Предпочтительно, соединение (III*а) представляет собой циклический пептид, такой как, например, циклический пептид, полученный из пептида BCL9.

[347]

Кроме того, также предпочтительными являются соединения, представленные в настоящей заявке в качестве примеров в разделе примеров для соединений формулы (I), (I*), (III), (III*), (IIIa) или (III*а).

[348]

Специалист понимает, что варианты реализации согласно настоящему изобретению можно комбинировать друг с другом при условии исключения комбинаций, которые противоречат любому естественному закону.

[349]

Любой вариант реализации, признак, определение и т.п., описанные в настоящей заявке со ссылкой на любой способ, также применимы к любому соединению, описанному в настоящей заявке с соответствующими поправками. Аналогично, любой вариант реализации, признак, определение и т.п., описанные в настоящей заявке со ссылкой на любое соединение, применимы к любому способу, описанному в настоящей заявке с соответствующими поправками.

[350]

Синтез соединений формул (IV), (IV*), (I) и (I*) из тригалогенидов фосфора

[351]

В следующем разделе представлены некоторые общие признаки синтеза соединений формул (IV), (IV*), (I) и (I*) из тригалогенидов фосфора. В целом, специалисту в данной области техники известно, как выбирать условия реакции, подходящие для проведения такого синтеза. Дополнительные подробности представлены в разделе "примеры" ниже.

[352]

Как указано в настоящей заявке выше и ниже, соединения формулы (IV) или (IV*) можно получать согласно последовательности, включающей стадии (i)-(iv). Соответственно, соединения формулы (IV) или (IV*) можно синтезировать путем (i) приведения тригалогенида фосфора (X), предпочтительно PCl3, во взаимодействие со спиртом (XI), содержащим остаток R1, (ii) приведения продукта, полученного на стадии (i), во взаимодействие с амином (XII), (iii) приведения продукта, полученного на стадии (ii), во взаимодействие с алкенилгалогенидом магния или алкинилгалогенидом магния (XIII) или с алкенилгалогенидом магния (XIII*) и (iv) приведения продукта, полученного на стадии (iv), во взаимодействие со спиртом или тиолом (XIV), содержащими остаток с получением соединений формулы (IV) или (IV*). Соединения формулы (I) или (I*) можно получать из соединений формулы (IV) или (IV*) путем окисления.

[353]

Стадия (i)

[354]

Стадию (i) можно проводить, например, путем приведения тригалогенида фосфора (X), предпочтительно PCl3, во взаимодействие со спиртом (XI) в подходящем растворителе, таком как, например, диэтиловый эфир или тетрагидрофуран, при низкой температуре, менее 10°С, с последующим нагреванием реакционной смеси; например, диапазон температур может составлять от -50°С до +50°С; более конкретно реакцию можно проводить при температуре примерно -40°С или -30°С, с последующим нагреванием до комнатной температуры. Предпочтительно реакцию тригалогенида фосфора со спиртом проводят в присутствии слабого основания, такого как, например, амин, такой как триэтиламин. Мольное отношение спирта к тригалогениду фосфора должно находиться в диапазоне от 5:1 до 1:5, предпочтительно в диапазоне от 2:1 до 1:2, более предпочтительно мольное отношение составляет 1:1. При применении слабого основания, такого как амин, такой как триэтиламин, мольное отношение основания к тригалогениду фосфора может находиться в диапазоне от 5:1 до 1:5, например, в диапазоне от 2:1 до 1:2, предпочтительно примерно 1:1. Конечно, время реакции зависит от объема реакционной смеси и количества вещества. В качестве руководящих рекомендаций, время реакции при низкой температуре перед нагреванием может составлять от 2 минут до 2 часов, такое как, например, примерно 10 минут, и время реакции после нагревания может составлять от 15 минут до 6 часов, такое как, например, примерно 1 час. Предпочтительно, реакцию проводят в инертном газе, таком как аргон. "Инертный" в данном контексте относится к газу, который не взаимодействует ни с одним из исходных материалов или продуктов реакции в данных условиях реакции. Смесь, полученную после реакции из стадии (i), предпочтительно применяют на стадии (ii) без выделения продукта. Необязательно, после стадии (i) и перед стадией (ii) смесь можно очищать, например, путем фильтрования через целит.

[355]

Стадия (ii)

[356]

Стадию (ii) можно проводить, например, путем приведения продукта, полученного на стадии (i), во взаимодействие с амином (XII), предпочтительно диизопропиламином, в подходящем растворителе, таком как, например, диэтиловый эфир или тетрагидрофуран. В этом отношении, растворитель может являться таким же, как на стадии (i). Реакцию из стадии (ii) можно проводить при низкой температуре, менее -10°С, с последующим нагреванием реакционной смеси; например, диапазон температур может составлять от -50°С до +50°С; более конкретно реакцию можно проводить при температуре примерно -40°С или -30°С, с последующим нагреванием до комнатной температуры. Мольное отношение амина (XII) может быть основано на мольном количестве тригалогенида фосфора (X), применяемого на стадии (i). Таким образом, мольное отношение амина (XII) к тригалогениду фосфора (X) должно находиться в диапазоне от 5:1 до 1:5, предпочтительно мольное отношение амина (XII) к тригалогениду фосфора (X) должно составлять примерно 2:1. В качестве руководящих рекомендаций, время реакции при низкой температуре перед нагреванием может составлять от 2 минут до 2 часов, такое как, например, примерно 10 минут, и время реакции после нагревания может составлять от 15 минут до 6 часов, такое как, например, примерно 1 час. Предпочтительно реакцию проводят в инертном газе, таком как аргон. Смесь, полученную после реакции из стадии (ii), предпочтительно применяют на стадии (iii) без выделения продукта. Необязательно после стадии (ii) и перед стадией (iii) смесь можно очищать, например, путем фильтрования через целит. На стадии (ii) можно получать продукт, имеющий общую структуру где Hal представляет собой галоген, такой как Cl, Br или I, в зависимости от тригалогенида фосфора, применяемого на стадии 1, например, Hal представляет собой Cl при применении PCl3; и где R1 и R2 являются такими, как определено в настоящей заявке выше и ниже.

[357]

Стадия (iii)

[358]

Стадию (iii) можно проводить, например, путем приведения продукта, полученного на стадии (ii), во взаимодействие с алкенилгалогенидом магния или алкинилгалогенидом магния (XIII) или алкенилгалогенидом магния (XIII*) в подходящем растворителе, таком как, например, диэтиловый эфир или тетрагидрофуран. В этом отношении, растворитель может являться таким же, как на стадии (ii). Реакцию из стадии (ii) можно проводить при низкой температуре, менее -50°С, с последующим нагреванием реакционной смеси; например, диапазон температур может составлять от -100°С до +50°С; более конкретно реакцию можно проводить при температуре примерно -78°С с последующим нагреванием до комнатной температуры. Мольное отношение алкенилгалогенида магния или алкинилгалогенида магния (XIII) или алкенилгалогенида магния (XIII*) может быть основано на мольном количестве тригалогенида фосфора (X), применяемого на стадии (i). Таким образом, отношение алкенилгалогенида магния или алкинилгалогенида магния (XIII) или алкенилгалогенида магния (XIII*) к тригалогениду фосфора (X) должно находиться в диапазоне от 5:1 до 1:5, предпочтительно в диапазоне от 2:1 до 1:2, более предпочтительно мольное отношение алкенилгалогенида магния или алкинилгалогенида магния (XIII) к тригалогениду фосфора (X) должно составлять примерно 1:1. В качестве руководящих рекомендаций, время реакции при низкой температуре перед нагреванием может составлять от 2 минут до 1 часа, такое как, например, примерно 10 минут, и время реакции после нагревания может составлять от 15 минут до 6 часов, такое как, например, примерно 1 час. Предпочтительно реакцию проводят в инертном газе, таком как аргон. Смесь, полученную путем реакции из стадии (iii), можно обрабатывать и продукт можно выделять при помощи способов, хорошо известных специалисту в данной области техники, например, хроматографии на силикагеле или вакуумной дистилляции. На стадии (iii) можно получать продукт, имеющий общую структуру при применении алкенилгалогенида магния или алкинилгалогенида магния (XIII), или можно получать продукт, имеющий общую структуру при применении алкенилгалогенида магния (XIII*), где в любой из указанных структур R1, R2, X и V являются такими, как определено в настоящей заявке выше и ниже.

[359]

Стадия (iv)

[360]

Стадию (iv) можно проводить, например, путем взаимодействия продукта, полученного на стадии (iii), со спиртом или тиолом (XIV), содержащим остаток в подходящем растворителе, таком как, например, ацетонитрил. Реакцию из стадии (ii) можно проводить при низкой температуре, менее -20°С, с последующим нагреванием реакционной смеси; например, диапазон температур может составлять от -50°С до +50°С; более конкретно реакцию можно проводить при температуре примерно -40°С с последующим нагреванием до комнатной температуры. Предпочтительно реакцию продукта, полученного на стадии (iii), со спиртом или тиолом (XIV) проводят в присутствии тетразола. Тетразол может представлять собой незамещенный тетразол или замещенный тетразол. Мольное отношение спирта или тиола (XIV) к продукту, полученному на стадии (iii), должно находиться в диапазоне от 5:1 до 1:5, предпочтительно в диапазоне от 2:1 до 1:2, более предпочтительно мольное отношение составляет примерно 1:1. При применении тетразола мольное отношение тетразола к продукту, полученному на стадии (iii), может находиться в диапазоне от 5:1 до 1:5, предпочтительно мольное отношение тетразола к продукту, полученному на стадии (iii), должно составлять примерно 2:1. В качестве руководящих рекомендаций, время реакции при низкой температуре перед нагреванием может составлять от 2 минут до 2 часов, такое как, например, примерно 10 минут, и время реакции после нагревания может составлять от 15 минут до 6 часов, такое как, например, примерно 30 минут или примерно 1 час. Реакцию можно проводить в инертном газе, таком как аргон.

[361]

Окисление при синтезе соединений формулы (I) или (I*)

[362]

Стадия (iv) приводит к получению соединения формулы (IV) или (IV*). Затем получают соединение формулы (I) или (I*) путем окисления соединения формулы (IV) или (IV*) по фосфору. Смесь, полученную после реакции из стадии (iv), можно применять в таком окислении без дополнительной обработки или очистки, т.е. окислитель можно добавлять непосредственно в смесь, полученную после реакции из стадии (iv). Можно применять различные подходящие окислители, такие как, например, трет-бутилгидропероксид (tBu-OOH), мета-хлорпероксибензойная кислота (mCPBA), пероксид водорода (Н2О2), йод (I2), пероксимоносульфат калия или кислород (О2), например, кислород из воздуха. Специалист легко определит подходящий окислитель. Предпочтительно в качестве окислителя можно применять трет-бутилгидропероксид (tBu-OOH). Реакцию можно проводить при температуре от 0 до 60°С, например, при комнатной температуре. Мольное отношение окислителя может быть основано на мольном количестве продукта, полученного на стадии (iii). Таким образом, мольное отношение окислителя к продукту, полученному на стадии (iii), должно находиться в диапазоне от 2:1 до 1:2, предпочтительно мольное отношение окислителя к продукту, полученному на стадии (iii), должно составлять 1:1. В качестве руководящих рекомендаций, время реакции окисления может составлять от 2 минут до 2 часов, такое как, например, примерно 10 минут. Реакцию можно проводить в инертном газе, таком как аргон. Смесь, полученную путем окисления, можно обрабатывать и полученное соединение формулы (V) или (V*) можно выделять при помощи способов, хорошо известных специалисту в данной области техники, например, путем хроматографии на силикагеле.

[363]

Синтез соединений формулы (I) или (I*) из электрофильных дисульфидов

[364]

В следующем разделе представлены некоторые общие признаки синтеза соединений формул (I) и (I*), где Y представляет собой S (серу), из электрофильных дисульфидов. В целом, специалисту в данной области техники известно, как выбирать подходящие условия реакции для проведения такого синтеза. Дополнительные подробности представлены в разделе "примеры" ниже.

[365]

Как указано в настоящей заявке выше и ниже, соединения формул (I) или (I*), где Y представляет собой S, можно получать путем приведения электрофильного дисульфида (XXX) во взаимодействие с тиолом (XXXI), содержащим остаток с получением соединения формулы (VIa). Соединения формулы (VIb) можно получать согласно известным из литературы способам. Затем соединение формулы (VIa) или (VIb) взаимодействует с фосфором (III) соединения формулы (V) или (V*), содержащего остаток R1, с получением соединения формулы (I) или (I*). Соединения формулы (V) можно получать путем взаимодействия галогенофосфита формулы (XX), содержащего остаток R1, с соединением Гриньяра формулы (XXI) и соединения формулы (V*) можно получать путем взаимодействия галогенофосфита формулы (XX) с соединением Гриньяра формулы (XXI*).

[366]

Синтез соединений формулы (V) или (V*)

[367]

Соединения формулы (V) или формулы (V*) можно получать, например, путем приведения алкенилгалогенида магния или алкинилгалогенида магния формулы (XXI) - предпочтительно алкенилгалогенида магния формулы (XXI) - или алкенилгалогенида магния формулы (XXI*) во взаимодействие с галогенофосфитом формулы (XX), содержащим остаток R1. Предпочтительно алкенилгалогенид магния и алкинилгалогенид магния формулы (XXI) или алкенилгалогенид магния формулы (XXI*) представляет собой алкенилбромид магния или алкинилбромид магния. Предпочтительно галогенофосфит формулы (XX) представляет собой хлорфосфит. В качестве подходящего растворителя можно применять, например, диэтиловый эфир или тетрагидрофуран. Предпочтительно реакцию проводят при температуре менее -20°С, например, от -100°С до -40°С, предпочтительно от -90°С до -50°С (например, примерно -78°С). Предпочтительно реакцию проводят в инертном газе, таком как аргон. В качестве руководящих рекомендаций, время реакции должно находиться в диапазоне от 2 минут до 4 часов, такое как, например, 2 часа. Отношение алкенилгалогенида магния или алкинилгалогенида магния формулы (XXI) или алкенилгалогенида магния формулы (XXI*) к галогенофосфиту формулы (XXI) должно находиться в диапазоне от 5:1 до 1:5, например, от 2:1 до 1:2, например, примерно 1:1, такое как, например, отношение алкенилгалогенида магния или алкинилгалогенида магния формулы (XXI) или алкенилгалогенида магния формулы (XXI*) к галогенофосфиту формулы (XXI) примерно 1:1,2. Больше подробностей приведено, например, в М. R. J. Vallée, Angewandte Chemie Int. Ed., 2013, 52 (36), 9504.

[368]

Синтез соединений формулы (VIa) или (VIb)

[369]

Соединения формулы (VIa) или (VIb) можно получать, например, путем приведения электрофильного дисульфида формулы (XXX) во взаимодействие с тиолом (XXXI), содержащим остаток Реакцию можно проводить в подходящем растворителе, таком как, например, тетрагидрофуран или N,N-диметилформамид (ДМФА). Предпочтительно реакцию электрофильного дисульфида формулы (XXX) с тиолом (XXXI) проводят в присутствии слабого основания, такого как, например, амин, такой как триэтиламин. Реакцию можно проводить при температуре от 0°С до 60°С, такой как, например, комнатная температура. Мольное отношение электрофильного дисульфида формулы (XXX) к тиолу (XXXI) должно находиться в диапазоне от 5:1 до 1:5, предпочтительно в диапазоне от 2:1 до 1:2, более предпочтительно составляет примерно 1:1, такое как, например, отношение электрофильного дисульфида формулы (XXX) к тиолу (XXXI), составляющее 1,2:1. При применении слабого основания, такого как амин, такой как триэтиламин, мольное отношение основания к тиолу формулы (XXXI) может находиться в диапазоне от 5:1 до 1:5, предпочтительно мольное отношение основания к тиолу формулы (XXXI) составляет примерно 3:1. Время реакции может представлять собой, например, от 2 минут до 6 часов, такое как, например, примерно 1 час, или примерно 20 минут, или примерно 10 минут. За протеканием реакции можно наблюдать с применением соответствующего способа, такого как, например, тонкослойная хроматография. Реакцию можно проводить в инертном газе, таком как аргон. Соединение формулы (VIa), содержащее остаток можно выделять при помощи способов, хорошо известных специалисту в данной области техники, например, путем хроматографии на силикагеле. Соединения формулы (VIb) можно получать согласно известным из литературы способам, например, путем взаимодействия тиола (XXXI) с сульфурилхлоридом (см., например, Allared, F. et al, Synthetic Metals, 120(1-3), 1061-1062; 2001) или тионилхлоридом (см., например, Masaki, Yukio et al, Chemical & Pharmaceutical Bulletin, 33(5), 1930-40; 1985) или путем взаимодействия тиола (XXXI) с N-хлорсукцинимидом (NCS) (см., например, Kawamura, Takamasa et al. European Journal of Organic Chemistry, 2015(4), 719-722; 2015) или хлором (см., например, E. Schneider, Chemische Berichte 84, 911-916 (1951), где является таким, как определено в настоящей заявке выше и ниже.

[370]

Синтез соединений формулы (I) или (I*)

[371]

Соединение формулы (I) или (I*), где Y представляет собой S, можно получать путем приведения соединения формулы (V) или (V*) во взаимодействие с соединением формулы (VIa) или (VIb). Предпочтительно соединение формулы (V) или (V*) представляет собой алкенфосфонит, т.е. в соединении формулы (V) или (V*) представляет собой двойную связь. Реакцию проводят в подходящем органическом растворителе, таком как, например, тетрагидрофуран или N,N-диметилформамид (ДМФА), или в смеси растворителей, такой как, например, смесь тетрагидрофурана и толуола. Реакцию можно проводить при температуре от 0°С до 60°С, например, при комнатной температуре. Предпочтительно реакцию можно проводить в инертном газе, таком как аргон. Мольное отношение соединения формулы (V) или (V*) к соединению формулы (VIa) или (VIb) должно находиться в диапазоне от 5:1 до 1:5, предпочтительно в диапазоне от 2:1 до 1:1, более предпочтительно составляет примерно 1:1, такое как, например, мольное отношение соединения формулы (V) или (V*) к соединению формулы (VIa) или (VIb), составляющее примерно 1,2:1. В качестве руководящих рекомендаций, время реакции может составлять, например, от 2 минут до 6 часов, такое как, например, примерно 2 часа, примерно 1 час, примерно 30 минут или примерно 10 минут. Соединение формулы (I) или (I*) можно выделять при помощи способов, хорошо известных специалисту в данной области техники, например, путем хроматографии на силикагеле.

[372]

Гидротиолирование соединений (I) или (I*) соединениями формулы (II)

[373]

Фосфонотиолаты или фосфонаты формулы (I) или (I*) можно подвергать реакции гидротиолирования тиолом формулы (II) в подходящем растворителе. Систему растворителей можно выбирать из широкого диапазона растворителей. Растворитель может представлять собой полярную апротонную систему растворителей, такую как тетрагидрофуран (ТГФ), диметилформамид (ДМФА), ацетонитрил (MeCN), ацетон, диметилсульфоксид (ДМСО), этилацетат (EtOAc), N-этилпирролидон или их смеси, предпочтительно ТГФ, ДМФА, ДМСО; неполярные растворители, такие как гексан, толуол, бензол, 1,4-диоксан, хлороформ, диэтиловый эфир или дихлорметан (ДХМ), предпочтительно ДХМ; полярные протонные растворители, такие как вода, этанол, изопропанол, метанол, н-бутанол, предпочтительно этанол; или их смеси. Например, гидротиолирование можно проводить в ДМФА или смеси ДМФА/вода. В частности, гидротиолирование можно проводить в ДМФА или смеси ДМФА/вода при взаимодействии биомолекулы, такой как, например, белок, антитело, пептид, нуклеотид или олигонуклеотид. Растворитель также может представлять собой водную среду, такую как, например, вода или водный буфер, такой как, например, фосфатно-солевой буфер (ФСБ), трис(гидроксиметил)аминометан (TRIS), бикарбонат, буфер EDTA/NH4HCO3, EDTA/NH4HCO3 в фосфатно-солевом буфере (ФСБ) или фосфатно-солевой буфер, содержащий борат. Проведение реакции в буфере предпочтительно в случае применения в реакции гидротиолирования биомолекулы, такой как, например, белок, антитело, пептид, нуклеотид или олигонуклеотид. Гидротиолирование также можно проводить в смеси любого из упомянутых выше водных буферов и ДМФА. Специалист в данной области техники легко выберет подходящие растворители и буферы.

[374]

Предпочтительно реакцию гидротиолирования фосфонотиолата или фосфоната проводят в основных условиях, в частности, в слабоосновных условиях, например, при рН, например, от 7,2 до 9, таком как, например, при рН 8 или 8,5. Такие основные условия можно обеспечивать путем применения подходящей буферной системы, такого как, например, применение любого из упомянутых выше буферов. Дополнительно или альтернативно, основные условия для реакции гидротиолирования можно обеспечивать путем применения слабого основания. Подходящие основания представляют собой, например, карбонаты, такие как (NH4)2СО3, Na2CO3, Rb2CO3, K2CO3 или Cs2CO3, или их соответствующие гидрокарбонаты (например, NaHCO3 и т.д.); и азотсодержащие основания, такие как триметиламин Et3N (pKa 10,76 при 25°С). Предпочтительно применяют основание со значением pKa в диапазоне от 7,5 до 11,5. Специалист в данной области техники легко выберет подходящие основания.

[375]

Температура реакции гидротиолирования особо не ограничивается. Например, гидротиолирование можно проводить при температурах в диапазоне от 0°С до 60°С, от 0°С до 50°С, от 0°С до 40°С, от 0°С до 30°С, например, при комнатной температуре, т.е. примерно 25°С, например, при примерно 5°С, или, например, при физиологически значимых условиях при примерно 37°С. Время реакции зависит от температуры, объема реакционной смеси и количества вещества. В качестве руководящих рекомендаций, реакцию можно проводить, например, в течение периода времени от 1 минуты до 24 часов, например, в течение периода времени от 1 минуты до 20 часов, от 1 минуты до 10 часов, от 1 минуты до 3 часов или даже в течение периода времени от 1 минуты до 1 часа. Специалист в данной области техники легко определит подходящие температуры реакции и время реакции.

[376]

Дополнительные подробности реакции гидротиолирования представлены в настоящей заявке в разделе "примеры" ниже.

[377]

ПРИМЕРЫ

[378]

Пример 1: синтез алкенфосфонотиолатов

[379]

Авторы настоящего изобретения разработали два различных способа синтеза для получения алкенфосфонотиолатов: либо путем одностадийной реакции из электрофильных дисульфидов, либо, альтернативно, из тригалогенидов фосфора, таких как трихлорид фосфора (PCl3). Оба способа, а также выделенные соединения описаны в настоящей заявке (подробности синтеза и характеристики см. в примере 10 настоящей заявки ниже) и представлены на схеме 2. Исключительно в качестве иллюстративных примеров, представлен синтез производных, где R1 представляет собой метил или этил, (О-этильные или O-метильные производные (R1 = метил, этил); см. схему 2). Тем не менее, оба способа синтеза не ограничиваются указанным объемом. Применяемый в разделе «примеры», "R2" или в некоторых случаях просто "R", т.е. остаток, связанный с S, соответствует применяемому в настоящей заявке.

[380]

[381]

Схема 2: синтез алкенфосфонотиолатов

[382]

Способ с электрофильным дисульфидом

[383]

Алкенфосфонотиолаты можно получать путем одностадийной реакции из электрофильного дисульфида и алкенфосфонита. Не ограничиваясь какой-либо теорией, полагают, что свободная неподеленная пара атома фосфора фосфонита атакует электрофильную серу дисульфида, в результате чего образуется высокореакционное промежуточное соединение, которое быстро окисляется до фосфонотиолата.

[384]

Диэтилалкенфосфонит синтезировали в соответствии с опубликованными протоколами (М. R. J. Vallée, Angewandte Chemie Int. Ed., 2013, 52 (36), 9504) и подвергали взаимодействию с различными алифатическими электрофильными дисульфидами, см. схему 3. Электрофильные дисульфиды получали путем реакции соответствующего тиола с 2,2'-дитиобис(5-нитропиридина) (PNP). О-этилалкенфосфонотиолаты выделяли путем колоночной хроматографии на силикагеле. Выходы приведены в таблице 1.

[385]

[386]

Схема 3: синтез О-этилалкенфосфонотиолатов путем реакции диэтилалкенфосфонита с электрофильными дисульфидами.

[387]

[388]

Способ с PCl3

[389]

Альтернативно, PCl3 можно превращать в алкенфосфонотиолаты при помощи нескольких реакций замещения с последующим окислением при помощи окислителя, например, tBuOOH (схема 4).

[390]

[391]

Схема 4: синтез алкенфосфонотиолатов из PCl3.

[392]

С применением указанного способа получали бензильное и Boc-защищенное аминное производное и выделяли путем хроматографии на силикагеле (структуры и выходы см. в таблице 2).

[393]

[394]

Пример 2: синтез алкинфосфонотиолатов

[395]

Алкинфосфонотиолаты можно получать из PCl3 аналогично алкенфосфонотиолатам (см. пример 1 выше и схему 5 ниже).

[396]

[397]

Схема 5: синтез алкинфосфонотиолатов при помощи способа с PCl3.

[398]

С применением способа с PCl3 авторы настоящего изобретения могли выделять целевые продукты путем хроматографии на силикагеле (структуры и выходы см. в схеме 6 и таблице 3).

[399]

[400]

Схема 6: синтез алкинфосфонотиолатов

[401]

[402]

Пример 3: дополнительная функционализация общих фосфонотиолатных структурных элементов

[403]

Общие фосфонотиолатные производные на основе карбоновых кислот или аминов можно дополнительно модифицировать функциональными структурными элементами, например, флуорофором EDANS или биотином, например, путем амидного сочетания. Два иллюстративных примера приведены на схеме 7 (больше соединений, а также алкиновых производных см. в примере 14 настоящей заявки ниже).

[404]

[405]

Схема 7: примеры функционализации общих фосфонотиолатных структурных элементов. А) Производные на основе карбоновых кислот можно активировать с получением сложного эфира NHS, а затем подвергать реакции с амином, например, флуорофором EDANS. В) Альтернативно, реагенты можно менять местами путем сочетания РТ на основе аминов с карбоновыми кислотами, например, биотином.

[406]

Пример 4А: тиольное присоединение глутатиона к фосфонотиолатам

[407]

В качестве подтверждения того, что ненасыщенные фосфонотиолаты взаимодействуют с тиолами, авторы настоящего изобретения проводили конъюгацию с модельным тиолом, глутатионом, в основном водном буфере с получением растворимого в воде конъюгата фосфонотиолата. За протеканием реакции наблюдали при помощи УФ ЖХ-МС и31Р-ЯМР (алкенфосфонотиолаты см. на фигуре 1).

[408]

На фигуре 1 представлен: А) синтез конъюгата глутатион-алкенфосфонотиолат 14. За протеканием реакции наблюдали при помощи В) УФ ЖХ-МС и С)31Р-ЯМР, которые свидетельствовали об образовании единственного продукта. Р: продукт 14, SM: исходный материал = алкенфосфонотиолат 2, PMe4Br = бромид тетраметилфосфония, внутренний стандарт для31Р-ЯМР.

[409]

За протеканием реакции наблюдали при помощи31Р-ЯМР и СВЭЖХ-МС, которые свидетельствовали о чистой реакции с образованием единственного продукта (Р).

[410]

Аналогично описанному выше, авторы настоящего изобретения проводили конъюгацию глутатиона с алкиновым производным, а именно с S-бензил-О-метилалкин-РТ 7 из примера 11 ниже (таблица 3, номер 1) (см. фигуру 2А). Реакция протекала значительно быстрее по сравнению с алкенфосфонотиолатами (сравните также исследования кинетики, см. пример 5 настоящей заявки ниже). В указанных условиях авторы настоящего изобретения наблюдали полное превращение алкинфосфонотиолата примерно через 1 мин. Два изомера по двойной связи образуются в отношении примерно 3:1.

[411]

На фигуре 2 представлен: А) синтез конъюгата глутатион-алкин-РТ 15. За протеканием реакции наблюдали при помощи В) УФ ЖХ-МС, который свидетельствовал об образовании двух изомеров по двойной связи в отношении примерно 3:1. В качестве внутреннего стандарта применяли инозин.

[412]

Пример 4В: тиольное присоединение глутатиона к алкенфосфонатам

[413]

Авторы настоящего изобретения проводили конъюгацию диэтилалкенфосфоната с глутатионом путем тиольного присоединения с получением растворимого в воде конъюгата (см. схему 1).

[414]

[415]

Схема 1: синтез конъюгата глутатион-фосфонат.

[416]

За протеканием реакции наблюдали при помощи31Р-ЯМР и СВЭЖХ-МС, которые свидетельствовали о чистой реакции с образованием единственного продукта. Конъюгат можно выделять путем полупрепаративной ВЭЖХ (кислые условия) с 60% выходом.

[417]

Пример 5: исследование кинетики тиольного присоединения к фосфонотиолатам и фосфонатам

[418]

На следующей стадии авторы настоящего изобретения решили исследовать кинетику тиольного присоединения к ненасыщенным фосфонотиолатам для получения данных по кинетике. Для этого авторы настоящего изобретения проводили реакцию присоединения флуоресцентных производных EDANS как к алкен-, так и к алкинфосфонотиолатами в присутствии 1 эквивалента восстановленного глутатиона при комнатной температуре (примерно 25°С) (схема 8). Авторы настоящего изобретения проводили такое же исследование с соответствующими производными фосфонатов. Получение указанных соединений см. в примере 14 настоящей заявки ниже.

[419]

[420]

Схема 8: конъюгация глутатиона с флуоресцентными алкен- и алкинфосфонотиолатами и фосфонатами.

[421]

За распадом исходных материалов наблюдали в течение 8 ч при помощи ВЭЖХ с применением флуоресцентного детектора. Результаты указанного исследования представлены на фигуре 3 ниже. Становились ясными две тенденции: во-первых, алкиновые производные взаимодействуют гораздо быстрее в тиольном присоединении по сравнению с алкеновыми производными. Во-вторых, фосфонотиолаты взаимодействуют быстрее по сравнению с фосфонатами. Это является важным преимуществом фосфонотиолатов, поскольку это позволяет пользователю проводить реакцию при более низкой концентрации и получать более высокую конверсию за более короткое время, что в итоге также увеличивает выход реакции. Это имеет решающее значение, например, при получении конъюгатов антитело-лекарственное средство, в которых желательно высокое отношение лекарственного средства к антителу.

[422]

На фигуре 3 представлено: исследование кинетики присоединения глутатиона к алкен- и алкинфосфонотиолатам и -фосфонатам при рН 8,5. Представлен распад исходных материалов с течением времени. Интенсивность флуоресценции оставшегося исходного материала по отношению к внутреннему стандарту измеряли с применением ВЭЖХ с флуоресцентным детектором. Каждую из реакций проводили по три раза. Представлены средние значения со стандартным отклонением. Площадь исходного материала 1,0 обозначает 100% исходного материала.

[423]

Пример 6: исследование стабильности конъюгатов фосфонотиолатов

[424]

Важным фактором при использовании ненасыщенных фосфонотиолатов при биоконъюгации является то, стабильны ли образующиеся продукты тиольного присоединения в физиологически значимых условиях. Для решения указанного вопроса авторы настоящего изобретения использовали гасящую пару дабцил-EDANS и синтезировали соответствующие конъюгаты алкен- и алкинфосфонотиолатов, а также соответствующие конъюгаты алкен- и алкинфосфонатов (фигура 4). Указанные соединения позволяют отслеживать стабильность конъюгатов в сложных матрицах, таких как клеточный лизат или сыворотка.

[425]

Когда конъюгат находится в целостном состоянии, дабцил и EDANS находятся в непосредственной близости, и флуоресценция EDANS гасится. После расщепления конъюгата EDANS высвобождается, и флуоресценцию можно детектировать и определять количественно.

[426]

Указанные соединения гасящей пары позволяют отслеживать не только стабильность связи P-S, но также стабильность тиольного конъюгата. Это является важным, поскольку таким образом также можно детектировать возможное тиольное ретроприсоединение или обмен с другими тиолами.

[427]

На фигуре 4 представлена: схема гасящих пар EDANS-дабцил, которые химически связаны посредством конъюгации фосфонотиолатов или фосфонатов. Если обведенный кружком фрагмент расщепляется, флуоресценция EDANS больше не гасится, поскольку он теряет свою близость к дабцилу.

[428]

Авторы настоящего изобретения отслеживали стабильность алкен- и алкинфосфонотиолатов, а также алкен- и алкинфосфонатов в следующих условиях: ФСБ (фосфатно-солевой буфер) рН=7,4, лизат клеток HeLa, человеческая сыворотка. Температура равнялась комнатной температуре (примерно 25°С). За флуоресценцией наблюдали в течение примерно 3 дней. В качестве положительного контроля измеряли неконъюгированный EDANS и свободный дабцил-пептид (1:1) в аналогичных условиях. Результаты представлены на фигуре 5. В правом столбце представлено увеличение того же набора данных, что и в левом столбце. Кроме того, в качестве контроля фосфонотиолаты и фосфонаты обрабатывали 1 М раствором NaOH, что приводило к быстрому расщеплению фосфонотиолатов и фосфонатов. Это подтверждает, что в анализах с применением ФСБ при рН=7,4 расщепление лизата клеток HeLa или человеческой сыворотки происходит только в очень малой степени, если происходит.

[429]

В фосфатном буфере (ФСБ, рН 7,4) все производные демонстрируют хорошую стабильность. В лизате клеток HeLa и в сыворотке они также демонстрируют хорошую стабильность, что свидетельствует о стабильности биоконъюгатов на основе фосфонотиолатов и биоконъюгатов на основе фосфонатов в физиологически значимых условиях.

[430]

На фигуре 5 представлена: стабильность конъюгатов фосфонотиолата и конъюгатов фосфонатов в указанных условиях. Увеличение флуоресценции свидетельствует о расщеплении конъюгата.

[431]

Пример 7: конъюгация белков с фосфонотиолатами

[432]

Затем авторы настоящего изобретения конъюгировали алкен- и алкинфосфонотиолаты как с модельным белком, бычьим сывороточным альбумином (БСА), так и с моноклональным антителом, цетуксимабом.

[433]

Пример 7А1: конъюгация бычьего сывороточного альбумина с фосфонотиолатами

[434]

В качестве модельного белка авторы настоящего изобретения выбрали бычий сывороточный альбумин (БСА) для конъюгации с алкен- и алкинфосфонотиолатами. При помощи указанного эксперимента было продемонстрировано, что алкен- и алкинфосфонотиолаты являются подходящими биоконъюгатами для цистеинселективной модификации уровня белка. БСА имеет один остаток восстановленного цистеина (Cys58), который доступен для алкилирования при помощи РТ. Другие цистеины теоретически являются не реакционноспособными по отношению к фосфонотиолатам, поскольку они присутствуют в дисульфидных мостиках.

[435]

Для проведения модификации раствор БСА подвергали взаимодействию с избытком РТ в течение 18 ч при 4°С и рН=7,4-8,5 (см. схему 9).

[436]

[437]

Схема 9: модификация БСА при помощи РТ.

[438]

После реакции проводили ДСН-ПААГ модифицированного белка с последующим триптическим гидролизом в геле, а затем полученные пептиды подвергали анализу МС/МС.

[439]

Результаты анализа МС/МС приведены в таблице 4. Хорошую глубину секвенирования БСА получали для обоих производных. Кроме того, степень модификации являлась высокой (>50% для алкенфосфонотиолатов и >90% для алкинфосфонотиолатов). В случае алкенфосфонолатного производного другие аминокислоты (His, Ser, Thr, Arg) также модифицировались в некоторой степени. Тем не менее, использование меньшего количества эквивалентов и/или снижение рН до 7,4 приводило к снижению взаимодействия с указанными аминокислотами. Было обнаружено, что алкинфосфонотиолаты взаимодействуют с цистеинами более селективно по сравнению с алкенфосфонотиолатами.

[440]

[441]

[442]

[443]

В заключение, результаты демонстрируют селективность по цистеину, т.е. при желании цистеин БСА можно селективно модифицировать алкен- или алкинфосфонотиолатами.

[444]

Пример 7А2: конъюгация бычего сывороточного альбумина с фосфонатами

[445]

Авторы настоящего изобретения дополнительно смогли продемонстрировать, что диэтилалкенфосфонат можно конъюгировать с модельным белком, бычьим сывороточным альбумином (БСА), (схема 10) способом, селективным по цистеину, как определено путем анализа МС/МС конъюгата (см. таблицу 5). БСА имеет один остаток восстановленного цистеина (Cys58), который доступен для алкилирования.

[446]

[447]

Схема 10: модификация БСА диэтилалкенфосфонатом.

[448]

[449]

[450]

В заключение, результаты демонстрируют селективность по цистеину, т.е. при желании цистеин БСА можно селективно модифицировать алкен- или алкинфосфонатами.

[451]

Пример 7В: конъюгация антител с фосфонотиолатами

[452]

Наконец, авторы настоящего изобретения применяли указанную новую селективную по цистеину последовательность реакций для конъюгации IgG антител (схема 11). Стратегия модификации основана на двухстадийном подходе восстановления-алкилирования, который ранее применяли для малеимидной конъюгации (S.О. Doronina, В.Е. Toki, М.Y. Torgov, В.A. Mendelsohn, С.G. Cerveny, D.F. Chace, R.L. DeBlanc, R.P. Gearing, T.D. Bovee, С.B. Siegall, J.A. Francisco, A.F. Wahl, D.L. Meyer, P.D. Senter, Nat Biotech 2003, 21, 778-784). На первой стадии межцепочечные дисульфидные мостики, которые удерживают антитело вместе, восстанавливают путем обработки дитиотреитолом (DTT). Затем свободные тиолы могут взаимодействовать с фосфонотиолатами в реакции тиольного присоединения. Первые эксперименты проводили с цетуксимабом, моноклональным IgG1 антителом против эпидермального фактора роста человека.

[453]

[454]

Схема 11: двухстадийный подход восстановление-алкилирование для селективной по цистеину модификации антитела модифицированным биотином алкенфосфонотиолатом 4

[455]

В качестве подтверждения антитело модифицировали биотиновым производным алкенового соединения 4 и анализировали путем ДСН-ПААГ с последующим вестернг-блоттингом антитела против биотина.

[456]

Результаты вестернг-блоттинга антитела против биотина представлены на фигуре 6. Можно подтвердить модификацию фрагментов антитела (тяжелой и легкой цепей) биотиновым производным фосфонотиолата 4 как при рН=7,4 (полоска 3), так и при рН=8,5 (полоска 5). Выход выше при более высоком рН=8,5 (сравните полоски 3 и 5). Следует отметить, что никакая модификация не может быть детектирована без предварительного восстановления дисульфидных связей при помощи DTT (полоски 4 и 6). Для сравнения антитело также метили биотин-малеимидом при рН=7,4 с применением того же протокола. Хотя степень модификации в случае малеимида выше по сравнению с РТ (сравните полоски 1 и 3), реакция очевидно не является хемоселективной по цистеину, поскольку модификация также детектируется в случае невосстановленного антитела (полоска 2).

[457]

На фигуре 6 представлен: вестерн-блоттинг конъюгации цетуксимаба после восстановления в ДСН-геле. Вверху: окрашивание мембраны посредством Ponceau S после блоттинга показывает равные количества блоттированного антитела. Внизу: детектирование хемилюминесценции (Strep-HRP) фрагментов антител, модифицированных биотином. Реакцию восстановленного антитела с биотиновыми соединениями проводили при рН=7,4 (полоски 1-4) или при рН=8,5 (полоски 5-6). М = маркер (набор маркерных белков).

[458]

Кроме того, авторы настоящего изобретения также проводили конъюгацию цетуксимаба с биотиновыми производными фосфонотиолатов 28 (алкин) и 13 (алкен) при рН 8,5 (фигура 7А) и конъюгацию цетуксимаба с 28 при рН 7,4, 8,0 и 8,5 для сравнения (фигура 7В). Алкинфосфонотиолаты являются более эффективными при введении метки в антитело по сравнению с алкенфосфонотиолатами (фигура 7А). Как в случае алкенфосфонотиолата 4 (фигура 6), так и в случае алкинфосфонотиолата 28 большее введение метки в антитело при помощи алкинфосфонотиолата достигается при увеличении рН.

[459]

На фигуре 7 представлен: вестерн-блоттинг конъюгации цетуксимаба после восстановления в ДСН-геле. А) Модификация при рН 8,5 соединениями 13 и 28. В) Модификация при рН 7,4-8,5 соединением 28.

[460]

В заключение, результаты демонстрируют селективность по цистеину, т.е. при желании цистеин антитела можно селективно модифицировать алкен- или алкинфосфонотиолатами.

[461]

Пример 8: методики синтеза электрофильных дисульфидов

[462]

Общая методика А: Синтез смешанных дисульфидов из 2,2'-дитиобис(5-нитропиридина)

[463]

[464]

В высушенную пламенем круглодонную колбу вносили 1,0 ммоль (1,0 экв.) тиола в 10 мл (конц.=0,1 М) ТГФ. Последовательно добавляли 3,0 ммоль (3,0 экв.) триэтиламина и 1,2 ммоль (1,2 экв.) дисульфида 2,2'-дитиобис(5-нитропиридина) и реакционную смесь перемешивали в течение 10 мин при комнатной температуре. За протеканием реакции наблюдали при помощи ТСХ. После достижения полной конверсии (примерно 10 мин) легколетучие вещества выпаривали при пониженном давлении и остаток очищали путем колоночной флэш-хроматографии на силикагеле.

[465]

2-(Этилдисульфанил)-5-нитропиридин

[466]

[467]

2-(Этилдисульфанил)-5-нитропиридин получали в соответствии с общей методикой А из этантиола (103 мкл, 1,34 ммоль). Неочищенный продукт очищали путем колоночной флэш-хроматографии (гексаны/EtOAc=10:1) с получением титульного соединения в виде желтой маслянистой жидкости (228 мг, 1,05 ммоль, 78%).

[468]

1Н-ЯМР (300 МГц, хлороформ-d) δ=9,24 (d, J=2,6, 1H), 8,39 (dd, J=8,9, 2,6, 1H), 7,92 (d, J=8,9, 1H), 2,85 (q, J=7,3, 2H), 1,34 (t, J=7,3, 3H) ppm.

[469]

13С-ЯМР (75 M, хлороформ-d) δ=169,42, 145,15, 141,99, 131,67, 119,18, 33,01, 14,36 ppm. MCBP (ИЭР): вычислено для C7H9N2O2S2 [M+H+]: 217,0100; наблюдали: 217,0106.

[470]

2-(Бензилдисульфанил)-5-нитропиридин

[471]

[472]

2-(Бензилдисульфанил)-5-нитропиридин получали в соответствии с общей методикой А из бензилмеркаптана (48 мкл, 0,41 ммоль). Неочищенный продукт очищали путем колоночной флэш-хроматографии (гексаны/EtOAc=10:1) с получением титульного соединения в виде бесцветного твердого вещества (91 мг, 0,33 ммоль, 80%).

[473]

1Н-ЯМР (300 МГц, хлороформ-d) δ=9,18 (d, J=2,6, 1H), 8,15 (dd, J=8,9, 2,6, 1H), 7,49 (d, J=8,9, 1H), 7,30-7,24 (m, 2H), 7,24-7,17 (m, 3H), 4,04 (s, 2H) ppm.

[474]

13С-ЯМР (75 МГц, хлороформ-d) δ=168,90, 144,86, 141,81, 136,10, 131,17, 129,50 (2C), 128,83 (2C), 128,04, 119,03, 77,36, 43,86 ppm.

[475]

MCBP (ИЭР): вычислено для C12H11N2O2S2 [M+H+]: 279,0256; наблюдали: 279,0271.

[476]

3-((5-Нитропиридин-2-ил)дисульфанил)пропионовая кислота

[477]

[478]

3-((5-Нитропиридин-2-ил)дисульфанил)пропионовую кислоту получали в соответствии с общей методикой А из меркаптопропионовой кислоты (250 мкл, 2,85 ммоль). Неочищенный продукт очищали путем колоночной флэш-хроматографии (гексаны/EtOAc = 1:1+0,1% муравьиной кислоты) с получением титульного соединения в виде желтой маслянистой жидкости (80 мг, 1,54 ммоль, 54%).

[479]

1H-ЯМР (300 МГц, хлороформ-d) δ=9,26 (d, J=2,6 Гц, 1H), 8,40 (dd, J=8,8, 2,7 Гц, 1H), 7,87 (d, J=8,8 Гц, 1H), 3,09 (t, J=6,8 Гц, 2Н), 2,82 (t, J=6,8 Гц, 2Н) ppm.

[480]

13С-ЯМР (75 МГц, хлороформ-d) δ=177,25, 168,05, 145,34, 142,35, 131,91, 119,68, 33,69, 33,33.

[481]

МСВР: Н/О

[482]

2-(Биотинилдисульфанил)-5-нитропиридин

[483]

[484]

2-(Биотинилдисульфанил)-5-нитропиридин получали в соответствии с общей методикой А из биотинтиола (44 мг, 0,179 ммоль). Неочищенный продукт очищали путем колоночной флэш-хроматографии (ДХМ/МеОН = от 20:1 до 10:1) с получением титульного соединения в виде желтого твердого вещества (53 мг, 0,134 ммоль, 75%).

[485]

1Н-ЯМР (300 МГц, хлороформ-d) δ=9,27 (d, J=2,6 Гц, 1Н), 8,42 (dd, J=8,9, 2,6 Гц, 1H), 7,91 (d, J=8,9 Гц, 1H), 4,51 (s, 1H), 4,37-4,24 (m, 1Н), 3,14 (d, J=6,4 Гц, 1H), 2,97-2,68 (m, 4Н), 1,76-1,61 (m, 4Н), 1,44 (d, J=3,5 Гц, 4Н) ppm.

[486]

МСВР (ИЭР): вычислено для C15H21N4O3S3 [М+Н+]: 401,0770; наблюдали: 401,0791.

[487]

Пример 9: методики синтеза соединений-предшественников фосфора (III)

[488]

1-Этокси-1-этинил-N,N-диизопропилфосфанамин

[489]

[490]

В высушенную пламенем круглодонную колбу Шленка вносили трихлорид фосфора (12,5 ммоль, 1090 мкл) и сухой эфир (50 мл) в атмосфере аргона и охлаждали до -30°С в бане с сухим льдом. Добавляли этанол (12,5 ммоль, 728 мкл) и триэтиламин (12,5 ммоль, 1,733 мл), раствор перемешивали при -30°С в течение 10 мин перед нагреванием до КТ и перемешивали в течение дополнительного часа. Полученную белую суспензию фильтровали через целит. Фильтрат собирали в высушенную пламенем круглодонную колбу Шленка и снова охлаждали до -30°С в атмосфере аргона. Добавляли диизопропиламин (25 ммоль, 3,528 мл), реакционную смесь перемешивали при -30°С в течение 10 мин перед нагреванием до КТ и перемешивали в течение дополнительного часа. Полученную суспензию снова фильтровали через целит. Прозрачный фильтрат охлаждали до -78°С в атмосфере аргона и добавляли раствор бромида этинилмагния (0,5 М раствор в ТГФ, 13,75 ммоль, 27,5 мл), перемешивали в течение 10 мин при -78°С, а затем при КТ в течение дополнительного часа. Затем реакционную смесь концентрировали до примерно 20 мл при пониженном давлении, разбавляли насыщенным водным раствором NaHCO3 (60 мл) и экстрагировали EtOAc (3 × 120 мл). Объединенные органические слои сушили над NaSO4, фильтровали и растворители удаляли при пониженном давлении. Полученный маслянистый остаток очищали путем хроматографии на силикагеле с получением титульного соединения в виде желтой маслянистой жидкости (1,236 г, 6,14 ммоль, 49%) с примерно 80% чистотой, определенной путем1Н- и31Р-ЯМР. Соединение применяли на следующих стадиях без дополнительной очистки.

[491]

1Н-ЯМР (300 МГц, ацетонитрил-d3) δH=3,84-3,57 (m, 4Н), 3,35 (d, J=1,8 Гц, 1H), 1,20 (m, 15 Н) ppm.

[492]

13С-ЯМР (75 МГц, ацетонитрил-d3) δC=91,78 (d, J=7,4 Гц), 85,72 (d, J=17,8 Гц), 61,9 (d, J=16,2 Гц), 47,4, 23,5, 16,5 (d,J=16,5) ppm.

[493]

31Р-ЯМР (122 МГц, ацетонитрил-d3) δP=92,25 ppm.

[494]

MCBP (ИЭР): вычислено для NaC10H20NOP [M+Na+]: 224,1180; наблюдали: 224,1270.

[495]

1-Этокси-N,N-диизопропил-1-винилфосфанамин

[496]

[497]

В высушенную пламенем круглодонную колбу Шленка вносили трихлорид фосфора (12,5 ммоль, 1090 мкл) и сухой эфир (50 мл) в атмосфере аргона и охлаждали до -30°С в бане с сухим льдом. Добавляли этанол (12,5 ммоль, 728 мкл) и триэтиламин (12,5 ммоль, 1,733 мл), раствор перемешивали при -30°С в течение 10 мин перед нагреванием до КТ и перемешивали в течение дополнительного часа. Полученную белую суспензию фильтровали через целит. Фильтрат собирали в высушенную пламенем круглодонную колбу Шленка и снова охлаждали до -30°С в атмосфере аргона. Добавляли диизопропиламин (25 ммоль, 3,528 мл), реакционную смесь перемешивали при -30°С в течение 10 мин перед нагреванием до КТ и перемешивали в течение дополнительного часа. Полученную суспензию снова фильтровали через целит. Прозрачный фильтрат охлаждали до -78°С в атмосфере аргона и добавляли раствор бромида винилмагния (1,0 М раствор в ТГФ, 13,75 ммоль, 13,75 мл), перемешивали в течение 10 мин при -78°С, а затем при КТ в течение дополнительного часа. Затем реакционную смесь концентрировали до примерно 20 мл при пониженном давлении, разбавляли насыщенным водным раствором NaHCO3 (60 мл) и экстрагировали EtOAc (3 × 120 мл). Объединенные органические слои сушили над NaSO4, фильтровали и растворители удаляли при пониженном давлении. Полученный маслянистый остаток очищали путем хроматографии на силикагеле с получением титульного соединения в виде бесцветной маслянистой жидкости (852 мг, 4,19 ммоль, 34%) с >95% чистотой, определенной путем1Н- и31Р-ЯМР.

[498]

1Н-ЯМР (300 МГц, ацетонитрил-d3) δH=6,36-6,14 (m, 1H), 5,77-5,53 (m, 2Н), 3,81-3,61 (m, 2Н), 3,47 (dt, J=9,8, 6,7 Гц, 2Н), 1,23-1,04 (m, 15 Н) ppm.

[499]

13С-ЯМР (75 МГц, ацетонитрил-d3) δC=142,30 (d, J=6,9 Гц), 124,41 (d, J=19,6 Гц), 62,1 (d, J=20,7 Гц), 45,5 (d, J=9,50 Гц), 23,90 (m), 16,66 (d, J=7,7 Гц) ppm.

[500]

31Р-ЯМР (122 МГц, ацетонитрил-d3) δP=113,79 ppm.

[501]

MCBP (ИЭР): вычислено для C10H23NOP [M+H+]: 204,1517; наблюдали: 204,1596.

[502]

Пример 10: методики синтеза алкенфосфонотиолатов

[503]

Общая методика В: синтез алкен-РТ при помощи способа с дисульфидом

[504]

[505]

0,5 ммоль (1,0 экв.) смешанного дисульфида помещали в высушенную пламенем колбу Шленка и растворяли в смеси сухой ТГФ/толуол (2:1,5 мл) в атмосфере аргона. К смеси при перемешивании по каплям добавляли раствор диэтилалкенфосфонита (примерно 0,6 М раствор в ТГФ, 0,6 ммоль, 0,6 мл, 1,2 экв.) при комнатной температуре и перемешивали в течение 10 мин. Затем реакционную смесь наносили в сухом виде в силикагель и очищали путем колоночной флэш-хроматографии.

[506]

O,S-Диэтилалкен-РТ (соединение 1)

[507]

[508]

О,S-Диэтилалкен-РТ получали в соответствии с общей методикой В из смешанного дисульфида 2-(этилдисульфанил)-5-нитропиридина (100 мг, 0,462 ммоль). Неочищенный продукт очищали путем колоночной флэш-хроматографии (градиент гексаны/EtOAc = от 4:1 до 1:1) с получением титульного соединения в виде бесцветной маслянистой жидкости (44 мг, 0,244 ммоль, 53%).

[509]

1Н-ЯМР (300 МГц, хлороформ-d) δ=6,40-5,98 (m, 3Н), 4,30-4,06 (m, 2Н), 2,89-2,72 (m, 2Н), 1,41-1,30 (m, 6Н) ppm.

[510]

13С-ЯМР (75 МГц, хлороформ-d) δ=133,92, 131,82, 129,90, 61,83, 24,98, 16,51 ppm.

[511]

31Р-ЯМР (122 МГц, хлороформ-d) δ=42,12 ppm.

[512]

МСВР (ИЭР): вычислено для C6H14O2PS [М+Н+]: 181,0447; наблюдали: 181,0460.

[513]

S-Бензил О-этилалкен-РТ (соединение 2)

[514]

[515]

S-Бензил О-этилалкен-РТ получали в соответствии с общей методикой В из смешанного дисульфида 2-(бензилдисульфанил)-5-нитропиридина (100 мг, 0,359 ммоль). Неочищенный продукт очищали путем колоночной флэш-хроматографии (градиент гексаны/EtOAc = от 4:1 до 1:1) с получением описанного соединения 2 в виде желтой маслянистой жидкости (55 мг, 0,227 ммоль, 63%).

[516]

1Н-ЯМР (300 МГц, хлороформ-d) δ=7,42-7,19 (m, 5Н), 6,40-5,91 (m, 3Н), 4,28-3,39 (m, 4Н), 1,31 (t, J=7,1 Гц, 3Н) ppm.

[517]

13С (75 МГц, хлороформ-d) δ=162,92, 137,01, 134,54, 130,53, 128,87, 128,59, 128,57, 127,56, 62,23, 34,37, 16,08 ppm.

[518]

31Р-ЯМР (122 МГц, хлороформ-d) δ=42,69 ppm.

[519]

МСВР (ИЭР): вычислено для C11H15O2PS [М+Н+]: 242,0525; наблюдали: 242,0551.

[520]

О-Этил-S-биотиналкен-РТ (соединение 4)

[521]

[522]

О-Этил-S-биотиналкен-РТ получали в соответствии с общей методикой В из смешанного дисульфида 2-(биотинилдисульфанил)-5-нитропиридина (40 мг, 0,100 ммоль) в смеси растворителей ТГФ/ДМФА = 5:1. Неочищенный продукт очищали путем колоночной флэш-хроматографии (градиент от 100% ДХМ до ДХМ/МеОН=9:1) с получением описанного соединения 4 в виде желтого твердого вещества (21 мг, 0,0576 ммоль, 58%).

[523]

1Н-ЯМР (600 МГц, хлороформ-d) δ=6,35-6,05 (m, 3Н), 5,83 (d, J=24,7 Гц, 1H), 5,24 (s, 1H), 4,52 (dd, J=7,8, 4,9 Гц, 1H), 4,32 (dd, J=7,8, 4,6 Гц, 1H), 4,26-4,11 (m, 2Н), 3,17-3,12 (m, 1H), 2,92 (dd, J=12,8, 5,0 Гц, 1H), 2,87-2,72 (m, 3Н), 2,15 (s, 2Н), 1,75-1,60 (m, 4Н), 1,49-1,39 (m, 4Н), 1,36 (td, J=7,1, 1,5 Гц, 3Н) ppm.

[524]

13С-ЯМР (151 МГц, хлороформ-d) δ=163,43, 133,85, 130,75 (dd, J=145,2, 9,9 Гц), 62,10-61,69 (m, 2С), 60,17, 55,52, 40,53, 30,59 (t, J=5,2 Гц), 30,12, 28,51 (d, J=8,7 Гц), 28,30 (d, J=25,5 Гц, 2C), 16,32 (d, J=6,8 Гц) ppm.

[525]

31Р-ЯМР (122 МГц, хлороформ-d) δ=42,57 ppm.

[526]

МСВР (ИЭР): вычислено для C14H26N2O3PS2 [М+Н+]: 365,1117; наблюдали: 365,1141.

[527]

3-((Этокси(алкен)фосфорил)тио)пропионовая кислота (соединение 3)

[528]

[529]

3-((Этокси(алкен)фосфорил)тио)пропионовую кислоту получали в соответствии с общей методикой В из смешанного дисульфида 3-((5-нитропиридин-2-ил)дисульфанил)пропионовой кислоты (146 мг, 0,561 ммоль). Неочищенный продукт очищали путем колоночной флэш-хроматографии (от гексаны/EtOAc=4:1 без кислоты до EtOAc + 0,1% муравьиной кислоты) с получением соединения 3 в виде бесцветной маслянистой жидкости (33,7 мг, 0,150 ммоль, 27%). Аналитически чистый образец* получали путем последующей ВЭЖХ очистки (5-40% MeCN в течение 30 мин).

[530]

1Н-ЯМР (600 МГц, хлороформ-d) δ=9,25 (s, 1Н), 6,38-6,08 (m, 3Н), 4,26-4,13 (m, 2Н), 3,09-2,96 (m, 2Н), 2,74 (t, J=7,2, 2Н), 1,35 (t, J=7,1, 3Н) ppm.

[531]

13С-ЯМР (151 МГц, хлороформ-d) δ=174,98, 134,92, 130,18 (d, J=145,9 Гц), 62,52 (d, J=6,9 Гц), 35,73 (d, J=3,5 Гц), 25,02 (d, J=2,8 Гц), 16,38 (d, J=6.9 Гц) ppm.

[532]

31Р-ЯМР (122 МГц, хлороформ-d) δ=43,17 ppm.

[533]

MCBP (ИЭР): вычислено для C7H14O4PS2 [М+Н+]: 225,0345; наблюдали: 225,0358.

[534]

2,5-Диоксопирролидин-1-ил-3-((этокси(алкен)фосфорил)тио)пропаноат (соединение 10)

[535]

[536]

10 мг карбоновой кислоты, 3-((этокси(алкен)фосфорил)тио)пропионовой кислоты 3 (0,0446 ммоль, 1,0 экв.), и N-гидроксисукцинимид (5,1 мг, 0,0446 мг, 1,0 экв.) растворяли в 400 мкл смеси диоксан/EtOAc=1:1 и охлаждали до 0°С. К раствору при перемешивании добавляли 9,2 мг дициклогексилкарбодиимида (0,0446 ммоль, 1,0 экв.) и смесь оставляли нагреваться до комнатной температуры. Через 1 час суспензию фильтровали и прозрачный остаток сушили при пониженном давлении с получением 12 мг описанного продукта 10 (0,0374 ммоль, 84%).

[537]

1Н-ЯМР (600 МГц, хлороформ-d) δ=6,39-6,09 (m, 3Н), 4,29-4,13 (m, 2Н), 3,19-2,99 (m, 4Н), 1,37 (t, J=7,1 Гц, 3Н) ppm.

[538]

13С-ЯМР (151МГц, хлороформ-d) δ=168,92, 166,85, 134,76, 130,50 (d, J=146,2 Гц), 62,41 (d, J=6,8 Гц), 33,03 (d, J=3,0 Гц), 25,71, 24,57 (d, J=2,9 Гц), 16,40 (d, J=6,9 Гц) ppm.

[539]

31Р-ЯМР (122 МГц, хлороформ-d) δ=41,44 ppm.

[540]

MCBP (ИЭР): вычислено для C11H17NO6PS [М+Н+]: 322,0509; наблюдали: 322,0540.

[541]

5-((2-(3-((Этокси(алкен)фосфорил)тио)пропанамидо)этил)амино)нафталин-1-сулъфоновая кислота (соединение 11)

[542]

[543]

30 мг сложного NHS эфира 2,5-диоксопирролидин-1-ил-3-((этокси(алкен)фосфорил)тио)пропаноата 10 (0,0934 ммоль, 1,0 экв.) и 30 мг EDANS (0,103 ммоль, 1,1 экв.) растворяли в 470 мкл ДМФА в пробирке Эппендорф. Добавляли 33 мкл (0,189 ммоль, 2,0 экв.) DIPEA и суспензию перемешивали при комнатной температуре в течение 15 минут. Легколетучие вещества выпаривали при пониженном давлении и неочищенный продукт очищали путем препаративной ВЭЖХ (5-60% MeCN в течение 40 мин, поток 16 мл/мин) с получением после лиофилизации 24 мг описанного соединения 11 (0.0508 ммоль, 54%) в виде белого порошка.

[544]

1Н-ЯМР (600 МГц, ДМСО-d6) δ=8,32 (d, J=8,6 Гц, 1H), 8,22 (t, J=5,8 Гц, 1H), 8,07 (d, 7=8,5 Гц, 1H), 7,96 (d, J=7,0 Гц, 1H), 7,40 (dd, J=8,5, 7,1 Гц, 1H), 7,34 (t, J=8,1 Гц, 1H), 6,81 (d, J=7,3 Гц, 1H), 6,38 (ddd, J=28,0, 18,4, 12,4 Гц, 1H), 6,25-6,11 (m, 2Н), 4,14-3,98 (m, 2Н), 3,41 (t, J=6,2 Гц, 2Н), 3,32 (t, J=6,5 Гц, 2Н), 2,93 (ddt, J=18,0, 12,9, 6,6 Гц, 2Н), 1,26 (t, J=7,0 Гц, 3Н) ppm.

[545]

13С-ЯМР (151 МГц, ДМСО-d6) δ=170,42, 144,21, 134,28, 130,60 (d, J=142 Гц), 130,09, 125,92, 124,59, 124,07, 123,23, 122,62, 61,37 (d, J=6,7 Гц), 44,79, 37,23, 36,23 (d, J=4,0 Гц), 25,42 (d, J=2,8 Гц), 16,10 (d, J=6,5 Гц) ppm.

[546]

31Р-ЯМР (243 МГц, ДМСО-d6) δ=41,29 ppm.

[547]

MCBP (ИЭР): вычислено для C19H26N2O6PS2 [М+Н+]: 473,0964; наблюдали: 473,0984.

[548]

Общая методика С: синтез алкен-РТ при помощи способа с PCl3

[549]

В круглодонную колбу вносили 1-этокси-N,N-диизопропил-1-винилфосфанамин (например, 0,3 ммоль), растворяли в сухом ацетонитриле (3 мл) и охлаждали до -40°С. Отдельно готовили раствор тиола (0,3 ммоль) в тетразоле (0,45 М раствор в MeCN, 0,6 ммоль, 1,33 мл) и при перемешивании добавляли к смеси при -40°С. Реакционную смесь перемешивали при -40°С в течение 10 мин, а затем нагревали до КТ и перемешивали в течение дополнительных 30 мин. К указанной смеси добавляли раствор трет-бутилгидропероксида (70 масс. % в H2O, 0,3 ммоль, 86 мкл) при КТ и перемешивали в течение 10 мин. Затем реакционную смесь разбавляли Н2О (10 мл) и экстрагировали ДХМ (3 × 30 мл). Объединенные органические слои сушили над Na2SO4, фильтровали и растворители удаляли при пониженном давлении. Неочищенный продукт очищали путем хроматографии на силикагеле.

[550]

Трет-бутил-(2-((этокси(винил)фосфорил)тио)этил)карбамат (соединение 6)

[551]

[552]

Соединение 6 получали в соответствии с общей методикой С из 1-этокси-N,N-диизопропил-1-винилфосфанамина (93 мг, 0,465 ммоль) и трет-бутил-(2-меркаптоэтил)карбамата (82 мг, 0,465 ммоль). В результате очистки путем хроматографии на силикагеле (100% этилацетат) получали целевое соединение в виде бесцветной маслянистой жидкости (30 мг, 0,10 ммоль, 22%).

[553]

Пример 11: методики синтеза алкинфосфонотиолатов

[554]

S-Бензил-О-метилэтинил-РТ (соединение 7)

[555]

[556]

В высушенную пламенем колбу Шленка, снабженную мешалкой, в атмосфере аргона добавляли сухой ТГФ (17 мл), а затем бромид этинилмагния в ТГФ (0,5 М, 4 мл, 2 ммоль). Затем указанный раствор охлаждали до -78°С, вносили 1-хлор-N,N-диизопропил-1- метоксифосфанамин (0,39 мл, 2 ммоль) и перемешивали в течение 10 мин перед нагревание до 0°С в течение 35 минут, а затем до КТ (затем 0,5 мл реакционной смеси отбирали для31Р-ЯМР). Затем реакционную смесь переносили в высушенную пламенем круглодонную колбу в атмосфере аргона, растворитель удаляли под вакуумом с получением твердого вещества и колбу снова заполняли аргоном. Твердое вещество охлаждали до -40°С, добавляли сухой тетразол в MeCN (11 мл, 5 ммоль), вносили сухой бензилтиол (0,6 мл, 1,7 ммоль) и перемешивали в течение ночи с получением суспензии твердых частиц. К смеси добавляли 70% трет-бутилгидропероксид в Н2О (1,6 мл, 12 ммоль) и перемешивали в течение 30 мин. Затем растворитель удаляли под вакуумом, разбавляли водой, экстрагировали ДХМ, промывали солевым раствором и сушили над MgSO4. Растворитель удаляли под вакуумом с получением коричневой маслянистой жидкости, которую загружали в колонку с силикагелем со смесью гексан/этилацетат (от 1:0 до 1:1) в качестве элюента с получением чистого продукта в виде желтой маслянистой жидкости (82 мг, 0,362 ммоль, 18%).

[557]

1Н-ЯМР (300 МГц, CDCl3) δH=7,40-7,28 (5Н, m, 5 х ароматический C(sp2)-H), 4,17 (1H, d,3JHP=3,2 Гц, S-CHa), 4,11 (1H, d,3JHP=1,8 Гц, S-CHb), 3,71 (3Н, d,3JHP=14,0 Гц, О-СН3), 3,20 (1H, d,3JHP=12,6 Гц, CCH) ppm.

[558]

13С-ЯМР (76 МГц, CDCl3) δC=135,39 (d,3JCP=6,1 Гц, ипсо-ароматический C(sp2)), 129,07 (s, мета-ароматический C(sp2)), 128,76 (s, орто-ароматический C(sp2)), 127,88 (s, пара-ароматический C(sp2), 89,76 (d,2JCP=43,2 Гц, C(sp)-H), 76,66 (d,1JCP=239,2 Гц, C(sp)), 52,93 (d,2JCP=6,2 Гц, О-СН3), 34,96 (d,2JCP=3,5 Гц).

[559]

31Р-ЯМР (122 МГц, CDCl3) δP=17,59 (m) ppm.

[560]

MCBP (ИЭР): вычислено для C10H11O2PS [M+H+]: 227,0290; наблюдали: 227,0293.

[561]

Общая методика D: синтез алкинфосфонотиолатов при помощи способа с PCl3

[562]

В круглодонную колбу вносили 1-этокси-N,N-диизопропил-1-этинилфосфанамин (например, 0,3 ммоль), растворяли в сухом ацетонитриле (3 мл) и охлаждали до -40°С. Отдельно готовили раствор тиола (0,3 ммоль) в тетразоле (0,45 М раствор в MeCN, 0,6 ммоль, 1,33 мл) и при перемешивании добавляли к смеси при -40°С. Реакционную смесь перемешивали при -40°С в течение 10 мин, а затем нагревали до КТ и перемешивали в течение дополнительных 30 мин. К указанной смеси добавляли раствор трет-бутилгидропероксида (70 масс. % в Н2О, 0,3 ммоль, 86 мкл) при КТ и перемешивали в течение 10 мин. Затем реакционную смесь разбавляли Н2О (10 мл) и экстрагировали ДХМ (3× 30 мл). Объединенные органические слои сушили над Na2SO4, фильтровали и растворители удаляли при пониженном давлении. Неочищенный продукт очищали путем хроматографии на силикагеле.

[563]

S-Бензил-О-этилэтинилфосфонотиоат (соединение 8)

[564]

[565]

Соединение 8 получали в соответствии с общей методикой С из 1-этокси-N,N-диизопропил-1-этинилфосфанамина (25 мг, 0,123 ммоль) и меркаптобензила (14,4 мкл, 0,123 ммоль). В результате очистки путем хроматографии на силикагеле (100% этилацетат) получали целевое соединение в виде бесцветной маслянистой жидкости (10 мг, 0,042 ммоль, 34%).

[566]

1Н-ЯМР (300 МГц, CDCl3) δH=7,45-7,25 (m, 5Н), 4,28-4,02 (m, 4Н), 3,12 (d, J=12,5 Гц, 1H), 1,35 (t, J=7,1 Гц, 3Н) ppm.

[567]

13С-ЯМР (76 МГц, CDCl3) δC=136,47 (d, J=6,4 Гц), 129,09, 128,91, 127,84, 88,90 (d, J=43,0 Гц), 63,50 (d, J=3,3 Гц), 35,04 (d, J=3,3 Гц), 28,27, 16,05 (d, J=7,7 Гц) ppm.

[568]

31Р-ЯМР (122 МГц, CDCl3) δP=15,36 ppm.

[569]

МСВР: Н/О

[570]

Трет-бутил-(2-((этокси(этинил)фосфорил)тио)этил)карбамат (соединение 9)

[571]

[572]

Соединение 9 получали в соответствии с общей методикой D из 1-этокси-N,N-диизопропил-1-этинилфосфанамина (93 мг, 0,465 ммоль) и трет-бутил-(2-меркаптоэтил)карбамата (82 мг, 0,465 ммоль). В результате очистки путем хроматографии на силикагеле (100% этилацетат ) получали целевое соединение в виде бесцветной маслянистой жидкости (50 мг, 0,17 ммоль, 37%).

[573]

Пример 12: методики синтеза алкенфосфонатов

[574]

Общая методика Е: синтез алкенфосфонатов при помощи способа с PCl3

[575]

В круглодонную колбу вносили 1-этокси-N,N-диизопропил-1-винилфосфанамин (например, 0,3 ммоль), растворяли в сухом ацетонитриле (3 мл) и охлаждали до -40°С. Отдельно готовили раствор спирта (0,3 ммоль) в тетразоле (0,45 М раствор в MeCN, 0,6 ммоль, 1,33 мл) и при перемешивании добавляли к смеси при -40°С. Реакционную смесь перемешивали при -40°С в течение 10 мин, а затем нагревали до КТ и перемешивали в течение дополнительных 30 мин. К смеси добавляли раствор трет-бутилгидропероксида (70 масс. % в H2O, 0,3 ммоль, 86 мкл) при КТ и перемешивали в течение 10 мин. Затем реакционную смесь разбавляли Н2О (10 мл) и экстрагировали ДХМ (3 × 30 мл). Объединенные органические слои сушили над Na2SO4, фильтровали и растворители удаляли при пониженном давлении. Неочищенный продукт очищали путем хроматографии на силикагеле.

[576]

Бензилэтилвинилфосфонат

[577]

[578]

Бензилэтилвинилфосфонат получали в соответствии с общей методикой Е из 1-этокси-N,N-диизопропил-1-винилфосфанамина (25 мг, 0,123 ммоль) и бензилового спирта (12,3 мкл, 0,123 ммоль). В результате очистки путем хроматографии на силикагеле (100% этилацетат) получали целевое соединение в виде бесцветной маслянистой жидкости (2 мг, 0,0088 ммоль, 7%) (низкий выход можно объяснить потерей продукта на стадии обработки в процессе очистки).

[579]

Трет-бутил-(2-((этокси(винил)фосфорил)окси)этил)карбамат

[580]

[581]

Титульное соединение получали в соответствии с общей методикой Е из 1-этокси-N,N-диизопропил-1-винилфосфанамина (201 мг, 1,00 ммоль) и трет-бутил-(2-гидроксиэтил)карбамата (161 мг, 1,00 ммоль). В результате очистки путем хроматографии на силикагеле (100% этилацетат) получали целевое соединение в виде бесцветной маслянистой жидкости (100 мг, 0,358 ммоль, 36%).

[582]

МСВР (ИЭР): вычислено для NaC11H22NO5P [M+Na+]: 302,1133; наблюдали: 302,1120.

[583]

Пример 13: методики синтеза алкинфосфонатов

[584]

Общая методика F: синтез алкинфосфонатов при помощи способа c PCl3

[585]

В круглодонную колбу вносили 1-этокси-N,N-диизопропил-1-этинилфосфанамин (например, 0,3 ммоль), растворяли в сухом ацетонитриле (3 мл) и охлаждали до -40°С. Отдельно готовили раствор спирта (0,3 ммоль) в тетразоле (0,45 М раствор в MeCN, 0,6 ммоль, 1,33 мл) и при перемешивании добавляли к смеси при -40°С. Реакционную смесь перемешивали при -40°С в течение 10 мин, а затем нагревали до КТ и перемешивали в течение дополнительных 30 мин. К смеси добавляли раствор трет-бутилгидропероксида (70 масс. % в Н2О, 0,3 ммоль, 86 мкл) при КТ и перемешивали в течение 10 мин. Затем реакционную смесь разбавляли Н2О (10 мл) и экстрагировали ДХМ (3 × 30 мл). Объединенные органические слои сушили над Na2SO4, фильтровали и растворители удаляли при пониженном давлении. Неочищенный продукт очищали путем хроматографии на силикагеле.

[586]

Бензилэтилэтинилфосфонат

[587]

[588]

Бензилэтилэтинилфосфонат получали в соответствии с общей методикой F из 1-этокси-N,N-диизопропил-1-этинилфосфанамина(25 мг, 0,123 ммоль) и бензилового спирта (12,3 мкл, 0,123 ммоль). В результате очистки путем хроматографии на силикагеле (100% этилацетат) получали целевое соединение в виде бесцветной маслянистой жидкости (27 мг, 0,120 ммоль, 49%).

[589]

Трет-бутил-(2-((этокси(этинил)фосфорил)окси)этил)карбамат

[590]

[591]

Титульное соединение получали в соответствии с общей методикой F из 1-этокси-N,N-диизопропил-1-этинилфосфанамина (201 мг, 1,00 ммоль) и трет-бутил-(2-гидроксиэтил)карбамата (161 мг, 1,00 ммоль). В результате очистки путем хроматографии на силикагеле (100% этилацетат) получали целевое соединение в виде бесцветной маслянистой жидкости (168 мг, 0,601 ммоль, 60%).

[592]

МСВР (ИЭР): вычислено для C11H21NO5P [М+Н+]: 278,1157; наблюдали: 278,1149.

[593]

Пример 14: методики сочетания карбоновых кислот с алкен- и алкинфосфонотиолатами и -фосфонатами

[594]

Общая методика G: получение функционализированных фосфонотиолатов и фосфонатов путем образования амидной связи

[595]

[596]

Вос-защищенные аминопроизводные алкен- и алкинфосфонотиолатов (X=S) или фосфонатов (X=О) (см. схему выше) (например, 0,2 ммоль) растворяли в смеси ТФК/Н2О (95:5, хх мл) и полученный прозрачный раствор перемешивали при КТ в течение 15 мин. Затем растворители удаляли путем продувания раствора азотом. Остаток повторно растворяли в Н2О и подвергали лиофилизации с получением бесцветной маслянистой жидкости. Продукты применяли на следующей стадии без дополнительной очистки. К амину со снятой защитой (например, 0,05 ммоль) добавляли раствор HATU (0,055 ммоль), карбоновой кислоты (0,055 ммоль) и DIPEA (0,15 ммоль) в ДМФА (250 мкл). Полученную смесь перемешивали в течение 30 мин при КТ в пробирке Эппендорф, а затем концентрировали при пониженном давлении. Остаток повторно растворяли в H2O/MeCN (9:1,5 мл) и очищали путем препаративной ВЭЖХ.

[597]

5-((2-(4-((2-((Этокси(этинил)фосфорил)окси)этил)амино)-4-оксобутанамидо)этил)амино)нафталин-1-сульфоновая кислота (соединение 20)

[598]

[599]

Соединение 20 получали в соответствии с общим протоколом G из амина со снятой защитой (14 мг, 0,079 ммоль). После очистки путем ВЭЖХ () и лиофилизации получали чистый продукт в виде бесцветного порошка (18 мг, 0,0342 ммоль, 43%).

[600]

МСВР (ИЭР): вычислено для C22H29N3O8PS [М+Н+]: 526,1413; наблюдали: 526,1387.

[601]

На фигуре 8 представлена кривая УФ-ЖХ очищенного соединения 20.

[602]

5-((2-(4-((2-((Этокси(винил)фосфорил)окси)этил)амино)-4-оксобутанамидо)этил)амино)нафталин-1-сульфоновая кислота (соединение 21)

[603]

[604]

Соединение 21 получали в соответствии с общим протоколом G из амина со снятой защитой (12,9 мг, 0,072 ммоль). После очистки путем ВЭЖХ () и лиофилизации получали чистый продукт в виде бесцветного порошка (10 мг, 0,0190 ммоль, 26%).

[605]

МСВР (ИЭР): вычислено для C22H31N3O8PS [М+Н+]: 528,1570; наблюдали: 528,1543.

[606]

На фигуре 9 представлена кривая УФ-ЖХ очищенного соединения 21.

[607]

5-((2-(4-((2-((Этокси(этинил)фосфорил)тио)этил)амино)-4-оксобутанамидо)этил)амино)нафталин-1-сулъфоновая кислота (соединение 22)

[608]

[609]

Соединение 22 получали в соответствии с общим протоколом G из амина со снятой защитой (11,2 мг, 0,058 ммоль). После очистки путем ВЭЖХ () и лиофилизации получали чистый продукт в виде бесцветного порошка (10 мг, 0,0185 ммоль, 32%).

[610]

МСВР (ИЭР): вычислено для C22H29N3O7PS2 [М+Н+]: 542,1184; наблюдали: 542,1156.

[611]

На фигуре 10 представлена кривая УФ-ЖХ очищенного соединения 22.

[612]

5-((2-(4-((2-((Этокси(винил)фосфорил)тио)этил)амино)-4-оксобутанамидо)этил)амино)нафталин-1-сульфоновая кислота (соединение 23)

[613]

[614]

Соединение 23 получали в соответствии с общим протоколом G из амина со снятой защитой (9,6 мг, 0,049 ммоль). После очистки путем ВЭЖХ () и лиофилизации получали чистый продукт в виде бесцветного порошка (11 мг, 0,0202 ммоль, 41%).

[615]

МСВР (ИЭР): вычислено для C22H31N3O7PS2 [М+Н+]: 544,1341; наблюдали: 544,1316.

[616]

На фигуре 11 представлена кривая УФ-ЖХ очищенного соединения 23.

[617]

О-Этил S-(2-(5-((3aS,4S,6aR)-2-оксогексагидро-1H-тиено[3,4-d]имидазол-4-ил)пентанамидо)этил)винилфосфонотиоат (соединение 13)

[618]

[619]

Соединение 13 получали в соответствии с общим протоколом G из амина со снятой защитой (14,8 мг, 0,076 ммоль). После очистки путем ВЭЖХ () и лиофилизации получали чистый продукт в виде бесцветного порошка (14 мг, 0,033 ммоль, 44%).

[620]

О-Этил S-(2-(5-((3aS,4S,6aR)-2-оксогексагидро-1H-тиено[3,4-d]имидазол-4-ил)пентанамидо)этил)этинилфосфонотиоат (соединение 28)

[621]

[622]

Титульное соединение получали в соответствии с общим протоколом G из амина со снятой защитой (20 мг, 0,104 ммоль). После очистки путем ВЭЖХ () и лиофилизации получали чистый продукт в виде бесцветного порошка (7 мг, 0,0167 ммоль, 16%).

[623]

Пример 15А: методика гидротиолирования алкенфосфонотиолата глутатионом

[624]

Конъюгат (этил-S-бензил-Р-этилфосфонотиолат)-S-глутатион (соединение 14)

[625]

[626]

Восстановленный глутатион (20,3 мг, 0,066 ммоль, 2,0 экв.) растворяли в 1,32 мл водного буфера (1 мМ EDTA, 50 мМ NH4HCO3, рН 8,0), добавляли к раствору S-бензил-О-этилалкен-РТ 2 (8 мг, 0,033 ммоль, 1,0 экв.) в 0,33 мл ДМФА и смесь перемешивали при КТ в течение 90 мин. За протеканием реакции наблюдали при помощи СВЭЖХ-МС (градиент: 3-60% MeCN в течение 5 мин), которая свидетельствовала о полной конверсии за 90 мин. Затем растворители удаляли при пониженном давлении и остаток повторно растворяли в 5 мл Н2О и очищали путем полупрепаративной ВЭЖХ (кислые условия, градиент: 20-60% MeCN в течение 40 мин, продукт элюировался при 35% MeCN, поток: 16 мл/мин). После лиофилизации получали описанное соединение 14 в виде белого порошка (14 мг, 0,026 ммоль, 77%).

[627]

1Н-ЯМР (300 МГц, оксид дейтерия) δ=7,46-7,28 (m, 5Н), 4,50 (dd, J=8,4, 5,3 Гц, 1H), 4,19-3,93 (m, 7Н), 2,90 (dd, J=14,1, 5,3 Гц, 1H), 2,76 (ddd, J=14,1, 8,4, 1,9 Гц, 1H), 2,69-2,47 (m, 4Н), 2,25-2,01 (m, 4Н), 1,26 (t, J=7,1 Гц, 3Н) ppm.

[628]

13С-ЯМР (75 МГц, оксид дейтерия) δ=174,29, 172,82, 172,51, 172,08, 137,34, 128,95, 128,84, 127,95, 63,30, 63,20, 52,79, 52,60, 41,06, 33,90, 32,66, 31,37, 30,93, 25,58, 23,95, 15,38 (d, J=6,5 Гц) ppm.

[629]

31Р-ЯМР (122 МГц, оксид дейтерия) δ 60,51 (d, J=1,9 Гц) ppm.

[630]

МСВР (ИЭР): вычислено для C21H33N3O8PS [М+Н+]: 550,1441; наблюдали: 550,1451.

[631]

Пример 15В: методика гидротиолирования алкенфосфоната глутатионом

[632]

Конъюгат (диэтилфосфонат)-S-глутатион

[633]

[634]

Диэтилалкенфосфонат (20 мг, 0,147 ммоль, 1,0 экв.) растворяли в 1 мл буфера (50 NH4HCO3, 1 мМ EDTA, рН 8,0) и 1 мл ДМФА. К указанной смеси добавляли раствор глутатиона (90,3 мг, 0,294 ммоль, 2,0 экв.) в 9 мл того же буфера (рН доводили до рН 8,0 после растворения GSH) и смесь перемешивали при КТ. При достижении полной конверсии (определяемой путем31Р-ЯМР) реакционную смесь замораживали в жидком азоте, а затем лиофилизировали. Остаток очищали путем полупрепаративной ВЭЖ получением титульного соединения в виде бесцветного порошка (41,6 мг, 0,0882 мм, 60%).

[635]

1Н-ЯМР (300 МГц, ДМСО-d6) δ=8,48 (t, J=5,9 Гц, 1Н), 8,38-8,25 (m, 4Н), 4,49 (td, J=8,9, 4,8 Гц, 1Н), 4,07-3,90 (m, 5Н), 3,76 (d, J=5,8 Гц, 2Н), 2,91 (dd, J=13,8, 4,8 Гц, 1H], 2,71-2,55 (m, 3Н), 2,45-2,23 (m, 2Н), 2,12-1,89 (m, 4Н), 1,23 (t, J=7,0 Гц, 6Н) ppm.

[636]

13С-ЯМР (75 МГц, ДМСО-d6) δ=171,45, 171,39, 171,27, 171,01, 61,70, 61,62, 52,27, 52,07, 34,13, 31,09, 26,95, 26,50, 25,17, 24,82, 16,76, 16,69 ppm.

[637]

31Р-ЯМР (122 МГц, ДМСО-d6) δ=28,58 ppm.

[638]

МСВР: МС-ИЭР (режим определения положительных ионов) m/z 472,1496 [(М+H+; вычислено для C16H31N3O9PS+: 472,1513].

[639]

Пример 16: методика гидротиолирования алкинфосфонотиолата глутатионом

[640]

Конъюгат (метил-S-бензил-Р-этилфосфонотиолат)-S-глутатион (соединение 15)

[641]

[642]

К смеси глутатиона (0,15 ммоль, 23 мг) в забуференном водном растворе (1 мМ EDTA, 50 мМ NH4HCO3, рН=8,5) добавляли соединение 7 в ДМФА (0,75 мл, 100 мМ) и смесь перемешивали на вортексе в течение 4 мин. Затем смесь лиофилизировали, полученный остаток растворяли в MeCN/H2O и очищали путем ВЭЖХ (5-45% MeCN в течение 50 мин). В результате лиофилизации фракций, содержащих продукт, получали титульное соединение 15 в виде бесцветного порошка (16,4 мг, примерно 33%).

[643]

1H-ЯМР (600 МГц, ДМСО-d6) δ=8,47-8,45 (1Н, m), 8,39-8,37 (1Н, m), 7,62-7,51 (1H, ddd, J=49,9 Гц, J=12,3 Гц, J=4,8 Гц), 7,37-7,25 (5Н, m), 5,83-5,78 (1H, ddd, J=21,3 Гц, J=12,2 Гц, J=6,4 Гц), 4,56-4,54 (1H, m), 4,01-3,91 (3Н, m), 3,78-3,77 (2Н, m), 3,77-3,53 (3Н, m), 3,22-3,19 (1H, m), 2,96-2,92 (1Н, m), 2,38-2,31 (2Н, m), 2,07-1,98 (2Н, m) ppm.

[644]

13С-ЯМР(151 МГц, ДМСО-d6) δ=171,07, 170,87, 170,75, 170,02, 137,80, 137,76, 128,87, 128,50, 127,32,118,07, 116,09, 113,62, 112,63, 52,89, 51,63, 51,20, 51,17, 51,13, 40,77, 36,81, 33,37, 30,66, 30,62, 25,88 ppm.

[645]

31Р-ЯМР (122 МГц, ДМСО-d6) δ=41,6 ppm.

[646]

Пример 17: методики синтеза гасящих пар дабцил-EDANS для исследования стабильности

[647]

Общая методика Н синтеза гасящей пары дабцил-EDANS

[648]

[649]

Пептид, содержащий дабцил, синтезировали из амидной смолы Ринка в стандартных условиях твердофазного синтеза пептидов (стратегия Fmoc). Дабцил (в виде карбоновой кислоты) связывали со свободным N-концом смолы с применением HATU в качестве реагента сочетания. Указанный пептид отщепляли от смолы с применением смеси ТФК/TIS/H2O/DTT = 95/2/2/1. Пептид очищали путем полупрепаративной ВЭЖХ.

[650]

Очищенный пептид с дабцилом (например, 2,35 мкмоль) растворяли в водном буфере (50 мМ NH4HCO3, 1 мМ EDTA, рН 8,5) и смешивали с соединением EDANS 20-23 (2,82 мкмоль), растворенном в ДМФА (280 мкл) в пробирке Эппендорф. Реакционную смесь перемешивали при КТ и за протеканием реакции наблюдали при помощи УФ-ЖХ-MS. Затем реакционную смесь разбавляли водой (4,7 мл), очищали путем полупрепаративной ВЭЖХ (10-50% MeCN в течение 45 мин, 0,1% ТФК, поток: 16 мл/мин) и чистые фракции, содержащие продукт, объединяли и лиофилизировали.

[651]

FRET пара EDANS-дабцил (производное алкинфосфоната) (соединение 24)

[652]

[653]

Соединение 24 получали в соответствии с общей методикой Н из соединения EDANS 20 (1,48 мг, 2,82 мкмоль) и пептида с дабцилом (2,5 мг, 2,35 мкмоль). После очистки путем полупрепаративной ВЭЖХ (10-50% MeCN, 0,1% ТФК, 16 мл/мин) и лиофилизации получали продукт в виде красного порошка (3 мг, 2,01 мкмоль, 86%).

[654]

На фигуре 12 представлена кривая УФ-ЖХ очищенного соединения 24.

[655]

FRET пара EDANS-дабцил (производное алкенфосфоната) (соединение 25)

[656]

[657]

Соединение 25 получали в соответствии с общей методикой Н из соединения EDANS 21 (1,49 мг, 2,82 мкмоль) и пептида с дабцилом (2,5 мг, 2,35 мкмоль). После очистки путем полупрепаративной ВЭЖХ (10-50% MeCN, 0,1% ТФК, 16 мл/мин) и лиофилизации получали продукт в виде красного порошка (3 мг, 2,01 мкмоль, 86%).

[658]

На фигуре 13 представлена кривая УФ-ЖХ очищенного соединения 25.

[659]

FRET пара EDANS-дабцил (производное алкинфосфонотиолата) (соединение 26)

[660]

[661]

Соединение 26 получали в соответствии с общей методикой Н из соединения EDANS 22 (1,53 мг, 2,82 мкмоль) и пептида с дабцилом (2,5 мг, 2,35 мкмоль). После очистки путем полупрепаративной ВЭЖХ (10-50% MeCN, 0,1% ТФК, 16 мл/мин) и лиофилизации получали продукт в виде красного порошка (3 мг, 1,87 мкмоль, 80%).

[662]

На фигуре 14 представлена кривая УФ-ЖХ очищенного соединения 26.

[663]

FRET пара EDANS-дабцил (производное алкенфосфонотиолата) (соединение 27)

[664]

[665]

Соединение 27 получали в соответствии с общей методикой Н из соединения EDANS 23 (1,53 мг, 2,82 мкмоль) и пептида с дабцилом (2,5 мг, 2,35 мкмоль). После очистки путем полупрепаративной ВЭЖХ (10-50% MeCN, 0,1% ТФК, 16 мл/мин) и лиофилизации получали продукт в виде красного порошка (3 мг, 1,87 мкмоль, 80%).

[666]

На фигуре 15 представлена кривая УФ-ЖХ очищенного соединения 27.

[667]

Пример 18: методика исследования стабильности из примера 6

[668]

Готовили 0,20 мМ исходный раствор каждого из конъюгатов EDANS-дабцил 24-27 (ФСБ рН 7,4). 5 мкл указанного исходного раствора смешивали с 95 мкл соответствующей матрицы для испытания (ФСБ рН 7,4, свежеприготовленный лизат из клеток HeLa (1 мг/мл), человеческая сыворотка) в 96-луночном планшете (Corning, № 3615) при комнатной температуре (примерно 25°С). Для экспериментов с NaOH соединения (150 мкл 200 мкМ исходного раствора в ФСБ) смешивали с 150 мкл 1 М раствора NaOH в пробирке Эппендорф при комнатной температуре (примерно 25°С). В заданный момент времени 3 мкл указанного раствора смешивали с 5,6 мкл 1 М раствора HCl и 91 мкл ФСБ для нейтрализации в 96-луночном планшете. Флуоресценцию отслеживали в течение 3 дней (для всех условий, кроме NaOH) с применением прибора Safire/Tecan (EDANS: λвозб = 360 нм, λисп = 508 нм). Интенсивности флуоресценции корректировали путем измерения фона (только матрица) и рассчитывали средние значения и стандартные отклонения для трех независимых экспериментов (n=3).

[669]

Пример 19: методика исследования кинетики из примера 5

[670]

[671]

2,5 мкл 20 мМ раствора соответствующего соединения фосфора 20-23 в ДМФА и 5 мкл 1 мМ раствора неконъюгированного EDANS в смеси ДМФА/буфер (1:1) в качестве внутреннего стандарта добавляли к 488 мкл буфера для конъюгации (50 мМ NH4HCO3 и 1 мМ EDTA в сверхчистой воде, рН доводили до 8,5 водным раствором аммиака). Добавляли 5 мкл 10 мМ раствора глутатиона в буфере для начала реакции. Реакцию проводили при комнатной температуре (примерно 25°С). Первый образец (t=0) отбирали перед добавлением глутатиона. Следующие образцы отбирали через 15, 30, 60, 120, 240 и 480 минут. Образцы отбирали в объеме 20 мкл и немедленно разбавляли 80 мкл 50 мМ буфера NaOAc при рН 3,5 для остановки реакции. Указанные образцы подвергали анализу ВЭЖХ с флуоресцентным детектором, инъецируя по 20 мкл (результаты указанного исследования представлены на фигуре 3).

[672]

Пример 20А: методика конъюгации БСА с фосфонотиолатами

[673]

10 мкМ раствора (100 мкл) бычьего сывороточного альбумина (БСА) в буфере (ФСБ, 1 мМ EDTA, рН 7,4 или 50 мМ NH4HCO3, 100 мМ NaCl, 1 мМ EDTA, рН 8,5) смешивали с 1 мкл 100 мМ (соответствует 100 экв.) или 1 мкл раствора соединения 2 или 7 (50 мМ в ДМФА) при 4°С. Реакционную смесь перемешивали в течение 18 ч при 4°С. Затем избыток соединения удаляли путем спинового фильтрования (НОММ 7 кДа), таким образом заменяя буфер на ФСБ рН 7,4. 3 мкл указанного раствора белка (10 мкМ) в ФСБ смешивали с 27 мкл буфера Лэммли, содержащего меркаптоэтанол, грели при 95°С в течение 10 мин и проводили электрофорез с ДСН-гелем (12% акриламид, 250 В, 40 мин). Затем белок подвергали гидролизу в геле с применением химотрипсина и анализировали путем МС/МС (результаты анализа МС/МС приведены в таблице 6).

[674]

Пример 20В: методика конъюгации БСА с фосфонатами

[675]

10 мкМ раствора (100 мкл) бычьего сывороточного альбумина (БСА) в буфере (50 мМ NH4HCO3, 100 мМ NaCl, 1 мМ EDTA, рН 8,5) смешивали с 1 мкл 100 мМ раствора диэтилалкенфосфоната в ДМФА при 4°С. Реакционную смесь перемешивали в течение 18 ч при 4°С. Затем избыток фосфоната удаляли путем спинового фильтрования (НОММ 7 кДа), таким образом заменяя буфер на ФСБ рН 7,4. Затем 3 мкл указанного раствора белка (10 мкМ) в ФСБ смешивали с 27 мкл буфера Лэммли, содержащего меркаптоэтанол, грели при 95°С в течение 10 мин и проводили электрофорез с ДСН-гелем (12% акриламид, 250 В, 40 мин). Затем белок подвергали гидролизу в геле с применением химотрипсина и анализировали путем МС/МС (результаты анализа МС/МС приведены в таблице 1).

[676]

Пример 20: методика конъюгации антитела с фосфонотиолатами

[677]

1,25 мкл 100 мкМ раствора антитела цетуксимаба (в ФСБ) смешивали с 10 мкл ФСБ, содержащим борат (50 мМ борат, рН 8,0), и 1,25 мкл раствора DTT (100 мМ DTT в том же буфере с боратом, рН 8,0). Контрольные образцы готовили аналогично без добавления DTT. Указанные смеси инкубировали на термошейкере в течение 30 мин при 37°С. Затем избыток DTT удаляли с применением эксклюзионной колонки (Thermo Scientific, Zeba™ Micro Spin Desalting Columns, НОММ 7 К, продукт №89877). Сначала эксклюзионные колонки уравновешивали (3×50 мкл в течение 1 мин при 1000 g) буфером для алкилирования (50 мМ NH4HCO3, 1 мМ EDTA, рН=8,5/8,0 или ФСБ, 1 мМ EDTA, рН 7,4). Затем смесь антитело-DTT (12,5 мкл) наносили на уравновешенную колонку и антитело собирали путем центрифугирования (2 мин, 1000 g) в свежую пробирку Эппендорф. К указанному раствору немедленно добавляли 0,25 мкл раствора биотин-РТ (алкен- или алкинфосфонотиолат) (25 мМ раствор в ДМСО) и смеси инкубировали при 4°С в течение ночи на термошейкере.

[678]

3 мкл указанной смеси смешивали с 27 мкл буфера Лэммли, содержащего меркаптоэтанол, и грели при 95°С в течение 10 мин. Затем 10 мкл загружали на ДСН-гель с 12% акриламида и проводили электрофорез при 250 B в течение 35 мин. Затем гель подвергали вестерн-блоттингу с применением коммерчески доступного конъюгата стрептавидин-HRP для гибридизации с модифицированными биотином антителами и непрямого обнаружения биотина при помощи хемилюминесценции.

[679]

Пример 21: модификация eGFP при помощи алкинфосфонотиолатов

[680]

В качестве подтверждения принципиального эксперимента авторы настоящего изобретения использовали вариант eGFP, несущий один доступный для растворителя цистеин, и подвергали его взаимодействию с небольшой молекулой флуоресцентного алкинфосфонотиолата NA1 (соответствующего соединению 22 из примера 14 выше) (фигура 16А) при физиологическом рН. За протеканием реакции наблюдали при помощи МС-ИЭР и при проверке через 14 ч наблюдали полную конверсию без какого-либо заметного образования побочных продуктов (фигура 16В). Указанный результат демонстрирует, что алкинфосфонотиолаты подходят для модификации белков в мягких условиях при физиологическом рН.

[681]

На фигуре 16 представлена: модификация eGFP производным алкинфосфонотиолат-EDANS NA1. А) схема синтеза. В) полная конверсия GFP в целевой продукт, наблюдаемая при помощи МС-ИЭР. Представленный спектр получен непосредственно на реакционной смеси без какой-либо очистки. РТ = фосфонотиолат NA1.

[682]

Пример 22: синтез конъюгатов антитело-лекарственное средство (ADC) при помощи алкинфосфонотиолатов

[683]

Авторы настоящего изобретения также разработали синтез связанного с фосфонотиолатом конъюгата антитело-лекарственное средство (ADC) из очень эффективного антимитотического, тубулин-связывающего цитотоксина монометилауристатина Е (ММАЕ) и CD30-направленного антитела брентуксимаба. Для облегчения высвобождения токсичной полезной нагрузки между антителом и токсином формировали ADC с расщепляемым катепсином В фрагментом (валин-цитрулиновый линкер VC) для получения прямого аналога доступного на рынке ADC Adcetris® (брентуксимаб ведотин) (М.A. Stephen, Blood 2014, 124, 3197-3200). Конструкцию фосфонотиолат-VC-PAB-MMAE NA3 синтезировали из алкинфосфонотиолатной карбоновой кислоты NA2 и VC-PAB-MMAE путем амидного сочетания, как представлено на схеме 12.

[684]

[685]

Затем синтезировали конъюгат антитело-лекарственное средство путем конъюгации NA3 с брентуксимабом. Сначала авторы настоящего изобретения проводили подбор условий для обнаружения условий реакции для получения ADC с отношением лекарственного средства к антителу (DAR) в диапазоне 3-4 для обеспечения возможности сравнения активности ADC, содержащего связанный с фосфонотиолатом ADC, с ADC, одобренным FDA, Adcetris®. В случае Adcetris VC-PAB-MMAE конъюгирован через малеимид с цистеинами брентуксимаба с DAR = 4 (М.A. Stephen, Blood 2014, 124, 3197-3200). Сначала авторы настоящего изобретения восстанавливали межцепочечные дисульфидные связи брентуксимаба с помощью DTT для получения свободных сульфгидрильных групп, которые затем могут взаимодействовать с алкинфосфонотиолатом NA3 (см. фигуру 17А). Избыток DTT удаляли при помощи обессоливающих спин-колонок Zeba™. Для подбора условий авторы настоящего изобретения варьировали концентрацию антитела брентуксимаба (1 и 5 мг/мл), рН при конъюгации (рН 8,5 и 7,4) и количество эквивалентов соединения фосфонотиолат-лекарственное средство NA3 (8,8-100 экв.) и анализировали полученные ADC путем МС-ИЭР после дегликозилирования ферментом PNGase-F и восстановления. DAR оценивали по интенсивностям сигналов масс для видов с тяжелыми и легкими цепями, несущих разную степень модификации. Результаты указанного подбора условий представлены на фигуре 17В. Более высокие концентрации и большие количества эквивалентов фосфонотиолата приводили к более высоким DAR. Конъюгация с алкинфосфонотиолатами также является эффективной при физиологическом рН 7,4. Это может являться преимуществом алкинфосфонотиолатов при конъюгации белков или антител, которые требуют обработки при физиологическом рН, например, по соображениям стабильности.

[686]

На фигуре 17 представлена: модификация брентуксимаба при помощи NA3 (фосфонотиолат-VC-PAB-MMAE). А) Схема реакции восстановления и алкилирования межцепочечных дисульфидов. В) Подбор условий реакции. С) Типичный спектр МС фрагментов антител после дегликозилирования при помощи PNGase-F и восстановления при помощи DTT. Представлен спектр после деконволюции, при этом на вставке представлены необработанные данные. LC: легкая цепь; НС: тяжелая цепь; mod: фосфонотиолат-VC-PAB-MMAE NA3.

[687]

Авторы настоящего изобретения дополнительно охарактеризовывали ADC с DAR = 3,15 при помощи эксклюзионной хроматографии (SEC) (см. фигуру 21). Затем указанный ADC оценивали в стандартном анализе с резазурином, в котором применяли клеточную линию Karpas 299 со сверхэкспрессией CD30 (см. фигуру 18А). ADC брентуксимаб-NA3 демонстрировал сильное ингибирование роста (синяя кривая) и являлся столь же эффективным, как и клинически применяемый ADC Adcetris® (красная кривая), при немного более низком DAR (3,15 по сравнению с 4,0 для Adcetris®). Брентуксимаб индивидуально (зеленая кривая) не демонстрировал ингибирования роста. В качестве контроля для подтверждения селективности по CD30 применяли клеточную линию HL 60 без сверхэкспрессии CD30 (фигура 18В). В указанном случае для всех конструкций не наблюдали ингибирования пролиферации клеток. Взятые вместе, указанные результаты демонстрируют, что алкинфосфонотиолаты являются подходящими линкерами для получения активных ADC, которые обеспечивают селективную гибель антиген-положительных клеточных линий.

[688]

На фигуре 18 представлено: А) повышенное ингибирование роста связанными с ММАЕ ADC на основе брентуксимаба, селективное в отношении клеточной линии Karpas 299 со сверхэкспрессией CD30. На графиках представлена жизнеспособность клеток после 96 часов обработки в зависимости от концентрации антитела. Брентуксимаб индивидуально (зеленый), брентуксимаб-NA3 (синий) и Adcetris® (красный). Karpas 299: клеточная линия со сверхэкспрессией CD30. В) Контроль. Брентуксимаб индивидуально (зеленый), брентуксимаб-NA3 (синий) и Adcetris® (красный). HL 60: клеточная линия с низким уровнем экспрессии CD30.

[689]

Конъюгаты фосфонотиолат-тиол являются более стабильными по сравнению с конъюгатами малеимид-тиол, особенно в присутствии избытка свободных тиолов. Особенно в случае ADC, в которых преждевременное высвобождение токсина из-за тиольного обмена может приводить к повышенной ненаправленной токсичности, что является важным преимуществом способа и соединений, описанных в настоящей заявке.

[690]

При модификации антител, в качестве еще одного преимущества, авторы настоящего изобретения наблюдали улучшенную селективность по цистеину в случае фосфонотиолатов по сравнению с малеимидами при применении такого же количества эквивалентов при физиологическом рН, см. также пример 7В настоящей заявки выше.

[691]

Пример 23: введение фосфонотиолатов в пептид на смоле

[692]

Авторы настоящего изобретения отметили, что фосфонотиолаты, описанные в настоящей заявке, являются высокостабильными в кислых условиях. Таким образом, фосфонотиолаты включали в пептиды путем твердофазного синтеза пептидов (SPPS) на смоле. Это позволяет напрямую вводить электрофил в пептид в процессе SPPS с последующим отщеплением от смолы в кислых условиях.

[693]

Модельный пептид связывали с карбоновой кислотой NA2 через свободный N-конец. После отщепления при помощи 95% ТФК в течение 2 часов продукт можно выделять путем полупрепаративной ВЭЖХ. Таким образом, указанный способ позволяет вводить электрофил в смолу в процессе SPPS. В качестве преимущества, фосфонотиолат не гидролизуется в сильно кислых условиях в процессе отщепления от смолы. Соответственно, фосфонотиолаты являются высокостабильными в кислых условиях (например, при >90% трифторуксусной кислоты (ТФК) в процессе отщепления от смолы).

[694]

Алкинфосфонотиолат-пептид анализировали путем УФ-ЖХ-MS и путем31Р-ЯМР. Примечательно, что пептид присутствует в своей линейной форме, как показано на схеме 13, и не образует цикла при внутримолекулярном тиольном присоединении через цистеиновый остаток.

[695]

[696]

Пример 24: методики модификации eGFP алкинфосфонотиолатом NA1

[697]

Для указанного эксперимента применяли мутант eGFP (eGFP C70MS174C). Проводили экспрессию белка в форме, меченной His, с участком, отщепляемым протеазой. После расщепления полная последовательность представляла собой:

[698]

[699]

На фигуре 19 представлен спектр МС-ИЭР eGFP C70MS174C, который применяли в качестве исходного материала для конъюгации с NA1.

[700]

Методика модификации eGFP при помощи NA1:

[701]

К раствору eGFP в ФСБ рН 7,4 (50 мкл, 1 мг/мл) в пробирке Эппендорф с низким связыванием добавляли алкинфосфонотиолат NA1 (0,72 мкл 25 мМ исходного раствора в ДМСО, 10 экв.) и смесь выдерживали на термошейкере при 14°С и 800 об/мин в течение 14 ч. Достигали полной конверсии, определяемой при помощи МС-ИЭР.

[702]

Пример 25: методики получения конъюгатов антитело-лекарственное средство (ADC) при помощи алкинфосфонотиолатов

[703]

Синтез 4-((2-((этокси(этинил)фосфорил)тио)этил)амино)-4-оксобутановой кислоты (соединение NA2)

[704]

[705]

Соединение NA2 получали в две стадии из Вос-защищенного соединения-предшественника (соединение номер 9, описанное в приведенном выше примере 11). 9 (94 мг, 0,321 ммоль) растворяли в круглодонной колбе в ТФК/H2O 95:5 (3 мл) и перемешивали при КТ в течение 5 мин. Затем реакционную смесь разбавляли H2O (10 мл) и подвергали сублимационной сушке. Сухой неочищенный продукт растворяли в ДМ ФА (1 мл) и добавляли к смеси янтарной кислоты (38 мг, 0,321 ммоль), HATU (122 мг, 0,321) и DIPEA (167 мл, 0,962 ммоль) в ДМФА (1 мл). Полученную смесь перемешивали при КТ в течение 30 мин. Затем растворители удаляли при пониженном давлении и остаток растворяли в смеси MeCN/H2O 1:4, содержащей 0,1% ТФК, и очищали путем полупрепаративной ВЭЖХ (20-60% MeCN в течение 60 мин, поток = 10 мл/мин). В результате сублимационной сушки фракций, содержащих продукт, получали соединение NA2 в виде лиофилизированного порошка (34 мг, 0,116 ммоль, 36%) с примерно 90% чистотой, определяемой при помощи1H-ЯМР. Соединение применяли в последующей реакции без дополнительной очистки.

[706]

МСВР для C10H17NO5PS1+ [М+1H]1+ вычислено: 294,0560, наблюдали: 294,0614.

[707]

1H-ЯМР (300 МГц, CDCl3) δH = 7,22-7,13 (m, 1H), 4,25 (dq, J=9,8, 7,1 Гц, 2Н), 3,76-3,74 (m, 2Н), 3,29 (d, J=12,6 Гц, 1H), 3,25-2,98 (m, 2Н), 2,72-2,51 (m, 4H), 1,50-1,36 (m, 3Н) ppm.

[708]

31Р-ЯМР (122 МГц, CDCl3) δP = 17,1 ppm.

[709]

Синтез алкинфосфонотиолат-Val-Cit-Pab-MMAE (соединение NA3)

[710]

[711]

Соединение NA2 (1,88 мг, 6,41 ммоль), HATU (2,44 мг, 6,41 ммоль) и DIPEA (4,7 мл, 26,7 ммоль) растворяли в ДМФА (100 мл) и добавляли в раствор H2N-Val-Cit-Pab-MMAE (6 мг, 5,34 ммоль) в ДМФА (150 мл) в пробирке Эппендорф. Через 30 мин реакционную смесь разбавляли H2O (4,5 мл), фильтровали и очищали путем полупрепаративной ВЭЖХ (30-99% MeCN в течение 50 мин, поток = 5 мл/мин). После лиофилизации получали описанный продукт NA3 в виде белого порошка (3 мг, 2,14 ммоль, 40%).

[712]

МСВР для C68H109N11O16PS1+ [M+1H]1+ вычислено: 1398,7507, наблюдали: 1398,7201.

[713]

На фигуре 20 представлена чистота по СВЭЖХ-УФ фосфонотиолат-Val-Cit-Pab-MMAE NA3.

[714]

Получение брентуксимаба

[715]

Экспрессию и очистку брентуксимаба проводили, как ранее было опубликовано (A. Stengl, D. Hörl, H. Leonhardt, J. Helma, SLAS Discov 2017, 22, 309-315), с дополнительной конечной очисткой путем гель-фильтрации на Superdex 200 Increase 10/300 производства GE (GE life sciences, USA) с ФСБ и расходом 0,75 мл/мин.

[716]

Методика модификации брентуксимаба по протоколу восстановление/алкилирование

[717]

[718]

Модификацию брентуксимаба проводили путем инкубирования брентуксимаба (конц. = 5 мг/мл, 33,4 мМ) в буфере, содержащем 50 мМ борат натрия и 34 мМ DTT в ФСБ (рН=8,0), общим объемом 300 мкл при 37°С в течение 30 мин в пробирке Эппендорф с низким связыванием. Затем проводили удаление избытка DTT и замену буфера на ФСБ, содержащий 1 мМ EDTA (рН 7,4), с применением 2 мл обессоливающих спин-колонок Zeba™ с НОММ 7K (Thermo Fisher Scientific, Waltham, United States). Затем быстро добавляли 2,45 мкл раствора, содержащего 36 мМ раствор фосфонотиолата NA3 в ДМСО, и смесь интенсивно перемешивали при 800 об/мин и 14°С в течение 16 часов. Избыток фосфонотиолата удаляли путем эксклюзионной хроматографии (Äkta FPLC, колонка Superose 6 Increase 10/300 GL, с ФСБ, 0,8 мл/мин). Фракции, содержащие продукт, объединяли и подвергали стерилизующему фильтрованию. Для анализа ADC 12 мкл 1 мг/мл раствора инкубировали с 1 мкл RapiGest в течение 30 мин при 60°С на термошейкере. Затем добавляли 1 мкл PNGaseF и инкубировали в течение дополнительных 2 ч при 37°С. Наконец, добавляли 1 мкл 10 мМ раствора DTT в ФСБ (рН 7,4) и смесь интенсивно перемешивали в течение 30 мин при 37°С. 10 мкл из указанной смеси разбавляли 30 мкл Н2О и подвергали МС-ИЭР (результат см. на фиг. 2С).

[719]

SEC ADC

[720]

Аналитическую эксклюзионную хроматографию (A-SEC) проводили на системе для СВЭЖХ Vanquish Flex с детектором DAD, сплит-пробоотборником FT (4°C), колоночным отделением Н (25°С) и бинарным насосом F (Thermo Fisher Scientific, USA) с применением колонки MAbPac SEC-1 300 Å, 4×300 мм (Thermo Fisher Scientific, USA) с расходом 0,15 мл/мин. Разделения различных групп ADC/mAb достигали при помощи 30-минутного изократического градиента с применением фосфатного буфера при рН 7 (20 мМ Na2HPO4/NaH2PO4, 300 мМ NaCl, 5 об.%/об.% изопропиловый спирт в качестве подвижной фазы). 8 мкг ADC/mAb загружали в колонку для анализа A-SEC. УФ-хроматограммы записывали при 220 и 280 нм. Количественное определение мономера и ВМК осуществляли после интегрирования площади пика при 220 нм.

[721]

На фигуре 21 представлена эксклюзионная хроматограмма ADC брентуксимаб-NA3.

[722]

Клеточные анализы антипролиферации

[723]

Клеточные линии HL60 и Karpas культивировали в RPMI-1640 с добавлением 10% ФТС и 0,5% смеси пенициллин-стрептомицин. Клеточные линии SKBR3 и MDAMB468 культивировали в DMEM/F12 с добавлением 10% ФТС и 0,5% смеси пенициллин-стрептомицин. Клетки высеивали с плотностью 5*103 клеток/лунка (SKBR3, HL60 и Karpas) или 1*103 клеток/лунка (MDAMB468) в 96-луночный микропланшет для культивирования клеток. Серийные разведения 1:4 ADC или антител осуществляли в среде для культивирования клеток, начиная с конечной концентрации 3 мкг/мл, и переносили в виде дубликатов в соответствующие лунки микропланшета. Планшеты инкубировали в течение 96 ч при 37°С и 5% CO2. Затем добавляли резазурин до конечной концентрации 50 мкМ с последующим инкубированием в течение 3-4 ч при 37°С, 5% СО2. Метаболическое превращение резазурина в резоруфин количественно оценивали по сигналу флуоресценции резоруфина (λвозб = 560 нм, λисп = 590 нм) на микропланшетном ридере Tecan Infinite M1000. Среднее и стандартное отклонение рассчитывали на основе дубликатов, нормализовывали по необработанному контролю и наносили на график зависимости от концентрации антител. Анализ данных проводили с применением программного обеспечения MatLab R2016.

[724]

Пример 26: методики введения фосфонотиолатов в пептид на смоле

[725]

[726]

Пептид с последовательностью AYRCAK синтезировали вручную на амидной смоле Ринка TentaGel S с загрузкой 0,22 г/моль. Сочетание проводили с применением 5 экв. аминокислоты, 5 экв. HCTU, 5 экв. Oxyma и 10 экв. DIPEA в течение 1 ч в ДМФА (концентрация: 0,1 М в расчете на 5 экв. аминокислоты). После каждого сочетания остаточные свободные аминогруппы блокировали при помощи Ac2O. Снятие Fmoc-защиты проводили с применением 20% раствора пиперидина в ДМ ФА.

[727]

Количество смолы, соответствующее 10 мкМ пептида AYRCAK со свободным N-концом, применяли для дальнейшей модификации фосфонотиолатным структурным элементом. Таким образом, пептид набухал в ДМФА (1 мл) в реакторе для синтеза пептидов в течение 2 часов перед добавлением смеси соединения NA2 (120 мкл 250 мМ исходного раствора в ДМФА, 30 мкмоль, 3 экв.), HATU (11,4 мг, 30 мкмоль, 3 экв.) и DIPEA (10,4 мкл, 60 мкмоль, 6 экв.). Указанную смесь интенсивно перемешивали при КТ в течение 1 ч. Отщепление от смолы проводили с применением ТФК/H2O/ТВ (95:2,5:2,5; об.:об.:об., 2 мл) в течение 2 ч. Осаждение продукта проводили в холодном и сухом эфире. Неочищенный продукт очищали путем препаративной обращенно-фазовой С18 ВЭЖХ (10-60% MeCN в H2O + 0,1% ТФК, поток: 10 мл/мин). В результате лиофилизации получали продукт NA4 в виде белого порошка (2,44 мг, 2,48 мкмоль, 25%) и анализировали путем31Р-ЯМР, аналитической СВЭЖХ (5-95% MeCN в H2O, содержащей 0,1% ТФК, в течение 15 мин на колонке RP-C18) и МС-ИЭР.

[728]

МСВР для C40H66N12O11PS21+ [M+1H]1+ вычислено: 985,4148, наблюдали: 985,4152.

[729]

31Р-ЯМР (243 МГц, ДМСО-d6) δP = 14,6 (d, J=6,5 Гц) ppm.

[730]

На фигуре 22 представлена чистота по СВЭЖХ-УФ конъюгата фосфонотиолат-пептид NA4.

[731]

ЗАКЛЮЧЕНИЕ

[732]

Авторы настоящего изобретения продемонстрировали в настоящей заявке, что ненасыщенные фосфонотиолаты и фосфонаты (алкен- и алкинфосфонотиолаты, а также алкен- и алкинфосфонаты) являются подходящими соединениями для реакций цистеинселективной биоконъюгации. Тиольное присоединение происходит быстро в водных условиях, и образующиеся конъюгаты являются стабильными в физиологически значимых условиях. Авторы настоящего изобретения показали, что указанный способ позволяет проводить, например, цистеинселективную модификацию белков (например, БСА) и антител (например, цетуксимаб, брентуксимаб). Приведенные в настоящей заявке результаты демонстрируют, что способ согласно настоящему изобретению, в котором применяют фосфонотиолаты или фосфонаты, превосходит существующие стратегии биоконъюгации цистеина, такие как, например, малеимидные реакции, поскольку настоящая реакция является более селективной в отношении тиолов, и образующиеся конъюгаты демонстрируют лучшую стабильность.

[733]

* * *

[734]

Следует отметить, что применяемые в настоящей заявке формы единственного числа включают ссылки на формы множественного числа, если контекст явно не указывает на иное. Таким образом, например, ссылка на "реагент" включает один или более таких различных реагентов, и ссылка на "способ" включает ссылку на эквивалентные стадии и способы, известные специалистам в данной области техники, которыми можно модифицировать или заменять способы, описанные в настоящей заявке.

[735]

Все публикации и патенты, цитируемые в настоящем описании, включены во всей своей полноте посредством ссылки. В той степени, в которой материал, включенный посредством ссылки, противоречит или не согласуется с настоящим описанием, настоящее описание заменяет любой такой материал.

[736]

Если не указано иное, термин "по меньшей мере", предшествующий серии элементов, следует понимать, как относящийся к каждому элементу в серии. Специалистам в данной области техники понятны или могут быть установлены с применением обычной экспериментальной практики многие эквиваленты конкретных вариантов реализации настоящего изобретения, описанных в настоящей заявке. Полагают, что такие эквиваленты охватываются настоящим изобретением.

[737]

Если контекст не требует иного, во всем объеме настоящего описания и в пунктах формулы изобретения, приведенной ниже, слово "содержать" и варианты, такие как "содержит" и "содержащий", понимают, как включение указанного целого числа, или стадии, или группы целых чисел или стадий, но не исключение любого другого целого числа, или стадии, или группы целых чисел или стадий. При применении в настоящей заявке термин "содержащий" можно заменять термином "состоящий" или иногда термином "имеющий".

[738]

При применении в настоящей заявке термин "состоящий из" исключает любой элемент, стадию или ингредиент, не указанные в заявленном элементе. При применении в настоящей заявке термин "состоящий по существу из" не исключает материалы или стадии, которые существенно не влияют на основные и новые характеристики заявленного элемента. В каждом случае в настоящей заявке любой из терминов "содержащий", "состоящий по существу из" и "состоящий из" может быть заменен любым из двух других терминов.

[739]

В тексте настоящего описания цитируется несколько документов. Каждый из документов, цитируемых в настоящей заявке (включая все патенты, заявки на патенты, научные публикации, спецификации производителей, инструкции и т.д.), выше или ниже, включены в настоящую заявку во всей своей полноте посредством ссылки. Никакую информацию, приведенную в настоящей заявке, не следует считать признанием того, что настоящее изобретение не может быть датировано задним числом на основании предшествующего изобретения.

Как компенсировать расходы
на инновационную разработку
Похожие патенты