Изобретение относится к области сетей связи. Техническим результатом является повышение структурной живучести объединенной транспортной сети связи при одновременном выполнении требований к ее структурным параметрам. В способе определяют количество узлов связи Ni, где
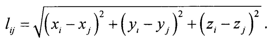
, и координаты их размещения, определяют количество сетевых узлов связи Nk ∈ Ni в каждой из транспортных сетей связи, формируют матрицу расстояний между сетевыми узлами |ljw|, оценивают ограничения на длину линий связи L для соединения между собой сетевых узлов связи Nk, проектируют Z вариантов соединения между собой сетевых узлов связи Nk с помощью линий связи Z, вычисляют для каждого Z варианта соединения сетевых узлов связи Nk суммарную длину линий связи
структурную живучесть S, пропускную способность F многомерных маршрутов передачи сообщений между независимыми друг от друга транспортными сетями связи, формируют матрицу |Gz| из структурных параметров
S и F для каждого Z варианта соединения сетевых узлов связи Nk независимых друг от друга транспортных сетей связи, выбирают из Z вариантов тот вариант, который обеспечивает выполнение требований к структурной живучести S и структурным параметрам
и F. 2 з.п. ф-лы, 6 ил.
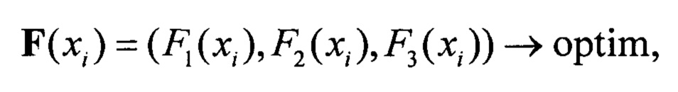
1. Способ соединения структур транспортных сетей связи, в соответствии с которым оценивают пропускную способность канала связи, определяют пропускную способность одномерных маршрутов передачи сообщений, состоящих из множества каналов связи, отличающийся тем, что в каждой транспортной сети связи предварительно определяют количество узлов связи Ni, где 2. Способ по п. 1, отличающийся тем, что определяют количество сетевых узлов связи Nk в каждой из транспортных сетей связи таким образом, чтобы обеспечивалось М независимых многомерных маршрутов передачи сообщений между независимыми транспортными сетями связи. 3. Способ по п. 1, отличающийся тем, что выбирают из Z вариантов вариант по векторному критерию где F1(xi) - суммарная длина линий связи
и координаты их размещения, определяют количество сетевых узлов связи Nk ∈ Ni в каждой из транспортных сетей связи, формируют матрицу расстояний между сетевыми узлами |ljw|, оценивают ограничения на длину линий связи L для соединения между собой сетевых узлов связи Nk, проектируют Z вариантов соединения между собой сетевых узлов связи Nk с помощью линий связи L, вычисляют для каждого Z варианта соединения сетевых узлов связи Nk суммарную длину линий связи
структурную живучесть S, пропускную способность F многомерных маршрутов передачи сообщений между независимыми друг от друга транспортными сетями связи, формируют матрицу |Gz| из структурных параметров
S и F для каждого Z варианта соединения сетевых узлов связи Nk независимых друг от друга транспортных сетей связи, выбирают из Z вариантов тот вариант, который обеспечивает выполнение требований к структурной живучести S и структурным параметрам
и F.
F2(xi) - структурная живучесть S, F3(xi) - пропускная способность F многомерных маршрутов передачи сообщений между независимыми друг от друга транспортными сетями связи.
Изобретение относится к области сетей связи и может быть использовано при проектировании и построении новых или совершенствовании существующих сетей связи. Известен способ моделирования процессов обеспечения технической готовности сетей связи при технической эксплуатации и система для его реализации (См. Патент РФ №2336566, G06N 1/00, опубл. 20.10.2008, бюл. №29), заключающийся в определении схемотехнических характеристик элементов сети связи, установлении их взаимосвязи, описании структуры сети связи, разделении всех связей на основные и резервные, задания произвольных комбинаций повреждений элементов сети связи, определении значения показателя аварийности состояния связей между элементами сети связи, моделировании процесса обеспечения технической готовности при эксплуатации сети связи, имитации различных видов отказов, повреждений и сбоев основных элементов сети связи, замещении поврежденных связей резервными, определении значения показателя восстановления работоспособности сети связи, осуществлении сбора статистики, прогноза технического состояния основных элементов сети связи и расчете основных показателей функционирования сетей связи. Недостатком способа является относительно низкая структурная живучесть объединенной транспортной сети связи при одновременном выполнении требований к ее структурным параметрам, так как структуру каждой из транспортных сетей связи, основные и резервные связи в них описывают отдельно друг от друга, что не позволяет при их соединении выбрать вариант, обеспечивающий требуемую структурную живучесть объединенной транспортной сети связи с одновременным выполнением требований к ее структурным параметрам или выбор наилучшего варианта среди показателей структурных параметров. Известен способ обеспечения устойчивости сетей связи в условиях внешних деструктивных воздействий (См. Патент RU 2379753 С1, МПК G06F 21/20, G06N 3/02, опубликовано 20.01.2010, бюл. №2), заключается в контроле внешних деструктивных воздействий, оценивании пропускной способности и, путем распределения доступного ресурса между абонентами, обеспечении своевременности предоставления информационных услуг. Недостатком способа является относительно низкая структурная живучесть объединенной транспортной сети связи при одновременном выполнении требований к ее структурным параметрам, так как контроль внешних деструктивных воздействий на структуры транспортных сетей связи описывают отдельно друг от друга, а распределение доступного ресурса между абонентами осуществляется для каждой транспортной сети связи, что не позволяет, при соединении данных структур транспортных сетей через сетевые узлы, выбрать вариант, обеспечивающий одновременное выполнение требований к структурной живучести и структурным параметрам сети или выбор наилучшего варианта среди показателей структурных параметров. Наиболее близким аналогом (прототипом) по технической сущности к заявленному изобретению является способ динамической реконфигурации сетей связи с многомерными маршрутами передачи сообщений (См. Патент РФ №2522851, С2. кл. H04W 40/00, опубл. 20.07.2014 г.). Известный способ заключается в том, что в каждом из узлов связи осуществляют контроль качества входящих в узел связи каналов связи, результаты контроля качества каналов связи передают на все узлы связи сети связи, в зависимости от качества канала связи оценивают пропускную способность канала связи, затем определяют пропускную способность одномерных маршрутов передачи сообщений в зависимости от пропускной способности входящих в этот одномерный маршрут каналов связи, далее формируют многомерный маршрут передачи сообщений, по которому передают сообщения, причем вначале в многомерный маршрут включают одномерные маршруты передачи с наибольшей пропускной способностью, затем - одномерные маршруты передачи с меньшей, следующей по величине пропускной способностью и так далее, до тех пор, пока пропускная способность многомерного маршрута передачи не обеспечит передачу сообщений в заданное время с требуемой вероятностью доведения сообщения, и далее передают сообщения по многомерному маршруту передачи, в узлах связи, которые представляют собой источники сообщений, по результатам контроля качества канала связи оценивают также тренд изменения пропускной способности каналов связи, затем оценивают тренд изменения пропускной способности одномерных маршрутов передачи и далее оценивают тренд изменения пропускной способности многомерных маршрутов передачи, при уменьшении пропускной способности многомерного маршрута передачи ниже предельно допустимого значения в многомерный маршрут добавляют одномерные маршруты передачи, начиная с оставшихся одномерных маршрутов передачи с наибольшей пропускной способностью, и так до тех пор, пока пропускная способность многомерного маршрута передачи не достигнет необходимого значения с учетом тренда изменения пропускной способности многомерного маршрута, при формировании одномерных маршрутов передачи при равной пропускной способности каналов связи, сначала выбирают менее загруженные каналы связи, а затем более загруженные каналы связи, при неравной пропускной способности сначала выбирают каналы связи, у которых пропускная способность с учетом их загрузки будет больше, затем выбирают каналы связи с меньшей пропускной способностью с учетом их загрузки. Недостатком способа является относительно низкая структурная живучесть объединенной транспортной сети связи при одновременном выполнении требований к ее структурным параметрам, так как при ее формировании учитывают только пропускные способности одномерных и многомерных маршрутов, при этом не учитывают структурные параметры формируемой объединенной структуры транспортной сети связи, определяемые вариантом соединения между собой сетевых узлов связи независимых друг от друга транспортных сетей связи, а при коммутации многомерных маршрутов не учитывают пропускную способность одномерных маршрутов между сетевыми узлами связи. Техническим результатом при использовании заявленного способа соединения структур транспортных сетей связи, является повышение структурной живучести объединенной транспортной сети связи при одновременном выполнении требований к ее структурным параметрам или выбор наилучшего варианта среди показателей структурных параметров. Технический результат достигается тем, что в известном способе соединения структур транспортных сетей связи, заключающемся в том, что оценивают пропускную способность канала связи, определяют пропускную способность одномерных маршрутов передачи сообщений, состоящих из множества каналов связи, дополнительно в каждой транспортной сети связи предварительно определяют количество узлов связи Ni, где Кроме того, определяют количество сетевых узлов связи Nk в каждой из транспортных сетей связи таким образом, чтобы обеспечивалось М независимых многомерных маршрутов передачи сообщений между независимыми транспортными сетями связи. Кроме того, выбирают из Z вариантов, вариант по векторному критерию где F1(xi) - суммарная длина линий связи Благодаря новой совокупности существенных признаков в заявленном способе реализовано повышение структурной живучести объединенной транспортной сети связи за счет выбора варианта соединения сетевых узлов независимых друг от друга транспортных сетей связи, обеспечивающего требуемую структурную живучесть с одновременным выполнением требований к ее структурным параметрам. Заявленный способ поясняется чертежами, на которых показано: фиг. 1 - фрагмент структур транспортных сетей связи; фиг. 2 - сетевые узлы связи, независимых друг от друга транспортных сетей связи; фиг. 3 - вариант Z1, соединения между собой сетевых узлов связи Nk; фиг. 4 - вариант Z2, соединения между собой сетевых узлов связи Nk; фиг. 5 - вариант Z3, соединения между собой сетевых узлов связи Nk; фиг. 6 - матрица |Gz| из структурных параметров Определяют географические координаты (B,L,H) Qi, Qj ∈ Ni узлов связи, где Рассчитывают расстояния между Ni узлами связи в сети. Производят пересчет геодезических координат каждого из узлов связи в геоцентрическую декартовую систему координат 0XYZ, центр которой совмещен с центром масс Земли, ось 0Z направлена по оси вращения Земли в сторону Северного полюса, ось ОХ лежит в плоскости земного экватора и связана с Гринвичским меридианом G, ось 0Y дополняет систему координат до правой [Перов А.И. Основы построения спутниковых радионавигационных систем. Учеб. пособие для вузов. - М: Радиотехника, 2012. 240 с: ил.]. В СРНС ГЛОНАСС геоцентрическая подвижная система координат определена как П3-90, а в СРНС GPS -WGS-84 [ГОСТ 32453-2013 Межгосударственный стандарт. Глобальная навигационная спутниковая система. Системы координат. Методы преобразований координат определяемых точек]. Рассчитывают геоцентрические координаты Qi и Qj xi=(Ni+Hi)⋅cos(Bi)⋅cos(Li), yi=(Ni+Hi)⋅cos(Bi)⋅sin(Li), zi[(1-е2)N1+Hi]⋅sin(Bi). xJ=(NJ+HJ)⋅cos(Bj)⋅cos(LJ), yj=(Nj+Hj)⋅cos(Bj)⋅sin(Lj), zj=[(1-e2)Nj+Hj]⋅sin(Bj). Рассчитывают расстояния между Qi и Qj Определяют количество сетевых узлов Nk в каждой транспортной сети и длину линий связи L. Под сетевым узлом понимают комплекс технических средств, обеспечивающий соединение сетевых станций первичной сети, образование и перераспределение сетевых трактов, типовых каналов передачи и типовых физических цепей, а также предоставление их вторичным сетям [В.Г. Фокин. Оптические системы передачи и транспортные сети. Учебное пособие. - М.: Эко-Трендз, 2008. - 288 с: ил., стр. 12]. Количество сетевых узлов Nk и длину линий связи L определяют исходя из их либо фактического наличия, либо предполагаемого проекта объединенной структуры сети, а также количеством М независимых многомерных маршрутов передачи сообщений между независимыми транспортными сетями связи (фиг. 2). Одномерным маршрутом передачи в сети связи называют множество каналов связи, образованных оборудованием связи, между двумя инцидентными узлами связи. Многомерным маршрутом передачи сообщения в сети связи называют два и более соединения одномерных независимых маршрутов, по которым передают сообщение. Формируют матрицу расстояний / между узлами связи одним из известных способов, например, приведенных в [Филлипс Д., Гарсиа-Диас А. Методы анализа сетей: Пер. с англ. - М.: Мир, 1984. - 496 с, ил. стр. 18]. Проектируют Z вариантов соединения между собой сетевых узлов Nk с помощью линий связи L. Существует несколько вариантов соединения между собой сетевых узлов Nk: полносвязное, узловое и радиальное. При полносвязном соединении сетевых узлов Nk обеспечивается наибольшая живучесть S → max, но в то же время Для Z2 варианта соединения проектируют двух кольцевую сеть (abu/ 4). Для чего в однокольцевую сеть (фиг. 3) вводят ребро p(i-j), которое разделяет ее на две подсети с условием, что t=p, где t - количество узлов в первой подсети, р- во второй, и по критерию минимальной суммарной длины всех линий. Проектируют двух кольцевую сеть одним из известных способов, например, приведенных в [Гэри М., Джонсон Д. Вычислительные машины и труднорешаемые задачи: Пер. с англ. - М.: Мир, 1982. - 416 с, ил.]. Для Z3 варианта соединения определяют в кольцевой структуре (фиг. 3) сети связи узел связи разветвления, нахождением минимальной медианы графа. Минимальную медиану графа определяют одним из известных способов, например, приведенных в [Кристофидис Н. Теория графов. Алгоритмический подход. М.: Мир, 1978. Ху Т. Целочисленное программирование и потоки в сетях. - М.: Мир, 1974]. Проектируют радиально-узловую структуру сети связи, для чего внутри кольцевой структуры от узла связи разветвления прокладывают линии связи к другим узлам связи (фиг. 5). Для каждого Z варианта соединения Nk узлов связи вычисляют суммарную длину линий связи Для каждого Z варианта соединения Nk узлов связи вычисляют структурную живучесть S. Вычисление структурной живучести осуществляют одним из известных способов, например, подсчетом числа остовных деревьев и матрицы Кирхгофа [Графы и алгоритмы. Алексеев В.Е., Таланов А.В. Национальный Открытый Университет «ИНТУИТ», 2016 - 154 с] по суммарному числу остовных деревьев. Для каждого Z варианта соединения Nk узлов связи вычисляют пропускную способность F многомерных маршрутов передачи сообщений между независимыми друг от друга транспортными сетями связи. Пропускную способность определяют различными известными устройствами, например, встроенными программно-аппаратными средствами установленного в оборудовании на сетевых узлах связи Nk[Оптические телекоммуникационные системы. Учебник для вузов / В.Н. Гордиенко, В.В. Крухмалев, А.Д. Моченов, Р.М. Шарафутдинов. Под ред. профессора В.Н. Гордиенко. - М: Горячая линия - Телеком, 2011. - 368 м.: ил., стр. 12]. В качестве оборудования, устанавливаемого на сетевых узлах, выступают один или несколько сетевых элементов. Под сетевыми элементами понимают изделие с набором функций, которые обеспечивают взаимодействие в сети с другими аналогичными устройствами для организации соединений, их защиты, тестирования, управления [В.Г. Фокин. Оптические системы передачи и транспортные сети. Учебное пособие. - М.: Эко-Трендз, 2008. - 288 с: ил., стр. 151]. К сетевым элементам относят: терминальные мультиплексоры, мультиплексоры доступа (ввода/вывода) к отдельным цифровым потокам высокого и низкого уровней, кроссовые коммутаторы с возможностями любых перекрестных соединений трактов высокого и низкого уровней, регенераторы линейных сигналов и оптические усилители [В.Г. Фокин. Оптические системы передачи и транспортные сети. Учебное пособие. - М.: Эко-Трендз, 2008. - 288 с: ил., стр. 19]. Формируют матрицу |Gz|, состоящую из структурных параметров Пример. На фиг. 1 представлен фрагмент структур объединяемых транспортных сетей связи и размещение в каждой из них по три сетевых узла связи Nk. Матрица расстояний |ljw| между сетевыми узлами связи Nk. Ограничения на длину линий связи L для соединения между собой сетевых узлов связи NkL=70 км. Проектируют Z вариантов соединения между собой сетевых узлов Nk с помощью линий связи L. Расчет варианта Z1 исходя из матрицы расстояний |ljw|, с помощью алгоритма «Коммивояжер», находят Гамильтонов маршрут по критерию Расчет варианта Z2: в кольцевую сеть (фиг. 3) вводят ребро р(i-j), которое разделит ее на две подсети с условием, что t=р, где t - количество узлов в первой подсети, р- во второй, по критерию Расчет варианта Z3: определяют в кольцевой структуре (фиг. 3) сети связи узел связи разветвления k0 (минимальная медиана графа), используя матрицу |ljw| и алгоритм «минисумная задача». Проектируют радиально-узловую структуру сети связи, для чего внутри кольцевой структуры от узла связи разветвления ко прокладывают линии связи к другим узлам связи. Результаты расчета показывают, что узлом k0 проектируемой подсети является узел 2 так, как Результаты расчета структурной живучести S представлены на фиг. 6. Для простоты расчетов пропускная способность F многомерных маршрутов передачи сообщений между независимыми друг от друга транспортными сетями связи равна скорости потока STM-1=155 Мбит/с (см. фиг. 6). Выбирают из Z вариантов то вариант, который обеспечивает выполнение требований к структурной живучести и к структурным параметрам Если заданные требования к структурным параметрам составляют Если заданные требования к структурным параметрам составляют F(xi)=(F1(х1), F2(x1),F3(xi))→optim, где F1(xi) - суммарная длина линий связи Векторные критерии, полученных альтернатив х1, х2, х3 в пространстве критериев принимают следующие значения: F(x1)=(51 2 155) F(x2)=(63 4 155) F(x3)=(87 11 155) Множество возможных вариантов соединения сетевых узлов Xs=X1, Х2, Х3 дискретно и конечно. Использовав алгоритм попарного сравнения альтернатив в критериальном пространстве и аксиому Парето (в терминах решений) [Ногин В. Д. Принятие решений в многокритериальной среде: количественный подход. - М.: Физматлит, 2002. - 144 с], сформировано множество Парето-оптимальных решений Хр. На первом шаге сравнивают альтернативу х1 со всеми остальными решениями. Решения х1 и х2 несравнимы, также как не сравнимы решения X1 и х3. Таким образом Xs после первого шага остается прежним. На втором шаге сравнивают альтернативу Х2 со всеми остальными решениями. Решения Х2 и Х3 несравнимы. Полученное множество возможных решений X1X2X3 состоит из недоминируемых альтернатив и является Парето-оптимальным [Михалевич В.С, Волкович В.Л. Вычислительные методы исследования и проектирования сложных систем. Монография. М.: Наука. Главная редакция Физико-математической литературы, 1982. 288 с.]: ХР=Х1 Х2, Х3. Полученное множество Парето-оптимальных решений Хр состоит из трех альтернатив из которых выбирают единственное эффективное решение с помощью метода идеальной точки [Ланнэ А.А., Улахович Д.А. Многокритериальная оптимизация. - ВАС, 1984. - 94 с]. Для этого все компоненты векторных критериев F(X1), F(X2) и F(Х3) приводят к нормированным (безразмерным) величинам. Векторные критерии Парето-оптимальных решений Хр с нормированными компонентами принимают следующие значения: F(X1)=(1 0,181 1) F(X2)=(1,23 0,36 1) F(X3)=(1,705 1 1) Определяют идеальную точку как вектор, состоящий из максимальных значений каждого показателя качества: Рид=(maxF1(X) maxF2(X) maxF3(X)), при х ∈ Хр Решением задачи многокритериального выбора считают альтернативу, от которой евклидово расстояние до идеальной точки в пространстве критериев минимально: Евклидовы расстояния между идеальной точкой и векторными критериями равны: |F(X1ид) - F|=0,819 |Р(Х2ид) - F|=0,680 |F(X3ид) - F|=0,705 Следовательно, решение Х2, обладающее в пространстве критериев наименьшим расстоянием до идеальной точки, является оптимальным, следовательно, будет выбран вариант соединения сетевых узлов Z2. На основании этих результатов можно сделать вывод, что заявленный способ обеспечивает повышение структурной живучести объединенной транспортной сети связи при одновременном выполнении требований к ее структурным параметрам или выбор наилучшего варианта среди показателей структурных параметров, т.е. реализуется сформулированный технический результат.
и координаты их размещения. Определяют количество сетевых узлов связи Nk ∈ Ni, в каждой из транспортных сетей связи. Формируют матрицу расстояний между сетевыми узлами |ljw|. Оценивают ограничения на длину линий связи L для соединения между собой сетевых узлов связи Nk. Проектируют Z вариантов соединения между собой сетевых узлов связи Nk с помощью линий связи L. Вычисляют для каждого Z варианта соединения сетевых узлов связи Nk суммарную длину линий связи
, структурную живучесть S, пропускную способность F многомерных маршрутов передачи сообщений между независимых друг от друга транспортных сетей связи. Формируют матрицу из структурных параметров
S и F для каждого Z варианта соединения сетевых узлов связи Nk независимых друг от друга транспортных сетей связи, выбирают из Z вариантов тот вариант, который обеспечивает выполнение требований к структурной живучести S и структурным параметрам
и F.
F2(xi) - структурная живучесть S, F3(xi) - пропускная способность F многомерных маршрутов передачи сообщений между независимых друг от друга транспортных сетей связи.
S и F для каждого Z варианта соединения сетевых узлов связи Nk.
в каждой транспортной сети (фиг. 1) в геодезической системе координат [ГОСТ 32453-2013 Межгосударственный стандарт. Глобальная навигационная спутниковая система. Системы координат. Методы преобразований координат определяемых точек]. Определить координаты размещения узлов связи Ni можно с помощью одного из известных способов или устройств, например, с помощью навигационной аппаратуры потребителя «Грот-В» 14Ц821 [Приемоиндикатор возимый «Грот-В» индекс 14Ц821. Руководство по эксплуатации ЦДКТ.464316.448 РЭ].

max. При радиальном соединении между собой сетевых узлов Nkобеспечивается
min но при этом S → min [Портнов Э.Л. Принципы построения первичных сетей и оптические кабельные линии связи. Учебное пособие для вузов. - М.: Горячая линия - Телеком, 2017. - 544 с.; ил.]. Проектируют Z вариантов соединения между собой сетевых узлов Nk. Для Z1 варианта соединения проектируют кольцевую структуру сети связи по критерию минимальной суммарной длины линий
min, причем каждый узел в кольцевой структуре соединяют с другим ближайшим к нему узлом только одной линией связи (фиг. 3). Проектирование кольцевой структуры выполняют одним из известных способов, например, путем решения задачи «Коммивояжер» [Кристофидиес Н. Теория графов. Алгоритмический подход. М.: Мир, 1978, стр. 242].
где ljW - расстояние между каждой парой узлов Nk.
S и F для Z вариантов соединения сетевых узлов связи Nkнезависимых транспортных сетей и выбирают из Z вариантов тот вариант, который обеспечивает выполнение требований к структурным параметрам
S и F или выбирают из Z вариантов, вариант по векторному критерию F(xi)=(Fl(xj),F2(xi),FJ(xi))→optim, где F1(xi) - суммарная длина линий связи
F2(xi) - структурная живучесть S, Р3(xi) - пропускная способность F многомерных маршрутов передачи сообщений между независимыми друг от друга транспортных сетей связи. Выбор из Z вариантов, варианта по векторному критерию производится одним из известных способов и алгоритмов многокритериальной оптимизации, например приведенных в [Ногин В. Д. Принятие решений в многокритериальной среде: количественный подход. - М: Физматлит, 2002. - 144 с, Михалевич В.С, Волкович В.Л. Вычислительные методы исследования и проектирования сложных систем. Монография. М.: Наука. Главная редакция Физико-математической литературы, 1982. 288 с, Ланнэ А.А., Улахович Д. А. Многокритериальная оптимизация. - ВАС, 1984. - 94 с].
Результаты расчета показывают, что
Гамильтонов маршрут Г (1-2-3-4-5-6-1) (фиг. 3).
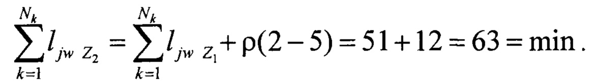
где l(i-j) - длина ребра ρ(i-j). В каждом случае измеряется длина ребра l(i-j) и наименьшее из них является искомым. В результате проведенных расчетов ребро, делящее сеть на две подсети - ρ(2-5) (фиг. 4). При этом: l(2-5)=12=min, а 
Соединяют остальные узлы с узлом 2 и получают радиально-узловую подсеть (фиг. 5). Суммарная длина линий связи сети на фиг. 5 равна 
S и F. Если заданные требования к структурным параметрам составляют
км, S≥6, F≥155 Мбит/с, то будет выбран вариант соединения Z3 (см. фиг. 6).
км, S≥6, F≥155 Мбит/с, при этом чтобы обеспечивалось Мнезависимых многомерных маршрутов передачи сообщений между независимыми транспортными сетями связи М≥3, то выбор будет осуществляться между вариантами Z2 и Z3, так как вариант Z1 обеспечивает всего два независимых многомерных маршрутов передачи сообщений между независимыми транспортными сетями связи.
км, S≥12, F≥155 Мбит/с, то так как ни один из вариантов не обеспечивает требования к заданным структурным параметрам, то из Z вариантов, выбирают вариант по векторному критерию
F2(xi) - структурная живучесть S, F3(xi) - пропускная способность F многомерных маршрутов передачи сообщений между независимыми друг от друга транспортных