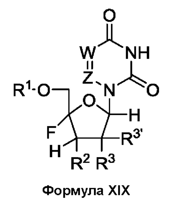
Изобретение относится к композиции для перорального введения для лечения или предупреждения вирусной инфекции, содержащей соединение формулы XXVIII или соединение 1 или 2, указанные ниже, а также к способу лечения или предупреждения вирусной инфекции, включающему пероральное введение эффективного количества такой композиции субъекту, нуждающемуся в этом. В общей формуле XXVIII R1 выбран из Y представляет собой O; R2 представляет собой гидрокси; R3 представляет собой гидрокси; R6, R6’, R6’’ и R6’’’ каждый независимо выбраны из водорода, гидроксила, амино, галогена, С1-С10 алкила или С1-С10 алкокси. Использование изобретения позволяет эффективно лечить вирусные инфекции, такие как тогавирусы, буньявирусы, аренавирусы, коронавирусы, флавивирусы, пикорнавирусы, восточный, западный и венесуэльский лошадиный энцефалит (ЕЕЕ, WEE и VEE соответственно), лихорадку Чикунгунья (CHIK), инфекции вирусов Эбола, гриппа, RSV и вируса Зика. 4 н. и 12 з.п. ф-лы, 9 ил., 1 табл., 85 пр.
; 

1. Композиция для перорального введения для лечения или предупреждения вирусной инфекции, содержащая соединение формулы XXVIII Формула XXVIII или его фармацевтическую или физиологическую соль в эффективном количестве и фармацевтически приемлемое вспомогательное вещество, где R1 выбран из Y представляет собой O; R2 представляет собой гидрокси; R3 представляет собой гидрокси; R6, R6’, R6’’ и R6’’’ каждый независимо выбраны из водорода, гидроксила, амино, галогена, С1-С10 алкила или С1-С10 алкокси. 2. Композиция для перорального введения по п. 1, в которой соединение выбрано из следующих: 3. Композиция для перорального введения по п. 2, в которой соединение представляет собой 4. Способ лечения или предупреждения вирусной инфекции, включающий пероральное введение эффективного количества композиции по п. 1 субъекту, нуждающемуся в этом. 5. Способ по п. 4, отличающийся тем, что вирусная инфекция вызвана вирусом семейства Togaviridae, Coronaviridae, Orthomyxoviridae, Pneumoviridae, Arenaviridae, Bunyaviridae, Flaviviridae или Picornaviridae. 6. Способ по п. 4, отличающийся тем, что вирус выбран из вируса восточного лошадиного энцефалита, вируса западного лошадиного энцефалита, вируса венесуэльского энцефалита лошадей, вируса Чикунгунья, вируса Росс-ривер, коронавируса человека, коронавируса SARS, коронавируса MERS, вируса гриппа A, вируса гриппа B, RSV, вируса Такарибе, вируса Пичинде, вируса Джунин, вируса лихорадки Ласса, вирус лимфоцитарного хориоменингита, вируса лихорадки долины Рифт, вируса Пунта-Торо, вируса Ла-Кросса, вируса Марпол, вируса Хартленда, вируса острой лихорадки с тромбоцитопеническим синдромом, вируса Зика, вируса Денге 1, вируса Денге 2, вируса Денге 3, вируса Денге 4, вируса Западного Нила, вируса желтой лихорадки, вируса японского энцефалита, вируса Повассан, вируса Усуту, вируса клещевого энцефалита, полиовируса, вируса Коксаки, норовируса, вируса Эбола, альфа-вируса, Ортобуниавируса, хантавируса, вируса кори и энтеровируса. 7. Способ по п. 4, в котором композиция содержит соединение, выбранное из следующих: 8. Способ по п. 4, в котором композиция содержит соединение 9. Композиция для перорального введения для лечения или предупреждения вирусной инфекции, содержащая соединение в эффективном количестве и фармацевтически приемлемое вспомогательное вещество. 10. Композиция для перорального введения по п. 9, в которой соединение представляет собой 11. Композиция для перорального введения по п. 9, в которой соединение представляет собой 12. Способ лечения или предупреждения вирусной инфекции, включающий пероральное введение эффективного количества композиции по п. 9 субъекту, нуждающемуся в этом. 13. Способ по п. 12, отличающийся тем, что вирусная инфекция вызвана вирусом семейства Togaviridae, Coronaviridae, Orthomyxoviridae, Pneumoviridae, Arenaviridae, Bunyaviridae, Flaviviridae или Picornaviridae. 14. Способ по п. 12, отличающийся тем, что вирус выбран из вируса восточного лошадиного энцефалита, вируса западного лошадиного энцефалита, вируса венесуэльского энцефалита лошадей, вируса Чикунгунья, вируса Росс-ривер, коронавируса человека, коронавируса SARS, коронавируса MERS, вируса гриппа A, вируса гриппа B, RSV, вируса Такарибе, вируса Пичинде, вируса Джунин, вируса лихорадки Ласса, вирус лимфоцитарного хориоменингита, вируса лихорадки долины Рифт, вируса Пунта-Торо, вируса Ла-Кросса, вируса Марпол, вируса Хартленда, вируса острой лихорадки с тромбоцитопеническим синдромом, вируса Зика, вируса Денге 1, вируса Денге 2, вируса Денге 3, вируса Денге 4, вируса Западного Нила, вируса желтой лихорадки, вируса японского энцефалита, вируса Повассан, вируса Усуту, вируса клещевого энцефалита, полиовируса, вируса Коксаки, норовируса, вируса Эбола, альфа-вируса, Ортобуниавируса, хантавируса, вируса кори и энтеровируса. 15. Способ по п. 12, в котором композиция содержит соединение 16. Способ по п. 12, в котором композиция содержит соединение
;
,
,
,
,
,
,
.
.
, ,
,
,
,
,
,
.
.
или
.
.
.
.
ПЕРЕКРЕСТНАЯ ССЫЛКА НА РОДСТВЕННЫЕ ЗАЯВКИ В настоящей заявке заявлен приоритет относительно предварительной заявки на патент США №62/639725, поданной 7 марта 2018 года и озаглавленной «ТЕРАПЕВТИЧЕСКИЕ КОМПОЗИЦИИ 4'-ГАЛОГЕНСОДЕРЖАЩИХ НУКЛЕОТИДОВ И НУКЛЕОЗИДОВ И ИХ ПРИМЕНЕНИЕ», полное содержание которой включено в настоящий документ посредством ссылки. ЗАЯВЛЕНИЕ О ПОДТВЕРЖДЕНИИ ГОСУДАРСТВЕННОЙ ПОДДЕРЖКИ Настоящее изобретение сделано при государственной поддержке по грантам №HDTRA1-13-C-0072 и HDTRA1-15-C-0075, присвоенным Управлением по сокращению военной угрозы, и по гранту №HHSN272201500008C, присвоенному Национальным институтом по изучению аллергических и инфекционных заболеваний. Государство имеет определенные права на данное изобретение. ОБЛАСТЬ ТЕХНИКИ Настоящее изобретение относится к терапевтическим композициям галогенсодержащих нуклеотидов и нуклеозидов и к их применению. В некоторых вариантах реализации настоящее изобретение относится к лечению или профилактике вирусных инфекций, например, тогавирусов, буньявирусов, аренавирусов, коронавирусов, флавивирусов, пикорнавирусов, восточного, западного и венесуэльского лошадиного энцефалита (ЕЕЕ, WEE и VEE, соответственно), лихорадки Чикунгунья (CHIK), вирусов Эбола, гриппа, RSV и инфекции вируса Зика. УРОВЕНЬ ТЕХНИКИ Каузальными агентами восточного, западного и венесуэльского лошадиного энцефалита (ЕЕЕ, WEE и VEE, соответственно), а также лихорадки Чикунгунья (CHIK) являются трансмиссивные вирусы (семейство Togaviridae, род Alphavirus), которые могут передаваться людям через укусы москитов. Вирусы лошадиного энцефалита, согласно CDC, относятся к категории патогенов В, а вирус CHIK относится к категории С. Существует серьезная озабоченность по поводу использования вирулентных штаммов вируса VEE, доставляемых в виде аэрозоля, в качестве биологического оружия против боевиков. Исследования на животных показали, что заражение вирусом VEE при воздействии аэрозоля быстро приводит к массивному инфицированию головного мозга с высокой смертностью и заболеваемостью. См. Roy et al., Pathogenesis of aerosolized Eastern equine encephalitis virus infection in guinea pigs. Virol J, 2009, 6:170. Существует потребность в новых соединениях и средствах лечения вирусных инфекций. Соединения и способы, предложенные в настоящем документе, направлены на удовлетворение указанной потребности. Ссылки, цитируемые в данном документе, не являются признанием известного уровня техники. СУЩНОСТЬ ИЗОБРЕТЕНИЯ Настоящее изобретение относится к терапевтическим композициям галогенсодержащих, например, 4'-галогенсодержащих нуклеотидов и нуклеозидов и к их применению. Включены нуклеозиды, необязательно конъюгированные с оксидом фосфора, или их соли, пролекарства или соединения-конъюгаты, или их соли, содержащие сложный эфир аминокислоты, липид или сфинголипид, или производное, связанное через оксид фосфора с нуклеотидом или нуклеозидом. В некоторых вариантах реализации настоящее изобретение относится к соединению, имеющему формулу А или к его фармацевтически приемлемой соли, производному или пролекарству, как указано в данном документе. В некоторых вариантах реализации настоящее изобретение предусматривает производные соединений, представленных в данном документе, а именно те, которые содержат один или более одинаковых или различных заместителей. В некоторых вариантах реализации настоящее изобретение предусматривает фармацевтические композиции, содержащие фармацевтически приемлемое вспомогательное вещество и соединение, представленное в данном документе. В некоторых вариантах реализации фармацевтическая композиция представлена в форме таблетки, капсулы, пилюли или водного буфера, такого как солевой или фосфатный буфер. В некоторых вариантах реализации описанные фармацевтические композиции могут содержать соединение, описанное в настоящем документе, и газ-вытеснитель. В некоторых вариантах реализации газ-вытеснитель представляет собой газ-вытеснитель для образования аэрозоля, такой как сжатый воздух, этанол, азот, диоксид углерода, оксид азота (I), гидрофторалканы (ГФА), 1,1,1,2-тетрафторэтан, 1,1,1,2,3,3,3-гептафторпропан или их комбинации. В некоторых вариантах реализации настоящее описание предусматривает контейнер под давлением или без давления, содержащий соединение или фармацевтическую композицию, описанные в данном документе. В некоторых вариантах реализации указанный контейнер представляет собой аэрозольную ручную помпу, ингалятор, ингалятор отмеренных доз, ингалятор сухого порошка, небулайзер, небулайзер с вибрирующей сеткой, струйный небулайзер или ультразвуковой небулайзер. В некоторых вариантах реализации настоящее изобретение относится к способам улучшения биодоступности для лечения или предупреждения вирусной инфекции, включающим введение эффективного количества соединения или фармацевтической композиции, описанных в настоящем документе, субъекту, нуждающемуся в этом. В некоторых вариантах реализации настоящее изобретение относится к способам лечения или предупреждения вирусной инфекции, включающим введение эффективного количества соединения или фармацевтической композиции, описанных в настоящем документе, субъекту, нуждающемуся в этом. В некоторых вариантах реализации вирусная инфекция представляет собой тогавирусы, буньявирусы, аренавирусы, коронавирусы, флавивирусы, пикорнавирусы, инфекцию вируса Зика, восточный, западный и венесуэльский лошадиный энцефалит (ЕЕЕ, WEE и VEE, соответственно), лихорадку Чикунгунья (CHIK), вирусы Эбола, грипп и RSV. В некоторых вариантах реализации предложенное соединение или фармацевтическую композицию вводят перорально, внутривенно или через легкие, т.е. посредством пульмонального введения. В некоторых вариантах реализации настоящее изобретение относится к применению соединения, описанного в данном документе, для получения лекарственного средства для лечения или предупреждения вирусной инфекции, такой как восточный, западный и венесуэльский лошадиный энцефалит (ЕЕЕ, WEE и VEE, соответственно), лихорадка Чикунгунья (CHIK), вирусы Эбола, грипп, RSV или инфекция вируса Зика. В некоторых вариантах реализации настоящее изобретение относится к способам получения соединений, описанных в настоящем документе, посредством смешивания исходных материалов и реагентов, описанных в данном документе, в таких условиях, которые приводят к образованию указанных соединений. Дополнительные преимущества частично представлены далее в следующем описании, и частично понятны из этого описания или могут быть изучены при практическом осуществлении аспектов, представленных ниже. Преимущества, описанные ниже, будут реализованы и достигнуты с помощью элементов и комбинаций, конкретно указанных в прилагаемой формуле изобретения. Следует понимать, что изложенное выше общее описание и следующее подробное описание являются лишь иллюстративными и пояснительными, и не являются ограничивающими. КРАТКОЕ ОПИСАНИЕ ЧЕРТЕЖЕЙ На фиг.1 представлена стабильность EIDD-02749 в метаноле. На фиг.2 представлена стабильность EIDD-02749 в воде. На фиг.3 представлена стабильность EIDD-02749 в 0,1 н. HCl. На фиг.4 представлена стабильность EIDD-02749 в PBS при рН 7,4. На фиг.5 представлена стабильность EIDD-02749 в буфере при рН 9. На фиг.6 представлены концентрации трифосфата в клетках Huh-7, инкубированных с EIDD-02749 или пролекарством. На фиг.7 представлены концентрации трифосфата в клетках Vero, инкубированных с EIDD-02749 или пролекарством. На фиг.8 представлены ФК кривые в плазме мышей CD-1, которым вводили однократную дозу EIDD-02749 при 50, 150 и 500 мг/кг РО или 10 мг/кг IP. На фиг.9 показано изменение массы тела мышей AG129, которым вводили дозы по 10, 30 и 100 мг/кг EIDD-02749 QD в течение 10 дней. ПОДРОБНОЕ ОПИСАНИЕ ИЗОБРЕТЕНИЯ Прежде чем описать настоящее изобретение более подробно, следует понимать, что данное описание не ограничено конкретными описанными вариантами реализации и, следовательно, может, конечно, варьироваться. Также следует понимать, что терминология, используемая в данном документе, предназначена для описания лишь конкретных вариантов реализации и она не является ограничивающей, следовательно, данное изобретение ограничено лишь прилагаемой формулой изобретения. Если не определено иное, все технические и научные термины, используемые в данном документе, имеют то же значение, которое обычно подразумевается специалистом в области техники, к которой относится данное изобретение. Несмотря на то, что при практическом осуществлении или испытании настоящего изобретения могут быть использованы также любые способы и материалы, такие же, как описаны в настоящем документе, или их эквиваленты, далее будут описаны предпочтительные способы и материалы. Все публикации и патенты, цитируемые в данном документе, включены в него посредством ссылки, как если бы каждая отдельная публикация или патент были специально и в отдельности указаны, как включенные посредством ссылки, и включены в данный документ посредством ссылки для раскрытия и описания способов и/или материалов, в связи с которыми цитированы данные публикации. Цитирование любой публикации предназначено для ее описания до даты подачи, и его не следует толковать как признание того, что данное изобретение не имеет права предшествовать такой публикации в силу предшествующего изобретения. Кроме того, приведенные даты публикаций могут отличаться от фактических дат публикаций, для которых может потребоваться независимое подтверждение. Специалистам в данной области техники, при прочтении данного описания, станет понятно, что каждый из независимых вариантов реализации описанных и проиллюстрированных в данном документе, имеет отдельные компоненты и признаки, которые можно без труда выделить или объединить с признаками любого из нескольких других вариантов реализации без отступления от объема и сущности данного изобретения. Любой из перечисленных способов может быть осуществлен в порядке перечисленных действий или в любом другом порядке, который является логически возможным. В вариантах реализации настоящего изобретения использованы, если не указано иное, технологии из области медицины, органической химии, биохимии, молекулярной биологии, фармакологии и т.п., которые известны в данных областях техники. Такие технологии подробно описаны в литературе. Настоящее изобретение относится к терапевтическим композициям 4'-галогенсодержащих нуклеотидов и нуклеозидов и к их применению. В некоторых вариантах реализации настоящее изобретение относится к нуклеозидам, необязательно конъюгированным с оксидом фосфора, или их солям. В некоторых вариантах реализации настоящее изобретение относится к соединениям-конъюгатам или их солям, содержащим сложный эфир аминокислоты, липид или сфинголипид, или производное, связанное через оксид фосфора с нуклеотидом или нуклеозидом. В некоторых вариантах реализации настоящее изобретение предусматривает фармацевтические композиции, содержащие указанные соединения, для применения для лечения инфекционных заболеваний, вирусных инфекций и рака. В некоторых вариантах реализации настоящее изобретение относится к фосфороксидным пролекарствам 4'-галогенсодержащих нуклеозидов для лечения вирусных инфекций с положительно-смысловой и с отрицательно-смысловой нитью РНК посредством направленного воздействия на кодируемую вирусом РНК-зависимую РНК-полимеразу (RdRp). В настоящем изобретении также предложено общее применение липидов и сфинголипидов для доставки нуклеозидных аналогов для лечения инфекционных заболеваний и рака. В некоторых вариантах реализации настоящее изобретение относится к соединениям-конъюгатам или их солям, содержащим сфинголипид или производное, связанное через оксид фосфора с нуклеотидом или нуклеозидом. В некоторых вариантах реализации оксид фосфора представляет собой фосфат, фосфонат, полифосфат или полифосфонат, причем указанный фосфат, фосфонат или фосфат в полифосфате или полифосфонате необязательно представляет собой фосфотиоат или фосфорамидат. В некоторых вариантах реализации липид или сфинголипид ковалентно связан с оксидом фосфора через аминогруппу или гидроксильную группу. Указанный нуклеотид или нуклеозид содержит гетероцикл, содержащий два или более гетероатомов азота, причем замещенный гетероцикл необязательно замещен одним или более одинаковыми или различными алкилами, галогенами или циклоалкилами. В некоторых вариантах реализации сфинголипид представляет собой насыщенный или ненасыщенный 2-аминоалкил или 2-аминооктадекан, необязательно замещенный одним или более заместителями. В некоторых вариантах реализации сфинголипидное производное представляет собой насыщенный или ненасыщенный 2-аминооктадекан-3-ол, необязательно замещенный одним или более заместителями. В некоторых вариантах реализации сфинголипидное производное представляет собой насыщенный или ненасыщенный 2-аминооктадекан-3,5-диол, необязательно замещенный одним или более заместителями. В некоторых вариантах реализации настоящее изобретение предусматривает фармацевтические композиции, содержащие любые соединения, описанные в данном документе, и фармацевтически приемлемое вспомогательное вещество. В некоторых вариантах реализации фармацевтическая композиция представлена в форме пилюли, капсулы, таблетки или солевого буфера, содержащего сахарид. В некоторых вариантах реализации предложенная композиция может содержать второй активный агент, такой как агент для облегчения боли, противовоспалительный агент, нестероидный противовоспалительный агент, противовирусный агент, антибиотик или противораковый агент. В некоторых вариантах реализации настоящее изобретение относится к способам лечения или предупреждения инфекции, включающим введение эффективного количества соединения, описанного в настоящем документе, субъекту, нуждающемуся в этом. Обычно у субъекта диагностирован или присутствует риск инфицирования вирусами, бактериями, грибками, простейшими или паразитами. В некоторых вариантах реализации настоящее изобретение относится к способам лечения вирусной инфекции, включающим введение эффективного количества фармацевтической композиции, описанной в настоящем документе, субъекту, нуждающемуся в этом. В некоторых вариантах реализации субъектом является млекопитающее, например, человек. В некоторых вариантах реализации у субъекта диагностирована хроническая вирусная инфекция. В некоторых вариантах реализации введение осуществляют в таких условиях, что вирусная инфекция уже не обнаруживается. В некоторых вариантах реализации у субъекта диагностирован РНК-вирус, ДНК-вирус или ретровирусы. В некоторых вариантах реализации у субъекта диагностирован вирус, который представляет собой вирус с двухцепочечной ДНК, вирус со смысловой одноцепочечной ДНК, вирус с двухцепочечной РНК, вирус со смысловой одноцепочечной РНК, вирус с антисмысловой одноцепочечной РНК, ретровирус со смысловой одноцепочечной РНК или ретровирус с двухцепочечной ДНК. В некоторых вариантах реализации у субъекта диагностирован вирус гриппа А, включая подтипы H1N1, H3N2, H7N9 или H5N1, вирус гриппа В, вирус гриппа С, ротавирус А, ротавирус В, ротавирус С, ротавирус D, ротавирус Е, человеческий коронавирус, коронавирус SARS, коронавирус MERS, различные типы аденовируса человека (HAdV-1 - 55), папилломавирус человека (HPV) типов 16, 18, 31, 33, 35, 39, 45, 51, 52, 56, 58 и 59, парвовирус В19, вирус контагиозного моллюска, вирус JC (JCV), вирус ВК, полиомавирус клеток Меркеля, вирус Коксаки А, вирус Коксаки В, норовирус, вирус краснухи, вирус лимфоцитарного хориоменингита (LCMV), Чикунгунья, вирус восточного лошадиного энцефалита (EEEV), вирус западного лошадиного энцефалита (WEEV), вирус венесуэльского лошадиного энцефалита (VEEV), вирус Россривер, вирус леса Барма, вирус кори, вирус паротита, респираторно-синцитиальный вирус, вирус чумы, вирус калифорнийского энцефалита, хантавирус, вирус бешенства, вирус Эбола, марбургский вирус, вирус простого герпеса-1 (HSV-1), вирус простого герпеса-2 (HSV-2), вирус ветряной оспы (VZV), вирус Эпштейна-Барра (EBV), цитомегаловирус (CMV), лимфотропный вирус герпеса, розеоловирус или герпесвирус, ассоциированный с саркомой Капоши, гепатит А, гепатит В, гепатит D, гепатит Е или вирус иммунодефицита человека (ВИЧ). В некоторых вариантах реализации у субъекта диагностирован вирус гриппа А, включая подтипы H1N1, H3N2, H7N9, H5N1 (низкопатогенный) и H5N1 (высокопатогенный), вирус гриппа В, вирус гриппа С, ротавирус А, ротавирус В, ротавирус С, ротавирус D, ротавирус Е, коронавирус SARS, MERS-CoV, различные типы аденовируса человека (HAdV-1 -55), папилломавирус человека (HPV) типов 16, 18, 31, 33, 35, 39, 45, 51, 52, 56, 58 и 59, парвовирус В19, вирус контагиозного моллюска, вирус JC (JCV), вирус ВК, полиомавирус клеток Меркеля, вирус Коксаки А, вирус Коксаки В, норовирус, вирус краснухи, вирус лимфоцитарного хориоменингита (LCMV), вирус кори, вирус паротита, респираторно-синцитиальный вирус, вирусы парагриппа 1 и 3, вирус чумы, Чикунгунья, вирус восточного лошадиного энцефалита (EEEV), вирус венесуэльского лошадиного энцефалита (VEEV), вирус западного лошадиного энцефалита (WEEV), вирус калифорнийского энцефалита, вирус лихорадки долины Рифт (RVFV), вирус Хартленда, вирус Ла-Кросса, вирус Марпол, вирус острой лихорадки с тромбоцитопеническим синдромом, вирус Пичинде, хантавирус, вирус Такарибе, Джунин, вирус бешенства, вирус Эбола, марбургский вирус, аденовирус, вирус простого герпеса-1 (HSV-1), вирус простого герпеса-2 (HSV-2), вирус ветряной оспы (VZV), вирус Эпштейна-Барра (EBV), цитомегаловирус (CMV), лимфотропный вирус герпеса, розеоловирус или герпесвирус, ассоциированный с саркомой Капоши, гепатит А, гепатит В, гепатит D, гепатит Е или вирус иммунодефицита человека (ВИЧ). В некоторых вариантах реализации настоящее изобретение относится к применению соединений, описанных в данном документе, для получения или производства лекарственного средства для лечения или предупреждения инфекционного заболевания, вирусной инфекции или рака. В некоторых вариантах реализации настоящее изобретение относится к производным соединений, описанных в данном документе, или любой из формул. В вариантах реализации настоящего изобретения использованы, если не указано иное, технологии из области медицины, органической химии, биохимии, молекулярной биологии, фармакологии и т.п., которые известны в данных областях техники. Такие технологии подробно описаны в литературе. В некоторых вариантах реализации в способах, описанных в настоящем документе, вводят фармацевтический агент, который может быть в форме соли или пролекарства, что указано массой. Это относится к массе указанного соединения. В случае формы соли или пролекарства, масса представляет собой молярный эквивалент соответствующей соли или пролекарства. Следует отметить, что в настоящем описании и прилагаемой формуле изобретения формы единственного числа включают ссылку на множественное число, если из контекста очевидно не следует обратное. В настоящем описании и следующей формуле изобретения сделаны ссылки на многочисленные термины, которые следует понимать в соответствии со следующими значениями, если противоположный смысл не является очевидным. Перед описанием различных вариантов реализации представлены следующие определения, и их следует использовать, если не указано иное. В контексте данного документа, термин «дейтерий» или «D» относится к изотопному избытку D относительно Н (водорода), составляющему по меньшей мере 50%, по меньшей мере 75% или по меньшей мере 90%. В контексте данного документа, термин «оксид фосфора» относится к любому множеству химических фрагментов, которые содержат связь фосфор-кислород (Р-O или Р=O). При их использовании в данном контексте в качестве линкерных групп, связанные молекулы могут быть связаны с атомами кислорода или непосредственно с атомами фосфора. Данный термин включает, но не ограничивается ими, фосфаты, в которых фосфор обычно связан с четырьмя атомами кислорода, и фосфонаты, в которых фосфор обычно связан с одним атомом углерода и тремя атомами кислорода. «Полифосфат» обычно относится к фосфатам, связанным друг с другом по меньшей мере одной связью фосфор-кислород-фосфор (Р-О-Р). «Полифосфонат» относится к полифосфату, который содержит по меньшей мере одну связь фосфор-углерод (С-Р-О-Р). Помимо наличия связи фосфор-кислород, оксиды фосфора могут содержать связь фосфортиол (P-S или P=S) и/или связь фосфор-амин (P-N), соответственно, они упомянуты как фосфотиоат или фосфорамидат. В оксидах фосфора атом кислорода может образовывать двойную или одинарную связь с фосфором или их комбинации, и атом кислорода может быть дополнительно связан с другими атомами, такими как углерод, или может существовать в форме аниона, который уравновешен катионом, например, металла или четвертичного амина. «Субъект» относится к любому животному, предпочтительно к человеку-пациенту, сельскохозяйственному животному или домашнему питомцу. В контексте данного документа, термины «предупреждать» и «предупреждение» включают предотвращение рецидива, распространения или возникновения. Это не значит, что настоящее изобретение ограничено полным предотвращением. В некоторых вариантах реализации происходит задержка возникновения или облегчение тяжести заболевания. В контексте данного документа, термины «лечить» и «лечение» не ограничены тем случаем, в котором вылечен субъект (например, пациент) и устранено заболевание. Скорее, варианты реализации настоящего изобретения предусматривают также лечение, которое лишь облегчает симптомы и/или замедляет развитие заболевания. В контексте данного документа, термин «в комбинации с», используемый для описания введения с дополнительными средствами лечения, означает, что данный агент может быть введен до, вместе или после дополнительного лечения, или в комбинации указанных приемов. В контексте данного документа, «алкил» означает неразветвленные или разветвленные насыщенные углеводородные фрагменты, такие как те, которые содержат от 1 до 10 атомов углерода. «Высший алкил» относится к насыщенному углеводороду, содержащему 11 или более атомов углерода. «C6-C16» относится к алкилу, содержащему от 6 до 16 атомов углерода. Аналогично, «С6-С22» относится к алкилу, содержащему от 6 до 22 атомов углерода. Иллюстративные насыщенные неразветвленные алкилы включают метил, этил, н-пропил, н-бутил, н-пентил, н-гексил, н-септил, н-октил, н-нонил и т.п.; а насыщенные разветвленные алкилы включают изопропил, втор-бутил, изобутил, трет-бутил, изопентил и т.п. В контексте данного документа, термин «алкенил» относится к ненасыщенным неразветвленным или разветвленным углеводородным фрагментам, содержащим двойную связь. Если не указано иное, предусмотрены С2-С24 (например, C2-C22, С2-С20, C2-C18, C2-C16, C2-C14, C2-C12, С2-С10, C2-C8, C2-C6 или С2-С4) алкенильные группы. Алкенильные группы могут содержать более одной ненасыщенной связи. Примеры включают этенил, 1-пропенил, 2-пропенил, 1-метилэтенил, 1-бутенил, 2-бутенил, 3-бутенил, 1-метил-1-пропенил, 2-метил-1-пропенил, 1-метил-2-пропенил, 2-метил-2-пропенил, 1-пентенил, 2-пентенил, 3-пентенил, 4-пентенил, 1-метил-1-бутенил, 2-метил-1-бутенил, 3-метил-1-бутенил, 1-метил-2-бутенил, 2-метил-2-бутенил, 3-метил-2-бутенил, 1-метил-3-бутенил, 2-метил-3-бутенил, 3-метил-3-бутенил, 1,1-диметил-2-пропенил, 1,2-диметил-1-пропенил, 1,2-диметил-2-пропенил, 1-этил-1-пропенил, 1-этил-2-пропенил, 1-гексенил, 2-гексенил, 3-гексенил, 4-гексенил, 5-гексенил, 1-метил-1-пентенил, 2-метил-1-пентенил, 3-метил-1-пентенил, 4-метил-1-пентенил, 1-метил-2-пентенил, 2-метил-2-пентенил, 3-метил-2-пентенил, 4-метил-2-пентенил, 1-метил-3-пентенил, 2-метил-3-пентенил, 3-метил-3-пентенил, 4-метил-3-пентенил, 1-метил-4-пентенил, 2-метил-4-пентенил, 3-метил-4-пентенил, 4-метил-4-пентенил, 1,1-диметил-2-бутенил, 1,1-диметил-3-бутенил, 1,2-диметил-1-бутенил, 1,2-диметил-2-бутенил, 1,2-диметил-3-бутенил, 1,3-диметил-1-бутенил, 1,3-диметил-2-бутенил, 1,3-диметил-3-бутенил, 2,2-диметил-3-бутенил, 2,3-диметил-1-бутенил, 2,3-диметил-2-бутенил, 2,3-диметил-3-бутенил, 3,3-диметил-1-бутенил, 3,3-диметил-2-бутенил, 1-этил-1-бутенил, 1-этил-2-бутенил, 1-этил-3-бутенил, 2-этил-1-бутенил, 2-этил-2-бутенил, 2-этил-3-бутенил, 1,1,2-триметил-2-пропенил, 1-этил-1-метил-2-пропенил, 1-этил-2-метил-1-пропенил и 1-этил-2-метил-2-пропенил. Термин «винил» относится к группе, имеющей структуру -СН=СН2; 1-пропенил относится к группе со структурой -СН=СН-СН3; и 2-пропенил относится к группе со структурой -СН2-СН=СН2. Предусмотрено, что асимметричные структуры, такие как (Z1Z2)C=C(Z3Z4), включают и Е, и Z изомеры. Это может предполагаться в структурных формулах данного контекста, в которых присутствует асимметричный алкен, или может быть указано в явном виде символом связи С=С. В контексте данного документа, термин «алкинил» относится к неразветвленным или разветвленным углеводородным фрагментам, содержащим тройную связь. Если не указано иное, предусмотрены С2-С24 (например, С2-С24, С2-С20, C2-C18, C2-C16, C2-C14, C2-C12, С2-С10, C2-C8, C2-C6 или С2-С4) алкинильные группы. Алкинильные группы могут содержать более одной ненасыщенной связи. Примеры включают C2-C6-алкинил, такой как этинил, 1-пропинил, 2-пропинил (или пропаргил), 1-бутинил, 2-бутинил, 3-бутинил, 1-метил-2-пропинил, 1-пентинил, 2-пентинил, 3-пентинил, 4-пентинил, 3-метил-1-бутинил, 1-метил-2-бутинил, 1-метил-3-бутинил, 2-метил-3-бутинил, 1,1-диметил-2-пропинил, 1-этил-2-пропинил, 1-гексинил, 2-гексинил, 3-гексинил, 4-гексинил, 5-гексинил, 3-метил-1-пентинил, 4-метил-1-пентинил, 1-метил-2-пентинил, 4-метил-2-пентинил, 1-метил-3-пентинил, 2-метил-3-пентинил, 1-метил-4-пентинил, 2-метил-4-пентинил, 3-метил-4-пентинил, 1,1-диметил-2-бутинил, 1,1-диметил-3-бутинил, 1,2-диметил-3-бутинил, 2,2-диметил-3-бутинил, 3,3-диметил-1-бутинил, 1-этил-2-бутинил, 1-этил-3-бутинил, 2-этил-3-бутинил и 1-этил-1-метил-2-пропинил. Неароматические моно- или полициклические алкилы упомянуты в данном контексте как «карбоциклы» или «карбоциклильные» группы. Иллюстративные насыщенные карбоциклы включают циклопропил, циклобутил, циклопентил, циклогексил и т.п.; а ненасыщенные карбоциклы включают циклопентенил и циклогексенил и т.п. «Гетерокарбоциклы» или «гетерокарбоциклильные» группы представляют собой карбоциклы, которые содержат от 1 до 4 гетероатомов, независимо выбранных из азота, кислорода и серы, которые могут быть насыщенными или ненасыщенными (но не ароматическими), моноциклическими или полициклическими, и при этом гетероатомы азота и серы могут быть необязательно окислены, а гетероатом азота может быть необязательно кватернизован. Гетерокарбоциклы включают морфолинил, пирролидинонил, пирролидинил, пиперидинил, гидантоинил, валеролактамил, оксиранил, оксетанил, тетрагидрофуранил, тетрагидропиранил, тетрагидропиридинил, тетрагидропиримидинил, тетрагидротиофенил, тетрагидротиопиранил, тетрагидропиримидинил, тетрагидротиофенил, тетрагидротиопиранил и т.п. Термин «арил» относится к ароматическим гомоциклическим (т.е. углеводородным) группам, содержащим моно-, би- или трициклические кольца, предпочтительно содержащим от 6 до 12 членов, таким как фенил, нафтил и бифенил. Фенил является предпочтительной арильной группой. Термин «замещенный арил» относится к арильным группам, замещенным одной или более группами, предпочтительно выбранными из алкила, замещенного алкила, алкенила (необязательно замещенного), арила (необязательно замещенного), гетероцикло (необязательно замещенного), галогена, гидрокси, алкокси (необязательно замещенного), арилокси (необязательно замещенного), алканоила (необязательно замещенного), ароила (необязательно замещенного), сложного алкилового эфира (необязательно замещенного), сложного арилового эфира (необязательно замещенного), циано, нитро, амино, замещенного амино, амидо, лактама, мочевины, уретана, сульфонила и т.п., причем необязательно одна или более пар заместителей вместе с атомами, с которыми они связаны, образуют 3-7-членное кольцо. В контексте данного документа, термины «гетероарил» или «гетероароматический» относятся к ароматическому гетерокарбоциклу, содержащему от 1 до 4 гетероатомов, выбранных из азота, кислорода и серы, и содержащему по меньшей мере 1 атом углерода, включая моно- и полициклические кольцевые системы. Полициклические кольцевые системы могут, но не необязательно должны содержать одно или более неароматических колец, при условии, что одно из колец является ароматическим. Иллюстративными гетероарилами являются фурил, бензофуранил, тиофенил, бензотиофенил, пирролил, индолил, изоиндолил, азаиндолил, пиридил, хинолинил, изохинолинил, оксазолил, изоксазолил, бензоксазолил, пиразолил, имидазолил, бензимидазолил, тиазолил, бензотиазолил, изотиазолил, пиридазинил, пиримидинил, пиразинил, триазинил, циннолинил, фталазинил и хиназолинил. Предусмотрено, что использование термина «гетероарил» включает N-алкилированные производные, такие как 1-метилимидазол-5-ильный заместитель. В контексте данного документа, термины «гетероцикл» или «гетероциклил» относятся к моно- и полициклическим кольцевым системам, содержащим от 1 до 4 гетероатомов, выбранных из азота, кислорода и серы, и содержащим по меньшей мере 1 атом углерода. Моно- и полициклические кольцевые системы могут быть ароматическими, неароматическими или смесями ароматических и неароматических колец. Гетероцикл включает гетерокарбоциклы, гетероарилы и т.п. «Алкилтио» относится к алкильной группе, определение которой приведено выше, с указанным количеством атомов углерода, присоединенной через мостиковый атом серы. Примером алкилтио является метилтио (т.е. -S-СН3). «Алкокси» относится к алкильной группе, определение которой приведено выше, с указанным количеством атомов углерода, присоединенной через мостиковый атом кислорода. Примеры алкокси включают, но не ограничиваются ими, метокси, этокси, н-пропокси, изо-пропокси, н-бутокси, втор-бутокси, трет-бутокси, н-пентокси и втор-пентокси. Предпочтительные алкокси-группы представляют собой метокси, этокси, н-пропокси, изо-пропокси, н-бутокси, втор-бутокси, трет-бутокси. «Алкиламино» относится к алкильной группе, определение которой приведено выше, с указанным количеством атомов углерода, присоединенной через мостиковую аминогруппу. Примером алкиламино является метиламино (т.е. -NH-СН3). «Алканоил» относится к алкилу, определение которого приведено выше, с указанным количеством атомов углерода, присоединенному через карбонильный мостик (т.е. -(С=O)алкил). «Алкилсульфонил» относится к алкилу, определение которого приведено выше, с указанным количеством атомов углерода, присоединенному через сульфонильный мостик (т.е. -S(=O)2алкил), такому как мезил и т.п., и «арилсульфонил» относится к арилу, присоединенному через сульфонильный мостик (т.е. - S(=O)2арил). «Алкилсульфамоил» относится к алкилу, определение которого приведено выше, с указанным количеством атомов углерода, присоединенному через сульфамоильный мостик (т.е. -NHS(=O)2алкил), и «арилсульфамоил» относится к алкилу, присоединенному через сульфамоильный мостик (т.е. -NHS(=O)2арил). «Алкилсульфинил» относится к алкилу, определение которого приведено выше, с указанным количеством атомов углерода, присоединенному через сульфинильный мостик (т.е. -S(=O)алкил). Термины «циклоалкил» и «циклоалкенил» относятся к моно-, би- или тригомоциклическим кольцевым группам из 3-15 атомов углерода, которые, соответственно, являются полностью насыщенными и частично ненасыщенными. Термин «циклоалкенил» включает би- и трициклические кольцевые системы, которые не являются ароматическими в целом, но содержат ароматические части (например, флуорен, тетрагидронафталин, дигидроинден и т.п.). Кольца в многокольцевых циклоалкильных группах могут быть конденсированными, мостиковыми и/или соединенными одной или более спиросвязями. Термины «замещенный циклоалкил» и «замещенный циклоалкенил» относятся, соответственно, к циклоалкильным и циклоалкенильным группам, замещенным одной или более группами, предпочтительно выбранными из арила, замещенного арила, гетероцикло, замещенного гетероцикло, карбоцикло, замещенного карбоцикло, галогена, гидрокси, алкокси (необязательно замещенного), арилокси (необязательно замещенного), сложного алкилового эфира (необязательно замещенного), сложного арилового эфира (необязательно замещенного), алканоила (необязательно замещенного), ароила (необязательно замещенного), циано, нитро, амино, замещенного амино, амидо, лактама, мочевины, уретана, сульфонила и т.п. Термины «галоген» и «гало» относятся к фтору, хлору, брому и йоду. Термин «замещенная» относится к молекуле, в которой по меньшей мере один атом водорода заменен на заместитель. При наличии замещения, одна или более таких групп являются «заместителями». Молекула может быть замещена несколькими заместителями. В случае оксо-заместителя («=O») замещены два атома водорода. Иллюстративные заместители в данном контексте могут включать галоген, гидрокси, алкил, алкокси, нитро, циано, оксо, карбоциклил, карбоциклоалкил, гетеро карбоциклил, гетерокарбоциклоалкил, арил, арилалкил, гетероарил, гетероарилалкил, -NRaRb, -NRaC(=O)Rb, -NRaC(=O)NRaNRb, -NRaC(=O)ORb, - NRaSO2Rb, -C(=O)Ra, -C(=O)ORa, -C(=O)NRaRb, -OC(=O)NRaRb, -ORa, -SRa, -SORa, -S(=O)2Ra, -OS(=O)2Ra и -S(=O)2ORa. Ra и Rb в данном контексте могут быть одинаковыми или различными и независимо представляют собой водород, галоген, гидроксил, алкил, алкокси, алкил, амино, алкиламино, диалкиламино, карбоциклил, карбоциклоалкил, гетеро карбоциклил, гетерокарбоциклоалкил, арил, арилалкил, гетероарил, гетероарилалкил. Термин «необязательно замещенный», в контексте данного документа, означает, что замещение дополнительной группой является необязательным и, следовательно, указанный атом может быть незамещенным. Таким образом, с помощью термина «необязательно замещенный» настоящее описание включает примеры, в которых указанная группа является замещенной, и примеры, в которых она не является замещенной. Примеры пролекарств, которые можно использовать для улучшения биодоступности, включают сложные эфиры, необязательно замещенные сложные эфиры, разветвленные сложные эфиры, необязательно замещенные разветвленные сложные эфиры, карбонаты, необязательно замещенные карбонаты, карбаматы, необязательно замещенные карбаматы, сложные тиоэфиры, необязательно замещенные сложные тиоэфиры, разветвленные сложные тиоэфиры, необязательно замещенные разветвленные сложные тиоэфиры, тиокарбонаты, необязательно замещенные тиокарбонаты, S-тиокарбонат, необязательно замещенный S-тиокарбонат, дитиокарбонаты, необязательно замещенные дитиокарбонаты, тиокарбаматы, необязательно замещенные тиокарбаматы, оксиметоксикарбонил, необязательно замещенный оксиметоксикарбонил, оксиметокситиокарбонил, необязательно замещенный оксиметокситиокарбонил, оксиметилкарбонил, необязательно замещенный оксиметилкарбонил, оксиметилтиокарбонил, необязательно замещенный оксиметилтиокарбонил, сложные эфиры L-аминокислот, сложные эфиры D-аминокислот, сложные эфиры N-замещенных L-аминокислот, сложные эфиры N,N-дизамещенных L-аминокислот, сложные эфиры N-замещенных D-аминокислот, сложные эфиры N,N-дизамещенных D-аминокислот, сульфенил, необязательно замещенный сульфенил, имидат, необязательно замещенный имидат, гидразонат, необязательно замещенный гидразонат, оксимил, необязательно замещенный оксимил, имидинил, необязательно замещенный имидинил, имидил, необязательно замещенный имидил, аминаль, необязательно замещенный аминаль, гемиаминаль, необязательно замещенный гемиаминаль, ацеталь, необязательно замещенный ацеталь, гемиацеталь, необязательно замещенный гемиацеталь, карбонимидат, необязательно замещенный карбонимидат, тиокарбонимидат, необязательно замещенный тиокарбонимидат, карбонимидил, необязательно замещенный карбонимидил, карбамимидат, необязательно замещенный карбамимидат, карбамимидил, необязательно замещенный карбамимидил, тиоацеталь, необязательно замещенный тиоацеталь, S-ацил-2-тиоэтил, необязательно замещенный S-ацил-2-тиоэтил, сложные бис-(ацилоксибензил)эфиры, необязательно замещенные сложные бис-(ацилоксибензил)эфиры, сложные (ацилоксибензил)эфиры, необязательно замещенные сложные (ацилоксибензил)эфиры и сложные ВАВ-эфиры. В контексте данного документа, «соли» относятся к производным описанных соединений, в которых исходное соединение модифицировано посредством образования его солей с кислотами или основаниями. Примеры солей включают, но не ограничиваются ими, соли неорганических или органических кислот основных остатков, таких как амины, алкиламины или диалкиламины; соли щелочных металлов или органические соли кислотных остатков, таких как карбоновые кислоты; и т.п. В типичных вариантах реализации соли представляют собой обычные нетоксичные фармацевтически приемлемые соли, включая четвертичные аммониевые соли, полученные из исходного соединения и нетоксичных неорганических или органических кислот. Предпочтительные соли включают соли, полученные из неорганических кислот, таких как хлористоводородная, бромистоводородная, серная, сульфаминовая, фосфорная, азотная и т.п.; и соли, полученные из органических кислот, таких как уксусная, пропионовая, янтарная, гликолевая, стеариновая, молочная, яблочная, винная, лимонная, аскорбиновая, памоевая, малеиновая, гидроксималеиновая, фенилуксусная, глутаминовая, бензойная, салициловая, сульфаниловая, 2-ацетоксибензойная, фумаровая, толуолсульфоновая, метансульфоновая, этандисульфоновая, щавелевая, изотионовая и т.п. Термин «пролекарство» относится к агенту, который превращается в биологически активную форму in vivo. Пролекарства зачастую являются полезными, поскольку в некоторых ситуациях их проще вводить, чем исходное соединение. Они могут, например, быть биодоступными при пероральном введении, тогда как исходное соединение не является таковым. Пролекарство может также обладать улучшенной растворимостью в фармацевтических композициях по сравнению с исходным лекарственным соединением. Пролекарство может превращаться в исходное лекарственное соединение посредством различных механизмов, включая ферментативные процессы и метаболический гидролиз. В контексте данного документа, термин «производное» относится к структурно родственному соединению, которое сохраняет достаточно функциональных признаков указанного аналога. Производное может быть структурно родственным, поскольку лишено одного или более атомов, замещенных одним или более заместителями, солью, в другой степени гидратации/окисления, например, замещающую одинарную или двойную связь, содержащую гидроксигруппу вместо кетона или, поскольку один или более атомов в данной молекуле изменены, например, но не ограничиваясь этим, атом кислорода присутствует вместо атома серы или азота, либо аминогруппа присутствует вместо гидроксильной группы или наоборот. Предусмотренным производным является замена углерода на азот в ароматическом кольце. Производное может быть пролекарством. Производные могут быть получены любым из множества синтетических способов или с помощью соответствующих изменений, представленных в химической литературе или в пособиях по синтетической или органической химии, например, как описано в книгах March, Advanced Organic Chemistry: Reactions, Mechanisms, and Structure, Wiley, 6e издание (2007), Michael В. Smith, или Domino Reactions in Organic Synthesis, Wiley (2006) Lutz F. Tietze, содержание которых включено в данное описание посредством ссылки. Соединения В некоторых вариантах реализации настоящее изобретение относится к нуклеозидам, конъюгированным с фосфорным фрагментом, или их фармацевтически приемлемым солям. В некоторых вариантах реализации настоящее изобретение относится к соединению формулы I, или его фармацевтической или физиологической соли, где Х представляет собой СН2, CHMe, CMe2, CHF, CF2 или CD2; U представляет собой О, S, NH, NR7, СН2, CHF, CF2, ССН2 или CCF2; Q представляет собой природное или неприродное нуклеооснование; R1 выбран из Н, необязательно замещенных сложных эфиров, необязательно замещенных разветвленных сложных эфиров, необязательно замещенных карбонатов, необязательно замещенных карбаматов, необязательно замещенных сложных тиоэфиров, необязательно замещенных разветвленных сложных тиоэфиров, необязательно замещенных тиокарбонатов, необязательно замещенного S-тиокарбоната, необязательно замещенных дитиокарбонатов, необязательно замещенных тиокарбаматов, необязательно замещенного оксиметоксикарбонила, необязательно замещенного оксиметокситиокарбонила, необязательно замещенного оксиметилкарбонила, необязательно замещенного оксиметилтиокарбонила, сложных эфиров L-аминокислот, сложных эфиров D-аминокислот, сложных эфиров N-замещенных L-аминокислот, сложных эфиров N,N-дизамещенных L-аминокислот, сложных эфиров N-замещенных D-аминокислот, сложных эфиров N,N-дизамещенных D-аминокислот, необязательно замещенного сульфенила, необязательно замещенного имидата, необязательно замещенного гидразоната, необязательно замещенного оксимила, необязательно замещенного имидинила, необязательно замещенного имидила, необязательно замещенного аминаля, необязательно замещенного гемиаминаля, необязательно замещенного ацеталя, необязательно замещенного гемиацеталя, необязательно замещенного карбонимидата, необязательно замещенного тиокарбонимидата, необязательно замещенного карбонимидила, необязательно замещенного карбамимидата, необязательно замещенного карбамимидила, необязательно замещенного тиоацеталя, необязательно замещенного 3-ацил-2-тиоэтила, необязательно замещенных сложных бис-(ацилоксибензил)эфиров, необязательно замещенных сложных (ацилоксибензил)эфиров и сложных ВАВ-эфиров, причем R1 необязательно замещен одним или более одинаковыми или различными R10; Y представляет собой О или S; Y1 представляет собой ОН, OY3 или BH3-M+; Y2 представляет собой ОН или BH3-M+; Y3 представляет собой арил, гетероарил или гетероциклил, причем Y3 необязательно замещен одним или более одинаковыми или различными R10; R2, R2', R3, R3', каждый независимо, выбраны из водорода, дейтерия, алкила, алкенила, алкинила, алленила, алкокси, гидрокси, тиола, амино, азидо, формила, ацила, циано, галогена, арила, гетероарила, гетероциклила, карбоциклила, гетерокарбоциклила, сульфинила, сульфамоила или сульфонила, причем R2, R2', R3, R3' необязательно замещены одним или более одинаковыми или различными R10; R2 и R2' могут образовывать кольцо с атомом углерода, к которому они присоединены, причем указанное кольцо необязательно замещено одним или более одинаковыми или различными R10; R3 и R3' могут образовывать кольцо с атомом углерода, к которому они присоединены, причем указанное кольцо необязательно замещено одним или более одинаковыми или различными R10; R4 представляет собой водород или дейтерий; R5 представляет собой водород, алкил, алкенил, алкинил, карбоциклил, гетерокарбоциклил, арил, гетероарил, гетероциклил, циклоалкил, циклоалкенил, алленил или липид, причем R5 необязательно замещен одним или более одинаковыми или различными R10; R6, R6', R6'' и R6''', каждый независимо, выбраны из водорода, дейтерия, гидроксила, амино, азидо, тиола, ацила, формила, галогена, нитро, алкила, алкенила, алкинила, карбоциклила, гетерокарбоцикл ила, арила, гетероарила, гетероциклила, циклоалкила, циклоалкенила, алкокси, карбоциклокси, гетерокарбоциклокси, арилокси, гетероарилокси, гетероциклокси, циклоалкокси, циклоалкенокси, алкиламино, (алкил)2амино, карбоцикламино, гетерокарбоцикламино, ариламино, гетероариламино, гетероцикламино, циклоалкамино, циклоалкенамино, алкилтио, карбоциклилтио, гетерокарбоциклилтио, арилтио, гетероарилтио, гетероциклилтио, циклоалкилтио, циклоалкенилтио, сульфинила, сульфамоила, сульфонила, алленила, циано или липида, причем каждый из R6, R6', R6'' и R6''' может быть необязательно замещен одним или более одинаковыми или различными R10; R7 и R7', каждый независимо, выбраны из водорода, дейтерия, гидрокси, азидо, тиола, амино, циано, галогена, алкила, алкенила, алкинила, карбоциклила, гетерокарбоциклила, арила, гетероарила, гетероциклила, циклоалкила, циклоалкенила, алкокси, карбоциклокси, гетерокарбоциклокси, арилокси, гетероарилокси, гетероциклокси, циклоалкокси, циклоалкенокси, алкиламино, (алкил)2амино, карбоцикламино, гетерокарбоцикламино, ариламино, гетероариламино, гетероцикламино, циклоалкамино, циклоалкенамино, алкилтио, карбоциклилтио, гетерокарбоциклилтио, арилтио, гетероарилтио, гетероциклилтио, циклоалкилтио, циклоалкенилтио, алленила, сульфинила, сульфамоила, сульфонила, липида, нитро или карбонила, причем R7 необязательно замещен одним или более одинаковыми или различными R10; R8 представляет собой дейтерий, гидрокси, азидо, тиол, амино, циано, галоген, алкил, алкенил, алкинил, карбоциклил, гетерокарбоциклил, арил, гетероарил, гетероциклил, циклоалкил, циклоалкенил, алкокси, карбоциклокси, гетерокарбоциклокси, арилокси, гетероарилокси, гетероциклокси, циклоалкокси, циклоалкенокси, алкиламино, (алкил)2амино, карбоцикламино, гетерокарбоцикламино, ариламино, гетероариламино, гетероцикламино, циклоалкамино, циклоалкенамино, алкилтио, карбоциклилтио, гетерокарбоциклилтио, арилтио, гетероарилтио, гетероциклилтио, циклоалкилтио, циклоалкенилтио, алленил, сульфинил, сульфамоил, сульфонил, липид, нитро или карбонил, причем R8 необязательно замещен одним или более одинаковыми или различными R10; R9 представляет собой дейтерий, гидрокси, азидо, тиол, амино, циано, галоген, алкил, алкенил, алкинил, карбоциклил, гетерокарбоциклил, арил, гетероарил, гетероциклил, циклоалкил, циклоалкенил, алкокси, карбоциклокси, гетерокарбоциклокси, арилокси, гетероарилокси, гетероциклокси, циклоалкокси, циклоалкенокси, алкиламино, (алкил)2амино, карбоцикламино, гетерокарбоцикламино, ариламино, гетероариламино, гетероцикламино, циклоалкамино, циклоалкенамино, алкилтио, карбоциклилтио, гетерокарбоциклилтио, арилтио, гетероарилтио, гетероциклилтио, циклоалкилтио, циклоалкенилтио, алленил, сульфинил, сульфамоил, сульфонил, липид, нитро или карбонил, причем R9 необязательно замещен одним или более одинаковыми или различными R10; R7, R7', R8 и R9 могут образовывать кольцо с α-атомом углерода, к которому они присоединены, и с аминогруппой, присоединенной к α-атому углерода, причем указанное кольцо необязательно замещено одним или более одинаковыми или различными R10; R7 и R7' могут образовывать кольцо с α-атомом углерода, к которому они присоединены, причем указанное кольцо необязательно замещено одним или более одинаковыми или различными R10; R8 и R9 могут образовывать кольцо с α-атомом углерода, к которому они присоединены, причем указанное кольцо необязательно замещено одним или более одинаковыми или различными R10; R10 представляет собой дейтерий, гидрокси, азидо, тиол, амино, циано, галоген, алкил, алкенил, алкинил, карбоциклил, гетерокарбоциклил, арил, гетероарил, гетероциклил, циклоалкил, циклоалкенил, алкокси, карбоциклокси, гетерокарбоциклокси, арилокси, гетероарилокси, гетероциклокси, циклоалкокси, циклоалкенокси, алкиламино, (алкил)2амино, карбоцикламино, гетерокарбоцикламино, ариламино, гетероариламино, гетероцикламино, циклоалкамино, циклоалкенамино, алкилтио, карбоциклилтио, гетерокарбоциклилтио, арилтио, гетероарилтио, гетероциклилтио, циклоалкилтио, циклоалкенилтио, алленил, сульфинил, сульфамоил, сульфонил, липид, нитро или карбонил, причем R10 необязательно замещен одним или более одинаковыми или различными R11; R11 представляет собой дейтерий, гидрокси, азидо, тиол, амино, циано, галоген, алкил, алкенил, алкинил, карбоциклил, гетерокарбоциклил, арил, гетероарил, гетероциклил, циклоалкил, циклоалкенил, алкокси, карбоциклокси, гетерокарбоциклокси, арилокси, гетероарилокси, гетероциклокси, циклоалкокси, циклоалкенокси, алкиламино, (алкил)2амино, карбоцикламино, гетерокарбоцикламино, ариламино, гетероариламино, гетероцикламино, циклоалкамино, циклоалкенамино, алкилтио, карбоциклилтио, гетерокарбоциклилтио, арилтио, гетероарилтио, гетероциклилтио, циклоалкилтио, циклоалкенилтио, алленил, сульфинил, сульфамоил, сульфонил, липид, нитро или карбонил; и липид представляет собой С11-С22 высший алкил, С11-С22 высший алкокси, полиэтиленгликоль или арил, замещенный алкильной группой, или липид, описанный в настоящем документе. В некоторых вариантах реализации липид представляет собой жирный спирт, жирный амин или жирный тиол, полученный из незаменимых и/или заменимых жирных кислот. В некоторых вариантах реализации липид представляет собой ненасыщенный, полиненасыщенный, омега-ненасыщенный или омега-полиненасыщенный жирный спирт, жирный амин или жирный тиол, полученный из незаменимых и/или заменимых жирных кислот. В некоторых вариантах реализации липид представляет собой жирный спирт, жирный амин или жирный тиол, полученный из незаменимых и заменимых жирных кислот, в которых одно или более углеродных звеньев замещены кислородом, азотом или серой. В некоторых вариантах реализации липид представляет собой ненасыщенный, полиненасыщенный, омега-ненасыщенный или омега-полиненасыщенный жирный спирт, жирный амин или жирный тиол, полученный из незаменимых и/или заменимых жирных кислот, в которых одно или более углеродных звеньев замещены кислородом, азотом или серой. В некоторых вариантах реализации липид представляет собой жирный спирт, жирный амин или жирный тиол, полученный из незаменимых и/или заменимых жирных кислот, который является необязательно замещенным. В некоторых вариантах реализации липид представляет собой ненасыщенный, полиненасыщенный, омега-ненасыщенный или омега-полиненасыщенный жирный спирт, жирный амин или жирный тиол, полученный из незаменимых и/или заменимых жирных кислот, который является необязательно замещенным. В некоторых вариантах реализации липид представляет собой жирный спирт, жирный амин или жирный тиол, полученный из незаменимых и/или заменимых жирных кислот, в которых одно или более углеродных звеньев замещены кислородом, азотом или серой, и который является необязательно замещенным. В некоторых вариантах реализации липид представляет собой ненасыщенный, полиненасыщенный, омега-ненасыщенный или омега-полиненасыщенный жирный спирт, жирный амин или жирный тиол, полученный из незаменимых и/или заменимых жирных кислот, в которых одно или более углеродных звеньев замещены кислородом, азотом или серой, и который также является необязательно замещенными. В некоторых вариантах реализации липид представляет собой гексадецилоксипропил. В некоторых вариантах реализации липид представляет собой 2-аминогексадецилоксипропил. В некоторых вариантах реализации липид представляет собой 2-аминоарахидил. В некоторых вариантах реализации липид представляет собой 2-бензилоксигексадецилоксипропил. В некоторых вариантах реализации липид представляет собой лаурил, миристил, пальмитил, стеарил, арахидил, бегенил или лигноцерил. В некоторых вариантах реализации липид представляет собой сфинголипид формулы: где R12 сфинголипида представляет собой водород, алкил, C(=O)R16, C(=O)OR16 или C(=O)NHR16; R13 сфинголипида представляет собой водород, фтор, OR16, OC(=O)R16, OC(=O)OR16 или OC(=O)NHR16; R14 сфинголипида представляет собой насыщенную или ненасыщенную алкильную цепь, содержащую от более 6 до менее 22 атомов углерода, необязательно замещенную одним или более галогенами или гидрокси, или структуру следующей формулы: где n равен от 8 до 14, или от менее или ровно 8 до менее или ровно 14, о равен от 9 до 15, или от менее или ровно 9 до менее или ровно 15, сумма m и n равна от 8 до 14, или от менее или ровно 8 до менее или ровно 14, сумма m и о равна от 9 до 15, или от менее или ровно 9 до менее или ровно 15; или где n равен от 4 до 10, или от менее или ровно 4 до менее или ровно 10, о равен от 5 до 11, или от менее или ровно 5 до менее или ровно 11, сумма m и n равна от 4 до 10, или от менее или ровно 4 до менее или ровно 10, и сумма m и о равна от 5 до 11, или от менее или ровно 5 до менее или ровно 11; или где n равен от 6 до 12, или n равен от менее или ровно 6 до менее или ровно 12, сумма m и n равна от 6 до 12, или n равен от менее или ровно 6 до менее или ровно 12; R15 сфинголипида представляет собой OR16, OC(=O)R16, OC(=O)OR16 или OC(=O)NHR16; R16 сфинголипида представляет собой водород, циано, алкил, алкенил, алкинил, карбоциклил, гетерокарбоциклил, арил, гетероарил, гетероциклил, циклоалкил, циклоалкенил, алкокси, карбоциклокси, гетерокарбоциклокси, арилокси, гетероарилокси, гетероциклокси, циклоалкокси, циклоалкенокси, алкиламино, (алкил)2амино, карбоцикламино, гетерокарбоцикламино, ариламино, гетероариламино, гетероцикламино, циклоалкамино, циклоалкенамино, алкилтио, карбоциклилтио, гетерокарбоциклилтио, арилтио, гетероарилтио, гетероциклилтио, циклоалкилтио, циклоалкенилтио, алленил или липид; причем R16 необязательно замещен одним или более одинаковыми или различными R17; и R17 сфинголипида представляет собой дейтерий, гидрокси, азидо, тиол, амино, циано, галоген, алкил, алкенил, алкинил, карбоциклил, гетерокарбоциклил, арил, гетероарил, гетероциклил, циклоалкил, циклоалкенил, алкокси, карбоциклокси, гетерокарбоциклокси, арилокси, гетероарилокси, гетероциклокси, циклоалкокси, циклоалкенокси, алкиламино, (алкил)2амино, карбоцикламино, гетерокарбоцикламино, ариламино, гетероариламино, гетероцикламино, циклоалкамино, циклоалкенамино, алкилтио, карбоциклилтио, гетерокарбоциклилтио, арилтио, гетероарилтио, гетероциклилтио, циклоалкилтио, циклоалкенилтио, алленил, сульфинил, сульфамоил, сульфонил, липид, нитро или карбонил. В некоторых вариантах реализации R12 сфинголипида представляет собой Н, метил, этил, пропил, н-бутил, изопропил, 2-бутил, 1-этилпропил, 1-пропилбутил, циклопропил, циклобутил, циклопентил, циклогексил, бензил или фенил. В некоторых вариантах реализации сфинголипид представляет собой сфинголипид формулы: где R12 сфинголипида представляет собой водород, гидрокси, фтор, OR16, OC(=O)R16, OC(=O)OR16 или OC(=O)NHR16; R13 сфинголипида представляет собой водород, гидрокси, фтор, OR16, OC(=O)R16, OC(=O)OR16 или OC(=O)NHR16; R14 сфинголипида представляет собой насыщенную или ненасыщенную алкильную цепь, содержащую от более 6 до менее 22 атомов углерода, необязательно замещенную одним или более галогенами, или структуру следующей формулы: где n равен от 8 до 14, или от менее или ровно 8 до менее или ровно 14, сумма m и n равна от 8 до 14, или от менее или ровно 8 до менее или ровно 14; R16 сфинголипида представляет собой водород, циано, алкил, алкенил, алкинил, карбоциклил, гетерокарбоциклил, арил, гетероарил, гетероциклил, циклоалкил, циклоалкенил, алкокси, карбоциклокси, гетерокарбоциклокси, арилокси, гетероарилокси, гетероциклокси, циклоалкокси, циклоалкенокси, алкиламино, (алкил)2амино, карбоцикламино, гетерокарбоцикламино, ариламино, гетероариламино, гетероцикламино, циклоалкамино, циклоалкенамино, алкилтио, карбоциклилтио, гетерокарбоциклилтио, арилтио, гетероарилтио, гетероциклилтио, циклоалкилтио, циклоалкенилтио, алленил или липид; причем R16 необязательно замещен одним или более одинаковыми или различными R17; и R17 сфинголипида представляет собой дейтерий, гидрокси, азидо, тиол, амино, циано, галоген, алкил, алкенил, алкинил, карбоциклил, гетерокарбоциклил, арил, гетероарил, гетероциклил, циклоалкил, циклоалкенил, алкокси, карбоциклокси, гетерокарбоциклокси, арилокси, гетероарилокси, гетероциклокси, циклоалкокси, циклоалкенокси, алкиламино, (алкил)2амино, карбоцикламино, гетерокарбоцикламино, ариламино, гетероариламино, гетероцикламино, циклоалкамино, циклоалкенамино, алкилтио, карбоциклилтио, гетерокарбоциклилтио, арилтио, гетероарилтио, гетероциклилтио, циклоалкилтио, циклоалкенилтио, алленил, сульфинил, сульфамоил, сульфонил, липид, нитро, эстерил, формил, карбокси, карбамоил, амидо или ацил. В некоторых вариантах реализации R16 сфинголипида представляет собой Н, метил, этил, пропил, н-бутил, изопропил, 2-бутил, 1-этилпропил, 1-пропилбутил, циклопропил, циклобутил, циклопентил, циклогексил или бензил. Подходящие сфинголипиды включают, но не ограничиваются ими, сфингозин, церамид или сфингомиелин, или 2-аминоалкил, необязательно замещенный одним или более заместителями. Другие подходящие сфинголипиды включают, но не ограничиваются ими, 2-аминоокгадекан-3,5-диол; (2S,3S,5S)-2-аминооктадекан-3,5-диол; (2S,3R,5S)-2-аминооктадекан-3,5-диол; 2-(метиламино)октадекан-3,5-диол; (2S,3R,5S)-2-(метиламино)октадекан-3,5-диол; 2-(диметиламино)октадекан-3,5-диол; (2R,3S,5S)-2-(диметиламино)октадекан-3,5-диол; 1-(пирролидин-2-ил)гексадекан-1,3-диол; (1S,3S)-1-((S)-пирролидин-2-ил)гексадекан-1,3-диол; 2-амино-11,11-дифтороктадекан-3,5-диол; (2S,3S,5S)-2-амино-11,11-дифтороктадекан-3,5-диол; 11,11-дифтор-2-(метиламино)октадекан-3,5-диол; (2S,3S,5S)-11,11-дифтор-2-(метиламино)октадекан-3,5-диол; N-((2S,3S,5S)-3,5-дигидроксиоктадекан-2-ил)ацетамид; N-((2S,3S,5S)-3,5-дигидроксиоктадекан-2-ил)пальмитамид; 1-(1-аминоциклопропил)гексадекан-1,3-диол; (13,3R)-1-(1-аминоциклопропил)гексадекан-1,3-диол; (1S,3S)-1-(1-аминоциклопропил)гексадекан-1,3-диол; 2-амино-2-метилоктадекан-3,5-диол; (3S,5S)-2-амино-2-метилоктадекан-3,5-диол; (3S,5R)-2-амино-2-метилоктадекан-3,5-диол; (3S,5S)-2-метил-2-(метиламино)октадекан-3,5-диол; 2-амино-5-гидрокси-2-метилоктадекан-3-он; (Z)-2-амино-5-гидрокси-2-метилоктадекан-3-он-оксим; (2S,3R,5R)-2-амино-6,6-дифтороктадекан-3,5-диол; (2S,3S,5R)-2-амино-6,6-дифтороктадекан-3,5-диол; (2S,3S,5S)-2-амино-6,6-дифтороктадекан-3,5-диол; (2S,3R,5S)-2-амино-6,6-дифтороктадекан-3,5-диол; и (2S,3S,5S)-2-амино-18,18,18-трифторокгадекан-3,5-диол, которые могут быть необязательно замещены одним или более заместителями. В иллюстративных вариантах реализации формулы I R1 представляет собой водород, В иллюстративных вариантах реализации формулы I X представляет собой СН2. В иллюстративных вариантах реализации формулы I U представляет собой О. В иллюстративных вариантах реализации формулы I Q представляет собой урацил, цитозин, аденин и гуанин. В иллюстративных вариантах реализации формулы I R2, R2, R3, R3 представляют собой водород, гидроксил, амино, фтор, хлор, циано, метил, фторметил, метокси, винил, этинил и хлорэтинил. В иллюстративных вариантах реализации формулы I R5 представляет собой липид, метил, этил, пропил, изопропил, бутил, втор-бутил, трет-бутил, пентил, втор-пентил, трет-пентил, неопентил, 3-пентил, гексил, трет-гексил, 4-септил, циклопропил, циклобутил, циклопентил, циклогексил, фенил, 2,6-диметилфенил, изопропоксид, трет-бутоксид, N-пропиламино, N-изопропиламино, N-трет-бутиламино, N,N-диметиламино, N,N-диэтиламино и N,N-дипропиламино. В иллюстративных вариантах реализации формулы I R6 представляет собой водород, гидроксил, фтор, хлор, амино, липид, метил, метокси, этил, пропил, изопропил, бутил, втор-бутил, трет-бутил, пентил, втор-пентил, трет-пентил, неопентил, 3-пентил, гексил, трет-гексил, 4-септил, циклопропил, циклобутил, циклопентил, циклогексил, фенил, 2,6-диметилфенил, изопропоксид, трет-бутоксид, N-пропиламино, N-изопропиламино, N-трет-бутиламино, N,N-диметиламино, N,N-диэтиламино и N,N-дипропиламино. В иллюстративных вариантах реализации формулы I R7 представляет собой метил, этил, пропил, изопропил, бутил, втор-бутил, трет-бутил, пентил, втор-пентил, трет-пентил, неопентил, 3-пентил, гексил, трет-гексил, 4-септил, циклопропил, циклобутил, циклопентил, циклогексил, фенил, 2,6-диметилфенил, изопропоксид, трет-бутоксид, N-пропиламино, N-изопропиламино, N-трет-бутиламино, N,N-диметиламино, N,N-диэтиламино и N,N-дипропиламино. В иллюстративных вариантах реализации формулы I R8 представляет собой метил, этил, пропил, изопропил, бутил, втор-бутил, трет-бутил, пентил, втор-пентил, трет-пентил, неопентил, 3-пентил, гексил, трет-гексил, 4-септил, циклопропил, циклобутил, циклопентил, циклогексил, фенил, 2,6-диметилфенил, изопропоксид, трет-бутоксид, N-пропиламино, N-изопропиламино, N-трет-бутиламино, N,N-диметиламино, N,N-диэтиламино и N,N-дипропиламино. В иллюстративных вариантах реализации формулы I R9 представляет собой метил, этил, пропил, изопропил, бутил, втор-бутил, трет-бутил, пентил, втор-пентил, трет-пентил, неопентил, 3-пентил, гексил, трет-гексил, 4-септил, циклопропил, циклобутил, циклопентил, циклогексил, фенил, 2,6-диметилфенил, изопропоксид, трет-бутоксид, N-пропиламино, N-изопропиламино, N-трет-бутиламино, N,N-диметиламино, N,N-диэтиламино и N,N-дипропиламино. В некоторых вариантах реализации настоящее изобретение относится к соединению формулы II, или его фармацевтической или физиологической соли, где Х представляет собой СН2, CHMe, CMe2, CHF, CF2 или CD2; U представляет собой О, S, NH, NR7, СН2, CHF, CF2, ССН2 или CCF2; W представляет собой N или CR'; Z представляет собой N или CR''; R' представляет собой водород, дейтерий, галоген, гидроксил, амино, тиол, алкил, алкенил, алкинил, арил, гетероарил, карбоциклил, гетерокарбоциклил, циклоалкил, гетероциклил или ацил, причем R' необязательно замещен одним или более одинаковыми или различными R10; R'' представляет собой водород, дейтерий, галоген, гидроксил, амино, тиол, алкил, алкенил, алкинил, арил, гетероарил, карбоциклил, гетерокарбоциклил, циклоалкил, гетероциклил или ацил, причем R'' необязательно замещен одним или более одинаковыми или различными R10; R1 выбран из Н, необязательно замещенных сложных эфиров, необязательно замещенных разветвленных сложных эфиров, необязательно замещенных карбонатов, необязательно замещенных карбаматов, необязательно замещенных сложных тиоэфиров, необязательно замещенных разветвленных сложных тиоэфиров, необязательно замещенных тиокарбонатов, необязательно замещенного S-тиокарбоната, необязательно замещенных дитиокарбонатов, необязательно замещенных тиокарбаматов, необязательно замещенного оксиметоксикарбонила, необязательно замещенного оксиметокситиокарбонила, необязательно замещенного оксиметилкарбонила, необязательно замещенного оксиметилтиокарбонила, сложных эфиров L-аминокислот, сложных эфиров D-аминокислот, сложных эфиров N-замещенных L-аминокислот, сложных эфиров N,N-дизамещенных L-аминокислот, сложных эфиров N-замещенных D-аминокислот, сложных эфиров N,N-дизамещенных D-аминокислот, необязательно замещенного сульфенила, необязательно замещенного имидата, необязательно замещенного гидразоната, необязательно замещенного оксимила, необязательно замещенного имидинила, необязательно замещенного имидила, необязательно замещенного аминаля, необязательно замещенного гемиаминаля, необязательно замещенного ацеталя, необязательно замещенного гемиацеталя, необязательно замещенного карбонимидата, необязательно замещенного тиокарбонимидата, необязательно замещенного карбонимидила, необязательно замещенного карбамимидата, необязательно замещенного карбамимидила, необязательно замещенного тиоацеталя, необязательно замещенного 3-ацил-2-тиоэтила, необязательно замещенных сложных бис-(ацилоксибензил)эфиров, необязательно замещенных сложных (ацилоксибензил)эфиров и сложных ВАВ-эфиров, причем R1 необязательно замещен одним или более одинаковыми или различными R10; Y представляет собой О или S; Y1 представляет собой ОН, OY3 или BH3-M+; Y2 представляет собой ОН или BH3-M+; Y3 представляет собой арил, гетероарил или гетероциклил, причем Y3 необязательно замещен одним или более одинаковыми или различными R10; R2, R2', R3, R3', каждый независимо, выбраны из водорода, дейтерия, алкила, алкенила, алкинила, алленила, алкокси, гидрокси, тиола, амино, азидо, формила, ацила, циано, галогена, арила, гетероарила, гетероциклила, карбоциклила, гетерокарбоциклила, сульфинила, сульфамоила или сульфонила, причем R2, R2', R3, R3' необязательно замещены одним или более одинаковыми или различными R10; R2 и R2' могут образовывать кольцо с атомом углерода, к которому они присоединены, причем указанное кольцо необязательно замещено одним или более одинаковыми или различными R10; R3 и R3' могут образовывать кольцо с атомом углерода, к которому они присоединены, причем указанное кольцо необязательно замещено одним или более одинаковыми или различными R10; R4 представляет собой водород или дейтерий; R5 представляет собой водород, алкил, алкенил, алкинил, карбоциклил, гетерокарбоциклил, арил, гетероарил, гетероциклил, циклоалкил, циклоалкенил, алленил или липид, причем R5 необязательно замещен одним или более одинаковыми или различными R10; R6, R6', R6'' и R6''', каждый независимо, выбраны из водорода, дейтерия, гидроксила, амино, азидо, тиола, ацила, формила, галогена, нитро, алкила, алкенила, алкинила, карбоциклила, гетерокарбоциклила, арила, гетероарила, гетероциклила, циклоалкила, циклоалкенила, алкокси, карбоциклокси, гетерокарбоциклокси, арилокси, гетероарилокси, гетероциклокси, циклоалкокси, циклоалкенокси, алкиламино, (алкил)2амино, карбоцикламино, гетерокарбоцикламино, ариламино, гетероариламино, гетероцикламино, циклоалкамино, циклоалкенамино, алкилтио, карбоциклилтио, гетерокарбоциклилтио, арилтио, гетероарилтио, гетероциклилтио, циклоалкилтио, циклоалкенилтио, сульфинила, сульфамоила, сульфонила,алленила, циано или липида, причем каждый из R6, R6', R6'' и R6''' может быть необязательно замещен одним или более одинаковыми или различными R10; R7 и R7', каждый независимо, выбраны из водорода, дейтерия, гидрокси, азидо, тиола, амино, циано, галогена, алкила, алкенила, алкинила, карбоциклила, гетерокарбоциклила, арила, гетероарила, гетероциклила, циклоалкила, циклоалкенила, алкокси, карбоциклокси, гетерокарбоциклокси, арилокси, гетероарилокси, гетероциклокси, циклоалкокси, циклоалкенокси, алкиламино, (алкил)2амино, карбоцикламино, гетерокарбоцикламино, ариламино, гетероариламино, гетероцикламино, циклоалкамино, циклоалкенамино, алкилтио, карбоциклилтио, гетерокарбоциклилтио, арилтио, гетероарилтио, гетероциклилтио, циклоалкилтио, циклоалкенилтио, алленила, сульфинила, сульфамоила, сульфонила, липида, нитро или карбонила, причем R7 необязательно замещен одним или более одинаковыми или различными R10; R8 представляет собой дейтерий, гидрокси, азидо, тиол, амино, циано, галоген, алкил, алкенил, алкинил, карбоциклил, гетерокарбоциклил, арил, гетероарил, гетероциклил, циклоалкил, циклоалкенил, алкокси, карбоциклокси, гетерокарбоциклокси, арилокси, гетероарилокси, гетероциклокси, циклоалкокси, циклоалкенокси, алкиламино, (алкил)2амино, карбоцикламино, гетерокарбоцикламино, ариламино, гетероариламино, гетероцикламино, циклоалкамино, циклоалкенамино, алкилтио, карбоциклилтио, гетерокарбоциклилтио, арилтио, гетероарилтио, гетероциклилтио, циклоалкилтио, циклоалкенилтио, алленил, сульфинил, сульфамоил, сульфонил, липид, нитро или карбонил, причем R8 необязательно замещен одним или более одинаковыми или различными R10; R9 представляет собой дейтерий, гидрокси, азидо, тиол, амино, циано, галоген, алкил, алкенил, алкинил, карбоциклил, гетерокарбоциклил, арил, гетероарил, гетероциклил, циклоалкил, циклоалкенил, алкокси, карбоциклокси, гетерокарбоциклокси, арилокси, гетероарилокси, гетероциклокси, циклоалкокси, циклоалкенокси, алкиламино, (алкил)2амино, карбоцикламино, гетерокарбоцикламино, ариламино, гетероариламино, гетероцикламино, циклоалкамино, циклоалкенамино, алкилтио, карбоциклилтио, гетерокарбоциклилтио, арилтио, гетероарилтио, гетероциклилтио, циклоалкилтио, циклоалкенилтио, алленил, сульфинил, сульфамоил, сульфонил, липид, нитро или карбонил, причем R9 необязательно замещен одним или более одинаковыми или различными R10; R7, R7', R8 и R9 могут образовывать кольцо с α-атомом углерода, к которому они присоединены, и с аминогруппой, присоединенной к α-атому углерода, причем указанное кольцо необязательно замещено одним или более одинаковыми или различными R10; R7 и R7' могут образовывать кольцо с α-атомом углерода, к которому они присоединены, причем указанное кольцо необязательно замещено одним или более одинаковыми или различными R10; R8 и R9 могут образовывать кольцо с α-атомом углерода, к которому они присоединены, причем указанное кольцо необязательно замещено одним или более одинаковыми или различными R10; R10 представляет собой дейтерий, гидрокси, азидо, тиол, амино, циано, галоген, алкил, алкенил, алкинил, карбоциклил, гетерокарбоциклил, арил, гетероарил, гетероциклил, циклоалкил, циклоалкенил, алкокси, карбоциклокси, гетерокарбоциклокси, арилокси, гетероарилокси, гетероциклокси, циклоалкокси, циклоалкенокси, алкиламино, (алкил)2амино, карбоцикламино, гетерокарбоцикламино, ариламино, гетероариламино, гетероцикламино, циклоалкамино, циклоалкенамино, алкилтио, карбоциклилтио, гетерокарбоциклилтио, арилтио, гетероарилтио, гетероциклилтио, циклоалкилтио, циклоалкенилтио, алленил, сульфинил, сульфамоил, сульфонил, липид, нитро или карбонил, причем R10 необязательно замещен одним или более одинаковыми или различными R11; R11 представляет собой дейтерий, гидрокси, азидо, тиол, амино, циано, галоген, алкил, алкенил, алкинил, карбоциклил, гетерокарбоциклил, арил, гетероарил, гетероциклил, циклоалкил, циклоалкенил, алкокси, карбоциклокси, гетерокарбоциклокси, арилокси, гетероарилокси, гетероциклокси, циклоалкокси, циклоалкенокси, алкиламино, (алкил)2амино, карбоцикламино, гетерокарбоцикламино, ариламино, гетероариламино, гетероцикламино, циклоалкамино, циклоалкенамино, алкилтио, карбоциклилтио, гетерокарбоциклилтио, арилтио, гетероарилтио, гетероциклилтио, циклоалкилтио, циклоалкенилтио, алленил, сульфинил, сульфамоил, сульфонил, липид, нитро или карбонил; и липид представляет собой С11-С22 высший алкил, С11-С22 высший алкокси, полиэтиленгликоль или арил, замещенный алкильной группой, или липид, описанный в настоящем документе. В иллюстративных вариантах реализации формулы II R1 представляет собой водород, В иллюстративных вариантах реализации формулы II Х представляет собой СН2. В иллюстративных вариантах реализации формулы II U представляет собой О. В иллюстративных вариантах реализации формулы II W представляет собой CR'. В иллюстративных вариантах реализации формулы II Z представляет собой CR''. В иллюстративных вариантах реализации формулы II R' представляет собой Н, F, CI, ОН, метил, гидроксиметил, фторметил, дифторметил, трифторметил, винил, этинил, формил. В иллюстративных вариантах реализации формулы II R'' представляет собой Н, F, CI, ОН, метил, гидроксиметил, фторметил, дифторметил, трифторметил, винил, этинил, формил. В иллюстративных вариантах реализации формулы II R2, R2, R3, R3 представляют собой водород, гидроксил, амино, фтор, хлор, циано, метил, фторметил, метокси, винил, этинил и хлорэтинил. В иллюстративных вариантах реализации формулы II R5 представляет собой липид, метил, этил, пропил, изопропил, бутил, втор-бутил, трет-бутил, пентил, втор-пентил, трет-пентил, неопентил, 3-пентил, гексил, трет-гексил, 4-септил, циклопропил, циклобутил, циклопентил, циклогексил, фенил, 2,6-диметилфенил, изопропоксид, трет-бутоксид, N-пропиламино, N-изопропиламино, N-трет-бутиламино, N,N-диметиламино, N,N-диэтиламино и N,N-дипропиламино. В иллюстративных вариантах реализации формулы II R6 представляет собой водород, гидроксил, фтор, хлор, амино, липид, метил, метокси, этил, пропил, изопропил, бутил, втор-бутил, трет-бутил, пентил, втор-пентил, трет-пентил, неопентил, 3-пентил, гексил, трет-гексил, 4-септил, циклопропил, циклобутил, циклопентил, циклогексил, фенил, 2,6-диметилфенил, изопропоксид, трет-бутоксид, N-пропиламино, N-изопропиламино, N-трет-бутиламино, N,N-диметиламино, N,N-диэтиламино и N,N-дипропиламино. В иллюстративных вариантах реализации формулы II R7 представляет собой метил, этил, пропил, изопропил, бутил, втор-бутил, трет-бутил, пентил, втор-пентил, трет-пентил, неопентил, 3-пентил, гексил, трет-гексил, 4-септил, циклопропил, циклобутил, циклопентил, циклогексил, фенил, 2,6-диметилфенил, изопропоксид, трет-бутоксид, N-пропиламино, N-изопропиламино, N-трет-бутиламино, N,N-диметиламино, N,N-диэтиламино и N,N-дипропиламино. В иллюстративных вариантах реализации формулы II R8 представляет собой метил, этил, пропил, изопропил, бутил, втор-бутил, трет-бутил, пентил, втор-пентил, трет-пентил, неопентил, 3-пентил, гексил, трет-гексил, 4-септил, циклопропил, циклобутил, циклопентил, циклогексил, фенил, 2,6-диметилфенил, изопропоксид, трет-бутоксид, N-пропиламино, N-изопропиламино, N-трет-бутиламино, N,N-диметиламино, N,N-диэтиламино и N,N-дипропиламино. В иллюстративных вариантах реализации формулы II R9 представляет собой метил, этил, пропил, изопропил, бутил, втор-бутил, трет-бутил, пентил, втор-пентил, трет-пентил, неопентил, 3-пентил, гексил, трет-гексил, 4-септил, циклопропил, циклобутил, циклопентил, циклогексил, фенил, 2,6-диметилфенил, изопропоксид, трет-бутоксид, N-пропиламино, N-изопропиламино, N-трет-бутиламино, N,N-диметиламино, N,N-диэтиламино и N,N-дипропиламино. В некоторых вариантах реализации настоящее изобретение относится к соединению формулы III, или его фармацевтической или физиологической соли, где W представляет собой N или CR'; Z представляет собой N или CR''; R' представляет собой водород, дейтерий, галоген, гидроксил, амино, тиол, алкил, алкенил, алкинил, арил, гетероарил, карбоциклил, гетерокарбоциклил, циклоалкил, гетероциклил или ацил, причем R' необязательно замещен одним или более одинаковыми или различными R10; R'' представляет собой водород, дейтерий, галоген, гидроксил, амино, тиол, алкил, алкенил, алкинил, арил, гетероарил, карбоциклил, гетерокарбоциклил, циклоалкил, гетероциклил или ацил, причем R'' необязательно замещен одним или более одинаковыми или различными R10; R1 выбран из Н, необязательно замещенных сложных эфиров, необязательно замещенных разветвленных сложных эфиров, необязательно замещенных карбонатов, необязательно замещенных карбаматов, необязательно замещенных сложных тиоэфиров, необязательно замещенных разветвленных сложных тиоэфиров, необязательно замещенных тиокарбонатов, необязательно замещенного S-тиокарбоната, необязательно замещенных дитиокарбонатов, необязательно замещенных тиокарбаматов, необязательно замещенного оксиметоксикарбонила, необязательно замещенного оксиметокситиокарбонила, необязательно замещенного оксиметилкарбонила, необязательно замещенного оксиметилтиокарбонила, сложных эфиров L-аминокислот, сложных эфиров D-аминокислот, сложных эфиров N-замещенных L-аминокислот, сложных эфиров N,N-дизамещенных L-аминокислот, сложных эфиров N-замещенных D-аминокислот, сложных эфиров N,N-дизамещенных D-аминокислот, необязательно замещенного сульфенила, необязательно замещенного имидата, необязательно замещенного гидразоната, необязательно замещенного оксимила, необязательно замещенного имидинила, необязательно замещенного имидила, необязательно замещенного аминаля, необязательно замещенного гемиаминаля, необязательно замещенного ацеталя, необязательно замещенного гемиацеталя, необязательно замещенного карбонимидата, необязательно замещенного тиокарбонимидата, необязательно замещенного карбонимидила, необязательно замещенного карбамимидата, необязательно замещенного карбамимидила, необязательно замещенного тиоацеталя, необязательно замещенного 3-ацил-2-тиоэтила, необязательно замещенных сложных бис-(ацилоксибензил)эфиров, необязательно замещенных сложных (ацилоксибензил)эфиров и сложных ВАВ-эфиров, причем R1 необязательно замещен одним или более одинаковыми или различными R10; Y представляет собой О или S; Y1 представляет собой ОН, OY3 или BH3-M+; Y2 представляет собой ОН или BH3-M+; Y3 представляет собой арил, гетероарил или гетероциклил, причем Y3 необязательно замещен одним или более одинаковыми или различными R10; R2, R2, R3, R3, каждый независимо, выбраны из водорода, дейтерия, алкила, алкенила, алкинила, алленила, алкокси, гидрокси, тиола, амино, азидо, формила, ацила, циано, галогена, арила, гетероарила, гетероциклила, карбоциклила, гетерокарбоциклила, сульфинила, сульфамоила или сульфонила, причем R2, R2', R3, R3' необязательно замещены одним или более одинаковыми или различными R10; R2 и R2' могут образовывать кольцо с атомом углерода, к которому они присоединены, причем указанное кольцо необязательно замещено одним или более одинаковыми или различными R10; R3 и R3' могут образовывать кольцо с атомом углерода, к которому они присоединены, причем указанное кольцо необязательно замещено одним или более одинаковыми или различными R10; R4 представляет собой водород или дейтерий; R5 представляет собой водород, алкил, алкенил, алкинил, карбоциклил, гетерокарбоциклил, арил, гетероарил, гетероциклил, циклоалкил, циклоалкенил, алленил или липид, причем R5 необязательно замещен одним или более одинаковыми или различными R10; R6, R6', R6'' и R6''', каждый независимо, выбраны из водорода, дейтерия, гидроксила, амино, азидо, тиола, ацила, формила, галогена, нитро, алкила, алкенила, алкинила, карбоциклила, гетерокарбоциклила, арила, гетероарила, гетероциклила, циклоалкила, циклоалкенила, алкокси, карбоциклокси, гетерокарбоциклокси, арилокси, гетероарилокси, гетероциклокси, циклоалкокси, циклоалкенокси, алкиламино, (алкил)2амино, карбоцикламино, гетерокарбоцикламино, ариламино, гетероариламино, гетероцикламино, циклоалкамино, циклоалкенамино, алкилтио, карбоциклилтио, гетерокарбоциклилтио, арилтио, гетероарилтио, гетероциклилтио, циклоалкилтио, циклоалкенилтио, сульфинила, сульфамоила, сульфонила, алленила, циано или липида, причем каждый из R6, R6', R6'' и R6''' может быть необязательно замещен одним или более одинаковыми или различными R10; R7 и R7', каждый независимо, выбраны из водорода, дейтерия, гидрокси, азидо, тиола, амино, циано, галогена, алкила, алкенила, алкинила, карбоциклила, гетерокарбоциклила, арила, гетероарила, гетероциклила, циклоалкила, циклоалкенила, алкокси, карбоциклокси, гетерокарбоциклокси, арилокси, гетероарилокси, гетероциклокси, циклоалкокси, циклоалкенокси, алкиламино, (алкил)2амино, карбоцикламино, гетерокарбоцикламино, ариламино, гетероариламино, гетероцикламино, циклоалкамино, циклоалкенамино, алкилтио, карбоциклилтио, гетерокарбоциклилтио, арилтио, гетероарилтио, гетероциклилтио, цикпоалкилтио, циклоалкенилтио, алленила, сульфинила, сульфамоила, сульфонила, липида, нитро или карбонила, причем R7 необязательно замещен одним или более одинаковыми или различными R10; R8 представляет собой дейтерий, гидрокси, азидо, тиол, амино, циано, галоген, алкил, алкенил, алкинил, карбоциклил, гетерокарбоциклил, арил, гетероарил, гетероциклил, циклоалкил, циклоалкенил, алкокси, карбоциклокси, гетерокарбоциклокси, арилокси, гетероарилокси, гетероциклокси, циклоалкокси, циклоалкенокси, алкиламино, (алкил)2амино, карбоцикламино, гетерокарбоцикламино, ариламино, гетероариламино, гетероцикламино, циклоалкамино, циклоалкенамино, алкилтио, карбоциклилтио, гетерокарбоциклилтио, арилтио, гетероарилтио, гетероциклилтио, циклоалкилтио, циклоалкенилтио, алленил, сульфинил, сульфамоил, сульфонил, липид, нитро или карбонил, причем R8 необязательно замещен одним или более одинаковыми или различными R10; R9 представляет собой дейтерий, гидрокси, азидо, тиол, амино, циано, галоген, алкил, алкенил, алкинил, карбоциклил, гетерокарбоциклил, арил, гетероарил, гетероциклил, циклоалкил, циклоалкенил, алкокси, карбоциклокси, гетерокарбоциклокси, арилокси, гетероарилокси, гетероциклокси, циклоалкокси, циклоалкенокси, алкиламино, (алкил)2амино, карбоцикламино, гетерокарбоцикламино, ариламино, гетероариламино, гетероцикламино, циклоалкамино, циклоалкенамино, алкилтио, карбоциклилтио, гетерокарбоциклилтио, арилтио, гетероарилтио, гетероциклилтио, цикпоалкилтио, циклоалкенилтио, алленил, сульфинил, сульфамоил, сульфонил, липид, нитро или карбонил, причем R9 необязательно замещен одним или более одинаковыми или различными R10; R7, R7', R8 и R9 могут образовывать кольцо с α-атомом углерода, к которому они присоединены, и с аминогруппой, присоединенной к α-атому углерода, причем указанное кольцо необязательно замещено одним или более одинаковыми или различными R10; R7 и R7' могут образовывать кольцо с α-атомом углерода, к которому они присоединены, причем указанное кольцо необязательно замещено одним или более одинаковыми или различными R10; R8 и R9 могут образовывать кольцо с α-атомом углерода, к которому они присоединены, причем указанное кольцо необязательно замещено одним или более одинаковыми или различными R10; R10 представляет собой дейтерий, гидрокси, азидо, тиол, амино, циано, галоген, алкил, алкенил, алкинил, карбоциклил, гетерокарбоциклил, арил, гетероарил, гетероциклил, циклоалкил, циклоалкенил, алкокси, карбоциклокси, гетерокарбоциклокси, арилокси, гетероарилокси, гетероциклокси, циклоалкокси, циклоалкенокси, алкиламино, (алкил)2амино, карбоцикламино, гетерокарбоцикламино, ариламино, гетероариламино, гетероцикламино, циклоалкамино, циклоалкенамино, алкилтио, карбоциклилтио, гетерокарбоциклилтио, арилтио, гетероарилтио, гетероциклилтио, циклоалкилтио, циклоалкенилтио, алленил, сульфинил, сульфамоил, сульфонил, липид, нитро или карбонил, причем R10 необязательно замещен одним или более одинаковыми или различными R11; R11 представляет собой дейтерий, гидрокси, азидо, тиол, амино, циано, галоген, алкил, алкенил, алкинил, карбоциклил, гетерокарбоциклил, арил, гетероарил, гетероциклил, циклоалкил, циклоалкенил, алкокси, карбоциклокси, гетерокарбоциклокси, арилокси, гетероарилокси, гетероциклокси, циклоалкокси, циклоалкенокси, алкиламино, (алкил)2амино, карбоцикламино, гетерокарбоцикламино, ариламино, гетероариламино, гетероцикламино, циклоалкамино, циклоалкенамино, алкилтио, карбоциклилтио, гетерокарбоциклилтио, арилтио, гетероарилтио, гетероциклилтио, циклоалкилтио, циклоалкенилтио, алленил, сульфинил, сульфамоил, сульфонил, липид, нитро или карбонил; и липид представляет собой С11-С22 высший алкил, С11-С22 высший алкокси, полиэтиленгликоль или арил, замещенный алкильной группой, или липид, описанный в настоящем документе. В иллюстративных вариантах реализации формулы III R1 представляет собой водород, В иллюстративных вариантах реализации формулы III W представляет собой CR'. В иллюстративных вариантах реализации формулы III Z представляет собой CR''. В иллюстративных вариантах реализации формулы III R' представляет собой Н, F, Cl, ОН, метил, гидроксиметил, фторметил, дифторметил, трифторметил, винил, этинил, формил. В иллюстративных вариантах реализации формулы III R'' представляет собой Н, F, Cl, ОН, метил, гидроксиметил, фторметил, дифторметил, трифторметил, винил, этинил, формил. В иллюстративных вариантах реализации формулы III R2, R2', R3, R3' представляют собой водород, гидроксил, амино, фтор, хлор, циано, метил, фторметил, метокси, винил, этинил и хлорэтинил. В иллюстративных вариантах реализации формулы III R5 представляет собой липид, метил, этил, пропил, изопропил, бутил, втор-бутил, трет-бутил, пентил, втор-пентил, трет-пентил, неопентил, 3-пентил, гексил, трет-гексил, 4-септил, циклопропил, циклобутил, циклопентил, циклогексил, фенил, 2,6-диметилфенил, изопропоксид, трет-бутоксид, N-пропиламино, N-изопропиламино, N-трет-бутиламино, N,N-диметиламино, N,N-диэтиламино и N,N-дипропиламино. В иллюстративных вариантах реализации формулы III R6 представляет собой водород, гидроксил, фтор, хлор, амино, липид, метил, метокси, этил, пропил, изопропил, бутил, втор-бутил, трет-бутил, пентил, втор-пентил, трет-пентил, неопентил, 3-пентил, гексил, трет-гексил, 4-септил, циклопропил, циклобутил, циклопентил, циклогексил, фенил, 2,6-диметилфенил, изопропоксид, трет-бутоксид, N-пропиламино, N-изопропиламино, N-трет-бутиламино, N,N-диметиламино, N,N-диэтиламино и N,N-дипропиламино. В иллюстративных вариантах реализации формулы III R7 представляет собой метил, этил, пропил, изопропил, бутил, втор-бутил, трет-бутил, пентил, втор-пентил, трет-пентил, неопентил, 3-пентил, гексил, трет-гексил, 4-септил, циклопропил, циклобутил, циклопентил, циклогексил, фенил, 2,6-диметилфенил, изопропоксид, трет-бутоксид, N-пропиламино, N-изопропиламино, N-трет-бутиламино, N,N-диметиламино, N,N-диэтиламино и N,N-дипропиламино. В иллюстративных вариантах реализации формулы III R8 представляет собой метил, этил, пропил, изопропил, бутил, втор-бутил, трет-бутил, пентил, втор-пентил, трет-пентил, неопентил, 3-пентил, гексил, трет-гексил, 4-септил, циклопропил, циклобутил, циклопентил, циклогексил, фенил, 2,6-диметилфенил, изопропоксид, трет-бутоксид, N-пропиламино, N-изопропиламино, N-трет-бутиламино, N,N-диметиламино, N,N-диэтиламино и N,N-дипропиламино. В иллюстративных вариантах реализации формулы III R9 представляет собой метил, этил, пропил, изопропил, бутил, втор-бутил, трет-бутил, пентил, втор-пентил, трет-пентил, неопентил, 3-пентил, гексил, трет-гексил, 4-септил, циклопропил, циклобутил, циклопентил, циклогексил, фенил, 2,6-диметилфенил, изопропоксид, трет-бутоксид, N-пропиламино, N-изопропиламино, N-трет-бутиламино, N,N-диметиламино, N,N-диэтиламино и N,N-дипропиламино. В некоторых вариантах реализации настоящее изобретение относится к соединению формулы IV, или его фармацевтической или физиологической соли, где W представляет собой N или CR'; Z представляет собой N или CR''; R' представляет собой водород, дейтерий, галоген, гидроксил, амино, тиол, алкил, алкенил, алкинил, арил, гетероарил, карбоциклил, гетерокарбоциклил, циклоалкил, гетероциклил или ацил, причем R' необязательно замещен одним или более одинаковыми или различными R10; R'' представляет собой водород, дейтерий, галоген, гидроксил, амино, тиол, алкил, алкенил, алкинил, арил, гетероарил, карбоциклил, гетерокарбоциклил, циклоалкил, гетероциклил или ацил, причем R'' необязательно замещен одним или более одинаковыми или различными R10; R2, R2', R3, R3', каждый независимо, выбраны из водорода, дейтерия, алкила, алкенила, алкинила, алленила, алкокси, гидрокси, тиола, амино, азидо, формила, ацила, циано, галогена, арила, гетероарила, гетероциклила, карбоциклила, гетерокарбоциклила, сульфинила, сульфамоила или сульфонила, причем R2, R2', R3, R3' необязательно замещены одним или более одинаковыми или различными R10; R2 и R2' могут образовывать кольцо с атомом углерода, к которому они присоединены, причем указанное кольцо необязательно замещено одним или более одинаковыми или различными R10; R3 и R3' могут образовывать кольцо с атомом углерода, к которому они присоединены, причем указанное кольцо необязательно замещено одним или более одинаковыми или различными R10; R4 представляет собой водород или дейтерий; R10 представляет собой дейтерий, гидрокси, азидо, тиол, амино, циано, галоген, алкил, алкенил, алкинил, карбоциклил, гетерокарбоциклил, арил, гетероарил, гетероциклил, циклоалкил, циклоалкенил, алкокси, карбоциклокси, гетерокарбоциклокси, арилокси, гетероарилокси, гетероциклокси, циклоалкокси, циклоалкенокси, алкиламино, (алкил)2амино, карбоцикламино, гетерокарбоцикламино, ариламино, гетероариламино, гетероцикламино, циклоалкамино, циклоалкенамино, алкилтио, карбоциклилтио, гетерокарбоциклилтио, арилтио, гетероарилтио, гетероциклилтио, циклоалкилтио, циклоалкенилтио, алленил, сульфинил, сульфамоил, сульфонил, липид, нитро или карбонил, причем R10 необязательно замещен одним или более одинаковыми или различными R11; R11 представляет собой дейтерий, гидрокси, азидо, тиол, амино, циано, галоген, алкил, алкенил, алкинил, карбоциклил, гетерокарбоциклил, арил, гетероарил, гетероциклил, циклоалкил, циклоалкенил, алкокси, карбоциклокси, гетерокарбоциклокси, арилокси, гетероарилокси, гетероциклокси, циклоалкокси, циклоалкенокси, алкиламино, (алкил)2амино, карбоцикламино, гетерокарбоцикламино, ариламино, гетероариламино, гетероцикламино, циклоалкамино, циклоалкенамино, алкилтио, карбоциклилтио, гетерокарбоциклилтио, арилтио, гетероарилтио, гетероциклилтио, циклоалкилтио, циклоалкенилтио, алленил, сульфинил, сульфамоил, сульфонил, липид, нитро или карбонил; и липид представляет собой С11-С22 высший алкил, С11-С22 высший алкокси, полиэтиленгликоль или арил, замещенный алкильной группой, или липид, описанный в настоящем документе. В иллюстративных вариантах реализации формулы IV W представляет собой CR'. В иллюстративных вариантах реализации формулы IV Z представляет собой CR''. В иллюстративных вариантах реализации формулы IV R' представляет собой Н, F, Cl, ОН, метил, гидроксиметил, фторметил, дифторметил, трифторметил, винил, этинил, формил. В иллюстративных вариантах реализации формулы IV R'' представляет собой Н, F, Cl, ОН, метил, гидроксиметил, фторметил, дифторметил, трифторметил, винил, этинил, формил. В иллюстративных вариантах реализации формулы IV R2, R2', R3, R3' представляют собой водород, гидроксил, амино, фтор, хлор, циано, метил, фторметил, метокси, винил, этинил и хлорэтинил. В некоторых вариантах реализации настоящее изобретение относится к соединению формулы V, или его фармацевтической или физиологической соли, где W представляет собой N или CR'; Z представляет собой N или CR''; R' представляет собой водород, дейтерий, галоген, гидроксил, амино, тиол, алкил, алкенил, алкинил, арил, гетероарил, карбоциклил, гетерокарбоциклил, циклоалкил, гетероциклил или ацил, причем R' необязательно замещен одним или более одинаковыми или различными R10; R'' представляет собой водород, дейтерий, галоген, гидроксил, амино, тиол, алкил, алкенил, алкинил, арил, гетероарил, карбоциклил, гетерокарбоциклил, циклоалкил, гетероциклил или ацил, причем R'' необязательно замещен одним или более одинаковыми или различными R10; R2, R2', R3, R3', каждый независимо, выбраны из водорода, дейтерия, алкила, алкенила, алкинила, алленила, алкокси, гидрокси, тиола, амино, азидо, формила, ацила, циано, галогена, арила, гетероарила, гетероциклила, карбоциклила, гетерокарбоциклила, сульфинила, сульфамоила или сульфонила, причем R2, R2', R3, R3' необязательно замещены одним или более одинаковыми или различными R10; R2 и R2' могут образовывать кольцо с атомом углерода, к которому они присоединены, причем указанное кольцо необязательно замещено одним или более одинаковыми или различными R10; R3 и R3' могут образовывать кольцо с атомом углерода, к которому они присоединены, причем указанное кольцо необязательно замещено одним или более одинаковыми или различными R10; R4 представляет собой водород или дейтерий; R10 представляет собой дейтерий, гидрокси, азидо, тиол, амино, циано, галоген, алкил, алкенил, алкинил, карбоциклил, гетерокарбоциклил, арил, гетероарил, гетероциклил, циклоалкил, циклоалкенил, алкокси, карбоциклокси, гетерокарбоциклокси, арилокси, гетероарилокси, гетероциклокси, циклоалкокси, циклоалкенокси, алкиламино, (алкил)2амино, карбоцикламино, гетерокарбоцикламино, ариламино, гетероариламино, гетероцикламино, циклоалкамино, циклоалкенамино, алкилтио, карбоциклилтио, гетерокарбоциклилтио, арилтио, гетероарилтио, гетероциклилтио, циклоалкилтио, циклоалкенилтио, алленил, сульфинил, сульфамоил, сульфонил, липид, нитро или карбонил, причем R10 необязательно замещен одним или более одинаковыми или различными R11; R11 представляет собой дейтерий, гидрокси, азидо, тиол, амино, циано, галоген, алкил, алкенил, алкинил, карбоциклил, гетерокарбоциклил, арил, гетероарил, гетероциклил, циклоалкил, циклоалкенил, алкокси, карбоциклокси, гетерокарбоциклокси, арилокси, гетероарилокси, гетероциклокси, циклоалкокси, циклоалкенокси, алкиламино, (алкил)2амино, карбоцикламино, гетерокарбоцикламино, ариламино, гетероариламино, гетероцикламино, циклоалкамино, циклоалкенамино, алкилтио, карбоциклилтио, гетерокарбоциклилтио, арилтио, гетероарилтио, гетероциклилтио, циклоалкилтио, циклоалкенилтио, алленил, сульфинил, сульфамоил, сульфонил, липид, нитро или карбонил; и липид представляет собой С11-С22 высший алкил, С11-С22 высший алкокси, полиэтиленгликоль или арил, замещенный алкильной группой, или липид, описанный в настоящем документе. В иллюстративных вариантах реализации формулы V W представляет собой CR'. В иллюстративных вариантах реализации формулы V Z представляет собой CR''. В иллюстративных вариантах реализации формулы V R' представляет собой Н, F, Cl, ОН, метил, гидроксиметил, фторметил, дифторметил, трифторметил, винил, этинил, формил. В иллюстративных вариантах реализации формулы V R'' представляет собой Н, F, Cl, ОН, метил, гидроксиметил, фторметил, дифторметил, трифторметил, винил, этинил, формил. В иллюстративных вариантах реализации формулы V R2, R2', R3, R3' представляют собой водород, гидроксил, амино, фтор, хлор, циано, метил, фторметил, метокси, винил, этинил и хлорэтинил. В некоторых вариантах реализации настоящее изобретение относится к соединению формулы VI, или его фармацевтической или физиологической соли, где W представляет собой N или CR'; Z представляет собой N или CR''; R' представляет собой водород, дейтерий, галоген, гидроксил, амино, тиол, алкил, алкенил, алкинил, арил, гетероарил, карбоциклил, гетерокарбоциклил, циклоалкил, гетероциклил или ацил, причем R' необязательно замещен одним или более одинаковыми или различными R10; R'' представляет собой водород, дейтерий, галоген, гидроксил, амино, тиол, алкил, алкенил, алкинил, арил, гетероарил, карбоциклил, гетерокарбоциклил, циклоалкил, гетероциклил или ацил, причем R'' необязательно замещен одним или более одинаковыми или различными R10; R2, R2', R3, R3', каждый независимо, выбраны из водорода, дейтерия, алкила, алкенила, алкинила, алленила, алкокси, гидрокси, тиола, амино, азидо, формила, ацила, циано, галогена, арила, гетероарила, гетероциклила, карбоциклила, гетерокарбоциклила, сульфинила, сульфамоила или сульфонила, причем R2, R2', R3, R3' необязательно замещены одним или более одинаковыми или различными R10; R2 и R2' могут образовывать кольцо с атомом углерода, к которому они присоединены, причем указанное кольцо необязательно замещено одним или более одинаковыми или различными R10; R3 и R3' могут образовывать кольцо с атомом углерода, к которому они присоединены, причем указанное кольцо необязательно замещено одним или более одинаковыми или различными R10; R4 представляет собой водород или дейтерий; R6, R6', R6'' и R6''', каждый независимо, выбраны из водорода, дейтерия, гидроксила, амино, азидо, тиола, ацила, формила, галогена, нитро, алкила, алкенила, алкинила, карбоциклила, гетерокарбоциклила, арила, гетероарила, гетероциклила, циклоалкила, циклоалкенила, алкокси, карбоциклокси, гетерокарбоциклокси, арилокси, гетероарилокси, гетероциклокси, циклоалкокси, циклоалкенокси, алкиламино, (алкил)2амино, карбоцикламино, гетерокарбоцикламино, ариламино, гетероариламино, гетероцикламино, циклоалкамино, циклоалкенамино, алкилтио, карбоциклилтио, гетерокарбоциклилтио, арилтио, гетероарилтио, гетероциклилтио, циклоалкилтио, циклоалкенилтио, сульфинила, сульфамоила, сульфонила, алленила, циано или липида, причем каждый из R6, R6', R6'' и R6''' может быть необязательно замещен одним или более одинаковыми или различными R10; R10 представляет собой дейтерий, гидрокси, азидо, тиол, амино, циано, галоген, алкил, алкенил, алкинил, карбоциклил, гетерокарбоциклил, арил, гетероарил, гетероциклил, циклоалкил, циклоалкенил, алкокси, карбоциклокси, гетерокарбоциклокси, арилокси, гетероарилокси, гетероциклокси, циклоалкокси, циклоалкенокси, алкиламино, (алкил)2амино, карбоцикламино, гетерокарбоцикламино, ариламино, гетероариламино, гетероцикламино, циклоалкамино, циклоалкенамино, алкилтио, карбоциклилтио, гетерокарбоциклилтио, арилтио, гетероарилтио, гетероциклилтио, циклоалкилтио, циклоалкенилтио, алленил, сульфинил, сульфамоил, сульфонил, липид, нитро или карбонил, причем R10 необязательно замещен одним или более одинаковыми или различными R11; R11 представляет собой дейтерий, гидрокси, азидо, тиол, амино, циано, галоген, алкил, алкенил, алкинил, карбоциклил, гетерокарбоциклил, арил, гетероарил, гетероциклил, циклоалкил, циклоалкенил, алкокси, карбоциклокси, гетерокарбоциклокси, арилокси, гетероарилокси, гетероциклокси, циклоалкокси, циклоалкенокси, алкиламино, (алкил)2амино, карбоцикламино, гетерокарбоцикламино, ариламино, гетероариламино, гетероцикламино, циклоалкамино, циклоалкенамино, алкилтио, карбоциклилтио, гетерокарбоциклилтио, арилтио, гетероарилтио, гетероциклилтио, циклоалкилтио, циклоалкенилтио, алленил, сульфинил, сульфамоил, сульфонил, липид, нитро или карбонил; и липид представляет собой С11-С22 высший алкил, С11-С22 высший алкокси, полиэтиленгликоль или арил, замещенный алкильной группой, или липид, описанный в настоящем документе. В иллюстративных вариантах реализации формулы VI W представляет собой CR'. В иллюстративных вариантах реализации формулы VI Z представляет собой CR''. В иллюстративных вариантах реализации формулы VI R' представляет собой Н, F, Cl, ОН, метил, гидроксиметил, фторметил, дифторметил, трифторметил, винил, этинил, формил. В иллюстративных вариантах реализации формулы VI R'' представляет собой Н, F, Cl, ОН, метил, гидроксиметил, фторметил, дифторметил, трифторметил, винил, этинил, формил. В иллюстративных вариантах реализации формулы VI R2, R2', R3, R3' представляют собой водород, гидроксил, амино, фтор, хлор, циано, метил, фторметил, метокси, винил, этинил и хлорэтинил. В иллюстративных вариантах реализации формулы VI все R6, R6', R6'' и R6''' представляют собой водород. В иллюстративных вариантах реализации формулы VI R6, R6' и R6'' представляют собой водород, и R6''' представляет собой метил. В иллюстративных вариантах реализации формулы VI R6, R6' и R6'' представляют собой водород, и R6''' представляет собой метокси. В иллюстративных вариантах реализации формулы VI R6, R6'' и R6''' представляют собой водород, и R6' представляет собой метил. В иллюстративных вариантах реализации формулы VI R6, R6'' и R6''' представляют собой водород, и R6' представляет собой метокси. В иллюстративных вариантах реализации формулы VI R6, R6'' и R6''' представляют собой водород, и R6' представляет собой фтор. В иллюстративных вариантах реализации формулы VI R6, R6'' и R6''' представляют собой водород, и R6' представляет собой трет-бутил. В иллюстративных вариантах реализации формулы VI R6, R6'' и R6''' представляют собой водород, и R6' представляет собой хлор. В иллюстративных вариантах реализации формулы VI R6 и R6'' представляют собой водород, a R6' и R6''' представляют собой метил. В иллюстративных вариантах реализации формулы VI R6', R6'' и R6''' представляют собой водород, и R6 представляет собой фтор. В иллюстративных вариантах реализации формулы VI R6'' представляет собой водород, R6' и R6''' представляют собой трет-бутил, и R6 представляет собой фтор. В некоторых вариантах реализации настоящее изобретение относится к соединению формулы VII, или его фармацевтической или физиологической соли, где X представляет собой СН2, СНМе, СМе2, CHF, CF2 или CD2; U представляет собой О, S, NH, NR7, СН2, CHF, CF2, ССН2 или CCF2; Q представляет собой природное или неприродное нуклеооснование; R1 выбран из Н, необязательно замещенных сложных эфиров, необязательно замещенных разветвленных сложных эфиров, необязательно замещенных карбонатов, необязательно замещенных карбаматов, необязательно замещенных сложных тиоэфиров, необязательно замещенных разветвленных сложных тиоэфиров, необязательно замещенных тиокарбонатов, необязательно замещенного S-тиокарбоната, необязательно замещенных дитиокарбонатов, необязательно замещенных тиокарбаматов, необязательно замещенного оксиметоксикарбонила, необязательно замещенного оксиметокситиокарбонила, необязательно замещенного оксиметилкарбонила, необязательно замещенного оксиметилтиокарбонила, сложных эфиров L-аминокислот, сложных эфиров D-аминокислот, сложных эфиров N-замещенных L-аминокислот, сложных эфиров N,N-дизамещенных L-аминокислот, сложных эфиров N-замещенных D-аминокислот, сложных эфиров N,N-дизамещенных D-аминокислот, необязательно замещенного сульфенила, необязательно замещенного имидата, необязательно замещенного гидразоната, необязательно замещенного оксимила, необязательно замещенного имидинила, необязательно замещенного имидила, необязательно замещенного аминаля, необязательно замещенного гемиаминаля, необязательно замещенного ацеталя, необязательно замещенного гемиацеталя, необязательно замещенного карбонимидата, необязательно замещенного тиокарбонимидата, необязательно замещенного карбонимидила, необязательно замещенного карбамимидата, необязательно замещенного карбамимидила, необязательно замещенного тиоацеталя, необязательно замещенного S-ацил-2-тиоэтила, необязательно замещенных сложных бис-(ацилоксибензил)эфиров, необязательно замещенных сложных (ацилоксибензил)эфиров и сложных ВАВ-эфиров, причем R1 необязательно замещен одним или более одинаковыми или различными R10; Y представляет собой О или S; Y1 представляет собой ОН, OY3 или ВН3-М+; Y2 представляет собой ОН или ВН3-М+; Y3 представляет собой арил, гетероарил или гетероциклил, причем Y3 необязательно замещен одним или более одинаковыми или различными R10; R2, R2', R3, R3', каждый независимо, выбраны из водорода, дейтерия, алкила, алкенила, алкинила, алленила, алкокси, гидрокси, тиола, амино, азидо, формила, ацила, циано, галогена, арила, гетероарила, гетероциклила, карбоциклила, гетерокарбоциклила, сульфинила, сульфамоил а или сульфонила, причем R2, R2', R3, R3' необязательно замещены одним или более одинаковыми или различными R10; R2 и R2' могут образовывать кольцо с атомом углерода, к которому они присоединены, причем указанное кольцо необязательно замещено одним или более одинаковыми или различными R10; R3 и R3' могут образовывать кольцо с атомом углерода, к которому они присоединены, причем указанное кольцо необязательно замещено одним или более одинаковыми или различными R10; R5 представляет собой водород, алкил, алкенил, алкинил, карбоциклил, гетерокарбоциклил, арил, гетероарил, гетероциклил, циклоалкил, циклоалкенил, алленил или липид, причем R5 необязательно замещен одним или более одинаковыми или различными R10; R6, R6', R6'' и R6''', каждый независимо, выбраны из водорода, дейтерия, гидроксила, амино, азидо, тиола, ацила, формила, галогена, нитро, алкила, алкенила, алкинила, карбоциклила, гетерокарбоциклила, арила, гетероарила, гетероциклила, циклоалкила, циклоалкенила, алкокси, карбоциклокси, гетерокарбоциклокси, арилокси, гетероарилокси, гетероциклокси, циклоалкокси, циклоалкенокси, алкиламино, (алкил)2амино, карбоцикламино, гетерокарбоцикламино, ариламино, гетероариламино, гетероцикламино, циклоалкамино, циклоалкенамино, алкилтио, карбоциклилтио, гетерокарбоциклилтио, арилтио, гетероарилтио, гетероциклилтио, циклоалкилтио, циклоалкенилтио, сульфинила, сульфамоила, сульфонила, алленила, циано или липида, причем каждый из R6, R6', R6'' и R6''' может быть необязательно замещен одним или более одинаковыми или различными R10; R7 и R7', каждый независимо, выбраны из водорода, дейтерия, гидрокси, азидо, тиола, амино, циано, галогена, алкила, алкенила, алкинила, карбоциклила, гетерокарбоциклила, арила, гетероарила, гетероциклила, циклоалкила, циклоалкенила, алкокси, карбоциклокси, гетерокарбоциклокси, арилокси, гетероарилокси, гетероциклокси, циклоалкокси, циклоалкенокси, алкиламино, (алкил)2амино, карбоцикламино, гетерокарбоцикламино, ариламино, гетероариламино, гетероцикламино, циклоалкамино, циклоалкенамино, алкилтио, карбоциклилтио, гетерокарбоциклилтио, арилтио, гетероарилтио, гетероциклилтио, циклоалкилтио, циклоалкенилтио, алленила, сульфинила, сульфамоила, сульфонила, липида, нитро или карбонила, причем R7 необязательно замещен одним или более одинаковыми или различными R10; R8 представляет собой дейтерий, гидрокси, азидо, тиол, амино, циано, галоген, алкил, алкенил, алкинил, карбоциклил, гетерокарбоциклил, арил, гетероарил, гетероциклил, циклоалкил, циклоалкенил, алкокси, карбоциклокси, гетерокарбоциклокси, арилокси, гетероарилокси, гетероциклокси, циклоалкокси, циклоалкенокси, алкиламино, (алкил)2амино, карбоцикламино, гетерокарбоцикламино, ариламино, гетероариламино, гетероцикламино, циклоалкамино, циклоалкенамино, алкилтио, карбоциклилтио, гетерокарбоциклилтио, арилтио, гетероарилтио, гетероциклилтио, циклоалкилтио, циклоалкенилтио, алленил, сульфинил, сульфамоил, сульфонил, липид, нитро или карбонил, причем R8 необязательно замещен одним или более одинаковыми или различными R10; R9 представляет собой дейтерий, гидрокси, азидо, тиол, амино, циано, галоген, алкил, алкенил, алкинил, карбоциклил, гетерокарбоциклил, арил, гетероарил, гетероциклил, циклоалкил, циклоалкенил, алкокси, карбоциклокси, гетерокарбоциклокси, арилокси, гетероарилокси, гетероциклокси, циклоалкокси, циклоалкенокси, алкиламино, (алкил)2амино, карбоцикламино, гетерокарбоцикламино, ариламино, гетероариламино, гетероцикламино, циклоалкамино, циклоалкенамино, алкилтио, карбоциклилтио, гетерокарбоциклилтио, арилтио, гетероарилтио, гетероциклилтио, циклоалкилтио, циклоалкенилтио, алленил, сульфинил, сульфамоил, сульфонил, липид, нитро или карбонил, причем R9 необязательно замещен одним или более одинаковыми или различными R10; R7, R7', R8 и R9 могут образовывать кольцо с α-атомом углерода, к которому они присоединены, и с аминогруппой, присоединенной к α-атому углерода, причем указанное кольцо необязательно замещено одним или более одинаковыми или различными R10; R7 и R7' могут образовывать кольцо с α-атомом углерода, к которому они присоединены, причем указанное кольцо необязательно замещено одним или более одинаковыми или различными R10; R8 и R9 могут образовывать кольцо с α-атомом углерода, к которому они присоединены, причем указанное кольцо необязательно замещено одним или более одинаковыми или различными R10; R10 представляет собой дейтерий, гидрокси, азидо, тиол, амино, циано, галоген, алкил, алкенил, алкинил, карбоциклил, гетерокарбоциклил, арил, гетероарил, гетероциклил, циклоалкил, циклоалкенил, алкокси, карбоциклокси, гетерокарбоциклокси, арилокси, гетероарилокси, гетероциклокси, циклоалкокси, циклоалкенокси, алкиламино, (алкил)2амино, карбоцикламино, гетерокарбоцикламино, ариламино, гетероариламино, гетероцикламино, циклоалкамино, циклоалкенамино, алкилтио, карбоциклилтио, гетерокарбоциклилтио, арилтио, гетероарилтио, гетероциклилтио, циклоалкилтио, циклоалкенилтио, алленил, сульфинил, сульфамоил, сульфонил, липид, нитро или карбонил, причем R10 необязательно замещен одним или более одинаковыми или различными R11; R11 представляет собой дейтерий, гидрокси, азидо, тиол, амино, циано, галоген, алкил, алкенил, алкинил, карбоциклил, гетерокарбоциклил, арил, гетероарил, гетероциклил, циклоалкил, циклоалкенил, алкокси, карбоциклокси, гетерокарбоциклокси, арилокси, гетероарилокси, гетероциклокси, циклоалкокси, циклоалкенокси, алкиламино, (алкил)2амино, карбоцикламино, гетерокарбоцикламино, ариламино, гетероариламино, гетероцикламино, циклоалкамино, циклоалкенамино, алкилтио, карбоциклилтио, гетерокарбоциклилтио, арилтио, гетероарилтио, гетероциклилтио, циклоалкилтио, циклоалкенилтио, алленил, сульфинил, сульфамоил, сульфонил, липид, нитро или карбонил; и липид представляет собой С11-С22 высший алкил, С11-С22 высший алкокси, полиэтиленгликоль или арил, замещенный алкильной группой, или липид, описанный в настоящем документе. В иллюстративных вариантах реализации формулы VII R1 представляет собой водород, В иллюстративных вариантах реализации формулы VII X представляет собой СН2. В иллюстративных вариантах реализации формулы VII U представляет собой О. В иллюстративных вариантах реализации формулы VII Q представляет собой урацил, цитозин, аденин и гуанин. В иллюстративных вариантах реализации формулы VII R2, R2', R3, R3' представляют собой водород, гидроксил, амино, фтор, хлор, циано, метил, фторметил, метокси, винил, этинил и хлорэтинил. В иллюстративных вариантах реализации формулы VII R5 представляет собой липид, метил, этил, пропил, изопропил, бутил, втор-бутил, трет-бутил, пентил, втор-пентил, трет-пентил, неопентил, 3-пентил, гексил, трет-гексил, 4-септил, циклопропил, циклобутил, циклопентил, циклогексил, фенил, 2,6-диметилфенил, изопропоксид, трет-бутоксид, N-пропиламино, N-изопропиламино, N-трет-бутиламино, N,N-диметиламино, N,N-диэтиламино и N,N-дипропиламино. В иллюстративных вариантах реализации формулы VII R6 представляет собой водород, гидроксил, фтор, хлор, амино, липид, метил, метокси, этил, пропил, изопропил, бутил, втор-бутил, трет-бутил, пентил, втор-пентил, трет-пентил, неопентил, 3-пентил, гексил, трет-гексил, 4-септил, циклопропил, циклобутил, циклопентил, циклогексил, фенил, 2,6-диметилфенил, изопропоксид, трет-бутоксид, N-пропиламино, N-изопропиламино, N-трет-бутиламино, N,N-диметиламино, N,N-диэтиламино и N,N-дипропиламино. В иллюстративных вариантах реализации формулы VII R7 представляет собой метил, этил, пропил, изопропил, бутил, втор-бутил, трет-бутил, пентил, втор-пентил, трет-пентил, неопентил, 3-пентил, гексил, трет-гексил, 4-септил, циклопропил, циклобутил, циклопентил, циклогексил, фенил, 2,6-диметилфенил, изопропоксид, трет-бутоксид, N-пропиламино, N-изопропиламино, N-трет-бутиламино, N,N-диметиламино, N,N-диэтиламино и N,N-дипропиламино. В иллюстративных вариантах реализации формулы VII R8 представляет собой метил, этил, пропил, изопропил, бутил, втор-бутил, трет-бутил, пентил, втор-пентил, трет-пентил, неопентил, 3-пентил, гексил, трет-гексил, 4-септил, циклопропил, циклобутил, циклопентил, циклогексил, фенил, 2,6-диметилфенил, изопропоксид, трет-бутоксид, N-пропиламино, N-изопропиламино, N-трет-бутиламино, N,N-диметиламино, N,N-диэтиламино и N,N-дипропиламино. В иллюстративных вариантах реализации формулы VII R9 представляет собой метил, этил, пропил, изопропил, бутил, втор-бутил, трет-бутил, пентил, втор-пентил, трет-пентил, неопентил, 3-пентил, гексил, трет-гексил, 4-септил, циклопропил, циклобутил, циклопентил, циклогексил, фенил, 2,6-диметилфенил, изопропоксид, трет-бутоксид, N-пропиламино, N-изопропиламино, N-трет-бутиламино, N,N-диметиламино, N,N-диэтиламино и N,N-дипропиламино. В некоторых вариантах реализации настоящее изобретение относится к соединению формулы VIII, или его фармацевтической или физиологической соли, где X представляет собой СН2, СНМе, СМе2, CHF, CF2 или CD2; U представляет собой О, S, NH, NR7, СН2, CHF, CF2, ССН2 или CCF2; W представляет собой N или CR'; Z представляет собой N или CR''; R' представляет собой водород, дейтерий, галоген, гидроксил, амино, тиол, алкил, алкенил, алкинил, арил, гетероарил, карбоциклил, гетерокарбоциклил, циклоалкил, гетероциклил или ацил, причем R' необязательно замещен одним или более одинаковыми или различными R10; R'' представляет собой водород, дейтерий, галоген, гидроксил, амино, тиол, алкил, алкенил, алкинил, арил, гетероарил, карбоциклил, гетерокарбоциклил, циклоалкил, гетероциклил или ацил, причем R'' необязательно замещен одним или более одинаковыми или различными R10; R1 выбран из Н, необязательно замещенных сложных эфиров, необязательно замещенных разветвленных сложных эфиров, необязательно замещенных карбонатов, необязательно замещенных карбаматов, необязательно замещенных сложных тиоэфиров, необязательно замещенных разветвленных сложных тиоэфиров, необязательно замещенных тиокарбонатов, необязательно замещенного S-тиокарбоната, необязательно замещенных дитиокарбонатов, необязательно замещенных тиокарбаматов, необязательно замещенного оксиметоксикарбонила, необязательно замещенного оксиметокситиокарбонила, необязательно замещенного оксиметилкарбонила, необязательно замещенного оксиметилтиокарбонила, сложных эфиров L-аминокислот, сложных эфиров D-аминокислот, сложных эфиров N-замещенных L-аминокислот, сложных эфиров N,N-дизамещенных L-аминокислот, сложных эфиров N-замещенных D-аминокислот, сложных эфиров N,N-дизамещенных D-аминокислот, необязательно замещенного сульфенила, необязательно замещенного имидата, необязательно замещенного гидразоната, необязательно замещенного оксимила, необязательно замещенного имидинила, необязательно замещенного имидила, необязательно замещенного аминаля, необязательно замещенного гемиаминаля, необязательно замещенного ацеталя, необязательно замещенного гемиацеталя, необязательно замещенного карбонимидата, необязательно замещенного тиокарбонимидата, необязательно замещенного карбонимидила, необязательно замещенного карбамимидата, необязательно замещенного карбамимидила, необязательно замещенного тиоацеталя, необязательно замещенного S-ацил-2-тиоэтила, необязательно замещенных сложных бис-(ацилоксибензил)эфиров, необязательно замещенных сложных (ацилоксибензил)эфиров и сложных ВАВ-эфиров, причем R1 необязательно замещен одним или более одинаковыми или различными R10; Y представляет собой О или S; Y1 представляет собой ОН, OY3 или ВН3-М+; Y2 представляет собой ОН или ВН3-М+; Y3 представляет собой арил, гетероарил или гетероциклил, причем Y3 необязательно замещен одним или более одинаковыми или различными R10; R2, R2', R3, R3', каждый независимо, выбраны из водорода, дейтерия, алкила, алкенила, алкинила, алленила, алкокси, гидрокси, тиола, амино, азидо, формила, ацила, циано, галогена, арила, гетероарила, гетероциклила, карбоциклила, гетерокарбоциклила, сульфинила, сульфамоила или сульфонила, причем R2, R2', R3, R3' необязательно замещены одним или более одинаковыми или различными R10; R2 и R2' могут образовывать кольцо с атомом углерода, к которому они присоединены, причем указанное кольцо необязательно замещено одним или более одинаковыми или различными R10; R3 и R3' могут образовывать кольцо с атомом углерода, к которому они присоединены, причем указанное кольцо необязательно замещено одним или более одинаковыми или различными R10; R5 представляет собой водород, алкил, алкенил, алкинил, карбоциклил, гетерокарбоциклил, арил, гетероарил, гетероциклил, циклоалкил, циклоалкенил, алленил или липид, причем R5 необязательно замещен одним или более одинаковыми или различными R10; R6, R6', R6'' и R6''', каждый независимо, выбраны из водорода, дейтерия, гидроксила, амино, азидо, тиола, ацила, формила, галогена, нитро, алкила, алкенила, алкинила, карбоциклила, гетерокарбоциклила, арила, гетероарила, гетероциклила, циклоалкила, циклоалкенила, алкокси, карбоциклокси, гетерокарбоциклокси, арилокси, гетероарилокси, гетероциклокси, циклоалкокси, циклоалкенокси, алкиламино, (алкил)2амино, карбоцикламино, гетерокарбоцикламино, ариламино, гетероариламино, гетероцикламино, циклоалкамино, циклоалкенамино, алкилтио, карбоциклилтио, гетерокарбоциклилтио, арилтио, гетероарилтио, гетероциклилтио, циклоалкилтио, циклоалкенилтио, сульфинила, сульфамоила, сульфонила, алленила, циано или липида, причем каждый из R6, R6', R6'' и R6''' может быть необязательно замещен одним или более одинаковыми или различными R10; R7 и R7', каждый независимо, выбраны из водорода, дейтерия, гидрокси, азидо, тиола, амино, циано, галогена, алкила, алкенила, алкинила, карбоциклила, гетерокарбоциклила, арила, гетероарила, гетероциклила, циклоалкила, циклоалкенила, алкокси, карбоциклокси, гетерокарбоциклокси, арилокси, гетероарилокси, гетероциклокси, циклоалкокси, циклоалкенокси, алкиламино, (алкил)2амино, карбоцикламино, гетерокарбоцикламино, ариламино, гетероариламино, гетероцикламино, циклоалкамино, циклоалкенамино, алкилтио, карбоциклилтио, гетерокарбоциклилтио, арилтио, гетероарилтио, гетероциклилтио, циклоалкилтио, циклоалкенилтио, алленила, сульфинила, сульфамоила, сульфонила, липида, нитро или карбонила, причем R7 необязательно замещен одним или более одинаковыми или различными R10; R8 представляет собой дейтерий, гидрокси, азидо, тиол, амино, циано, галоген, алкил, алкенил, алкинил, карбоциклил, гетерокарбоциклил, арил, гетероарил, гетероциклил, циклоалкил, циклоалкенил, алкокси, карбоциклокси, гетерокарбоциклокси, арилокси, гетероарилокси, гетероциклокси, циклоалкокси, циклоалкенокси, алкиламино, (алкил)2амино, карбоцикламино, гетерокарбоцикламино, ариламино, гетероариламино, гетероцикламино, циклоалкамино, циклоалкенамино, алкилтио, карбоциклилтио, гетерокарбоциклилтио, арилтио, гетероарилтио, гетероциклилтио, циклоалкилтио, циклоалкенилтио, алленил, сульфинил, сульфамоил, сульфонил, липид, нитро или карбонил, причем R8 необязательно замещен одним или более одинаковыми или различными R10; R9 представляет собой дейтерий, гидрокси, азидо, тиол, амино, циано, галоген, алкил, алкенил, алкинил, карбоциклил, гетерокарбоциклил, арил, гетероарил, гетероциклил, циклоалкил, циклоалкенил, алкокси, карбоциклокси, гетерокарбоциклокси, арилокси, гетероарилокси, гетероциклокси, циклоалкокси, циклоалкенокси, алкиламино, (алкил)2амино, карбоцикламино, гетерокарбоцикламино, ариламино, гетероариламино, гетероцикламино, циклоалкамино, циклоалкенамино, алкилтио, карбоциклилтио, гетерокарбоциклилтио, арилтио, гетероарилтио, гетероциклилтио, циклоалкилтио, циклоалкенилтио, алленил, сульфинил, сульфамоил, сульфонил, липид, нитро или карбонил, причем R9 необязательно замещен одним или более одинаковыми или различными R10; R7, R7', R8 и R9 могут образовывать кольцо с α-атомом углерода, к которому они присоединены, и с аминогруппой, присоединенной к α-атому углерода, причем указанное кольцо необязательно замещено одним или более одинаковыми или различными R10; R7 и R7' могут образовывать кольцо с α-атомом углерода, к которому они присоединены, причем указанное кольцо необязательно замещено одним или более одинаковыми или различными R10; R8 и R9 могут образовывать кольцо с α-атомом углерода, к которому они присоединены, причем указанное кольцо необязательно замещено одним или более одинаковыми или различными R10; R10 представляет собой дейтерий, гидрокси, азидо, тиол, амино, циано, галоген, алкил, алкенил, алкинил, карбоциклил, гетерокарбоциклил, арил, гетероарил, гетероциклил, циклоалкил, циклоалкенил, алкокси, карбоциклокси, гетерокарбоциклокси, арилокси, гетероарилокси, гетероциклокси, циклоалкокси, циклоалкенокси, алкиламино, (алкил)2амино, карбоцикламино, гетерокарбоцикламино, ариламино, гетероариламино, гетероцикламино, циклоалкамино, циклоалкенамино, алкилтио, карбоциклилтио, гетерокарбоциклилтио, арилтио, гетероарилтио, гетероциклилтио, циклоалкилтио, циклоалкенилтио, алленил, сульфинил, сульфамоил, сульфонил, липид, нитро или карбонил, причем R10 необязательно замещен одним или более одинаковыми или различными R11; R11 представляет собой дейтерий, гидрокси, азидо, тиол, амино, циано, галоген, алкил, алкенил, алкинил, карбоциклил, гетерокарбоциклил, арил, гетероарил, гетероциклил, циклоалкил, циклоалкенил, алкокси, карбоциклокси, гетерокарбоциклокси, арилокси, гетероарилокси, гетероциклокси, циклоалкокси, циклоалкенокси, алкиламино, (алкил)2амино, карбоцикламино, гетерокарбоцикламино, ариламино, гетероариламино, гетероцикламино, циклоалкамино, циклоалкенамино, алкилтио, карбоциклилтио, гетерокарбоциклилтио, арилтио, гетероарилтио, гетероциклилтио, циклоалкилтио, циклоалкенилтио, алленил, сульфинил, сульфамоил, сульфонил, липид, нитро или карбонил; и липид представляет собой С11-С22 высший алкил, С11-С22 высший алкокси, полиэтиленгликоль или арил, замещенный алкильной группой, или липид, описанный в настоящем документе. В иллюстративных вариантах реализации формулы VIII R1 представляет собой водород, В иллюстративных вариантах реализации формулы VIII X представляет собой СН2. В иллюстративных вариантах реализации формулы VIII U представляет собой О. В иллюстративных вариантах реализации формулы VIII W представляет собой CR'. В иллюстративных вариантах реализации формулы VIII Z представляет собой CR''. В иллюстративных вариантах реализации формулы VIII R' представляет собой Н, F, Cl, ОН, метил, гидроксиметил, фторметил, дифторметил, трифторметил, винил, этинил, формил. В иллюстративных вариантах реализации формулы VIII R'' представляет собой Н, F, Cl, ОН, метил, гидроксиметил, фторметил, дифторметил, трифторметил, винил, этинил, формил. В иллюстративных вариантах реализации формулы VIII R2, R2', R3, R3' представляют собой водород, гидроксил, амино, фтор, хлор, циано, метил, фторметил, метокси, винил, этинил и хлорэтинил. В иллюстративных вариантах реализации формулы VIII R5 представляет собой липид, метил, этил, пропил, изопропил, бутил, втор-бутил, трет-бутил, пентил, втор-пентил, трет-пентил, неопентил, 3-пентил, гексил, трет-гексил, 4-септил, циклопропил, циклобутил, циклопентил, циклогексил, фенил, 2,6-диметилфенил, изопропоксид, трет-бутоксид, N-пропиламино, N-изопропиламино, N-трет-бутиламино, N,N-диметиламино, N,N-диэтиламино и N,N-дипропиламино. В иллюстративных вариантах реализации формулы VIII R6 представляет собой водород, гидроксил, фтор, хлор, амино, липид, метил, метокси, этил, пропил, изопропил, бутил, втор-бутил, трет-бутил, пентил, втор-пентил, трет-пентил, неопентил, 3-пентил, гексил, трет-гексил, 4-септил, циклопропил, циклобутил, циклопентил, циклогексил, фенил, 2,6-диметилфенил, изопропоксид, трет-бутоксид, N-пропиламино, N-изопропиламино, N-трет-бутиламино, N,N-диметиламино, N,N-диэтиламино и N,N-дипропиламино. В иллюстративных вариантах реализации формулы VIII R7 представляет собой метил, этил, пропил, изопропил, бутил, втор-бутил, трет-бутил, пентил, втор-пентил, трет-пентил, неопентил, 3-пентил, гексил, трет-гексил, 4-септил, циклопропил, циклобутил, циклопентил, циклогексил, фенил, 2,6-диметилфенил, изопропоксид, трет-бутоксид, N-пропиламино, N-изопропиламино, N-трет-бутиламино, N,N-диметиламино, N,N-диэтиламино и N,N-дипропиламино. В иллюстративных вариантах реализации формулы VIII R8 представляет собой метил, этил, пропил, изопропил, бутил, втор-бутил, трет-бутил, пентил, втор-пентил, трет-пентил, неопентил, 3-пентил, гексил, трет-гексил, 4-септил, циклопропил, циклобутил, циклопентил, циклогексил, фенил, 2,6-диметилфенил, изопропоксид, трет-бутоксид, N-пропиламино, N-изопропиламино, N-трет-бутиламино, N,N-диметиламино, N,N-диэтиламино и N,N-дипропиламино. В иллюстративных вариантах реализации формулы VIII R9 представляет собой метил, этил, пропил, изопропил, бутил, втор-бутил, трет-бутил, пентил, втор-пентил, трет-пентил, неопентил, 3-пентил, гексил, трет-гексил, 4-септил, циклопропил, циклобутил, циклопентил, циклогексил, фенил, 2,6-диметилфенил, изопропоксид, трет-бутоксид, N-пропиламино, N-изопропиламино, N-трет-бутиламино, N,N-диметиламино, N,N-диэтиламино и N,N-дипропиламино. В некоторых вариантах реализации настоящее изобретение относится к соединению формулы IX, или его фармацевтической или физиологической соли, где W представляет собой N или CR'; Z представляет собой N или CR''; R' представляет собой водород, дейтерий, галоген, гидроксил, амино, тиол, алкил, алкенил, алкинил, арил, гетероарил, карбоциклил, гетерокарбоциклил, циклоалкил, гетероциклил или ацил, причем R' необязательно замещен одним или более одинаковыми или различными R10; R'' представляет собой водород, дейтерий, галоген, гидроксил, амино, тиол, алкил, алкенил, алкинил, арил, гетероарил, карбоциклил, гетерокарбоциклил, циклоалкил, гетероциклил или ацил, причем R'' необязательно замещен одним или более одинаковыми или различными R10; R1 выбран из Н, необязательно замещенных сложных эфиров, необязательно замещенных разветвленных сложных эфиров, необязательно замещенных карбонатов, необязательно замещенных карбаматов, необязательно замещенных сложных тиоэфиров, необязательно замещенных разветвленных сложных тиоэфиров, необязательно замещенных тиокарбонатов, необязательно замещенного S-тиокарбоната, необязательно замещенных дитиокарбонатов, необязательно замещенных тиокарбаматов, необязательно замещенного оксиметоксикарбонила, необязательно замещенного оксиметокситиокарбонила, необязательно замещенного оксиметилкарбонила, необязательно замещенного оксиметилтиокарбонила, сложных эфиров L-аминокислот, сложных эфиров D-аминокислот, сложных эфиров N-замещенных L-аминокислот, сложных эфиров N,N-дизамещенных L-аминокислот, сложных эфиров N-замещенных D-аминокислот, сложных эфиров N,N-дизамещенных D-аминокислот, необязательно замещенного сульфенила, необязательно замещенного имидата, необязательно замещенного гидразоната, необязательно замещенного оксимила, необязательно замещенного имидинила, необязательно замещенного имидила, необязательно замещенного аминаля, необязательно замещенного гемиаминаля, необязательно замещенного ацеталя, необязательно замещенного гемиацеталя, необязательно замещенного карбонимидата, необязательно замещенного тиокарбонимидата, необязательно замещенного карбонимидила, необязательно замещенного карбамимидата, необязательно замещенного карбамимидила, необязательно замещенного тиоацеталя, необязательно замещенного S-ацил-2-тиоэтила, необязательно замещенных сложных бис-(ацилоксибензил)эфиров, необязательно замещенных сложных (ацилоксибензил)эфиров и сложных ВАВ-эфиров, причем R1 необязательно замещен одним или более одинаковыми или различными R10; Y представляет собой О или S; Y1 представляет собой ОН, OY3 или ВН3-М+; Y2 представляет собой ОН или ВН3-М+; Y3 представляет собой арил, гетероарил или гетероциклил, причем Y3 необязательно замещен одним или более одинаковыми или различными R10; R2, R2', R3, R3', каждый независимо, выбраны из водорода, дейтерия, алкила, алкенила, алкинила, алленила, алкокси, гидрокси, тиола, амино, азидо, формила, ацила, циано, галогена, арила, гетероарила, гетероциклила, карбоциклила, гетерокарбоциклила, сульфинила, сульфамоила или сульфонила, причем R2, R2', R3, R3' необязательно замещены одним или более одинаковыми или различными R10; R2 и R2' могут образовывать кольцо с атомом углерода, к которому они присоединены, причем указанное кольцо необязательно замещено одним или более одинаковыми или различными R10; R3 и R3' могут образовывать кольцо с атомом углерода, к которому они присоединены, причем указанное кольцо необязательно замещено одним или более одинаковыми или различными R10; R5 представляет собой водород, алкил, алкенил, алкинил, карбоциклил, гетерокарбоциклил, арил, гетероарил, гетероциклил, циклоалкил, циклоалкенил, алленил или липид, причем R5 необязательно замещен одним или более одинаковыми или различными R10; R6, R6', R6'' и R6''', каждый независимо, выбраны из водорода, дейтерия, гидроксила, амино, азидо, тиола, ацила, формила, галогена, нитро, алкила, алкенила, алкинила, карбоциклила, гетерокарбоциклила, арила, гетероарила, гетероциклила, циклоалкила, циклоалкенила, алкокси, карбоциклокси, гетерокарбоциклокси, арилокси, гетероарилокси, гетероциклокси, циклоалкокси, циклоалкенокси, алкиламино, (алкил)2амино, карбоцикламино, гетерокарбоцикламино, ариламино, гетероариламино, гетероцикламино, циклоалкамино, циклоалкенамино, алкилтио, карбоциклилтио, гетерокарбоциклилтио, арилтио, гетероарилтио, гетероциклилтио, циклоалкилтио, циклоалкенилтио, сульфинила, сульфамоила, сульфонила, алленила, циано или липида, причем каждый из R6, R6', R6'' и R6''' может быть необязательно замещен одним или более одинаковыми или различными R10; R7 и R7', каждый независимо, выбраны из водорода, дейтерия, гидрокси, азидо, тиола, амино, циано, галогена, алкила, алкенила, алкинила, карбоциклила, гетерокарбоциклила, арила, гетероарила, гетероциклила, циклоалкила, циклоалкенила, алкокси, карбоциклокси, гетерокарбоциклокси, арилокси, гетероарилокси, гетероциклокси, циклоалкокси, циклоалкенокси, алкиламино, (алкил)2амино, карбоцикламино, гетерокарбоцикламино, ариламино, гетероариламино, гетероцикламино, циклоалкамино, циклоалкенамино, алкилтио, карбоциклилтио, гетерокарбоциклилтио, арилтио, гетероарилтио, гетероциклилтио, циклоалкилтио, циклоалкенилтио, алленила, сульфинила, сульфамоила, сульфонила, липида, нитро или карбонила, причем R7 необязательно замещен одним или более одинаковыми или различными R10; R8 представляет собой дейтерий, гидрокси, азидо, тиол, амино, циано, галоген, алкил, алкенил, алкинил, карбоциклил, гетерокарбоциклил, арил, гетероарил, гетероциклил, циклоалкил, циклоалкенил, алкокси, карбоциклокси, гетерокарбоциклокси, арилокси, гетероарилокси, гетероциклокси, циклоалкокси, циклоалкенокси, алкиламино, (алкил)2амино, карбоцикламино, гетерокарбоцикламино, ариламино, гетероариламино, гетероцикламино, циклоалкамино, циклоалкенамино, алкилтио, карбоциклилтио, гетерокарбоциклилтио, арилтио, гетероарилтио, гетероциклилтио, циклоалкилтио, циклоалкенилтио, алленил, сульфинил, сульфамоил, сульфонил, липид, нитро или карбонил, причем R8 необязательно замещен одним или более одинаковыми или различными R10; R9 представляет собой дейтерий, гидрокси, азидо, тиол, амино, циано, галоген, алкил, алкенил, алкинил, карбоциклил, гетерокарбоциклил, арил, гетероарил, гетероциклил, циклоалкил, циклоалкенил, алкокси, карбоциклокси, гетерокарбоциклокси, арилокси, гетероарилокси, гетероциклокси, циклоалкокси, циклоалкенокси, алкиламино, (алкил)2амино, карбоцикламино, гетерокарбоцикламино, ариламино, гетероариламино, гетероцикламино, циклоалкамино, циклоалкенамино, алкилтио, карбоциклилтио, гетерокарбоциклилтио, арилтио, гетероарилтио, гетероциклилтио, циклоалкилтио, циклоалкенилтио, алленил, сульфинил, сульфамоил, сульфонил, липид, нитро или карбонил, причем R9 необязательно замещен одним или более одинаковыми или различными R10; R7, R7', R8 и R9 могут образовывать кольцо с α-атомом углерода, к которому они присоединены, и с аминогруппой, присоединенной к α-атому углерода, причем указанное кольцо необязательно замещено одним или более одинаковыми или различными R10; R7 и R7' могут образовывать кольцо с α-атомом углерода, к которому они присоединены, причем указанное кольцо необязательно замещено одним или более одинаковыми или различными R10; R8 и R9 могут образовывать кольцо с α-атомом углерода, к которому они присоединены, причем указанное кольцо необязательно замещено одним или более одинаковыми или различными R10; R10 представляет собой дейтерий, гидрокси, азидо, тиол, амино, циано, галоген, алкил, алкенил, алкинил, карбоциклил, гетерокарбоциклил, арил, гетероарил, гетероциклил, циклоалкил, циклоалкенил, алкокси, карбоциклокси, гетерокарбоциклокси, арилокси, гетероарилокси, гетероциклокси, циклоалкокси, циклоалкенокси, алкиламино, (алкил)2амино, карбоцикламино, гетерокарбоцикламино, ариламино, гетероариламино, гетероцикламино, циклоалкамино, циклоалкенамино, алкилтио, карбоциклилтио, гетерокарбоциклилтио, арилтио, гетероарилтио, гетероциклилтио, циклоалкилтио, циклоалкенилтио, алленил, сульфинил, сульфамоил, сульфонил, липид, нитро или карбонил, причем R10 необязательно замещен одним или более одинаковыми или различными R11; R11 представляет собой дейтерий, гидрокси, азидо, тиол, амино, циано, галоген, алкил, алкенил, алкинил, карбоциклил, гетерокарбоциклил, арил, гетероарил, гетероциклил, циклоалкил, циклоалкенил, алкокси, карбоциклокси, гетерокарбоциклокси, арилокси, гетероарилокси, гетероциклокси, циклоалкокси, циклоалкенокси, алкиламино, (алкил)2амино, карбоцикламино, гетерокарбоцикламино, ариламино, гетероариламино, гетероцикламино, циклоалкамино, циклоалкенамино, алкилтио, карбоциклилтио, гетерокарбоциклилтио, арилтио, гетероарилтио, гетероциклилтио, циклоалкилтио, циклоалкенилтио, алленил, сульфинил, сульфамоил, сульфонил, липид, нитро или карбонил; и липид представляет собой С11-С22 высший алкил, С11-С22 высший алкокси, полиэтиленгликоль или арил, замещенный алкильной группой, или липид, описанный в настоящем документе. В иллюстративных вариантах реализации формулы IX R1 представляет собой водород, В иллюстративных вариантах реализации формулы IX W представляет собой CR'. В иллюстративных вариантах реализации формулы IX Z представляет собой CR''. В иллюстративных вариантах реализации формулы IX R' представляет собой Н, F, Cl, ОН, метил, гидроксиметил, фторметил, дифторметил, трифторметил, винил, этинил, формил. В иллюстративных вариантах реализации формулы IX R'' представляет собой Н, F, Cl, ОН, метил, гидроксиметил, фторметил, дифторметил, трифторметил, винил, этинил, формил. В иллюстративных вариантах реализации формулы IX R2, R2', R3, R3' представляют собой водород, гидроксил, амино, фтор, хлор, циано, метил, фторметил, метокси, винил, этинил и хлорэтинил. В иллюстративных вариантах реализации формулы IX R5 представляет собой липид, метил, этил, пропил, изопропил, бутил, втор-бутил, трет-бутил, пентил, втор-пентил, трет-пентил, неопентил, 3-пентил, гексил, трет-гексил, 4-септил, циклопропил, циклобутил, циклопентил, циклогексил, фенил, 2,6-диметилфенил, изопропоксид, трет-бутоксид, N-пропиламино, N-изопропиламино, N-трет-бутиламино, N,N-диметиламино, N,N-диэтиламино и N,N-дипропиламино. В иллюстративных вариантах реализации формулы IX R6 представляет собой водород, гидроксил, фтор, хлор, амино, липид, метил, метокси, этил, пропил, изопропил, бутил, втор-бутил, трет-бутил, пентил, втор-пентил, трет-пентил, неопентил, 3-пентил, гексил, трет-гексил, 4-септил, циклопропил, циклобутил, циклопентил, циклогексил, фенил, 2,6-диметилфенил, изопропоксид, трет-бутоксид, N-пропиламино, N-изопропиламино, N-трет-бутиламино, N,N-диметиламино, N,N-диэтиламино и N,N-дипропиламино. В иллюстративных вариантах реализации формулы IX R7 представляет собой метил, этил, пропил, изопропил, бутил, втор-бутил, трет-бутил, пентил, втор-пентил, трет-пентил, неопентил, 3-пентил, гексил, трет-гексил, 4-септил, циклопропил, циклобутил, циклопентил, циклогексил, фенил, 2,6-диметилфенил, изопропоксид, трет-бутоксид, N-пропиламино, N-изопропиламино, N-трет-бутиламино, N,N-диметиламино, N,N-диэтиламино и N,N-дипропиламино. В иллюстративных вариантах реализации формулы IX R8 представляет собой метил, этил, пропил, изопропил, бутил, втор-бутил, трет-бутил, пентил, втор-пентил, трет-пентил, неопентил, 3-пентил, гексил, трет-гексил, 4-септил, циклопропил, циклобутил, циклопентил, циклогексил, фенил, 2,6-диметилфенил, изопропоксид, трет-бутоксид, N-пропиламино, N-изопропиламино, N-трет-бутиламино, N,N-диметиламино, N,N-диэтиламино и N,N-дипропиламино. В иллюстративных вариантах реализации формулы IX R9 представляет собой метил, этил, пропил, изопропил, бутил, втор-бутил, трет-бутил, пентил, втор-пентил, трет-пентил, неопентил, 3-пентил, гексил, трет-гексил, 4-септил, циклопропил, циклобутил, циклопентил, циклогексил, фенил, 2,6-диметилфенил, изопропоксид, трет-бутоксид, N-пропиламино, N-изопропиламино, N-трет-бутиламино, N,N-диметиламино, N,N-диэтиламино и N,N-дипропиламино. В некоторых вариантах реализации настоящее изобретение относится к соединению формулы X, или его фармацевтической или физиологической соли, где W представляет собой N или CR'; Z представляет собой N или CR''; R' представляет собой водород, дейтерий, галоген, гидроксил, амино, тиол, алкил, алкенил, алкинил, арил, гетероарил, карбоциклил, гетерокарбоциклил, циклоалкил, гетероциклил или ацил, причем R' необязательно замещен одним или более одинаковыми или различными R10; R'' представляет собой водород, дейтерий, галоген, гидроксил, амино, тиол, алкил, алкенил, алкинил, арил, гетероарил, карбоциклил, гетерокарбоциклил, циклоалкил, гетероциклил или ацил, причем R'' необязательно замещен одним или более одинаковыми или различными R10; R2, R2', R3, R3', каждый независимо, выбраны из водорода, дейтерия, алкила, алкенила, алкинила, алленила, алкокси, гидрокси, тиола, амино, азидо, формила, ацила, циано, галогена, арила, гетероарила, гетероциклила, карбоциклила, гетерокарбоциклила, сульфинила, сульфамоила или сульфонила, причем R2, R2', R3, R3' необязательно замещены одним или более одинаковыми или различными R10; R2 и R2' могут образовывать кольцо с атомом углерода, к которому они присоединены, причем указанное кольцо необязательно замещено одним или более одинаковыми или различными R10; R3 и R3' могут образовывать кольцо с атомом углерода, к которому они присоединены, причем указанное кольцо необязательно замещено одним или более одинаковыми или различными R10; R10 представляет собой дейтерий, гидрокси, азидо, тиол, амино, циано, галоген, алкил, алкенил, алкинил, карбоциклил, гетерокарбоциклил, арил, гетероарил, гетероциклил, циклоалкил, циклоалкенил, алкокси, карбоциклокси, гетерокарбоциклокси, арилокси, гетероарилокси, гетероциклокси, циклоалкокси, циклоалкенокси, алкиламино, (алкил)2амино, карбоцикламино, гетерокарбоцикламино, ариламино, гетероариламино, гетероцикламино, циклоалкамино, циклоалкенамино, алкилтио, карбоциклилтио, гетерокарбоциклилтио, арилтио, гетероарилтио, гетероциклилтио, циклоалкилтио, циклоалкенилтио, алленил, сульфинил, сульфамоил, сульфонил, липид, нитро или карбонил, причем R10 необязательно замещен одним или более одинаковыми или различными R11; R11 представляет собой дейтерий, гидрокси, азидо, тиол, амино, циано, галоген, алкил, алкенил, алкинил, карбоциклил, гетерокарбоциклил, арил, гетероарил, гетероциклил, циклоалкил, циклоалкенил, алкокси, карбоциклокси, гетерокарбоциклокси, арилокси, гетероарилокси, гетероциклокси, циклоалкокси, циклоалкенокси, алкиламино, (алкил)2амино, карбоцикламино, гетерокарбоцикламино, ариламино, гетероариламино, гетероцикламино, циклоалкамино, циклоалкенамино, алкилтио, карбоциклилтио, гетерокарбоциклилтио, арилтио, гетероарилтио, гетероциклилтио, циклоалкилтио, циклоалкенилтио, алленил, сульфинил, сульфамоил, сульфонил, липид, нитро или карбонил; и липид представляет собой С11-С22 высший алкил, С11-С22 высший алкокси, полиэтиленгликоль или арил, замещенный алкильной группой, или липид, описанный в настоящем документе. В иллюстративных вариантах реализации формулы X W представляет собой CR'. В иллюстративных вариантах реализации формулы X Z представляет собой CR''. В иллюстративных вариантах реализации формулы X R' представляет собой Н, F, Cl, ОН, метил, гидроксиметил, фторметил, дифторметил, трифторметил, винил, этинил, формил. В иллюстративных вариантах реализации формулы X R'' представляет собой Н, F, Cl, ОН, метил, гидроксиметил, фторметил, дифторметил, трифторметил, винил, этинил, формил. В иллюстративных вариантах реализации формулы X R2, R2', R3, R3' представляют собой водород, гидроксил, амино, фтор, хлор, циано, метил, фторметил, метокси, винил,этинил и хлорэтинил. В некоторых вариантах реализации настоящее изобретение относится к соединению формулы XI, или его фармацевтической или физиологической соли, где W представляет собой N или CR'; Z представляет собой N или CR''; R' представляет собой водород, дейтерий, галоген, гидроксил, амино, тиол, алкил, алкенил, алкинил, арил, гетероарил, карбоциклил, гетерокарбоциклил, циклоалкил, гетероциклил или ацил, причем R' необязательно замещен одним или более одинаковыми или различными R10; R'' представляет собой водород, дейтерий, галоген, гидроксил, амино, тиол, алкил, алкенил, алкинил, арил, гетероарил, карбоциклил, гетерокарбоциклил, циклоалкил, гетероциклил или ацил, причем R'' необязательно замещен одним или более одинаковыми или различными R10; R2, R2', R3, R3', каждый независимо, выбраны из водорода, дейтерия, алкила, алкенила, алкинила, алленила, алкокси, гидрокси, тиола, амино, азидо, формила, ацила, циано, галогена, арила, гетероарила, гетероциклила, карбоциклила, гетерокарбоциклила, сульфинила, сульфамоила или сульфонила, причем R2, R2', R3, R3' необязательно замещены одним или более одинаковыми или различными R10; R2 и R2' могут образовывать кольцо с атомом углерода, к которому они присоединены, причем указанное кольцо необязательно замещено одним или более одинаковыми или различными R10; R3 и R3' могут образовывать кольцо с атомом углерода, к которому они присоединены, причем указанное кольцо необязательно замещено одним или более одинаковыми или различными R10; R10 представляет собой дейтерий, гидрокси, азидо, тиол, амино, циано, галоген, алкил, алкенил, алкинил, карбоциклил, гетерокарбоциклил, арил, гетероарил, гетероциклил, циклоалкил, циклоалкенил, алкокси, карбоциклокси, гетерокарбоциклокси, арилокси, гетероарилокси, гетероциклокси, циклоалкокси, циклоалкенокси, алкиламино, (алкил)2амино, карбоцикламино, гетерокарбоцикламино, ариламино, гетероариламино, гетероцикламино, циклоалкамино, циклоалкенамино, алкилтио, карбоциклилтио, гетерокарбоциклилтио, арилтио, гетероарилтио, гетероциклилтио, циклоалкилтио, циклоалкенилтио, алленил, сульфинил, сульфамоил, сульфонил, липид, нитро или карбонил, причем R10 необязательно замещен одним или более одинаковыми или различными R11; R11 представляет собой дейтерий, гидрокси, азидо, тиол, амино, циано, галоген, алкил, алкенил, алкинил, карбоциклил, гетерокарбоциклил, арил, гетероарил, гетероциклил, циклоалкил, циклоалкенил, алкокси, карбоциклокси, гетерокарбоциклокси, арилокси, гетероарилокси, гетероциклокси, циклоалкокси, циклоалкенокси, алкиламино, (алкил)2амино, карбоцикламино, гетерокарбоцикламино, ариламино, гетероариламино, гетероцикламино, циклоалкамино, циклоалкенамино, алкилтио, карбоциклилтио, гетерокарбоциклилтио, арилтио, гетероарилтио, гетероциклилтио, циклоалкилтио, циклоалкенилтио, алленил, сульфинил, сульфамоил, сульфонил, липид, нитро или карбонил; и липид представляет собой С11-С22 высший алкил, С11-С22 высший алкокси, полиэтиленгликоль или арил, замещенный алкильной группой, или липид, описанный в настоящем документе. В иллюстративных вариантах реализации формулы XI W представляет собой CR'. В иллюстративных вариантах реализации формулы XI Z представляет собой CR''. В иллюстративных вариантах реализации формулы XI R' представляет собой Н, F, Cl, ОН, метил, гидроксиметил, фторметил, дифторметил, трифторметил, винил, этинил, формил. В иллюстративных вариантах реализации формулы XI R'' представляет собой Н, F, Cl, ОН, метил, гидроксиметил, фторметил, дифторметил, трифторметил, винил, этинил, формил. В иллюстративных вариантах реализации формулы XI R2, R2, R3, R3' представляют собой водород, гидроксил, амино, фтор, хлор, циано, метил, фторметил, метокси, винил, этинил и хлорэтинил. В некоторых вариантах реализации настоящее изобретение относится к соединению формулы XII, или его фармацевтической или физиологической соли, где W представляет собой N или CR'; Z представляет собой N или CR''; R' представляет собой водород, дейтерий, галоген, гидроксил, амино, тиол, алкил, алкенил, алкинил, арил, гетероарил, карбоциклил, гетерокарбоциклил, циклоалкил, гетероциклил или ацил, причем R' необязательно замещен одним или более одинаковыми или различными R10; R'' представляет собой водород, дейтерий, галоген, гидроксил, амино, тиол, алкил, алкенил, алкинил, арил, гетероарил, карбоциклил, гетерокарбоциклил, циклоалкил, гетероциклил или ацил, причем R'' необязательно замещен одним или более одинаковыми или различными R10; R2, R2', R3, R3', каждый независимо, выбраны из водорода, дейтерия, алкила, алкенила, алкинила, алленила, алкокси, гидрокси, тиола, амино, азидо, формила, ацила, циано, галогена, арила, гетероарила, гетероциклила, карбоциклила, гетерокарбоциклила, сульфинила, сульфамоила или сульфонила, причем R2, R2', R3, R3' необязательно замещены одним или более одинаковыми или различными R10; R2 и R2' могут образовывать кольцо с атомом углерода, к которому они присоединены, причем указанное кольцо необязательно замещено одним или более одинаковыми или различными R10; R3 и R3' могут образовывать кольцо с атомом углерода, к которому они присоединены, причем указанное кольцо необязательно замещено одним или более одинаковыми или различными R10; R6, R6', R6'' и R6''', каждый независимо, выбраны из водорода, дейтерия, гидроксила, амино, азидо, тиола, ацила, формила, галогена, нитро, алкила, алкенила, алкинила, карбоциклила, гетерокарбоциклила, арила, гетероарила, гетероциклила, циклоалкила, циклоалкенила, алкокси, карбоциклокси, гетерокарбоциклокси, арилокси, гетероарилокси, гетероциклокси, циклоалкокси, циклоалкенокси, алкиламино, (алкил)2амино, карбоцикламино, гетерокарбоцикламино, ариламино, гетероариламино, гетероцикламино, циклоалкамино, циклоалкенамино, алкилтио, карбоциклилтио, гетерокарбоциклилтио, арилтио, гетероарилтио, гетероциклилтио, циклоалкилтио, циклоалкенилтио, сульфинила, сульфамоила, сульфонила, алленила, циано или липида, причем каждый из R6, R6', R6'' и R6''' может быть необязательно замещен одним или более одинаковыми или различными R10; R10 представляет собой дейтерий, гидрокси, азидо, тиол, амино, циано, галоген, алкил, алкенил, алкинил, карбоциклил, гетерокарбоциклил, арил, гетероарил, гетероциклил, циклоалкил, циклоалкенил, алкокси, карбоциклокси, гетерокарбоциклокси, арилокси, гетероарилокси, гетероциклокси, циклоалкокси, циклоалкенокси, алкиламино, (алкил)2амино, карбоцикламино, гетерокарбоцикламино, ариламино, гетероариламино, гетероцикламино, циклоалкамино, циклоалкенамино, алкилтио, карбоциклилтио, гетерокарбоциклилтио, арилтио, гетероарилтио, гетероциклилтио, циклоалкилтио, циклоалкенилтио, алленил, сульфинил, сульфамоил, сульфонил, липид, нитро или карбонил, причем R10 необязательно замещен одним или более одинаковыми или различными R11; R11 представляет собой дейтерий, гидрокси, азидо, тиол, амино, циано, галоген, алкил, алкенил, алкинил, карбоциклил, гетерокарбоциклил, арил, гетероарил, гетероциклил, циклоалкил, циклоалкенил, алкокси, карбоциклокси, гетерокарбоциклокси, арилокси, гетероарилокси, гетероциклокси, циклоалкокси, циклоалкенокси, алкиламино, (алкил)2амино, карбоцикламино, гетерокарбоцикламино, ариламино, гетероариламино, гетероцикламино, циклоалкамино, циклоалкенамино, алкилтио, карбоциклилтио, гетерокарбоциклилтио, арилтио, гетероарилтио, гетероциклилтио, циклоалкилтио, циклоалкенилтио, алленил, сульфинил, сульфамоил, сульфонил, липид,нитро или карбонил; и липид представляет собой С11-С22 высший алкил, С11-С22 высший алкокси, полиэтиленгликоль или арил, замещенный алкильной группой, или липид, описанный в настоящем документе. В иллюстративных вариантах реализации формулы XII W представляет собой CR'. В иллюстративных вариантах реализации формулы XII Z представляет собой CR''. В иллюстративных вариантах реализации формулы XII R' представляет собой Н, F, Cl, ОН, метил, гидроксиметил, фторметил, дифторметил, трифторметил, винил, этинил, формил. В иллюстративных вариантах реализации формулы XII R'' представляет собой Н, F, Cl, ОН, метил, гидроксиметил, фторметил, дифторметил, трифторметил, винил, этинил, формил. В иллюстративных вариантах реализации формулы XII R2, R2', R3, R3' представляют собой водород, гидроксил, амино, фтор, хлор, циано, метил, фторметил, метокси, винил, этинил и хлорэтинил. В иллюстративных вариантах реализации формулы XII все из R6, R6', R6'' и R6''' представляют собой водород. В иллюстративных вариантах реализации формулы XII R6, R6' и R6'' представляют собой водород, и R6''' представляет собой метил. В иллюстративных вариантах реализации формулы XII R6, R6' и R6'' представляют собой водород, и R6''' представляет собой метокси. В иллюстративных вариантах реализации формулы XII R6, R6'' и R6''' представляют собой водород, и R6' представляет собой метил. В иллюстративных вариантах реализации формулы XII R6, R6'' и R6''' представляют собой водород, и R6' представляет собой метокси. В иллюстративных вариантах реализации формулы XII R6, R6'' и R6''' представляют собой водород, и R6' представляет собой фтор. В иллюстративных вариантах реализации формулы XII R6, R6'' и R6''' представляют собой водород, и R6' представляет собой трет-бутил. В иллюстративных вариантах реализации формулы XII R6, R6'' и R6''' представляют собой водород, и R6' представляет собой хлор. В иллюстративных вариантах реализации формулы XII R6 и R6'' представляют собой водород, a R6' и R6''' представляют собой метил. В иллюстративных вариантах реализации формулы XII R6', R6'' и R6''' представляют собой водород, и R6 представляет собой фтор. В иллюстративных вариантах реализации формулы XII R6'' представляет собой водород, R6' и R6''' представляют собой трет-бутил, и R6 представляет собой фтор. В некоторых вариантах реализации настоящее изобретение относится к соединению формулы XIII, или его фармацевтической или физиологической соли, где X представляет собой СН2, СНМе, СМе2, CHF, CF2 или CD2; U представляет собой S, NH, NR7, СН2, CHF, CF2, ССН2, или CCF2; W представляет собой N или CR'; Z представляет собой N или CR''; R' представляет собой водород, дейтерий, галоген, гидроксил, амино, тиол, алкил, алкенил, алкинил, арил, гетероарил, карбоциклил, гетерокарбоциклил, циклоалкил, гетероциклил или ацил, причем R' необязательно замещен одним или более одинаковыми или различными R10; R'' представляет собой водород, дейтерий, галоген, гидроксил, амино, тиол, алкил, алкенил, алкинил, арил, гетероарил, карбоциклил, гетерокарбоциклил, циклоалкил, гетероциклил или ацил, причем R'' необязательно замещен одним или более одинаковыми или различными R10; R1 выбран из Н, необязательно замещенных сложных эфиров, необязательно замещенных разветвленных сложных эфиров, необязательно замещенных карбонатов, необязательно замещенных карбаматов, необязательно замещенных сложных тиоэфиров, необязательно замещенных разветвленных сложных тиоэфиров, необязательно замещенных тиокарбонатов, необязательно замещенного S-тиокарбоната, необязательно замещенных дитиокарбонатов, необязательно замещенных тиокарбаматов, необязательно замещенного оксиметоксикарбонила, необязательно замещенного оксиметокситиокарбонила, необязательно замещенного оксиметилкарбонила, необязательно замещенного оксиметилтиокарбонила, сложных эфиров L-аминокислот, сложных эфиров D-аминокислот, сложных эфиров N-замещенных L-аминокислот, сложных эфиров N,N-дизамещенных L-аминокислот, сложных эфиров N-замещенных D-аминокислот, сложных эфиров N,N-дизамещенных D-аминокислот, необязательно замещенного сульфенила, необязательно замещенного имидата, необязательно замещенного гидразоната, необязательно замещенного оксимила, необязательно замещенного имидинила, необязательно замещенного имидила, необязательно замещенного аминаля, необязательно замещенного гемиаминаля, необязательно замещенного ацеталя, необязательно замещенного гемиацеталя, необязательно замещенного карбонимидата, необязательно замещенного тиокарбонимидата, необязательно замещенного карбонимидила, необязательно замещенного карбамимидата, необязательно замещенного карбамимидила, необязательно замещенного тиоацеталя, необязательно замещенного 3-ацил-2-тиоэтила, необязательно замещенных сложных бис-(ацилоксибензил)эфиров, необязательно замещенных сложных (ацилоксибензил)эфиров и сложных ВАВ-эфиров, причем R1 необязательно замещен одним или более одинаковыми или различными R10; Y представляет собой О или S; Y1 представляет собой ОН, OY3 или ВН3-М+; Y2 представляет собой ОН или ВН3-М+; Y3 представляет собой арил, гетероарил или гетероциклил, причем Y3 необязательно замещен одним или более одинаковыми или различными R10; R2, R2', R3, R3', каждый независимо, выбраны из водорода, дейтерия, алкила, алкенила, алкинила, алленила, алкокси, гидрокси, тиола, амино, азидо, формила, ацила, циано, галогена, арила, гетероарила, гетероциклила, карбоциклила, гетерокарбоциклила, сульфинила, сульфамоила или сульфонила, причем R2, R2', R3, R3' необязательно замещены одним или более одинаковыми или различными R10; R2 и R2' могут образовывать кольцо с атомом углерода, к которому они присоединены, причем указанное кольцо необязательно замещено одним или более одинаковыми или различными R10; R3 и R3' могут образовывать кольцо с атомом углерода, к которому они присоединены, причем указанное кольцо необязательно замещено одним или более одинаковыми или различными R10; R5 представляет собой водород, алкил, алкенил, алкинил, карбоциклил, гетерокарбоциклил, арил, гетероарил, гетероциклил, циклоалкил, циклоалкенил, алленил или липид, причем R5 необязательно замещен одним или более одинаковыми или различными R10; R6, R6', R6'' и R6''', каждый независимо, выбраны из водорода, дейтерия, гидроксила, амино, азидо, тиола, ацила, формила, галогена, нитро, алкила, алкенила, алкинила, карбоциклила, гетерокарбоциклила, арила, гетероарила, гетероциклила, циклоалкила, циклоалкенила, алкокси, карбоциклокси, гетерокарбоциклокси, арилокси, гетероарилокси, гетероциклокси, циклоалкокси, циклоалкенокси, алкиламино, (алкил)2амино, карбоцикламино, гетерокарбоцикламино, ариламино, гетероариламино, гетероцикламино, циклоалкамино, циклоалкенамино, алкилтио, карбоциклилтио, гетерокарбоциклилтио, арилтио, гетероарилтио, гетероциклилтио, циклоалкилтио, циклоалкенилтио, сульфинила, сульфамоила, сульфонила, алленила, циано или липида, причем каждый из R6, R6', R6'' и R6''' может быть необязательно замещен одним или более одинаковыми или различными R10; R7 и R7', каждый независимо, выбраны из водорода, дейтерия, гидрокси, азидо, тиола, амино, циано, галогена, алкила, алкенила, алкинила, карбоциклила, гетерокарбоциклила, арила, гетероарила, гетероциклила, циклоалкила, циклоалкенила, алкокси, карбоциклокси, гетерокарбоциклокси, арилокси, гетероарилокси, гетероциклокси, циклоалкокси, циклоалкенокси, алкиламино, (алкил)2амино, карбоцикламино, гетерокарбоцикламино, ариламино, гетероариламино, гетероцикламино, циклоалкамино, циклоалкенамино, алкилтио, карбоциклилтио, гетерокарбоциклилтио, арилтио, гетероарилтио, гетероциклилтио, циклоалкилтио, циклоалкенилтио, алленила, сульфинила, сульфамоила, сульфонила, липида, нитро или карбонила, причем R7 необязательно замещен одним или более одинаковыми или различными R10; R8 представляет собой дейтерий, гидрокси, азидо, тиол, амино, циано, галоген, алкил, алкенил, алкинил, карбоциклил, гетерокарбоциклил, арил, гетероарил, гетероциклил, циклоалкил, циклоалкенил, алкокси, карбоциклокси, гетерокарбоциклокси, арилокси, гетероарилокси, гетероциклокси, циклоалкокси, циклоалкенокси, алкиламино, (алкил)2амино, карбоцикламино, гетерокарбоцикламино, ариламино, гетероариламино, гетероцикламино, циклоалкамино, циклоалкенамино, алкилтио, карбоциклилтио, гетерокарбоциклилтио, арилтио, гетероарилтио, гетероциклилтио, циклоалкилтио, циклоалкенилтио, алленил, сульфинил, сульфамоил, сульфонил, липид, нитро или карбонил, причем R8 необязательно замещен одним или более одинаковыми или различными R10; R9 представляет собой дейтерий, гидрокси, азидо, тиол, амино, циано, галоген, алкил, алкенил, алкинил, карбоциклил, гетерокарбоциклил, арил, гетероарил, гетероциклил, циклоалкил, циклоалкенил, алкокси, карбоциклокси, гетерокарбоциклокси, арилокси, гетероарилокси, гетероциклокси, циклоалкокси, циклоалкенокси, алкиламино, (алкил)гамино, карбоцикламино, гетерокарбоцикламино, ариламино, гетероариламино, гетероцикламино, циклоалкамино, циклоалкенамино, алкилтио, карбоциклилтио, гетерокарбоциклилтио, арилтио, гетероарилтио, гетероциклилтио, циклоалкилтио, циклоалкенилтио, алленил, сульфинил, сульфамоил, сульфонил, липид, нитро или карбонил, причем R9 необязательно замещен одним или более одинаковыми или различными R10; R7, R7', R8 и R9 могут образовывать кольцо с α-атомом углерода, к которому они присоединены, и с аминогруппой, присоединенной к α-атому углерода, причем указанное кольцо необязательно замещено одним или более одинаковыми или различными R10; R7 и R7' могут образовывать кольцо с α-атомом углерода, к которому они присоединены, причем указанное кольцо необязательно замещено одним или более одинаковыми или различными R10; R8 и R9 могут образовывать кольцо с α-атомом углерода, к которому они присоединены, причем указанное кольцо необязательно замещено одним или более одинаковыми или различными R10; R10 представляет собой дейтерий, гидрокси, азидо, тиол, амино, циано, галоген, алкил, алкенил, алкинил, карбоциклил, гетерокарбоциклил, арил, гетероарил, гетероциклил, циклоалкил, циклоалкенил, алкокси, карбоциклокси, гетерокарбоциклокси, арилокси, гетероарилокси, гетероциклокси, циклоалкокси, циклоалкенокси, алкиламино, (алкил)гамино, карбоцикламино, гетерокарбоцикламино, ариламино, гетероариламино, гетероцикламино, циклоалкамино, циклоалкенамино, алкилтио, карбоциклилтио, гетерокарбоциклилтио, арилтио, гетероарилтио, гетероциклилтио, циклоалкилтио, циклоалкенилтио, алленил, сульфинил, сульфамоил, сульфонил, липид, нитро или карбонил, причем R10 необязательно замещен одним или более одинаковыми или различными R11; R11 представляет собой дейтерий, гидрокси, азидо, тиол, амино, циано, галоген, алкил, алкенил, алкинил, карбоциклил, гетерокарбоциклил, арил, гетероарил, гетероциклил, циклоалкил, циклоалкенил, алкокси, карбоциклокси, гетерокарбоциклокси, арилокси, гетероарилокси, гетероциклокси, циклоалкокси, циклоалкенокси, алкиламино, (алкил)2амино, карбоцикламино, гетерокарбоцикламино, ариламино, гетероариламино, гете рецикла ми но, циклоалкамино, циклоалкенамино, алкилтио, карбоциклилтио, гетерокарбоциклилтио, арилтио, гетероарилтио, гетероциклилтио, циклоалкилтио, циклоалкенилтио, алленил, сульфинил, сульфамоил, сульфонил, липид, нитро или карбонил; и липид представляет собой С11-С22 высший алкил, С11-С22 высший алкокси, полиэтиленгликоль или арил, замещенный алкильной группой, или липид, описанный в настоящем документе. В иллюстративных вариантах реализации формулы XIII R1 представляет собой водород, В иллюстративных вариантах реализации формулы XIII Х представляет собой СН2. В иллюстративных вариантах реализации формулы XIII W представляет собой CR'. В иллюстративных вариантах реализации формулы XIII Z представляет собой CR''. В иллюстративных вариантах реализации формулы XIII R' представляет собой Н, F, Cl, ОН, метил, гидроксиметил, фторметил, дифторметил, трифторметил, винил, этинил, формил. В иллюстративных вариантах реализации формулы XIII R'' представляет собой Н, F, Cl, ОН, метил, гидроксиметил, фторметил, дифторметил, трифторметил, винил, этинил, формил. В иллюстративных вариантах реализации формулы XIII R2, R2', R3, R3' представляют собой водород, гидроксил, амино, фтор, хлор, циано, метил, фторметил, метокси, винил, этинил и хлорэтинил. В иллюстративных вариантах реализации формулы XIII R5 представляет собой липид, метил, этил, пропил, изопропил, бутил, втор-бутил, трет-бутил, пентил, втор-пентил, трет-пентил, неопентил, 3-пентил, гексил, трет-гексил, 4-септил, циклопропил, циклобутил, циклопентил, циклогексил, фенил, 2,6-диметилфенил, изопропоксид, трет-бутоксид, N-пропиламино, N-изопропиламино, N-трет-бутиламино, N,N-диметиламино, N,N-диэтиламино и N,N-дипропиламино. В иллюстративных вариантах реализации формулы XIII R6 представляет собой водород, гидроксил, фтор, хлор, амино, липид, метил, метокси, этил, пропил, изопропил, бутил, втор-бутил, трет-бутил, пентил, втор-пентил, трет-пентил, неопентил, 3-пентил, гексил, трет-гексил, 4-септил, циклопропил, циклобутил, циклопентил, циклогексил, фенил, 2,6-диметилфенил, изопропоксид, трет-бутоксид, N-пропиламино, N-изопропиламино, N-трет-бутиламино, N,N-диметиламино, N,N-диэтиламино и N,N-дипропиламино. В иллюстративных вариантах реализации формулы XIII R7 представляет собой метил, этил, пропил, изопропил, бутил, втор-бутил, трет-бутил, пентил, втор-пентил, трет-пентил, неопентил, 3-пентил, гексил, трет-гексил, 4-септил, циклопропил, циклобутил, циклопентил, циклогексил, фенил, 2,6-диметилфенил, изопропоксид, трет-бутоксид, N-пропиламино, N-изопропиламино, N-трет-бутиламино, N,N-диметиламино, N,N-диэтиламино и N,N-дипропиламино. В иллюстративных вариантах реализации формулы XIII R8 представляет собой метил, этил, пропил, изопропил, бутил, втор-бутил, трет-бутил, пентил, втор-пентил, трет-пентил, неопентил, 3-пентил, гексил, трет-гексил, 4-септил, циклопропил, циклобутил, циклопентил, циклогексил, фенил, 2,6-диметилфенил, изопропоксид, трет-бутоксид, N-пропиламино, N-изопропиламино, N-трет-бутиламино, N,N-диметиламино, N,N-диэтиламино и N,N-дипропиламино. В иллюстративных вариантах реализации формулы XIII R9 представляет собой метил, этил, пропил, изопропил, бутил, втор-бутил, трет-бутил, пентил, втор-пентил, трет-пентил, неопентил, 3-пентил, гексил, трет-гексил, 4-септил, циклопропил, циклобутил, циклопентил, циклогексил, фенил, 2,6-диметилфенил, изопропоксид, трет-бутоксид, N-пропиламино, N-изопропиламино, N-трет-бутиламино, N,N-диметиламино, N,N-диэтиламино и N,N-дипропиламино. В некоторых вариантах реализации настоящее изобретение относится к соединению формулы XIV, или его фармацевтической или физиологической соли, где Х представляет собой СНМе, СМе2, CHF, CF2 или CD2; W представляет собой N или CR'; Z представляет собой N или CR''; R' представляет собой водород, дейтерий, галоген, гидроксил, амино, тиол, алкил, алкенил, алкинил, арил, гетероарил, карбоциклил, гетерокарбоциклил, циклоалкил, гетероциклил или ацил, причем R' необязательно замещен одним или более одинаковыми или различными R10; R'' представляет собой водород, дейтерий, галоген, гидроксил, амино, тиол, алкил, алкенил, алкинил, арил, гетероарил, карбоциклил, гетерокарбоциклил, циклоалкил, гетероциклил или ацил, причем R'' необязательно замещен одним или более одинаковыми или различными R10; R1 выбран из Н, необязательно замещенных сложных эфиров, необязательно замещенных разветвленных сложных эфиров, необязательно замещенных карбонатов, необязательно замещенных карбаматов, необязательно замещенных сложных тиоэфиров, необязательно замещенных разветвленных сложных тиоэфиров, необязательно замещенных тиокарбонатов, необязательно замещенного S-тиокарбоната, необязательно замещенных дитиокарбонатов, необязательно замещенных тиокарбаматов, необязательно замещенного оксиметоксикарбонила, необязательно замещенного оксиметокситиокарбонила, необязательно замещенного оксиметилкарбонила, необязательно замещенного оксиметилтиокарбонила, сложных эфиров L-аминокислот, сложных эфиров D-аминокислот, сложных эфиров N-замещенных L-аминокислот, сложных эфиров N,N-дизамещенных L-аминокислот, сложных эфиров N-замещенных D-аминокислот, сложных эфиров N,N-дизамещенных D-аминокислот, необязательно замещенного сульфенила, необязательно замещенного имидата, необязательно замещенного гидразоната, необязательно замещенного оксимила, необязательно замещенного имидинила, необязательно замещенного имидила, необязательно замещенного аминаля, необязательно замещенного гемиаминаля, необязательно замещенного ацеталя, необязательно замещенного гемиацеталя, необязательно замещенного карбонимидата, необязательно замещенного тиокарбонимидата, необязательно замещенного карбонимидила, необязательно замещенного карбамимидата, необязательно замещенного карбамимидила, необязательно замещенного тиоацеталя, необязательно замещенного S-ацил-2-тиоэтила, необязательно замещенных сложных бис-(ацилоксибензил)эфиров, необязательно замещенных сложных (ацилоксибензил)эфиров и сложных ВАВ-эфиров, причем R1 необязательно замещен одним или более одинаковыми или различными R10; Y представляет собой О или S; Y1 представляет собой ОН, OY3 или ВН3-М+; Y2 представляет собой ОН или ВН3-М+; Y3 представляет собой арил, гетероарил или гетероциклил, причем Y3необязательно замещен одним или более одинаковыми или различными R10; R2, R2', R3, R3', каждый независимо, выбран из водорода, дейтерия, алкила, алкенила, алкинила, алленила, алкокси, гидрокси, тиола, амино, азидо, формила, ацила, циано, галогена, арила, гетероарила, гетероциклила, карбоциклила, гетерокарбоциклила, сульфинила, сульфамоила или сульфонила, причем R2, R2', R3, R3' необязательно замещены одним или более одинаковыми или различными R10; R2 и R2' могут образовывать кольцо с атомом углерода, к которому они присоединены, причем указанное кольцо необязательно замещено одним или более одинаковыми или различными R10; R3 и R3' могут образовывать кольцо с атомом углерода, к которому они присоединены, причем указанное кольцо необязательно замещено одним или более одинаковыми или различными R10; R5 представляет собой водород, алкил, алкенил, алкинил, карбоциклил, гетерокарбоциклил, арил, гетероарил, гетероциклил, циклоалкил, циклоалкенил, алленил или липид, причем R5 необязательно замещен одним или более одинаковыми или различными R10; R6, R6', R6'' и R6''', каждый независимо, выбраны из водорода, дейтерия, гидроксила, амино, азидо, тиола, ацила, формила, галогена, нитро, алкила, алкенила, алкинила, карбоциклила, гетерокарбоциклила, арила, гетероарила, гетероциклила, циклоалкила, циклоалкенила, алкокси, карбоциклокси, гетерокарбоциклокси, арилокси, гетероарилокси, гетероциклокси, циклоалкокси, циклоалкенокси, алкиламино, (алкил)2амино, карбоцикламино, гетерокарбоцикламино, ариламино, гетероариламино, гетероцикламино, циклоалкамино, циклоалкенамино, алкилтио, карбоциклилтио, гетерокарбоциклилтио, арилтио, гетероарилтио, гетероциклилтио, циклоалкилтио, циклоалкенилтио, сульфинила, сульфамоила, сульфонила, алленила, циано или липида, причем каждый из R6, R6', R6'' и R6''' может быть необязательно замещен одним или более одинаковыми или различными R10; R7 и R7', каждый независимо, выбраны из водорода, дейтерия, гидрокси, азидо, тиола, амино, циано, галогена, алкила, алкенила, алкинила, карбоциклила, гетерокарбоциклила, арила, гетероарила, гетероциклила, циклоалкила, циклоалкенила, алкокси, карбоциклокси, гетерокарбоциклокси, арилокси, гетероарилокси, гетероциклокси, циклоалкокси, циклоалкенокси, алкиламино, (алкил)2амино, карбоцикламино, гетерокарбоцикламино, ариламино, гетероариламино, гетероцикламино, циклоалкамино, циклоалкенамино, алкилтио, карбоциклилтио, гетерокарбоциклилтио, арилтио, гетероарилтио, гетероциклилтио, циклоалкилтио, циклоалкенилтио, алленила, сульфинила, сульфамоила, сульфонила, липида, нитро или карбонила, причем R7необязательно замещен одним или более одинаковыми или различными R10; R8 представляет собой дейтерий, гидрокси, азидо, тиол, амино, циано, галоген, алкил, алкенил, алкинил, карбоциклил, гетерокарбоциклил, арил, гетероарил, гетероциклил, циклоалкил, циклоалкенил, алкокси, карбоциклокси, гетерокарбоциклокси, арилокси, гетероарилокси, гетероциклокси, циклоалкокси, циклоалкенокси, алкиламино, (алкил)2амино, карбоцикламино, гетерокарбоцикламино, ариламино, гетероариламино, гетероцикламино, циклоалкамино, циклоалкенамино, алкилтио, карбоциклилтио, гетерокарбоциклилтио, арилтио, гетероарилтио, гетероциклилтио, циклоалкилтио, циклоалкенилтио, алленил, сульфинил, сульфамоил, сульфонил, липид, нитро или карбонил, причем R8 необязательно замещен одним или более одинаковыми или различными R10; R9 представляет собой дейтерий, гидрокси, азидо, тиол, амино, циано, галоген, алкил, алкенил, алкинил, карбоциклил, гетерокарбоциклил, арил, гетероарил, гетероциклил, циклоалкил, циклоалкенил, алкокси, карбоциклокси, гетерокарбоциклокси, арилокси, гетероарилокси, гетероциклокси, циклоалкокси, циклоалкенокси, алкиламино, (алкил)гамино, карбоцикламино, гетерокарбоцикламино, ариламино, гетероариламино, гетероцикламино, циклоалкамино, циклоалкенамино, алкилтио, карбоциклилтио, гетерокарбоциклилтио, арилтио, гетероарилтио, гетероциклилтио, циклоалкилтио, циклоалкенилтио, алленил, сульфинил, сульфамоил, сульфонил, липид, нитро или карбонил, причем R9 необязательно замещен одним или более одинаковыми или различными R10; R7, R7', R8 и R9 могут образовывать кольцо с α-атомом углерода, к которому они присоединены, и с аминогруппой, присоединенной к α-атому углерода, причем указанное кольцо необязательно замещено одним или более одинаковыми или различными R10; R7 и R7' могут образовывать кольцо с α-атомом углерода, к которому они присоединены, причем указанное кольцо необязательно замещено одним или более одинаковыми или различными R10; R8 и R9 могут образовывать кольцо с α-атомом углерода, к которому они присоединены, причем указанное кольцо необязательно замещено одним или более одинаковыми или различными R10; R10 представляет собой дейтерий, гидрокси, азидо, тиол, амино, циано, галоген, алкил, алкенил, алкинил, карбоциклил, гетерокарбоциклил, арил, гетероарил, гетероциклил, циклоалкил, циклоалкенил, алкокси, карбоциклокси, гетерокарбоциклокси, арилокси, гетероарилокси, гетероциклокси, циклоалкокси, циклоалкенокси, алкиламино, (алкил)гамино, карбоцикламино, гетерокарбоцикламино, ариламино, гетероариламино, гетероцикламино, циклоалкамино, циклоалкенамино, алкилтио, карбоциклилтио, гетерокарбоциклилтио, арилтио, гетероарилтио, гетероциклилтио, циклоалкилтио, циклоалкенилтио, алленил, сульфинил, сульфамоил, сульфонил, липид, нитро или карбонил, причем R10 необязательно замещен одним или более одинаковыми или различными R11; R11 представляет собой дейтерий, гидрокси, азидо, тиол, амино, циано, галоген, алкил, алкенил, алкинил, карбоциклил, гетерокарбоциклил, арил, гетероарил, гетероциклил, циклоалкил, циклоалкенил, алкокси, карбоциклокси, гетерокарбоциклокси, арилокси, гетероарилокси, гетероциклокси, циклоалкокси, циклоалкенокси, алкиламино, (алкил)2амино, карбоцикламино, гетерокарбоцикламино, ариламино, гетероариламино, гете рецикла ми но, циклоалкамино, циклоалкенамино, алкилтио, карбоциклилтио, гетерокарбоциклилтио, арилтио, гетероарилтио, гетероциклилтио, циклоалкилтио, циклоалкенилтио, алленил, сульфинил, сульфамоил, сульфонил, липид, нитро или карбонил; и липид представляет собой С11-С22 высший алкил, С11-С22 высший алкокси, полиэтиленгликоль или арил, замещенный алкильной группой, или липид, описанный в настоящем документе. В иллюстративных вариантах реализации формулы XIV R1 представляет собой водород, В иллюстративных вариантах реализации формулы XIV W представляет собой CR'. В иллюстративных вариантах реализации формулы XIV Z представляет собой CR''. В иллюстративных вариантах реализации формулы XIV R' представляет собой Н, F, Cl, ОН, метил, гидроксиметил, фторметил, дифторметил, трифторметил, винил, этинил, формил. В иллюстративных вариантах реализации формулы XIV R'' представляет собой Н, F, Cl, ОН, метил, гидроксиметил, фторметил, дифторметил, трифторметил, винил, этинил, формил. В иллюстративных вариантах реализации формулы XIV R2, R2', R3, R3' представляют собой водород, гидроксил, амино, фтор, хлор, циано, метил, фторметил, метокси, винил, этинил и хлорэтинил. В иллюстративных вариантах реализации формулы XIV R5 представляет собой липид, метил, этил, пропил, изопропил, бутил, втор-бутил, трет-бутил, пентил, втор-пентил, трет-пентил, неопентил, 3-пентил, гексил, трет-гексил, 4-септил, циклопропил, циклобутил, циклопентил, циклогексил, фенил, 2,6-диметилфенил, изопропоксид, трет-бутоксид, N-пропиламино, N-изопропиламино, N-трет-бутиламино, N,N-диметиламино, N,N-диэтиламино и N,N-дипропиламино. В иллюстративных вариантах реализации формулы XIV R6 представляет собой водород, гидроксил, фтор, хлор, амино, липид, метил, метокси, этил, пропил, изопропил, бутил, втор-бутил, трет-бутил, пентил, втор-пентил, трет-пентил, неопентил, 3-пентил, гексил, трет-гексил, 4-септил, циклопропил, циклобутил, циклопентил, циклогексил, фенил, 2,6-диметилфенил, изопропоксид, трет-бутоксид, N-пропиламино, N-изопропиламино, N-трет-бутиламино, N,N-диметиламино, N,N-диэтиламино и N,N-дипропиламино. В иллюстративных вариантах реализации формулы XIV R7 представляет собой метил, этил, пропил, изопропил, бутил, втор-бутил, трет-бутил, пентил, втор-пентил, трет-пентил, неопентил, 3-пентил, гексил, трет-гексил, 4-септил, циклопропил, циклобутил, циклопентил, циклогексил, фенил, 2,6-диметилфенил, изопропоксид, трет-бутоксид, N-пропиламино, N-изопропиламино, N-трет-бутиламино, N,N-диметиламино, N,N-диэтиламино и N,N-дипропиламино. В иллюстративных вариантах реализации формулы XIV R8 представляет собой метил, этил, пропил, изопропил, бутил, втор-бутил, трет-бутил, пентил, втор-пентил, трет-пентил, неопентил, 3-пентил, гексил, трет-гексил, 4-септил, циклопропил, циклобутил, циклопентил, циклогексил, фенил, 2,6-диметилфенил, изопропоксид, трет-бутоксид, N-пропиламино, N-изопропиламино, N-трет-бутиламино, N,N-диметиламино, N,N-диэтиламино и N,N-дипропиламино. В иллюстративных вариантах реализации формулы XIV R9 представляет собой метил, этил, пропил, изопропил, бутил, втор-бутил, трет-бутил, пентил, втор-пентил, трет-пентил, неопентил, 3-пентил, гексил, трет-гексил, 4-септил, циклопропил, циклобутил, циклопентил, циклогексил, фенил, 2,6-диметилфенил, изопропоксид, трет-бутоксид, N-пропиламино, N-изопропиламино, N-трет-бутиламино, N,N-диметиламино, N,N-диэтиламино и N,N-дипропиламино. В некоторых вариантах реализации настоящее изобретение относится к соединению формулы XV, или его фармацевтической или физиологической соли, где W представляет собой N или CR'; Z представляет собой N или CR''; R' представляет собой водород, дейтерий, галоген, гидроксил, амино, тиол, алкил, алкенил, алкинил, арил, гетероарил, карбоциклил, гетерокарбоциклил, циклоалкил, гетероциклил или ацил, причем R' необязательно замещен одним или более одинаковыми или различными R10; R'' представляет собой водород, дейтерий, галоген, гидроксил, амино, тиол, алкил, алкенил, алкинил, арил, гетероарил, карбоциклил, гетерокарбоциклил, циклоалкил, гетероциклил или ацил, причем R'' необязательно замещен одним или более одинаковыми или различными R10; R1 выбран из Н, необязательно замещенных сложных эфиров, необязательно замещенных разветвленных сложных эфиров, необязательно замещенных карбонатов, необязательно замещенных карбаматов, необязательно замещенных сложных тиоэфиров, необязательно замещенных разветвленных сложных тиоэфиров, необязательно замещенных тиокарбонатов, необязательно замещенного S-тиокарбоната, необязательно замещенных дитиокарбонатов, необязательно замещенных тиокарбаматов, необязательно замещенного оксиметоксикарбонила, необязательно замещенного оксиметокситиокарбонила, необязательно замещенного оксиметилкарбонила, необязательно замещенного оксиметилтиокарбонила, сложных эфиров L-аминокислот, сложных эфиров D-аминокислот, сложных эфиров N-замещенных L-аминокислот, сложных эфиров N,N-дизамещенных L-аминокислот, сложных эфиров N-замещенных D-аминокислот, сложных эфиров N,N-дизамещенных D-аминокислот, необязательно замещенного сульфенила, необязательно замещенного имидата, необязательно замещенного гидразоната, необязательно замещенного оксимила, необязательно замещенного имидинила, необязательно замещенного имидила, необязательно замещенного аминаля, необязательно замещенного гемиаминаля, необязательно замещенного ацеталя, необязательно замещенного гемиацеталя, необязательно замещенного карбонимидата, необязательно замещенного тиокарбонимидата, необязательно замещенного карбонимидила, необязательно замещенного карбамимидата, необязательно замещенного карбамимидила, необязательно замещенного тиоацеталя, необязательно замещенного S-ацил-2-тиоэтила, необязательно замещенных сложных бис-(ацилоксибензил)эфиров, необязательно замещенных сложных (ацилоксибензил)эфиров и сложных ВАВ-эфиров, причем R1 необязательно замещен одним или более одинаковыми или различными R10; Y представляет собой О или S; Y1 представляет собой ОН, OY3 или BH3-M+; Y2 представляет собой ОН или BH3-M+; Y3 представляет собой арил, гетероарил или гетероциклил, причем Y3необязательно замещен одним или более одинаковыми или различными R10; R2 выбран из дейтерия, алкила, алкенила, алкинила, алленила, алкокси, гидрокси, тиола, амино, азидо, формила, ацила, циано, галогена, арила, гетероарила, гетероциклила, карбоциклила, гетерокарбоциклила, сульфинила, сульфамоила или сульфонила, причем R2 необязательно замещен одним или более одинаковыми или различными R10; R2' выбран из дейтерия, алкила, алкенила, алкинила, алленила, алкокси, тиола, амино, азидо, формила, ацила, циано, галогена, арила, гетероарила, гетероциклила, карбоциклила, гетерокарбоциклила, сульфинила, сульфамоила или сульфонила, причем R2 необязательно замещен одним или более одинаковыми или различными R10; R3 выбран из водорода, дейтерия, алкила, алкенила, алкинила, алленила, алкокси, гидрокси, тиола, амино, азидо, формила, ацила, циано, галогена, арила, гетероарила, гетероциклила, карбоциклила, гетеро карбоциклила, сульфинила, сульфамоила или сульфонила, причем R3 необязательно замещен одним или более одинаковыми или различными R10; R3' выбран из водорода, дейтерия, алкила, алкенила, алкинила, алленила, алкокси, гидрокси, тиола, амино, азидо, формила, ацила, циано, галогена, арила, гетероарила, гетероциклила, карбоциклила, гетерокарбоциклила, сульфинила, сульфамоила или сульфонила, причем R3 необязательно замещен одним или более одинаковыми или различными R10; R2 и R2' могут образовывать кольцо с атомом углерода, к которому они присоединены, причем указанное кольцо необязательно замещено одним или более одинаковыми или различными R10; R3 и R3' могут образовывать кольцо с атомом углерода, к которому они присоединены, причем указанное кольцо необязательно замещено одним или более одинаковыми или различными R10; R5 представляет собой водород, алкил, алкенил, алкинил, карбоциклил, гетерокарбоциклил, арил, гетероарил, гетероциклил, циклоалкил, циклоалкенил, алленил или липид, причем R5 необязательно замещен одним или более одинаковыми или различными R10; R6, R6', R6'' и R6''', каждый независимо, выбраны из водорода, дейтерия, гидроксила, амино, азидо, тиола, ацила, формила, галогена, нитро, алкила, алкенила, алкинила, карбоциклила, гетеро карбоциклила, арила, гетероарила, гетероциклила, циклоалкила, циклоалкенила, алкокси, карбоциклокси, гетерокарбоциклокси, арилокси, гетероарилокси, гетеро циклокси, циклоалкокси, циклоалкенокси, алкиламино, (алкил)2амино, карбоцикламино, гетерокарбоцикламино, ариламино, гетероариламино, гете рецикла ми но, циклоалкамино, циклоалкенамино, алкилтио, карбоциклилтио, гетерокарбоциклилтио, арилтио, гетероарилтио, гетероциклилтио, циклоалкилтио, циклоалкенилтио, сульфинила, сульфамоила, сульфонила, алленила, циано или липида, причем каждый из R6, R6', R6'' и R6''' может быть необязательно замещен одним или более одинаковыми или различными R10; R7 и R7', каждый независимо, выбраны из водорода, дейтерия, гидрокси, азидо, тиола, амино, циано, галогена, алкила, алкенила, алкинила, карбоциклила, гетерокарбоциклила, арила, гетероарила, гетероциклила, циклоалкила, циклоалкенила, алкокси, карбоциклокси, гетерокарбоциклокси, арилокси, гетероарилокси, гетероциклокси, циклоалкокси, циклоалкенокси, алкиламино, (алкил)2амино, карбоцикламино, гетерокарбоцикламино, ариламино, гетероариламино, гетероцикламино, циклоалкамино, циклоалкенамино, алкилтио, карбоциклилтио, гетерокарбоциклилтио, арилтио, гетероарилтио, гетероциклилтио, циклоалкилтио, циклоалкенилтио, алленила, сульфинила, сульфамоила, сульфонила, липида, нитро или карбонила, причем R7 необязательно замещен одним или более одинаковыми или различными R10; R8 представляет собой дейтерий, гидрокси, азидо, тиол, амино, циано, галоген, алкил, алкенил, алкинил, карбоциклил, гетерокарбоциклил, арил, гетероарил, гетероциклил, циклоалкил, циклоалкенил, алкокси, карбоциклокси, гетерокарбоциклокси, арилокси, гетероарилокси, гетероциклокси, циклоалкокси, циклоалкенокси, алкиламино, (алкил)гамино, карбоцикламино, гетерокарбоцикламино, ариламино, гетероариламино, гетероцикламино, циклоалкамино, циклоалкенамино, алкилтио, карбоциклилтио, гетерокарбоциклилтио, арилтио, гетероарилтио, гетероциклилтио, циклоалкилтио, циклоалкенилтио, алленил, сульфинил, сульфамоил, сульфонил, липид, нитро или карбонил, причем R8 необязательно замещен одним или более одинаковыми или различными R10; R9 представляет собой дейтерий, гидрокси, азидо, тиол, амино, циано, галоген, алкил, алкенил, алкинил, карбоциклил, гетерокарбоциклил, арил, гетероарил, гетероциклил, циклоалкил, циклоалкенил, алкокси, карбоциклокси, гетерокарбоциклокси, арилокси, гетероарилокси, гетероциклокси, циклоалкокси, циклоалкенокси, алкиламино, (алкил)2амино, карбоцикламино, гетерокарбоцикламино, ариламино, гетероариламино, гетероцикламино, циклоалкамино, циклоалкенамино, алкилтио, карбоциклилтио, гетерокарбоциклилтио, арилтио, гетероарилтио, гетероциклилтио, циклоалкилтио, циклоалкенилтио, алленил, сульфинил, сульфамоил, сульфонил, липид, нитро или карбонил, причем R9 необязательно замещен одним или более одинаковыми или различными R10; R7, R7', R8 и R9 могут образовывать кольцо с α-атомом углерода, к которому они присоединены, и с аминогруппой, присоединенной к α-атому углерода, причем указанное кольцо необязательно замещено одним или более одинаковыми или различными R10; R7 и R7' могут образовывать кольцо с α-атомом углерода, к которому они присоединены, причем указанное кольцо необязательно замещено одним или более одинаковыми или различными R10; R8 и R9 могут образовывать кольцо с α-атомом углерода, к которому они присоединены, причем указанное кольцо необязательно замещено одним или более одинаковыми или различными R10; R10 представляет собой дейтерий, гидрокси, азидо, тиол, амино, циано, галоген, алкил, алкенил, алкинил, карбоциклил, гетерокарбоциклил, арил, гетероарил, гетероциклил, циклоалкил, циклоалкенил, алкокси, карбоциклокси, гетерокарбоциклокси, арилокси, гетероарилокси, гетероциклокси, циклоалкокси, циклоалкенокси, алкиламино, (алкил)2амино, карбоцикламино, гетерокарбоцикламино, ариламино, гетероариламино, гетероцикламино, циклоалкамино, циклоалкенамино, алкилтио, карбоциклилтио, гетерокарбоциклилтио, арилтио, гетероарилтио, гетероциклилтио, циклоалкилтио, циклоалкенилтио, алленил, сульфинил, сульфамоил, сульфонил, липид, нитро или карбонил, причем R10 необязательно замещен одним или более одинаковыми или различными R11; R11 представляет собой дейтерий, гидрокси, азидо, тиол, амино, циано, галоген, алкил, алкенил, алкинил, карбоциклил, гетерокарбоциклил, арил, гетероарил, гетероциклил, циклоалкил, циклоалкенил, алкокси, карбоциклокси, гетерокарбоциклокси, арилокси, гетероарилокси, гетероциклокси, циклоалкокси, циклоалкенокси, алкиламино, (алкил)гамино, карбоцикламино, гетерокарбоцикламино, ариламино, гетероариламино, гетероцикламино, циклоалкамино, циклоалкенамино, алкилтио, карбоциклилтио, гетерокарбоциклилтио, арилтио, гетероарилтио, гетероциклилтио, циклоалкилтио, циклоалкенилтио, алленил, сульфинил, сульфамоил, сульфонил, липид, нитро или карбонил; и липид представляет собой С11-С22 высший алкил, С11-С22 высший алкокси, полиэтиленгликоль или арил, замещенный алкильной группой, или липид, описанный в настоящем документе. В иллюстративных вариантах реализации формулы XV R1 представляет собой водород, В иллюстративных вариантах реализации формулы XV W представляет собой CR'. В иллюстративных вариантах реализации формулы XV Z представляет собой CR''. В иллюстративных вариантах реализации формулы XV R' представляет собой Н, F, Cl, ОН, метил, гидроксиметил, фторметил, дифторметил, трифторметил, винил, этинил, формил. В иллюстративных вариантах реализации формулы XV R'' представляет собой Н, F, Cl, ОН, метил, гидроксиметил, фторметил, дифторметил, трифторметил, винил, этинил, формил. В иллюстративных вариантах реализации формулы XV R5 представляет собой липид, метил, этил, пропил, изопропил, бутил, втор-бутил, трет-бутил, пентил, втор-пентил, трет-пентил, неопентил, 3-пентил, гексил, трет-гексил, 4-септил, циклопропил, циклобутил, циклопентил, циклогексил, фенил, 2,6-диметилфенил, изопропоксид, трет-бутоксид, N-пропиламино, N-изопропиламино, N-трет-бутиламино, N,N-диметиламино, N,N-диэтиламино и N,N-дипропиламино. В иллюстративных вариантах реализации формулы XV R6 представляет собой водород, гидроксил, фтор, хлор, амино, липид, метил, метокси, этил, пропил, изопропил, бутил, втор-бутил, трет-бутил, пентил, втор-пентил, трет-пентил, неопентил, 3-пентил, гексил, трет-гексил, 4-септил, циклопропил, циклобутил, циклопентил, циклогексил, фенил, 2,6-диметилфенил, изопропоксид, трет-бутоксид, N-пропиламино, N-изопропиламино, N-трет-бутиламино, N,N-диметиламино, N,N-диэтиламино и N,N-дипропиламино. В иллюстративных вариантах реализации формулы XV R7 представляет собой метил, этил, пропил, изопропил, бутил, втор-бутил, трет-бутил, пентил, втор-пентил, трет-пентил, неопентил, 3-пентил, гексил, трет-гексил, 4-септил, циклопропил, циклобутил, циклопентил, циклогексил, фенил, 2,6-диметилфенил, изопропоксид, трет-бутоксид, N-про пила ми но, N-изопропиламино, N-трет-бутиламино, N,N-диметиламино, N,N-диэтиламино и N,N-дипропиламино. В иллюстративных вариантах реализации формулы XV R8 представляет собой метил, этил, пропил, изопропил, бутил, втор-бутил, трет-бутил, пентил, втор-пентил, трет-пентил, неопентил, 3-пентил, гексил, трет-гексил, 4-септил, циклопропил, циклобутил, циклопентил, циклогексил, фенил, 2,6-диметилфенил, изопропоксид, трет-бутоксид, N-пропиламино, N-изопропиламино, N-трет-бутиламино, N,N-диметиламино, N,N-диэтиламино и N,N-дипропиламино. В иллюстративных вариантах реализации формулы XV R9 представляет собой метил, этил, пропил, изопропил, бутил, втор-бутил, трет-бутил, пентил, втор-пентил, трет-пентил, неопентил, 3-пентил, гексил, трет-гексил, 4-септил, циклопропил, циклобутил, циклопентил, циклогексил, фенил, 2,6-диметилфенил, изопропоксид, трет-бутоксид, N-пропиламино, N-изопропиламино, N-трет-бутиламино, N,N-диметиламино, N,N-диэтиламино и N,N-дипропиламино. В некоторых вариантах реализации настоящее изобретение относится к соединению формулы XVI, или его фармацевтической или физиологической соли, где W представляет собой N или CR'; Z представляет собой N или CR''; R' представляет собой водород, дейтерий, галоген, гидроксил, амино, тиол, алкил, алкенил, алкинил, арил, гетероарил, карбоциклил, гетерокарбоциклил, циклоалкил, гетероциклил или ацил, причем R' необязательно замещен одним или более одинаковыми или различными R10; R'' представляет собой водород, дейтерий, галоген, гидроксил, амино, тиол, алкил, алкенил, алкинил, арил, гетероарил, карбоциклил, гетерокарбоциклил, циклоалкил, гетероциклил или ацил, причем R'' необязательно замещен одним или более одинаковыми или различными R10; R1 выбран из Н, необязательно замещенных сложных эфиров, необязательно замещенных разветвленных сложных эфиров, необязательно замещенных карбонатов, необязательно замещенных карбаматов, необязательно замещенных сложных тиоэфиров, необязательно замещенных разветвленных сложных тиоэфиров, необязательно замещенных тиокарбонатов, необязательно замещенного S-тиокарбоната, необязательно замещенных дитиокарбонатов, необязательно замещенных тиокарбаматов, необязательно замещенного оксиметоксикарбонила, необязательно замещенного оксиметокситиокарбонила, необязательно замещенного оксиметилкарбонила, необязательно замещенного оксиметилтиокарбонила, сложных эфиров L-аминокислот, сложных эфиров D-аминокислот, сложных эфиров N-замещенных L-аминокислот, сложных эфиров N,N-дизамещенных L-аминокислот, сложных эфиров N-замещенных D-аминокислот, сложных эфиров N,N-дизамещенных D-аминокислот, необязательно замещенного сульфенила, необязательно замещенного имидата, необязательно замещенного гидразоната, необязательно замещенного оксимила, необязательно замещенного имидинила, необязательно замещенного имидила, необязательно замещенного аминаля, необязательно замещенного гемиаминаля, необязательно замещенного ацеталя, необязательно замещенного гемиацеталя, необязательно замещенного карбонимидата, необязательно замещенного тиокарбонимидата, необязательно замещенного карбонимидила, необязательно замещенного карбамимидата, необязательно замещенного карбамимидила, необязательно замещенного тиоацеталя, необязательно замещенного 3-ацил-2-тиоэтила, необязательно замещенных сложных бис-(ацилоксибензил)эфиров, необязательно замещенных сложных (ацилоксибензил)эфиров и сложных ВАВ-эфиров, причем R1 необязательно замещен одним или более одинаковыми или различными R10; Y представляет собой О или S; Y1 представляет собой ОН, OY3 или BH3-M+; Y2 представляет собой ОН или ВН3-М+; Y3 представляет собой арил, гетероарил или гетероциклил, причем Y3необязательно замещен одним или более одинаковыми или различными R10; R3 выбран из водорода, дейтерия, алкила, алкенила, алкинила, алленила, алкокси, гидрокси, тиола, амино, азидо, формила, ацила, циано, галогена, арила, гетероарила, гетероциклила, карбоциклила, гетерокарбоциклила, сульфинила, сульфамоила или сульфонила, причем R3 необязательно замещен одним или более одинаковыми или различными R10; R3 выбран из водорода, дейтерия, алкила, алкенила, алкинила, алленила, алкокси, гидрокси, тиола, амино, азидо, формила, ацила, циано, галогена, арила, гетероарила, гетероциклила, карбоциклила, гетерокарбоциклила, сульфинила, сульфамоила или сульфонила, причем R3 необязательно замещен одним или более одинаковыми или различными R10; R3 и R3' могут образовывать кольцо с атомом углерода, к которому они присоединены, причем указанное кольцо необязательно замещено одним или более одинаковыми или различными R10; R5 представляет собой водород, алкил, алкенил, алкинил, карбоциклил, гетерокарбоциклил, арил, гетероарил, гетероциклил, циклоалкил, циклоалкенил, алленил или липид, причем R5 необязательно замещен одним или более одинаковыми или различными R10; R6, R6', R6'' и R6''', каждый независимо, выбраны из водорода, дейтерия, гидроксила, амино, азидо, тиола, ацила, формила, галогена, нитро, алкила, алкенила, алкинила, карбоциклила, гетеро карбоциклила, арила, гетероарила, гетероциклила, циклоалкила, циклоалкенила, алкокси, карбоциклокси, гетерокарбоциклокси, арилокси, гетероарилокси, гетеро циклокси, циклоалкокси, циклоалкенокси, алкиламино, (алкил)гамино, карбоцикламино, гетерокарбоцикламино, ариламино, гетероариламино, гетероцикламино, циклоалкамино, циклоалкенамино, алкилтио, карбоциклилтио, гетерокарбоциклилтио, арилтио, гетероарилтио, гетероциклилтио, циклоалкилтио, циклоалкенилтио, сульфинила, сульфамоила, сульфонила, алленила, циано или липида, причем каждый из R6, R6', R6'' и R6''' может быть необязательно замещен одним или более одинаковыми или различными R10; R7 и R7', каждый независимо, выбраны из водорода, дейтерия, гидрокси, азидо, тиола, амино, циано, галогена, алкила, алкенила, алкинила, карбоциклила, гетерокарбоциклила, арила, гетероарила, гетероциклила, циклоалкила, циклоалкенила, алкокси, карбоциклокси, гетерокарбоциклокси, арилокси, гетероарилокси, гетеро циклокси, циклоалкокси, циклоалкенокси, алкиламино, (алкил)гамино, карбоцикламино, гетерокарбоцикламино, ариламино, гетероариламино, гетероцикламино, циклоалкамино, циклоалкенамино, алкилтио, карбоциклилтио, гетерокарбоциклилтио, арилтио, гетероарилтио, гетероциклилтио, циклоалкилтио, циклоалкенилтио, алленила, сульфинила, сульфамоила, сульфонила, липида, нитро или карбонила, причем R7 необязательно замещен одним или более одинаковыми или различными R10; R8 представляет собой дейтерий, гидрокси, азидо, тиол, амино, циано, галоген, алкил, алкенил, алкинил, карбоциклил, гетерокарбоциклил, арил, гетероарил, гетероциклил, циклоалкил, циклоалкенил, алкокси, карбоциклокси, гетерокарбоциклокси, арилокси, гетероарилокси, гетероциклокси, циклоалкокси, циклоалкенокси, алкиламино, (алкил)2амино, карбоцикламино, гетерокарбоцикламино, ариламино, гетероариламино, гетероцикламино, циклоалкамино, циклоалкенамино, алкилтио, карбоциклилтио, гетерокарбоциклилтио, арилтио, гетероарилтио, гетероциклилтио, циклоалкилтио, циклоалкенилтио, алленил, сульфинил, сульфамоил, сульфонил, липид, нитро или карбонил, причем R8 необязательно замещен одним или более одинаковыми или различными R10; R9 представляет собой дейтерий, гидрокси, азидо, тиол, амино, циано, галоген, алкил, алкенил, алкинил, карбоциклил, гетерокарбоциклил, арил, гетероарил, гетероциклил, циклоалкил, циклоалкенил, алкокси, карбоциклокси, гетерокарбоциклокси, арилокси, гетероарилокси, гетероциклокси, циклоалкокси, циклоалкенокси, алкиламино, (алкил)гамино, карбоцикламино, гетерокарбоцикламино, ариламино, гетероариламино, гетероцикламино, циклоалкамино, циклоалкенамино, алкилтио, карбоциклилтио, гетерокарбоциклилтио, арилтио, гетероарилтио, гетероциклилтио, циклоалкилтио, циклоалкенилтио, алленил, сульфинил, сульфамоил, сульфонил, липид, нитро или карбонил, причем R9 необязательно замещен одним или более одинаковыми или различными R10; R7, R7', R8 и R9 могут образовывать кольцо с α-атомом углерода, к которому они присоединены, и с аминогруппой, присоединенной к α-атому углерода, причем указанное кольцо необязательно замещено одним или более одинаковыми или различными R10; R7 и R7' могут образовывать кольцо с α-атомом углерода, к которому они присоединены, причем указанное кольцо необязательно замещено одним или более одинаковыми или различными R10; R8 и R9 могут образовывать кольцо с α-атомом углерода, к которому они присоединены, причем указанное кольцо необязательно замещено одним или более одинаковыми или различными R10; R10 представляет собой дейтерий, гидрокси, азидо, тиол, амино, циано, галоген, алкил, алкенил, алкинил, карбоциклил, гетерокарбоциклил, арил, гетероарил, гетероциклил, циклоалкил, циклоалкенил, алкокси, карбоциклокси, гетерокарбоциклокси, арилокси, гетероарилокси, гетероциклокси, циклоалкокси, циклоалкенокси, алкиламино, (алкил)2амино, карбоцикламино, гетерокарбоцикламино, ариламино, гетероариламино, гетероцикламино, циклоалкамино, циклоалкенамино, алкилтио, карбоциклилтио, гетерокарбоциклилтио, арилтио, гетероарилтио, гетероциклилтио, циклоалкилтио, циклоалкенилтио, алленил, сульфинил, сульфамоил, сульфонил, липид, нитро или карбонил, причем R10 необязательно замещен одним или более одинаковыми или различными R11; R11 представляет собой дейтерий, гидрокси, азидо, тиол, амино, циано, галоген, алкил, алкенил, алкинил, карбоциклил, гетерокарбоциклил, арил, гетероарил, гетероциклил, циклоалкил, циклоалкенил, алкокси, карбоциклокси, гетерокарбоциклокси, арилокси, гетероарилокси, гетероциклокси, циклоалкокси, циклоалкенокси, алкиламино, (алкил)2амино, карбоцикламино, гетерокарбоцикламино, ариламино, гетероариламино, гетероцикламино, циклоалкамино, циклоалкенамино, алкилтио, карбоциклилтио, гетерокарбоциклилтио, арилтио, гетероарилтио, гетероциклилтио, циклоалкилтио, циклоалкенилтио, алленил, сульфинил, сульфамоил, сульфонил, липид, нитро или карбонил; и липид представляет собой С11-С22 высший алкил, С11-С22 высший алкокси, полиэтиленгликоль или арил, замещенный алкильной группой, или липид, описанный в настоящем документе. В иллюстративных вариантах реализации формулы XVI R1 представляет собой водород, В иллюстративных вариантах реализации формулы XVI W представляет собой CR'. В иллюстративных вариантах реализации формулы XVI Z представляет собой CR''. В иллюстративных вариантах реализации формулы XVI R' представляет собой Н, F, Cl, ОН, метил, гидроксиметил, фторметил, дифторметил, трифторметил, винил, этинил, формил. В иллюстративных вариантах реализации формулы XVI R'' представляет собой Н, F, Cl, ОН, метил, гидроксиметил, фторметил, дифторметил, трифторметил, винил, этинил, формил. В иллюстративных вариантах реализации формулы XVI R5 представляет собой липид, метил, этил, пропил, изопропил, бутил, втор-бутил, трет-бутил, пентил, втор-пентил, трет-пентил, неопентил, 3-пентил, гексил, трет-гексил, 4-септил, циклопропил, циклобутил, циклопентил, циклогексил, фенил, 2,6-диметилфенил, изопропоксид, трет-бутоксид, N-пропиламино, N-изопропиламино, N-трет-бутиламино, N,N-диметиламино, N,N-диэтиламино и N,N-дипропиламино. В иллюстративных вариантах реализации формулы XVI R6 представляет собой водород, гидроксил, фтор, хлор, амино, липид, метил, метокси, этил, пропил, изопропил, бутил, втор-бутил, трет-бутил, пентил, втор-пентил, трет-пентил, неопентил, 3-пентил, гексил, трет-гексил, 4-септил, циклопропил, циклобутил, циклопентил, циклогексил, фенил, 2,6-диметилфенил, изопропоксид, трет-бутоксид, N-пропиламино, N-изопропиламино, N-трет-бутиламино, N,N-диметиламино, N,N-диэтиламино и N,N-дипропиламино. В иллюстративных вариантах реализации формулы XVI R7 представляет собой метил, этил, пропил, изопропил, бутил, втор-бутил, трет-бутил, пентил, втор-пентил, трет-пентил, неопентил, 3-пентил, гексил, трет-гексил, 4-септил, циклопропил, циклобутил, циклопентил, циклогексил, фенил, 2,6-диметилфенил, изопропоксид, трет-бутоксид, N-пропиламино, N-изопропиламино, N-трет-бутиламино, N,N-диметиламино, N,N-диэтиламино и N,N-дипропиламино. В иллюстративных вариантах реализации формулы XVI R8 представляет собой метил, этил, пропил, изопропил, бутил, втор-бутил, трет-бутил, пентил, втор-пентил, трет-пентил, неопентил, 3-пентил, гексил, трет-гексил, 4-септил, циклопропил, циклобутил, циклопентил, циклогексил, фенил, 2,6-диметилфенил, изопропоксид, трет-бутоксид, N-пропиламино, N-изопропиламино, N-трет-бутиламино, N,N-диметиламино, N,N-диэтиламино и N,N-дипропиламино. В иллюстративных вариантах реализации формулы XVI R9 представляет собой метил, этил, пропил, изопропил, бутил, втор-бутил, трет-бутил, пентил, втор-пентил, трет-пентил, неопентил, 3-пентил, гексил, трет-гексил, 4-септил, циклопропил, циклобутил, циклопентил, циклогексил, фенил, 2,6-диметилфенил, изопропоксид, трет-бутоксид, N-пропиламино, N-изопропиламино, N-трет-бутиламино, N,N-диметиламино, N,N-диэтиламино и N,N-дипропиламино. В некоторых вариантах реализации настоящее изобретение относится к соединению формулы XVII, или его фармацевтической или физиологической соли, где W представляет собой N или CR'; Z представляет собой N или CR''; R' представляет собой дейтерий, галоген, гидроксил, амино, тиол, алкил, алкенил, алкинил, арил, гетероарил, карбоциклил, гетерокарбоциклил, циклоалкил, гетероциклил или ацил, причем R' необязательно замещен одним или более одинаковыми или различными R10; R'' представляет собой водород, дейтерий, галоген, гидроксил, амино, тиол, алкил, алкенил, алкинил, арил, гетероарил, карбоциклил, гетерокарбоциклил, циклоалкил, гетероциклил или ацил, причем R" необязательно замещен одним или более одинаковыми или различными R10; R1 выбран из Н, необязательно замещенных сложных эфиров, необязательно замещенных разветвленных сложных эфиров, необязательно замещенных карбонатов, необязательно замещенных карбаматов, необязательно замещенных сложных тиоэфиров, необязательно замещенных разветвленных сложных тиоэфиров, необязательно замещенных тиокарбонатов, необязательно замещенного S-тиокарбоната, необязательно замещенных дитиокарбонатов, необязательно замещенных тиокарбаматов, необязательно замещенного оксиметоксикарбонила, необязательно замещенного оксиметокситиокарбонила, необязательно замещенного оксиметилкарбонила, необязательно замещенного оксиметилтиокарбонила, сложных эфиров L-аминокислот, сложных эфиров D-аминокислот, сложных эфиров N-замещенных L-аминокислот, сложных эфиров N,N-дизамещенных L-аминокислот, сложных эфиров N-замещенных D-аминокислот, сложных эфиров N,N-дизамещенных D-аминокислот, необязательно замещенного сульфенила, необязательно замещенного имидата, необязательно замещенного гидразоната, необязательно замещенного оксимила, необязательно замещенного имидинила, необязательно замещенного имидила, необязательно замещенного аминаля, необязательно замещенного гемиаминаля, необязательно замещенного ацеталя, необязательно замещенного гемиацеталя, необязательно замещенного карбонимидата, необязательно замещенного тиокарбонимидата, необязательно замещенного карбонимидила, необязательно замещенного карбамимидата, необязательно замещенного карбамимидила, необязательно замещенного тиоацеталя, необязательно замещенного S-ацил-2-тиоэтила, необязательно замещенных сложных бис-(ацилоксибензил)эфиров, необязательно замещенных сложных (ацилоксибензил)эфиров и сложных ВАВ-эфиров, причем R1 необязательно замещен одним или более одинаковыми или различными R10; Y представляет собой О или S; Y1 представляет собой ОН, OY3 или ВН3-М+; Y2 представляет собой ОН или ВН3-М+; Y3 представляет собой арил, гетероарил или гетероциклил, причем Y3необязательно замещен одним или более одинаковыми или различными R10; R2 выбран из дейтерия, алкила, алкенила, алкинила, алленила, алкокси, тиола, амино, азидо, формила, ацила, циано, галогена, арила, гетероарила, гетероциклила, карбоциклила, гетерокарбоциклила, сульфинила, сульфамоила или сульфонила, причем R2 необязательно замещен одним или более одинаковыми или различными R10; R3 и R3', каждый независимо, выбраны из водорода, дейтерия, алкила, алкенила, алкинила, алленила, алкокси, гидрокси, тиола, амино, азидо, формила, ацила, циано, галогена, арила, гетероарила, гетероциклила, карбоциклила, гетерокарбоциклила, сульфинила, сульфамоила или сульфонила, причем R3 и R3необязательно замещены одним или более одинаковыми или различными R10; R3 и R3' могут образовывать кольцо с атомом углерода, к которому они присоединены, причем указанное кольцо необязательно замещено одним или более одинаковыми или различными R10; R5 представляет собой водород, алкил, алкенил, алкинил, карбоциклил, гетерокарбоциклил, арил, гетероарил, гетероциклил, циклоалкил, циклоалкенил, алленил или липид, причем R5 необязательно замещен одним или более одинаковыми или различными R10; R6, R6', R6'' и R6''', каждый независимо, выбраны из водорода, дейтерия, гидроксила, амино, азидо, тиола, ацила, формила, галогена, нитро, алкила, алкенила, алкинила, карбоциклила, гетерокарбоцикл ила, арила, гетероарила, гетероциклила, циклоалкила, циклоалкенила, алкокси, карбоциклокси, гетерокарбоциклокси, арилокси, гетероарилокси, гетероциклокси, циклоалкокси, циклоалкенокси, алкиламино, (алкил)2амино, карбоцикламино, гетерокарбоцикламино, ариламино, гетероариламино, гетероцикламино, циклоалкамино, циклоалкенамино, алкилтио, карбоциклилтио, гетерокарбоциклилтио, арилтио, гетероарилтио, гетероциклилтио, циклоалкилтио, циклоалкенилтио, сульфинила, сульфамоила, сульфонила, алленила, циано или липида, причем каждый из R6, R6', R6'' и R6''' может быть необязательно замещен одним или более одинаковыми или различными R10; R7 и R7', каждый независимо, выбраны из водорода, дейтерия, гидрокси, азидо, тиола, амино, циано, галогена, алкила, алкенила, алкинила, карбоциклила, гетерокарбоциклила, арила, гетероарила, гетероциклила, циклоалкила, циклоалкенила, алкокси, карбоциклокси, гетерокарбоциклокси, арилокси, гетероарилокси, гетероциклокси, циклоалкокси, циклоалкенокси, алкиламино, (алкил)2амино, карбоцикламино, гетерокарбоцикламино, ариламино, гетероариламино, гетероцикламино, циклоалкамино, циклоалкенамино, алкилтио, карбоциклилтио, гетерокарбоциклилтио, арилтио, гетероарилтио, гетероциклилтио, циклоалкилтио, циклоалкенилтио, алленила, сульфинила, сульфамоила, сульфонила, липида, нитро или карбонила, причем R7необязательно замещен одним или более одинаковыми или различными R10; R8 представляет собой дейтерий, гидрокси, азидо, тиол, амино, циано, галоген, алкил, алкенил, алкинил, карбоциклил, гетерокарбоциклил, арил, гетероарил, гетероциклил, циклоалкил, циклоалкенил, алкокси, карбоциклокси, гетерокарбоциклокси, арилокси, гетероарилокси, гетероциклокси, циклоалкокси, циклоалкенокси, алкиламино, (алкил)2амино, карбоцикламино, гетерокарбоцикламино, ариламино, гетероариламино, гетероцикламино, циклоалкамино, циклоалкенамино, алкилтио, карбоциклилтио, гетерокарбоциклилтио, арилтио, гетероарилтио, гетероциклилтио, циклоалкилтио, циклоалкенилтио, алленил, сульфинил, сульфамоил, сульфонил, липид, нитро или карбонил, причем R8 необязательно замещен одним или более одинаковыми или различными R10; R9 представляет собой дейтерий, гидрокси, азидо, тиол, амино, циано, галоген, алкил, алкенил, алкинил, карбоциклил, гетерокарбоциклил, арил, гетероарил, гетероциклил, циклоалкил, циклоалкенил, алкокси, карбоциклокси, гетерокарбоциклокси, арилокси, гетероарилокси, гетерециклокси, циклоалкокси, циклоалкенокси, алкиламино, (алкил)2амино, карбоцикламино, гетерокарбоцикламино, ариламино, гетероариламино, гетероцикламино, циклоалкамино, циклоалкенамино, алкилтио, карбоциклилтио, гетерокарбоциклилтио, арилтио, гетероарилтио, гетероциклилтио, циклоалкилтио, циклоалкенилтио, алленил, сульфинил, сульфамоил, сульфонил, липид, нитро или карбонил, причем R9 необязательно замещен одним или более одинаковыми или различными R10; R7, R7', R8 и R9 могут образовывать кольцо с α-атомом углерода, к которому они присоединены, и с аминогруппой, присоединенной к α-атому углерода, причем указанное кольцо необязательно замещено одним или более одинаковыми или различными R10; R7 и R7' могут образовывать кольцо с α-атомом углерода, к которому они присоединены, причем указанное кольцо необязательно замещено одним или более одинаковыми или различными R10; R8 и R9 могут образовывать кольцо с α-атомом углерода, к которому они присоединены, причем указанное кольцо необязательно замещено одним или более одинаковыми или различными R10; R10 представляет собой дейтерий, гидрокси, азидо, тиол, амино, циано, галоген, алкил, алкенил, алкинил, карбоциклил, гетерокарбоциклил, арил, гетероарил, гетероциклил, циклоалкил, циклоалкенил, алкокси, карбоциклокси, гетерокарбоциклокси, арилокси, гетероарилокси, гетероциклокси, циклоалкокси, циклоалкенокси, алкиламино, (алкил)2амино, карбоцикламино, гетерокарбоцикламино, ариламино, гетероариламино, гетероцикламино, циклоалкамино, циклоалкенамино, алкилтио, карбоциклилтио, гетерокарбоциклилтио, арилтио, гетероарилтио, гетероциклилтио, циклоалкилтио, циклоалкенилтио, алленил, сульфинил, сульфамоил, сульфонил, липид, нитро или карбонил, причем R10 необязательно замещен одним или более одинаковыми или различными R11; R11 представляет собой дейтерий, гидрокси, азидо, тиол, амино, циано, галоген, алкил, алкенил, алкинил, карбоциклил, гетерокарбоциклил, арил, гетероарил, гетероциклил, циклоалкил, циклоалкенил, алкокси, карбоциклокси, гетерокарбоциклокси, арилокси, гетероарилокси, гетероциклокси, циклоалкокси, циклоалкенокси, алкиламино, (алкил)аамино, карбоцикламино, гетерокарбоцикламино, ариламино, гетероариламино, гетероцикламино, циклоалкамино, циклоалкенамино, алкилтио, карбоциклилтио, гетерокарбоциклилтио, арилтио, гетероарилтио, гетероциклилтио, циклоалкилтио, циклоалкенилтио, алленил, сульфинил, сульфамоил, сульфонил, липид, нитро или карбонил; и липид представляет собой Сц-С22 высший алкил, Сц-С22 высший алкокси, полиэтиленгликоль или арил, замещенный алкильной группой, или липид, описанный в настоящем документе. В иллюстративных вариантах реализации формулы XVII R1 представляет собой водород, В иллюстративных вариантах реализации формулы XVII R5 представляет собой липид, метил, этил, пропил, изопропил, бутил, втор-бутил, трет-бутил, пентил, втор-пентил, трет-пентил, неопентил, 3-пентил, гексил, трет-гексил, 4-септил, циклопропил, циклобутил, циклопентил, циклогексил, фенил, 2,6-диметилфенил, изопропоксид, трет-бутоксид, N-пропиламино, N-изопропиламино, N-трет-бутиламино, N,N-диметиламино, N,N-диэтиламино и N,N-дипропиламино. В иллюстративных вариантах реализации формулы XVII R6 представляет собой водород, гидроксил, фтор, хлор, амино, липид, метил, метокси, этил, пропил, изопропил, бутил, втор-бутил, трет-бутил, пентил, втор-пентил, трет-пентил, неопентил, 3-пентил, гексил, трет-гексил, 4-септил, циклопропил, циклобутил, циклопентил, циклогексил, фенил, 2,6-диметилфенил, изопропоксид, трет-бутоксид, N-пропиламино, N-изопропиламино, N-трет-бутиламино, N,N-диметиламино, N,N-диэтиламино и N,N-дипропиламино. В иллюстративных вариантах реализации формулы XVII R7 представляет собой метил, этил, пропил, изопропил, бутил, втор-бутил, трет-бутил, пентил, втор-пентил, трет-пентил, неопентил, 3-пентил, гексил, трет-гексил, 4-септил, циклопропил, циклобутил, циклопентил, циклогексил, фенил, 2,6-диметилфенил, изопропоксид, трет-бутоксид, N-пропиламино, N-изопропиламино, N-трет-бутиламино, N,N-диметиламино, N,N-диэтиламино и N,N-дипропиламино. В иллюстративных вариантах реализации формулы XVII R8 представляет собой метил, этил, пропил, изопропил, бутил, втор-бутил, трет-бутил, пентил, втор-пентил, трет-пентил, неопентил, 3-пентил, гексил, трет-гексил, 4-септил, циклопропил, циклобутил, циклопентил, циклогексил, фенил, 2,6-диметилфенил, изопропоксид, трет-бутоксид, N-про пила ми но, N-изопропиламино, N-трет-бутиламино, N,N-диметиламино, N,N-диэтиламино и N,N-дипропиламино. В иллюстративных вариантах реализации формулы XVII R9 представляет собой метил, этил, пропил, изопропил, бутил, втор-бутил, трет-бутил, пентил, втор-пентил, трет-пентил, неопентил, 3-пентил, гексил, трет-гексил, 4-септил, циклопропил, циклобутил, циклопентил, циклогексил, фенил, 2,6-диметилфенил, изопропоксид, трет-бутоксид, N-пропиламино, N-изопропиламино, N-трет-бутиламино, N,N-диметиламино, N,N-диэтиламино и N,N-дипропиламино. В некоторых вариантах реализации настоящее изобретение относится к соединению формулы XVIII, или его фармацевтической или физиологической соли, где Z представляет собой N или CR''; R'' представляет собой дейтерий, галоген, гидроксил, амино, тиол, алкил, алкенил, алкинил, арил, гетероарил, карбоциклил, гетерокарбоциклил, циклоалкил, гетероциклил или ацил, причем R'' необязательно замещен одним или более одинаковыми или различными R10; R1 выбран из Н, необязательно замещенных сложных эфиров, необязательно замещенных разветвленных сложных эфиров, необязательно замещенных карбонатов, необязательно замещенных карбаматов, необязательно замещенных сложных тиоэфиров, необязательно замещенных разветвленных сложных тиоэфиров, необязательно замещенных тиокарбонатов, необязательно замещенного S-тиокарбоната, необязательно замещенных дитиокарбонатов, необязательно замещенных тиокарбаматов, необязательно замещенного оксиметоксикарбонила, необязательно замещенного оксиметокситиокарбонила, необязательно замещенного оксиметилкарбонила, необязательно замещенного оксиметилтиокарбонила, сложных эфиров L-аминокислот, сложных эфиров D-аминокислот, сложных эфиров N-замещенных L-аминокислот, сложных эфиров N,N-дизамещенных L-аминокислот, сложных эфиров N-замещенных D-аминокислот, сложных эфиров N,N-дизамещенных D-аминокислот, необязательно замещенного сульфенила, необязательно замещенного имидата, необязательно замещенного гидразоната, необязательно замещенного оксимила, необязательно замещенного имидинила, необязательно замещенного имидила, необязательно замещенного аминаля, необязательно замещенного гемиаминаля, необязательно замещенного ацеталя, необязательно замещенного гемиацеталя, необязательно замещенного карбонимидата, необязательно замещенного тиокарбонимидата, необязательно замещенного карбонимидила, необязательно замещенного карбамимидата, необязательно замещенного карбамимидила, необязательно замещенного тиоацеталя, необязательно замещенного 3-ацил-2-тиоэтила, необязательно замещенных сложных бис-(ацилоксибензил)эфиров, необязательно замещенных сложных (ацилоксибензил)эфиров и сложных ВАВ-эфиров, причем R1 необязательно замещен одним или более одинаковыми или различными R10; Y представляет собой О или S; Y1 представляет собой ОН, OY3 или ВН3-М+; Y2 представляет собой ОН или ВН3-М+; Y3 представляет собой арил, гетероарил или гетероциклил, причем Y3 необязательно замещен одним или более одинаковыми или различными R10; R2 выбран из дейтерия, алкила, алкенила, алкинила, алленила, алкокси, тиола, амино, азидо, формила, ацила, циано, галогена, арила, гетероарила, гетероциклила, карбоциклила, гетерокарбоциклила, сульфинила, сульфамоила или сульфонила, причем R2 необязательно замещен одним или более одинаковыми или различными R10; R3 и R3', каждый независимо, выбраны из водорода, дейтерия, алкила, алкенила, алкинила, алленила, алкокси, гидрокси, тиола, амино, азидо, формила, ацила, циано, галогена, арила, гетероарила, гетероциклила, карбоциклила, гетерокарбоциклила, сульфинила, сульфамоила или сульфонила, причем R3 и R3'необязательно замещены одним или более одинаковыми или различными R10; R3 и R3' могут образовывать кольцо с атомом углерода, к которому они присоединены, причем указанное кольцо необязательно замещено одним или более одинаковыми или различными R10; R5 представляет собой водород, алкил, алкенил, алкинил, карбоциклил, гетерокарбоциклил, арил, гетероарил, гетероциклил, циклоалкил, циклоалкенил, алленил или липид, причем R5 необязательно замещен одним или более одинаковыми или различными R10; R6, R6', R6'' и R6''', каждый независимо, выбраны из водорода, дейтерия, гидроксила, амино, азидо, тиола, ацила, формила, галогена, нитро, алкила, алкенила, алкинила, карбоциклила, гетерокарбоцикл ила, арила, гетероарила, гетероциклила, циклоалкила, циклоалкенила, алкокси, карбоциклокси, гетерокарбоциклокси, арилокси, гетероарилокси, гетероциклокси, циклоалкокси, циклоалкенокси, алкиламино, (алкил)2амино, карбоцикламино, гетерокарбоцикламино, ариламино, гетероариламино, гетероцикламино, циклоалкамино, циклоалкенамино, алкилтио, карбоциклилтио, гетерокарбоциклилтио, арилтио, гетероарилтио, гетероциклилтио, циклоалкилтио, циклоалкенилтио, сульфинила, сульфамоила, сульфонила, алленила, циано или липида, причем каждый из R6, R6', R6'' и R6''' может быть необязательно замещен одним или более одинаковыми или различными R10; R7 и R7', каждый независимо, выбраны из водорода, дейтерия, гидрокси, азидо, тиола, амино, циано, галогена, алкила, алкенила, алкинила, карбоциклила, гетерокарбоциклила, арила, гетероарила, гетероциклила, циклоалкила, циклоалкенила, алкокси, карбоциклокси, гетерокарбоциклокси, арилокси, гетероарилокси, гетероциклокси, циклоалкокси, циклоалкенокси, алкиламино, (алкил)2амино, карбоцикламино, гетерокарбоцикламино, ариламино, гетероариламино, гетероцикламино, циклоалкамино, циклоалкенамино, алкилтио, карбоциклилтио, гетерокарбоциклилтио, арилтио, гетероарилтио, гетероциклилтио, циклоалкилтио, циклоалкенилтио, алленила, сульфинила, сульфамоила, сульфонила, липида, нитро или карбонила, причем R7необязательно замещен одним или более одинаковыми или различными R10; R8 представляет собой дейтерий, гидрокси, азидо, тиол, амино, циано, галоген, алкил, алкенил, алкинил, карбоциклил, гетерокарбоциклил, арил, гетероарил, гетероциклил, циклоалкил, циклоалкенил, алкокси, карбоциклокси, гетерокарбоциклокси, арилокси, гетероарилокси, гетероциклокси, циклоалкокси, циклоалкенокси, алкиламино, (алкил)гамино, карбоцикламино, гетерокарбоцикламино, ариламино, гетероариламино, гетероцикламино, циклоалкамино, циклоалкенамино, алкилтио, карбоциклилтио, гетерокарбоциклилтио, арилтио, гетероарилтио, гетероциклилтио, циклоалкилтио, циклоалкенилтио, алленил, сульфинил, сульфамоил, сульфонил, липид, нитро или карбонил, причем R8 необязательно замещен одним или более одинаковыми или различными R10; R9 представляет собой дейтерий, гидрокси, азидо, тиол, амино, циано, галоген, алкил, алкенил, алкинил, карбоциклил, гетерокарбоциклил, арил, гетероарил, гетероциклил, циклоалкил, циклоалкенил, алкокси, карбоциклокси, гетерокарбоциклокси, арилокси, гетероарилокси, гетероциклокси, циклоалкокси, циклоалкенокси, алкиламино, (алкил)2амино, карбоцикламино, гетерокарбоцикламино, ариламино, гетероариламино, гетероцикламино, циклоалкамино, циклоалкенамино, алкилтио, карбоциклилтио, гетерокарбоциклилтио, арилтио, гетероарилтио, гетероциклилтио, циклоалкилтио, циклоалкенилтио, алленил, сульфинил, сульфамоил, сульфонил, липид, нитро или карбонил, причем R9 необязательно замещен одним или более одинаковыми или различными R10; R7, R7', R8 и R9 могут образовывать кольцо с α-атомом углерода, к которому они присоединены, и с аминогруппой, присоединенной к α-атому углерода, причем указанное кольцо необязательно замещено одним или более одинаковыми или различными R10; R7 и R7' могут образовывать кольцо с α-атомом углерода, к которому они присоединены, причем указанное кольцо необязательно замещено одним или более одинаковыми или различными R10; R8 и R9 могут образовывать кольцо с α-атомом углерода, к которому они присоединены, причем указанное кольцо необязательно замещено одним или более одинаковыми или различными R10; R10 представляет собой дейтерий, гидрокси, азидо, тиол, амино, циано, галоген, алкил, алкенил, алкинил, карбоциклил, гетерокарбоциклил, арил, гетероарил, гетероциклил, циклоалкил, циклоалкенил, алкокси, карбоциклокси, гетерокарбоциклокси, арилокси, гетероарилокси, гетероциклокси, циклоалкокси, циклоалкенокси, алкиламино, (алкил)2амино, карбоцикламино, гетерокарбоцикламино, ариламино, гетероариламино, гетероцикламино, циклоалкамино, циклоалкенамино, алкилтио, карбоциклилтио, гетерокарбоциклилтио, арилтио, гетероарилтио, гетероциклилтио, циклоалкилтио, циклоалкенилтио, алленил, сульфинил, сульфамоил, сульфонил, липид, нитро или карбонил, причем R10 необязательно замещен одним или более одинаковыми или различными R11; R11 представляет собой дейтерий, гидрокси, азидо, тиол, амино, циано, галоген, алкил, алкенил, алкинил, карбоциклил, гетерокарбоциклил, арил, гетероарил, гетероциклил, циклоалкил, циклоалкенил, алкокси, карбоциклокси, гетерокарбоциклокси, арилокси, гетероарилокси, гетероциклокси, циклоалкокси, циклоалкенокси, алкиламино, (алкил)2амино, карбоцикламино, гетерокарбоцикламино, ариламино, гетероариламино, гетероцикламино, циклоалкамино, циклоалкенамино, алкилтио, карбоциклилтио, гетерокарбоциклилтио, арилтио, гетероарилтио, гетероциклилтио, циклоалкилтио, циклоалкенилтио, алленил, сульфинил, сульфамоил, сульфонил, липид, нитро или карбонил; и липид представляет собой С11-С22 высший алкил, С11-С22 высший алкокси, полиэтиленгликоль или арил, замещенный алкильной группой, или липид, описанный в настоящем документе. В иллюстративных вариантах реализации формулы XVIII R1 представляет собой водород, В иллюстративных вариантах реализации формулы XVIII R5 представляет собой липид, метил, этил, пропил, изопропил, бутил, втор-бутил, трет-бутил, пентил, втор-пентил, трет-пентил, неопентил, 3-пентил, гексил, трет-гексил, 4-септил, циклопропил, циклобутил, циклопентил, циклогексил, фенил, 2,6-диметилфенил, изопропоксид, трет-бутоксид, N-пропиламино, N-изопропиламино, N-трет-бутиламино, N,N-диметиламино, N,N-диэтиламино и N,N-дипропиламино. В иллюстративных вариантах реализации формулы XVIII R6 представляет собой водород, гидроксил, фтор, хлор, амино, липид, метил, метокси, этил, пропил, изопропил, бутил, втор-бутил, трет-бутил, пентил, втор-пентил, трет-пентил, неопентил, 3-пентил, гексил, трет-гексил, 4-септил, циклопропил, циклобутил, циклопентил, циклогексил, фенил, 2,6-диметилфенил, изопропоксид, трет-бутоксид, N-пропиламино, N-изопропиламино, N-трет-бутиламино, N,N-диметиламино, N,N-диэтиламино и N,N-дипропиламино. В иллюстративных вариантах реализации формулы XVIII R7 представляет собой метил, этил, пропил, изопропил, бутил, втор-бутил, трет-бутил, пентил, втор-пентил, трет-пентил, неопентил, 3-пентил, гексил, трет-гексил, 4-септил, циклопропил, циклобутил, циклопентил, циклогексил, фенил, 2,6-диметилфенил, изопропоксид, трет-бутоксид, N-пропиламино, N-изопропиламино, N-трет-бутиламино, N,N-диметиламино, N,N-диэтиламино и N,N-дипропиламино. В иллюстративных вариантах реализации формулы XVIII R8 представляет собой метил, этил, пропил, изопропил, бутил, втор-бутил, трет-бутил, пентил, втор-пентил, трет-пентил, неопентил, 3-пентил, гексил, трет-гексил, 4-септил, циклопропил, циклобутил, циклопентил, циклогексил, фенил, 2,6-диметилфенил, изопропоксид, трет-бутоксид, N-пропиламино, N-изопропиламино, N-трет-бутиламино, N,N-диметиламино, N,N-диэтиламино и N,N-дипропиламино. В иллюстративных вариантах реализации формулы XVIII R9 представляет собой метил, этил, пропил, изопропил, бутил, втор-бутил, трет-бутил, пентил, втор-пентил, трет-пентил, неопентил, 3-пентил, гексил, трет-гексил, 4-септил, циклопропил, циклобутил, циклопентил, циклогексил, фенил, 2,6-диметилфенил, изопропоксид, трет-бутоксид, N-пропиламино, N-изопропиламино, N-трет-бутиламино, N,N-диметиламино, N,N-диэтиламино и N,N-дипропиламино. В некоторых вариантах реализации настоящее изобретение относится к соединению формулы XIX, или его фармацевтической или физиологической соли, где W представляет собой N или CR'; Z представляет собой N или CR''; R' представляет собой водород, дейтерий, галоген, гидроксил, амино, тиол, алкил, алкенил, алкинил, арил, гетероарил, карбоциклил, гетерокарбоциклил, циклоалкил, гетероциклил или ацил, причем R' необязательно замещен одним или более одинаковыми или различными R10; R'' представляет собой дейтерий, галоген, гидроксил, амино, тиол, алкил, алкенил, алкинил, арил, гетероарил, карбоциклил, гетерокарбоциклил, циклоалкил, гетероциклил или ацил, причем R'' необязательно замещен одним или более одинаковыми или различными R10; R1 выбран из Н, необязательно замещенных сложных эфиров, необязательно замещенных разветвленных сложных эфиров, необязательно замещенных карбонатов, необязательно замещенных карбаматов, необязательно замещенных сложных тиоэфиров, необязательно замещенных разветвленных сложных тиоэфиров, необязательно замещенных тиокарбонатов, необязательно замещенного S-тиокарбоната, необязательно замещенных дитиокарбонатов, необязательно замещенных тиокарбаматов, необязательно замещенного оксиметоксикарбонила, необязательно замещенного оксиметокситиокарбонила, необязательно замещенного оксиметилкарбонила, необязательно замещенного оксиметилтиокарбонила, сложных эфиров L-аминокислот, сложных эфиров D-аминокислот, сложных эфиров N-замещенных L-аминокислот, сложных эфиров N,N-дизамещенных L-аминокислот, сложных эфиров N-замещенных D-аминокислот, сложных эфиров N,N-дизамещенных D-аминокислот, необязательно замещенного сульфенила, необязательно замещенного имидата, необязательно замещенного гидразоната, необязательно замещенного оксимила, необязательно замещенного имидинила, необязательно замещенного имидила, необязательно замещенного аминаля, необязательно замещенного гемиаминаля, необязательно замещенного ацеталя, необязательно замещенного гемиацеталя, необязательно замещенного карбонимидата, необязательно замещенного тиокарбонимидата, необязательно замещенного карбонимидила, необязательно замещенного карбамимидата, необязательно замещенного карбамимидила, необязательно замещенного тиоацеталя, необязательно замещенного S-ацил-2-тиоэтила, необязательно замещенных сложных бис-(ацилоксибензил)эфиров, необязательно замещенных сложных (ацилоксибензил)эфиров и сложных ВАВ-эфиров, причем R1 необязательно замещен одним или более одинаковыми или различными R10; Y представляет собой О или S; Y1 представляет собой ОН, OY3 или ВН3-М+; Y2 представляет собой ОН или ВН3-М+; Y3 представляет собой арил, гетероарил или гетероциклил, причем Y3 необязательно замещен одним или более одинаковыми или различными R10; R3 выбран из водорода, дейтерия, алкила, алкенила, алкинила, алленила, алкокси, гидрокси, тиола, амино, азидо, формила, ацила, циано, галогена, арила, гетероарила, гетероциклила, карбоциклила, гетерокарбоциклила, сульфинила, сульфамоила или сульфонила, причем R3 необязательно замещен одним или более одинаковыми или различными R10; R3' выбран из водорода, дейтерия, алкила, алкенила, алкинила, алленила, алкокси, гидрокси, тиола, амино, азидо, формила, ацила, циано, галогена, арила, гетероарила, гетероциклила, карбоциклила, гетерокарбоциклила, сульфинила, сульфамоила или сульфонила, причем R3' необязательно замещен одним или более одинаковыми или различными R10; R3 и R3' могут образовывать кольцо с атомом углерода, к которому они присоединены, причем указанное кольцо необязательно замещено одним или более одинаковыми или различными R10; R5 представляет собой водород, алкил, алкенил, алкинил, карбоциклил, гетерокарбоциклил, арил, гетероарил, гетероциклил, циклоалкил, циклоалкенил, алленил или липид, причем R5 необязательно замещен одним или более одинаковыми или различными R10; R6, R6', R6'' и R6''', каждый независимо, выбраны из водорода, дейтерия, гидроксила, амино, азидо, тиола, ацила, формила, галогена, нитро, алкила, алкенила, алкинила, карбоциклила, гетерокарбоциклила, арила, гетероарила, гетероциклила, циклоалкила, циклоалкенила, алкокси, карбоциклокси, гетерокарбоциклокси, арилокси, гетероарилокси, гетероциклокси, циклоалкокси, циклоалкенокси, алкиламино, (алкил)2амино, карбоцикламино, гетерокарбоцикламино, ариламино, гетероариламино, гетероцикламино, циклоалкамино, циклоалкенамино, алкилтио, карбоциклилтио, гетерокарбоциклилтио, арилтио, гетероарилтио, гетероциклилтио, циклоалкилтио, циклоалкенилтио, сульфинила, сульфамоила, сульфонила, алленила, циано или липида, причем каждый из R6, R6', R6'' и R6''' может быть необязательно замещен одним или более одинаковыми или различными R10; R7 и R7', каждый независимо, выбраны из водорода, дейтерия, гидрокси, азидо, тиола, амино, циано, галогена, алкила, алкенила, алкинила, карбоциклила, гетерокарбоциклила, арила, гетероарила, гетероциклила, циклоалкила, циклоалкенила, алкокси, карбоциклокси, гетерокарбоциклокси, арилокси, гетероарилокси, гетероциклокси, циклоалкокси, циклоалкенокси, алкиламино, (алкил)2амино, карбоцикламино, гетерокарбоцикламино, ариламино, гетероариламино, гетероцикламино, циклоалкамино, циклоалкенамино, алкилтио, карбоциклилтио, гетерокарбоциклилтио, арилтио, гетероарилтио, гетероциклилтио, циклоалкилтио, циклоалкенилтио, алленила, сульфинила, сульфамоила, сульфонила, липида, нитро или карбонила, причем R7 необязательно замещен одним или более одинаковыми или различными R10; R8 представляет собой дейтерий, гидрокси, азидо, тиол, амино, циано, галоген, алкил, алкенил, алкинил, карбоциклил, гетерокарбоциклил, арил, гетероарил, гетероциклил, циклоалкил, циклоалкенил, алкокси, карбоциклокси, гетерокарбоциклокси, арилокси, гетероарилокси, гетероциклокси, циклоалкокси, циклоалкенокси, алкиламино, (алкил)2амино, карбоцикламино, гетерокарбоцикламино, ариламино, гетероариламино, гетероцикламино, циклоалкамино, циклоалкенамино, алкилтио, карбоциклилтио, гетерокарбоциклилтио, арилтио, гетероарилтио, гетероциклилтио, циклоалкилтио, циклоалкенилтио, алленил, сульфинил, сульфамоил, сульфонил, липид, нитро или карбонил, причем R8 необязательно замещен одним или более одинаковыми или различными R10; R9 представляет собой дейтерий, гидрокси, азидо, тиол, амино, циано, галоген, алкил, алкенил, алкинил, карбоциклил, гетерокарбоциклил, арил, гетероарил, гетероциклил, циклоалкил, циклоалкенил, алкокси, карбоциклокси, гетерокарбоциклокси, арилокси, гетероарилокси, гетероциклокси, циклоалкокси, циклоалкенокси, алкиламино, (алкил)2амино, карбоцикламино, гетерокарбоцикламино, ариламино, гетероариламино, гетероцикламино, циклоалкамино, циклоалкенамино, алкилтио, карбоциклилтио, гетерокарбоциклилтио, арилтио, гетероарилтио, гетероциклилтио, циклоалкилтио, циклоалкенилтио, алленил, сульфинил, сульфамоил, сульфонил, липид, нитро или карбонил, причем R9 необязательно замещен одним или более одинаковыми или различными R10; R7, R7', R8 и R9 могут образовывать кольцо с α-атомом углерода, к которому они присоединены, и с аминогруппой, присоединенной к α-атому углерода, причем указанное кольцо необязательно замещено одним или более одинаковыми или различными R10; R7 и R7' могут образовывать кольцо с α-атомом углерода, к которому они присоединены, причем указанное кольцо необязательно замещено одним или более одинаковыми или различными R10; R8 и R9 могут образовывать кольцо с α-атомом углерода, к которому они присоединены, причем указанное кольцо необязательно замещено одним или более одинаковыми или различными R10; R10 представляет собой дейтерий, гидрокси, азидо, тиол, амино, циано, галоген, алкил, алкенил, алкинил, карбоциклил, гетерокарбоциклил, арил, гетероарил, гетероциклил, циклоалкил, циклоалкенил, алкокси, карбоциклокси, гетерокарбоциклокси, арилокси, гетероарилокси, гетероциклокси, циклоалкокси, циклоалкенокси, алкиламино, (алкил)2амино, карбоцикламино, гетерокарбоцикламино, ариламино, гетероариламино, гетероцикламино, циклоалкамино, циклоалкенамино, алкилтио, карбоциклилтио, гетерокарбоциклилтио, арилтио, гетероарилтио, гетероциклилтио, циклоалкилтио, циклоалкенилтио, алленил, сульфинил, сульфамоил, сульфонил, липид, нитро или карбонил, причем R10 необязательно замещен одним или более одинаковыми или различными R11; R11 представляет собой дейтерий, гидрокси, азидо, тиол, амино, циано, галоген, алкил, алкенил, алкинил, карбоциклил, гетерокарбоциклил, арил, гетероарил, гетероциклил, циклоалкил, циклоалкенил, алкокси, карбоциклокси, гетерокарбоциклокси, арилокси, гетероарилокси, гетероциклокси, циклоалкокси, циклоалкенокси, алкиламино, (алкил)2амино, карбоцикламино, гетерокарбоцикламино, ариламино, гетероариламино, гетероцикламино, циклоалкамино, циклоалкенамино, алкилтио, карбоциклилтио, гетерокарбоциклилтио, арилтио, гетероарилтио, гетероциклилтио, циклоалкилтио, циклоалкенилтио, алленил, сульфинил, сульфамоил, сульфонил, липид, нитро или карбонил; и липид представляет собой С11-С22 высший алкил, С11-С22 высший алкокси, полиэтиленгликоль или арил, замещенный алкильной группой, или липид, описанный в настоящем документе. В иллюстративных вариантах реализации формулы XIX R1 представляет собой водород, В иллюстративных вариантах реализации формулы XIX R5 представляет собой липид, метил, этил, пропил, изопропил, бутил, втор-бутил, трет-бутил, пентил, втор-пентил, трет-пентил, неопентил, 3-пентил, гексил, трет-гексил, 4-септил, циклопропил, циклобутил, циклопентил, циклогексил, фенил, 2,6-диметилфенил, изопропоксид, трет-бутоксид, N-пропиламино, N-изопропиламино, N-трет-бутиламино, N,N-диметиламино, N,N-диэтиламино и N,N-дипропиламино. В иллюстративных вариантах реализации формулы XIX R6 представляет собой водород, гидроксил, фтор, хлор, амино, липид, метил, метокси, этил, пропил, изопропил, бутил, втор-бутил, трет-бутил, пентил, втор-пентил, трет-пентил, неопентил, 3-пентил, гексил, трет-гексил, 4-септил, циклопропил, циклобутил, циклопентил, циклогексил, фенил, 2,6-диметилфенил, изопропоксид, трет-бутоксид, N-пропиламино, N-изопропиламино, N-трет-бутиламино, N,N-диметиламино, N,N-диэтиламино и N,N-дипропиламино. В иллюстративных вариантах реализации формулы XIX R7 представляет собой метил, этил, пропил, изопропил, бутил, втор-бутил, трет-бутил, пентил, втор-пентил, трет-пентил, неопентил, 3-пентил, гексил, трет-гексил, 4-септил, циклопропил, циклобутил, циклопентил, циклогексил, фенил, 2,6-диметилфенил, изопропоксид, трет-бутоксид, N-пропиламино, N-изопропиламино, N-трет-бутиламино, N,N-диметиламино, N,N-диэтиламино и N,N-дипропиламино. В иллюстративных вариантах реализации формулы XIX R8 представляет собой метил, этил, пропил, изопропил, бутил, втор-бутил, трет-бутил, пентил, втор-пентил, трет-пентил, неопентил, 3-пентил, гексил, трет-гексил, 4-септил, циклопропил, циклобутил, циклопентил, циклогексил, фенил, 2,6-диметилфенил, изопропоксид, трет-бутоксид, N-пропиламино, N-изопропиламино, N-трет-бутиламино, N,N-диметиламино, N,N-диэтиламино и N,N-дипропиламино. В иллюстративных вариантах реализации формулы XIX R9 представляет собой метил, этил, пропил, изопропил, бутил, втор-бутил, трет-бутил, пентил, втор-пентил, трет-пентил, неопентил, 3-пентил, гексил, трет-гексил, 4-септил, циклопропил, циклобутил, циклопентил, циклогексил, фенил, 2,6-диметилфенил, изопропоксид, трет-бутоксид, N-пропиламино, N-изопропиламино, N-трет-бутиламино, N,N-диметиламино, N,N-диэтиламино и N,N-дипропиламино. В некоторых вариантах реализации настоящее изобретение относится к соединению формулы XX, или его фармацевтической или физиологической соли, где W представляет собой N или CR'; R' представляет собой дейтерий, хлор, йод, гидроксил, амино, тиол, алкил, алкенил, алкинил, арил, гетероарил, карбоциклил, гетерокарбоциклил, циклоалкил, гетероциклил или ацил, причем R' необязательно замещен одним или более одинаковыми или различными R10; R1 выбран из Н, необязательно замещенных сложных эфиров, необязательно замещенных разветвленных сложных эфиров, необязательно замещенных карбонатов, необязательно замещенных карбаматов, необязательно замещенных сложных тиоэфиров, необязательно замещенных разветвленных сложных тиоэфиров, необязательно замещенных тиокарбонатов, необязательно замещенного S-тиокарбоната, необязательно замещенных дитиокарбонатов, необязательно замещенных тиокарбаматов, необязательно замещенного оксиметоксикарбонила, необязательно замещенного оксиметокситиокарбонила, необязательно замещенного оксиметилкарбонила, необязательно замещенного оксиметилтиокарбонила, сложных эфиров L-аминокислот, сложных эфиров D-аминокислот, сложных эфиров N-замещенных L-аминокислот, сложных эфиров N,N-дизамещенных L-аминокислот, сложных эфиров N-замещенных D-аминокислот, сложных эфиров N,N-дизамещенных D-аминокислот, необязательно замещенного сульфенила, необязательно замещенного имидата, необязательно замещенного гидразоната, необязательно замещенного оксимила, необязательно замещенного имидинила, необязательно замещенного имидила, необязательно замещенного аминаля, необязательно замещенного гемиаминаля, необязательно замещенного ацеталя, необязательно замещенного гемиацеталя, необязательно замещенного карбонимидата, необязательно замещенного тиокарбонимидата, необязательно замещенного карбонимидила, необязательно замещенного карбамимидата, необязательно замещенного карбамимидила, необязательно замещенного тиоацеталя, необязательно замещенного S-ацил-2-тиоэтила, необязательно замещенных сложных бис-(ацилоксибензил)эфиров, необязательно замещенных сложных (ацилоксибензил)эфиров и сложных ВАВ-эфиров, причем R1 необязательно замещен одним или более одинаковыми или различными R10; Y представляет собой О или S; Y1 представляет собой ОН, OY3 или ВН3-М+; Y2 представляет собой ОН или ВН3-М+; Y3 представляет собой арил, гетероарил или гетероциклил, причем Y3 необязательно замещен одним или более одинаковыми или различными R10; R3 выбран из дейтерия, алкила, алкенила, алкинила, алленила, алкокси, гидрокси, тиола, амино, азидо, формила, ацила, циано, галогена, арила, гетероарила, гетероциклила, карбоциклила, гетерокарбоциклила, сульфинила, сульфамоила или сульфонила, причем R3 необязательно замещен одним или более одинаковыми или различными R10; R3' выбран из водорода, дейтерия, алкила, алкенила, алкинила, алленила, алкокси, гидрокси, тиола, амино, азидо, формила, ацила, циано, галогена, арила, гетероарила, гетероциклила, карбоциклила, гетерокарбоциклила, сульфинила, сульфамоила или сульфонила, причем R3' необязательно замещен одним или более одинаковыми или различными R10; R3 и R3' могут образовывать кольцо с атомом углерода, к которому они присоединены, причем указанное кольцо необязательно замещено одним или более одинаковыми или различными R10; R5 представляет собой водород, алкил, алкенил, алкинил, карбоциклил, гетерокарбоциклил, арил, гетероарил, гетероциклил, циклоалкил, циклоалкенил, алленил или липид, причем R5 необязательно замещен одним или более одинаковыми или различными R10; R6, R6', R6'' и R6''', каждый независимо, выбраны из водорода, дейтерия, гидроксила, амино, азидо, тиола, ацила, формила, галогена, нитро, алкила, алкенила, алкинила, карбоциклила, гетерокарбоциклила, арила, гетероарила, гетероциклила, циклоалкила, циклоалкенила, алкокси, карбоциклокси, гетерокарбоциклокси, арилокси, гетероарилокси, гетероциклокси, циклоалкокси, циклоалкенокси, алкиламино, (алкил)2амино, карбоцикламино, гетерокарбоцикламино, ариламино, гетероариламино, гетероцикламино, циклоалкамино, циклоалкенамино, алкилтио, карбоциклилтио, гетерокарбоциклилтио, арилтио, гетероарилтио, гетероциклилтио, циклоалкилтио, циклоалкенилтио, сульфанила, сульфамоила, сульфонила, алленила, циано или липида, причем каждый из R6, R6', R6'' и R6''' может быть необязательно замещен одним или более одинаковыми или различными R10; R7 и R7', каждый независимо, выбраны из водорода, дейтерия, гидрокси, азидо, тиола, амино, циано, галогена, алкила, алкенила, алкинила, карбоциклила, гетерокарбоциклила, арила, гетероарила, гетероциклила, циклоалкила, циклоалкенила, алкокси, карбоциклокси, гетерокарбоциклокси, арилокси, гетероарилокси, гетероциклокси, циклоалкокси, циклоалкенокси, алкиламино, (алкил)2амино, карбоцикламино, гетерокарбоцикламино, ариламино, гетероариламино, гетероцикламино, циклоалкамино, циклоалкенамино, алкилтио, карбоциклилтио, гетерокарбоциклилтио, арилтио, гетероарилтио, гетероциклилтио, циклоалкилтио, циклоалкенилтио, алленила, сульфинила, сульфамоила, сульфонила, липида, нитро или карбонила, причем R7 необязательно замещен одним или более одинаковыми или различными R10; R8 представляет собой дейтерий, гидрокси, азидо, тиол, амино, циано, галоген, алкил, алкенил, алкинил, карбоциклил, гетерокарбоциклил, арил, гетероарил, гетероциклил, циклоалкил, циклоалкенил, алкокси, карбоциклокси, гетерокарбоциклокси, арилокси, гетероарилокси, гетероциклокси, циклоалкокси, циклоалкенокси, алкиламино, (алкил)2амино, карбоцикламино, гетерокарбоцикламино, ариламино, гетероариламино, гетероцикламино, циклоалкамино, циклоалкенамино, алкилтио, карбоциклилтио, гетерокарбоциклилтио, арилтио, гетероарилтио, гетероциклилтио, циклоалкилтио, циклоалкенилтио, алленил, сульфинил, сульфамоил, сульфонил, липид, нитро или карбонил, причем R8 необязательно замещен одним или более одинаковыми или различными R10; R9 представляет собой дейтерий, гидрокси, азидо, тиол, амино, циано, галоген, алкил, алкенил, алкинил, карбоциклил, гетерокарбоциклил, арил, гетероарил, гетероциклил, циклоалкил, циклоалкенил, алкокси, карбоциклокси, гетерокарбоциклокси, арилокси, гетероарилокси, гетероциклокси, циклоалкокси, циклоалкенокси, алкиламино, (алкил)2амино, карбоцикламино, гетерокарбоцикламино, ариламино, гетероариламино, гетероцикламино, циклоалкамино, циклоалкенамино, алкилтио, карбоциклилтио, гетерокарбоциклилтио, арилтио, гетероарилтио, гетероциклилтио, циклоалкилтио, циклоалкенилтио, алленил, сульфинил, сульфамоил, сульфонил, липид, нитро или карбонил, причем R9 необязательно замещен одним или более одинаковыми или различными R10; R7, R7', R8 и R9 могут образовывать кольцо с α-атомом углерода, к которому они присоединены, и с аминогруппой, присоединенной к α-атому углерода, причем указанное кольцо необязательно замещено одним или более одинаковыми или различными R10; R7 и R7' могут образовывать кольцо с α-атомом углерода, к которому они присоединены, причем указанное кольцо необязательно замещено одним или более одинаковыми или различными R10; R8 и R9 могут образовывать кольцо с α-атомом углерода, к которому они присоединены, причем указанное кольцо необязательно замещено одним или более одинаковыми или различными R10; R10 представляет собой дейтерий, гидрокси, азидо, тиол, амино, циано, галоген, алкил, алкенил, алкинил, карбоциклил, гетерокарбоциклил, арил, гетероарил, гетероциклил, циклоалкил, циклоалкенил, алкокси, карбоциклокси, гетерокарбоциклокси, арилокси, гетероарилокси, гетероциклокси, циклоалкокси, циклоалкенокси, алкиламино, (алкил)2амино, карбоцикламино, гетерокарбоцикламино, ариламино, гетероариламино, гетероцикламино, циклоалкамино, циклоалкенамино, алкилтио, карбоциклилтио, гетерокарбоциклилтио, арилтио, гетероарилтио, гетероциклилтио, циклоалкилтио, циклоалкенилтио, алленил, сульфинил, сульфамоил, сульфонил, липид, нитро или карбонил, причем R10 необязательно замещен одним или более одинаковыми или различными R11; R11 представляет собой дейтерий, гидрокси, азидо, тиол, амино, циано, галоген, алкил, алкенил, алкинил, карбоциклил, гетерокарбоциклил, арил, гетероарил, гетероциклил, циклоалкил, циклоалкенил, алкокси, карбоциклокси, гетерокарбоциклокси, арилокси, гетероарилокси, гетероциклокси, циклоалкокси, циклоалкенокси, алкиламино, (алкил)2амино, карбоцикламино, гетерокарбоцикламино, ариламино, гетероариламино, гетероцикламино, циклоалкамино, циклоалкенамино, алкилтио, карбоциклилтио, гетерокарбоциклилтио, арилтио, гетероарилтио, гетероциклилтио, циклоалкилтио, циклоалкенилтио, алленил, сульфинил, сульфамоил, сульфонил, липид, нитро или карбонил; и липид представляет собой С11-С22 высший алкил, С11-С22 высший алкокси, полиэтиленгликоль или арил, замещенный алкильной группой, или липид, описанный в настоящем документе. В иллюстративных вариантах реализации формулы XX R1 представляет собой водород, В иллюстративных вариантах реализации формулы XX R5 представляет собой липид, метил, этил, пропил, изопропил, бутил, втор-бутил, трет-бутил, пентил, втор-пентил, трет-пентил, неопентил, 3-пентил, гексил, трет-гексил, 4-септил, циклопропил, циклобутил, циклопентил, циклогексил, фенил, 2,6-диметилфенил, изопропоксид, трет-бутоксид, N-пропиламино, N-изопропиламино, N-трет-бутиламино, N,N-диметиламино, N,N-диэтиламино и N,N-дипропиламино. В иллюстративных вариантах реализации формулы XX R6 представляет собой водород, гидроксил, фтор, хлор, амино, липид, метил, метокси, этил, пропил, изопропил, бутил, втор-бутил, трет-бутил, пентил, втор-пентил, трет-пентил, неопентил, 3-пентил, гексил, трет-гексил, 4-септил, циклопропил, циклобутил, циклопентил, циклогексил, фенил, 2,6-диметилфенил, изопропоксид, трет-бутоксид, N-пропиламино, N-изопропиламино, N-трет-бутиламино, N,N-диметиламино, N,N-диэтиламино и N,N-дипропиламино. В иллюстративных вариантах реализации формулы XX R7 представляет собой метил, этил, пропил, изопропил, бутил, втор-бутил, трет-бутил, пентил, втор-пентил, трет-пентил, неопентил, 3-пентил, гексил, трет-гексил, 4-септил, циклопропил, циклобутил, циклопентил, циклогексил, фенил, 2,6-диметилфенил, изопропоксид, трет-бутоксид, N-пропиламино, N-изопропиламино, N-трет-бутиламино, N,N-диметиламино, N,N-диэтиламино и N,N-дипропиламино. В иллюстративных вариантах реализации формулы XX R8 представляет собой метил, этил, пропил, изопропил, бутил, втор-бутил, трет-бутил, пентил, втор-пентил, трет-пентил, неопентил, 3-пентил, гексил, трет-гексил, 4-септил, циклопропил, циклобутил, циклопентил, циклогексил, фенил, 2,6-диметилфенил, изопропоксид, трет-бутоксид, N-пропиламино, N-изопропиламино, N-трет-бутиламино, N,N-диметиламино, N,N-диэтиламино и N,N-дипропиламино. В иллюстративных вариантах реализации формулы XX R9 представляет собой метил, этил, пропил, изопропил, бутил, втор-бутил, трет-бутил, пентил, втор-пентил, трет-пентил, неопентил, 3-пентил, гексил, трет-гексил, 4-септил, циклопропил, циклобутил, циклопентил, циклогексил, фенил, 2,6-диметилфенил, изопропоксид, трет-бутоксид, N-пропиламино, N-изопропиламино, N-трет-бутиламино, N,N-диметиламино, N,N-диэтиламино и N,N-дипропиламино. В некоторых вариантах реализации настоящее изобретение относится к соединению формулы XXI, или его фармацевтической или физиологической соли, где R1 выбран из Н, необязательно замещенных сложных эфиров, необязательно замещенных разветвленных сложных эфиров, необязательно замещенных карбонатов, необязательно замещенных карбаматов, необязательно замещенных сложных тиоэфиров, необязательно замещенных разветвленных сложных тиоэфиров, необязательно замещенных тиокарбонатов, необязательно замещенного S-тиокарбоната, необязательно замещенных дитиокарбонатов, необязательно замещенных тиокарбаматов, необязательно замещенного оксиметоксикарбонила, необязательно замещенного оксиметокситиокарбонила, необязательно замещенного оксиметилкарбонила, необязательно замещенного оксиметилтиокарбонила, сложных эфиров L-аминокислот, сложных эфиров D-аминокислот, сложных эфиров N-замещенных L-аминокислот, сложных эфиров N,N-дизамещенных L-аминокислот, сложных эфиров N-замещенных D-аминокислот, сложных эфиров N,N-дизамещенных D-аминокислот, необязательно замещенного сульфенила, необязательно замещенного имидата, необязательно замещенного гидразоната, необязательно замещенного оксимила, необязательно замещенного имидинила, необязательно замещенного имидила, необязательно замещенного аминаля, необязательно замещенного гемиаминаля, необязательно замещенного ацеталя, необязательно замещенного гемиацеталя, необязательно замещенного карбонимидата, необязательно замещенного тиокарбонимидата, необязательно замещенного карбонимидила, необязательно замещенного карбамимидата, необязательно замещенного карбамимидила, необязательно замещенного тиоацеталя, необязательно замещенного S-ацил-2-тиоэтила, необязательно замещенных сложных бис-(ацилоксибензил)эфиров, необязательно замещенных сложных (ацилоксибензил)эфиров и сложных ВАВ-эфиров, причем R1 необязательно замещен одним или более одинаковыми или различными R10; Y представляет собой О или S; Y1 представляет собой ОН, OY3 или ВН3-М+; Y2 представляет собой ОН или ВН3-М+; Y3 представляет собой арил, гетероарил или гетероциклил, причем Y3 необязательно замещен одним или более одинаковыми или различными R10; R3 выбран из дейтерия, алкила, алкенила, алкинила, алленила, алкокси, тиола, амино, азидо, формила, ацила, циано, галогена, арила, гетероарила, гетероциклила, карбоциклила, гетерокарбоциклила, сульфинила, сульфамоила или сульфонила, причем R3 необязательно замещен одним или более одинаковыми или различными R10; R3' выбран из водорода, дейтерия, алкила, алкенила, алкинила, алленила, алкокси, тиола, амино, азидо, формила, ацила, циано, галогена, арила, гетероарила, гетероциклила, карбоциклила, гетерокарбоциклила, сульфинила, сульфамоила или сульфонила, причем R3' необязательно замещен одним или более одинаковыми или различными R10; R3 и R3' могут образовывать кольцо с атомом углерода, к которому они присоединены, причем указанное кольцо необязательно замещено одним или более одинаковыми или различными R10; R5 представляет собой водород, алкил, алкенил, алкинил, карбоциклил, гетерокарбоциклил, арил, гетероарил, гетероциклил, циклоалкил, циклоалкенил, алленил или липид, причем R5 необязательно замещен одним или более одинаковыми или различными R10; R6, R6', R6'' и R6''', каждый независимо, выбраны из водорода, дейтерия, гидроксила, амино, азидо, тиола, ацила, формила, галогена, нитро, алкила, алкенила, алкинила, карбоциклила, гетерокарбоциклила, арила, гетероарила, гетероциклила, циклоалкила, циклоалкенила, алкокси, карбоциклокси, гетерокарбоциклокси, арилокси, гетероарилокси, гетероциклокси, циклоалкокси, циклоалкенокси, алкиламино, (алкил)2амино, карбоцикламино, циклоалкамино, циклоалкенамино, алкилтио, карбоциклилтио, гетерокарбоциклилтио, арилтио, гетероарилтио, гетероциклилтио, циклоалкилтио, циклоалкенилтио, сульфинила, сульфамоила, сульфонила, алленила, циано или липида, причем каждый из R6, R6', R6'' и R6''' может быть необязательно замещен одним или более одинаковыми или различными R10; R7 и R7', каждый независимо, выбраны из водорода, дейтерия, гидрокси, азидо, тиола, амино, циано, галогена, алкила, алкенила, алкинила, карбоциклила, гетерокарбоциклила, арила, гетероарила, гетероциклила, циклоалкила, циклоалкенила, алкокси, карбоциклокси, гетерокарбоциклокси, арилокси, гетероарилокси, гетероциклокси, циклоалкокси, циклоалкенокси, алкиламино, (алкил)2амино, карбоцикламино, гетерокарбоцикламино, ариламино, гетероариламино, гетероцикламино, циклоалкамино, циклоалкенамино, алкилтио, карбоциклилтио, гетерокарбоциклилтио, арилтио, гетероарилтио, гетероциклилтио, циклоалкилтио, циклоалкенилтио, алленила, сульфинила, сульфамоила, сульфонила, липида, нитро или карбонила, причем R7 необязательно замещен одним или более одинаковыми или различными R10; R8 представляет собой дейтерий, гидрокси, азидо, тиол, амино, циано, галоген, алкил, алкенил, алкинил, карбоциклил, гетерокарбоциклил, арил, гетероарил, гетероциклил, циклоалкил, циклоалкенил, алкокси, карбоциклокси, гетерокарбоциклокси, арилокси, гетероарилокси, гетероциклокси, циклоалкокси, циклоалкенокси, алкиламино, (алкил)2амино, карбоцикламино, гетерокарбоцикламино, ариламино, гетероариламино, гетероцикламино, циклоалкамино, циклоалкенамино, алкилтио, карбоциклилтио, гетерокарбоциклилтио, арилтио, гетероарилтио, гетероциклилтио, циклоалкилтио, циклоалкенилтио, алленил, сульфинил, сульфамоил, сульфонил, липид, нитро или карбонил, причем R8 необязательно замещен одним или более одинаковыми или различными R10; R9 представляет собой дейтерий, гидрокси, азидо, тиол, амино, циано, галоген, алкил, алкенил, алкинил, карбоциклил, гетерокарбоциклил, арил, гетероарил, гетероциклил, циклоалкил, циклоалкенил, алкокси, карбоциклокси, гетерокарбоциклокси, арилокси, гетероарилокси, гетероциклокси, циклоалкокси, циклоалкенокси, алкиламино, (алкил)2амино, карбоцикламино, гетерокарбоциклилтио, арилтио, гетероарилтио, гетероциклилтио, циклоалкилтио, циклоалкенилтио, алленил, сульфинил, сульфамоил, сульфонил, липид, нитро или карбонил, причем R9 необязательно замещен одним или более одинаковыми или различными R10; R7, R7', R8 и R9 могут образовывать кольцо с α-атомом углерода, к которому они присоединены, и с аминогруппой, присоединенной к α-атому углерода, причем указанное кольцо необязательно замещено одним или более одинаковыми или различными R10; R7 и R7' могут образовывать кольцо с α-атомом углерода, к которому они присоединены, причем указанное кольцо необязательно замещено одним или более одинаковыми или различными R10; R8 и R9 могут образовывать кольцо с α-атомом углерода, к которому они присоединены, причем указанное кольцо необязательно замещено одним или более одинаковыми или различными R10; R10 представляет собой дейтерий, гидрокси, азидо, тиол, амино, циано, галоген, алкил, алкенил, алкинил, карбоциклил, гетерокарбоциклил, арил, гетероарил, гетероциклил, циклоалкил, циклоалкенил, алкокси, карбоциклокси, гетерокарбоциклокси, арилокси, гетероарилокси, гетероциклокси, циклоалкокси, циклоалкенокси, алкиламино, (алкил)2амино, карбоцикламино, гетерокарбоцикламино, ариламино, гетероариламино, гетероцикламино, циклоалкамино, циклоалкенамино, алкилтио, карбоциклилтио, гетерокарбоциклилтио, арилтио, гетероарилтио, гетероциклилтио, циклоалкилтио, циклоалкенилтио, алленил, сульфинил, сульфамоил, сульфонил, липид, нитро или карбонил, причем R10 необязательно замещен одним или более одинаковыми или различными R11; R11 представляет собой дейтерий, гидрокси, азидо, тиол, амино, циано, галоген, алкил, алкенил, алкинил, карбоциклил, гетерокарбоциклил, арил, гетероарил, гетероциклил, циклоалкил, циклоалкенил, алкокси, карбоциклокси, гетерокарбоциклокси, арилокси, гетероарилокси, гетероциклокси, циклоалкокси, циклоалкенокси, алкиламино, (алкил)2амино, карбоцикламино, гетерокарбоцикламино, ариламино, гетероариламино, гетероцикламино, циклоалкамино, циклоалкенамино, алкилтио, карбоциклилтио, циклоалкилтио, циклоалкенилтио, алленил, сульфинил, сульфамоил, сульфонил, липид, нитро или карбонил; и липид представляет собой С11-С22 высший алкил, С11-С22 высший алкокси, полиэтиленгликоль или арил, замещенный алкильной группой, или липид, описанный в настоящем документе. В иллюстративных вариантах реализации формулы XXI R1 представляет собой водород, В иллюстративных вариантах реализации формулы XXI R5 представляет собой липид, метил, этил, пропил, изопропил, бутил, втор-бутил, трет-бутил, пентил, втор-пентил, трет-пентил, неопентил, 3-пентил, гексил, трет-гексил, 4-септил, циклопропил, циклобутил, циклопентил, циклогексил, фенил, 2,6-диметилфенил, изопропоксид, трет-бутоксид, N-пропиламино, N-изопропиламино, N-трет-бутиламино, N,N-диметиламино, N,N-диэтиламино и N,N-дипропиламино. В иллюстративных вариантах реализации формулы XXI R6 представляет собой водород, гидроксил, фтор, хлор, амино, липид, метил, метокси, этил, пропил, изопропил, бутил, втор-бутил, трет-бутил, пентил, втор-пентил, трет-пентил, неопентил, 3-пентил, гексил, трет-гексил, 4-септил, циклопропил, циклобутил, циклопентил, циклогексил, фенил, 2,6-диметилфенил, изопропоксид, трет-бутоксид, N-пропиламино, N-изопропиламино, N-трет-бутиламино, N,N-диметиламино, N,N-диэтиламино и N,N-дипропиламино. В иллюстративных вариантах реализации формулы XXI R7 представляет собой метил, этил, пропил, изопропил, бутил, втор-бутил, трет-бутил, пентил, втор-пентил, трет-пентил, неопентил, 3-пентил, гексил, трет-гексил, 4-септил, циклопропил, циклобутил, циклопентил, циклогексил, фенил, 2,6-диметилфенил, изопропоксид, трет-бутоксид, N-пропиламино, N-изопропиламино, N-трет-бутиламино, N,N-диметиламино, N,N-диэтиламино и N,N-дипропиламино. В иллюстративных вариантах реализации формулы XXI R8 представляет собой метил, этил, пропил, изопропил, бутил, втор-бутил, трет-бутил, пентил, втор-пентил, трет-пентил, неопентил, 3-пентил, гексил, трет-гексил, 4-септил, циклопропил, циклобутил, циклопентил, циклогексил, фенил, 2,6-диметилфенил, изопропоксид, трет-бутоксид, N-пропиламино, N-изопропиламино, N-трет-бутиламино, N,N-диметиламино, N,N-диэтиламино и N,N-дипропиламино. В иллюстративных вариантах реализации формулы XXI R9 представляет собой метил, этил, пропил, изопропил, бутил, втор-бутил, трет-бутил, пентил, втор-пентил, трет-пентил, неопентил, 3-пентил, гексил, трет-гексил, 4-септил, циклопропил, циклобутил, циклопентил, циклогексил, фенил, 2,6-диметилфенил, изопропоксид, трет-бутоксид, N-пропиламино, N-изопропиламино, N-трет-бутиламино, N,N-диметиламино, N,N-диэтиламино и N,N-дипропиламино. В некоторых вариантах реализации настоящее изобретение относится к соединению формулы XXII, или его фармацевтической или физиологической соли, где R1 выбран из Н, необязательно замещенных сложных эфиров, необязательно замещенных разветвленных сложных эфиров, необязательно замещенных карбонатов, необязательно замещенных карбаматов, необязательно замещенных сложных тиоэфиров, необязательно замещенных разветвленных сложных тиоэфиров, необязательно замещенных тиокарбонатов, необязательно замещенного S-тиокарбоната, необязательно замещенных дитиокарбонатов, необязательно замещенных тиокарбаматов, необязательно замещенного оксиметоксикарбонила, необязательно замещенного оксиметокситиокарбонила, необязательно замещенного оксиметилкарбонила, необязательно замещенного оксиметилтиокарбонила, сложных эфиров L-аминокислот, сложных эфиров D-аминокислот, сложных эфиров N-замещенных L-аминокислот, сложных эфиров N,N-дизамещенных L-аминокислот, сложных эфиров N-замещенных D-аминокислот, сложных эфиров N,N-дизамещенных D-аминокислот, необязательно замещенного сульфенила, необязательно замещенного имидата, необязательно замещенного гидразоната, необязательно замещенного оксимила, необязательно замещенного имидинила, необязательно замещенного имидила, необязательно замещенного аминаля, необязательно замещенного гемиаминаля, необязательно замещенного ацеталя, необязательно замещенного гемиацеталя, необязательно замещенного карбонимидата, необязательно замещенного тиокарбонимидата, необязательно замещенного карбонимидила, необязательно замещенного карбамимидата, необязательно замещенного карбамимидила, необязательно замещенного тиоацеталя, необязательно замещенного S-ацил-2-тиоэтила, необязательно замещенных сложных бис-(ацилоксибензил)эфиров, необязательно замещенных сложных (ацилоксибензил)эфиров и сложных ВАВ-эфиров, причем R1 необязательно замещен одним или более одинаковыми или различными R10; Y представляет собой О или S; Y1 представляет собой ОН, OY3 или ВН3-М+; Y2 представляет собой ОН или ВН3-М+; Y3 представляет собой арил, гетероарил или гетероциклил, причем Y3 необязательно замещен одним или более одинаковыми или различными R10; R3' выбран из дейтерия, алкила, алкенила, алкинила, алленила, алкокси, тиола, амино, азидо, формила, ацила, циано, галогена, арила, гетероарила, гетероциклила, карбоциклила, гетерокарбоциклила, сульфинила, сульфамоила или сульфонила, причем R3' необязательно замещен одним или более одинаковыми или различными R10; R5 представляет собой водород, алкил, алкенил, алкинил, карбоциклил, гетерокарбоциклил, арил, гетероарил, гетероциклил, циклоалкил, циклоалкенил, алленил или липид, причем R5 необязательно замещен одним или более одинаковыми или различными R10; R6, R6', R6'' и R6''', каждый независимо, выбраны из водорода, дейтерия, гидроксила, амино, азидо, тиола, ацила, формила, галогена, нитро, алкила, алкенила, алкинила, карбоциклила, гетерокарбоциклила, арила, гетероарила, гетероциклила, циклоалкила, циклоалкенила, алкокси, карбоциклокси, гетерокарбоциклокси, арилокси, гетероарилокси, гетероциклокси, циклоалкокси, циклоалкенокси, алкиламино, (алкил)2амино, карбоцикламино, гетерокарбоцикламино, ариламино, гетероариламино, гетероцикламино, циклоалкамино, циклоалкенамино, алкилтио, карбоциклилтио, гетерокарбоциклилтио, арилтио, гетероарилтио, гетероциклилтио, циклоалкилтио, циклоалкенилтио, сульфинила, сульфамоила, сульфонила, алленила, циано или липида, причем каждый из R6, R6', R6'' и R6''' может быть необязательно замещен одним или более одинаковыми или различными R10; R7 и R7', каждый независимо, выбраны из водорода, дейтерия, гидрокси, азидо, тиола, амино, циано, галогена, алкила, алкенила, алкинила, карбоциклила, гетерокарбоциклила, арила, гетероарила, гетероциклила, циклоалкила, циклоалкенила, алкокси, карбоциклокси, гетерокарбоциклокси, арилокси, гетероарилокси, гетероциклокси, циклоалкокси, циклоалкенокси, алкиламино, (алкил)2амино, карбоцикламино, гетерокарбоцикламино, ариламино, гетероариламино, гетероцикламино, циклоалкамино, циклоалкенамино, алкилтио, карбоциклилтио, гетерокарбоциклилтио, арилтио, гетероарилтио, гетероциклилтио, циклоалкилтио, циклоалкенилтио, алленила, сульфинила, сульфамоила, сульфонила, липида, нитро или карбонила, причем R7 необязательно замещен одним или более одинаковыми или различными R10; R8 представляет собой дейтерий, гидрокси, азидо, тиол, амино, циано, галоген, алкил, алкенил, алкинил, карбоциклил, гетерокарбоциклил, арил, гетероарил, гетероциклил, циклоалкил, циклоалкенил, алкокси, карбоциклокси, гетерокарбоциклокси, арилокси, гетероарилокси, гетероциклокси, циклоалкокси, циклоалкенокси, алкиламино, (алкил)2амино, карбоцикламино, гетерокарбоцикламино, ариламино, гетероариламино, гетероцикламино, циклоалкамино, циклоалкенамино, алкилтио, карбоциклилтио, гетерокарбоциклилтио, арилтио, гетероарилтио, гетероциклилтио, циклоалкилтио, циклоалкенилтио, алленил, сульфинил, сульфамоил, сульфонил, липид, нитро или карбонил, причем R8 необязательно замещен одним или более одинаковыми или различными R10; R9 представляет собой дейтерий, гидрокси, азидо, тиол, амино, циано, галоген, алкил, алкенил, алкинил, карбоциклил, гетерокарбоциклил, арил, гетероарил, гетероциклил, циклоалкил, циклоалкенил, алкокси, карбоциклокси, гетерокарбоциклокси, арилокси, гетероарилокси, гетероциклокси, циклоалкокси, циклоалкенокси, алкиламино, (алкил)2амино, карбоцикламино, гетерокарбоцикламино, ариламино, гетероариламино, гетероцикламино, циклоалкамино, циклоалкенамино, алкилтио, карбоциклилтио, гетерокарбоциклилтио, арилтио, гетероарилтио, гетероциклилтио, циклоалкилтио, циклоалкенилтио, алленил, сульфинил, сульфамоил, сульфонил, липид, нитро или карбонил, причем R9 необязательно замещен одним или более одинаковыми или различными R10; R7, R7', R8 и R9 могут образовывать кольцо с α-атомом углерода, к которому они присоединены, и с аминогруппой, присоединенной к α-атому углерода, причем указанное кольцо необязательно замещено одним или более одинаковыми или различными R10; R7 и R7' могут образовывать кольцо с α-атомом углерода, к которому они присоединены, причем указанное кольцо необязательно замещено одним или более одинаковыми или различными R10; R8 и R9 могут образовывать кольцо с α-атомом углерода, к которому они присоединены, причем указанное кольцо необязательно замещено одним или более одинаковыми или различными R10; R10 представляет собой дейтерий, гидрокси, азидо, тиол, амино, циано, галоген, алкил, алкенил, алкинил, карбоциклил, гетерокарбоциклил, арил, гетероарил, гетероциклил, циклоалкил, циклоалкенил, алкокси, карбоциклокси, гетерокарбоциклокси, арилокси, гетероарилокси, гетероциклокси, циклоалкокси, циклоалкенокси, алкиламино, (алкил)2амино, карбоцикламино, гетерокарбоцикламино, ариламино, гетероариламино, гетероцикламино, циклоалкамино, циклоалкенамино, алкилтио, карбоциклилтио, гетерокарбоциклилтио, арилтио, гетероарилтио, гетероциклилтио, циклоалкилтио, циклоалкенилтио, алленил, сульфинил, сульфамоил, сульфонил, липид, нитро или карбонил, причем R10 необязательно замещен одним или более одинаковыми или различными R11; R11 представляет собой дейтерий, гидрокси, азидо, тиол, амино, циано, галоген, алкил, алкенил, алкинил, карбоциклил, гетерокарбоциклил, арил, гетероарил, гетероциклил, циклоалкил, циклоалкенил, алкокси, карбоциклокси, гетерокарбоциклокси, арилокси, гетероарилокси, гетероциклокси, циклоалкокси, циклоалкенокси, алкиламино, (алкил)2амино, карбоцикламино, гетерокарбоцикламино, ариламино, гетероариламино, гетероцикламино, циклоалкамино, циклоалкенамино, алкилтио, карбоциклилтио, гетерокарбоциклилтио, арилтио, гетероарилтио, гетероциклилтио, циклоалкилтио, циклоалкенилтио, алленил, сульфинил, сульфамоил, сульфонил, липид, нитро или карбонил; и липид представляет собой С11-С22 высший алкил, С11-С22 высший алкокси, полиэтиленгликоль или арил, замещенный алкильной группой, или липид, описанный в настоящем документе. В иллюстративных вариантах реализации формулы XXII R1 представляет собой водород, В иллюстративных вариантах реализации формулы XXII R5 представляет собой липид, метил, этил, пропил, изопропил, бутил, втор-бутил, трет-бутил, пентил, втор-пентил, трет-пентил, неопентил, 3-пентил, гексил, трет-гексил, 4-септил, циклопропил, циклобутил, циклопентил, циклогексил, фенил, 2,6-диметилфенил, изопропоксид, трет-бутоксид, N-пропиламино, N-изопропиламино, N-трет-бутиламино, N,N-диметиламино, N,N-диэтиламино и N,N-дипропиламино. В иллюстративных вариантах реализации формулы XXII R6 представляет собой водород, гидроксил, фтор, хлор, амино, липид, метил, метокси, этил, пропил, изопропил, бутил, втор-бутил, трет-бутил, пентил, втор-пентил, трет-пентил, неопентил, 3-пентил, гексил, трет-гексил, 4-септил, циклопропил, циклобутил, циклопентил, циклогексил, фенил, 2,6-диметилфенил, изопропоксид, трет-бутоксид, N-пропиламино, N-изопропиламино, N-трет-бутиламино, N,N-диметиламино, N,N-диэтиламино и N,N-дипропиламино. В иллюстративных вариантах реализации формулы XXII R7 представляет собой метил, этил, пропил, изопропил, бутил, втор-бутил, трет-бутил, пентил, втор-пентил, трет-пентил, неопентил, 3-пентил, гексил, трет-гексил, 4-септил, циклопропил, циклобутил, циклопентил, циклогексил, фенил, 2,6-диметилфенил, изопропоксид, трет-бутоксид, N-пропиламино, N-изопропиламино, N-трет-бутиламино, N,N-диметиламино, N,N-диэтиламино и N,N-дипропиламино. В иллюстративных вариантах реализации формулы XXII R8 представляет собой метил, этил, пропил, изопропил, бутил, втор-бутил, трет-бутил, пентил, втор-пентил, трет-пентил, неопентил, 3-пентил, гексил, трет-гексил, 4-септил, циклопропил, циклобутил, циклопентил, циклогексил, фенил, 2,6-диметилфенил, изопропоксид, трет-бутоксид, N-пропиламино, N-изопропиламино, N-трет-бутиламино, N,N-диметиламино, N,N-диэтиламино и N,N-дипропиламино. В иллюстративных вариантах реализации формулы XXII R9 представляет собой метил, этил, пропил, изопропил, бутил, втор-бутил, трет-бутил, пентил, втор-пентил, трет-пентил, неопентил, 3-пентил, гексил, трет-гексил, 4-септил, циклопропил, циклобутил, циклопентил, циклогексил, фенил, 2,6-диметилфенил, изопропоксид, трет-бутоксид, N-пропиламино, N-изопропиламино, N-трет-бутиламино, N,N-диметиламино, N,N-диэтиламино и N,N-дипропиламино. В некоторых вариантах реализации настоящие изобретение относиться к соединению формулы XXIII, или его фармацевтической или физиологической соли, где R1 выбран из Н, необязательно замещенных сложных эфиров, необязательно замещенных разветвленных сложных эфиров, необязательно замещенных карбонатов, необязательно замещенных карбаматов, необязательно замещенных сложных тиоэфиров, необязательно замещенных разветвленных сложных тиоэфиров, необязательно замещенных тиокарбонатов, необязательно замещенного S-тиокарбоната, необязательно замещенных дитиокарбонатов, необязательно замещенных тиокарбаматов, необязательно замещенного оксиметоксикарбонила, необязательно замещенного оксиметокситиокарбонила, необязательно замещенного оксиметилкарбонила, необязательно замещенного оксиметилтиокарбонила, сложных эфиров L-аминокислот, сложных эфиров D-аминокислот, сложных эфиров N-замещенных L-аминокислот, сложных эфиров N,N-дизамещенных L-аминокислот, сложных эфиров N-замещенных D-аминокислот, сложных эфиров N,N-дизамещенных D-аминокислот, необязательно замещенного сульфенила, необязательно замещенного имидата, необязательно замещенного гидразоната, необязательно замещенного оксимила, необязательно замещенного имидинила, необязательно замещенного имидила, необязательно замещенного аминаля, необязательно замещенного гемиаминаля, необязательно замещенного ацеталя, необязательно замещенного гемиацеталя, необязательно замещенного карбонимидата, необязательно замещенного тиокарбонимидата, необязательно замещенного карбонимидила, необязательно замещенного карбамимидата, необязательно замещенного карбамимидила, необязательно замещенного тиоацеталя, необязательно замещенного S-ацил-2-тиоэтила, необязательно замещенных сложных бис-(ацилоксибензил)эфиров, необязательно замещенных сложных (ацилоксибензил)эфиров и сложных ВАВ-эфиров, причем R1 необязательно замещен одним или более одинаковыми или различными R10; Y представляет собой О или S; Y1 представляет собой ОН, OY3 или ВН3-М+; Y2 представляет собой ОН или ВН3-М+; Y3 представляет собой арил, гетероарил или гетероциклил, причем Y3 необязательно замещен одним или более одинаковыми или различными R10; R5 представляет собой водород, алкил, алкенил, алкинил, карбоциклил, гетерокарбоциклил, арил, гетероарил, гетероциклил, циклоалкил, циклоалкенил, алленил или липид, причем R5 необязательно замещен одним или более одинаковыми или различными R10; R6, R6', R6'' и R6''', каждый независимо, выбраны из водорода, дейтерия, гидроксила, амино, азидо, тиола, ацила, формила, галогена, нитро, алкила, алкенила, алкинила, карбоциклила, гетерокарбоциклила, арила, гетероарила, гетероциклила, циклоалкила, циклоалкенила, алкокси, карбоциклокси, гетерокарбоциклокси, арилокси, гетероарилокси, гетероциклокси, циклоалкокси, циклоалкенокси, алкиламино, (алкил)2амино, карбоцикламино, гетерокарбоцикламино, ариламино, гетероариламино, гетероцикламино, циклоалкамино, циклоалкенамино, алкилтио, карбоциклилтио, гетерокарбоциклилтио, арилтио, гетероарилтио, гетероциклилтио, циклоалкилтио, циклоалкенилтио, сульфинила, сульфамоила, сульфонила, алленила, циано или липида, причем каждый из R6, R6', R6'' и R6''' может быть необязательно замещен одним или более одинаковыми или различными R10; R7 и R7', каждый независимо, выбраны из водорода, дейтерия, гидрокси, азидо, тиола, амино, циано, галогена, алкила, алкенила, алкинила, карбоциклила, гетерокарбоциклила, арила, гетероарила, гетероциклила, циклоалкила, циклоалкенила, алкокси, карбоциклокси, гетерокарбоциклокси, арилокси, гетероарилокси, гетероциклокси, циклоалкокси, циклоалкенокси, алкиламино, (алкил)2амино, карбоцикламино, гетерокарбоцикламино, ариламино, гетероариламино, гетероцикламино, циклоалкамино, циклоалкенамино, алкилтио, карбоциклилтио, гетерокарбоциклилтио, арилтио, гетероарилтио, гетероциклилтио, циклоалкилтио, циклоалкенилтио, алленила, сульфинила, сульфамоила, сульфонила, липида, нитро или карбонила, причем R7 необязательно замещен одним или более одинаковыми или различными R10; R8 представляет собой дейтерий, гидрокси, азидо, тиол, амино, циано, галоген, алкил, алкенил, алкинил, карбоциклил, гетерокарбоциклил, арил, гетероарил, гетероциклил, циклоалкил, циклоалкенил, алкокси, карбоциклокси, гетерокарбоциклокси, арилокси, гетероарилокси, гетероциклокси, циклоалкокси, циклоалкенокси, алкиламино, (алкил)2амино, карбоцикламино, гетерокарбоцикламино, ариламино, гетероариламино, гетероцикламино, циклоалкамино, циклоалкенамино, алкилтио, карбоциклилтио, гетерокарбоциклилтио, арилтио, гетероарилтио, гетероциклилтио, циклоалкилтио, циклоалкенилтио, алленил, сульфинил, сульфамоил, сульфонил, липид, нитро или карбонил, причем R8 необязательно замещен одним или более одинаковыми или различными R10; R9 представляет собой дейтерий, гидрокси, азидо, тиол, амино, циано, галоген, алкил, алкенил, алкинил, карбоциклил, гетерокарбоциклил, арил, гетероарил, гетероциклил, циклоалкил, циклоалкенил, алкокси, карбоциклокси, гетерокарбоциклокси, арилокси, гетероарилокси, гетероциклокси, циклоалкокси, циклоалкенокси, алкиламино, (алкил)2амино, карбоцикламино, гетерокарбоцикламино, ариламино, гетероариламино, гетероцикламино, циклоалкамино, циклоалкенамино, алкилтио, карбоциклилтио, гетерокарбоциклилтио, арилтио, гетероарилтио, гетероциклилтио, циклоалкилтио, циклоалкенилтио, алленил, сульфинил, сульфамоил, сульфонил, липид, нитро или карбонил, причем R9 необязательно замещен одним или более одинаковыми или различными R10; R7, R7', R8 и R9 могут образовывать кольцо с α-атомом углерода, к которому они присоединены, и с аминогруппой, присоединенной к α-атому углерода, причем указанное кольцо необязательно замещено одним или более одинаковыми или различными R10; R7 и R7' могут образовывать кольцо с α-атомом углерода, к которому они присоединены, причем указанное кольцо необязательно замещено одним или более одинаковыми или различными R10; R8 и R9 могут образовывать кольцо с α-атомом углерода, к которому они присоединены, причем указанное кольцо необязательно замещено одним или более одинаковыми или различными R10; R10 представляет собой дейтерий, гидрокси, азидо, тиол, амино, циано, галоген, алкил, алкенил, алкинил, карбоциклил, гетерокарбоциклил, арил, гетероарил, гетероциклил, циклоалкил, циклоалкенил, алкокси, карбоциклокси, гетерокарбоциклокси, арилокси, гетероарилокси, гетероциклокси, циклоалкокси, циклоалкенокси, алкиламино, (алкил)2амино, карбоцикламино, гетерокарбоцикламино, ариламино, гетероариламино, гетероцикламино, циклоалкамино, циклоалкенамино, алкилтио, карбоциклилтио, гетерокарбоциклилтио, арилтио, гетероарилтио, гетероциклилтио, циклоалкилтио, циклоалкенилтио, алленил, сульфинил, сульфамоил, сульфонил, липид, нитро или карбонил, причем R10 необязательно замещен одним или более одинаковыми или различными R11; R11 представляет собой дейтерий, гидрокси, азидо, тиол, амино, циано, галоген, алкил, алкенил, алкинил, карбоциклил, гетерокарбоциклил, арил, гетероарил, гетероциклил, циклоалкил, циклоалкенил, алкокси, карбоциклокси, гетерокарбоциклокси, арилокси, гетероарилокси, гетероциклокси, циклоалкокси, циклоалкенокси, алкиламино, (алкил)2амино, карбоцикламино, гетерокарбоцикламино, ариламино, гетероариламино, гетероцикламино, циклоалкамино, циклоалкенамино, алкилтио, карбоциклилтио, гетерокарбоциклилтио, арилтио, гетероарилтио, гетероциклилтио, циклоалкилтио, циклоалкенилтио, алленил, сульфинил, сульфамоил, сульфонил, липид, нитро или карбонил; и липид представляет собой С11-С22 высший алкил, С11-С22 высший алкокси, полиэтиленгликоль или арил, замещенный алкильной группой, или липид, описанный в настоящем документе. В иллюстративных вариантах реализации формулы XXIII R1 представляет собой водород, В иллюстративных вариантах реализации формулы XXIII R5 представляет собой липид, метил, этил, пропил, изопропил, бутил, втор-бутил, трет-бутил, пентил, втор-пентил, трет-пентил, неопентил, 3-пентил, гексил, трет-гексил, 4-септил, циклопропил, циклобутил, циклопентил, циклогексил, фенил, 2,6-диметилфенил, изопропоксид, трет-бутоксид, N-пропиламино, N-изопропиламино, N-трет-бутиламино, N,N-диметиламино, N,N-диэтиламино и N,N-дипропиламино. В иллюстративных вариантах реализации формулы XXIII R6 представляет собой водород, гидроксил, фтор, хлор, амино, липид, метил, метокси, этил, пропил, изопропил, бутил, втор-бутил, трет-бутил, пентил, втор-пентил, трет-пентил, неопентил, 3-пентил, гексил, трет-гексил, 4-септил, циклопропил, циклобутил, циклопентил, циклогексил, фенил, 2,6-диметилфенил, изопропоксид, трет-бутоксид, N-пропиламино, N-изопропиламино, N-трет-бутиламино, N,N-диметиламино, N,N-диэтиламино и N,N-дипропиламино. В иллюстративных вариантах реализации формулы XXIII R7 представляет собой метил, этил, пропил, изопропил, бутил, втор-бутил, трет-бутил, пентил, втор-пентил, трет-пентил, неопентил, 3-пентил, гексил, трет-гексил, 4-септил, циклопропил, циклобутил, циклопентил, циклогексил, фенил, 2,6-диметилфенил, изопропоксид, трет-бутоксид, N-пропиламино, N-изопропиламино, N-трет-бутиламино, N,N-диметиламино, N,N-диэтиламино и N,N-дипропиламино. В иллюстративных вариантах реализации формулы XXIII R8 представляет собой метил, этил, пропил, изопропил, бутил, втор-бутил, трет-бутил, пентил, втор-пентил, трет-пентил, неопентил, 3-пентил, гексил, трет-гексил, 4-септил, циклопропил, циклобутил, циклопентил, циклогексил, фенил, 2,6-диметилфенил, изопропоксид, трет-бутоксид, N-пропиламино, N-изопропиламино, N-трет-бутиламино, N,N-диметиламино, N,N-диэтиламино и N,N-дипропиламино. В иллюстративных вариантах реализации формулы XXIII R9 представляет собой метил, этил, пропил, изопропил, бутил, втор-бутил, трет-бутил, пентил, втор-пентил, трет-пентил, неопентил, 3-пентил, гексил, трет-гексил, 4-септил, циклопропил, циклобутил, циклопентил, циклогексил, фенил, 2,6-диметилфенил, изопропоксид, трет-бутоксид, N-пропиламино, N-изопропиламино, N-трет-бутиламино, N,N-диметиламино, N,N-диэтиламино и N,N-дипропиламино. В некоторых вариантах реализации настоящее изобретение относится к соединению формулы XXIV, или его фармацевтической или физиологической соли, где R1 выбран из Н, необязательно замещенных сложных эфиров, необязательно замещенных разветвленных сложных эфиров, необязательно замещенных карбонатов, необязательно замещенных карбаматов, необязательно замещенных сложных тиоэфиров, необязательно замещенных разветвленных сложных тиоэфиров, необязательно замещенных тиокарбонатов, необязательно замещенного S-тиокарбоната, необязательно замещенных дитиокарбонатов, необязательно замещенных тиокарбаматов, необязательно замещенного оксиметоксикарбонила, необязательно замещенного оксиметокситиокарбонила, необязательно замещенного оксиметилкарбонила, необязательно замещенного оксиметилтиокарбонила, сложных эфиров L-аминокислот, сложных эфиров D-аминокислот, сложных эфиров N-замещенных L-аминокислот, сложных эфиров N,N-дизамещенных L-аминокислот, сложных эфиров N-замещенных D-аминокислот, сложных эфиров N,N-дизамещенных D-аминокислот, необязательно замещенного сульфенила, необязательно замещенного имидата, необязательно замещенного гидразоната, необязательно замещенного оксимила, необязательно замещенного имидинила, необязательно замещенного имидила, необязательно замещенного аминаля, необязательно замещенного гемиаминаля, необязательно замещенного ацеталя, необязательно замещенного гемиацеталя, необязательно замещенного карбонимидата, необязательно замещенного тиокарбонимидата, необязательно замещенного карбонимидила, необязательно замещенного карбамимидата, необязательно замещенного карбамимидила, необязательно замещенного тиоацеталя, необязательно замещенного S-ацил-2-тиоэтила, необязательно замещенных сложных бис-(ацилоксибензил)эфиров, необязательно замещенных сложных (ацилоксибензил)эфиров и сложных ВАВ-эфиров, причем R1 необязательно замещен одним или более одинаковыми или различными R10; Y представляет собой О или S; Y1 представляет собой ОН, OY3 или ВН3-М+; Y2 представляет собой ОН или ВН3-М+; Y3 представляет собой арил, гетероарил или гетероциклил, причем Y3 необязательно замещен одним или более одинаковыми или различными R10; R5 представляет собой водород, алкил, алкенил, алкинил, карбоциклил, гетерокарбоциклил, арил, гетероарил, гетероциклил, циклоалкил, циклоалкенил, алленил или липид, причем R5 необязательно замещен одним или более одинаковыми или различными R10; R6, R6', R6'' и R6''', каждый независимо, выбраны из водорода, дейтерия, гидроксила, амино, азидо, тиола, ацила, формила, галогена, нитро, алкила, алкенила, алкинила, карбоциклила, гетерокарбоциклила, арила, гетероарила, гетероциклила, циклоалкила, циклоалкенила, алкокси, карбоциклокси, гетерокарбоциклокси, арилокси, гетероарилокси, гетероциклокси, циклоалкокси, циклоалкенокси, алкиламино, (алкил)2амино, карбоцикламино, гетерокарбоцикламино, ариламино, гетероариламино, гетероцикламино, циклоалкамино, циклоалкенамино, алкилтио, карбоциклилтио, карбоциклилтио, гетерокарбоциклилтио, арилтио, гетероарилтио, гетероциклилтио, циклоалкилтио, циклоалкенилтио, сульфинила, сульфамоила, сульфонила, алленила, циано или липида, причем каждый из R6, R6', R6'' и R6''' может быть необязательно замещен одним или более одинаковыми или различными R10; R7 и R7', каждый независимо, выбраны из водорода, дейтерия, гидрокси, азидо, тиола, амино, циано, галогена, алкила, алкенила, алкинила, карбоциклила, гетерокарбоциклила, арила, гетероарила, гетероциклила, циклоалкила, циклоалкенила, алкокси, карбоциклокси, гетерокарбоциклокси, арилокси, гетероарилокси, гетероциклокси, циклоалкокси, циклоалкенокси, алкиламино, (алкил)2амино, карбоцикламино, гетерокарбоцикламино, ариламино, гетероариламино, гетероцикламино, циклоалкамино, циклоалкенамино, алкилтио, карбоциклилтио, гетерокарбоциклилтио, арилтио, гетероарилтио, гетероциклилтио, циклоалкилтио, циклоалкенилтио, алленила, сульфинила, сульфамоила, сульфонила, липида, нитро или карбонила, причем R7 необязательно замещен одним или более одинаковыми или различными R10; R8 представляет собой дейтерий, гидрокси, азидо, тиол, амино, циано, галоген, алкил, алкенил, алкинил, карбоциклил, гетерокарбоциклил, арил, гетероарил, гетероциклил, циклоалкил, циклоалкенил, алкокси, карбоциклокси, гетерокарбоциклокси, арилокси, гетероарилокси, гетероциклокси, циклоалкокси, циклоалкенокси, алкиламино, (алкил)2амино, карбоцикламино, гетерокарбоцикламино, ариламино, гетероариламино, гетероцикламино, циклоалкамино, циклоалкенамино, алкилтио, карбоциклилтио, гетерокарбоциклилтио, арилтио, гетероарилтио, гетероциклилтио, циклоалкилтио, циклоалкенилтио, алленил, сульфинил, сульфамоил, сульфонил, липид, нитро или карбонил, причем R8 необязательно замещен одним или более одинаковыми или различными R10; R9 представляет собой дейтерий, гидрокси, азидо, тиол, амино, циано, галоген, алкил, алкенил, алкинил, карбоциклил, гетерокарбоциклил, арил, гетероарил, гетероциклил, циклоалкил, циклоалкенил, алкокси, карбоциклокси, гетерокарбоциклокси, арилокси, гетероарилокси, гетероциклокси, циклоалкокси, циклоалкенокси, алкиламино, (алкил)2амино, карбоцикламино, гетерокарбоцикламино, ариламино, гетероариламино, гетероцикламино, циклоалкамино, циклоалкенамино, алкилтио, карбоциклилтио, карбоциклилтио, гетерокарбоциклилтио, арилтио, гетероарилтио, гетероциклилтио, циклоалкилтио, циклоалкенилтио, алленил, сульфинил, сульфамоил, сульфонил, липид, нитро или карбонил, причем R9 необязательно замещен одним или более одинаковыми или различными R10; R7, R7', R8 и R9 могут образовывать кольцо с α-атомом углерода, к которому они присоединены, и с аминогруппой, присоединенной к α-атому углерода, причем указанное кольцо необязательно замещено одним или более одинаковыми или различными R10; R7 и R7' могут образовывать кольцо с α-атомом углерода, к которому они присоединены, причем указанное кольцо необязательно замещено одним или более одинаковыми или различными R10; R8 и R9 могут образовывать кольцо с α-атомом углерода, к которому они присоединены, причем указанное кольцо необязательно замещено одним или более одинаковыми или различными R10; R10 представляет собой дейтерий, гидрокси, азидо, тиол, амино, циано, галоген, алкил, алкенил, алкинил, карбоциклил, гетерокарбоциклил, арил, гетероарил, гетероциклил, циклоалкил, циклоалкенил, алкокси, карбоциклокси, гетерокарбоциклокси, арилокси, гетероарилокси, гетероциклокси, циклоалкокси, циклоалкенокси, алкиламино, (алкил)2амино, карбоцикламино, гетерокарбоцикламино, ариламино, гетероариламино, гетероцикламино, циклоалкамино, циклоалкенамино, алкилтио, карбоциклилтио, гетерокарбоциклилтио, арилтио, гетероарилтио, гетероциклилтио, циклоалкилтио, циклоалкенилтио, алленил, сульфинил, сульфамоил, сульфонил, липид, нитро или карбонил, причем R10 необязательно замещен одним или более одинаковыми или различными R11; R11 представляет собой дейтерий, гидрокси, азидо, тиол, амино, циано, галоген, алкил, алкенил, алкинил, карбоциклил, гетерокарбоциклил, арил, гетероарил, гетероциклил, циклоалкил, циклоалкенил, алкокси, карбоциклокси, гетерокарбоциклокси, арилокси, гетероарилокси, гетероциклокси, циклоалкокси, циклоалкенокси, алкиламино, (алкил)2амино, карбоцикламино, гетерокарбоцикламино, ариламино, гетероариламино, гетероцикламино, циклоалкамино, циклоалкенамино, алкилтио, карбоциклилтио, гетерокарбоциклилтио, арилтио, гетероарилтио, гетероциклилтио, циклоалкилтио, циклоалкенилтио, алленил, сульфинил, сульфамоил, сульфонил, липид, нитро или карбонил; и липид представляет собой С11-С22 высший алкил, С11-С22 высший алкокси, полиэтиленгликоль или арил, замещенный алкильной группой, или липид, описанный в настоящем документе. В иллюстративных вариантах реализации формулы XXIV R1 представляет собой водород, В иллюстративных вариантах реализации формулы XXIV R5 представляет собой липид, метил, этил, пропил, изопропил, бутил, втор-бутил, трет-бутил, пентил, втор-пентил, трет-пентил, неопентил, 3-пентил, гексил, трет-гексил, 4-септил, циклопропил, циклобутил, циклопентил, циклогексил, фенил, 2,6-диметилфенил, изопропоксид, трет-бутоксид, N-пропиламино, N-изопропиламино, N-трет-бутиламино, N,N-диметиламино, N,N-диэтиламино и N,N-дипропиламино. В иллюстративных вариантах реализации формулы XXIV R6 представляет собой водород, гидроксил, фтор, хлор, амино, липид, метил, метокси, этил, пропил, изопропил, бутил, втор-бутил, трет-бутил, пентил, втор-пентил, трет-пентил, неопентил, 3-пентил, гексил, трет-гексил, 4-септил, циклопропил, циклобутил, циклопентил, циклогексил, фенил, 2,6-диметилфенил, изопропоксид, трет-бутоксид, N-пропиламино, N-изопропиламино, N-трет-бутиламино, N,N-диметиламино, N,N-диэтиламино и N,N-дипропиламино. В иллюстративных вариантах реализации формулы XXIV R7 представляет собой метил, этил, пропил, изопропил, бутил, втор-бутил, трет-бутил, пентил, втор-пентил, трет-пентил, неопентил, 3-пентил, гексил, трет-гексил, 4-септил, циклопропил, циклобутил, циклопентил, циклогексил, фенил, 2,6-диметилфенил, изопропоксид, трет-бутоксид, N-пропиламино, N-изопропиламино, N-трет-бутиламино, N,N-диметиламино, N,N-диэтиламино и N,N-дипропиламино. В иллюстративных вариантах реализации формулы XXIV R8 представляет собой метил, этил, пропил, изопропил, бутил, втор-бутил, трет-бутил, пентил, втор-пентил, трет-пентил, неопентил, 3-пентил, гексил, трет-гексил, 4-септил, циклопропил, циклобутил, циклопентил, циклогексил, фенил, 2,6-диметилфенил, изопропоксид, трет-бутоксид, N-пропиламино, N-изопропиламино, N-трет-бутиламино, N,N-диметиламино, N,N-диэтиламино и N,N-дипропиламино. В иллюстративных вариантах реализации формулы XXIV R9 представляет собой метил, этил, пропил, изопропил, бутил, втор-бутил, трет-бутил, пентил, втор-пентил, трет-пентил, неопентил, 3-пентил, гексил, трет-гексил, 4-септил, циклопропил, циклобутил, циклопентил, циклогексил, фенил, 2,6-диметилфенил, изопропоксид, трет-бутоксид, N-пропиламино, N-изопропиламино, N-трет-бутиламино, N,N-диметиламино, N,N-диэтиламино и N,N-дипропиламино. В некоторых вариантах реализации настоящее изобретение относится к соединению формулы XXV, или его фармацевтической или физиологической соли, где R1 выбран из необязательно замещенных сложных эфиров, необязательно замещенных разветвленных сложных эфиров, необязательно замещенных карбонатов, необязательно замещенных карбаматов, необязательно замещенных сложных тиоэфиров, необязательно замещенных разветвленных сложных тиоэфиров, необязательно замещенных тиокарбонатов, необязательно замещенного S-тиокарбоната, необязательно замещенных дитиокарбонатов, необязательно замещенных тиокарбаматов, необязательно замещенного оксиметоксикарбонила, необязательно замещенного оксиметокситиокарбонила, необязательно замещенного оксиметилкарбонила, необязательно замещенного оксиметилтиокарбонила, сложных эфиров L-аминокислот, сложных эфиров D-аминокислот, сложных эфиров N-замещенных L-аминокислот, сложных эфиров N,N-дизамещенных L-аминокислот, сложных эфиров N-замещенных D-аминокислот, сложных эфиров N,N-дизамещенных D-аминокислот, необязательно замещенного сульфенила, необязательно замещенного имидата, необязательно замещенного гидразоната, необязательно замещенного оксимила, необязательно замещенного имидинила, необязательно замещенного имидила, необязательно замещенного аминаля, необязательно замещенного гемиаминаля, необязательно замещенного ацеталя, необязательно замещенного гемиацеталя, необязательно замещенного карбонимидата, необязательно замещенного тиокарбонимидата, необязательно замещенного карбонимидила, необязательно замещенного карбамимидата, необязательно замещенного карбамимидила, необязательно замещенного тиоацеталя, необязательно замещенного S-ацил-2-тиоэтила, необязательно замещенных сложных бис-(ацилоксибензил)эфиров, необязательно замещенных сложных (ацилоксибензил)эфиров и сложных ВАВ-эфиров, причем R1 необязательно замещен одним или более одинаковыми или различными R10; Y представляет собой О или S; Y1 представляет собой ОН, OY3 или ВН3-М+; Y2 представляет собой ОН или ВН3-М+; Y3 представляет собой арил, гетероарил или гетероциклил, причем Y3 необязательно замещен одним или более одинаковыми или различными R10; R5 представляет собой водород, алкил, алкенил, алкинил, карбоциклил, гетерокарбоциклил, арил, гетероарил, гетероциклил, циклоалкил, циклоалкенил, алленил или липид, причем R5 необязательно замещен одним или более одинаковыми или различными R10; R6, R6', R6'' и R6''', каждый независимо, выбраны из водорода, дейтерия, гидроксила, амино, азидо, тиола, ацила, формила, галогена, нитро, алкила, алкенила, алкинила, карбоциклила, гетерокарбоциклила, арила, гетероарила, гетероциклила, циклоалкила, циклоалкенила, алкокси, карбоциклокси, гетерокарбоциклокси, арилокси, гетероарилокси, гетероциклокси, циклоалкокси, циклоалкенокси, алкиламино, (алкил)2амино, карбоцикламино, гетерокарбоцикламино, ариламино, гетероариламино, гетероцикламино, циклоалкамино, циклоалкенамино, алкилтио, карбоциклилтио, гетерокарбоциклилтио, арилтио, гетероарилтио, гетероциклилтио, циклоалкилтио, циклоалкенилтио, сульфинила, сульфамоила, сульфонила, алленила, циано или липида, причем каждый из R6, R6', R6'' и R6''' может быть необязательно замещен одним или более одинаковыми или различными R10; R7 и R7', каждый независимо, выбраны из водорода, дейтерия, гидрокси, азидо, тиола, амино, циано, галогена, алкила, алкенила, алкинила, карбоциклила, гетерокарбоциклила, арила, гетероарила, гетероциклила, циклоалкила, циклоалкенила, алкокси, карбоциклокси, гетерокарбоциклокси, арилокси, гетероарилокси, гетероциклокси, циклоалкокси, циклоалкенокси, алкиламино, (алкил)2амино, карбоцикламино, гетерокарбоцикламино, ариламино, гетероариламино, гетероцикламино, циклоалкамино, циклоалкенамино, алкилтио, карбоциклилтио, гетерокарбоциклилтио, арилтио, гетероарилтио, гетероциклилтио, циклоалкилтио, циклоалкенилтио, алленила, сульфинила, сульфамоила, сульфонила, липида, нитро или карбонила, причем R7 необязательно замещен одним или более одинаковыми или различными R10; R8 представляет собой дейтерий, гидрокси, азидо, тиол, амино, циано, галоген, алкил, алкенил, алкинил, карбоциклил, гетерокарбоциклил, арил, гетероарил, гетероциклил, циклоалкил, циклоалкенил, алкокси, карбоциклокси, гетерокарбоциклокси, арилокси, гетероарилокси, гетероциклокси, циклоалкокси, циклоалкенокси, алкиламино, (алкил)2амино, карбоцикламино, гетерокарбоцикламино, ариламино, гетероариламино, гетероцикламино, циклоалкамино, циклоалкенамино, алкилтио, карбоциклилтио, гетерокарбоциклилтио, арилтио, гетероарилтио, гетероциклилтио, циклоалкилтио, циклоалкенилтио, алленил, сульфинил, сульфамоил, сульфонил, липид, нитро или карбонил, причем R8 необязательно замещен одним или более одинаковыми или различными R10; R9 представляет собой дейтерий, гидрокси, азидо, тиол, амино, циано, галоген, алкил, алкенил, алкинил, карбоциклил, гетерокарбоциклил, арил, гетероарил, гетероциклил, циклоалкил, циклоалкенил, алкокси, карбоциклокси, гетерокарбоциклокси, арилокси, гетероарилокси, гетероциклокси, циклоалкокси, циклоалкенокси, алкиламино, (алкил)2амино, карбоцикламино, гетерокарбоцикламино, ариламино, гетероариламино, гетероцикламино, циклоалкамино, циклоалкенамино, алкилтио, карбоциклилтио, гетерокарбоциклилтио, арилтио, гетероарилтио, гетероциклилтио, циклоалкилтио, циклоалкенилтио, алленил, сульфинил, сульфамоил, сульфонил, липид, нитро или карбонил, причем R9 необязательно замещен одним или более одинаковыми или различными R10; R7, R7', R8 и R9 могут образовывать кольцо с α-атомом углерода, к которому они присоединены, и с аминогруппой, присоединенной к α-атому углерода, причем указанное кольцо необязательно замещено одним или более одинаковыми или различными R10; R7 и R7' могут образовывать кольцо с α-атомом углерода, к которому они присоединены, причем указанное кольцо необязательно замещено одним или более одинаковыми или различными R10; R8 и R9 могут образовывать кольцо с α-атомом углерода, к которому они присоединены, причем указанное кольцо необязательно замещено одним или более одинаковыми или различными R10; R10 представляет собой дейтерий, гидрокси, азидо, тиол, амино, циано, галоген, алкил, алкенил, алкинил, карбоциклил, гетерокарбоциклил, арил, гетероарил, гетероциклил, циклоалкил, циклоалкенил, алкокси, карбоциклокси, гетерокарбоциклокси, арилокси, гетероарилокси, гетероциклокси, циклоалкокси, циклоалкенокси, алкиламино, (алкил)2амино, карбоцикламино, гетерокарбоцикламино, ариламино, гетероариламино, гетероцикламино, циклоалкамино, циклоалкенамино, алкилтио, карбоциклилтио, гетерокарбоциклилтио, арилтио, гетероарилтио, гетероциклилтио, циклоалкилтио, циклоалкенилтио, алленил, сульфинил, сульфамоил, сульфонил, липид, нитро или карбонил, причем R10 необязательно замещен одним или более одинаковыми или различными R11; R11 представляет собой дейтерий, гидрокси, азидо, тиол, амино, циано, галоген, алкил, алкенил, алкинил, карбоциклил, гетерокарбоциклил, арил, гетероарил, гетероциклил, циклоалкил, циклоалкенил, алкокси, карбоциклокси, гетерокарбоциклокси, арилокси, гетероарилокси, гетероциклокси, циклоалкокси, циклоалкенокси, алкиламино, (алкил)2амино, карбоцикламино, гетерокарбоцикламино, ариламино, гетероариламино, гетероцикламино, циклоалкамино, циклоалкенамино, алкилтио, карбоциклилтио, гетерокарбоциклилтио, арилтио, гетероарилтио, гетероциклилтио, циклоалкилтио, циклоалкенилтио, алленил, сульфинил, сульфамоил, сульфонил, липид, нитро или карбонил; и липид представляет собой С11-С22 высший алкил, С11-С22 высший алкокси, полиэтиленгликоль или арил, замещенный алкильной группой, или липид, описанный в настоящем документе. В иллюстративных вариантах реализации формулы XXV R1 представляет собой водород, В иллюстративных вариантах реализации формулы XXV R5 представляет собой липид, метил, этил, пропил, изопропил, бутил, втор-бутил, трет-бутил, пентил, втор-пентил, трет-пентил, неопентил, 3-пентил, гексил, трет-гексил, 4-септил, циклопропил, циклобутил, циклопентил, циклогексил, фенил, 2,6-диметилфенил, изопропоксид, трет-бутоксид, N-пропиламино, N-изопропиламино, N-трет-бутиламино, N,N-диметиламино, N,N-диэтиламино и N,N-дипропиламино. В иллюстративных вариантах реализации формулы XXV R6 представляет собой водород, гидроксил, фтор, хлор, амино, липид, метил, метокси, этил, пропил, изопропил, бутил, втор-бутил, трет-бутил, пентил, втор-пентил, трет-пентил, неопентил, 3-пентил, гексил, трет-гексил, 4-септил, циклопропил, циклобутил, циклопентил, циклогексил, фенил, 2,6-диметилфенил, изопропоксид, трет-бутоксид, N-пропиламино, N-изопропиламино, N-трет-бутиламино, N,N-диметиламино, N,N-диэтиламино и N,N-дипропиламино. В иллюстративных вариантах реализации формулы XXV R7 представляет собой метил, этил, пропил, изопропил, бутил, втор-бутил, трет-бутил, пентил, втор-пентил, трет-пентил, неопентил, 3-пентил, гексил, трет-гексил, 4-септил, циклопропил, циклобутил, циклопентил, циклогексил, фенил, 2,6-диметилфенил, изопропоксид, трет-бутоксид, N-пропиламино, N-изопропиламино, N-трет-бутиламино, N,N-диметиламино, N,N-диэтиламино и N,N-дипропиламино. В иллюстративных вариантах реализации формулы XXV R8 представляет собой метил, этил, пропил, изопропил, бутил, втор-бутил, трет-бутил, пентил, втор-пентил, трет-пентил, неопентил, 3-пентил, гексил, трет-гексил, 4-септил, циклопропил, циклобутил, циклопентил, циклогексил, фенил, 2,6-диметилфенил, изопропоксид, трет-бутоксид, N-пропиламино, N-изопропиламино, N-трет-бутиламино, N,N-диметиламино, N,N-диэтиламино и N,N-дипропиламино. В иллюстративных вариантах реализации формулы XXV R9 представляет собой метил, этил, пропил, изопропил, бутил, втор-бутил, трет-бутил, пентил, втор-пентил, трет-пентил, неопентил, 3-пентил, гексил, трет-гексил, 4-септил, циклопропил, циклобутил, циклопентил, циклогексил, фенил, 2,6-диметилфенил, изопропоксид, трет-бутоксид, N-пропиламино, N-изопропиламино, N-трет-бутиламино, N,N-диметиламино, N,N-диэтиламино и N,N-дипропиламино. В некоторых вариантах реализации настоящее изобретение относится к соединению формулы XXVI, или его фармацевтической или физиологической соли, где R1 выбран из Н, необязательно замещенных сложных эфиров, необязательно замещенных разветвленных сложных эфиров, необязательно замещенных карбонатов, необязательно замещенных карбаматов, необязательно замещенных сложных тиоэфиров, необязательно замещенных разветвленных сложных тиоэфиров, необязательно замещенных тиокарбонатов, необязательно замещенного S-тиокарбоната, необязательно замещенных дитиокарбонатов, необязательно замещенных тиокарбаматов, необязательно замещенного оксиметоксикарбонила, необязательно замещенного оксиметокситиокарбонила, необязательно замещенного оксиметилкарбонила, необязательно замещенного оксиметилтиокарбонила, сложных эфиров L-аминокислот, сложных эфиров D-аминокислот, сложных эфиров N-замещенных L-аминокислот, сложных эфиров N,N-дизамещенных L-аминокислот, сложных эфиров N-замещенных D-аминокислот, сложных эфиров N,N-дизамещенных D-аминокислот, необязательно замещенного сульфенила, необязательно замещенного имидата, необязательно замещенного гидразоната, необязательно замещенного оксимила, необязательно замещенного имидинила, необязательно замещенного имидила, необязательно замещенного аминаля, необязательно замещенного гемиаминаля, необязательно замещенного ацеталя, необязательно замещенного гемиацеталя, необязательно замещенного карбонимидата, необязательно замещенного тиокарбонимидата, необязательно замещенного карбонимидила, необязательно замещенного карбамимидата, необязательно замещенного карбамимидила, необязательно замещенного тиоацеталя, необязательно замещенного 3-ацил-2-тиоэтила, необязательно замещенных сложных бис-(ацилоксибензил)эфиров, необязательно замещенных сложных (ацилоксибензил)эфиров и сложных ВАВ-эфиров, причем R1 необязательно замещен одним или более одинаковыми или различными R10; Y представляет собой О или S; Y1 представляет собой ОН, OY3 или ВН3-М+; Y2 представляет собой ОН или ВН3-М+; Y3 представляет собой арил, гетероарил или гетероциклил, причем Y3 необязательно замещен одним или более одинаковыми или различными R10; R2 выбран из дейтерия, С2-С22 алкила, алкенила, алкинила, алленила, тиола, амино, азидо, формила, ацила, циано, хлора, брома, йода, арила, гетероарила, гетероциклила, карбоциклила, гетерокарбоциклила, сульфинила, сульфамоила или сульфонила, причем R2 необязательно замещен одним или более одинаковыми или различными R10; R3 выбран из дейтерия, С2-С22 алкила, алкенила, алкинила, алленила, алкокси, гидрокси, тиола, амино, азидо, формила, ацила, галогена, арила, гетероарила, гетероциклила, карбоциклила, гетерокарбоциклила, сульфинила, сульфамоила или сульфонила, причем R3 и R3' необязательно замещены одним или более одинаковыми или различными R10; R5 представляет собой водород, алкил, алкенил, алкинил, карбоциклил, гетерокарбоциклил, арил, гетероарил, гетероциклил, циклоалкил, циклоалкенил, алленил или липид, причем R5 необязательно замещен одним или более одинаковыми или различными R10; R6, R6', R6'' и R6''', каждый независимо, выбраны из водорода, дейтерия, гидроксила, амино, азидо, тиола, ацила, формила, галогена, нитро, алкила, алкенила, алкинила, карбоциклила, гетерокарбоциклила, арила, гетероарила, гетероциклила, циклоалкила, циклоалкенила, алкокси, карбоциклокси, гетерокарбоциклокси, арилокси, гетероарилокси, гетероциклокси, циклоалкокси, циклоалкенокси, алкиламино, (алкил)2амино, карбоцикламино, гетерокарбоцикламино, ариламино, гетероариламино, гетероцикламино, циклоалкамино, циклоалкенамино, алкилтио, карбоциклилтио, гетерокарбоциклилтио, арилтио, гетероарилтио, гетероциклилтио, циклоалкилтио, циклоалкенилтио, сульфинила, сульфамоила, сульфонила, алленила, циано или липида, причем каждый из R6, R6', R6'' и R6''' может быть необязательно замещен одним или более одинаковыми или различными R10; R7 и R7', каждый независимо, выбраны из водорода, дейтерия, гидрокси, азидо, тиола, амино, циано, галогена, алкила, алкенила, алкинила, карбоциклила, гетерокарбоциклила, арила, гетероарила, гетероциклила, циклоалкила, циклоалкенила, алкокси, карбоциклокси, гетерокарбоциклокси, арилокси, гетероарилокси, гетероциклокси, циклоалкокси, циклоалкенокси, алкиламино, (алкил)2амино, карбоцикламино, гетерокарбоцикламино, ариламино, гетероариламино, гетероцикламино, циклоалкамино, циклоалкенамино, алкилтио, карбоциклилтио, гетерокарбоциклилтио, арилтио, гетероарилтио, гетероциклилтио, циклоалкилтио, циклоалкенилтио, алленила, сульфинила, сульфамоила, сульфонила, липида, нитро или карбонила, причем R7 необязательно замещен одним или более одинаковыми или различными R10; R8 представляет собой дейтерий, гидрокси, азидо, тиол, амино, циано, галоген, алкил, алкенил, алкинил, карбоциклил, гетерокарбоциклил, арил, гетероарил, гетероциклил, циклоалкил, циклоалкенил, алкокси, карбоциклокси, гетерокарбоциклокси, арилокси, гетероарилокси, гетероциклокси, циклоалкокси, циклоалкенокси, алкиламино, (алкил)2амино, карбоцикламино, гетерокарбоцикламино, ариламино, гетероариламино, гетероцикламино, циклоалкамино, циклоалкенамино, алкилтио, карбоциклилтио, гетерокарбоциклилтио, арилтио, гетероарилтио, гетероциклилтио, циклоалкилтио, циклоалкенилтио, алленил, сульфинил, сульфамоил, сульфонил, липид, нитро или карбонил, причем R8 необязательно замещен одним или более одинаковыми или различными R10; R9 представляет собой дейтерий, гидрокси, азидо, тиол, амино, циано, галоген, алкил, алкенил, алкинил, карбоциклил, гетерокарбоциклил, арил, гетероарил, гетероциклил, циклоалкил, циклоалкенил, алкокси, карбоциклокси, гетерокарбоциклокси, арилокси, гетероарилокси, гетероциклокси, циклоалкокси, циклоалкенокси, алкиламино, (алкил)2амино, карбоцикламино, гетерокарбоцикламино, ариламино, гетероариламино, гетероцикламино, циклоалкамино, циклоалкенамино, алкилтио, карбоциклилтио, гетерокарбоциклилтио, арилтио, гетероарилтио, гетероциклилтио, циклоалкилтио, циклоалкенилтио, алленил, сульфинил, сульфамоил, сульфонил, липид, нитро или карбонил, причем R9 необязательно замещен одним или более одинаковыми или различными R10; R7, R7', R8 и R9 могут образовывать кольцо с α-атомом углерода, к которому они присоединены, и с аминогруппой, присоединенной к α-атому углерода, причем указанное кольцо необязательно замещено одним или более одинаковыми или различными R10; R7 и R7' могут образовывать кольцо с α-атомом углерода, к которому они присоединены, причем указанное кольцо необязательно замещено одним или более одинаковыми или различными R10; R8 и R9 могут образовывать кольцо с α-атомом углерода, к которому они присоединены, причем указанное кольцо необязательно замещено одним или более одинаковыми или различными R10; R10 представляет собой дейтерий, гидрокси, азидо, тиол, амино, циано, галоген, алкил, алкенил, алкинил, карбоциклил, гетерокарбоциклил, арил, гетероарил, гетероциклил, циклоалкил, циклоалкенил, алкокси, карбоциклокси, гетерокарбоциклокси, арилокси, гетероарилокси, гетероциклокси, циклоалкокси, циклоалкенокси, алкиламино, (алкил)2амино, карбоцикламино, гетерокарбоцикламино, ариламино, гетероариламино, гетероцикламино, циклоалкамино, циклоалкенамино, алкилтио, карбоциклилтио, гетерокарбоциклилтио, арилтио, гетероарилтио, гетероциклилтио, циклоалкилтио, циклоалкенилтио, алленил, сульфинил, сульфамоил, сульфонил, липид, нитро или карбонил, причем R10 необязательно замещен одним или более одинаковыми или различными R11; R11 представляет собой дейтерий, гидрокси, азидо, тиол, амино, циано, галоген, алкил, алкенил, алкинил, карбоциклил, гетерокарбоциклил, арил, гетероарил, гетероциклил, циклоалкил, циклоалкенил, алкокси, карбоциклокси, гетерокарбоциклокси, арилокси, гетероарилокси, гетероциклокси, циклоалкокси, циклоалкенокси, алкиламино, (алкил)2амино, карбоцикламино, гетерокарбоцикламино, ариламино, гетероариламино, гетероцикламино, циклоалкамино, циклоалкенамино, алкилтио, карбоциклилтио, гетерокарбоциклилтио, арилтио, гетероарилтио, гетероциклилтио, циклоалкилтио, циклоалкенилтио, алленил, сульфинил, сульфамоил, сульфонил, липид, нитро или карбонил; и липид представляет собой С11-С22 высший алкил, С11-С22 высший алкокси, полиэтиленгликоль или арил, замещенный алкильной группой, или липид, описанный в настоящем документе. В иллюстративных вариантах реализации формулы XXVI R1 представляет собой водород, В иллюстративных вариантах реализации формулы XXVI R5 представляет собой липид, метил, этил, пропил, изопропил, бутил, втор-бутил, трет-бутил, пентил, втор-пентил, трет-пентил, неопентил, 3-пентил, гексил, трет-гексил, 4-септил, циклопропил, циклобутил, циклопентил, циклогексил, фенил, 2,6-диметилфенил, изопропоксид, трет-бутоксид, N-пропиламино, N-изопропиламино, N-трет-бутиламино, N,N-диметиламино, N,N-диэтиламино и N,N-дипропиламино. В иллюстративных вариантах реализации формулы XXVI R6 представляет собой водород, гидроксил, фтор, хлор, амино, липид, метил, метокси, этил, пропил, изопропил, бутил, втор-бутил, трет-бутил, пентил, втор-пентил, трет-пентил, неопентил, 3-пентил, гексил, трет-гексил, 4-септил, циклопропил, циклобутил, циклопентил, циклогексил, фенил, 2,6-диметилфенил, изопропоксид, трет-бутоксид, N-пропиламино, N-изопропиламино, N-трет-бутиламино, N,N-диметиламино, N,N-диэтиламино и N,N-дипропиламино. В иллюстративных вариантах реализации формулы XXVI R7 представляет собой метил, этил, пропил, изопропил, бутил, втор-бутил, трет-бутил, пентил, втор-пентил, трет-пентил, неопентил, 3-пентил, гексил, трет-гексил, 4-септил, циклопропил, циклобутил, циклопентил, циклогексил, фенил, 2,6-диметилфенил, изопропоксид, трет-бутоксид, N-пропиламино, N-изопропиламино, N-трет-бутиламино, N,N-диметиламино, N,N-диэтиламино и N,N-дипропиламино. В иллюстративных вариантах реализации формулы XXVI R8 представляет собой метил, этил, пропил, изопропил, бутил, втор-бутил, трет-бутил, пентил, втор-пентил, трет-пентил, неопентил, 3-пентил, гексил, трет-гексил, 4-септил, циклопропил, циклобутил, циклопентил, циклогексил, фенил, 2,6-диметилфенил, изопропоксид, трет-бутоксид, N-пропиламино, N-изопропиламино, N-трет-бутиламино, N,N-диметиламино, N,N-диэтиламино и N,N-дипропиламино. В иллюстративных вариантах реализации формулы XXVI R9 представляет собой метил, этил, пропил, изопропил, бутил, втор-бутил, трет-бутил, пентил, втор-пентил, трет-пентил, неопентил, 3-пентил, гексил, трет-гексил, 4-септил, циклопропил, циклобутил, циклопентил, циклогексил, фенил, 2,6-диметилфенил, изопропоксид, трет-бутоксид, N-пропиламино, N-изопропиламино, N-трет-бутиламино, N,N-диметиламино, N,N-диэтиламино и N,N-дипропиламино. В некоторых вариантах реализации настоящее изобретение относится к соединению формулы XXVII, или его фармацевтической или физиологической соли, где R1 выбран из Н, необязательно замещенных сложных эфиров, необязательно замещенных разветвленных сложных эфиров, необязательно замещенных карбонатов, необязательно замещенных карбаматов, необязательно замещенных сложных тиоэфиров, необязательно замещенных разветвленных сложных тиоэфиров, необязательно замещенных тиокарбонатов, необязательно замещенного S-тиокарбоната, необязательно замещенных дитиокарбонатов, необязательно замещенных тиокарбаматов, необязательно замещенного оксиметоксикарбонила, необязательно замещенного оксиметокситиокарбонила, необязательно замещенного оксиметилкарбонила, необязательно замещенного оксиметилтиокарбонила, сложных эфиров L-аминокислот, сложных эфиров D-аминокислот, сложных эфиров N-замещенных L-аминокислот, сложных эфиров N,N-дизамещенных L-аминокислот, сложных эфиров N-замещенных D-аминокислот, сложных эфиров N,N-дизамещенных D-аминокислот, необязательно замещенного сульфенила, необязательно замещенного имидата, необязательно замещенного гидразоната, необязательно замещенного оксимила, необязательно замещенного имидинила, необязательно замещенного имидила, необязательно замещенного аминаля, необязательно замещенного гемиаминаля, необязательно замещенного ацеталя, необязательно замещенного гемиацеталя, необязательно замещенного карбонимидата, необязательно замещенного тиокарбонимидата, необязательно замещенного карбонимидила, необязательно замещенного карбамимидата, необязательно замещенного карбамимидила, необязательно замещенного тиоацеталя, необязательно замещенного 3-ацил-2-тиоэтила, необязательно замещенных сложных бис-(ацилоксибензил)эфиров, необязательно замещенных сложных (ацилоксибензил)эфиров и сложных ВАВ-эфиров, причем R1 необязательно замещен одним или более одинаковыми или различными R10; Y представляет собой О или S; Y1 представляет собой ОН, OY3 или ВН3-М+; Y2 представляет собой ОН или ВН3-М+; Y3 представляет собой арил, гетероарил или гетероциклил, причем Y3 необязательно замещен одним или более одинаковыми или различными R10; R3 выбран из дейтерия, С2-С22 алкила, алкенила, алкинила, алленила, алкокси, гидрокси, тиола, амино, азидо, формила, ацила, хлора, брома, йода, арила, гетероарила, гетероциклила, карбоциклила, гетерокарбоциклила, сульфинила, сульфамоила или сульфонила, причем R3 и R3 необязательно замещены одним или более одинаковыми или различными R10; R5 представляет собой водород, алкил, алкенил, алкинил, карбоциклил, гетерокарбоциклил, арил, гетероарил, гетероциклил, циклоалкил, циклоалкенил, алленил или липид, причем R5 необязательно замещен одним или более одинаковыми или различными R10; R6, R6', R6'' и R6''', каждый независимо, выбраны из водорода, дейтерия, гидроксила, амино, азидо, тиола, ацила, формила, галогена, нитро, алкила, алкенила, алкинила, карбоциклила, гетерокарбоциклила, арила, гетероарила, гетероциклила, циклоалкила, циклоалкенила, алкокси, карбоциклокси, гетерокарбоциклокси, арилокси, гетероарилокси, гетероциклокси, циклоалкокси, циклоалкенокси, алкиламино, (алкил)2амино, карбоцикламино, гетерокарбоцикламино, ариламино, гетероариламино, гетероцикламино, циклоалкамино, циклоалкенамино, алкилтио, карбоциклилтио, гетерокарбоциклилтио, арилтио, гетероарилтио, гетероциклилтио, циклоалкилтио, циклоалкенилтио, сульфинила, сульфамоила, сульфонила, алленила, циано или липида, причем каждый из R6, R6', R6'' и R6''' может быть необязательно замещен одним или более одинаковыми или различными R10; R7 и R7', каждый независимо, выбраны из водорода, дейтерия, гидрокси, азидо, тиола, амино, циано, галогена, алкила, алкенила, алкинила, карбоциклила, гетерокарбоциклила, арила, гетероарила, гетероциклила, циклоалкила, циклоалкенила, алкокси, карбоциклокси, гетерокарбоциклокси, арилокси, гетероарилокси, гетероциклокси, циклоалкокси, циклоалкенокси, алкиламино, (алкил)2амино, карбоцикламино, гетерокарбоцикламино, ариламино, гетероариламино, гетероцикламино, циклоалкамино, циклоалкенамино, алкилтио, карбоциклилтио, гетерокарбоциклилтио, арилтио, гетероарилтио, гетероциклилтио, циклоалкилтио, циклоалкенилтио, алленила, сульфинила, сульфамоила, сульфонила, липида, нитро или карбонила, причем R7 необязательно замещен одним или более одинаковыми или различными R10; R8 представляет собой дейтерий, гидрокси, азидо, тиол, амино, циано, галоген, алкил, алкенил, алкинил, карбоциклил, гетерокарбоциклил, арил, гетероарил, гетероциклил, циклоалкил, циклоалкенил, алкокси, карбоциклокси, гетерокарбоциклокси, арилокси, гетероарилокси, гетероциклокси, циклоалкокси, циклоалкенокси, алкиламино, (алкил)2амино, карбоцикламино, гетерокарбоцикламино, ариламино, гетероариламино, гетероцикламино, циклоалкамино, циклоалкенамино, алкилтио, карбоциклилтио, гетерокарбоциклилтио, арилтио, гетероарилтио, гетероциклилтио, циклоалкилтио, циклоалкенилтио, алленил, сульфинил, сульфамоил, сульфонил, липид, нитро или карбонил, причем R8 необязательно замещен одним или более одинаковыми или различными R10; R9 представляет собой дейтерий, гидрокси, азидо, тиол, амино, циано, галоген, алкил, алкенил, алкинил, карбоциклил, гетерокарбоциклил, арил, гетероарил, гетероциклил, циклоалкил, циклоалкенил, алкокси, карбоциклокси, гетерокарбоциклокси, арилокси, гетероарилокси, гетероциклокси, циклоалкокси, циклоалкенокси, алкиламино, (алкил)2амино, карбоцикламино, гетерокарбоцикламино, ариламино, гетероариламино, гетероцикламино, циклоалкамино, циклоалкенамино, алкилтио, карбоциклилтио, гетерокарбоциклилтио, арилтио, гетероарилтио, гетероциклилтио, циклоалкилтио, циклоалкенилтио, алленил, сульфинил, сульфамоил, сульфонил, липид, нитро или карбонил, причем R9 необязательно замещен одним или более одинаковыми или различными R10; R7, R7', R8 и R9 могут образовывать кольцо с α-атомом углерода, к которому они присоединены, и с аминогруппой, присоединенной к α-атому углерода, причем указанное кольцо необязательно замещено одним или более одинаковыми или различными R10; R7 и R7' могут образовывать кольцо с α-атомом углерода, к которому они присоединены, причем указанное кольцо необязательно замещено одним или более одинаковыми или различными R10; R8 и R9 могут образовывать кольцо с α-атомом углерода, к которому они присоединены, причем указанное кольцо необязательно замещено одним или более одинаковыми или различными R10; R10 представляет собой дейтерий, гидрокси, азидо, тиол, амино, циано, галоген, алкил, алкенил, алкинил, карбоциклил, гетерокарбоциклил, арил, гетероарил, гетероциклил, циклоалкил, циклоалкенил, алкокси, карбоциклокси, гетерокарбоциклокси, арилокси, гетероарилокси, гетероциклокси, циклоалкокси, циклоалкенокси, алкиламино, (алкил)2амино, карбоцикламино, гетерокарбоцикламино, ариламино, гетероариламино, гетероцикламино, циклоалкамино, циклоалкенамино, алкилтио, карбоциклилтио, гетерокарбоциклилтио, арилтио, гетероарилтио, гетероциклилтио, циклоалкилтио, циклоалкенилтио, алленил, сульфинил, сульфамоил, сульфонил, липид, нитро или карбонил, причем R10 необязательно замещен одним или более одинаковыми или различными R11; R11 представляет собой дейтерий, гидрокси, азидо, тиол, амино, циано, галоген, алкил, алкенил, алкинил, карбоциклил, гетерокарбоциклил, арил, гетероарил, гетероциклил, циклоалкил, циклоалкенил, алкокси, карбоциклокси, гетерокарбоциклокси, арилокси, гетероарилокси, гетероциклокси, циклоалкокси, циклоалкенокси, алкиламино, (алкил)2амино, карбоцикламино, гетерокарбоцикламино, ариламино, гетероариламино, гетероцикламино, циклоалкамино, циклоалкенамино, алкилтио, карбоциклилтио, гетерокарбоциклилтио, арилтио, гетероарилтио, гетероциклилтио, циклоалкилтио, циклоалкенилтио, алленил, сульфинил, сульфамоил, сульфонил, липид, нитро или карбонил; и липид представляет собой С11-С22 высший алкил, С11-С22 высший алкокси, полиэтиленгликоль или арил, замещенный алкильной группой, или липид, описанный в настоящем документе. В иллюстративных вариантах реализации формулы XXVII R1 представляет собой водород, В иллюстративных вариантах реализации формулы XXVII R5 представляет собой липид, метил, этил, пропил, изопропил, бутил, втор-бутил, трет-бутил, пентил, втор-пентил, трет-пентил, неопентил, 3-пентил, гексил, трет-гексил, 4-септил, циклопропил, циклобутил, циклопентил, циклогексил, фенил, 2,6-диметилфенил, изопропоксид, трет-бутоксид, N-пропиламино, N-изопропиламино, N-трет-бутиламино, N,N-диметиламино, N,N-диэтиламино и N,N-дипропиламино. В иллюстративных вариантах реализации формулы XXVII R6 представляет собой водород, гидроксил, фтор, хлор, амино, липид, метил, метокси, этил, пропил, изопропил, бутил, втор-бутил, трет-бутил, пентил, втор-пентил, трет-пентил, неопентил, 3-пентил, гексил, трет-гексил, 4-септил, циклопропил, циклобутил, циклопентил, циклогексил, фенил, 2,6-диметилфенил, изопропоксид, трет-бутоксид, N-пропиламино, N-изопропиламино, N-трет-бутиламино, N,N-диметиламино, N,N-диэтиламино и N,N-дипропиламино. В иллюстративных вариантах реализации формулы XXVII R7 представляет собой метил, этил, пропил, изопропил, бутил, втор-бутил, трет-бутил, пентил, втор-пентил, трет-пентил, неопентил, 3-пентил, гексил, трет-гексил, 4-септил, циклопропил, циклобутил, циклопентил, циклогексил, фенил, 2,6-диметилфенил, изопропоксид, трет-бутоксид, N-пропиламино, N-изопропиламино, N-трет-бутиламино, N,N-диметиламино, N,N-диэтиламино и N,N-дипропиламино. В иллюстративных вариантах реализации формулы XXVII R8 представляет собой метил, этил, пропил, изопропил, бутил, втор-бутил, трет-бутил, пентил, втор-пентил, трет-пентил, неопентил, 3-пентил, гексил, трет-гексил, 4-септил, циклопропил, циклобутил, циклопентил, циклогексил, фенил, 2,6-диметилфенил, изопропоксид, трет-бутоксид, N-пропиламино, N-изопропиламино, N-трет-бутиламино, N,N-диметиламино, N,N-диэтиламино и N,N-дипропиламино. В иллюстративных вариантах реализации формулы XXVII R9 представляет собой метил, этил, пропил, изопропил, бутил, втор-бутил, трет-бутил, пентил, втор-пентил, трет-пентил, неопентил, 3-пентил, гексил, трет-гексил, 4-септил, циклопропил, циклобутил, циклопентил, циклогексил, фенил, 2,6-диметилфенил, изопропоксид, трет-бутоксид, N-пропиламино, N-изопропиламино, N-трет-бутиламино, N,N-диметиламино, N,N-диэтиламино и N,N-дипропиламино. В некоторых вариантах реализации настоящее изобретение относится к соединению формулы XXVIII, или его фармацевтической или физиологической соли, где R1 выбран из необязательно замещенных сложных эфиров, необязательно замещенных разветвленных сложных эфиров, необязательно замещенных карбонатов, необязательно замещенных карбаматов, необязательно замещенных сложных тиоэфиров, необязательно замещенных разветвленных сложных тиоэфиров, необязательно замещенных тиокарбонатов, необязательно замещенного S-тиокарбоната, необязательно замещенных дитиокарбонатов, необязательно замещенных тио карбаматов, необязательно замещенного оксиметоксикарбонила, необязательно замещенного оксиметокситиокарбонила, необязательно замещенного оксиметилкарбонила, необязательно замещенного оксиметилтиокарбонила, сложных эфиров L-аминокислот, сложных эфиров D-аминокислот, сложных эфиров N-замещенных L-аминокислот, сложных эфиров N,N-дизамещенных L-аминокислот, сложных эфиров N-замещенных D-аминокислот, сложных эфиров N,N-дизамещенных D-аминокислот, необязательно замещенного сульфенила, необязательно замещенного имидата, необязательно замещенного гидразоната, необязательно замещенного оксимила, необязательно замещенного имидинила, необязательно замещенного имидила, необязательно замещенного аминаля, необязательно замещенного гемиаминаля, необязательно замещенного ацеталя, необязательно замещенного гемиацеталя, необязательно замещенного карбонимидата, необязательно замещенного тиокарбонимидата, необязательно замещенного карбонимидила, необязательно замещенного карбамимидата, необязательно замещенного карбамимидила, необязательно замещенного тиоацеталя, необязательно замещенного 3-ацил-2-тиоэтила, необязательно замещенных сложных бис-(ацилоксибензил)эфиров, необязательно замещенных сложных (ацилоксибензил)эфиров и сложных ВАВ-эфиров, причем R1 необязательно замещен одним или более одинаковыми или различными R10; Y представляет собой О или S; Y1 представляет собой ОН, OY3 или ВН3-М+; Y3 представляет собой арил, гетероарил или гетероциклил, причем Y3 необязательно замещен одним или более одинаковыми или различными R10; R2 выбран из водорода, дейтерия, алкила, алкенила, алкинила, алленила, алкокси, гидрокси, тиола, амино, азидо, формила, ацила, циано, галогена, арила, гетероарила, гетероциклила, карбоциклила, гетерокарбоциклила, сульфинила, сульфамоила или сульфонила, причем R2 необязательно замещен одним или более одинаковыми или различными R10; R3 выбран из водорода, дейтерия, алкила, алкенила, алкинила, алленила, алкокси, гидрокси, тиола, амино, азидо, формила, ацила, циано, галогена, арила, гетероарила, гетероциклила, карбоциклила, гетерокарбоциклила, сульфинила, сульфамоила или сульфонила, причем R3 необязательно замещен одним или более одинаковыми или различными R10; R5 представляет собой водород, алкил, алкенил, алкинил, карбоциклил, гетерокарбоциклил, арил, гетероарил, гетероциклил, циклоалкил, циклоалкенил, алленил или липид, причем R5 необязательно замещен одним или более одинаковыми или различными R10; R6, R6', R6'' и R6''', каждый независимо, выбраны из водорода, дейтерия, гидроксила, амино, азидо, тиола, ацила, формила, галогена, нитро, алкила, алкенила, алкинила, карбоциклила, гетерокарбоциклила, арила, гетероарила, гетероциклила, циклоалкила, циклоалкенила, алкокси, карбоциклокси, гетерокарбоциклокси, арилокси, гетероарилокси, гетероциклокси, циклоалкокси, циклоалкенокси, алкиламино, (алкил)2амино, карбоцикламино, гетерокарбоцикламино, ариламино, гетероариламино, гетероцикламино, циклоалкамино, циклоалкенамино, алкилтио, карбоциклилтио, гетерокарбоциклилтио, арилтио, гетероарилтио, гетероциклилтио, циклоалкилтио, циклоалкенилтио, сульфинила, сульфамоила, сульфонила, алленила, циано или липида, причем каждый из R6, R6', R6'' и R6''' может быть необязательно замещен одним или более одинаковыми или различными R10; R7 и R7', каждый независимо, выбраны из водорода, дейтерия, гидрокси, азидо, тиола, амино, циано, галогена, алкила, алкенила, алкинила, карбоциклила, гетерокарбоциклила, арила, гетероарила, гетероциклила, циклоалкила, циклоалкенила, алкокси, карбоциклокси, гетерокарбоциклокси, арилокси, гетероарилокси, гетероциклокси, циклоалкокси, циклоалкенокси, алкиламино, (алкил)2амино, карбоцикламино, гетерокарбоцикламино, ариламино, гетероариламино, гетероцикламино, циклоалкамино, циклоалкенамино, алкилтио, карбоциклилтио, гетерокарбоциклилтио, арилтио, гетероарилтио, гетероциклилтио, циклоалкилтио, циклоалкенилтио, алленила, сульфинила, сульфамоила, сульфонила, липида, нитро или карбонила, причем R7 необязательно замещен одним или более одинаковыми или различными R10; R8 представляет собой дейтерий, гидрокси, азидо, тиол, амино, циано, галоген, алкил, алкенил, алкинил, карбоциклил, гетерокарбоциклил, арил, гетероарил, гетероциклил, циклоалкил, циклоалкенил, алкокси, карбоциклокси, гетерокарбоциклокси, арилокси, гетероарилокси, гетероциклокси, циклоалкокси, циклоалкенокси, алкиламино, (алкил)2амино, карбоцикламино, гетерокарбоцикламино, ариламино, гетероариламино, гетероцикламино, циклоалкамино, циклоалкенамино, алкилтио, карбоциклилтио, гетерокарбоциклилтио, арилтио, гетероарилтио, гетероциклилтио, циклоалкилтио, циклоалкенилтио, алленил, сульфинил, сульфамоил, сульфонил, липид, нитро или карбонил, причем R8 необязательно замещен одним или более одинаковыми или различными R10; R9 представляет собой дейтерий, гидрокси, азидо, тиол, амино, циано, галоген, алкил, алкенил, алкинил, карбоциклил, гетерокарбоциклил, арил, гетероарил, гетероциклил, циклоалкил, циклоалкенил, алкокси, карбоциклокси, гетерокарбоциклокси, арилокси, гетероарилокси, гетероциклокси, циклоалкокси, циклоалкенокси, алкиламино, (алкил)2амино, карбоцикламино, гетерокарбоцикламино, ариламино, гетероариламино, гетероцикламино, циклоалкамино, циклоалкенамино, алкилтио, карбоциклилтио, гетерокарбоциклилтио, арилтио, гетероарилтио, гетероциклилтио, циклоалкилтио, циклоалкенилтио, алленил, сульфинил, сульфамоил, сульфонил, липид, нитро или карбонил, причем R9 необязательно замещен одним или более одинаковыми или различными R10; R7, R7', R8 и R9 могут образовывать кольцо с α-атомом углерода, к которому они присоединены, и с аминогруппой, присоединенной к α-атому углерода, причем указанное кольцо необязательно замещено одним или более одинаковыми или различными R10; R7 и R7' могут образовывать кольцо с α-атомом углерода, к которому они присоединены, причем указанное кольцо необязательно замещено одним или более одинаковыми или различными R10; R8 и R9 могут образовывать кольцо с α-атомом углерода, к которому они присоединены, причем указанное кольцо необязательно замещено одним или более одинаковыми или различными R10; R10 представляет собой дейтерий, гидрокси, азидо, тиол, амино, циано, галоген, алкил, алкенил, алкинил, карбоциклил, гетерокарбоциклил, арил, гетероарил, гетероциклил, циклоалкил, циклоалкенил, алкокси, карбоциклокси, гетерокарбоциклокси, арилокси, гетероарилокси, гетероциклокси, циклоалкокси, циклоалкенокси, алкиламино, (алкил)2амино, карбоцикламино, гетерокарбоцикламино, ариламино, гетероариламино, гетероцикламино, циклоалкамино, циклоалкенамино, алкилтио, карбоциклилтио, гетерокарбоциклилтио, арилтио, гетероарилтио, гетероциклилтио, циклоалкилтио, циклоалкенилтио, алленил, сульфинил, сульфамоил, сульфонил, липид, нитро или карбонил, причем R10 необязательно замещен одним или более одинаковыми или различными R11; R11 представляет собой дейтерий, гидрокси, азидо, тиол, амино, циано, галоген, алкил, алкенил, алкинил, карбоциклил, гетерокарбоциклил, арил, гетероарил, гетероциклил, циклоалкил, циклоалкенил, алкокси, карбоциклокси, гетерокарбоциклокси, арилокси, гетероарилокси, гетероциклокси, циклоалкокси, циклоалкенокси, алкиламино, (алкил)2амино, карбоцикламино, гетерокарбоцикламино, ариламино, гетероариламино, гетероцикламино, циклоалкамино, циклоалкенамино, алкилтио, карбоциклилтио, гетерокарбоциклилтио, арилтио, гетероарилтио, гетероциклилтио, циклоалкилтио, циклоалкенилтио, алленил, сульфинил, сульфамоил, сульфонил, липид, нитро или карбонил; и липид представляет собой С11-С22 высший алкил, С11-С22 высший алкокси, полиэтиленгликоль или арил, замещенный алкильной группой, или липид, описанный в настоящем документе. В иллюстративных вариантах реализации формулы XXVIII R2 и R3 представляют собой водород, гидроксил, амино, фтор, хлор, циано, метил, фторметил, метокси, винил, этинил и хлорэтинил. В иллюстративных вариантах реализации формулы XXVIII R5 представляет собой липид, метил, этил, пропил, изопропил, бутил, втор-бутил, трет-бутил, пентил, втор-пентил, трет-пентил, неопентил, 3-пентил, гексил, трет-гексил, 4-септил, циклопропил, циклобутил, циклопентил, циклогексил, фенил, 2,6-диметилфенил, изопропоксид, трет-бутоксид, N-пропиламино, N-изопропиламино, N-трет-бутиламино, N,N-диметиламино, N,N-диэтиламино и N,N-дипропиламино. В иллюстративных вариантах реализации формулы XXVIII R6 представляет собой водород, гидроксил, фтор, хлор, амино, липид, метил, метокси, этил, пропил, изопропил, бутил, втор-бутил, трет-бутил, пентил, втор-пентил, трет-пентил, неопентил, 3-пентил, гексил, трет-гексил, 4-септил, циклопропил, циклобутил, циклопентил, циклогексил, фенил, 2,6-диметилфенил, изопропоксид, трет-бутоксид, N-пропиламино, N-изопропиламино, N-трет-бутиламино, N,N-диметиламино, N,N-диэтиламино и N,N-дипропиламино. В иллюстративных вариантах реализации формулы XXVIII R7 представляет собой метил, этил, пропил, изопропил, бутил, втор-бутил, трет-бутил, пентил, втор-пентил, трет-пентил, неопентил, 3-пентил, гексил, трет-гексил, 4-септил, циклопропил, циклобутил, циклопентил, циклогексил, фенил, 2,6-диметилфенил, изопропоксид, трет-бутоксид, N-пропиламино, N-изопропиламино, N-трет-бутиламино, N,N-диметиламино, N,N-диэтиламино и N,N-дипропиламино. В иллюстративных вариантах реализации формулы XXVIII R8 представляет собой метил, этил, пропил, изопропил, бутил, втор-бутил, трет-бутил, пентил, втор-пентил, трет-пентил, неопентил, 3-пентил, гексил, трет-гексил, 4-септил, циклопропил, циклобутил, циклопентил, циклогексил, фенил, 2,6-диметилфенил, изопропоксид, трет-бутоксид, N-пропиламино, N-изопропиламино, N-трет-бутиламино, N,N-диметиламино, N,N-диэтиламино и N,N-дипропиламино. В иллюстративных вариантах реализации формулы XXVIII R9 представляет собой метил, этил, пропил, изопропил, бутил, втор-бутил, трет-бутил, пентил, втор-пентил, трет-пентил, неопентил, 3-пентил, гексил, трет-гексил, 4-септил, циклопропил, циклобутил, циклопентил, циклогексил, фенил, 2,6-диметилфенил, изопропоксид, трет-бутоксид, N-пропиламино, N-изопропиламино, N-трет-бутиламино, N,N-диметиламино, N,N-диэтиламино и N,N-дипропиламино. В иллюстративных вариантах реализации предложенное соединение выбрано из: В иллюстративных вариантах реализации предложенное соединение выбрано из: В иллюстративных вариантах реализации предложенное соединение выбрано из: В иллюстративных вариантах реализации предложенное соединение выбрано из: В иллюстративных вариантах реализации предложенное соединение выбрано из: В иллюстративных вариантах реализации предложенное соединение выбрано из: В иллюстративных вариантах реализации предложенное соединение выбрано из: В иллюстративных вариантах реализации предложенное соединение выбрано из: В иллюстративных вариантах реализации предложенное соединение выбрано из: В иллюстративных вариантах реализации предложенное соединение выбрано из: В иллюстративных вариантах реализации предложенное соединение выбрано из: В иллюстративных вариантах реализации предложенное соединение выбрано из: В иллюстративных вариантах реализации предложенное соединение выбрано из: В иллюстративных вариантах реализации предложенное соединение выбрано из: В иллюстративных вариантах реализации предложенное соединение выбрано из: В иллюстративных вариантах реализации предложенное соединение выбрано из: В иллюстративных вариантах реализации предложенное соединение выбрано из: В иллюстративных вариантах реализации предложенное соединение выбрано из: В иллюстративных вариантах реализации предложенное соединение выбрано из: В иллюстративных вариантах реализации предложенное соединение выбрано из: В иллюстративных вариантах реализации предложенное соединение выбрано из: В иллюстративных вариантах реализации предложенное соединение выбрано из: В иллюстративных вариантах реализации предложенное соединение выбрано из: В иллюстративных вариантах реализации предложенное соединение выбрано из: В иллюстративных вариантах реализации предложенное соединение выбрано из: В иллюстративных вариантах реализации предложенное соединение выбрано из: В иллюстративных вариантах реализации предложенное соединение выбрано из: В иллюстративных вариантах реализации предложенное соединение выбрано из: В иллюстративных вариантах реализации предложенное соединение выбрано из: В иллюстративных вариантах реализации предложенное соединение выбрано из: В иллюстративных вариантах реализации предложенное соединение выбрано из: В иллюстративных вариантах реализации предложенное соединение выбрано из: В иллюстративных вариантах реализации предложенное соединение выбрано из: В иллюстративных вариантах реализации предложенное соединение выбрано из: В иллюстративных вариантах реализации предложенное соединение выбрано из: В иллюстративных вариантах реализации предложенное соединение выбрано из: В иллюстративных вариантах реализации предложенное соединение выбрано из: В иллюстративных вариантах реализации предложенное соединение выбрано из: В иллюстративных вариантах реализации предложенное соединение выбрано из: В иллюстративных вариантах реализации предложенное соединение выбрано из: В иллюстративных вариантах реализации предложенное соединение выбрано из: В иллюстративных вариантах реализации предложенное соединение выбрано из: В иллюстративных вариантах реализации предложенное соединение выбрано из: В иллюстративных вариантах реализации предложенное соединение выбрано из: В иллюстративных вариантах реализации предложенное соединение выбрано из: В иллюстративных вариантах реализации предложенное соединение выбрано из: В иллюстративных вариантах реализации предложенное соединение выбрано из: В иллюстративных вариантах реализации предложенное соединение выбрано из: В иллюстративных вариантах реализации предложенное соединение выбрано из: В иллюстративных вариантах реализации предложенное соединение выбрано из: В иллюстративных вариантах реализации предложенное соединение выбрано из: В иллюстративных вариантах реализации предложенное соединение выбрано из: В иллюстративных вариантах реализации предложенное соединение выбрано из: В иллюстративных вариантах реализации предложенное соединение выбрано из: В иллюстративных вариантах реализации предложенное соединение выбрано из: В иллюстративных вариантах реализации предложенное соединение выбрано из: В иллюстративных вариантах реализации предложенное соединение выбрано из: В иллюстративных вариантах реализации предложенное соединение выбрано из: В иллюстративных вариантах реализации предложенное соединение выбрано из: В иллюстративных вариантах реализации предложенное соединение выбрано из: В иллюстративных вариантах реализации предложенное соединение выбрано из: В иллюстративных вариантах реализации предложенное соединение выбрано из: В иллюстративных вариантах реализации предложенное соединение выбрано из: В иллюстративных вариантах реализации предложенное соединение выбрано из: В иллюстративных вариантах реализации предложенное соединение выбрано из: В иллюстративных вариантах реализации предложенное соединение выбрано из: В иллюстративных вариантах реализации предложенное соединение выбрано из: В иллюстративных вариантах реализации предложенное соединение выбрано из: В иллюстративных вариантах реализации предложенное соединение выбрано из: В иллюстративных вариантах реализации предложенное соединение выбрано из: В иллюстративных вариантах реализации предложенное соединение выбрано из: В иллюстративных вариантах реализации предложенное соединение выбрано из: В иллюстративных вариантах реализации предложенное соединение выбрано из: В иллюстративных вариантах реализации предложенное соединение выбрано из: В иллюстративных вариантах реализации предложенное соединение выбрано из: В иллюстративных вариантах реализации предложенное соединение выбрано из: В иллюстративных вариантах реализации предложенное соединение выбрано из: В иллюстративных вариантах реализации предложенное соединение выбрано из: В иллюстративных вариантах реализации предложенное соединение выбрано из: В иллюстративных вариантах реализации предложенное соединение выбрано из: В иллюстративных вариантах реализации предложенное соединение выбрано из: В иллюстративных вариантах реализации предложенное соединение выбрано из: В иллюстративных вариантах реализации предложенное соединение выбрано из: В иллюстративных вариантах реализации предложенное соединение выбрано из: В иллюстративных вариантах реализации предложенное соединение выбрано из: В иллюстративных вариантах реализации предложенное соединение выбрано из: В иллюстративных вариантах реализации предложенное соединение выбрано из: В иллюстративных вариантах реализации предложенное соединение выбрано из: В иллюстративных вариантах реализации предложенное соединение выбрано из: В иллюстративных вариантах реализации предложенное соединение выбрано из: В иллюстративных вариантах реализации предложенное соединение выбрано из: В иллюстративных вариантах реализации предложенное соединение выбрано из: В иллюстративных вариантах реализации предложенное соединение выбрано из: В иллюстративных вариантах реализации предложенное соединение выбрано из: В иллюстративных вариантах реализации предложенное соединение выбрано из: В иллюстративных вариантах реализации предложенное соединение выбрано из: В иллюстративных вариантах реализации предложенное соединение выбрано из: В иллюстративных вариантах реализации предложенное соединение выбрано из: В иллюстративных вариантах реализации предложенное соединение выбрано из: В иллюстративных вариантах реализации предложенное соединение выбрано из: В иллюстративных вариантах реализации предложенное соединение выбрано из: В иллюстративных вариантах реализации предложенное соединение выбрано из: В иллюстративных вариантах реализации предложенное соединение выбрано из: В иллюстративных вариантах реализации предложенное соединение выбрано из: В иллюстративных вариантах реализации предложенное соединение выбрано из: В иллюстративных вариантах реализации предложенное соединение выбрано из: В иллюстративных вариантах реализации предложенное соединение выбрано из: В иллюстративных вариантах реализации предложенное соединение выбрано из: В иллюстративных вариантах реализации предложенное соединение выбрано из: В иллюстративных вариантах реализации предложенное соединение выбрано из: В иллюстративных вариантах реализации предложенное соединение выбрано из: В иллюстративных вариантах реализации предложенное соединение выбрано из: В иллюстративных вариантах реализации предложенное соединение выбрано из: В иллюстративных вариантах реализации предложенное соединение выбрано из: В иллюстративных вариантах реализации предложенное соединение выбрано из: В иллюстративных вариантах реализации предложенное соединение выбрано из: В иллюстративных вариантах реализации предложенное соединение выбрано из: В иллюстративных вариантах реализации предложенное соединение выбрано из: В иллюстративных вариантах реализации предложенное соединение выбрано из: В иллюстративных вариантах реализации предложенное соединение выбрано из: В иллюстративных вариантах реализации предложенное соединение выбрано из: В иллюстративных вариантах реализации предложенное соединение выбрано из: В иллюстративных вариантах реализации предложенное соединение выбрано из: В иллюстративных вариантах реализации предложенное соединение выбрано из: В иллюстративных вариантах реализации предложенное соединение выбрано из: В иллюстративных вариантах реализации предложенное соединение выбрано из: В иллюстративных вариантах реализации предложенное соединение выбрано из: В иллюстративных вариантах реализации предложенное соединение выбрано из: В иллюстративных вариантах реализации предложенное соединение выбрано из: В иллюстративных вариантах реализации предложенное соединение выбрано из: В иллюстративных вариантах реализации предложенное соединение выбрано из: В иллюстративных вариантах реализации предложенное соединение выбрано из: В иллюстративных вариантах реализации предложенное соединение выбрано из: В иллюстративных вариантах реализации предложенное соединение выбрано из: В иллюстративных вариантах реализации предложенное соединение выбрано из: В иллюстративных вариантах реализации предложенное соединение выбрано из: В иллюстративных вариантах реализации предложенное соединение выбрано из: В иллюстративных вариантах реализации предложенное соединение выбрано из: В иллюстративных вариантах реализации предложенное соединение выбрано из: В иллюстративных вариантах реализации предложенное соединение выбрано из: В иллюстративных вариантах реализации предложенное соединение выбрано из: В иллюстративных вариантах реализации предложенное соединение выбрано из: В иллюстративных вариантах реализации предложенное соединение выбрано из: В иллюстративных вариантах реализации предложенное соединение выбрано из: В иллюстративных вариантах реализации предложенное соединение выбрано из: В иллюстративных вариантах реализации предложенное соединение выбрано из: В иллюстративных вариантах реализации предложенное соединение выбрано из: В иллюстративных вариантах реализации предложенное соединение выбрано из: В иллюстративных вариантах реализации предложенное соединение выбрано из: В иллюстративных вариантах реализации предложенное соединение выбрано из: В иллюстративных вариантах реализации предложенное соединение выбрано из: В иллюстративных вариантах реализации предложенное соединение выбрано из: В иллюстративных вариантах реализации предложенное соединение выбрано из: В иллюстративных вариантах реализации предложенное соединение выбрано из: В иллюстративных вариантах реализации предложенное соединение выбрано из: В иллюстративных вариантах реализации предложенное соединение выбрано из: В иллюстративных вариантах реализации предложенное соединение выбрано из: В иллюстративных вариантах реализации предложенное соединение выбрано из: В иллюстративных вариантах реализации предложенное соединение выбрано из: В иллюстративных вариантах реализации предложенное соединение выбрано из: В иллюстративных вариантах реализации предложенное соединение выбрано из: В иллюстративных вариантах реализации предложенное соединение выбрано из: В иллюстративных вариантах реализации предложенное соединение выбрано из: В иллюстративных вариантах реализации предложенное соединение выбрано из: В иллюстративных вариантах реализации предложенное соединение выбрано из: В иллюстративных вариантах реализации предложенное соединение выбрано из: В иллюстративных вариантах реализации предложенное соединение выбрано из: В иллюстративных вариантах реализации предложенное соединение выбрано из: В иллюстративных вариантах реализации предложенное соединение выбрано из: В иллюстративных вариантах реализации предложенное соединение выбрано из: В иллюстративных вариантах реализации предложенное соединение выбрано из: В иллюстративных вариантах реализации предложенное соединение выбрано из: В иллюстративных вариантах реализации предложенное соединение выбрано из: В иллюстративных вариантах реализации предложенное соединение выбрано из: В иллюстративных вариантах реализации предложенное соединение выбрано из: В иллюстративных вариантах реализации предложенное соединение выбрано из: В иллюстративных вариантах реализации предложенное соединение выбрано из: В иллюстративных вариантах реализации предложенное соединение выбрано из: В иллюстративных вариантах реализации предложенное соединение выбрано из: В иллюстративных вариантах реализации предложенное соединение выбрано из: В иллюстративных вариантах реализации предложенное соединение выбрано из: В иллюстративных вариантах реализации предложенное соединение выбрано из: В иллюстративных вариантах реализации предложенное соединение выбрано из: В иллюстративных вариантах реализации предложенное соединение выбрано из: В иллюстративных вариантах реализации предложенное соединение выбрано из: В иллюстративных вариантах реализации предложенное соединение выбрано из: В иллюстративных вариантах реализации предложенное соединение выбрано из: В иллюстративных вариантах реализации предложенное соединение выбрано из: В иллюстративных вариантах реализации предложенное соединение выбрано из: В иллюстративных вариантах реализации предложенное соединение выбрано из: В иллюстративных вариантах реализации предложенное соединение выбрано из: В иллюстративных вариантах реализации предложенное соединение выбрано из: В иллюстративных вариантах реализации предложенное соединение выбрано из: В иллюстративных вариантах реализации предложенное соединение выбрано из: В иллюстративных вариантах реализации предложенное соединение выбрано из: В иллюстративных вариантах реализации предложенное соединение выбрано из: В иллюстративных вариантах реализации предложенное соединение выбрано из: В иллюстративных вариантах реализации предложенное соединение выбрано из: В иллюстративных вариантах реализации предложенное соединение выбрано из: В иллюстративных вариантах реализации предложенное соединение выбрано из: В иллюстративных вариантах реализации предложенное соединение выбрано из: В иллюстративных вариантах реализации предложенное соединение выбрано из: В иллюстративных вариантах реализации предложенное соединение выбрано из: В иллюстративных вариантах реализации предложенное соединение выбрано из: В иллюстративных вариантах реализации предложенное соединение выбрано из: В иллюстративных вариантах реализации предложенное соединение выбрано из: В иллюстративных вариантах реализации предложенное соединение выбрано из: В иллюстративных вариантах реализации предложенное соединение выбрано из: В иллюстративных вариантах реализации предложенное соединение выбрано из: В иллюстративных вариантах реализации предложенное соединение выбрано из: В иллюстративных вариантах реализации предложенное соединение выбрано из: В иллюстративных вариантах реализации предложенное соединение выбрано из: В иллюстративных вариантах реализации предложенное соединение выбрано из: В иллюстративных вариантах реализации предложенное соединение выбрано из: В иллюстративных вариантах реализации предложенное соединение выбрано из: В иллюстративных вариантах реализации предложенное соединение выбрано из: В иллюстративных вариантах реализации предложенное соединение выбрано из: В иллюстративных вариантах реализации предложенное соединение выбрано из: В иллюстративных вариантах реализации предложенное соединение выбрано из: В иллюстративных вариантах реализации предложенное соединение выбрано из: В иллюстративных вариантах реализации предложенное соединение выбрано из: В иллюстративных вариантах реализации предложенное соединение выбрано из: В иллюстративных вариантах реализации предложенное соединение выбрано из: В иллюстративных вариантах реализации предложенное соединение выбрано из: В иллюстративных вариантах реализации предложенное соединение выбрано из: В иллюстративных вариантах реализации предложенное соединение выбрано из: В иллюстративных вариантах реализации предложенное соединение выбрано из: В иллюстративных вариантах реализации предложенное соединение выбрано из: В иллюстративных вариантах реализации предложенное соединение выбрано из: В иллюстративных вариантах реализации предложенное соединение выбрано из: В иллюстративных вариантах реализации предложенное соединение выбрано из: В иллюстративных вариантах реализации предложенное соединение выбрано из: В иллюстративных вариантах реализации предложенное соединение выбрано из: В иллюстративных вариантах реализации предложенное соединение выбрано из: В иллюстративных вариантах реализации предложенное соединение выбрано из: В иллюстративных вариантах реализации предложенное соединение выбрано из: В иллюстративных вариантах реализации предложенное соединение выбрано из: В иллюстративных вариантах реализации предложенное соединение выбрано из: В иллюстративных вариантах реализации предложенное соединение выбрано из: В иллюстративных вариантах реализации предложенное соединение выбрано из: В иллюстративных вариантах реализации предложенное соединение выбрано из: В иллюстративных вариантах реализации предложенное соединение выбрано из: В иллюстративных вариантах реализации предложенное соединение выбрано из: В иллюстративных вариантах реализации предложенное соединение выбрано из: В иллюстративных вариантах реализации предложенное соединение выбрано из: В иллюстративных вариантах реализации предложенное соединение выбрано из: В иллюстративных вариантах реализации предложенное соединение выбрано из: В иллюстративных вариантах реализации предложенное соединение выбрано из: В иллюстративных вариантах реализации предложенное соединение выбрано из: В иллюстративных вариантах реализации предложенное соединение выбрано из: В иллюстративных вариантах реализации предложенное соединение выбрано из: В иллюстративных вариантах реализации предложенное соединение выбрано из: В иллюстративных вариантах реализации предложенное соединение выбрано из: В иллюстративных вариантах реализации предложенное соединение выбрано из: В иллюстративных вариантах реализации предложенное соединение выбрано из: В иллюстративных вариантах реализации предложенное соединение выбрано из: В иллюстративных вариантах реализации предложенное соединение выбрано из: В иллюстративных вариантах реализации предложенное соединение выбрано из: В иллюстративных вариантах реализации предложенное соединение выбрано из: В иллюстративных вариантах реализации предложенное соединение выбрано из: В иллюстративных вариантах реализации предложенное соединение выбрано из: В иллюстративных вариантах реализации предложенное соединение выбрано из: В иллюстративных вариантах реализации предложенное соединение выбрано из: В иллюстративных вариантах реализации предложенное соединение выбрано из: В иллюстративных вариантах реализации предложенное соединение выбрано из: В иллюстративных вариантах реализации предложенное соединение выбрано из: В иллюстративных вариантах реализации предложенное соединение выбрано из: В иллюстративных вариантах реализации предложенное соединение выбрано из: В иллюстративных вариантах реализации предложенное соединение выбрано из: В иллюстративных вариантах реализации предложенное соединение выбрано из: В иллюстративных вариантах реализации предложенное соединение выбрано из: В иллюстративных вариантах реализации предложенное соединение выбрано из: В иллюстративных вариантах реализации предложенное соединение выбрано из: В иллюстративных вариантах реализации предложенное соединение выбрано из: В иллюстративных вариантах реализации предложенное соединение выбрано из: В иллюстративных вариантах реализации предложенное соединение выбрано из: В иллюстративных вариантах реализации предложенное соединение выбрано из: В иллюстративных вариантах реализации предложенное соединение выбрано из: В иллюстративных вариантах реализации предложенное соединение выбрано из: В иллюстративных вариантах реализации предложенное соединение выбрано из: В иллюстративных вариантах реализации предложенное соединение выбрано из: В иллюстративных вариантах реализации предложенное соединение выбрано из: В иллюстративных вариантах реализации предложенное соединение выбрано из: В иллюстративных вариантах реализации предложенное соединение выбрано из: В иллюстративных вариантах реализации предложенное соединение выбрано из: В иллюстративных вариантах реализации предложенное соединение выбрано из: В иллюстративных вариантах реализации предложенное соединение выбрано из: В иллюстративных вариантах реализации предложенное соединение выбрано из: В иллюстративных вариантах реализации предложенное соединение выбрано из: В иллюстративных вариантах реализации предложенное соединение выбрано из: В иллюстративных вариантах реализации предложенное соединение выбрано из: В иллюстративных вариантах реализации предложенное соединение выбрано из: В иллюстративных вариантах реализации предложенное соединение выбрано из: В иллюстративных вариантах реализации предложенное соединение выбрано из: В иллюстративных вариантах реализации предложенное соединение выбрано из: В иллюстративных вариантах реализации предложенное соединение выбрано из: В иллюстративных вариантах реализации предложенное соединение выбрано из: В иллюстративных вариантах реализации,,,,, предложенное соединение выбрано из: В иллюстративных вариантах реализации предложенное соединение выбрано из: В иллюстративных вариантах реализации предложенное соединение выбрано из: В иллюстративных вариантах реализации предложенное соединение выбрано из: В иллюстративных вариантах реализации предложенное соединение выбрано из: В иллюстративных вариантах реализации предложенное соединение выбрано из: В иллюстративных вариантах реализации предложенное соединение выбрано из: В иллюстративных вариантах реализации предложенное соединение выбрано из: В иллюстративных вариантах реализации предложенное соединение выбрано из: В иллюстративных вариантах реализации предложенное соединение выбрано из: В иллюстративных вариантах реализации предложенное соединение выбрано из: В иллюстративных вариантах реализации предложенное соединение выбрано из: В иллюстративных вариантах реализации предложенное соединение выбрано из: В иллюстративных вариантах реализации предложенное соединение выбрано из: В иллюстративных вариантах реализации предложенное соединение выбрано из: В иллюстративных вариантах реализации предложенное соединение выбрано из: В иллюстративных вариантах реализации предложенное соединение выбрано из: В иллюстративных вариантах реализации предложенное соединение выбрано из: В иллюстративных вариантах реализации предложенное соединение выбрано из: В иллюстративных вариантах реализации предложенное соединение выбрано из: В иллюстративных вариантах реализации предложенное соединение выбрано из: В иллюстративных вариантах реализации предложенное соединение выбрано из: В иллюстративных вариантах реализации предложенное соединение выбрано из: В иллюстративных вариантах реализации предложенное соединение выбрано из: В иллюстративных вариантах реализации предложенное соединение выбрано из: В иллюстративных вариантах реализации предложенное соединение выбрано из: В иллюстративных вариантах реализации предложенное соединение выбрано из: В иллюстративных вариантах реализации предложенное соединение выбрано из: В иллюстративных вариантах реализации предложенное соединение выбрано из: В иллюстративных вариантах реализации предложенное соединение выбрано из: В иллюстративных вариантах реализации предложенное соединение выбрано из: В иллюстративных вариантах реализации предложенное соединение выбрано из: В иллюстративных вариантах реализации предложенное соединение выбрано из: В иллюстративных вариантах реализации предложенное соединение выбрано из: В иллюстративных вариантах реализации предложенное соединение выбрано из: В иллюстративных вариантах реализации предложенное соединение выбрано из: В иллюстративных вариантах реализации предложенное соединение выбрано из: В иллюстративных вариантах реализации предложенное соединение выбрано из: В иллюстративных вариантах реализации предложенное соединение выбрано из: В иллюстративных вариантах реализации предложенное соединение выбрано из: В иллюстративных вариантах реализации предложенное соединение выбрано из: В иллюстративных вариантах реализации предложенное соединение выбрано из: В иллюстративных вариантах реализации предложенное соединение выбрано из: Инфекционные заболевания Соединения, предложенные в данном документе, можно применять для лечения вирусных инфекционных заболеваний. Примеры вирусных инфекций включают, но не ограничиваются ими, инфекции, вызванные РНК-вирусами (включая РНК-вирусы с негативной цепью, РНК-вирусы с позитивной цепью, двухцепочечные РНК-вирусы и ретровирусы) или ДНК-вирусы. В данном документе предусмотрены все штаммы, типы и подтипы РНК-вирусов и ДНК-вирусов. Примеры РНК-вирусов включают, но не ограничиваются ими, пикорнавирусы, которые включают афтовирусы (например, вирусы заболеваний, поражающий стопы и полость рта, О, А, С, Asia 1, SAT1, SAT2 и SAT3), кардиовирусы (например, вирус энцефаломиокардита и вирус мышиного энцефаломиелита Тейлора), энтеровирусы (например, полиовирусы 1, 2 и 3, энтеровирусы человека A-D, энтеровирусы крупного рогатого скота 1 и 2, коксакивирусы человека А1-А22 и А24, коксакивирусы человека В1-В5, эхо вирусы человека 1-7, 9, 11-12, 24, 27, 29-33, энтеровирусы человека 68-71, энтеровирусы свиней 8-10 и энтеровирусы обезьян 1-18), эрбовирусы (например, вирус конского ринита), гепатовирус (например, вирус человеческого гепатита А и вирус обезьяньего гепатита А), кобувирусы (например, кобувирус крупного рогатого скота и вирус Айти), парэховирусы (например, парэховирус человека 1 и парэховирус человека 2), риновирус (например, риновирус А, риновирус В, риновирус С, HRV16, HRV16 (VR-11757), HRV14 (VR-284) или HRV1A (VR-1559), риновирус человека 1-100 и риновирус крупного рогатого скота 1-3) и тесховирусы (например, тесховирус свиней). Дополнительные примеры РНК-вирусов включают калицивирусы, которые включают норовирусы (например, вирус Норуолк), саповирусы (например, вирус Саппоро), лаговирусы (например, вирус геморрагической болезни кроликов и европейский синдром зайцев-русаков) и везивирусы (например, везикулярная экзантема свиного вируса и кошачий калицивирус). Другие РНК-вирусы включают астровирусы, которые включают мамастровирусы и авастровирусы. Тогавирусы также являются РНК-вирусами. Тогавирусы включают альфа-вирусы (например, вирус Чикунгунья, вирус Синдбис, вирус леса Семлики, вирус западного энцефалита лошадей, восточный вирус Гета, вирус Эверглейд, вирус Венесуэльского конского энцефалита, вирус Росс-ривер, вирус леса Барма и аура-вирус) и вирус кори. Другие примеры РНК-вирусов представляют собой коронавирусы, которые включают человеческие респираторные коронавирусы, такие как SARS-CoV, HCoV-229E, HCoV-NL63 и HCoV-OC43. Коронавирусы также включают SARS-подобный CoV летучих мышей, коронавирус ближневосточного респираторного синдрома (MERS), индюшиный коронавирус, куриный коронавирус, кошачий коронавирус и собачий коронавирус.Дополнительные РНК-вирусы включают артеривирусы (например, конский артеривирус, вирус репродуктивного и респираторного синдрома свиней, вирус, повышающий лактатдегидрогеназу у мышей, и вирус геморрагической лихорадки обезьян). Другие РНК-вирусы включают рабдовирусы, которые включают лиссавирусы (например, бешенство, вирус лагосских летучих мышей, вирус Мокола, вирус Дювенхаге и европейский лиссавирус летучих мышей), везикуловирусы (например, VSV-Индиана, VSV-Нью-Джерси, VSV-Алагоас, вирус Пири, вирус Кокал, вирус Мараба, вирус Исфахан и вирус Чандипура) и эфемеровирусы (например, вирус эфемерной лихорадки крупного рогатого скота, вирус реки Аделаида и вирус Берримах). Дополнительные примеры РНК-вирусов включают филовирусы. Они включают марбургский вирус и вирус Эбола (например, EBOV-Z, EBOV-S, EBOV-IC и EBOV-R). Парамиксовирусы также являются РНК-вирусами. Примерами указанных вирусов являются рубулавирусы (например, паротит, вирус парагриппа 5, вирус человеческого парагриппа 2 типа, вирус Мапуэра и свиной рубулавирус), авулавирусы (например, вирус ньюкаслской болезни), респовирусы (например, вирус Сендай, вирус человеческого парагриппа 1 типа и 3 типа, вирус парагриппа крупного рогатого скота 3 типа), генипавирусы (например, вирус Хендра и вирус Нипах), морбилловирусы (например, корь, морбилловирус китов, вирус собачьей чумы, вирус чумы мелких жвачных животных, вирус чумы тюленей и вирус чумы крупного рогатого скота), пневмовирусы (например, синцитиальный респираторный вирус человека (RSV) А2, В1 и S2, синцитиальный респираторный вирус крупного рогатого скота и вирус пневмонии мышей), метапневмовирусы (например, метапневмовирус человека и птичий метапневмовирус). Дополнительные парамиксовирусы включают вирус фер-де-ланс, парамиксовирус тупайи, вирус Менангле, вирус Тиомана, вирус Бейлонга, J-вирус, вирус Моссмэна, вирус Салема и вирус Нарива. Дополнительные РНК-вирусы включают ортомиксовирусы. Указанные вирусы включают вирусы и штаммы гриппа (например, вирусы гриппа А, грипп А штамма A/Victoria/3/75, гриппа А штамма A/Puerto Rico/8/34, гриппа A H1N1 (включая, но не ограничиваясь ими, штаммы A/WS/33, A/NWS/33 и A/California/04/2009), вирусы гриппа В, гриппа В штамма Lee и гриппа С) H2N2, H3N2, H5N1, H7N7, H1N2, H9N2, H7N2, H7N3 и H10N7), а также птичьего гриппа (например, штаммы H5N1, H5N1 Duck/MN/1525/81, H5N2, H7N1, H7N7 и H9N2), тоготовирусы и исавирусы. Ортобуниавирусы (например, вирус Акабане, калифорнийский энцефалит, вирус долины Кэш, вирус американских зайцев-беляков), наировирусы (например, вирус найробианских овец, группа вирусов конго-крымской геморрагической лихорадки и вирус Хьюза), флебовирусы (например, Кандиру, Пунта-Торо, лихорадка долины Рифт, москитная лихорадка, неаполитанская лихорадка, тосканская лихорадка, сицилийская лихорадка и злокачественная малярия) и хантавирусы (например, лихорадка Хантаана, Добрава, Сеула, Пуумала, Син Номбре, Бэйю, лихорадка канала Черного залива (Black Creek Canal), Андес и Тоттапалайям) также являются РНК-вирусами. Аренавирусы, такие как вирус лимфоцитарного хориоменингита, вирус Лухо, вирус лихорадки Ласса, вирус аргентинской геморрагической лихорадки, вирус боливийской геморрагической лихорадки, вирус венесуэльской геморрагической лихорадки, SABV и VWVAV также являются РНК-вирусами. Вирус болезни Борна также является РНК-вирусом. Вирус гепатита D (дельта) и гепатита Е также являются РНК-вирусами. Дополнительные РНК-вирусы включают реовирусы, ротавирусы, бирнавирусы, хризовирусы, цистовирусы, гиповирусы, партитивирусы и тоготовирусы. Орбивирусы, такие как вирус африканской болезни лошадей, вирус болезни синего языка, вирус Чангинола, вирус Ченуда, вирус Хобар-Горг, вирус Коррипарта, вирус эпизоотической геморрагической болезни, конский вирус энцефалоза, вирус Эубенанги, вирус Иери, вирус Грейт-Айленд, вирус Лебомбо, вирус Орунго, вирус Пальям, вирус перуанской чумы лошадей, вирус реки Санта-Крус, вирус Уматилла, вирус Вад-Медани, вирус Валлал, вирус Варрего и вирус Вонгорр, также являются РНК-вирусами. Ретровирусы включают альфа-ретровирусы (например, вирус саркомы Рауса и вирус птичьего лейкоза), бета-ретровирусы (например, вирус мышиной опухоли молочной железы, обезьяний вирус Майзона-Пфайзера и овечий ретровирус Jaagsiekte), гамма-ретро вирусы (например, вирус мышиного лейкоза и вирус кошачьего лейкоза), дельта-ретровирусы (например, вирусы Т-клеточного лейкоза человека (HTLV-1, HTLV-2), вирус лейкоза крупного рогатого скота, STLV-1 и STLV-2), ипсилон-ретровирусы (например, вирус саркомы кожи Walleye и вирус 1 эпидермальной гиперплазии Walleye), вирус ретикулоэндотелиоза (например, куриный синцитиальный вирус), лентивирусы (например, вирус иммунодефицита человека (ВИЧ) типа 1, вирус иммунодефицита человека (ВИЧ) тип 2, вирус иммунодефицита человека (ВИЧ) типа 3, вирус иммунодефицита обезьян, вирус инфекционной анемии лошадей, вирус кошачьего иммунодефицита, вирус артрита-энцефалита коз и овец и вирус висна-маэди) и спумавирусы (например, спумавирус человека и синцитий-образующий вирус кошек). Примеры ДНК-вирусов включают полиомавирусы (например, обезьяний вирус 40, обезьяний агент 12, вирус ВК, вирус JC, полиомавирус клеток Меркеля, полиомавирус крупного рогатого скота и лимфотрофный паповавирус), папилломавирусы (например, папилломавирус человека, папилломавирус крупного рогатого скота), аденовирусы (например, аденовирусы A-F, собачий аденовирус типа I, собачий аденовирус типа 2), цирковирусы (например, свиной цирковирус и вирус болезни клюва и перьев птиц (BFDV)), парвовирусы (например, собачий парвовирус), эритровирусы (например, адено-ассоциированные вирусы типов 1-8), бета-парвовирусы, амдовирусы, денсовирусы, итеравирусы, бревиденсовирусы, пефуденсовирусы, вирусы герпеса 1, 2, 3, 4, 5, 6, 7 и 8 (например, вирус простого герпеса 1, вирус простого герпеса 2, вирус ветряной оспы, Вирус Эпштейна-Барра, цитомегаловирус, вирус герпеса, ассоциированный с саркомой Капоши, вирус человеческого герпеса 6 вариант А, вирус человеческого герпеса 6 вариант В и церкофитецин-герпевирус 1 (вирус В)), поксвирусы (например, натуральная оспа (вариола), коровья оспа, обезьянья оспа, вакциния, Uasin Gishu, верблюжья оспа, псевдопоксивирус коров, поксивирус голубей, поксивирус лошадей, поксивирус домашних птиц, индюшиный поксивирус и свиной поксивирус) и гепаднавирусы (например, вирус гепатита В и гепатит-В-подобные вирусы). В настоящем документе также предусмотрены химерные вирусы, содержащие частицы более чем одного вирусного генома. В некоторых вариантах реализации настоящее изобретение относится к способам лечения или предупреждения вирусной инфекции, включающим введение эффективного количества соединения или фармацевтической композиции, описанных в настоящем документе, субъекту, нуждающемуся в этом. В некоторых вариантах реализации предложен способ лечения или предупреждения инфекции вируса Зика, включающий введение эффективного количества соединения или фармацевтической композиции, описанных в настоящем документе, субъекту, нуждающемуся в этом. В некоторых вариантах реализации вирусная инфекция представляет собой или вызвана альфа-вирусом, флавивирусом или коронавирусами, ортомиксовирусами или парамиксовирусами, или ESV, вирусом гриппа, вирусом Повассан или филовирусами, или Эбола. В некоторых вариантах реализации вирусная инфекция представляет собой или вызвана вирусом, выбранным из коронавируса MERS, вируса восточного энцефалита лошадей, вируса западного энцефалита лошадей, вируса Венесуэльского конского энцефалита, вируса Росс-ривер, вируса леса Барма, вируса Повассан, вируса Зика и вируса Чикунгунья. В некоторых иллюстративных вариантах реализации вирусная инфекция представляет собой или вызвана вирусом Зика. В некоторых вариантах реализации предложенное соединение вводят посредством ингаляции через легкие. В некоторых вариантах реализации у субъекта присутствует риск возникновения симптомов, или у субъекта диагностирован вирус гриппа А, включая подтипы H1N1, H3N2, H7N9 или H5N1, вирус гриппа В, вирус гриппа С, ротавирус А, ротавирус В, ротавирус С, ротавирус D, ротавирус Е, человеческий коронавирус, коронавирус SARS, коронавирус MERS, различные типы аденовируса человека (HAdV-1 - 55), папиллома в и рус человека (HPV) типов 16, 18, 31, 33, 35, 39, 45, 51, 52, 56, 58 и 59, парвовирус В19, вирус контагиозного моллюска, вирус JC (JCV), вирус ВК, полиомавирус клеток Меркеля, вирус Коксаки А, норовирус, вирус краснухи, вирус лимфоцитарного хориоменингита (LCMV), вирус Денге, вирус Зика, Чикунгунья, вирус восточного лошадиного энцефалита (EEEV), вирус западного лошадиного энцефалита (WEEV), вирус венесуэльского лошадиного энцефалита (VEEV), вирус Росс-ривер, вирус леса Барма, вирус желтой лихорадки, вирус кори, вирус паротита, респираторно-синцитиальный вирус, вирус чумы, вирус калифорнийского энцефалита, хантавирус, вирус бешенства, вирус Эбола, марбургский вирус, вирус простого герпеса-1 (HSV-1), вирус простого герпеса-2 (HSV-2), вирус ветряной оспы (VZV), вирус Эпштейна-Барра (EBV), цитомегаловирус (CMV), лимфотропный вирус герпеса, розеоловирус или герпевирус, ассоциированный с саркомой Капоши, гепатит А, гепатит В, гепатит С, гепатит D, гепатит Е или вирус иммунодефицита человека (ВИЧ), человеческий Т-лимфотропный вирус типа I (HTLV-1), вирус некроза селезенки Фрейда (SFFV) или ксенотропный MuLV-подобный вирус (XMRV). В некоторых вариантах реализации субъект имеет риск или демонстрирует симптомы, или у субъекта диагностирована инфекция вируса Зика. В некоторых вариантах реализации у субъекта диагностирован вирус гриппа А, включая подтипы H1N1, H3N2, H7N9, H5N1 (низкопатогенный) и H5N1 (высокопатогенный), вирус гриппа В, вирус гриппа С, ротавирус А, ротавирус В, ротавирус С, ротавирус D, ротавирус Е, коронавирус SARS, MERS-CoV, различные типы аденовируса человека (HAdV-1 -55), папиллома вирус человека (HPV) типов 16, 18, 31, 33, 35, 39, 45, 51, 52, 56, 58 и 59, парвовирус В19, вирус контагиозного моллюска, вирус JC (JCV), вирус ВК, полиомавирус клеток Меркеля, вирус Коксаки А, норовирус, вирус краснухи, вирус лимфоцитарного хориоменингита (LCMV), вирус желтой лихорадки, вирус кори, вирус паротита, респираторно-синцитиальный вирус, вирусы парагриппа 1 и 3, вирус чумы, Чикунгунья, вирус восточного лошадиного энцефалита (EEEV), вирус венесуэльского лошадиного энцефалита (VEEV), вирус западного лошадиного энцефалита (WEEV), вирус калифорнийского энцефалита, вирус японского энцефалита, вирус лихорадки долины Рифт (RVFV), хантавирус, вирус Денге серотипов 1, 2, 3 и 4, вирус Зика, вирус Западного Нила, вирус Такарибе, Джунин, вирус бешенства, вирус Эбола, марбургский вирус, аденовирус, вирус простого герпеса-1 (HSV-1), вирус простого герпеса-2 (HSV-2), вирус ветряной оспы (VZV), вирус Эпштейна-Барра (EBV), цитомегаловирус (CMV), лимфотропный вирус герпеса, розеоловирус или герпевирус, ассоциированный с саркомой Капоши, гепатит А, гепатит В, гепатит С, гепатит D, гепатит Е или вирус иммунодефицита человека (ВИЧ). В некоторых вариантах реализации у субъекта диагностирована инфекция вируса Зика. В некоторых вариантах реализации у субъекта диагностирован гастроэнтерит, острое респираторное заболевание, тяжелый острый респираторный синдром, синдром усталости после перенесенной вирусной болезни, вирусная геморрагическая лихорадка, синдром приобретенного иммунодефицита или гепатит. В некоторых вариантах реализации настоящее изобретение относится к лечению или предупреждению инфекции, вызванной вирусами, бактериями, грибками, простейшими и паразитами. В некоторых вариантах реализации настоящее изобретение относится к способам лечения вирусной инфекции, включающим введение соединения, описанного в настоящем документе, субъекту, у которого диагностированы, предположительно присутствуют или который проявляет симптомы вирусной инфекции. Вирусы представляют собой инфекционные агенты, которые обычно реплицируются внутри живых клеток организма. Вирусные частицы (вирионы) обычно состоят из нуклеиновых кислот, белковой оболочки и в некоторых случаях оболочки из липидов, которая окружает белковую оболочку. Форма вирусов варьируется от простых спиральных и икосаэдрических форм до более сложных структур. Кодируемые вирусом белковые субъединицы самопроизвольно объединяются с образованием капсиды, и для этого обычно необходимо присутствие вирусного генома. Сложные вирусы могут кодировать белки, которые способствуют строительству их капсиды. Белки, ассоциированные с нуклеиновыми кислотами, известны как нуклеопротеины, и соединение белков вирусной капсиды с вирусной нуклеиновой кислотой называют нуклеокапсидой. Вирусы переносятся различными способами, включая прямой контакт или контакт с физиологической жидкостью, например, кровью, слезами, спермой, предсеменной жидкостью, слюной, молоком, влагалищными выделениями, ранами; капельный контакт, фекально-оральный контакт или в результате укуса животного, или при рождении. Вирус содержит ДНК или РНК гены, и называется ДНК-вирус или РНК-вирус, соответственно. Вирусный геном является одноцепочечным или двухцепочечным. Некоторые вирусы содержат геном, который является частично двухцепочечным и частично одноцепочечным. Для вирусов с РНК или одноцепочечной ДНК указанные цепи называют либо положительно-смысловыми (называемыми плюс-цепью), либо отрицательно-смысловыми (называемыми минус-цепью), в зависимости от того, являются ли они комплементарными вирусной матричной РНК (мРНК). Положительно-смысловая вирусная РНК идентична вирусной мРНК и, следовательно, может сразу транслироваться клеткой хозяина. Отрицательно-смысловая вирусная РНК комплементарна мРНК и, следовательно, может быть превращена в положительно-смысловую РНК под действием РНК-полимеразы перед трансляцией. Номенклатура ДНК аналогична номенклатуре РНК в том отношении, что кодирующая спираль для вирусной мРНК комплементарна ей (отрицательная), а некодирующая спираль является ее копией (положительная). Антигенный сдвиг или реассортация может приводить к образованию новых штаммов. Вирусы подвергаются генетическим изменениям по нескольким механизмам. Они включают процесс, называемым генетическим дрейфом, когда отдельные основания в ДНК или РНК мутируют в другие основания. Антигенный сдвиг происходит тогда, когда существует существенное изменение в геноме вируса. Это может быть результатом рекомбинации или реассортации. РНК-вирусы часто существуют в форме квазивидов или скоплений вирусов одного вида, но с немного различными нуклеозидными последовательностями генома. Генетический материал в вирусах, а также способ, посредством которого указанный материал реплицируется, варьируются между различными типами вирусов. Репликация генома большинства ДНК-вирусов происходит в ядре клетки. Если клетка имеет соответствующий рецептор на своей поверхности, то указанные вирусы проникают в клетку в результате слияния с клеточной мембраной или эндоцитоза. Большинство ДНК-вирусов полностью зависят от механизма синтеза ДНК и РНК хозяина, а также от механизма процессинга РНК. Репликация обычно происходит в цитоплазме. РНК-вирусы обычно используют собственные ферменты РНК-репликазы для создания копий своих геномов. Классификация вирусов по Балтимору основана на механизме выработки мРНК. Вирусы должны вырабатывать мРНК из своих геномов для создания белков и репликации самих себя, но для достижения этого используются различные механизмы. Вирусные геномы могут быть одноцепочечными (оц) или двухцепочечными (дц), РНК или ДНК, и могут использовать или не использовать обратную транскриптазу (ОТ). Кроме того, оцРНК-вирусы могут быть смысловыми (плюс) или антисмысловыми (минус). Такая классификация разделяет вирусы на семь групп: I, дцДНК-вирусы (например, аденовирусы, герпевирусы, поксвирусы); II, дцДНК-вирусы с (плюс)-смысловой ДНК (например, парвовирусы); III, дцРНК-вирусы (например, реовирусы); IV, (плюс)-оцРНК-вирусы с (плюс)-смысловой РНК (например, пикорнавирусы, тогавирусы); V, (минус)-оцРНК-вирусы с (минус)-смысловой РНК (например, ортомиксовирусы, рабдовирусы); VI, оцРНК-ОТ-вирусы с (плюс)-смысловой РНК с промежуточной ДНК в жизненном цикле (например, ретровирусы); и VII, дцДНК-ОТ-вирусы (например, гепаднавирусы). Вирус иммунодефицита человека (ВИЧ) представляет собой лентивирус (член ретро вирусного семейства), который вызывает синдром приобретенного иммунодефицита (СПИД). Лентивирусы передаются в форме одноцепочечных, положительно-смысловых, оболочечных РНК-вирусов. При проникновении в клетку-мишень геном вирусной РНК превращается в двухцепочечную ДНК под действием обратной транскриптазы, кодируемой вирусом. Затем эта вирусная ДНК внедряется в клеточную ДНК под действием кодируемой вирусом интегразы, вместе с клеточными кофакторами хозяина. Существует два вида ВИЧ. ВИЧ-1 иногда называют LAV или HTLV-III. ВИЧ инфицирует, главным образом, живые клетки в иммунной системе человека, такие как хелперные Т-клетки (Т-клетки CD4+), макрофаги и дендритные клетки. ВИЧ-инфекция приводит к низкому содержанию Т-клеток CD4+. Когда количество Т-клеток CD4+становится меньше критического значения, происходит потеря клеточного иммунитета, и организм постепенно становится более восприимчивым к другим вирусным или бактериальным инфекциям. У субъектов с ВИЧ обычно развиваются злокачественные заболевания, связанные с прогрессирующей недостаточностью иммунной системы. Вирусная оболочка состоит из двух слоев фосфолипидов, взятых из мембраны клетки человека во время отпочковывания новой вирусной частицы от клетки. Внутри вирусной оболочки находятся белки из клетки хозяина и белок ВИЧ, известный как Env. Env содержит гликопротеины gp120 и gp41. Геном РНК состоит из структурных меток (LTR, TAR, RRE, РЕ, SLIP, CRS и INS) и девяти генов (gag, pol и env, tat, rev, nef, vif, vpr, vpu, и иногда десятого гена tev, который является слиянием tat, env и rev), кодирующих 19 белков. Три из указанных генов, gag, pol и env, содержат информацию, необходимую для создания структурных белков для новых вирусных частиц. Диагностику ВИЧ-1 обычно осуществляют с помощью антител в анализах твердофазного иммуноферментного анализа, вестерн-блоттинга или иммунной аффинности, или посредством испытания нуклеиновых кислот (например, амплификации вирусной РНК или ДНК). ВИЧ обычно лечат комбинацией противовирусного агента, например, двух нуклеозидных ингибиторов обратной транскрипции, и одного ненуклеозидного ингибитора обратной транскрипции или ингибитора протеазы. Такая комбинация трех препаратов известна как тройной коктейль. В некоторых вариантах реализации настоящее изобретение относится к лечению субъекта, у которого диагностирован ВИЧ, посредством введения фармацевтической композиции, описанной в настоящем документе, в комбинации с двумя нуклеозидными ингибиторами обратной транскрипции и одним ненуклеозидным ингибитором обратной транскрипции или ингибитором протеазы. В некоторых вариантах реализации настоящее изобретение относится к лечению субъекта посредством введения соединения, описанного в данном документе, эмтрицитабина, тенофовира и эфавиренца. В некоторых вариантах реализации настоящее изобретение относится к лечению субъекта посредством введения соединения, описанного в данном документе, эмтрицитабина, тенофовира и ралтегравира. В некоторых вариантах реализации настоящее изобретение относится к лечению субъекта посредством введения соединения, описанного в данном документе, эмтрицитабина, тенофовира, ритонавира и дарунавира. В некоторых вариантах реализации настоящее изобретение относится к лечению субъекта посредством введения соединения, описанного в данном документе, эмтрицитабина, тенофовира, ритонавира и атазанавира. Банановый лектин (BanLec или BanLec-1) является одним из преобладающих белков в пульпе спелых бананов и обладает специфичностью связывания маннозы и манноза-содержащих олигосахаридов. BanLec связывается с белком оболочки ВИЧ-1 др120. В некоторых вариантах реализации настоящее изобретение относится к лечению вирусных инфекций, таких как ВИЧ, посредством введения соединения, описанного в данном документе, в комбинации с банановым лектином. В некоторых случаях терапевтические агенты могут подавлять вирус в течение продолжительного периода времени. Типичные лекарственные препараты представляют собой комбинацию интерферона-альфа и рибавирина. Субъекты могут принимать инъекции пегилированного интерферона-альфа. Генотипы 1 и 4 менее восприимчивы и лечению на основе интерферонов, чем другие генотипы (2, 3, 5 и 6). В некоторых вариантах реализации настоящее изобретение относится к лечению субъекта с HCV посредством введения соединения, описанного в данном документе, субъекту, демонстрирующему симптомы или имеющему диагноз HCV. В некоторых вариантах реализации предложенное соединение вводят в комбинации с интерфероном-альфа и другим противовирусным агентом, таким как рибавирин, и/или с ингибитором протеазы, таким как телапревир или боцепревир. В некоторых вариантах реализации у субъекта диагностирован генотип 2, 3, 5 или 6. В других вариантах реализации у субъекта диагностирован генотип 1 или 4. В некоторых вариантах реализации вирус у субъекта диагностирован посредством обнаружения нуклеиновой кислоты или обнаружения вирусного антигена. Цитомегаловирус (CMV) относится к подсемейству Betaherpesvirinae семейства Herpesviridae. У людей он обычно известен как HCMV или человеческий герпевирус 5 (HHV-5). Герпевирусы обычно имеют общую характерную способность сохраняться в латентном состоянии в организме в течение длительного времени. Инфекция HCMV может угрожать жизни пациентов с нарушенным иммунитетом. В некоторых вариантах реализации настоящее изобретение относится к способам лечения субъекта, у которого диагностирован цитомегаловирус, или предупреждения инфекции цитомегаловируса посредством введения соединения, описанного в данном документе. В некоторых вариантах реализации у субъекта нарушен иммунитет. В типичных вариантах реализации субъектом является реципиент с пересаженным органом, проходящий процедуру гемодиализа, с диагностированным раком, принимающий иммунодепрессанты и/или с диагностированной ВИЧ-инфекцией. В некоторых вариантах реализации у субъекта может быть диагностирован цитомегаловирусный гепатит, причина мгновенной печеночной недостаточности, цитомегаловирусный ретинит (воспаление сетчатки, может быть обнаружено офтальмоскопией), цитомегаловирусный колит (воспаление толстого кишечника), цитомегаловирусный пневмонит, цитомегаловирусный эзофагит, цитомегаловирусный мононуклеоз, полирадикулопатия, поперечный миелит и подострый энцефалит.В некоторых вариантах реализации соединение, описанное в настоящем документе, вводят в комбинации с противовирусным агентом, таким как валганцикловир или ганцикловир. В некоторых вариантах реализации субъект проходит регулярный серологический контроль. Инфекции HCMV у беременных субъектов могут приводить к врожденным аномалиям. Врожденная инфекция HCMV может возникать, если мать страдает от первичной инфекции (или ее реактивации) во время беременности. В некоторых вариантах реализации настоящее изобретение относится к способам лечения беременного субъекта, у которого диагностирован цитомегаловирус, или предупреждения цитомегаловирусной инфекции у субъекта, который может забеременеть, пытается забеременеть или является беременным, посредством введения соединения, описанного в настоящем документе. У субъектов, инфицированных CMV, обычно развиваются антитела к данному вирусу. Разработано множество лабораторных тестов для обнаружения таких антител к CMV. Указанный вирус можно выращивать из образцов, полученных из мочи, мазков из зева, бронхиального смыва и образцов тканей, для обнаружения активной инфекции. Можно контролировать вирусную нагрузку субъектов, инфицированных CMV, с помощью ПЦР. Тест антигенемии рр65 CMV представляет собой анализ, основанный на иммуноаффинности, для определения белка рр65 цитомегаловируса в лейкоцитах периферической крови. CMV следует заподозрить, если у пациента есть симптомы инфекционного мононуклеоза, но отрицательные результаты теста на мононуклеоз и вирус Эпштейна-Барра, или если у пациента есть признаки гепатита, но отрицательные результаты теста на гепатит А, В и С. Выращивание вируса можно осуществлять в любое время, когда субъект является симптоматическим. Лабораторные тесты на антитело к CMV можно осуществлять для определения того, присутствует ли уже инфекция CMV у субъекта. Твердофазный иммуноферментный анализ является наиболее общедоступным серологическим тестом для измерения антител к CMV. Результат можно использовать для определения наличия острой инфекции, пережитой инфекции или пассивно приобретенного материнского антитела у ребенка. Другие тесты включают различные флуоресцентные анализы, косвенную гепагглютинацию, (ПЦР) и латексную агглютинацию. Доступна технология иммуноферментного твердофазного анализа для CMV-специфического IgM. Гепатит В является гепаднавирусом. Его вирусная частица (вирион) состоит из внешней липидной оболочки и икосаэдрического нуклеокаспидного ядра, состоящего из белка. Геном HBV образован из кольцевой ДНК, но эта ДНК не является полностью двухцепочечной. Один конец цепи связан с вирусной ДНК-полимеразой. Вирус реплицируется через промежуточную форму РНК посредством обратной транскрипции. Репликация обычно происходит в печени, где она вызывает воспаление (гепатит). Вирус распространяется в кровь, где у инфицированных людей обнаруживаются вирус-специфические белки и их соответствующие антитела. Для диагностики инфекции используют тесты крови на указанные белки и антитела. Вирус гепатита В получает доступ в клетку посредством эндоцитоза. Поскольку вирус размножается с помощью РНК, созданной ферментом хозяина, то геномная ДНК вируса должна переноситься в ядро клетки шаперонами хозяина. Затем частично двухцепочечная вирусная ДНК становится полностью двухцепочечной и трансформируется в ковалентнонепрерывную кольцевую ДНК (кнкДНК), которая служит шаблоном для транскрипции вирусных мРНК. Данный вирус делят на четыре основных серотипа (adr, adw, ayr, ayw) по антигенным эпитопам, присутствующим на их оболочечных белках, и на восемь генотипов (А-Н) в соответствии с общей вариантностью нуклеотидной последовательности генома. Для проверки наличия указанной инфекции обычно используют поверхностный антиген гепатита В (HBsAg). Это первый обнаруживаемый вирусный антиген, который появляется при инфекции. Однако на ранней стадии инфицирования данный антиген может отсутствовать, и может быть необнаруживаемым на более поздних стадиях инфицирования, если он начал расщепляться организмом хозяина. Инфекционный вирион содержит внутреннюю «частицу ядра», которая включает в себя вирусный геном. Икосаэдрическая частица ядра состоит из ядерного белка, альтернативно известного как ядерный антиген гепатита В или НВсАд. В качестве серологического маркера можно использовать IgM антитела к ядерному антигену гепатита В (анти-НВс IgM). Может появляться антиген е гепатита В (HBeAg). Наличие HBeAg в сыворотке хозяина ассоциируется с высокой степенью репликации вируса. Некоторые варианты вируса гепатита В не вырабатывают антиген «е». Если хозяин может уничтожить инфекцию, то обычно HBsAg становится необнаруживаемым, и за ним следуют IgG антитела к поверхностному антигену гепатита В и ядерному антигену (анти-HBs и анти-НВс IgG). Время между удалением HBsAg и появлением анти-HBs называют периодом интервала. Люди, негативные по HbsAg, но позитивные по анти-HBs, либо преодолели инфекцию, либо были ранее вакцинированы. Индивидуумы, остающиеся позитивными по HBsAg в течение последних шести месяцев, считаются носителями гепатита В. Носители вируса могут иметь хронический гепатит В, что отражается в повышенных уровнях аланинаминотрансферазы в сыворотке и воспалении печени, которое можно определить с помощью биопсии. Разработаны тесты нуклеиновой кислоты (ПЦР) для обнаружения и измерения количества ДНК HBV в клинических образцах. Острая инфекция вируса гепатита В связана с острым вирусным гепатитом. Острый вирусный гепатит обычно начинается с симптомов общего ухудшения здоровья, потери аппетита, тошноты, рвоты, боли в теле, умеренной лихорадки, темной мочи, а затем прогрессирует до развития желтухи. Хроническая инфекция вируса гепатита В может протекать бессимптомно или может быть связана с хроническим воспалением печени (хронический гепатит), которое может приводить к циррозу. Наличие хронической инфекции гепатита В увеличивает частоту заболеваемости гепатоцеллюлярной карциномой (раком печени). При инфекции HBV иммунный ответ хозяина вызывает и повреждение гепатоцитов, и выведение вируса. Адаптивный иммунный ответ, в частности, вирус-специфические цитотоксические Т-лимфоциты (CTL), способствуют большинству повреждений печени, связанных с инфекцией HBV. Уничтожая инфицированные клетки и вырабатывая противовирусные цитокины, способные выводить HBV из жизнеспособных гепатоцитов, CTL уничтожает вирус. Несмотря на то, что повреждение печени инициировано и опосредовано CTL, антиген-неспецифические воспалительные клетки могут усугублять иммунопатологию, вызванную CTL, и тромбоциты, активированные в очаге инфекции, могут способствовать накоплению CTL в печени. Терапевтические агенты могут останавливать репликацию вируса, минимизируя таким образом повреждение печени. В некоторых вариантах реализации настоящее изобретение относится к способам лечения субъекта с диагнозом HBV посредством введения соединения, описанного в данном документе. В некоторых вариантах реализации у субъекта нарушен иммунитет. В некоторых вариантах реализации предложенное соединение вводят в комбинации с другим противовирусным агентом, таким как ламивудин, адефовир, тенофовир, телбивудин и энтекавир, и/или с модуляторами иммунной системы интерфероном альфа-2а и пегилированным интерфероном альфа-2а (Pegasys). В некоторых вариантах реализации настоящее изобретение относится к предупреждению инфекции HBV у субъекта с нарушенным иммунитетом, имеющего риск инфицирования, посредством введения фармацевтической композиции, описанной в настоящем документе, и необязательно одного или более противовирусных агентов. В некоторых вариантах реализации субъект имеет риск инфицирования, поскольку у полового партнера данного субъекта диагностирован HBV. В некоторых вариантах реализации фармацевтические композиции, описанные в настоящем документе, вводят в комбинации со вторым противовирусным агентом, таким как АВТ-450, АВТ-267, АВТ-333, АВТ-493, АВТ-530, абакавир, ацикловир, адефовир, амантадин, ампренавир, амплиген, арбидол, атазанавир, атрипла, боцепревир, цидофовир, комбивир, даклатасвир, дарунавир, дазабувир, делавирдин, диданозин, докозанол, эдоксудин, эфавиренц, эмтрицитабин, энфувиртид, энтекавир, фамцикловир, фомивирсен, фосампренавир, фоскарнет, фосфонет, ганцикловир, ибацитабин, имуновир, идоксуридин, имиквимод, индинавир, инозин, интерферон типа III, интерферон типа II, интерферон типа I, лимивудин, ледипасвир, лопинавир, ловирид, маравирок, мороксидин, метизазон, нелфинавир, невирапин, нексавир, омбитасвир, осельтамивир, паритапревир, пегинтерферон альфа-2а, пенцикловир, перамивир, плеконарил, подофиллотоксин, ралтегравир, рибавирин, римантадин, ритонавир, пирамидин, саквинавир, симепревир, софосбувир, ставудин, телапревир, телбивудин, тенофовир, тенофовир дизопроксил, типранавир, трифлуридин, тризивир, тромантадин, трувада, валацикловир, валганцикловир, викривирок, видарабин, вирамидин, зальцитабин, занамивир или зидовудин, и их комбинации. В некоторых вариантах реализации фармацевтические композиции, описанные в настоящем документе, могут быть составлены в лекарственную форму и введены в комбинации со вторым противовирусным агентом, выбранным из: В некоторых вариантах реализации В некоторых вариантах реализации В некоторых вариантах реализации фармацевтические композиции, описанные в настоящем документе, могут быть составлены в лекарственную форму и введены в комбинации со вторым противовирусным агентом, выбранным из WO 2016/106050 или WO 2017/156380. В некоторых вариантах реализации В некоторых вариантах реализации В иллюстративных вариантах реализации В иллюстративных вариантах реализации В иллюстративных вариантах реализации В иллюстративных вариантах реализации В иллюстративных вариантах реализации В иллюстративных вариантах реализации В иллюстративных вариантах реализации В иллюстративных вариантах реализации В иллюстративных вариантах реализации или его фармацевтическая или физиологическая соль и или его фармацевтическая или физиологическая соль могут присутствовать в комбинации в клетках, тканях и/или органах хозяина, которые инфицированы и не инфицированы вирусом. В иллюстративных вариантах реализации В иллюстративных вариантах реализации комбинации с В иллюстративных вариантах реализации комбинации с В иллюстративных вариантах реализации комбинации с В иллюстративных вариантах реализации комбинации с В иллюстративных вариантах реализации В иллюстративных вариантах реализации комбинации с В иллюстративных вариантах реализации комбинации с В другом аспекте по меньшей мере два непосредственно действующих противовирусных агента образуют лекарственную комбинацию, выбранную из группы, состоящей из: соединения согласно настоящему изобретению с одним или более из АВТ-450 и/или АВТ-267, и/или АВТ-333, и/или АВТ-493, и/или АВТ-530; нового соединения согласно настоящему изобретению с соединением, описанным в любом из US 2010/0144608; US 61/339964; US 2011/0312973; WO 2009/039127; US 2010/0317568; 2012/151158; US 2012/0172290; WO 2012/092411; WO 2012/087833; WO 2012/083170; WO 2009/039135; US 2012/0115918; WO 2012/051361; WO 2012/009699; WO 2011/156337; US 2011/0207699; WO 2010/075376; US 7910595; WO 2010/120935; WO 2010/111437; WO 2010/111436; US 2010/0168384 и/или US 2004/0167123; соединения согласно настоящему изобретению с одним или более из симепревира и/или GSK805; соединения согласно настоящему изобретению с одним или более из асунапревира и/или дакластавира, и/или BMS-325; соединения согласно настоящему изобретению с одним или более из GS-9451 и/или ледисасвира, и/или софосбувира, и/или GS-9669; соединения согласно настоящему изобретению с одним или более из АСН-2684, и/или АСН-3102, и/или АСН-3422; соединения согласно настоящему изобретению с одним или более из боцепревира и/или МК-8742; соединения согласно настоящему изобретению с одним или более из фалдапревира и/или делеобувира; соединения согласно настоящему изобретению с PPI-668; соединения согласно настоящему изобретению с одним или более из телапревира и/или VX-135; соединения согласно настоящему изобретению с одним или более из саматасвира и/или IDX-437; соединения согласно настоящему изобретению с PSI-7977 и/или PSI-938, соединения согласно настоящему изобретению с BMS-790052 и/или BMS-650032; соединения согласно настоящему изобретению с GS-5885 и/или GS-9451; соединения согласно настоящему изобретению с GS-5885, GS-9190 и/или GS-9451; соединения согласно настоящему изобретению в комбинации с BI-201335 и/или BI-27127; соединения согласно настоящему изобретению в комбинации с телапревиром и/или VX-222; соединения согласно настоящему изобретению в комбинации с PSI-7977 и/или ТМС-435; и соединения согласно настоящему изобретению в комбинации с данопревиром и/или R7128. В одном из аспектов настоящего описания «инфекция» или «бактериальная инфекция» относится к инфекции, вызванной Acinetobacter spp, Bacteroides spp, Burkholderia spp, Campylobacter spp, Chlamydia spp, Chlamydophila spp, Clostridium spp, Enterobacter spp, Enterococcus spp, Escherichia spp, Fusobacterium spp, Gardnerella spp, Haemophilus spp, Helicobacter spp, Klebsiella spp, Legionella spp, Moraxella spp, Morganella spp, Mycoplasma spp, Neisseria spp, Peptococcus spp, Peptostreptococcus spp, Proteus spp, Pseudomonas spp, Salmonella spp, Serratia spp, Staphylococcus spp, Streptoccocus spp, Stenotrophomonas spp или Ureaplasma spp. В одном из аспектов настоящего изобретения «инфекция» или «бактериальная инфекция» относится к инфекции, вызванной Acinetobacter Baumanii, Acinetobacter Haemolyticus, Acinetobacter Junii, Acinetobacter Johnsonii, Acinetobacter Iwoffi, Bacteroides Bivius, Bacteroides Fragilis, Burkholderia Cepacia, Campylobacter Jejuni, Chlamydia Pneumoniae, Chlamydia Urealyticus, Chlamydophila Pneumoniae, Clostridium Difficile, Enterobacter Aerogenes, Enterobacter Cloacae, Enterococcus Faecalis, Enterococcus Faecium, Escherichia Coli, Gardnerella Vaginalis, Haemophilus Par Influenzae, Haemophilus Influenzae, Helicobacter Pylori, Klebsiella Pneumoniae, Legionella Pneumophila, метициллин-резистентным Staphylococcus Aureus, метициллин-чувствительным Staphylococcus Aureus, Moraxella Catarrhalis, Morganella Morganii, Mycoplasma Pneumoniae, Neisseria Gonorrhoeae, пенициллин-резистентным Streptococcus Pneumoniae, пенициллин-чувствительным Streptococcus Pneumoniae, Peptostreptococcus Magnus, Peptostreptococcus Micros, Peptostreptococcus Anaerobius, Peptostreptococcus Asaccharolyticus, Peptostreptococcus Prevotii, Peptostreptococcus Tetradius, Peptostreptococcus Vaginalis, Proteus Mirabilis, Pseudomonas Aeruginosa, хинолон-резистентным Staphylococcus Aureus, хинолон-резистентным Staphylococcus Epidermis, Salmonella Typhi, Salmonella Paratyphi, Salmonella Enteritidis, Salmonella Typhimurium, Serratia Marcescens, Staphylococcus Aureus, Staphylococcus Epidermidis, Staphylococcus Saprophytics, Streptoccocus Agalactiae, Streptococcus Pneumoniae, Streptococcus Pyogenes, Stenotrophomonas Maltophilia, Ureaplasma Urealyticum, ванкомицин-резистентным Enterococcus Faecium, ванкомицин-резистентным Enterococcus Faecalis, ванкомицин-резистентным Staphylococcus Aureus, ванкомицин-резистентным Staphylococcus Epidermis, Mycobacterium Tuberculosis, Clostridium Perfringens, Klebsiella Oxytoca, Neisseria Miningitidis, Proteus Vulgaris или коагулазонегативным Staphylococcus (включая Staphylococcus Lugdunensis, Staphylococcus Capitis, Staphylococcus Hominis или Staphylococcus Saprophytic). В одном из аспектов настоящего изобретения «инфекция» или «бактериальная инфекция» относится к аэробам, облигатным анаэробам, условным анаэробам, грамположительным бактериям, грамотрицательным бактериям, грамвариабельным бактериям или атипичным респираторным патогенам. В некоторых вариантах реализации настоящее изобретение относится к лечению бактериальной инфекции, такой как гинекологическая инфекция, инфекция дыхательных путей (RTI), заболевание, передающееся половым путем, или инфекция мочевыводящих путей. В некоторых вариантах реализации настоящее изобретение относится к лечению бактериальной инфекции, такой как инфекция, вызванная бактериями, устойчивыми к лекарственным препаратам. В некоторых вариантах реализации настоящее изобретение относится к лечению бактериальной инфекции, такой как внебольничная пневмония, госпитальная пневмония, инфекции кожи и кожных структур, гонококковый цервицит, гонококковый уретрит, фебрильная нейтропения, остеомиелит, эндокардит, инфекции мочевыводящих путей и инфекции, вызванные бактериями, устойчивыми к лекарственным препаратом, такими как пенициллин-резистентный Streptococcus Pneumoniae, метициллин-резистентный Staphylococcus Aureus, метициллин-резистентный Staphylococcus Epidermidis и ванкомицин-резистентный Enterococci, сифилис, вентиляторно-ассоциированная пневмония, внутрибрюшные инфекции, гонорея, менингит, тетанус или туберкулез. В некоторых вариантах реализации настоящее изобретение относится к лечению грибковых инфекций, таких как инфекции, вызванные разноцветным лишаем, микроспоридиями, трихофитоном, эпидермофитоном, кандидоз, криптококкоз или аспергиллез. В некоторых вариантах реализации настоящее изобретение относится к лечению инфекции, вызванной простейшими, включая, но не ограничиваясь ими, малярию, амебиаз, жиардиаз, токсоплазмоз, криптоспоридиоз, трихомоноз, лейшманиоз, сонную болезнь или дизентерию. Некоторые соединения, описанные в настоящем документе, пригодны для предупреждения или лечения инфекции малярийных паразитов у субъекта и/или для предупреждения, лечения и/или облегчения осложнений и/или симптомов, связанных с ней, и, следовательно, их можно использовать для получения лекарственного средства для лечения и/или предупреждения данного заболевания. Малярия может быть вызвана Plasmodium falciparum, P. vivax, P. ovale или P. malariae. В одном из вариантов реализации предложенное соединение вводят после воздействия малярийного паразита на субъекта. В другом варианте реализации соединение, описанного в настоящем документе, вводят до приезда субъекта в страну, где малярия является эндемичной. Соединения или вышеупомянутые фармацевтические композиции также можно использовать в комбинации с одним или более терапевтически пригодными веществами, выбранными из группы, включающей противомалярийные препараты, такие какхинолины (например, хинин, хлорохин, амодиахин, мефлохин, примахин, тафенохин); пероксидные противомалярийные препараты (например, артемизинин, артеметер, артесунат); пириметамин-сульфадоксиновые противомалярийные препараты (например, фансидар); гидроксинафтохиноны (например, атоваквон); противомалярийные препараты акролинового типа (например, пиронаридин); и антипротозойные агенты, такие как этилстильбамин, гидроксистильбамидин, пентамидин, стильбамидин, хинапирамин, пуромицин, пропамидин, нифуртимокс, меларзопрол, ниморазол, нифуроксим, аминитрозол и т.п. В одном из вариантов реализации соединения, описанные в настоящем документе, можно использовать в комбинации с одним дополнительным лекарственным средством, выбранным из группы, состоящей из хлорохина, артемезина, кингхаосу, 8-аминохинолина, амодиаквина, артеэфира, артеметера, артемизинина, артесуната, артесуновой кислоты, артелиновой кислоты, атовоквона, азитромицина, бигуанида, хлорохина фосфата, хлорпрогуанила, циклогуанила, дапсона, десбутила галофантрина, дезипрамина, доксициклина, ингибиторов дигидрофолатредуктазы, дипиридамола, галофантрина, галоперидола, гидроксихлорохина сульфата, имипрамина, мефлохина, пенфлуридола, фосфолипидных ингибиторов, примахина, прогуанила, пириметамина, пиронаридина, хинина, хинидина, хинакринартемизинина, сульфнамидов, сульфонов, сульфадоксина, сульфалена, тафенохина, тетрациклина, тетрандина, триазина, с их солями или смесями. Рак В типичном варианте реализации настоящее изобретение относится к способу лечения рака, включающему введение пациенту соединения, описанного в данном документе. В некоторых вариантах реализации настоящее изобретение относится к соединению, описанному в данном документе, или его фармацевтически приемлемой соли для применения для лечения рака. В некоторых вариантах реализации настоящее изобретение относится к соединению, описанному в данном документе, или его фармацевтически приемлемой соли, описанной в данном документе, для применения для лечения рака молочной железы, толстой и прямой кишок, легких (включая мелкоклеточный рак легких, немелкоклеточный рак легких и бронхоальвеолярный рак) и предстательной железы. В некоторых вариантах реализации настоящее изобретение относится к соединению, описанному в данном документе, или его фармацевтически приемлемой соли, описанной в данном документе, для применения для лечения рака желчных протоков, костей, мочевого пузыря, головы и шеи, почек, печени, желудочно-кишечных тканей, пищевода, яичника, эндометрия, поджелудочной железы, кожи, яичек, щитовидной железы, матки, шейки матки и вульвы, а также лейкозов (включая ALL и CML), множественной миеломы и лимфом. В некоторых вариантах реализации настоящее изобретение относится к соединению, описанному в данном документе, или его фармацевтически приемлемой соли, описанной в данном документе, для применения для лечения рака легких, рака предстательной железы, меланомы, рака яичника, рака молочной железы, эндометриального рака, рака почек, рака желудка, саркомы, рака головы и шеи, опухолей центральной нервной системы и их метастазов, а также для лечения глиобластом. В некоторых вариантах реализации соединения, описанные в настоящем документе, можно использовать в клинических условиях в качестве единственного агента, отдельно или в комбинации с другими клинически релевантными агентами. Данное соединение также может предотвращать потенциальные механизмы устойчивости рака, которые могут возникать в результате мутаций в наборе генов. Противораковое лечение, описанное в настоящем документе, можно применять в качестве единственной терапии, или оно может включать, помимо соединения по данному изобретению, традиционную хирургию или лучевую терапию, или химиотерапию. Химиотерапия может включать одну или более из следующих категорий противоопухолевых агентов: (i) антипролиферативные/противоопухолевые лекарства и их комбинации, используемые в медицинской онкологии, такие как алкилирующие агенты (например, цис-платин, карбоплатин, циклофосфамид, азотистый иприт, мелфалан, хлорамбуцил, бусульфан и нитрозомочевины); антиметаболиты (например, антифолаты, такие как фторпиримидины типа 5-фторурацила и гемцитабина, тегафур, ралтитрексед, метотрексат, цитозин арабинозид и гидроксимочевина); противоопухолевые антибиотики (например, антрациклины типа адриамицина, блеомицина, доксорубицина, дауномицина, эпирубицина, идарубицина, митомицина-С, дактиномицина и митрамицина); антимитотические агенты (например, алкалоиды барвинка, такие как винкристин, винбластин, виндезин и винорелбин, а также таксоиды, такие как таксол и таксотер); и ингибиторы топоизомеразы (например, эпиподофиллотоксины, такие как этопозид и тенипозид, амсакрин, топотекан и камптотецин); и ингибиторы протеосом (например, бортезомиб [Velcade®]); и агент анегрилид [Agrylin®]; а также агент альфа-интерферон; (ii) цитостатические агенты, такие как антиэстрогены (например, тамоксифен, торемифен, ралоксифен, дролоксифен и йодоксифен), супрессоры рецептора эстрогена (например, фулвестрант), антиандрогены (например, бикалутамид, флутамид, нилутамид и ципротерон ацетат), антагонисты LHRH или агонисты LHRH (например, госерелин, лейпрорелин и бусерелин), прогестогены (например, мегестрол ацетат), ингибиторы ароматазы (например, анастрозол, летрозол, воразол и эксеместан) и ингибиторы 5α-редуктазы, такие как финастерид; (iii) агенты, которые подавляют инвазию раковых клеток (например, ингибиторы металлопротеиназы, такие как маримастат, и ингибиторы функции рецептора активатора плазминогена урокиназного типа); (iv) ингибиторы функции фактора роста, например, такие ингибиторы включают антитела фактора роста, антитела рецептора фактора роста (например, антитело анти-erbb2 трастузумаб [Herceptin™] и антитело анти-erbb1 цетуксимаб), ингибиторы фарнезилтрансферазы, ингибиторы тирозинкиназы и ингибиторы серин/треонинкиназы, например, ингибиторы семейства эпидермальных факторов роста (например, ингибиторы тирозинкиназы семейства EGFR, такие как: N-(3-хлор-4-фторфенил)-7-метокси-6-(3-морфолинопропокси)хиназолин-4-амин (гефитиниб), N-(3-этинилфенил)-6,7-бис(2-метоксиэтокси)хиназолин-4-амин (эрлотиниб) и 6-акриламидо-N-(3-хлор-4-фторфенил)-7-(3-морфолинопропокси)хиназолин-4-амин (Cl 1033), например, ингибиторы семейства тромбоцитарных факторов роста и, например, ингибиторы семейства гепацитарных факторов роста, например, ингибиторы фосфотидилинозитол-3-киназы (PI3K) и, например, ингибиторы митоген-активируемой протеинкиназы (MEK1/2), и, например, ингибиторы протеинкиназы В (PKB/Akt), например, ингибиторы семейства тирозинкиназ Src и/или семейства тирозинкиназ Abelson (AbI), такие как дазатиниб (BMS-354825) и иматиниб мезилат (Gleevec™); и любые агенты, которые модифицируют передачу сигналов STAT; (v) антиангиогенные агенты, такие как агенты, ингибирующие действие фактора роста сосудистого эндотелия (например, антитело против фактора роста сосудистого эндотелия клетки бевацизумаб [Avastin™]), и соединения, которые действуют по другим механизмам (например, линомид, ингибиторы функции интегрина ocvβ3 и ангиостатин); (vi) агенты, повреждающие сосудистую сеть, такие как комбретастатин А4; (vii) антисмысловые терапевтические агенты, например, направленные на мишени, перечисленные выше, такие каканти-ras антисмысловые агенты; (viii) генные терапевтические подходы, включая, например, подходы, направленные на замену патологических генов, таких как аберрантный р53 или аберрантный BRCAI или BRCA2, GDEPT (ген-направленная ферментная пролекарственная терапия), подходы с применением цитозиндезаминазы, тимидинкиназы или бактериального фермента нитроредуктазы, а также подходы, направленные на улучшение переносимости пациентом химиотерапии или лучевой терапии, например, генная терапия множественной лекарственной устойчивости; и (ix) иммунотерапевтические подходы, включая, например, ex-vivo и in-vivo подходы, направленные на повышение иммуногенности опухолевых клеток пациента, например, трансфекция с цитокинами, такими как интерлейкин 2, интерлейкин 4 или гранулоцитарно-макрофагальный колониестимулирующий фактор, подходы, направленные на снижение Т-клеточной анергии, подходы с применением трансфицированных иммунных клеток, таких как дендритные клетки, трансфицированные цитокинами, подходы с применением трансфицированных цитокином опухолевых клеточных линий и подходы с применением анти-идиотипических антител, а также подходы с применением иммуномодулирующих препаратов талидомида и леналидомида [Revlimid®]. Такое совместное лечение может быть достигнуто посредством одновременного, последовательного или раздельного введения доз отдельных компонентов схемы лечения. В таких комбинированных продуктах используют соединения согласно настоящему изобретению или их фармацевтически приемлемые соли в диапазоне доз, описанном выше, а также другой фармацевтически активный агент в допустимом диапазоне доз. Лекарственные формы Фармацевтические композиции, описанные в настоящем документе, могут быть в форме фармацевтически приемлемых солей, как описано, в целом, ниже. Некоторые предпочтительные, но неограничивающие примеры подходящих фармацевтически приемлемых органических и/или неорганических кислот представляют собой хлористоводородную кислоту, бромистоводородную кислоту, серную кислоту, азотную кислоту, уксусную кислоту и лимонную кислоту, а также другие фармацевтически приемлемые кислоты, известные per se (ссылка на которые сделана в ссылках, упомянутых ниже). Если соединения согласно настоящему изобретению содержат кислотную группу, а также основную группу, то соединения согласно настоящему изобретению также могут образовывать внутренние соли, и такие соединения входят в объем настоящего изобретения. Если соединение согласно настоящему изобретению содержит гетероатом-донор водорода (например, NH), то настоящее изобретение включает также соли и/или изомеры, образованные при переходе атома водорода к основной группе или атому в данной молекуле. Фармацевтически приемлемые соли предложенных соединений включают их соли присоединения кислот и оснований. Подходящие соли присоединения кислот получают из кислот, которые образуют нетоксичные соли. Примеры включают ацетатные, адипатные, аспартатные, бензоатные, безилатные, бикарбонатные/карбонатные, бисульфатные/сульфатные, боратные, камзилатные, цитратные, цикламатные, эдизилатные, эзилатные, формиатные, фумаратные, глюцетатные, глюконатные, глюкуронатные, гексафторфосфатные, гибензатные, гидрохлоридные/хлоридные, гидробромидные/бромидные, гидройодидные/йодидные, изетионатные, лактатные, малатные, малеатные, малонатные, мезилатные, метилсульфатные, нафтилатные, 2-напзилатные, никотинатные, нитратные, оротатные, оксалатные, пальмитатные, памоатные, фосфатные/гидрофосфатные/дигидрофосфатные, пироглутаматные, сахаратные, стеаратные, сукцинатные, таннатные, тартратные, тозилатные, трифторацетатные и ксинофоатные соли. Подходящие соли оснований получают из оснований, которые образуют нетоксичные соли. Примеры включают соли алюминия, аргинина, бензатина, кальция, холина, диэтиламина, диоламина, глицина, лизина, магния, меглумина, оламина, калия, натрия, трометамина и цинка. Также могут быть получены полусоли кислот и оснований, например, полусульфатные и полукальциевые соли. Обзор подходящих солей представлен в публикации Handbook of Pharmaceutical Salts: Properties, Selection, and Use, Stahl and Wermuth (Wiley-VCH, 2002), содержание которой включено в данный документ посредством ссылки. Соединения, описанные в настоящем документе, можно вводить в форме пролекарств. Пролекарство может содержать ковалентно связанный носитель, который высвобождает активное исходное лекарственное соединение при введении млекопитающему субъекту. Пролекарства могут быть получены модификацией функциональных групп, присутствующих в соединениях, таким образом, чтобы такие модификации расщеплялись либо в результате обычной обработки, либо in vivo, до исходных соединений. Пролекарства включают, например, соединения, в которых гидроксильная группа связана с любой группой, которая при введении млекопитающему субъекту расщепляется с образованием свободной гидроксильной группы. Примеры пролекарств включают, но не ограничиваются ими, ацетатные, формиатные и бензоатные производные спиртовых функциональных групп в предложенных соединениях. Способы получения соединения в форме пролекарства известны, например, из публикации Testa and Mayer, Hydrolysis in Drug and Prodrug Metabolism, Wiley (2006). Типичные пролекарства образуют активный метаболит посредством превращения пролекарства под действием гидролитических ферментов, гидролиза амида, лактама, пептида, сложного эфира карбоновой кислоты, эпоксида или расщепления сложных эфиров неорганических кислот. Показано, что сложноэфирные пролекарства без труда расщепляются в организме, высвобождая соответствующий спирт. См., например, Imai, Drug Metab Pharmacokinet. (2006) 21(3): 173-85, под названием "Human carboxylesterase isozymes: catalytic properties and rational drug design". Фармацевтические композиции для применения согласно настоящему изобретению обычно содержат эффективное количество соединения и подходящий фармацевтически приемлемый носитель. Препараты могут быть получены способом, известным per se, который обычно включает смешивание по меньшей мере одного соединения согласно настоящему изобретению с одним или более фармацевтически приемлемыми носителями и, при необходимости, в комбинации с другими фармацевтически активными соединениями, в случае необходимости в асептических условиях. Сделана ссылка на патент США №6372778, патент США №6369086, патент США №6369087 и патент США №6372733, и дополнительные ссылки, упомянутые выше, а также на стандартные руководства, такие как последнее издание книги Remington, Pharmaceutical Sciences. В целом, для фармацевтического применения предложенные соединения могут быть составлены в форму фармацевтического препарата, содержащего по меньшей мере одно соединение и по меньшей мере один фармацевтически приемлемый носитель, разбавитель или вспомогательное вещество, и необязательно одно или более дополнительных фармацевтически активных соединений. Фармацевтические препараты согласно настоящему изобретению предпочтительно представлены в форме разовой дозы, и могут быть соответствующим образом упакованы, например, в коробку, блистер, флакон, бутылку, саше, ампулу или любую другую подходящую емкость или контейнер для одной дозы или нескольких доз (которые могут иметь соответствующую маркировку); необязательно с одним или более вкладышами, содержащими информацию о продукте и/или инструкции по применению. Обычно такие разовые дозы содержат от 1 до 1000 мг, и обычно от 5 до 500 мг по меньшей мере одного соединения согласно настоящему изобретению, например, примерно 10, 25, 50, 100, 200, 300 или 400 мг на одну разовую дозу. Предложенные соединения можно вводить различными способами, включая пероральный, офтальмологический, ректальный, трансдермальный, подкожный, сублингвальный, внутривенный, внутримышечный или интраназальный способы, в зависимости, главным образом, от конкретного используемого препарата. Соединение обычно вводят в «эффективном количестве», под которым подразумевают любое количество соединения, которое при соответствующем введении является достаточным для достижения требуемого терапевтического или профилактического эффекта у субъекта, которому оно введено. Как правило, в зависимости от состояния, подлежащего предупреждению или лечению, а также от способа введения, такое эффективное количество обычно составляет от 0,01 до 1000 мг на килограмм массы тела пациента в сутки, через день, два раза в неделю или один раз в неделю, чаще от 0,1 до 500 мг, например, от 1 до 250 мг, например, примерно 5, 10, 20, 50, 100, 150, 200 или 250 мг на килограмм массы пациента в сутки, через день, два раза в неделю или один раз в неделю, которое можно вводить дозой один раз в сутки, через день, два раза в неделю или один раз в неделю или делить на одну или более доз в сутки, через день, два раза в неделю или один раз в неделю. Количество(а), подлежащее введению, способ введения и дополнительная терапевтическая схема могут быть определены лечащим врачом, в зависимости от таких факторов, как возраст, пол и общее состояние пациента, а также природа и тяжесть заболевания/симптомов, подлежащих лечению. Сделана ссылка на патент США №6372778, патент США №6369086, патент США №6369087 и патент США №6372733, и дополнительные ссылки, упомянутые выше, а также на стандартные руководства, такие как последнее издание книги Remington, Pharmaceutical Sciences. Для пероральной формы введения предложенные соединения могут быть смешаны с подходящими добавками, такими как вспомогательные вещества, стабилизаторы или инертные разбавители, и составлены обычными способами в подходящие формы введения, такие как таблетки, таблетки с покрытием, твердые капсулы, водные, спиртовые или масляные растворы. Примеры подходящих инертных носителей представляют собой гуммиарабик, магнезию, карбонат магния, фосфат калия, лактозу, глюкозу или крахмал, в частности, кукурузный крахмал. В таком случае препарат может быть получен в виде сухих или влажных гранул. Подходящие масляные вспомогательные вещества или растворители представляют собой растительные или животные масла, такие как подсолнечное масло и жир печени трески. Подходящие растворители для водных или спиртовых растворов представляют собой воду, этанол, растворы сахара или их смеси. В качестве дополнительных вспомогательных веществ для других форм введения подходят также полиэтиленгликоли и полипропиленгликоли. В форме таблеток с мгновенным высвобождением, указанные композиции могут содержать микрокристаллическую целлюлозу, фосфат дикальция, крахмал, стеарат магния и лактозу и/или другие вспомогательные вещества, связующие агенты, сухие разбавители, разрыхлители, разбавители и смазывающие вещества, известные в данной области техники. При введении в форме назального аэрозоля или посредством ингаляции, предложенные композиции могут быть получены в соответствии с технологиями, известными в области составления фармацевтических композиций, и могут быть получены в форме растворов в солевом растворе, с использованием бензилового спирта или других подходящих консервантов, усилителей абсорбции для повышения биодоступности, фторуглеродов и/или других солюбилизирующих или диспергирующих агентов, известных в данной области техники. Подходящие фармацевтические лекарственные формы для введения в форме аэрозолей или спреев представляют собой, например, растворы, суспензии или эмульсии соединений согласно настоящему изобретению или их физиологически переносимых солей в фармацевтически приемлемом растворителе, таком как этанол или вода, или в смеси указанных растворителей. При необходимости, лекарственная форма может дополнительно содержать другие фармацевтические вспомогательные вещества, такие как поверхностно-активные вещества, эмульгаторы и стабилизаторы, а также газ-вытеснитель. Для подкожного или внутривенного введения предложенные соединения, при необходимости вместе с веществами, обычно используемыми для этого, такими как солюбилизаторы, эмульгаторы или дополнительные вспомогательные вещества, составляют в форму раствора, суспензии или эмульсии. Предложенные соединения также могут быть лиофилизированными, и полученные лиофилизаты используют, например, для получения препаратов для инъекций или инфузий. Подходящие растворители представляют собой, например, воду, физиологический солевой раствор или спирты, например, этанол, пропанол, глицерин, растворы сахара, такие как растворы глюкозы или маннита, или смеси различных упомянутых растворителей. Растворы или суспензии для инъекций могут быть составлены в соответствии с известным уровнем техники, с использованием подходящих нетоксичных, парентерально приемлемых разбавителей или растворителей, таких как маннит, 1,3-бутандиол, вода, раствор Рингера или изотонический раствор хлорида натрия, или подходящих диспергирующих или смачивающих и суспендирующих агентов, таких как стерильные безвкусные нелетучие масла, включая синтетические моно-или диглицериды, и жирные кислоты, включая олеиновую кислоту. При ректальном введении в форме суппозиториев, лекарственные формы могут быть получены смешиванием соединений формулы I с подходящим нераздражающим вспомогательным веществом, таким как масло какао, синтетические сложные эфиры глицеридов или полиэтиленгликоли, которые являются твердыми при обычной температуре, но разжижаются и/или растворяются в ректальной полости с высвобождением лекарства. В некоторых вариантах реализации предусмотрено, что такие композиции могут представлять собой лекарственные формы с пролонгированным высвобождением. В типичных лекарственных формах с пролонгированным высвобождением используют энтеросолюбильное покрытие. Как правило, на лекарственный препарат для перорального введения наносят барьер, который регулирует положение в пищеварительной системе, где происходит его усвоение. Энтеросолюбильные покрытия препятствуют высвобождению лекарственного средства до его попадания в тонкий кишечник. Энтеросолюбильные покрытия могут содержать полимеры полисахаридов, таких как мальтодекстрин, ксантан, склероглюкан, декстран, крахмал, альгинаты, пуллулан, гиалуроновая кислота, хитин, хитозан и т.п.; другие природные полимеры, такие как белки (альбумин, желатин и т.д.), поли-L-лизин; полиакрилат натрия; поли(гидроксиалкилметакрилаты) (например, поли(гидроксиэтилметакрилат)); карбоксиполиметилен (например, Carbopol™); карбомер; поливинилпирролидон; камеди, такие как гуаровая камедь, гуммиарабик, камедь карайи, камедь гхатти, камедь бобов рожкового дерева, тамариндовая камедь, геллановая камедь, трагакантовая камедь, агар, пектин, глютен и т.п.; поливиниловый спирт; этиленвиниловый спирт; полиэтиленгликоль (ПЭГ); и простые эфиры целлюлозы, такие как гидроксиметилцеллюлоза (НМС), гидроксиэтилцеллюлоза (НЕС), гидроксипропил целлюлоза (НРС), метилцеллюлоза (МС), этил целлюлоза (ЕС), карбоксиэтилцеллюлоза (СЕС), этилгидроксиэтилцеллюлоза (ЕНЕС), карбоксиметилгидроксиэтилцеллюлоза (СМНЕС), гидроксипропилметилцеллюлоза (НРМС), гидроксипропилэтилцеллюлоза (НРЕС) и карбоксиметилцеллюлоза натрия (Na-CMC); а также сополимеры и/или (простые) смеси любых вышеупомянутых полимеров. Некоторые вышеупомянутые полимеры могут быть дополнительно поперечно-сшитыми с применением стандартных технологий. Выбор полимера определяется природой активного ингредиента/лекарственного соединения, которое использовано в композиции согласно настоящему изобретению, а также требуемой скоростью высвобождения. В частности, специалистам в данной области техники понятно, например, что в случае НРМС более высокая молекулярная масса обычно будет обеспечивать более медленное высвобождение лекарственного соединения из композиции. Кроме того, в случае НРМС различные степени замещения метоксильных групп и гидроксипропоксильных групп будут обусловливать изменение степени высвобождения лекарственного соединения из композиции. В этом отношении, и как указано выше, может быть желательно обеспечить композиции согласно настоящему изобретению в форме покрытий, в которых полимерный носитель представлен в виде смеси двух или более полимеров, например, с разной молекулярной массой, для получения конкретного требуемого или желаемого профиля высвобождения. Для получения белковых систем доставки с устойчивым высвобождением могут быть использованы микросферы полилактида, полигликолида и их сополимеров поли(лактид-со-гликолидов). Белки могут быть включены в микросферное депо поли(лактида-со-гликолида) различными способами, включая получение эмульсии типа «вода в масле» с водорастворимым белком и органическим полимером, растворимым в органическом растворителе (эмульсионный способ), получение суспензии типа «твердое вещество в масле» с твердым белком, диспергированным в растворе полимера в органическом растворителе (суспензионный способ), или посредством растворения белка в растворе полимера в органическом растворителе (растворный способ). Можно связывать полиэтиленгликоль с белками (ПЭГилирование) для увеличения периода полувыведения in vivo терапевтических белков в кровотоке и для снижения вероятности иммунного ответа. Липосомные суспензии (включая липосомы, направленно воздействующие на вирусные антигены) также могут быть получены стандартными способами получения фармацевтически приемлемых носителей. Это может быть уместно для доставки свободных нуклеозидов, ацилнуклеозидов или фосфатных сложноэфирных пролекарственных форм нуклеозидных соединений согласно настоящему изобретению. Следует понимать, что нуклеозиды согласно настоящему изобретению содержат несколько хиральных центров и могут существовать, и могут быть выделены в оптически активных и рацемических формах. Некоторые соединения могут демонстрировать полиморфизм. Следует понимать, что настоящее изобретение предусматривает любые рацемические, оптически активные, диастереомерные, полиморфные или стереоизомерные формы или их смеси соединений согласно настоящему изобретению, которые обладают полезными свойствами, описанными в настоящем документе. В данной области техники известны способы получения оптически активных форм (например, посредством разделения рацемической формы методом перекристаллизации, посредством синтеза из оптически активных исходных материалов или хиральным синтезом, или посредством хроматографического разделения с использованием хиральной неподвижной фазы). Атомы углерода в нуклеозиде являются хиральными, их неводородные заместители (основные группы и группы CHOR, соответственно) могут быть в цис- (с одной стороны) или в транс-ориентации (с противоположных сторон) относительно кольцевой системы сахара. Таким образом, четыре оптических изомера представлены следующими конфигурациями (при ориентации сахарного фрагмента в горизонтальной плоскости, так что атом кислорода находится сзади): цис (обе группы ориентированы «вверх», что соответствует конфигурации природных β-D нуклеозидов), цис (обе группы ориентированы «вниз», что является неприродной β-L конфигурацией), транс (С2'-заместитель ориентирован «вверх», а С4'-заместитель - «вниз») и транс (С2'-заместитель ориентирован «вниз», а С4'-заместитель - «вверх»). «D-нуклеозиды» представляют собой цис-нуклеозиды в природной конфигурации, а «L-нуклеозиды» представляют собой цис-нуклеозиды в неприродной конфигурации. Таким же образом, большинство аминокислот являются хиральными (обозначаются как L или D, где L-энантиомер является природной конфигурацией) и могут существовать в форме отдельных энантиомеров. Примеры способов получения оптически активных материалов известны в данной области техники и включают по меньшей мере следующие: i) физическое разделение кристаллов - технология, в которой макроскопические кристаллы отдельных энантиомеров разделяют вручную. Данную технологию можно использовать, если существуют кристаллы отдельных энантиомеров, т.е. материал представляет собой конгломерат, и кристаллы являются визуально различными; ii) одновременная кристаллизация - технология, в которой отдельные энантиомеры по отдельности кристаллизуются из раствора рацемата, возможна только в том случае, если рацемат представляет собой когломерат в твердом состоянии; iii) ферментативное разделение - технология, в которой частичное или полное разделение рацемата осуществляют благодаря разной скорости реакции энантиомеров с ферментом; iv) ферментативный асимметричный синтез - технология синтеза, в которой по меньшей мере на одной стадии синтеза используют ферментативную реакцию для получения энантиомерно чистого или обогащенного синтетического предшественника требуемого энантиомера; v) химический асимметричный синтез - технология синтеза, в которой требуемый энантиомер синтезируют из ахирального предшественника в условиях, обеспечивающих достижение асимметрии (т.е. хиральности) продукта, что может быть достигнуто с использованием хиральных катализаторов или хиральных вспомогательных веществ; vi) диастереомерное разделение - технология, в которой рацемическое соединение подвергают взаимодействию с энантиомерно чистым реагентом (хиральным вспомогательным веществом), который превращает отдельные энантиомеры в диастереомеры. Затем полученные диастереомеры разделяют с помощью хроматографии или кристаллизации благодаря тому, что теперь они имеют более выраженные структурные отличия, и затем хиральное вспомогательное вещество удаляют с получением требуемого энантиомера; vii) асимметричные превращения первого и второго порядка - технология, в которой диастереомеры из рацемата уравновешивают с получением преобладающего количества одного диастереомера из требуемого энантиомера в растворе, или в которой предпочтительная кристаллизация одного диастереомера из требуемого энантиомера нарушает равновесие, так что в конечном итоге по существу весь материал превращается в кристаллический диастереомер из требуемого энантиомера. Затем требуемый энантиомер выделяют из диастереомера; viii) кинетическое разделение - данная технология относится к достижению частичного или полного разделения рацемата (или дополнительного разделения частично разделенного соединения) посредством неравновесных скоростей реакции энантиомеров с хиральным, нерацемическим реагентом или катализатором в кинетических условиях; ix) энантиоспецифический синтез из нерацемических предшественников - технология синтеза, в которой требуемый энантиомер получают из нехиральных исходных материалов, и в которой стереохимическая целостность не нарушается или лишь минимально нарушается во время синтеза; х) хиральная жидкостная хроматография - технология, в которой энантиомеры рацемата разделяют в жидкой подвижной фазе благодаря их различному взаимодействию с неподвижной фазой. Неподвижная фаза может состоять из хирального материала, или подвижная фаза может содержать дополнительный хиральный материал для инициации различных взаимодействий; xi) хиральная газовая хроматография - технология, в которой рацемат переводят в газообразное состояние и разделяют энантиомеры благодаря их различному взаимодействию в газовой подвижной фазе с колонкой, содержащей неподвижную нерацемическую фазу хирального адсорбента; xii) экстракция хиральными растворителями - технология, в которой энантиомеры разделяют благодаря предпочтительному растворению одного энантиомера в конкретном хиральном растворителе; xiii) перенос через хиральные мембраны -технология, в которой рацемат приводят в контакт с тонким мембранным барьером. Барьер обычно обеспечивает разделение двух смешиваемых жидкостей, одна из которых содержит рацемат, и движущая сила, такая как разность концентрации или давления, вызывает предпочтительный перенос через мембранный барьер. Разделение происходит в результате нерацемической хиральной природы мембраны, которая обеспечивает перенос только одного энантиомера рацемата. В одном из вариантов реализации используют хиральную хроматографию, включая хроматографию с псевдодвижущимся слоем. В продаже доступен широкий ассортимент хиральных стационарных фаз. Некоторые соединения, описанные в настоящем документе, содержат олефиновые двойные связи, и если не указано иное, они включают и Е, и Z геометрические изомеры. Кроме того, некоторые нуклеозиды, описанные в настоящем документе, могут существовать в форме таутомеров, таких как кето-енольные таутомеры. Отдельные таутомеры, а также их смеси, входят в объем соединений согласно настоящему изобретению. Комбинированные терапии Соединение, описанное в настоящем документе, можно вводить в дополнение к другим активным соединениям. Указанные соединения включают, но не ограничиваются ими, анальгетики, противовоспалительные препараты, жаропонижающие, антидепрессанты, противоэпилептические препараты, антигистамины, лекарства против мигрени, антимускариновые препараты, анксиолитики, седативные лекарства, снотворные, антипсихотические препараты, бронхорасширяющие препараты, лекарства против астмы, сердечно-сосудистые препараты, кортикостероиды, дофаминергические препараты, электролиты, желудочно-кишечные препараты, мышечные релаксанты, питательные вещества, витамины, парасимпатомиметики, стимуляторы, анорексигенные агенты, препараты против нарколепсии и противовирусные агенты. В конкретном варианте реализации противовирусный агент представляет собой противовирусный агент, не оказывающий направленного действия на ЦНС. «Введение в дополнение», в контексте данного документа, означает, что предложенное соединение можно вводить в одной и той же лекарственной форме или в отдельной лекарственной форме с одним или более другими активными агентами. Дополнительный активный агент(ы) может быть составлен в композицию для мгновенного высвобождения, контролируемого высвобождения или их комбинаций. Конкретные примеры соединений, которые можно вводить в качестве дополнения с предложенными соединениями, включают, но не ограничиваются ими, ацеклофенак, ацетаминофен, адомексетин, алмотриптан, алпразолам, амантадин, амцинонид, аминоциклопропан, амитриптилин, амолодипин, амоксапин, амфетамин, арипипразол, аспирин, атомоксетин, азасетрон, азатадин, беклометазон, бенактизин, беноксапрофен, бермопрофен, бетаметазон, бицифадин, бромкриптин, будесонид, бупренорфин, бупропион, буспирон, буторфанол, бутриптилин, кофеин, карбамазепин, карбидопа, каризопродол, целекоксиб, хлордиазепоксид, хлорпромазин, холинсалицилат, циталопрам, кломипрамин, клоназепам, клонидин, клонитазен, клоразепат, клотиазепам, клоксазолам, клозапин, кодеин, кортикостерон, кортизон, циклобензаприн, ципрогептадин, демексиптилин, дезипрамин, дезопорфин, дексаметазон, дексанабинол, декстроамфетамин сульфат, декстроморамид, декстропропоксифен, дезоцин, диазепам, дибензепин, диклофенак натрия, дифлунисал, дигидрокодеин, дигидроэрготамин, дигидроморфин, диметакрин, дивалпроксекс, дизатриптан, доласетрон, донепезил, дотиепин, доксепин, дулоксетин, эрготамин, эксциталопрам, эстазолам, этосуксимид, этодолак, фемоксетин, фенаматы, фенопрофен, фентанил, флудиазепам, флуоксетин, флуфеназин, флуразепам, флурбипрофен, флутазолам, флувоксамин, фроватриптан, габапентин, галантамин, гепирон, гинко билоба, гранисетрон, галоперидол, гуперзин А, гидрокодон, гидрокортизон, гидроморфон, гидроксизин, ибупрофен, имипрамин, индиплон, индометацин, индопрофен, иприндол, ипсапирон, кетасерин, кетопрофен, кеторолак, лезопитрон, леводопа, липазу, лофепрамин, лоразепам, локсапин, мапротилин, мазиндол, мефенаминовую кислоту, мелатонин, мелитрацен, мемантин, меперидин, мепробамат, месаламин, метапрамин, метаксалон, метадон, метамфетамин, метокарбамол, метилдопа, метилфенидат, метилсалицилат, метисергид, метоклопрамид, миансерин, мифепристон, милнаципран, минаприн, миртазапин, моклобемид, модафинил (против нарколепсии), молиндон, морфин, морфина гидрохлорид, набуметон, надолол, напроксен, наратриптан, нефазодон, нейронтин, номифензин, нортриптилин, оланзапин, олсалазин, ондансетрон, опипрамол, орфенадрин, оксафлозан, оксапразин, оксазепам, окситриптан, оксикодон, оксиморфон, панкрелипазу, парекоксиб, пароксетин, пемолин, пентазоцин, пепсин, перфеназин, фенацетин, фендиметразин, фенметразин, фенилбутазон, фенитоин, фосфатидилсерин, пимозид, пирлиндол, пироксикам, пизотифен, пизотилин, прамипексол, преднизолон, преднизон, прегабалин, пропанолол, пропизепин, пропоксифен, протрифилин, квазепам, хинупрамин, ребокситин, ресерпин, рисперидон, ритансерин, ривастигмин, ризатриптан, рофекоксиб, ропинирол, ротиготин, салсалат, сертралин, сибутрамин, силденафил, сульфасалазин, сулиндак, суматриптан, такрин, темазепам, тетрабенозин, тиазиды, тиоридазин, тиотиксен, тиаприд, тиазипирон, тизанидин, тофенацин, толметин, толоксатон, топирамат, трамадол, тразодон, триазолам, трифторперазин, триметобензамид, тримипрамин, трописетрон, валдекоксиб, вальпроевую кислоту, венлафаксин, вилоксазин, витамин Е, зимелдин, зипразидон, золмитриптан, золпидем, зопиклон и их изомеры, соли и комбинации. В некоторых вариантах реализации иллюстративные соединения и фармацевтические композиции можно вводить в комбинации с другим противовирусным агентом(ами), таким как абакавир, ацикловир, адефовир, амантадин, ампренавир, амплиген, арбидол, атазанавир, атрипла, балапиравир, ВСХ4430, боцепревир, цидофовир, комбивир, даклатасвир, дарунавир, дазабувир, делавирдин, диданозин, докозанол, эдоксудин, эфавиренц, эмтрицитабин, энфувиртид, энтекавир, фамцикловир, фарипиравир, фомивирсен, фосампренавир, фоскарнет, фосфонет, ганцикловир, GS-5734, ибацитабин, имуновир, идоксуридин, имиквимод, индинавир, инозин, интерферон типа III, интерферон типа II, интерферон типа I, ламивудин, ледипасвир, лопинавир, ловирид, маравирок, мороксидин, метизазон, нелфинавир, невирапин, нексавир, NITD008, омбитасвир, осельтамивир, паритапревир, пегинтерферон альфа-2а, пенцикловир, перамивир, плеконарил, подофиллотоксин, ралтегравир, рибавирин, римантадин, ритонавир, пирамидин, саквинавир, симепревир, софосбувир, ставудин, телапревир, телбивудин, тенофовир, тенофовир дизопроксил, тенофовир эксалидекс, типранавир, трифлуридин, тризивир, тромантадин, трувада, валацикловир, валганцикловир, викривирок, видарабин, вирамидин, зальцитабин, занамивир или зидовудин, и их комбинации. В иллюстративных вариантах реализации иллюстративные соединения и фармацевтические композиции можно вводить в комбинации с В иллюстративных вариантах реализации В иллюстративных вариантах реализации ПРИМЕРЫ Пример 1. Получение конъюгата Получали несколько групп моно- и дифосфатных пролекарств. См. Jessen et al., Bioreversible Protection of Nucleoside Diphosphates, Angewandte Chemie-International Edition English 2008, 47 (45), 8719-8722, содержание которой включено в настоящий документ посредством ссылки. Для предотвращения разрушения ангидридной связи Р-О-Р используют подвешенную группу, которая быстро фрагментируется (например, бис-(4-ацилоксибензил)нуклеозиддифосфаты (BAB-NDP), которые деацилируются эндогенной эстеразой) с образованием отрицательного заряда на втором фосфате. См. также Routledge et al., Synthesis, Bioactivation and Anti-HIV Activity of 4-Acyloxybenzyl-bis(nucleosid-5'-yl) Phosphates, Nucleosides & Nucleotides 1995, 14 (7), 1545-1558, и Meier et al., Comparative study of bis(benzyl)phosphate triesters of 2',3'-dideoxy-2',3'-didehydrothymidine (d4T) and cycloSal-d4TMP-hydrolysis, mechanistic insights and anti-HIV activity, Antiviral Chemistry and Chemotherapy 2002, 13,101-114, содержание которых включено в настоящий документ посредством ссылки. Как только это происходит, ангидридная связь Р-О-Р становится менее подверженной разрыву, и затем оставшаяся защитная группа может подвергаться окончательному расщеплению с образованием нуклеозиддифосфата. Другие способы получения дифосфатных и монотиодифосфатных пролекарств представлены на фиг. 5. Используются стандартные условия связывания для получения сфинголипид-нуклеозидмонофосфатных пролекарств. Соответствующие дифосфатные пролекарства могут быть получены в соответствии со способами, представленными на фиг. 5, и описанными в публикации Smith et al., Substituted Nucleotide Analogs, в заявке на патент США 2012/0071434; Skowronska et al., Reaction of Oxophosphorane-Sulfenyl and Oxophosphorane-Selenenyl Chlorides with Dialkyl Trimethylsilyl Phosphites - Novel Synthesis of Compounds Containing a Sulfur or Selenium Bridge Between 2 Phosphoryl Centers, Journal of the Chemical Society-Perkin Transactions 1 1988, 8, 2197-2201; Dembinski et al., An Expedient Synthesis of Symmetrical Tetra-Alkyl Mono-thiopyrophosphates, Tetrahedron Letters 1994, 35 (34), 6331-6334; Skowronska et al., Novel Synthesis of Symmetrical Tetra-Alkyl Monothiophosphates, Tetrahedron Letters 1987, 28 (36), 4209-4210; и Chojnowski et al., Methods of Synthesis of O.O-Bis TrimethylSilyl Phosphorothiolates. Synthesis-Stuttgart 1977, 10, 683-686, полное содержание которых включено в настоящий документ посредством ссылки. Пример 2. Общий способ связывания оснований Персилилированное нуклеооснование получали в круглодонной колбе, в которую загружали сухое нуклеооснование (15,5 ммоль), хлортриметилсилан (12,21 ммоль) и бис(триметилсилил)амин (222 ммоль) в атмосфере азота. Смесь кипятили с обратным холодильником при перемешивании в течение ночи (16 часов) до растворения твердых веществ. Смесь охлаждали до комнатной температуры и удаляли летучие вещества на ротационном испарителе, затем под высоким вакуумом с получением персилилированного нуклеооснования. Полученное соединение сразу использовали на следующей стадии. Свежеполученное персилилированное нуклеооснование (15,50 ммоль) растворяли в 1,2-дихлорэтане (50 мл) или хлорбензоле (50 мл) в атмосфере азота при перемешивании при комнатной температуре. К перемешанной смеси добавляли сразу весь раствор □-D-рибофуранозы 1,2,3,5-тетраацетата (7,75 ммоль) в 1,2-дихлорэтане (50 мл) или хлорбензоле (50 мл). К полученной смеси по каплям, через шприц добавляли SnCl4 (11,63 ммоль) и перемешивали смесь при комнатной температуре в течение 6 часов до полного расходования исходного вещества. Смесь охлаждали до 0°С и добавляли насыщенный водный раствор NaHCO3 (125 мл). Смесь нагревали до комнатной температуры и перемешивали 30 минут. Смесь экстрагировали EtOAc (2×200 мл) и промывали объединенные органические слои насыщенным солевым раствором (1×100 мл), сушили над Na2SO4, фильтровали и концентрировали на ротационном испарителе с получением 5,5 г неочищенного продукта. Неочищенный материал растворяли в дихлорметане, иммобилизовали на целите и подвергали флэш-хроматографии с получением требуемого ацетат-защищенного продукта. С полученного рибонуклеозида снимали защиту, используя стандартные условия снятия защиты. Пример 3. Общий способ связывания цитозинового аналога В колбу, содержащую N4-бензоил-защищенный аналог цитозина (0,793 ммоль), добавляли бис(триметилсилил)амин (8,45 ммоль) и сульфат аммония (0,02 ммоль) в атмосфере N2. Полученную смесь нагревали до кипения с обратным холодильником в течение 2 часов, затем охлаждали до комнатной температуры, удаляли растворитель in vacuo и дополнительно сушили под высоким вакуумом в течение 1 часа. Остаток растворяли в сухом хлорбензоле (10 мл) и добавляли □-D- или □-L-рибофуранозы 1,2,3,5-тетраацетат (0,53 ммоль). Затем по каплям добавляли SnCl4 (0,27 мл, 2,3 ммоль). После перемешивания при комнатной температуре в течение 1 часа смесь нагревали до 60°С в течение ночи. После охлаждения до 0°С добавляли твердый бикарбонат натрия (0,85 г), затем EtOAc (5 мл). Смесь оставляли перемешиваться на 15 минут и затем медленно добавляли воду (0,5 мл). Нерастворимый материал отфильтровывали и промывали дополнительным количеством EtOAc (2,5 мл). Фильтрат промывали один раз водой, один раз насыщенным солевым раствором, сушили (Na2SO4) и концентрировали in vacuo. Неочищенный материал очищали колоночной хроматографией на SiO2. Пример 4. Общие условия дезаминирования Раствор бензоил-защищенного цитидинрибонуклеозида (1,02 ммоль) в 80% водном растворе АсОН (30 мл) нагревали до кипения с обратным холодильником в течение 16 часов. Затем удаляли растворитель in vacuo и сушили под высоким вакуумом. Белое твердое вещество растирали с эфиром, отфильтровывали и промывали дополнительным количеством эфира с получением требуемого продукта. Пример 5. Общий способ связывания урацилового аналога Персилилированный урацил получали в круглодонной колбе, в которую загружали урацил (15,5 ммоль), хлортриметилсилан (12,21 ммоль) и бис(триметилсилил)амин (222 ммоль) в атмосфере азота. Смесь кипятили с обратным холодильником при перемешивании в течение ночи (16 часов) до полного растворения твердых веществ с образованием прозрачного бесцветного раствора. Смесь охлаждали до комнатной температуры и удаляли летучие вещества на ротационном испарителе, затем под высоким вакуумом с получением персилилированного урацила. Полученное соединение сразу использовали на следующей стадии. Свежеполученный персилилированный урацил (15,50 ммоль) растворяли в 1,2-дихлорэтане (50 мл) в атмосфере азота при перемешивании при комнатной температуре. К перемешанной смеси добавляли сразу весь раствор □-D- или □-L-рибофуранозы 1,2,3,5-тетраацетата (7,75 ммоль) в 1,2-дихлорэтане (50 мл). К полученной смеси по каплям, через шприц добавляли SnCl4 (11,63 ммоль) и перемешивали смесь при комнатной температуре в течение 6 часов до полного расходования исходного вещества. Смесь охлаждали до 0°С и добавляли насыщенный водный раствор NaHCO3 (125 мл). Смесь нагревали до комнатной температуры и перемешивали 30 минут. Смесь экстрагировали EtOAc (2×200 мл) и промывали объединенные органические слои насыщенным солевым раствором (1×100 мл), сушили над Na2SO4, фильтровали и концентрировали на ротационном испарителе с получением 5,5 г неочищенного продукта. Неочищенный материал растворяли в дихлорметане, иммобилизовали на целите и подвергали флэш-хроматографии на системе Combiflash (колонка 120 г, градиент от 5 до 50% EtOAc в гексанах) с получением продукта. Пример 6. Общие условия снятия ацетатной или бензоильной защиты Бензоил-защищенный аналог рибонуклеозида (0,25 ммоль) перемешивали с 7 н. раствором аммиака в МеОН при комнатной температуре в течение 15,5 часа. Затем растворитель удаляли, а неочищенный материал очищали колоночной хроматографией на SiO2 с получением требуемого рибонуклеозида. Пример 7. Синтез 1'-дейтерированных нуклеозидных аналогов Лактон (0,0325 моль) добавляли в сухую колбу в атмосфере аргона и затем растворяли в сухом ТГФ (250 мл). Затем раствор охлаждали до минус 78°С и по каплям добавляли раствор DIBAL-D в толуоле (0,065 моль). Реакционную смесь оставляли перемешиваться при минус 78°С в течение 3-4 часов. Затем реакцию гасили, медленно добавляя воду (3 мл). Затем реакционную смесь оставляли перемешиваться, одновременно нагревая до комнатной температуры. Затем смесь разбавляли двумя объемами диэтилового эфира и затем выливали в равный объем насыщенного раствора тартрата натрия-калия. Органический слой отделяли, сушили над MgSO4, фильтровали и концентрировали при пониженном давлении. Остаток очищали на диоксиде кремния, элюируя смесью гексаны/этилацетат. Затем полученный лактол превращали в ацетат или бензоилат и подвергали действию условий связывания основания для внедрения требуемого нуклеооснования. Пример 8. В круглодонную колбу объемом 1 л загружали уридин (36,6 г, 150 ммоль) и ацетон (объем: 700 мл) при перемешивании в атмосфере азота при комнатной температуре. Суспензию обрабатывали концентрированной серной кислотой (0,800 мл, 15,00 ммоль) и перемешивали смесь при комнатной температуре в течение ночи. После перемешивания в течение 16 часов добавляли сразу весь триэтиламин (41,8 мл, 300 ммоль), смесь перемешивали 30 минут и затем концентрировали на ротационном испарителе с получением вязкого белого вещества. Полученное твердое вещество растворяли в кипящем iPrOH (~1,4 л) и оставляли остывать в течение ночи при комнатной температуре. После охлаждения в течение ночи наблюдали образование мелких кристаллов. Колбу ставили в холодильник на 3 часа и наблюдали образование большего количества кристаллов. Смесь фильтровали под вакуумом и промывали твердое вещество ледяным iPrOH (2×200 мл) и ледяным эфиром (2×200 мл). Выделяли твердое вещество с получением соединения 1 (21,75 г, 77 ммоль, выход 51,0%) в виде белого порошкообразного вещества. В круглодонную колбу загружали соединение 1 (21,75 г, 77 ммоль) и ДХМ (219 мл) и перемешивали смесь в атмосфере азота. Добавляли сразу весь твердый 4-DMAP (23,37 г, 191 ммоль) и перемешивали смесь при комнатной температуре до растворения твердых веществ. Смесь охлаждали до 0°С и по частям добавляли твердый тозилхлорид (17,50 г, 92 ммоль) за 5 минут. Смесь перемешивали при комнатной температуре в течение 1 часа до полного расходования исходного вещества. Смесь переносили в делительную воронку и промывали органический слой 1 н. HCl (2×200 мл), насыщенным водным раствором NaHCO3 (1×200 мл) и насыщенным солевым раствором (1×200 мл), затем сушили над Na2SO4, фильтровали и концентрировали на ротационном испарителе с получением соединения 2 (34,52 г, 74,8 ммоль, выход 98%) в виде белого твердого вещества. К перемешанному раствору соединения 2 (3,95 г, 9,01 ммоль) в ТГФ (30 мл) при 0°С в атмосфере азота добавляли сразу весь твердый трет-бутоксид калия (3,03 г, 27,0 ммоль), реакционная смесь стала желтой суспензией. Смесь перемешивали при 0°С в течение 2 часов. Добавляли силикагель (6 г) и целит (14 г) вместе с дополнительным количеством ТГФ и концентрировали смесь на ротационном испарителе. После флэш-хроматографии на системе Isco (колонка 80 г, от 1 до 5% МеОН в ДХМ) получали соединение 3 (2,17 г, 8,15 ммоль, выход 90%) в виде белого порошкообразного вещества. В круглодонную колбу помещали мешалку, соединение 3 (2,17 г, 8,15 ммоль), фторид серебра (I) (5,17 г, 40,8 ммоль) и ДХМ (объем: 152 мл, соотношение: 14) при 0°С. К полученной энергично перемешиваемой смеси по каплям, через шприц добавляли раствор йода (4,14 г, 16,30 ммоль) в ТГФ (объем: 10,87 мл, соотношение: 1,000) в течение 40 минут. После завершения добавления смесь перемешивали еще 15 минут при 0°С, затем добавляли 1:1 смесь насыщ. водн. NaHCO3:насыщ. водн. Na2S2O3 (75 мл) и отфильтровывали всю смесь через слой целита, промывая ДХМ (2×50 мл). Фильтрат переносили в делительную воронку и сушили органический слой над Na2SO4, отфильтровывали и концентрировали на ротационном испарителе с получением 4 г продукта. После флэш-хроматографии на системе Isco (колонка 120 г, от 5 до 25% EtOAc в ДХМ) получали соединение 4 (2,06 г, 5,00 ммоль, выход 61,3%) в виде бледно-желтого хлопьевидного вещества. В круглодонную колбу загружали соединение 4 (10,76 г, 26,1 ммоль), сульфат тетрабутиламмония (8,86 г, 26,1 ммоль), тригидрат двухосновного гидрофосфата калия (8,94 г, 39,2 ммоль), ДХМ (объем: 1088 мл, соотношение: 5) и воду (объем: 218 мл, соотношение: 1,000) и энергично перемешивали двухфазную смесь при комнатной температуре. К полученной смеси добавляли сразу весь твердый mCPBA, 77% мас./мас.(29,3 г, 131 ммоль) и перемешивали смесь при комнатной температуре в течение ночи. После перемешивания в течение 20 часов при комнатной температуре, по данным ТСХ анализа, весь исходный материал был израсходован. Смесь гасили, медленно добавляя насыщенный водный раствор Na2S2O3 (375 мл), затем насыщенный водный раствор Na2CO3 (375 мл). Органический слой удаляли, а водный слой экстрагировали ДХМ (1×450 мл). Объединенные органические слои сушили над Na2SO4, фильтровали и концентрировали на ротационном испарителе с получением 22 г неочищенного продукта. Неочищенное вещество растворяли в ДХМ и очищали флэш-хроматографией на системе Isco (колонка 330 г, от 5 до 25% EtOAc в ДХМ) с получением 10 г получистого продукта. Соединение растворяли в ДХМ и очищали флэш-хроматографией на системе Isco (колонка 330 г, от 5 до 70% EtOc в гексанах) с получением соединения 5 (6,91 г, 15,68 ммоль, выход 60,0%) в виде грязновато-белого хлопьевидного вещества. В круглодонную колбу загружали соединение 5 (3,53 г, 8,0 ммоль) и раствор аммиака в МеОН (34,3 мл, 240 ммоль) при 0°С. Смесь перемешивали в течение 5 часов, после чего весь исходный материал был израсходован. Смесь концентрировали на ротационном испарителе с получением приблизительно 4 г неочищенного продукта в виде желтого маслянистого вещества. Неочищенный продукт растворяли в ДХМ и очищали флэш-хроматографией на системе Isco (колонка 120 г, от 1 до 5% МеОН в ДХМ) с получением соединения 6 (2,20 г, 7,28 ммоль, выход 91%) в виде белого порошкообразного вещества. В 3-горлую круглодонную колбу объемом 1 л, оснащенную датчиком температуры, верхнеприводной мешалкой и капельной воронкой (отверстие для подачи аргона), загружали оксихлорид фосфора (15,50 мл, 166 ммоль) в ТГФ (300 мл), вакуумировали и продували аргоном 3х, затем охлаждали до ниже минус 70°С с помощью сухого льда/ацетона. Через капельную воронку медленно добавляли раствор 2-(гидроксиметил)фенола (18,77 г, 151 ммоль) и триэтиламина (44,3 мл, 317 ммоль) в 200 мл ТГФ в течение 30 минут. Полученную светло-коричневую смесь медленно нагревали до комнатной температуры и перемешивали в течение 3 часов. Охлаждали до 0°С на ледяной бане и добавляли триэтиламин (25,3 мл, 181 ммоль), затем к быстро перемешиваемой смеси медленно добавляли раствор 2,3,4,5,6-пентафторфенола (25,05 г, 136 ммоль) в ТГФ (100 мл). Нагревали до комнатной температуры и контролировали по ТСХ (25% EtOAc/гексаны). Исходное соединение было израсходовано за менее, чем 2 часа, присутствовал только продукт (Rf=0,5). Маслянистое вещество очищали с помощью СГХ (стеклянная колонка, 10-25% EtOAc/гексаны), фракции, содержащие продукт, объединяли и концентрировали при пониженном давлении с получением соединения 7 (41,2 г, 117 ммоль, выход 77%) в виде белого твердого вещества. К перемешанному раствору соединения 6 (1,95 г, 6,45 ммоль) в ТГФ (объем: 96 мл, соотношение: 5) при 0°С в атмосфере азота по каплям, через шприц добавляли раствор трет-бутилмагнийхлорида, 1 М в ТГФ (14,19 мл, 14,19 ммоль). Образовывался белый осадок; смесь нагревали до комнатной температуры и перемешивали в течение 30 минут, затем снова охлаждали до 0°С. По каплям, через шприц добавляли раствор соединения 7 (5,68 г, 16,13 ммоль) в ТГФ (объем: 19,20 мл, соотношение: 1,000) и нагревали смесь до комнатной температуры, и перемешивали в течение ночи. Через 18 часов перемешивания осталось немного исходного вещества и образовался один немного менее полярный продукт. Смесь гасили, добавляя твердый NH4CI (2 г), и иммобилизовали смесь на целите. В результате флэш-хроматографии на системе Isco (колонка 220 г, от 1 до 5% МеОН в ДХМ) получали 1,94 г белого твердого вещества, которое состояло из требуемого продукта и пентафторфенола. Твердое вещество растворяли в ДХМ и промывали насыщенным водным раствором NaHCO3 (3×100 мл). Органический слой сушили над Na2SO4, фильтровали и концентрировали на ротационном испарителе с получением соединения 8 (1,70 г, 3,61 ммоль, выход 56,0%) в виде белого порошкообразного вещества. В круглодонную колбу загружали соединение 8 (,250 г, 0,532 ммоль) и муравьиную кислоту, 80% водн. (объем: 10 мл). Смесь перемешивали при комнатной температуре в атмосфере азота в течение ночи. После перемешивания в течение 20 часов удаляли все летучие вещества на ротационном испарителе. Остаток растворяли в МеОН и иммобилизовали на целите. В результате флэш-хроматографии на системе Isco (колонка 24 г, от 1 до 15% МеОН в ДХМ) получали белое порошкообразное вещество, 175 мг, чистота 90-95% по ЯМР. Полученный белый порошок растворяли в 5:1 смеси вода:MeCN и в результате обращенно-фазовой флэш-хроматографии на системе Isco (колонка С18 100 г, от 100% воды до 100% MeCN) получали хорошее отделение примесей. Фракции, содержащие требуемый продукт, концентрировали, растворяли в 5:1 смеси вода:MeCN, замораживали на бане из сухого льда и лиофилизировали с получением соединения 9, EIDD-02838. Пример 9. Уридин (1 ммоль) суспендировали в диоксане (4 мл), затем добавляли пиридин (2 ммоль), PPh3 (1,5 ммоль) и йод (1,5 ммоль) в атмосфере аргона. Смесь перемешивали при комнатной температуре в течение ночи. Реакционную смесь гасили метанолом и насыщенным водным раствором Na2S2O3, и затем выпаривали досуха с получением неочищенного соединения 10, которое напрямую использовали на следующей стадии. Неочищенное соединение растворяли в сухом ДМФА в атмосфере аргона, затем добавляли имидазол (5 экв.) и TBSCI (4 экв.) при 0°С. Смесь 10 оставляли нагреваться до комнатной температуры и перемешивали в течение ночи. Реакционную смесь разделяли между AcOEt/H2O (3:1). Органический слой сушили над MgSO4, фильтровали и концентрировали при пониженном давлении. Полученный остаток очищали на силикагелевой колонке, элюируя гексанами и этилацетатом, с получением соединения 11. Соединение 11 растворяли в сухом MeCN и обрабатывали DBN (2,25 экв.) при 0°С в атмосфере аргона. Реакционную смесь оставляли перемешиваться в течение ночи. Реакционную смесь нейтрализовали АсОН и затем выпаривали досуха. Остаток разделяли между ДХМ и насыщенным водным раствором NaHCO3. Органический слой сушили над MgSO4, фильтровали и концентрировали при пониженном давлении. Полученный остаток очищали на силикагелевой колонке, элюируя гексанами и этилацетатом, с получением соединения 12. К раствору соединения 12 в сухом ДХМ (20 мл/ммоль 12) добавляли DMDO (0,1 М в ацетоне, 1,2 экв.) при минус 30°С в атмосфере аргона. Реакционную смесь оставляли перемешиваться в течение 1 часа и затем выпаривали досуха с получением соединения 13, которое сразу использовали на следующей стадии. К раствору соединения 13 в сухом ДХМ (20 мл/ммоль 13) добавляли SnCl4 (3 экв.) при минус 30°С в атмосфере аргона. Смесь оставляли перемешиваться в течение 1 часа и затем гасили насыщенным водным раствором NaHCO3. Смесь фильтровали через слой целита и разделяли фильтрат между ДХМ и насыщенным водным раствором NaHCO3. Органический слой сушили над MgSO4, фильтровали и концентрировали при пониженном давлении. Полученный остаток очищали на силикагелевой колонке, элюируя гексанами и этилацетатом, с получением соединений 14 и 15 в соотношении 2:1. Соединение 15 обрабатывали TBAF (2,5 экв.) в ТГФ. После расходования исходного вещества реакционную смесь концентрировали при пониженном давлении и очищали с помощью обращенной фазы с получением соединения 16. Соединение 15 обрабатывали в тех же условиях, что и соединение 6, затем обрабатывали TBAF с получением соединения 17. Пример 10. В круглодонную колбу загружали соединение 5 (,250 г, 0,567 ммоль) и муравьиную кислоту, 80% водн. (объем: 10 мл). Смесь перемешивали при комнатной температуре в атмосфере азота в течение ночи. После перемешивания в течение 20 часов удаляли все летучие вещества на ротационном испарителе. Остаток растворяли в МеОН и иммобилизовали на целите. В результате флэш-хроматографии на системе Isco (колонка 24 г, от 1 до 15% МеОН в ДХМ) получали белое порошкообразное вещество, чистота 90-95% по ЯМР. Полученный белый порошок растворяли в 5:1 смеси вода:MeCN и в результате обращенно-фазовой флэш-хроматографии на системе Isco (колонка C18 1 00 г, от 1 00% воды до 1 00% MeCN) получали хорошее отделение примесей. Фракции, содержащие требуемый продукт, концентрировали, растворяли в 5:1 смеси вода:MeCN, замораживали на бане из сухого льда и лиофилизировали с получением соединения 18. В круглодонную колбу загружали соединение 18 (3,53 г, 8,8 ммоль) и раствор аммиака в МеОН (34,3 мл, 240 ммоль) при 0°С. Смесь оставляли перемешиваться в течение 5 часов, после чего весь исходный материал был израсходован. Смесь концентрировали на ротационном испарителе с получением приблизительно 4 г неочищенного продукта в виде желтого маслянистого вещества. Неочищенный продукт растворяли в ДХМ и очищали флэш-хроматографией на системе Isco (колонка 120 г, от 1 до 5% МеОН в ДХМ) с получением соединения 19, EIDD-02749 (2,20 г, 7,28 ммоль, выход 91%) в виде белого порошкообразного вещества. Пример 11. К перемешанному раствору DMP (27,5 г, 64,9 ммоль) в ДХМ (162 мл, 0,2 М), охлажденному до 0°С, добавляли соединение 23 (15 г, 32,4 ммоль). Реакционную смесь перемешивали при 0°С и оставляли нагреваться до комнатной температуры. После перемешивания в течение 18 часов реакционную смесь концентрировали при пониженном давлении до пастообразного вещества, которое затем суспендировали в 100 мл этилового эфира, затем фильтровали через 50 г слой диоксида кремния/сульфата магния 1:1 по массе, и промывали общим объемом 400 мл этилового эфира. Эфирный слой промывали, используя 2,5 г тиосульфата натрия в 15 мл воды, затем 2×30 мл охлажденного раствора бикарбоната натрия, и, наконец, 30 мл насыщенного солевого раствора. Затем сушили фильтрат над сульфатом натрия, фильтровали и концентрировали при пониженном давлении с получением пенистого вещества, которое использовали без дополнительной очистки. Перед использованием на следующей стадии получали раствор кетона (32,6 ммоль) в ДХМ (200 мл) и перемешивали в течение ночи над 5 г сульфата магния при комнатной температуре. Через 18 часов перемешивания раствор отфильтровывали и концентрировали при пониженном давлении. К охлажденному до минус 78°С раствору TMS-этилена (11,4 мл, 80 ммоль) в сухом ТГФ (100 мл) в атмосфере аргона добавляли бутиллитий (30,5 мл, 2,5 М в гексанах, 76 ммоль). Через 30 минут перемешивания литированный алкин добавляли через канюлю в охлажденную до минус 78°С суспензию безводного CeCl3 (33,5 г, 90 ммоль, сушили в течение ночи при 150°С под высоким вакуумом) в сухом ТГФ (130 мл) с 2×15 мл промываниями с использованием ТГФ. Через 90 минут перемешивания через канюлю добавляли раствор соединения 24 (32,4 ммоль) в сухом ТГФ (50 мл) (промывание 2×10 мл ТГФ). Через 3 часа перемешивания полученный раствор гасили насыщенным водным раствором хлорида аммония (100 мл). Реакционную смесь нагревали до комнатной температуры и фильтровали через слой целита. Слой целита промывали этиловым эфиром (3×100 мл) и насыщенным водным раствором хлорида аммония (100 мл). Фильтрат разделяли и промывали органический слой насыщенным водным раствором хлорида аммония (100 мл) и насыщенным солевым раствором. Фильтрат сушили над сульфатом натрия, фильтровали и концентрировали при пониженном давлении с получением маслянистого вещества, которое очищали хроматографией на силикагеле с использованием 10-50% этилацетата в гексанах, с получением продукта в виде смеси аномеров. К перемешанному при 0°С раствору полученного выше продукта (32,4 ммоль) в сухом ДХМ (163 мл, 0,2 М) в атмосфере аргона последовательно добавляли триэтиламин (18 мл, 130 ммоль), DMAP (3,98 г, 32,4 ммоль) и бензоилхлорид (9,46 мл, 82 ммоль). После перемешивания в течение 16 часов реакционную смесь концентрировали при пониженном давлении и затем перемешивали в 200 мл этилового эфира, и отфильтровывали. Органический слой концентрировали при пониженном давлении с получением пастообразного вещества, которое очищали хроматографией на силикагеле, элюируя 10-25% этилацетата в гексанах, с получением соединения 25 в виде смеси аномеров. Затем соединение 25 подвергали действию обычных условий связывания основания, а затем соответствующих условий снятия защиты. Пример 12. Лактон (0,0325 моль) добавляли в сухую колбу в атмосфере аргона и затем растворяли в сухом ТГФ (250 мл). Затем раствор охлаждали до минус 78°С и по каплям добавляли раствор DIBAL-D в толуоле (0,065 моль). Реакционную смесь оставляли перемешиваться при минус 78°С в течение 3-4 часов. Затем реакцию гасили, медленно добавляя воду (3 мл). Затем реакционную смесь оставляли перемешиваться, одновременно нагревая до комнатной температуры. Затем смесь разбавляли двумя объемами диэтилового эфира и затем выливали в равный объем насыщенного раствора тартрата натрия-калия. Органический слой отделяли, сушили над MgSO4, фильтровали и концентрировали при пониженном давлении. Остаток очищали на диоксиде кремния, элюируя смесью гексаны/этил ацетат. Затем полученный лактол в виде раствора в сухом ДХМ обрабатывали бензоилхлоридом, триметиламином и DMAP. Реакционную смесь оставляли перемешиваться при 0°С до полного расходования исходного вещества. Затем реакционную смесь промывали водой, а затем насыщенным солевым раствором. Органический слой сушили над MgSO4, фильтровали и концентрировали при пониженном давлении. Продукт очищали на диоксиде кремния, элюируя смесью гексаны/этилацетат. К перемешанной суспензии урацила (3,92 г, 2 экв.) в HMDS (18 мл) добавляли сульфат аммония (230 мг, 0,1 экв.). Затем суспензию кипятили с обратным холодильником в течение 18 часов с получением прозрачного раствора. Раствор охлаждали до комнатной температуры и концентрировали при пониженном давлении до пастообразного состояния. Сахар 27 растворяли в 1,2-дихлорэтане (120 мл) и концентрировали при пониженном давлении до объема примерно 80 мл. Затем раствор сахара через канюлю вводили в колбу, содержащую силилированное основание, с 2×20 мл промываниями с использованием ДХЭ. Реакционную смесь охлаждали до 0°С и затем по каплям добавляли тетрахлорид олова за 5 минут. Через 30 минут перемешивания реакционную смесь оставляли нагреваться до комнатной температуры и перемешивали еще 18 часов в течение ночи. В реакционную смесь загружали 10 г бикарбоната натрия и 10 г целита. По каплям добавляли 10 мл насыщенного водного раствора бикарбоната натрия (наблюдали выделение газа). После гашения реакционную смесь оставляли перемешиваться в течение 30 минут и затем отфильтровывали через слой целита. Указанный слой промывали ДХМ (2×150 мл) и промывали органические слои, используя 100 мл насыщенного водного раствора бикарбоната натрия. Органические вещества собирали, сушили над сульфатом натрия, фильтровали и концентрировали при пониженном давлении с получением коричневого пастообразного вещества, которое очищали хроматографией на силикагеле, элюируя 25-100% этилацетата в гексанах. В круглодонную колбу загружали соединение 28 и раствор аммиака в МеОН при 0°С. Смесь оставляли перемешиваться в течение 5 часов, после чего весь исходный материал был израсходован. Смесь концентрировали на ротационном испарителе с получением приблизительно 4 г неочищенного продукта в виде желтого маслянистого вещества. Неочищенное вещество растворяли в ДХМ и очищали флэш-хроматографией на системе Isco (колонка 120 г, от 1 до 5% МеОН в ДХМ) с получением соединения 29. Пример 13. В круглодонную колбу объемом 1 л загружали соединение 29 (36,6 г, 150 ммоль) и ацетон (объем: 700 мл) при перемешивании в атмосфере азота при комнатной температуре. Суспензию обрабатывали концентрированной серной кислотой (0,800 мл, 15,00 ммоль) и перемешивали смесь при комнатной температуре в течение ночи. После перемешивания в течение 16 часов добавляли сразу весь триэтиламин (41,8 мл, 300 ммоль), смесь перемешивали 30 минут и затем концентрировали на ротационном испарителе с получением вязкого белого твердого вещества. Полученное твердое вещество растворяли в кипящем iPrOH (~1,4 л) и оставляли остывать в течение ночи при комнатной температуре. После охлаждения в течение ночи наблюдали образование мелких кристаллов. Колбу ставили в холодильник на 3 часа и наблюдали образование большего количества кристаллов. Смесь фильтровали под вакуумом и промывали твердое вещество ледяным iPrOH (2×200 мл) и ледяным эфиром (2×200 мл). Выделяли твердое вещество с получением соединения 30 (21,75 г, 77 ммоль, выход 51,0%) в виде белого порошкообразного вещества. В круглодонную колбу загружали соединение 30 (21,75 г, 77 ммоль) и ДХМ (219 мл) и перемешивали смесь в атмосфере азота. Добавляли сразу весь твердый 4-DMAP (23,37 г, 191 ммоль) и перемешивали смесь при комнатной температуре до растворения твердых веществ. Смесь охлаждали до 0°С и по частям добавляли твердый тозилхлорид (17,50 г, 92 ммоль) за 5 минут. Смесь перемешивали при комнатной температуре в течение 1 часа до полного расходования исходного вещества. Смесь переносили в делительную воронку и промывали органический слой 1 н. HCl (2×200 мл), насыщенным водным раствором NaHCO3 (1×200 мл) и насыщенным солевым раствором (1×200 мл), затем сушили над Na2SO4, фильтровали и концентрировали на ротационном испарителе с получением соединения 31 (34,52 г, 74,8 ммоль, выход 98%) в виде белого твердого вещества. К перемешанному раствору соединения 31 (3,95 г, 9,01 ммоль) в ТГФ (30 мл) при 0°С в атмосфере азота добавляли сразу весь твердый трет-бутоксид калия (3,03 г, 27,0 ммоль), реакционная смесь стала желтой суспензией. Смесь перемешивали при 0°С в течение 2 часов. Добавляли силикагель (6 г) и целит (14 г) вместе с дополнительным количеством ТГФ и концентрировали смесь на ротационном испарителе. После флэш-хроматографии на системе Isco (колонка 80 г, от 1 до 5% МеОН в ДХМ) получали соединение 32 (2,17 г, 8,15 ммоль, выход 90%) в виде белого порошкообразного вещества. В круглодонную колбу помещали мешалку, соединение 32 (2,17 г, 8,15 ммоль), фторид серебра (I) (5,17 г, 40,8 ммоль) и ДХМ (объем: 152 мл, соотношение: 14) при 0°С. К полученной энергично перемешиваемой смеси по каплям, через шприц добавляли раствор йода (4,14 г, 16,30 ммоль) в ТГФ (объем: 10,87 мл, соотношение: 1,000) в течение 40 минут. После завершения добавления смесь перемешивали еще 15 минут при 0°С, затем добавляли 1:1 смесь насыщ. водн. МаНСО3:насыщ. водн. Na2S2O3 (75 мл) и отфильтровывали всю смесь через слой целита, промывая ДХМ (2×50 мл). Фильтрат переносили в делительную воронку и сушили органический слой над Na2SO4, отфильтровывали и концентрировали на ротационном испарителе с получением 4 г продукта. После флэш-хроматографии на системе Isco (колонка 120 г, от 5 до 25% EtOAc в ДХМ) получали соединение 33 (2,06 г, 5,00 ммоль, выход 61,3%) в виде бледно-желтого хлопьевидного вещества. В круглодонную колбу загружали соединение 33 (10,76 г, 26,1 ммоль), сульфат тетрабутиламмония (8,86 г, 26,1 ммоль), тригидрат двухосновного гидрофосфата калия (8,94 г, 39,2 ммоль), ДХМ (объем: 1088 мл, соотношение: 5) и воду (объем: 218 мл, соотношение: 1,000) и энергично перемешивали двухфазную смесь при комнатной температуре. К полученной смеси добавляли сразу весь твердый mCPBA, 77% мас./мас. (29,3 г, 131 ммоль) и перемешивали смесь при комнатной температуре в течение ночи. После перемешивания в течение 20 часов при комнатной температуре, по данным ТСХ анализа, весь исходный материал был израсходован. Смесь гасили, медленно добавляя насыщенный водный раствор Na2S2O3 (375 мл), затем насыщенный водный раствор Na2CO3 (375 мл). Органический слой удаляли, а водный слой экстрагировали ДХМ (1×450 мл). Объединенные органические слои сушили над Na2S04, фильтровали и концентрировали на ротационном испарителе с получением 22 г неочищенного продукта. Неочищенное вещество растворяли в ДХМ и очищали флэш-хроматографией на системе Isco (колонка 330 г, от 5 до 25% EtOAc в ДХМ) с получением 10 г получистого продукта. Соединение растворяли в ДХМ и очищали флэш-хроматографией на системе Isco (колонка 330 г, от 5 до 70% EtOAc в гексанах) с получением соединения 34 (6,91 г, 15,68 ммоль, выход 60,0%) в виде грязновато-белого хлопьевидного вещества. В круглодонную колбу загружали соединение 34 (3,53 г, 8,0 ммоль) и раствор аммиака в МеОН (34,3 мл, 240 ммоль) при 0°С. Смесь перемешивали в течение 5 часов, после чего весь исходный материал был израсходован. Смесь концентрировали на ротационном испарителе с получением приблизительно 4 г неочищенного продукта в виде желтого маслянистого вещества. Неочищенный продукт растворяли в ДХМ и очищали флэш-хроматографией на системе Isco (колонка 120 г, от 1 до 5% МеОН в ДХМ) с получением соединения 35 (2,20 г, 7,28 ммоль, выход 91%) в виде белого порошкообразного вещества. В 3-горлую круглодонную колбу объемом 1 л, оснащенную датчиком температуры, верхнеприводной мешалкой и капельной воронкой (отверстие для подачи аргона), загружали оксихлорид фосфора (15,50 мл, 166 ммоль) в ТГФ (300 мл), вакуумировали и продували аргоном 3х, затем охлаждали до ниже, чем минус 70°С с помощью сухого льда/ацетона. Через капельную воронку медленно добавляли раствор 2-(гидроксиметил)фенола (18,77 г, 151 ммоль) и триэтиламина (44,3 мл, 317 ммоль) в 200 мл ТГФ в течение 30 минут. Полученную светло-коричневую смесь медленно нагревали до комнатной температуры и перемешивали в течение 3 часов. Охлаждали до 0°С на ледяной бане и добавляли триэтиламин (25,3 мл, 181 ммоль), затем к быстро перемешиваемой смеси медленно добавляли раствор 2,3,4,5,6-пентафторфенола (25,05 г, 136 ммоль) в ТГФ (100 мл). Нагревали до комнатной температуры и контролировали по ТСХ (25% EtOAc/гексаны). Исходное соединение было израсходовано за менее, чем 2 часа, присутствовал только продукт (Rf=0,5). Маслянистое вещество очищали с помощью СГХ (стеклянная колонка, 10-25% EtOAc/гексаны), фракции, содержащие продукт, объединяли и концентрировали при пониженном давлении с получением соединения 7 (41,2 г, 117 ммоль, выход 77%) в виде белого твердого вещества. К перемешанному раствору соединения 35 (1,95 г, 6,45 ммоль) в ТГФ (объем: 96 мл, соотношение: 5) при 0°С в атмосфере азота по каплям, через шприц добавляли раствор трет-бутилмагнийхлорида, 1 М в ТГФ (14,19 мл, 14,19 ммоль). Образовывался белый осадок; смесь нагревали до комнатной температуры и перемешивали в течение 30 минут, затем снова охлаждали до 0°С. По каплям, через шприц добавляли раствор соединения 7 (5,68 г, 16,13 ммоль) в ТГФ (объем: 19,20 мл, соотношение: 1,000) и нагревали смесь до комнатной температуры, и перемешивали в течение ночи. Через 18 часов перемешивания осталось немного исходного вещества и образовался один немного менее полярный продукт. Смесь гасили, добавляя твердый NH4Cl (2 г), и иммобилизовали смесь на целите. В результате флэш-хроматографии на системе Isco (колонка 220 г, от 1 до 5% МеОН в ДХМ) получали 1,94 г белого твердого вещества, которое состояло из требуемого продукта и пентафторфенола. Твердое вещество растворяли в ДХМ и промывали насыщенным водным раствором NaHCO3 (3×100 мл). Органический слой сушили над Na2SO4, фильтровали и концентрировали на ротационном испарителе с получением соединения 36 (1,70 г, 3,61 ммоль, выход 56,0%) в виде белого порошкообразного вещества. В круглодонную колбу загружали соединение 36 (,250 г, 0,532 ммоль) и муравьиную кислоту, 80% водн. (объем: 10 мл). Смесь перемешивали при комнатной температуре в атмосфере азота в течение ночи. После перемешивания в течение 20 часов удаляли все летучие вещества на ротационном испарителе. Остаток растворяли в МеОН и иммобилизовали на целите. В результате флэш-хроматографии на системе Isco (колонка 24 г, от 1 до 15% МеОН в ДХМ) получали белое порошкообразное вещество, 175 мг, чистота 90-95% по ЯМР. Полученный белый порошок растворяли в 5:1 смеси вода : MeCN и в результате обращенно-фазовой флэш-хроматографии на системе Isco (колонка С18 100 г, от 100% воды до 100% MeCN) получали хорошее отделение примесей. Фракции, содержащие требуемый продукт, концентрировали, растворяли в 5:1 смеси вода : MeCN, замораживали на бане из сухого льда и лиофилизировали с получением соединения 37. Пример 14. Нуклеозид 6 или 35 суспендировали в метиленхлориде (40 мл, частично растворим). После перемешивания при комнатной температуре в течение 30 минут смесь последовательно обрабатывали PDC, уксусным ангидридом и затем трет-бутанолом. Смесь оставляли перемешиваться при комнатной температуре. Через 4 часа ТСХ (5% метанола в ДХМ) и ЖХМС показали лишь небольшое количество оставшегося исходного вещества. Смесь фильтровали через слой силикагеля, который загружали в фриттованную воронку объемом 150 мл. Диоксид кремния элюировали этилацетатом. Собранный фильтрат концентрировали при пониженном давлении. Неочищенное темное маслянистое вещество очищали хроматографией на силикагеле (25 мм × 175 мм) с градиентом от 2:1 смеси гексаны : этилацетат до этилацетата. Чистые фракции собирали и концентрировали при пониженном давлении с получением белого смолистого вещества. Полученное вещество помещали под высокий вакуум на 2 дня с получением соединения 38 или 39. Полученный материал использовали на следующей стадии без дополнительной очистки. 5'-Защищенный нуклеозид 38 или 39 растворяли в этаноле 200 марки и затем обрабатывали твердым бордейтеридом натрия. Смесь становилась однородной, и затем ее нагревали до 80°С. Через 12 часов образовался белый/бледно-желтый осадок. Смесь оставляли остывать до комнатной температуры. ТСХ (5% метанола в метиленхлориде) показала полное превращение исходного вещества. Смесь охлаждали до 0°С на ледяной бане и затем медленно гасили уксусной кислотой (примерно 1 мл). Прозрачный раствор нагревали до комнатной температуры и затем разделяли между этилацетатом (30 мл) и насыщенным солевым раствором (3 мл). Органическую фазу концентрировали и затем очищали хроматографией на силикагеле (19 мм × 180 мм), используя в качестве подвижной фазы 5% метанол в метиленхлориде, с получением соединения 40 или 41. Соединения 40 и 41 можно затем подвергать снятию защиты с получением незащищенного рибонуклеозида, используя 80% муравьиной кислоты, как описано ранее. Кроме того, соединения 40 и 41 можно подвергать конъюгированию с пролекарственным реагентом 7 с последующим снятием защиты, как описано ранее. Пример 15. Получали в соответствии с публикацией Boumendjel, Ahcene and Miller, Stephen Journal of Lipid Research 1994, 35, 2305. Смесь сфингозина (450 мг, 1,50 ммоль) и ди-трет-бутилдикарбоната (0,656 г, 3,01 ммоль) в метиленхлориде (100 мл) при 4°С по каплям обрабатывали диизопропилэтиламином (0,53 мл, 3,01 ммоль). После постепенного нагревания до комнатной температуры смесь перемешивали еще 12 часов и затем разбавляли метиленхлоридом (100 мл), затем промывали водой (30 мл) и насыщенным солевым раствором (30 мл). Органическую фазу сушили над сульфатом натрия, фильтровали и концентрировали досуха. Неочищенный остаток очищали колоночной флэш-хроматографией на силикагеле (19 мм × 175 мм), используя 50% этилацетата в гексанах, с получением N-трет-бутилоксикарбонилсфинозина (540 мг, 90%) в виде белого твердого вещества. 1Н ЯМР (300 МГц, хлороформ-d) δ 5,77 (дт, J=15,4, 8,4 Гц, 1Н), 5,52 (дд, J=15,4, 8,4 Гц, 1Н), 3,93 (дд, J=11,4, 3,7 Гц, 1Н), 3,70 (дд, J=11,4, 3,7 Гц, 1Н), 3,59 (с, 3Н), 2,05 (к, J=7,0 Гц, 2Н), 1,52 (с, 9Н), 1,25 (с, 22Н), 0,87 (т, J=6,5 Гц, 3Н). Пример 16. N-трет-Бутилоксикарбонилсфингозин 124 (540 мг, 1,35 ммоль) обезвоживали посредством совместного выпаривания с безводным пиридином (2×12 мл). Затем остаток растворяли в безводном пиридине и обрабатывали тетрабромидом углерода (622 мг, 1,88 ммоль). Смесь охлаждали до 0°С и по каплям обрабатывали раствором триметилфосфита (0,25 мл, 2,10 ммоль) в безводном пиридине (3 мл) в течение 30 минут. Еще через 12 часов при комнатной температуре оба анализа ЖХМС и ТСХ (5% метанола в метиленхлориде) показали полное превращение. Смесь гасили водой (2 мл) и затем концентрировали досуха. Полученное темное маслянистое вещество растворяли в этилацетате (150 мл) и промывали 3% раствором HCl (2×20 мл), затем насыщенным раствором бикарбоната натрия (30 мл). Органический слой сушили над сульфатом натрия, фильтровали и концентрировали. Неочищенный остаток очищали колоночной флэш-хроматографией на силикагеле (19 мм × 175 мм), используя 2% метанола в метиленхлориде, с получением N-трет-бутилоксикарбонилсфинозин-1-О-диметилфосфата 125 (350 мг, 51%) в виде смолистого вещества. 1Н ЯМР (400 МГц, хлороформ-d) δ 5,82 (дт, J=15,4, 7,1 Гц, 1Н), 5,48 (дд, J=15,4, 7,1 Гц, 1Н), 4,99 (д, J=8,9 Гц, 1Н), 4,32 (ддд, J=10,7, 8,0, 4,6 Гц, 1Н), 4,11 (ддт, J=10,7, 7,4, 3,1 Гц, 2Н), 3,77 (дд, J=11,1, 2,1 Гц, 6Н), 2,01 (к, J=7,1 Гц, 2Н), 1,41 (с, 9Н), 1,34 (м, 2Н), 1,23 (м, 20Н), 0,86 (т, J=6,4 Гц, 3Н). 31Р ЯМР (162 МГц, хлороформ-d) δ 2,00. MS C17H25NO4 [M+Na+]; рассчитано: 330,2, найдено: 330,2. Пример 17. Раствор N-трет-бутилоксикарбонилсфинозин-1-0-диметилфосфата 125 (350 мг, 0,689 ммоль) в безводном метиленхлориде (8 мл) по каплям обрабатывали триметилсилилбромидом (0,45 мл, 3,45 ммоль) при 0°С. После нагревания до комнатной температуры смесь оставляли перемешиваться при комнатной температуре на 6 часов, а затем концентрировали досуха. Полученный остаток выпаривали вместе с метиленхлоридом для удаления избытка триметилсилилбромида, а затем обрабатывали 66% водным ТГФ (6 мл). Полученный осадок собирали фильтрованием с получением сфингозин-1-фосфата 126 (218 мг, 83%) в виде белого твердого вещества. 1Н ЯМР (400 МГц, метанол-d4+ CD3CO2D) δ 5,84 (дт, J=15,5, 6,7 Гц, 1Н), 5,46 (дд, J=15,5, 6,7 Гц, 1Н), 4,33 (т, J=6,0 Гц, 1Н), 4,13 (ддд, J=11,8, 7,7, 3,6 Гц, 1Н), 4,03 (дт, J=11,8, 8,4 Гц, 1Н), 3,47 (ддд, J=8,3, 4,8, 3,2 Гц, 1Н), 2,10-1,99 (м, 2Н), 1,37 (м, 2Н), 1,24 (м, 20Н), 0,83 (т, J=6,4 Гц, 3Н). 31Р ЯМР (162 МГц, хлороформ-d) δ 0,69. MS C18H38NO5P [М-Н+]; рассчитано: 378,2, найдено: 378,2. Пример 18. К суспензии фитосфингозина (4 г, 12,6 ммоль) и безводного порошкообразного карбоната калия (5,22 г, 37,8 ммоль) в метиленхлориде (85 мл) добавляли трифторуксусный ангидрид (1,96 мл, 13,9 ммоль). Смесь перемешивали при комнатной температуре в течение 18 часов, и затем разбавляли метиленхлоридом (500 мл). Смесь промывали водой (100 мл). Добавляли метанол (60 мл) для разрушения эмульсии. Затем сушили органическую фазу над сульфатом натрия, фильтровали и концентрировали с получением соединения 131 (4,9 г, 94%) в виде белого твердого вещества. 1Н ЯМР (400 МГц, ДМСО-d6) δ 8,90 (с, 1Н), 4,90-4,68 (м, 1Н), 4,56 (д, J=6,1 Гц, 1Н), 4,43 (с, 1Н), 3,97 (д, J=7,6 Гц, 1Н), 3,65 (д, J=10,8 Гц, 1Н), 3,46 (т, J=10,2 Гц, 1Н), 3,32-3,16 (м, 1Н), 1,42 (тт, J=15,7, 7,5 Гц, 2Н), 1,20 (с, 24Н), 0,83 (т, J=6,8 Гц, 3Н). Пример 19. N-Трифторацетилфитосфингозин (131, 1,88 г, 4,5 ммоль) в безводном пиридине (23 мл) обрабатывали DMAP (56 мг, 0,45 ммоль) и затем по каплям добавляли трет-бутилдифенилсилилхлорид (1,38 г, 5,0 ммоль). Через 18 часов концентрировали досуха. Полученный остаток растворяли в этилацетате (200 мл) и промывали насыщенным раствором хлорида аммония (2×50 мл) и затем насыщенным солевым раствором (50 мл). Водную фазу снова экстрагировали этилацетатом (50 мл). Объединенные органические фазы сушили над сульфатом натрия и концентрировали с получением неочищенного 1-О-трет-бутилдифенилсилил-2-N-трифторацетилфитосфингозина 132 (3 г, 100%) в виде смолистого вещества. Полученный материал использовали на следующей стадии без дополнительной очистки. 1Н ЯМР (400 МГц, хлороформ-d) δ 7,62 (м, 2Н), 7,60-7,56 (м, 2Н), 7,47-7,31 (м, 6Н), 7,07 (д, J=8,4 Гц, 1Н), 4,23 (дд, J=8,5, 4,1 Гц, 1Н, 4,04 (дт, J=11,0, 2,5 Гц, 1Н), 3,82 (ддд, J=11,0, 4,3, 1,8 Гц, 1Н), 3,64 (дк, J=10,6, 6,0, 4,3 Гц, 2Н), 1,45 (м, 2Н), 1,39-1,15 (м, 24Н), 1,05 (м, 9Н), 0,94-0,80 (т, J=6,9 Гц, 3Н). Пример 20. Раствор 1-О-трет-бутилдифенилсилил-2-N-трифторацетилфитосфингозина 132 (3 г, 4,5 ммоль) в 1/1 (об./об.) смеси 2,2-диметоксипропан/ТГФ обрабатывали каталитическим количеством п-толуолсульфоновой кислоты (87 мг, 0,45 ммоль) и оставляли перемешиваться на 16 часов при комнатной температуре. Смесь гасили насыщенным раствором бикарбоната натрия (30 мл) и затем удаляли избыток ТГФ/2,2-диметоксипропана под вакуумом. Смесь экстрагировали этилацетатом (200 мл). После промывания насыщенным солевым раствором сушили органический слой над сульфатом натрия, фильтровали и концентрировали. Неочищенное маслянистое вещество очищали колоночной хроматографией (25 мм × 175 мм) на силикагеле, используя в качестве подвижной фазы гексаны/этилацетат, с получением соединения 133 (2,45 г, 78%). 1Н ЯМР (400 МГц, хлороформ-d) δ 7,68-7,63 (м, 2Н), 7,63-7,57 (м, 2Н), 7,39 (м, 6Н), 6,54 (д, J=9,4 Гц, 1Н), 4,23 (дд, J=8,2, 5,6 Гц, 1Н), 4,12 (ддд, J=13,3, 6,9, 3,8 Гц, 2Н), 3,96 (дд, J=10,5, 3,9 Гц, 1Н), 3,69 (дд, J=10,5, 2,9 Гц, 1Н), 1,52-1,36 (м, 2Н), 1,33 (с, 3Н), 1,31 (с, 3Н), 1,24 (м, 24Н), 1,03 (с, 9Н), 0,86 (т, J=53,7, 6,9 Гц, 3Н). Пример 21. Раствор 1-О-трет-бутилдифенилсилил-3,4-О-изопропилиден-2-N-трифторацетилфитосфингозина 133 (2,45 г, 3,54 ммоль) в ТГФ (18 мл) обрабатывали фторидом тетрабутиламмония (4,25 мл 1,0 М раствора в ТГФ, 4,25 ммоль) и перемешивали при комнатной температуре в течение 12 часов. Смесь разбавляли этилацетатом (100 мл) и насыщенным раствором хлорида аммония (2×50 мл), и затем насыщенным солевым раствором (50 мл). Органическую фазу сушили над сульфатом натрия, фильтровали и концентрировали с получением белого твердого вещества, которое дополнительно очищали колоночной хроматографией (25 мм × 175 мм) на силикагеле, используя 9:1 смесь гексаны: этилацетат в качестве подвижной фазы, с получением соединения 134 (1,5 г, 93%) в виде белого твердого вещества. 1Н ЯМР (300 МГц, хлороформ-d) δ 6,92 (д, J=8,7 Гц, 1Н), 4,31-4,16 (м, 2Н), 4,11 (дк, J=11,7, 3,7 Гц, 1Н), 4,00 (дд, J=11,5, 2,6 Гц, 1Н), 3,70 (дд, J=11,5, 3,6 Гц, 1Н), 1,48 (с, 3Н), 1,35 (с, 3Н), 1,25 (м, 26Н), 0,88 (т, J=6,9 Гц, 3Н). Пример 22. Раствор 3,4-O-изопропилиден-2-N-трифторацетилфитосфингозина 134 (630 мг, 1,39 ммоль) обезвоживали посредством совместного выпаривания с безводным пиридином (2×12 мл). Затем остаток растворяли в безводном пиридине (12 мл) и обрабатывали тетрабромидом углерода (533 мг, 1,67 ммоль). Смесь охлаждали до 0°С и по каплям обрабатывали раствором триметилфосфита (0,23 мл, 1,95 ммоль) в безводном пиридине (3 мл) в течение 30 минут. Еще через 12 часов при комнатной температуре оба анализа ЖХМС и ТСХ (5% метанола в метиленхлориде) показали полное превращение. Смесь гасили водой (2 мл) и затем концентрировали досуха. Полученное темное маслянистое вещество растворяли в этилацетате (100 мл) и промывали 3% раствором HCl (2×20 мл), затем насыщенным раствором бикарбоната натрия (30 мл). Органический слой сушили над сульфатом натрия, фильтровали и концентрировали. Неочищенный остаток очищали колоночной флэш-хроматографией на силикагеле (19 мм × 175 мм), используя 2% метанола в метиленхлориде, с получением соединения 135 (650 мг, 83%). 1Н ЯМР (300 МГц, хлороформ-d) δ 7,42 (д, J=8,8 Гц, 1Н), 4,36 (тд, J=10,9, 5,0 Гц, 1Н), 4,25 (м, 1Н), 4,19 (м, J=6,5, 2,0 Гц, 3Н), 3,77 (дд, J=11,2, 7,5 Гц, 6Н), 1,44 (с, 3Н), 1,33 (с, 3Н), 1,25 (м, 26Н), 0,87 (т, J=6,6 Гц, 3Н). 31Р ЯМР (121 МГц, хлороформ-d) δ 1,69. MS C25H47F3NO7P [М-Н+]; рассчитано: 560,3, найдено: 560,2. Пример 23. 3,4-O-Изопропилиден-2-N-трифторацетилфитосфингозин-1-фосфат (136) Раствор 3,4-O-изопропилиден-2-N-трифторацетилфитосфингозин-1-О-диметилфосфата 135 (650 мг, 1,16 ммоль) в безводном метиленхлориде (12 мл) по каплям обрабатывали триметилсилилбромидом (0,81 мл, 6,23 ммоль) при 0°С. Через 12 часов при комнатной температуре смесь концентрировали досуха и выпаривали полученный остаток вместе с метиленхлоридом (3 × 50 мл) для удаления избытка триметилсилилбромида. Затем остаток растворяли в холодном (4°С) растворе 1% NH4OH, поддерживая рН 7-8. Через 10 минут при комнатной температуре смесь концентрировали досуха, а полученное твердое вещество растирали с метанолом/ацетонитрилом. Твердое вещество собирали фильтрованием, промывали ацетонитрилом и сушили под высоким вакуумом с получением соединения 136 (500 мг, 75%) в виде белого твердого вещества. 1Н ЯМР (300 МГц, метанол-d4) δ 4,31 (дд, J=8,7, 5,4 Гц, 1Н), 4,09 (м, 4Н), 1,42 (с, 3Н), 1,36 (с, 3Н), 1,31 (м, 26Н), 0,89 (т, J=6,4 Гц, 3Н). 31Р ЯМР (121 МГц, метанол-d4) δ 1,28. 19F ЯМР (282 МГц, метанол-d4) δ -77,13. HRMS C23H42F3NO7P [М-Н+]; рассчитано: 532,26565, найдено: 532,26630. Пример 24. Смесь N-трифторацетилфитосфингозин-1-фосфата 136 (200 мг, 0,373 ммоль) и 2',3'-дидезокси-2'-фтор-7-деазагуанина (100 мг, 0,373 ммоль) обезвоживали посредством совместного выпаривания с безводным пиридином (3 × 10 мл). Затем полученный остаток растворяли в безводном пиридине (4 мл) и обрабатывали диизопропилкарбодиимидом (127 мг, 1,01 ммоль) и HOBt (60 мг, 0,447 ммоль). Через 24 часа при 75°С реакционную смесь охлаждали до комнатной температуры и концентрировали досуха. Неочищенный материал очищали колоночной флэш-хроматографией (19 мм × 170 мм) на силикагеле, используя градиент растворителя от 5 до 7,5% метанола в хлороформе с 1% (об./об.) NH4OH, с получением соединения 137 (80 мг, 27%) в виде белого твердого вещества. 1Н ЯМР (300 МГц, метанол-d4) δ 6,88 (д, J=3,8 Гц, 1Н), 6,46 (д, J=3,8 Гц, 1Н), 6,24 (д, J=19,9 Гц, 1 Н), 5,34 (дд, J=52,4, 4,6 Гц, 1Н), 4,53 (с, 1Н), 4,34-3,97 (м, 6Н), 2,63-2,17 (м, 2Н), 1,40 (с, 3Н), 1,30 (с, 3Н), 1,27 (м, 26Н), 0,89 (т, J=6,6 Гц, 3Н). 31Р ЯМР (121 МГц, метанол-d4) δ 12,50. 19F ЯМР (282 МГц, метанол-d4) δ -77,10, -179,69 - -180,25 (м). MS C34H522F4N5O9P [М-Н+]; рассчитано: 781,3, найдено: 782,2. Пример 25. Экспериментальный способ синтеза пролекарств Раствор изопропил-2-((хлор(фенокси)фосфорил)амино)пропаноата (0,397 г, 1,300 ммоль) в безводном ТГФ (5 мл) добавляли к охлажденному до минус 78°С перемешанному раствору 2'-дезокси-2'-фторнуклеозида (0,812 ммоль) и 1-метил-1 Н-имидазола (0,367 мл, 4,63 ммоль) в пиридине (10,00 мл). Через 15 минут реакционную смесь оставляли нагреваться до комнатной температуры и перемешивали еще 3 часа. Затем растворитель удаляли при пониженном давлении. Неочищенный продукт растворяли в 120 мл ДХМ и промывали 20 мл 1 н. раствора HCl, затем 10 мл воды. Органическую фазу сушили над сульфатом натрия, фильтровали и концентрировали in vacuo. Остаток разделяли на колонке из диоксида кремния (нейтрализованной TEA), используя 5% МеОН в ДХМ в качестве подвижной фазы, с получением соответствующих продуктов в виде диастереомеров. Пример 26. N-трет-Бутилоксикарбонилфитосфингозин (174) Суспензию фитосфингозина (10,6 г, 33,5 ммоль) и триэтиламина (5,6 мл, 40,2 ммоль) в ТГФ (250 мл) по каплям обрабатывали ди-трет-бутилдикарбонатом (8,6 мл, 36,9 ммоль). Через 12 часов при комнатной температуре смесь концентрировали досуха и перекристаллизовали полученное белое твердое вещество из этилацетата (80 мл), а затем сушили под высоким вакуумом при 35°С в течение 12 часов с получением соединения 174 (10,5 г, 75%). 1Н ЯМР (400 МГц, хлороформ-d) 5,31 (д, J=8,5 Гц, 1Н), 3,89 (д, J=11,1 Гц, 1Н), 3,83 (с, 2Н), 3,74 (дд, J=11,1, 5,2 Гц, 1Н), 3,65 (д, J=8,3 Гц, 1 Н), 3,61 (д, J=3,9 Гц, 1 Н), 1,43 (с, 9Н), 1,23 (с, 27Н), 0,86 (т, J=6,4 Гц, 3Н). Пример 27. 2-O-трет-Бутилдифенилсилил-1-N-трет-бутилоксикарбонилфитосфингозин (175) Раствор N-трет-бутилоксикарбонилфитосфингозина 174 (9,5 г, 22,65 ммоль) и триэтиламина (3,8 мл, 27,2 ммоль) в безводном метиленхлориде/ДМФА (120 мл/10 мл) по каплям обрабатывали трет-бутилхлордифенилсиланом (7 мл, 27,25 ммоль). Через 18 часов при комнатной температуре смесь разбавляли метиленхлоридом (200 мл) и промывали 0,2 н. HCl (100 мл) и затем насыщенным солевым раствором (100 мл). Органическую фазу сушили над сульфатом натрия, фильтровали и затем концентрировали с получением соединения 175 (14,9 г) в виде маслянистого вещества, которое использовали для следующей реакции без дополнительной очистки. 1Н ЯМР (400 МГц, хлороформ-d) 5,31 (д, J=8,5 Гц, 1Н), 3,89 (д, J=11,1 Гц, 1 Н), 3,83 (м, 1Н), 3,74 (дд, J=11,1, 5,2 Гц, 1Н), 3,65 (д, J=8,3 Гц, 1 Н), 3,61 (д, J=3,9 Гц, 1Н), 1,43 (с, 9Н), 1,23 (с, 27Н), 0,86 (т, J=6,4 Гц, 3Н). Пример 28. 2-O-трет-Бутилдифенилсилил-1-N-трет-бутилоксикарбонил-3,4-O-изопропилиденфитосфингозин (176) Раствор 2-O-трет-бутилдифенилсилил-1-N-трет-бутилоксикарбонилфитосфингозина (175, 14,9 г, 22,65 ммоль) в 1/1 (об./об.) смеси ТГФ/2,2-диметоксипропан обрабатывали каталитическим количеством пара-толуолсульфоновой кислоты (860 мг, 4,53 ммоль). Через 24 часа смесь гасили насыщенным раствором бикарбоната натрия (50 мл). Смесь концентрировали и затем растворяли в этилацетате (200 мл) и промывали насыщенным солевым раствором (2 × 50 мл). Органическую фазу сушили над сульфатом натрия, фильтровали и концентрировали с получением соединения 176 (15,7 г) в виде смолистого вещества, которое использовали на следующей стадии без дополнительной очистки. 1Н ЯМР (400 МГц, хлороформ-d) 7,66 (м, 4Н), 7,51 - 7,27 (м, 6Н), 4,78 (д, J=10,0 Гц, 1Н), 4,18 (дд, J=9,3, 5,5 Гц, 1Н), 3,89 (дд, J=9,9, 3,3 Гц, 1 Н), 3,80 (д, J=9,9 Гц, 1Н), 3,72 (д, J=9,9 Гц, 1Н), 1,45 (с, 9Н), 1,42 (с, 3Н), 1,35 (с, 3Н), 1,25 (с, 27Н), 1,05 (с, 9Н), 0,87 (т, J=6,5 Гц, 3Н). Пример 29. 1-N-трет-бутилоксикарбонил-3,4-O-изопропилиденфитосфингозин (177). Раствор 2-O-трет-бутилдифенилсилил-1-N-трет-бутилоксикарбонил-3,4-О-изопропилиденфитосфингозина 176 (15,7 г, 22,6 ммоль) в ТГФ при 0°С по каплям обрабатывали раствором фторида тетрабутиламмония (1,0 М в ТГФ, 24,9 мл, 24,9 ммоль) в течение 20 минут. Через 16 часов при комнатной температуре анализ ТСХ (3:1 гексаны:этилацетат) показал полное превращение. Смесь концентрировали досуха и растворяли полученный остаток в этилацетате (300 мл) и промывали водой (3 × 100 мл). Органическую фазу сушили над сульфатом натрия, фильтровали и концентрировали. Полученное маслянистое вещество очищали колоночной флэш-хроматографией (35 мм × 180 мм), используя градиент растворителя от 25 до 50% этилацетата в гексанах, с получением соединения 177 (7,3 г, 71% за 3 стадии) в виде белого твердого вещества. 1Н ЯМР (400 МГц, хлороформ-d) 4,93 (д, J=9,1, 1 Н), 4,16 (к, J=7,1, 6,4 Гц, 1Н), 4,07 (т, J=6,5 Гц, 1Н), 3,83 (дд, J=11,1, 2,4 Гц, 1 Н), 3,76 (м, 1Н), 3,67 (дд, J=11,2, 3,6 Гц, 1Н), 1,43 (с, 3Н), 1,42 (с, 9Н), 1,32 (с, 3Н), 1,23 (с, 27Н), 0,86 (т, J=6,9 Гц, 3Н). Пример 30. Общий способ получения 5'-фосфорамидатных пролекарств Синтез хлорфосфорамидата: Тионилхлорид (80 г, 49,2 мл, 673 ммоль) по каплям, в течение 30 минут добавляли к суспензии L-аланина (50 г, 561 ммоль) в изопропаноле (500 мл). Смесь нагревали до слабого кипения с обратным холодильником в течение 5 часов и затем концентрировали на ротационном испарителе (на бане, установленной на 60°С). Полученное густое смолистое вещество затвердевало при растирании с эфиром (150 мл). Белый порошок растирали второй раз с эфиром (150 мл), собирали фильтрованием под потоком аргона и затем сушили под высоким вакуумом в течение 18 часов с получением гидрохлорида (S)-изопропил-2-аминопропаноата (88 г, 94%). 1Н ЯМР (400 МГц, ДМСО-d6) δ 8,62 (с, 3Н), 5,10 - 4,80 (м, 1Н), 3,95 (к, J=7,2 Гц, 1 Н), 1,38 (д, J=7,2 Гц, 3Н), 1,22 (д, J=4,6 Гц, 3Н), 1,20 (д, J=4,6 Гц, 3Н). Пример 31. Раствор фенилдихлорфосфата (30,9 г, 146 ммоль) в дихлорметане (450 мл) охлаждали до 0°С, затем обрабатывали гидрохлоридом (S)-изопропил-2-аминопропаноата (24,5 г, 146 ммоль). Смесь дополнительно охлаждали до минус 78°С и затем по каплям обрабатывали триэтиламином (29,6 г, 40,8 мл, 293 ммоль) в течение 30 минут. Смесь продолжали перемешивать при минус 78°С еще 2 часа и затем оставляли постепенно нагреваться до комнатной температуры. Через 18 часов смесь концентрировали досуха и растворяли полученное смолистое вещество в безводном эфире (150 мл). Суспензию отфильтровывали под потоком аргона, а собранное твердое вещество промывали небольшими порциями безводного эфира (3 × 30 мл). Объединенные фильтраты концентрировали досуха на ротационном испарителе с получением 1:1 диастереомерной смеси фосфохлоридата (41,5 г, 93%) в виде бледно-желтого маслянистого вещества. 1Н ЯМР (300 МГц, хлороформ-d) δ 7,43-7,14 (м, 5Н), 5,06 (м, 1 Н), 4,55 (дд, J=14,9, 7,0 Гц, 1Н), 4,21-4,01 (м, 1 Н), 1,48 (д, J=7,0 Гц, 2Н), 1,27 (д, J=6,2 Гц, 3Н), 1,26 (д, J=5,8 Гц, 3Н). 31Р ЯМР (121 МГц, хлороформ-d) δ 8,18 и 7,87. Пример 32. Синтез 2-хлор-4-нитрофенилфосфорамидата: Раствор фенилдихлорфосфата (60 г, 42,5 мл, 284 ммоль) в дихлорметане (300 мл) охлаждали до 0°С и затем обрабатывали гидрохлоридом (S)-изопропил-2-аминопропаноата (47,7 г, 284 ммоль). Смесь дополнительно охлаждали до минус 78°С и по каплям обрабатывали раствором триэтиламина (57,6 г, 79 мл, 569 ммоль) в метиленхлориде (300 мл) в течение 1 часа. Реакционную смесь нагревали до 0°С в течение 30 минут и затем обрабатывали предварительно полученной смесью 2-хлор-4-нитрофенола (46,9 г, 270 ммоль) и триэтиламина (28,8 г, 39,6 мл, 284 ммоль) в дихлорметане (120 мл) в течение 20 минут. Через 2 часа при 0°С смесь отфильтровывали через фриттованную воронку и концентрировали собранный фильтрат досуха. Неочищенное смолистое вещество растворяли в МТБЭ (500 мл) и промывали 0,2 М раствором K2CO3 (2 × 100 мл), затем 10% солевым раствором (3 × 75 мл). Органическую фазу сушили над сульфатом натрия, фильтровали и концентрировали досуха на ротационном испарителе с получением диастереомерной смеси (100 г, 93%) в виде бледно-желтого маслянистого вещества. 1Н ЯМР (400 МГц, хлороформ-d) δ 8.33 (дд, J=2,7, 1,1 Гц, 1Н, диастереомер 1), 8,31 (дд, J=2,7, 1,1 Гц, 1Н, диастереомер 2), 8,12 (дд, J=9,1, 2,7 Гц, 1Н), 7,72 (дт, J=9,1, 1,1 Гц, 1Н), 7,40 - 7,31 (м, 2Н), 7,28 - 7,19 (м, 6Н), 5,01 (пд, J=6,3, 5,2 Гц, 1Н), 4,22 -4,08 (н, 1Н), 3,96 (тд, J=10,7, 9,1, 3,6 Гц, 1Н), 1,43 (дд, J=7,0, 0,6 Гц, 3Н), 1,40 (дд, J=7,2, 0,6 Гц, 3Н, диастереомер 2), 1.25 - 1,20 (м, 9Н). Пример 33. Разделение диастереомеров соединения 253: Диастереомерную смесь 253 (28 г, 63,2 ммоль) растворяли в 2:3 смеси этил ацетат: гексаны (100 мл) и охлаждали до минус 20°С.Через 16 часов полученное белое твердое вещество собирали фильтрованием и сушили под высоким вакуумом с получением 16:1 Sp:Rp-диастереомерной смеси (5,5 г, 19,6%). Маточный раствор концентрировали и растворяли полученный остаток в 2:3 смеси этил ацетат гексаны (50 мл). Через 16 часов при минус 10°С полученное белое твердое вещество собирали и сушили под высоким вакуумом с получением 1:6 Sp:Rp-диастереомерной смеси (4 г, 14%). 16:1 Sp:Rp-диастереомерную смесь (5,5 г, 12,4 ммоль) суспендировали в горячих гексанах (50 мл) и медленно обрабатывали этилацетатом (примерно 10 мл) до полного растворения. После охлаждения до 0°С полученное белое твердое вещество собирали фильтрованием, промывали гексанами и сушили под высоким вакуумом с получением Sp-диастереомера 254 (4,2 г, 76%) в виде одного изомера. 1Н ЯМР (Sp-диастереомер, 400 МГц, хлороформ-d) δ 8,33 (дд, J=2,7, 1,1 Гц, 1Н), 8,12 (дд, J=9,1, 2,7 Гц, 1Н), 7,71 (дд, J=9,1, 1,2 Гц, 1Н), 7,41 -7,30 (м, 2Н), 7,29 - 7,11 (м, 3Н), 5,00 (м, 1Н), 4,25 - 4,07 (м, 1 Н), 3,97 (дд, J=12,7, 9,4 Гц, 1Н), 1,43 (д, J=7,0 Гц, 3Н), 1,23 (д, J=2,2 Гц, 3Н), 1,21 (д, J=2,2 Гц, 3Н). 1:6 Sp:Rp-диастереомерную смесь (4 г, 12,4 ммоль) суспендировали в горячих гексанах (50 мл) и медленно обрабатывали этилацетатом (примерно 5 мл) до полного растворения. После охлаждения до 0°С полученное белое твердое вещество собирали фильтрованием, промывали гексанами и сушили под высоким вакуумом с получением Rp-диастереомера 255 (3,2 г, 80%) в виде одного изомера. Абсолютную стереохимию подтверждали рентгеновским анализом. 1Н ЯМР (Rp-диастереомер, 400 МГц, хлороформ-d) δ 8,31 (дд, J=2,7, 1,1 Гц, 1Н), 8,11 (дд, J=9,1, 2,7 Гц, 1Н), 7,72 (дд, J=9,1, 1,2 Гц, 1 Н), 7,42 - 7,30 (м, 2Н), 7,31 -7,14 (м, 3Н), 5,01 (п, J=6,3 Гц, 1Н),4,15(тк, J=9,0, 7,0 Гц, 1Н), 4,08-3,94 (м, 1Н), 1,40 (д, J=7,0 Гц, 3Н), 1,24 (д, J=3,5 Гц, 3Н), 1,22 (д, J=3,5 Гц, 3Н). Пример 34. Общий способ получения фосфорамидатного пролекарства: Требуемый нуклеозид (1 эквивалент), который необходимо превратить в его 5'-фосфорамидатное производное, сушили в вакуумной печи при 50°С в течение ночи. Сухой нуклеозид помещали в сухую колбу в инертной атмосфере и суспендировали в сухом ТГФ или в сухом ДХМ до получения 0,05 М раствора. Затем колбу охлаждали до 0°С и добавляли к суспендированному нуклеозиду хлорфосфорамидатный реагент (5 эквивалентов). Затем в реакционную смесь по каплям добавляли 1-метилимидазол (8 эквивалентов). Реакционную смесь оставляли перемешиваться при комнатной температуре в течение 12-72 часов. После завершения реакции, по данным ТСХ, реакционную смесь разбавляли этилацетатом. Затем разбавленную реакционную смесь промывали насыщенным водным раствором хлорида аммония. Водный слой снова экстрагировали этилацетатом. Затем объединенные органические слои промывали насыщенным солевым раствором, сушили над MgSO4, фильтровали и концентрировали. Затем концентрированный неочищенный продукт очищали на диоксиде кремния, элюируя градиентом от ДХМ до 5% МеОН в ДХМ. Пример 35. Общий способ получения 5'-трифосфатов: Нуклеозидный аналог сушили под высоким вакуумом при 50°С в течение 18 часов и затем растворяли в безводном триметилфосфате (0,3 М). После добавления протонной губки® (1,5 мол. экв.) смесь охлаждали до 0°С и по каплям обрабатывали фосфорилхлоридом (1,3 мол. экв.) через микрошприц в течение 15 минут. Смесь продолжали перемешивать при 0°С в течение 4-6 часов, начиная контролировать реакцию по ТСХ (7:2:1 изопропанол: конц. NH4OH: вода). После достижения превращения в монофосфат более 85% реакционную смесь обрабатывали смесью бис(три-н-бутиламмония пирофосфата) (3 мол. экв.) и трибутиламина (6 мол. экв.) в безводном ДМФА (1 мл). Через 20 минут при 0°С, контролируя реакцию по ТСХ (11:7:2 NH4OH: изопропанол: вода), смесь обрабатывали 20 мл 100 мМ раствора бикарбоната триэтиламмония (ТЕАВ), перемешивали в течение 1 часа при комнатной температуре и затем экстрагировали эфиром (3 × 15 мл). Затем водную фазу очищали анионообменной хроматографией на смоле DEAE Sephadex® А-25 (11 × 200 мм), используя градиент буфера от 50 мМ (400 мл) до 600 мМ (400 мл) ТЕАВ. Фракции по 10 мл анализировали с помощью ТСХ (11:7:2 NH4OH: изопропанол: вода). Фракции, содержащие трифосфат (элюированные при 500 мМ ТЕАВ), объединяли и концентрировали на ротационном испарителе (баня ниже 25°С). Полученное твердое вещество разбавляли DI водой (10 мл) и концентрировали лиофилизацией. Пример 36. Синтез (R)-2,2,2-трифтор-N-(1-гидроксиоктадекан-2-ил)ацетамида Фитосфингозин (15,75 ммоль) растворяли в EtOH (0,5 М) и по каплям добавляли этилтрифторацетат (15,75 ммоль). Затем добавляли NEt3 (24,41 ммоль) и перемешивали реакционную смесь в течение ночи. Растворитель удаляли in vacuo, а остаток растворяли в EtOAc и насыщенном солевом растворе, промывали, сушили и концентрировали. Неочищенный материал, представляющий собой белый порошок, был достаточно чистым для использования на следующей стадии без дополнительной очистки. Характеристики соответствовали литературным данным: Synthesis, 2011, 867. Пример 37. Первичный спирт (15,75 ммоль), DMAP (1,575 ммоль) и NEt3 (39,4 ммоль) растворяли в смеси CH2Cl2 и ДМФА (0,18 М) и охлаждали до 0°С. По каплям добавляли TBDPSCl (19,69 ммоль), затем раствор оставляли нагреваться до комнатной температуры и перемешивали в течение ночи. Реакцию гасили, добавляя раствор NH4Cl. Реакционную смесь экстрагировали EtOAc и промывали объединенные органические слои водой (х2) для удаления ДМ ФА. Затем концентрировали и сушили. Для очистки смесь пропускали через колонку. 10-20% EtOAc/гексан. Характеристики соответствовали литературным данным: Synthesis, 2011, 867. Пример 38. Полученный диол (12,58 ммоль), трифенилфосфин (50,3 ммоль) и имидазол (50,03 ммоль) растворяли в толуоле и снова нагревали до кипения с обратным холодильником. Затем медленно добавляли йод (37,7 ммоль) и продолжали перемешивать реакционную смесь при кипячении с обратным холодильником. Через три часа ее охлаждали до комнатной температуры и добавляли 1 эквивалент йода (12,58 ммоль), затем 8 эквивалентов 1,5 М NaOH (100,64 ммоль). Реакционную смесь перемешивали до полного растворения твердых веществ. Водный слой удаляли в делительной воронке, а органический слой промывали раствором Na2S2O3, затем раствором NaHCO3, затем насыщенным солевым раствором. Смесь сушили и концентрировали. Смесь очищали на колонке, используя смесь 0-20% EtOAc/гексаны, и получали смесь цис- и транс-продукта, которую использовали на следующей стадии. δ1Н ЯМР (400 МГц, хлороформ-d) δ 7,64 (ддт, J=7,8, 3,8, 1,7 Гц, 4Н), 7,51 - 7,35 (м, 6Н), 6,68 (дд, J=16,0, 8,2 Гц, 1Н), 5,6 - 5,40 (м, 2Н), 4,57 - 4,46 (м, 1Н), 3,84 - 3,62 (м, 2Н), 2,04 (к, J=7,0 Гц, 1Н), 1,28-1,21 (м, 24Н), 1,15 - 0,98 (м, 9Н), 0,90 (т, J=6,8 Гц, 3Н). МСВР: 617,38759. Пример 39. Полученный алкен (2,91 ммоль) растворяли в МеОН (0,1 М) и добавляли Pd(OH)2/C (0,146 ммоль). Использовали аппарат Парра для гидрирования при давлении 40 фунт/кв.дюйм. Палладиевый катализатор осторожно отфильтровывали через целит и промывали EtOAc. Неочищенный материал использовали на следующей стадии и получали количественный выход. Пример 40. Полученный синильный эфир растворяли в ТГФ и охлаждали до 0°С, затем по каплям добавляли TBAF. После перемешивания в течение 1 часа смесь нагревали до комнатной температуры. Через два часа добавляли раствор NH4Cl и экстрагировали с помощью EtOAc, промывали насыщенным солевым раствором и сушили, и концентрировали. Использовали колонку с 10-50% смесью EtOAc/гексаны. 1Н ЯМР (400 МГц, хлороформ-d) δ 7,60 (тт, J=7,0, 1,5 Гц, 2Н), 7,48 - 7,33 (м, 4Н), 3,73 3,61 (м, 1Н), 1,24 (д, J=3,5 Гц, 18Н), 1,05 (с, 6Н), 0,86 (т, J=6,8 Гц, 3Н). МСВР: 381,28546. Пример 41. К раствору 33,4 г этоксида натрия (21% мас.) в этаноле по каплям добавляли диэтилмалонат (15 г) и затем 1-бромгексадекан (31,5 г). После кипячения с обратным холодильником в течение 8 часов выпаривали этанол in vacuo. Оставшуюся суспензию смешивали с ледяной водой (200 мл) и экстрагировали диэтиловым эфиром (3 × 200 мл). Объединенные органические слои сушили над MgSO4, фильтровали и выпаривали фильтрат in vacuo с получением вязкого маслянистого остатка. Остаток очищали колоночной хроматографией (диоксид кремния: 500 г), используя смесь гексан/диэтиловый эфир (12:1) в качестве подвижной фазы, с получением главного соединения. Пример 42. В круглодонную колбу объемом 250 мл загружали алюмогидрид лития (2,503 г, 66,0 ммоль) в диэтиловом эфире (90 мл) с получением суспензии. К полученной суспензии по каплям добавляли диэтил-2-гексадецилмалонат (18,12 г, 47,1 ммоль) и кипятили реакционную смесь с обратным холодильником в течение 6 часов. Реакцию контролировали по ТСХ, используя РМА и H2SO4 в качестве высушивающих агентов. Избыток алюмогидрида лития разрушали с помощью 200 мл ледяной воды. Добавляли 150 мл 10% H2SO4, чтобы растворить гидрат алюминия. Реакционную смесь экстрагировали диэтиловым эфиром (100 мл × 3). Органический слой, содержащий нерастворенный продукт, отфильтровывали. Собранное твердое вещество промывали этилацетатом. Фильтрат сушили над MgSO4, фильтровали и концентрировали при пониженном давлении. Продукт очищали на колонке из диоксида кремния (100 г), элюируя смесью гексан:EtOAc от (3:1) до (1:1). Пример 43. К раствору 2-гексадецилпропан-1,3-диола (7,04 г, 23,43 ммоль) в 100 мл ДХМ по каплям добавляли трихлорид фосфора (3,59 г, 23,43 ммоль), растворенный в 20 мл ДХМ, затем триэтиламин (6,53 мл, 46,9 ммоль). Реакционную смесь кипятили с обратным холодильником в течение одного часа. Анализ ТСХ показал, что исходное вещество израсходовано и образовалось два новых пятна. Смесь концентрировали досуха, растворяли в сухом диэтиловом эфире и отфильтровывали. Фильтрат концентрировали с получением неочищенного продукта (8,85 г), который использовали на следующей стадии без дополнительной очистки. Пример 44. Синтез 5'-дейтерированных нуклеозидных аналогов Нуклеозид суспендировали в метиленхлориде (40 мл, частично растворим). После перемешивания при комнатной температуре в течение 30 минут смесь последовательно обрабатывали PDC, уксусным ангидридом и затем трет-бутанолом. Смесь продолжали перемешивать при комнатной температуре. Через 4 часа ТСХ (5% метанола в ДХМ) и ЖХМС показали лишь небольшое количество оставшегося исходного вещества. Смесь фильтровали через слой силикагеля, который загружали в фриттованную воронку объемом 150 мл. Диоксид кремния элюировали этилацетатом. Собранный фильтрат концентрировали при пониженном давлении. Неочищенное темное маслянистое вещество очищали хроматографией на силикагеле (25 мм × 175 мм) с градиентом от 2:1 смеси гексаны: этил ацетат до этилацетата. Чистые фракции собирали и концентрировали с получением белого смолистого вещества. Полученное вещество помещали под высокий вакуум на 2 дня и использовали на следующей стадии без дополнительной очистки. 5'-Защищенный нуклеозид растворяли в этаноле 200 марки и затем обрабатывали твердым бордейтеридом натрия. Смесь становилась однородной, и затем ее нагревали до 80°С. Через 12 часов образовался белый/бледно-желтый осадок. Смесь оставляли остывать до комнатной температуры. ТСХ (5% метанола в метиленхлориде) показала полное превращение исходного вещества. Смесь охлаждали до 0°С на ледяной бане и затем медленно гасили уксусной кислотой (примерно 1 мл). Прозрачный раствор нагревали до комнатной температуры и затем разделяли между этилацетатом (30 мл) и насыщенным солевым раствором (3 мл). Органическую фазу концентрировали и затем очищали хроматографией на силикагеле (19 мм × 180 мм), используя в качестве подвижной фазы 5% метанола в метиленхлориде. Пример 45. Раствор 2'-дезокси-2'-фторуридина (6 г, 24,37 ммоль) и 4,4'-(хлор(фенил)метилен)-бис(метоксибензола) (9,91 г, 29,2 ммоль) в пиридине (48,7 мл) перемешивали при комнатной температуре в течение 16 часов. Смесь обрабатывали МеОН (20 мл), концентрировали досуха и разделяли между водой (50 мл) и EtOAc (250 мл). Водную фазу снова экстрагировали EtOAc (50 мл) и промывали объединенные органические слои водой (50 мл) и сушили над Na2SO4. Раствор концентрировали с получением 2'-дезокси-2'-фтор-5'-(4',4'-диметокситритил)уридина (14 г, колич.), который использовали без дополнительной очистки. К раствору 2'-дезокси-2'-фтор-5'-(4',4'-диметокситритил)уридина (13,37 г, 24,37 ммоль) в метиленхлориде (30 мл) добавляли 1 Н-имидазол (2,48 г, 36,6 ммоль) и трет-бутилхлордиметилсилан (5,51 г, 36,6 ммоль). Реакционную смесь перемешивали в течение 16 часов и затем разбавляли EtOAc (250 мл). Смесь промывали насыщенным водным раствором бикарбоната натрия (50 мл) и насыщенным солевым раствором (50 мл), сушили над Na2SO4, фильтровали и концентрировали с получением 2'-дезокси-2'-фтор-3'-O-(трет-бутилдиметилсилил)-5'-(4',4'-диметокситритил)уридина (16 г, 99%). Полученный продукт использовали на следующей стадии без дополнительной очистки. К раствору 2'-дезокси-2'-фтор-3'-O-(трет-бутилдиметилсилил)-5'-(4',4'-диметокситритил)уридина (13,37 г, 20,17 ммоль) в ДХМ (10 мл) добавляли уксусную кислоту (20,19 мл, 353 ммоль) и воду (5 мл). Реакционную смесь перемешивали при комнатной температуре в течение 20 часов, разбавляли EtOAc (250 мл), промывали насыщенным водным раствором NaHCO3 (2 × 100 мл) и насыщенным солевым раствором (100 мл), сушили (сульфатом натрия), фильтровали и концентрировали. Остаток очищали колоночной хроматографией на силикагеле (1% МеОН В ДХМ, 2% МеОН в ДХМ) с получением 2'-дезокси-2'-фтор-3'-O-(трет-бутилдиметилсилил)уридина (6,73 г, выход 93%) в виде желтого твердого вещества. К суспензии PDC (14,05 г, 37,3 ммоль) в безводном ДХМ (37,3 мл)/ДМФА (9,34 мл) последовательно добавляли 2-метилпропан-2-ол (35,7 мл, 373 ммоль), 2'-дезокси-2'-фтор-3'-O-(трет-бутилдиметилсилил)уридин (6,73 г, 18,67 ммоль) и уксусный ангидрид (17,62 мл, 187 ммоль). Через 18 часов смесь гасили абсолютным EtOH (5 мл), разбавляли EtOAc (15 мл), сушили над Na2SO4, фильтровали через целит и концентрировали. Неочищенный остаток очищали колоночной хроматографией на силикагеле, используя 1% МеОН в ДХМ, с получением (2S,3R,4R,5R)-трет-бутил-3-((трет-бутилдиметилсилил)окси)-5-(2,4-диоксо-3,4-дигидропиримидин-1(2H)-ил)-4-фтортетрагидрофуран-2-карбоксилата (6,72 г, 83%). К раствору (2S,3R,4R,5R)-трет-бутил-3-((трет-бутилдиметилсилил)окси)-5-(2,4-диоксо-3,4-дигидропиримидин-1(2H)-ил)-4-фтортетрагидрофуран-2-карбоксилата (3,29 г, 7,64 ммоль) одной порцией добавляли бордейтерид натрия (1,422 г, 30,6 ммоль). Реакционную смесь перемешивали при 80°С в течение 20 часов в закрытой пробирке. Смесь охлаждали до комнатной температуры и затем гасили уксусной кислотой (6,99 мл, 122 ммоль). Смесь нейтрализовали насыщенным водным раствором бикарбоната натрия и экстрагировали EtOAc. После концентрирования полученный остаток очищали колоночной хроматографией на силикагеле (Rf=0,5, гексан:EtOAc 1:1) с получением [5'-2Н2]-2'-дезокси-2'-фтор-3'-O-(трет-бутилдиметилсилил)уридина (1 г, 36%). К раствору [5'-2Н2]-2'-дезокси-2'-фтор-3'-O-(трет-бутилдиметилсилил)уридина (200 мг, 0,552 ммоль) в МеОН (6 мл) одной порцией добавляли Dowex 50WX8 (форма Н+) (6 г). Смесь перемешивали в течение 72 часов, фильтровали и концентрировали с получением [5'-2Н2]-2'-дезокси-2'-фторуридина (150 мг, колич.). К раствору фосфорилтрихлорида (1,69 мл, 18,13 ммоль) в триметилфосфате (2 мл) при 5°С, в атмосфере N2 небольшими частями добавляли [5'-2Н2]-2'-дезокси-2'-фторуридин (100 мг, 0,403 ммоль). Раствор энергично перемешивали в течение 2 часов при 5°С и затем гасили, добавляя по каплям DI воду (8 мл). Реакционную смесь экстрагировали хлороформом (2×10 мл) и обрабатывали водную фазу концентрированным раствором NH4OH до рН 6,5, поддерживая температуру раствора ниже 30°С. Водный слой еще один раз экстрагировали хлороформом (10 мл) и затем концентрировали досуха. Остаток суспендировали в МеОН (15 мл), фильтровали и концентрировали. Полученное твердое вещество очищали колоночной хроматографией на силикагеле (7:2:1 iPrOH/конц. NH4OH, H2O, Rf=0,2). Продукт дополнительно очищали колоночной хроматографией на DEAE, используя метанол, затем градиент подвижной фазы от 0 до 100 мМ водного раствора бикарбоната аммония. Фракции концентрировали досуха, растворяли в воде и лиофилизировали с получением [5'-2Н2]-2'-дезокси-2'-фторуридин-5'-монофосфата (27 мг, 20%) в виде аморфного белого вещества. Суспензию 3-гексадецилоксипропан-1-ола (2,02 г, 6,72 ммоль) и DIPEA (4,7 мл, 26,9 ммоль) в безводном метиленхлориде (45 мл) по каплям, в течение 10 минут обрабатывали 3-((хлор(диизопропиламино)фосфино)окси)пропаннитрилом (3 мл, 13,45 ммоль). Через 18 часов при комнатной температуре смесь гасили насыщенным раствором бикарбоната натрия (15 мл) и экстрагировали этилацетатом (2 × 100 мл). Объединенные органические фазы концентрировали досуха и очищали полученный неочищенный остаток хроматографией на силикагеле (25 мм × 140 мм), используя градиент растворителя от 10 до 20% этилацетата в гексанах, с получением гексадецилоксипропил-(2-цианоэтил)диизопропилфосфорамидита (2,1 г, 65%) в виде белого твердого вещества. 1Н ЯМР (400 МГц, хлороформ-d) δ 3,89 - 3,54 (м, 6Н), 3,49 (т, J=6,3 Гц, 2Н),3,39(т, J=6,7 Гц,2Н), 2,64 (т, J=6,6 Гц, 2Н), 1,87 (п, J=6,3 Гц, 2Н), 1,57 (п, J=6,3 Гц, 2Н), 1,25 (с, 26Н), 1,18 (дд, J=6,8, 3,5 Гц, 12Н), 0,87 (т, J=6,6 Гц, 3Н). 31Р ЯМР (162 МГц, хлороформ-d) δ 147,40. Раствор [5'-2Н2]-2'-дезокси-2-фтор-3'-O-(трет-бутилдиметилсилил)уридина (600 мг, 1,65 ммоль) и гексадецилоксипропил-(2-цианоэтил)диизопропилфосфорамидита (1,65 г, 3,31 ммоль) в безводном ТГФ (22 мл) по каплям обрабатывали 1 Н-тетразолом (14,7 мл 0,45 М раствора в ацетонитриле, 6,62 ммоль). Через 16 часов при комнатной температуре смесь по каплям обрабатывали трет-бутилгидропероксидом (1,5 мл 5,5 М раствора в нонане, 8,28 ммоль) и перемешивали при комнатной температуре в течение 1 часа, и затем гасили 1,0 М водным раствором тиосульфата натрия (40 мл). Через 30 минут смесь экстрагировали этилацетатом (2 × 80 мл). Объединенные органические фазы промывали насыщенным солевым раствором (40 мл) и сушили над сульфатом натрия, фильтровали и концентрировали. Полученный остаток очищали колоночной хроматографией на силикагеле (40 г), используя градиент подвижной фазы от 1% до 5% метанола в метиленхлориде, с получением циноэтилфосфатного промежуточного соединения, которое без дополнительной очистки растворяли в метаноле (30 мл) и обрабатывали концентрированным раствором гидроксида аммония (5 мл, 128 ммоль). Через 4 часа при комнатной температуре смесь концентрировали досуха. Полученный остаток очищали колоночной хроматографией на силикагеле, используя прибор CombiFlash, оснащенный картриджем из диоксида кремния массой 40 г, элюируя градиент растворителя от 5 до 25% метанола в метиленхлориде, с получением [5'-2Н2]-2'-дезокси-2'-фтор-3'-O-(трет-бутилдиметилсилил)-5'-((гексадецилоксипропил)фосфо)уридина (1 г, 82%) в виде белого пенистого вещества. Раствор [5'-2Н2]-2'-дезокси-2'-фтор-3'-O-(трет-бутилдиметилсилил)-5'-((гексадецилоксипропил)фосфо)уридина (1 г, 1,38 ммоль) в ТГФ (15 мл) обрабатывали уксусной кислотой (0,5 г, 8,28 ммоль) и фторидом триэтиламмония (1,2 г, 5,52 ммоль). Через 36 часов смесь концентрировали и элюировали полученный остаток через короткую колонку (11 мм × 90 мм) Dowex 50WX8 (форма Н+), используя метанол (120 мл) в качестве подвижной фазы. Продукт дополнительно очищали колоночной хроматографией на силикагеле (24 г), используя градиент подвижной фазы от 0 до 25% метанола в метиленхлориде с 2,5% (об./об.) гидроксида аммония. Чистые фракции объединяли и концентрировали. Полученное твердое вещество выпаривали вместе с метиленхлоридом (2 × 75 мл) и затем сушили под высоким вакуумом в течение 19 часов с получением [5'-2Н2]-2'-дезокси-2'-фтор-5'-((гексадецилоксипропил)фосфо)уридина (455 мг, 54%) в виде белого твердого вещества. 1Н ЯМР (400 МГц, хлороформ-d4/метанол-d4) δ 7,75 (д, J=8,1 Гц, 1Н), 5,95 (дд, J=17,9, 1,6 Гц, 1Н), 5,70 (д, J=8,1 Гц, 1Н), 5,01 (ддд, J=52,8, 4,6, 1,7 Гц, 1Н), 4,30 (ддд, J=20,7, 8,1, 4,5 Гц, 1Н), 4,16 - 4,07 (м, 3Н), 3,51 (т, J=6,2 Гц, 2Н), 3,41 (т, J=6,7 Гц, 2Н), 1,92 (п, J=7,6 Гц, 2Н), 1,53 (п, J=7,6 Гц, 2Н), 1,25 (с, 26Н),0,87(д, J=7,6 Гц, 3Н). 13С ЯМР (101 МГц, хлороформ-d4/метанол-d4) δ 164,31, 150,24, 140,33, 102,11, 94,19, 92,32, 88,88, 88,53, 80,83, 80,75, 71,18, 67,62, 67,45, 66,50, 66,40, 64,83, 64,77, 63,81, 31,81, 30,37, 30,29, 29,59, 29,57, 29,54, 29,51, 29,47, 29,41, 29,25, 26,00, 25,96, 22,57, 13,96. 31Р ЯМР (162 МГц, хлороформ-d4/метанол-d4) δ -0,87. МСВР C28H49D2FN2O9P [М+Н+]; рассчитано: 611,34359, найдено: 611,34363. Пример 46. Протоколы анализов (1) Анализы скрининга для DENV, JEV, POWV, WNV, YFV, PTV, RVFV, CHIKV, EEEV, VEEV, WEEV, TCRV, PCV, JUNV, MPRLV Анализ уменьшения первичного цитопатического эффекта (СРЕ), Проводили анализы ингибирования СРЕ при четырех концентрациях. Получали конфлюентные или почти конфлюентные монослои клеточных культур в 96-луночных одноразовых микропланшетах. Клетки выдерживали в среде MEM или DMEM с добавлением FBS, в соответствии с необходимыми условиями для каждой клеточной линии. Для противовирусных анализов использовали ту же среду, но содержание FBS уменьшали до 2% или менее, и добавляли 50 мкг/мл гентамицина. Экспериментальное соединение получали в четырех log10 конечных концентрациях, обычно 0,1, 1,0, 10 и 100 мкг/мл или мкМ. В каждом микропланшете были лунки с контрольным вирусом и с контрольными клетками. Параллельно испытывали известное активное лекарственное соединение в качестве лекарственного соединения положительного контроля, используя тот же способ, который использовали для экспериментальных соединений. Положительный контроль испытывали для каждого эксперимента. Анализ начинали с первоначального удаления питательной среды из 96-луночных планшетов клеток. Затем в лунки наносили экспериментальное соединение в объеме 0,1 мл в 2Х концентрации. Вирус, обычно в инфицирующей дозе менее 100 для 50% клеточной культуры (CCID50) в объеме 0,1 мл, помещали в лунки, предназначенные для заражения вирусом. Среду без вируса помещали в лунки для контроля токсичности, а также в контрольные лунки с клетками. Контрольные лунки с вирусом таким же образом обрабатывали вирусом. Планшеты инкубировали при 37°С с 5% CO2 до достижения максимального СРЕ в контрольных лунках с вирусом. Затем планшеты окрашивали, используя 0,011% нейтральный красный, в течение примерно двух часов при 37°С в инкубаторе с 5% CO2. Среду с нейтральным красным удаляли полной аспирацией, после чего клетки можно промывать 1Х фосфатно-солевым буферным раствором (PBS) для удаления остаточного красителя. PBS полностью удаляли и элюировали удерживаемый нейтральный красный с помощью 50% цитратного буфера Соренсена/50% этанола (рН 4,2) в течение по меньшей мере 30 минут. Краситель нейтральный красный проникает в живые клетки, таким образом, чем более интенсивным является красный цвет, тем большее количество живых клеток присутствует в лунках. Содержание красителя в каждой лунке количественно определяли с помощью 96-луночного спектрофотометра при длине волны 540 нм. Содержание красителя в каждом наборе лунок пересчитывали в проценты красителя, присутствующего в контрольных лунках без обработки, используя компьютерную динамическую электронную таблицу Microsoft Excel. Затем с помощью анализа линейной регрессии рассчитывали 50% эффективные (ЕС50, вирус-ингибирующие) концентрации и 50% цитотоксические (СС50, клеточно-ингибирующие) концентрации. Отношение СС50 к ЕС50 определяет значение показателя селективности (SI). Анализ вторичного CPE/уменьшения урожая вируса (VYR). Данный анализ включает ту же методику, которая описана в предыдущих абзацах, с использованием 96-луночных микропланшетов клеток. Отличия указаны в данном разделе. Испытывали восемь полу-1од10 концентраций ингибитора для оценки противовирусной активности и цитотоксичности. После достижения достаточной репликации вируса брали образец надосадочного раствора из каждой инфицированной лунки (объединяли три повтора лунок) и при необходимости сохраняли для проведения VYR части данного теста. Альтернативно, может быть получен отдельный планшет, который может быть заморожен для анализа VYR. После достижения максимального СРЕ, жизнеспособные планшеты окрашивали нейтральным красным красителем. Содержание внедренного красителя количественно определяли так, как описано выше. Данные, полученные в этой части испытания, представляют собой значения ЕС50 по нейтральному красному, СС50 и SI. Соединения, которые проявили активность в описанном выше анализе, дополнительно проверяли в анализе VYR. Испытание VYR представляет собой непосредственное определение того, насколько эффективно экспериментальное соединение ингибирует вирусную репликацию. Вирус, реплицированный в присутствии экспериментального соединения, титровали и сравнивали с вирусом в необработанных, инфицированных контрольных образцах. Титрование объединенных вирусных образцов (собранных так, как описано выше), осуществляли по разбавлению в конечной точке. Испытание проводили посредством титрования log10 разбавлений вируса с использованием 3 или 4 микролунок на одно разбавление свежих монослоев клеток по разбавлению в конечной точке. Лунки оценивали в присутствии или в отсутствие вируса после обнаружения отчетливого СРЕ (измеренного по поглощению нейтрального красного). Построение кривой зависимости log10 вируса, выработанного при каждой концентрации, от log10 концентрации ингибитора обеспечивает возможность расчета 90% (один log10) эффективной концентрации методом линейной регрессии. Деление ЕС90 на значение СС50, полученное в 1 части данного анализа, дает значение SI для данного эксперимента. Пример 47. (2) Анализы скрининга для вируса лихорадки Ласса (LASV) Первичный анализ вируса лихорадки Ласса. Получали конфлюентные или почти конфлюентные монослои клеточных культур в 12-луночных одноразовых планшетах для клеточных культур. Клетки выдерживали в среде DMEM с добавлением 10% FBS. Для противовирусных анализов использовали ту же среду, но содержание FBS уменьшали до 2% или менее, и добавляли 1% пенициллина/стрептомицина. Экспериментальное соединение получали в четырех log10 конечных концентрациях, обычно 0,1, 1,0, 10 и 100 мкг/мл или мкМ. Параллельно с каждым экспериментальным соединением испытывали контрольный образец вируса и контрольный образец клеток. Кроме того, в качестве лекарственного соединения положительного контроля испытывали известное активное лекарственное соединения, используя те же экспериментальные условия, как описаны для контрольных образцов с вирусом и клетками. Положительный контроль испытывали для каждого эксперимента. Анализ начинали с первоначального удаления питательной среды из 12-луночных планшетов клеток, и инфицировали клетки, используя вирус LASV штамма Josiah с множественностью заражения (MOI) 0,01. Клетки инкубировали в течение 90 минут: 500 мкл инокулята/М12 лунка, при 37°С, 5% CO2 с постоянным слабым покачиванием. Инокулят удаляли и 2Х промывали клетки средой. Затем вносили экспериментальное соединение в общем объеме 1 мл среды. В соответствующие моменты времени собирали надосадочный раствор клеточной культуры (TCS). Затем TCS использовали для определения ингибирующего действия соединений на репликацию вируса. Вирус, реплицированный в присутствии экспериментального соединения, титровали и сравнивали с вирусом в необработанных, инфицированных контрольных образцах. Для титрования TCS получали серийные десятикратные разбавления и использовали их для заражения свежих монослоев клеток. Клетки покрывали 1% агарозой, смешанной 1:1 с 2Х MEM с добавлением 10% FBS и 1% пенициллина, и определяли количество бляшек. Построение кривой зависимости log10 вируса, выработанного при каждой концентрации, от log10 концентрации ингибитора обеспечивает возможность расчета 90% (один log10) эффективной концентрации методом линейной регрессии. Вторичный анализ вируса лихорадки Ласса. Вторичный анализ включает ту же методику, которая описана в предыдущих абзацах, с использованием 12-луночных планшетов клеток. Отличия указаны в данном разделе. Клетки инфицировали так, как описано выше, но на этот раз покрывали 1% агарозой, разбавленной 1:1 2Х MEM с добавлением 2% FBS и 1% пенициллина/стрептомицина, и с добавлением соответствующей концентрации лекарственного соединения. Клетки инкубировали при 37°С с 5% CO2 в течение 6 дней. Затем удаляли покрывающий слой и окрашивали планшеты, используя 0,05% кристаллического фиолетового в 10% буферном растворе формалина, в течение примерно двадцати минут при комнатной температуре. Затем планшеты промывали, сушили и подсчитывали количество бляшек. Количество бляшек в каждой группе разбавлений соединения пересчитывали в процент относительно необработанного контрольного образца с вирусом. Затем с помощью анализа линейной регрессии рассчитывали 50% эффективные (ЕС50, вирус-ингибирующие) концентрации. Пример 48. (3) Анализы скрининга для вируса Эбола (EBOV) и вируса Нипах (NIV) Первичный анализ вируса Эбола/Нипах, Проводили анализ уменьшения бляшек в четырех концентрациях. Получали конфлюентные или почти конфлюентные монослои клеточных культур в 12-луночных одноразовых планшетах для клеточных культур. Клетки выдерживали в среде DMEM с добавлением 10% FBS. Для противовирусных анализов использовали ту же среду, но содержание FBS уменьшали до 2% или менее, и добавляли 1% пенициллина/стрептомицина. Экспериментальное соединение получали в четырех log10 конечных концентрациях, обычно 0,1, 1,0, 10 и 100 мкг/мл или мкМ. Параллельно с каждым экспериментальным соединением испытывали контрольный образец вируса и контрольный образец клеток. Кроме того, в качестве лекарственного соединения положительного контроля испытывали известное активное лекарственное соединение, используя те же экспериментальные условия, как описаны для контрольных образцов с вирусом и клетками. Положительный контроль испытывали для каждого эксперимента. Анализ начинали с первоначального удаления питательной среды из 12-луночных планшетов клеток. Затем в лунки наносили экспериментальное соединение в объеме 0,1 мл в 2Х концентрации. Вирус, обычно в количестве 200 бляшкообразующих единиц в объеме 0,1 мл, помещали в лунки, предназначенные для заражения вирусом. Среду без вируса помещали в лунки для контроля токсичности, а также в контрольные лунки с клетками. Контрольные лунки с вирусом таким же образом обрабатывали вирусом. Планшеты инкубировали при 37°С с 5% CO2 в течение одного часа. Инокуляты с вирусом и соединением удаляли, клетки промывали и покрывали 1,6% трагакантом, разбавленным 1:1 2Х MEM с добавлением 2% FBS и 1% пенициллина/стрептомицина, и с добавлением соответствующей концентрации лекарственного соединения. Клетки инкубировали при 37°С с 5% CO2 в течение 10 дней. Затем удаляли покрывающий слой и окрашивали планшеты, используя 0,05% кристаллического фиолетового в 10% буферном растворе формалина, в течение примерно двадцати минут при комнатной температуре. Затем планшеты промывали, сушили и подсчитывали количество бляшек. Количество бляшек в каждой группе разбавлений соединения пересчитывали в процент относительно необработанного контрольного образца с вирусом. Затем с помощью анализа линейной регрессии рассчитывали 50% эффективные (ЕС50, вирус-ингибирующие) концентрации. Вторичный анализ вируса Эбола/Нипах с компонентом VYR. Вторичный анализ включает ту же методику, которая описана в предыдущих абзацах, с использованием 12-луночных планшетов клеток. Отличия указаны в данном разделе. Испытывали восемь полу-log10 концентраций ингибитора для оценки противовирусной активности. На каждую партию соединений испытывали одно лекарственное средство положительного контроля. Для данного анализа клетки инфицировали вирусом. Клетки инфицировали так, как описано выше, но на этот раз инкубировали с DMEM с добавлением 2% FBS и 1% пенициллина/стрептомицина, и с добавлением соответствующей концентрации лекарственного соединения. Клетки инкубировали в течение 10 дней при 37°С с 5% CO2, ежедневно проверяя под микроскопом количество зеленых флуоресцентных клеток. Ежедневно брали аликвоты надосадочного раствора из инфицированных клеток и объединяли лунки трех повторений. Затем объединенные надосадочные растворы использовали для определения ингибирующего действия соединений на репликацию вируса. Вирус, реплицированный в присутствии экспериментального соединения, титровали и сравнивали с вирусом в необработанных, инфицированных контрольных образцах. Для титрования объединенных вирусных образцов получали серийные десятикратные разбавления и использовали их для заражения свежих монослоев клеток. Клетки покрывали трагакантом и определяли количество бляшек. Построение кривой зависимости log10 вируса, выработанного при каждой концентрации, от log10 концентрации ингибитора обеспечивает возможность расчета 90% (один log10) эффективной концентрации методом линейной регрессии. Пример 49. Анализ цитопротекции против вируса Денге Получение клеток. Клетки ВНК21 (клетки почек сирийского золотистого хомячка, № по каталогу АТСС CCL-I 0), клетки Vero (клетки почек африканской зеленой обезьяны, №по каталогу АТСС CCL-81) или клетки Huh-7 (гепатоцитарная карцинома человека) пересевали в среде DMEM с добавлением 10% FBS, 2 мМ L-глутамина,100 Е/мл пенициллина и 100 мкг/мл стрептомицина в колбах Т-75 перед использованием в противовирусном анализе. За день до анализа клетки делили 1:2, чтобы убедиться, что они находятся в экспоненциальной фазе роста в момент инфицирования. Количественное определение общего количества клеток и жизнеспособности проводили с помощью гемоцитометра и исключения красителя трипанового синего. Жизнеспособность клеток составляла более 95% для клеток, используемых в анализе. Клетки повторно суспендировали в количестве 3 × 103 (5 × 105 для клеток Vero и клеток Huh-7) клеток на лунку в среде для выращивания тканевых культур и помещали на плоскодонные микротитровальные планшеты в объеме 100 мкл. Планшеты инкубировали при 37°С/5% CO2 в течение ночи для слипания клеток. Наблюдали, что монослои являются конфлюентными примерно на 70%. Получение вируса. Вирус Денге типа 2 штамма New Guinea С приобретали в Американской коллекции типовых культур, АТСС (№ по каталогу VR-1584) и выращивали в клетках LLC-MK2 (клетки почек резус-макак; № по каталогу CCL-7.1) для получения исходных пулов вируса. Аликвоту вируса, предварительно оттитрованную в клетках ВНК21, вынимали из морозильной камеры (минус 80°С) и оставляли медленно оттаивать до комнатной температуры в боксе биологической безопасности. Вирус повторно суспендировали и разбавляли в аналитической среде (DMEM с добавлением 2% термически инактивированной FBS, 2 мМ L-глутамина, 100 Е/мл пенициллина и 100 мкг/мл стрептомицина), так что количество вируса, добавленного в каждую лунку в объеме 100 мкл, составляло такое количество, которое обеспечивает уничтожение 85-95% клеток через 6 дней после инфицирования. Формат планшета. Каждый планшет содержал контрольные лунки с клетками (только с клетками), контрольные лунки с вирусом (клетки с вирусом), по три лунки для определения токсичности лекарственного соединения на одно соединение (только клетки с лекарственным соединением) и по три экспериментальные лунки (лекарственное соединение с клетками и вирусом). Для определения эффективности и токсичности по ХТТ после инкубации при 37°С в инкубаторе с 5% CO2 экспериментальные планшеты окрашивали тетразолиевым красителем ХТТ (гидроксид 2,3-бис(2-метокси-4-нитро-5-сульфофенил)-5-[(фениламино)карбонил]-2Н-тетразолия). ХТТ-тетразолий метаболизируется митохондральными ферментами метаболически активных клеток до растворимого формазанового продукта, что обеспечивает возможность быстрого количественного анализа ингибирования уничтожения клеток вирусом под действием противовирусных экспериментальных соединений. Раствор ХТТ получали ежедневно в виде исходного раствора с концентрацией 1 мг/мл в среде RPMI 1640. Раствор метосульфата феназина (PMS) получали в концентрации 0,15 мг/мл в PBS и хранили без доступа света при минус 20°С. Исходный раствор XTT/PMS получали непосредственно перед применением, добавляя 40 мкл PBS на один мл раствора ХТТ. Пятьдесят микролитров XTT/PMS добавляли в каждую лунку планшета и снова инкубировали планшет в течение 4 часов при 37°С. Планшеты закрывали клейкими крышками для планшетов и осторожно встряхивали или несколько раз переворачивали для смешивания растворимого формазанового продукта, и считывали планшет спектрофотометрически при 450/650 нм с помощью планшетридера Vmax производства компании Molecular Devices. Анализ данных. Исходные данные получали с помощью программного обеспечения Softmax Pro 4.6 и импортировали для анализа в электронную динамическую таблицу Microsoft Excel. Для каждого соединения рассчитывали процентное уменьшение вирусного цитопатического эффекта относительно контрольных необработанных образцов с вирусом. Для каждого соединения рассчитывали процентное значение контрольных клеток, сравнивая обработанные лекарственным соединением неинфицированные клетки с неинфицированными клетками в чистой среде. Пример 50. Анализ цитопротекции против RSV: Получение клеток. Клетки НЕр2 (эпителиальные клетки человека, № по каталогу АТСС CCL-23) пересевали в среде DMEM с добавлением 10% FBS, 2 мМ L-глутамина, 100 Е/мл пенициллина, 100 мкг/мл стрептомицина, 1 мМ пирувата натрия и 0,1 мМ NEAA, в колбах Т-75 перед использованием в противовирусном анализе. За день до анализа клетки делили 1:2, чтобы убедиться, что они находятся в экспоненциальной фазе роста в момент инфицирования. Количественное определение общего количества клеток и жизнеспособности проводили с помощью гемоцитометра и исключения красителя трипанового синего. Жизнеспособность клеток составляла более 95% для клеток, используемых в анализе. Клетки повторно суспендировали в количестве 1 × 104 клеток на лунку в среде для выращивания тканевых культур и добавляли в плоскодонные микротитровальные планшеты в объеме 100 мкл. Планшеты инкубировали при 37°С/5% CO2 в течение ночи для слипания клеток. Получение вируса. RSV штамма Long и RSV штамма 9320 приобретали в АТСС (№ по каталогу VR-26 и № по каталогу VR-955, соответственно) и выращивали в клетках НЕр2 для получения исходных пулов вируса. Предварительно оттитрованную аликвоту вируса вынимали из морозильной камеры (минус 80°С) и оставляли медленно оттаивать до комнатной температуры в боксе биологической безопасности. Вирус повторно суспендировали и разбавляли в аналитической среде (DMEM с добавлением 2% термически инактивированной FBS, 2 мМ L-глутамина, 100 Е/мл пенициллина, 100 мкг/мл стрептомицина, 1 мМ пирувата натрия и 0,1 мМ NEAA), так что количество вируса, добавленного в каждую лунку в объеме 100 мкл, составляло такое количество, которое обеспечивает уничтожение 85-95% клеток через 6 дней после инфицирования. Планшеты для определения эффективности и токсичности по ХТТ окрашивали и анализировали так, как описано ранее для анализа цитопротекции против Денге. Пример 51. Анализ цитопротекции против вируса гриппа: Получение клеток. Клетки MOCK (клетки почек собак, № по каталогу АТСС CCL-34) пересевали в среде DMEM с добавлением 10% FBS, 2 мМ L-глутамина, 100 Е/мл пенициллина, 100 мкг/мл стрептомицина, 1 мМ пирувата натрия и 0,1 мМ NEAA, в колбах Т-75 перед использованием в противовирусном анализе. За день до анализа клетки делили 1:2, чтобы убедиться, что они находятся в экспоненциальной фазе роста в момент инфицирования. Количественное определение общего количества клеток и жизнеспособности проводили с помощью гемоцитометра и исключения красителя трипанового синего. Жизнеспособность клеток составляла более 95% для клеток, используемых в анализе. Клетки повторно суспендировали в количестве 1 × 104 клеток на лунку в среде для выращивания тканевых культур и добавляли в плоскодонные микротитровальные планшеты в объеме 100 мкл. Планшеты инкубировали при 37°С/5% CO2 в течение ночи для слипания клеток. Получение вируса. Штаммы гриппа A/PR/8/34 (АТСС №VR-95), А/СА/05/09 (CDC), A/NY/18/09 (CDC) и A/NWS/33 (АТСС №VR-219) приобретали у АТСС или в Центре по санитарно-эпидемическому надзору и выращивали в клетках MDCK для получения исходных пулов вируса. Предварительно оттитрованную аликвоту вируса вынимали из морозильной камеры (минус 80°С) и оставляли медленно оттаивать до комнатной температуры в боксе биологической безопасности. Вирус повторно суспендировали и разбавляли в аналитической среде (DMEM с добавлением 0,5% BSA, 2 мМ L-глутамина, 100 Е/мл пенициллина, 100 мкг/мл стрептомицина, 1 мМ пирувата натрия,0,1 мМ NEAA и 1 мкг/мл ТРСК-обработанного трипсина), так что количество вируса, добавленного в каждую лунку в объеме 100 мкл, составляло такое количество, которое обеспечивает уничтожение 85-95% клеток через 4 дней после инфицирования. Планшеты для определения эффективности и токсичности по ХТТ окрашивали и анализировали так, как описано ранее для анализа цитопротекции против Денге. Пример 52. Анализ эффективности против вируса гепатита С Клеточная культура. Линию репортерных клеток Huh-luc/neo-ET приобретали у компании Dr. Ralf Bartenschlager (отдел молекулярной вирусологии, институт гигиены, Гейдельбергский университет, Германия) через компанию ImQuest Biosciences по специальному лицензионному соглашению. Данная клеточная линия содержит постоянно реплицирующийся репликон I389luc-ubi-neo/NS3-37ET, содержащий белок слияния гена люциферазы светлячков-убиквитина-неомицинфосфотрансферазы и EMCV IRES управляемый NS3-5B HCV, кодирующий последовательности, содержащие адаптивные мутации клеточной культуры ЕТ (E1202G, TI2081 и К1846Т). Исходную культуру Huh-luc/neo-ET расширяли посредством выращивания в DMEM с добавлением 10% FCS, 2 мМ глутамина, пенициллина (100 мкЕ/мл)/стрептомицина (100 мкг/мл) и IX заменимых аминокислот с 1 мг/мл G418. Клетки разделяли 1:4 и выращивали для двух пересевов в той же среде с добавлением 250 мкг/мл G418. Клетки обрабатывали трипсином и подсчитывали посредством окрашивания трипановым синим, и высевали в 96-луночные планшеты для тканевых культур с плотностью клеточной культуры 7,5 × 103 клеток на лунку, и инкубировали при 37°С с 5% CO2 в течение 24 часов. Через 24 часа инкубации удаляли среду и заменяли той же средой, но без G418, с добавлением экспериментальных соединений в трех повторениях. В шесть лунок каждого планшета помещали только среду в качестве контрольного образца без обработки. Клетки инкубировали еще 72 часа при 37°С с 5% CO2, затем измеряли анти-HCV активность по конечной точке люциферазы. Параллельно обрабатывали и инкубировали планшеты в двух экземплярах для оценки клеточной токсичности по окрашиванию с ХТТ. Клеточная жизнеспособность. Монослои клеточной культуры из обработанных клеток окрашивали тетразолиевым красителем ХТТ для оценки клеточной жизнеспособности линии репортерных клеток Huh-luc/neo-ET в присутствии указанных соединений. Измерение вирусной репликации. Репликацию HCV из системы для анализа репликона измеряли по активности люциферазы с использованием набора для анализа репортерного гена Britelite plus Luminescence по инструкциям производителя (Perkin Elmer, Шелтон, штат Коннектикут). Вкратце, один флакон Britelite с лиофилизированным субстратом солюбилизировали в 10 мл буфера для разведения Britelite и осторожно перемешивали посредством переворачивания. Через 5 минут инкубации при комнатной температуре в 96-луночные планшеты добавляли реагент Britelite Plus в объеме 100 мкл на лунку. Планшеты закрывали липкой пленкой и инкубировали при комнатной температуре примерно 10 минут для растворения клеток. Содержимое лунок переносили в белый 96-луночный планшет и измеряли люминесценцию за 15 минут, используя жидкостный сцинтилляционный счетчик Wallac 1450 Microbeta Trilux. Данные импортировали в специализированную электронную динамическую таблицу Microsoft Excel 2007 для определения концентрации, ингибирующей вирус на 50% (ЕС50). Пример 53. Анализ цитопротекции против парагриппа 3: Получение клеток. Клетки НЕр2 (эпителиальные клетки человека, № по каталогу АТСС CCL-23) пересевали в среде DMEM с добавлением 10% FBS, 2 мМ L-глутамина, 100 Е/мл пенициллина, 100 мкг/мл стрептомицина, 1 мМ пирувата натрия и 0,1 мМ NEAA, в колбах Т-75 перед использованием в противовирусном анализе. За день до анализа клетки делили 1:2, чтобы убедиться, что они находятся в экспоненциальной фазе роста в момент инфицирования. Количественное определение общего количества клеток и жизнеспособности проводили с помощью гемоцитометра и исключения красителя трипанового синего. Жизнеспособность клеток составляла более 95% для клеток, используемых в анализе. Клетки повторно суспендировали в количестве 1 × 104 клеток на лунку в среде для выращивания тканевых культур и добавляли в плоскодонные микротитровальные планшеты в объеме 100 мкл. Планшеты инкубировали при 37°С/5% CO2 в течение ночи для слипания клеток. Получение вируса. Вирус парагриппа типа 3 штамма SF4 приобретали в АТСС (№ по каталогу VR-281) и выращивали в клетках НЕр2 для получения исходных пулов вируса. Предварительно оттитрованную аликвоту вируса вынимали из морозильной камеры (минус 80°С) и оставляли медленно оттаивать до комнатной температуры в боксе биологической безопасности. Вирус повторно суспендировали и разбавляли в аналитической среде (DMEM с добавлением 2% термически инактивированной FBS, 2 мМ L-глутамина, 100 Е/мл пенициллина и 100 мкг/мл стрептомицина), так что количество вируса, добавленного в каждую лунку в объеме 100 мкл, составляло такое количество, которое обеспечивает уничтожение 85-95% клеток через 6 дней после инфицирования. Формат планшета. Каждый планшет содержал контрольные лунки с клетками (только с клетками), контрольные лунки с вирусом (клетки с вирусом), по три лунки для определения токсичности лекарственного соединения на одно соединение (только клетки с лекарственным соединением) и по три экспериментальные лунки (лекарственное соединение с клетками и вирусом). Для определения эффективности и токсичности по ХТТ после инкубации при 37°С в инкубаторе с 5% CO2 экспериментальные планшеты окрашивали тетразолиевым красителем ХТТ (гидроксид 2,3-бис(2-метокси-4-нитро-5-сульфофенил)-5-[(фениламино)карбонил]-2Н-тетразола). ХТТ-тетразолий метаболизируется митохондральными ферментами метаболически активных клеток до растворимого формазанового продукта, что обеспечивает возможность быстрого количественного анализа ингибирования уничтожения клеток вирусом под действием противовирусных экспериментальных соединений. Раствор ХТТ получали ежедневно в виде исходного раствора с концентрацией 1 мг/мл в RPMI 1640. Раствор метосульфата феназина (PMS) получали в концентрации 0,15 мг/мл в PBS и хранили без доступа света при минус 20°С. Исходный раствор XTT/PMS получали непосредственно перед использованием посредством добавления 40 мкл PMS на один мл раствора ХТТ. Пятьдесят микролитров XTT/PMS добавляли в каждую лунку планшета и снова инкубировали планшет в течение 4 часов при 37°С. Планшеты закрывали клейкими крышками для планшетов и осторожно встряхивали или несколько раз переворачивали для смешивания растворимого формазанового продукта, и считывали планшет спектрофотометрически при 450/650 нм с помощью планшетридера Vmax производства компании Molecular Devices. Анализ данных. Исходные данные получали с помощью программного обеспечения Softmax Pro 4.6 и импортировали для анализа в электронную динамическую таблицу Microsoft Excel. Для каждого соединения рассчитывали процентное уменьшение вирусного цитопатического эффекта относительно контрольных необработанных образцов с вирусом. Для каждого соединения рассчитывали процентное значение контрольных клеток, сравнивая обработанные лекарственным соединением неинфицированные клетки с неинфицированными клетками в чистой среде. Пример 54. Анализ ингибирования полимеразы гриппа: Получение вируса. Очищенный вирус гриппа A/PR/8/34 (1 мл) приобретали у компании Advanced Biotechnologies, Inc. (Колумбия, штат Мэриленд), оттаивали и распределяли на пять аликвот для хранения при минус 80°С до использования. В день анализа добавляли 20 мкл 2,5% раствора Triton N-101 к 180 мкл очищенного вируса. Разрушенный вирус разбавляли 1:2 в растворе, содержащем 0,25% Triton и PBS. В результате разрушения получали источник рибонуклеопротеина (RNP) гриппа, содержащий РНК-зависимую РНК-полимеразу и матричную РНК. Образцы хранили на льду до использования в анализе. Реакция полимеразы. Каждые 50 мкл реакционного раствора полимеразы содержали следующие компоненты: 5 мкл разрушенного RNP, 100 мМ Tris-HCl (рН 8,0), 100 мМ KCl, 5 мМ MgCl2, 1 мМ дитиотреитола, 0,25% Triton N-101, 5 мкКи [а-32Р] ГТФ, 100 мкМ АТФ, 50 мкМ каждого из (ЦТФ, УТФ), 1 мкМ ГТФ и 200 мкМ аденил-(3'-5')-гуанозина. Для испытания ингибитора реакционные смеси содержали ингибитор, и то же самое выполняли для реакционных смесей, содержащих положительный контроль (2'-дезокси-2'-фторгуанозин-5'-трифосфат). Другие контрольные образцы содержали RNP + реакционная смесь и RNP + 1% ДМСО. Реакционную смесь без праймера ApG и NTP инкубировали при 30°С в течение 20 минут. После добавления ApG и NTP в реакционную смесь образцы инкубировали при 30°С в течение 1 часа, затем сразу переносили реакционную смесь на фильтровальные планшеты из стекловолокна с последующим осаждением с помощью 10% трихлоруксусной кислоты (ТСА). Затем планшет пять раз промывали, используя 5% ТСА, затем один раз промывали 95% этанолом. После высушивания фильтра измеряли внедрение [α-32Р] ГТФ с помощью жидкостного сцинтилляционного счетчика (Micro Beta). Формат планшета. Каждый экспериментальный планшет содержал по три образца трех соединений (6 концентраций), а также по три образца RNP + реакционная смесь (только RNP), RNP+1% ДМСО, и только реакционной смеси (без RNP). Анализ данных. Исходные данные получали на сцинтилляционном счетчике Micro Beta. Внедрение радиоактивного ГТФ напрямую коррелирует с уровнями активности полимеразы. «Процентные значения ингибирования» получали делением среднего значения для каждого экспериментального соединения на значение для контрольного образца RNP+1% ДМСО. Среднее значение, полученное при каждой концентрации 2DF-ГТФ, сравнивали с контрольным образцом RNP + реакционная смесь. Затем данные импортировали в динамическую электронную таблицу Microsoft Excel для расчета значений IC50 анализом линейной регрессии. Пример 55. Анализ ингибирования полимеразы HCV: Активность соединений в отношении ингибирования полимеразы HCV оценивали способами, описанными ранее (Lam et al. 2010. Antimicrobial Agents and Chemotherapy 54(8):3187-3196). Анализы полимеразы HCV NS5B проводили в объеме 20 мкл в 96-луночных реакционных планшетах. Каждая реакционная смесь содержала 40 нг/мкл очищенной рекомбинантной полимеразы NS5B-d22 генотипа 1b, 20 нг/мкл комплиментарной матрицы IRES HCV генотипа 1b, 1 мкМ каждого из четырех природных рибонуклеотидов, 1 Е/мл ингибитора РНКазы Optizyme (Promega, Мэдисон, штат Висконсин), 1 мМ MgCl2, 0,75 мМ MnCl2 и 2 мМ дитиотреитола (DTT) в 50 мМ буфера HEPES (рН 7,5). Реакционные смеси соединяли на льду в две стадии. Стадия 1 состояла из объединения всех компонентов реакции, кроме природных нуклеотидов и меченного УТФ в полимеразной реакционной смеси. Десять микролитров (10 мкл) полимеразной смеси распределяли по отдельным лункам 96-луночного реакционного планшета на льду. Полимеразные реакционные смеси без полимеразы NS5B включали в качестве контрольных образцов без фермента. Серийные полулогарифмические разбавления экспериментальных и контрольных соединений, 2'-O-метил-ЦТФ и 2'-O-метил-ГТФ (Trilink, Сан-Диего, штат Калифорния), получали в воде, и 5 мкл серийно разбавленных соединений или чистой воды (контрольный образец без соединения) добавляли в лунки, содержащие полимеразную смесь. Затем в лунки реакционного планшета добавляли пять микролитров нуклеотидной смеси (природные нуклеотиды и меченый УТФ) и инкубировали планшет при 27°С в течение 30 минут. Реакционные смеси гасили посредством добавления 80 мкл стоп-раствора (12,5 мМ ЭДТК, 2,25 М NaCl и 225 мМ цитрата натрия) и наносили РНК-продукты на мембрану Hybond-N+(GE Healthcare, Пискатавэй, штат Нью-Джерси) под вакуумом, с помощью устройства для дотблоттинга. Мембрану извлекали из устройства для дотблоттинга и четыре раза промывали 4Х SSC (0,6 М NaCl и 60 мМ цитрата натрия) и затем один раз промывали водой, и один раз 100% этанолом. Мембрану сушили на воздухе и использовали фильтр для фосфовизуализации, и записывали изображения с помощью устройства формирования изображений Typhoon 8600 Phospho. После записи изображений мембрану помещали в кассету Micro Beta вместе со сцинтилляционной жидкостью и подсчитывали количество отсчетов в минуту в каждой реакционной смеси с помощью Micro Beta 1450. Данные о количестве отсчетов в минуту импортировали в специализированную динамическую электронную таблицу Excel для определения значений IC50 соединений. Пример 56. Условия реакции РНК-зависимой РНК-полимеразы NS5B Проводили анализ соединений в отношении ингибирования NS5B-d21 из HCV GT-1b Con-1. Реакционные смеси содержали очищенный рекомбинантный фермент, 1 Е/мкл РНК-матрицы IRES отрицательно-полярного HCV и 1 мкМ субстратов НТФ, включая либо [32Р]-ЦТФ, либо [32Р]-УТФ. Аналитические планшеты инкубировали при 27°С в течение 1 часа, затем гасили. Внедрение [32Р] в макромолекулярный продукт оценивали по связыванию с фильтром. Пример 57. Анализ ингибирования ДНК-полимеразы человека: Человеческую ДНК-полимеразу альфа (№ по каталогу 1075), бета (№ по каталогу 1077) и гамма (№ по каталогу 1076) приобретали у компании CHIMERx (Мэдисон, штат Висконсин). Ингибирование активности бета и гамма ДНК-полимеразы измеряли в микротитровальных планшетах в 50 мкл реакционной смеси, содержащей 50 мМ Tris-HCl (рН 8,7), KCl (10 мМ для бета и 100 мМ для гамма), 10 мМ MgCl2, 0,4 мг/мл BSA, 1 мМ DTT, 15% глицерина, 0,05 мМ дЦТФ, дТТФ и дАТФ, 10 мкКи [32Р]-альфа-дГТФ (800 Ки/ммоль), 20 мкг активированной ДНК тимуса телят и экспериментальное соединение в указанных концентрациях. Состав реакционной смеси для альфа ДНК-полимеразы в объеме 50 мкл на один образец был следующим: 20 мМ Tris-HCl (рН 8), 5 мМ ацетата магния, 0,3 мг/мл BSA, 1 мМ DTT, 0,1 мМ спермина, 0,05 мМ дЦТФ, дТТФ и дАТФ, 10 мкКи [32Р]-альфа-дГТФ (800 Ки/ммоль), 20 мкг активированной ДНК тимуса телят и экспериментальное соединение в указанных концентрациях. Для каждого анализа ферментативные реакции проводили в течение 30 минут при 37°С, после чего переносили на фильтровальные пластины из стекловолокна с последующим осаждением с помощью 10% трихлоруксусной кислоты (ТСА). Затем планшет промывали, используя 5% ТСА, затем один раз промывали 95% этанолом. После высушивания фильтра измеряли внедрение радиоактивности с помощью жидкостного сцинтилляционного счетчика (Microbeta). Пример 58. Анализ ВИЧ-инфицированных РВМС: Свежие мононуклеарные клетки периферической крови человека (РВМС) приобретали у коммерческого поставщика (Biological Specialty) и устанавливали их серонегативность к ВИЧ и HBV. В зависимости от объема полученной донорной крови, кровяные клетки после лейкофореза несколько раз промывали PBS. После промывания кровь, подверженную лейкофорезу, разбавляли 1:1 фосфатно-солевым буферным раствором (PBS) Дульбекко и помещали поверх 15 мл градиента плотности фиколла-гипака в 50 мл конической центрифужной пробирке. Пробирки центрифугировали в течение 30 минут при 600g. Связанные РВМС осторожно аспирировали из образовавшейся границы раздела фаз и три раза промывали PBS. После последнего промывания определяли количество клеток методом исключения красителя трипанового синего и повторно суспендировали клетки в количестве 1 × 106 клеток/мл в среде RPMI 1640 с 15% эмбриональной бычьей сыворотки (FBS), 2 ммоль/л L-глутамина, 2 мкг/мл РНА-Р, 100 Е/мл пенициллина и 100 мкг/мл стрептомицина, и оставляли для инкубации на 48-72 часа при 37°С. После инкубации РВМС центрифугировали и повторно суспендировали в среде для тканевых культур. Культуры выдерживали до использования, заменяя половину объема культуры на свежую среду для выращивания тканевых культур, содержащую IL-2, каждые 3 дня. Анализы инициировали с помощью РВМС через 72 часа после стимуляции с РНА-Р. Для минимизации влияния вследствие вариабельности доноров, РВМС, использованные в данном анализе, представляли собой смесь клеток, полученных от 3 доноров. Непосредственно перед использованием клетки-мишени повторно суспендировали в свежей среде для тканевых культур в количестве 1 × 106 клеток/мл и помещали во внутренние лунки 96-луночного круглодонного микротитровального планшета в объеме 50 мкл/лунка. Затем в 96-луночный планшет, содержащий клетки в 50 мкл среды, переносили 100 мкл 2Х концентраций среды, содержащей соединение. В качестве внутреннего аналитического стандарта использовали AZT. После добавления в лунки экспериментального соединения добавляли 50 мкл предварительно определенного разбавления вируса ВИЧ (полученного из 4Х конечной требуемой концентрации в лунке) и перемешивали содержимое лунки. Для инфицирования добавляли 50-150 TCID50 каждого вируса на лунку (конечное значение MOI приблизительно 0,002). РВМС в трех повторениях обрабатывали вирусом и выращивали в присутствии или в отсутствие экспериментального соединения в различных концентрациях, как описано выше, в 96-луночных микротитровальных планшетах. Через 7 дней в культуре количественно измеряли репликацию ВИЧ-1 в надосадочном растворе тканевой культуры, определяя активность обратной транскриптазы (ОТ). Лунки только с клетками и вирусом использовали в качестве контрольных образцов с вирусом. Таким же образом получали отдельные планшеты без вируса для испытаний цитотоксичности лекарственного соединения. Анализ активности обратной транскриптазы. Активность обратной транскриптазы измеряли в надосадочных растворах, не содержащих клеток, используя стандартный анализ полимеризации с внедрением радиоактивной метки. Тритированный тимидинтрифосфат (ТТФ; New England Nuclear) приобретали при 1 Ки/мл и использовали 1 мкл на одну ферментативную реакцию. Исходный раствор rAdT получали смешиванием 0,5 мг/мл поли-rA и 1,7 Е/мл олиго-dT в дистиллированной воде и хранили при минус 20°С. Ежедневно получали свежий реакционный буфер для ОТ, который состоял из 125 мкл 1 моль/л ЭГТК, 125 мкл dH2O, 125 мкл 20% Triton Х-100, 50 мкл 1 моль/л Tris (рН 7,4), 50 мкл 1 моль/л DTT и 40 мкл 1 моль/л MgCl2. Для каждой реакции смешивали 1 мкл ТТФ, 4 мкл dH2O, 2,5 мкл rAdT и 2,5 мкл реакционного буфера. Десять микролитров полученной реакционной смеси помещали в круглодонный микротитровальный планшет и добавляли 15 мкл надосадочного раствора, содержащего вирус, и перемешивали. Планшет инкубировали при 37°С в увлажненном инкубаторе в течение 90 минут. После инкубации наносили пятно из 10 мкл реакционного объема на плоский фильтр DEAE в соответствующем формате пластины, 5 раз промывали (по 5 минут) 5% натрий-фосфатным буфером, 2 раза (по 1 минуте) дистиллированной водой, 2 раза (по 1 минуте) 70% этанолом и затем сушили на воздухе. Высушенный плоский фильтр помещали в пластиковый файл и добавляли в файл 4 мл Opti-Fluor О. Включенную радиоактивность количественно определяли с помощью жидкостного сцинтилляционного счетчика Wallac 1450 Microbeta Trilux. Пример 59. HBV: Клетки HepG2.2.15 (100 мкл) в среде RPMI 1640 с 10% эмбриональной бычьей сыворотки добавляли во все лунки 96-луночного планшета с плотностью 1 × 104 клеток на лунку и инкубировали планшет при 37°С в среде 5% CO2 в течение 24 часов. После инкубации добавляли шесть десятикратных серийных разбавлений экспериментального соединения, приготовленного в среде RPMI 1640 с 10% эмбриональной бычьей сыворотки в отдельные лунки планшета в трех повторениях. В шесть лунок планшета помещали только среду в качестве контрольного образца, содержащего только вирус. Планшет инкубировали в течение 6 дней при 37°С в среде 5% CO2. Культуральную среду меняли на 3 день на среду, содержащую указанную концентрацию каждого соединения. Из каждой лунки брали сто микролитров надосадочного раствора для анализа вирусной ДНК методом кПЦР и количественно измеряли цитотоксичность методом окрашивания монослоя клеточной культуры с использованием ХТТ на шестой день. Десять микролитров надосадочного раствора клеточной культуры, собранного на шестой день, разбавляли в буфере для разведения для кПЦР (40 мкг/мл ДНК из молок лососевых, деградированной в результате гидродинамического сдвига) и кипятили в течение 15 минут. Количественную ПЦР в реальном времени проводили в 386-луночных планшетах, используя систему для обнаружения последовательностей Applied Biosystems 7900НТ и вспомогательную программу SDS 2.4. Пять микролитров (5 мкл) ДНК каждого образца после кипячения и серийные 10-кратные разбавления количественного стандарта ДНК использовали для К-ПЦР в реальном времени с помощью системы Platinum Quantitative PCR SuperMix-UDG (Invitrogen) и специфических олигонуклеотидных праймеров ДНК (IDT, Coralville, ID) HBV-AD38-qF1 (5'-CCG TCT GTG CCT TCT CAT CTG-3'), HBV-AD38-qR1 (5'-AGT CCA AGA GTY CTC TTA TRY AAG ACC TT-3') и HBV-AD38-qP1 (5'-FAM CCG TGT GCA /ZEN/СТТ CGC TTC ACC TCT GC-3'BHQ1) в конечной концентрации 0,2 мМ для каждого праймера в общем реакционном объеме 15 мкл. Количество копий ДНК HBV в каждом образце определяли интерполяцией стандартной кривой с помощью программного обеспечения SDS.24 и импортировали данные в динамическую электронную таблицу Excel для анализа. 50% цитотоксичесую концентрацию экспериментальных соединений определяли измерением уменьшения тетразолиевого красителя ХТТ в планшетах с обработанной тканевой культурой. ХТТ метаболизируется митохондриальным ферментом НАДФН-оксидазой до растворимого формазанового продукта в метаболически активных клетках. Раствор ХТТ получали ежедневно в виде исходного раствора с концентрацией 1 мг/мл в PBS. Исходный раствор метосульфата феназина (PMS) получали в концентрации 0,15 мг/мл в PBS и хранили без доступа света при минус 20°С. Исходный раствор XTT/PMS получали непосредственно перед использованием посредством добавления 40 мкл PMS на 1 мл раствора ХТТ. Пятьдесят микролитров XTT/PMS добавляли в каждую лунку планшета и инкубировали планшет в течение 2-4 часов при 37°С. Эмпирически определяли, что инкубация в течение 2-4 находится в пределах линейного диапазона ответа для уменьшения содержания красителя ХТТ при указанном количестве клеток для каждого анализа. Вместо крышек использовали липкие приспособления для заклеивания планшетов, и закрытые планшеты несколько раз переворачивали для смешивания растворимого формазанового продукта, и планшет считывали при 450 нм (эталонная длина волны 650 нм) на спектрофотометре Molecular Devices SpectraMax Plus 384. Данные записывали в программном обеспечении Softmax 4.6 и импортировали в динамическую электронную таблицу Excel для анализа. Пример 60. Условия реакции РНК-зависимой РНК-полимеразы Денге Анализ РНК-полимеразы проводили при 30°С, используя 100 мкл реакционной смеси в пробирке объемом 1,5 мл. Конечные условия реакции: 50 мМ Hepes (рН 7,0), 2 мМ DTT, 1 мМ MnCl2, 10 мМ KCl, 100 нМ UTR-Poly А (самоотжигающийся праймер), 10 мкМ УТФ, 26 нМ фермента RdRp. Реакционную смесь с различными соединениями (ингибиторами) инкубировали при 30°С в течение 1 часа. Для определения количества пирофосфата, образованного во время реакции полимеразы, 30 мкл реакционной смеси полимеразы смешивали с реакционной смесью фермента, связанного с люциферазой (70 мкл). Конечные условия реакции люциферазы: 5 мМ MgCl2, 50 мМ Tris-HCl (рН 7,5), 150 мМ NaCl, 200 мкЕ АТФ-сульфурилазы, 5 мкМ APS, 10 нМ люциферазы, 100 мкМ D-люциферина. Белые планшеты, содержащие реакционные образцы (100 мкл), сразу переносили в люминометр Veritas (Turner Biosystems, штат Калифорния) для обнаружения светового сигнала. Пример 61. Способ инкубации и анализа клеток Клетки Huh-7 высевали в количестве 0,5×10^6 клеток/лунка в 1 мл полной среды в 12-луночных обработанных планшетах для тканевых культур. Клетки оставляли слипаться в течение ночи при 37°С/5% CO2. Получали 40 мкМ исходный раствор экспериментального соединения в 100% ДМСО. Из 40 мкМ исходного раствора получали 20 мкМ раствор экспериментального соединения в 25 мл полной среды DMEM. Для обработки соединением из лунок аспирировали среду и добавляли 1 мл 20 мкМ раствора в полной среде DMEM в соответствующие лунки. Также получали отдельный планшет с клетками «без» добавления соединения. Планшеты инкубировали при 37°С/5% CO2 в течение следующих интервалов времени: 1, 3, 6 и 24 часа. После инкубации в течение требуемого интервала времени клетки промывали 2Х по 1 мл DPBS. Клетки экстрагировали, добавляя 500 мкл 70% метанола/30% воды с добавлением внутреннего стандарта в каждую лунку, обработанную экспериментальным соединением. Необработанный холостой планшет экстрагировали с помощью 500 мкл 70% метанола/30% воды на лунку. Образцы центрифугировали при 16000 об/мин в течение 10 минут при 4°С. Образцы анализировали с помощью ЖХ-МС/МС, используя систему ЖХ-МС/МС ABSCIEX 5500 QTRAP с колонкой Hypercarb (PGC). Пример 62. Условия реакции РНК-зависимой РНК-полимеразы Зика Анализ РНК-полимеразы проводили при 30°С, используя 100 мкл реакционной смеси в пробирке объемом 1,5 мл. Конечные условия реакции: 50 мМ Hepes (рН 7,0), 2 мМ DTT, 1 мМ MnCl2, 10 мМ KCl, 100 нМ UTR-Poly А (самоотжигающийся праймер), 10 мкМ УТФ, 26 нМ фермента RdRp. Реакционную смесь с различными соединениями (ингибиторами) инкубировали при 30°С в течение 1 часа. Для определения количества пирофосфата, образованного во время реакции полимеразы, 30 мкл реакционной смеси полимеразы смешивали с реакционной смесью фермента, связанного с люциферазой (70 мкл). Конечные условия реакции люциферазы: 5 мМ MgCl2, 50 мМ Tris-HCl (рН 7,5), 150 мМ NaCl, 200 мкЕ АТФ-сульфурилазы, 5 мкМ APS, 10 нМ люциферазы, 100 мкМ D-люциферина. Белые планшеты, содержащие реакционные образцы (100 мл), сразу переносили в люминометр Veritas (Turner Biosystems, штат Калифорния) для обнаружения светового сигнала. Пример 63. Условия анализа инфекции Зика Клетки Vero пересевали в среде DMEM в колбах Т-75 перед использованием в анализе противовирусного действия. За день до анализа клетки делили 1:2, чтобы убедиться, что они находятся в экспоненциальной фазе роста в момент инфицирования. Клетки повторно суспендировали в количестве 5 × 103 клеток на лунку в среде для выращивания тканевых культур и добавляли в плоскодонные микротитровальные планшеты в объеме 100 мкл. Планшеты инкубировали при 37°С/5% CO2 в течение ночи для слипания клеток. Отдельно титровали вирус Зика в клетках LLCMK2 для определения инокулюма для использования в анализе противовирусного действия. Вирус разбавляли в среде DMEM так, что количество вируса, добавленного в каждую лунку в объеме 100 мл, составляло такое количество, которое обеспечивает уничтожение 85-95% клеток через 5 дней после инфицирования. После инкубации экспериментальные планшеты окрашивали красителем ХТТ. Раствор ХТТ получали ежедневно в виде исходного раствора с концентрацией 1 мг/мл в RPMI 1640. Раствор PMS получали в концентрации 0,15 мг/мл в PBS и хранили без доступа света при минус 20°С. Исходный раствор XTT/PMS получали непосредственно перед использованием посредством добавления 40 мкл PMS на один мл раствора ХТТ. Пятьдесят микролитров XTT/PMS добавляли в каждую лунку планшета и снова инкубировали планшет в течение 4 часов при 37°С. Планшеты закрывали клейкими крышками для планшетов и осторожно встряхивали для смешивания растворимого формазанового продукта, и считывали планшет спектрофотометрически при 450/650 нм с помощью планшетридера Vmax производства компании Molecular Devices. Исходные данные получали с помощью Softmax Pro и импортировали в динамическую электронную таблицу Microsoft Excel XLfit4 для анализа с использованием расчетов подбора четырехпараметрической кривой. Пример 64. Способы POLRMT Очистка фермента POLRMT Вариант человеческой кодирующей последовательности POLRMT амплифицировали из кДНК плазмиды POLRMT (доступ: ВС098387, ID клона: 5264127, Dharmacon, штат Колорадо) и клонировали в вектор pMal-c5X под управлением промотора tac. Для экспрессии белка плазмиду трансформировали в компетентные клетки Stellar (Clontech). Вектор экспрессии pMal-c5X содержит ген lacI, обеспечивающий возможность индуцибельной экспрессии POLRMT в клетках Stellar. Трансформированные клетки выращивали в среде LB, содержащей 100 мкг/мл ампициллина, при 35°С до оптической плотности 1 при 600 нм. Клетки охлаждали в холодильнике до 4°С в течение 1 часа. Добавляли MgCl2 до конечной концентрации 1 мМ. Экспрессию белка инициировали при 16°С в течение ночи посредством добавления 0,4 мМ IPTG. Клетки собирали центрифугированием при 4000 g в течение 20 минут при 4°С. Клеточный осадок хранили при минус 80°С до дальнейшей переработки. Для очистки белка клеточный осадок повторно суспендировали в буфере для ультразвуковой обработки (20 мМ Tris-HCl с рН 7,5, 10% глицерина, 500 мМ NaCl, 0,5% Triton X-100, 10 мМ DTT, 10 мМ MgCl2, 30 мМ имидазола и 1Х коктейля ингибиторов протеазы). Разрушение клеток осуществляли на льду в течение 10 минут, используя ультразвуковой зондовый диспергатор. Клеточный экстракт осветляли центрифугированием при 16000 g в течение 20 минут при 4°С. Надосадочный раствор инкубировали с агарозной смолой HisPur Ni-NTA при осторожном постукивании в течение 15 минут при 4°С. Затем смолу 5 раз промывали 10 объемами промывочного буфера (20 мМ Tris-HCl с рН 7,5, 10% глицерина, 500 мМ NaCl, 0,1% Triton Х-100, 1 мМ DTT, 2 мМ MgCl2), содержащего 30 мМ имидазола, и затем один раз промывочным буфером, содержащим 2 М NaCl. Белок элюировали из смолы, используя 1 объем элюционного буфера (20 мМ Tris-HCl, рН 7,5, 10% глицерина, 50 мМ NaCl, 0,5% Triton Х-100, 10 мМ DTT и 300 мМ имидазола). Элюированный фермент доводили до 50% глицерина и хранили при минус 80°С до использования. Идентификацию белка осуществляли с помощью масс-спектрометрии. Концентрацию белка-мишени измеряли с помощью ДНС-ПААГ, используя BSA (Sigma, Сент-Луис, штат Миссури) в качестве стандарта. Измерение эффективности внедрения рибонуклеотидного аналога. Разрабатывали различные матрицы для испытания отдельных аналогов rNTP, таблица 1. Различные концентрации экспериментальных рибонуклеотидных аналогов добавляли в реакционные смеси, содержащие 10 нМ Р/Т и 20 нМ POLRMT в реакционном буфере (5 мМ Tris-HCl, рН 7,5, 10 мМ DTT, 20 мМ MgCl2, 0,5% Х-100, 10% глицерина), для инициации реакций. Реакции продолжали при 22°С в течение различных интервалов времени, и затем гасили гасящим буфером (8 М мочевины, 90 мМ Tris-основания, 29 мМ таурина, 10 мМ ЭДТК, 0,02% ДСН и 0,1% бромфенолового синего). Образцы после гашения денатурировали при 95°С в течение 15 минут и отделяли продукты достройки праймера, используя электрофорез в 20% денатурирующем полиакриламидном геле (мочевина-ПААГ) в 1Х буфере ТТЕ (90 мМ Tris-основания, 29 мМ таурина и 0,5 мМ ЭДТК). После электрофореза гели сканировали с помощью инфракрасной системы визуализации Odyssey. Интенсивность различных полос РНК количественно измеряли с помощью программного обеспечения Image Studio Lite версии 4.0. Эффективность внедрения различных аналогов rNTP оценивали посредством измерения K1/2 и соответствующих значений избирательности (см. G Lu). Анализ активности полимеразы для достройки праймера Активность полимеразы POLRMT определяли в процессе реакции достройки праймера, используя матричный комплекс РНК-праймера/ДНК с флуоресцентной меткой. Типичную реакцию достройки праймера проводили в реакционной смеси объемом 20 мкл, содержащей реакционный буфер (5 мМ Tris-HCl, рН 7,5, 10 мМ DTT, 20 мМ MgCl2, 0,1% Triton Х-100, 0,01 Е RNasin, 10% глицерина), 10 нМ комплекса Р/Т и 20 нМ POLRMT. Реакцию инициировали добавлением rNTP в конечной концентрации 100 мкМ с последующей инкубацией в течение 1 часа при 22°С. Реакции гасили добавлением 20 мкл гасящего буфера (8 М мочевины, 90 мМ Tris-основания, 29 мМ таурина, 10 мМ ЭДТК, 0,02% ДСН и 0,1% бромфенолового синего). Образцы после гашения денатурировали при 95°С в течение 15 минут и отделяли продукты достройки праймера, используя электрофорез в 20% денатурирующем полиакриламидном геле (мочевина-ПААГ) в 1Х буфере ТТЕ (90 мМ Tris-основания, 29 мМ таурина и 0,5 мМ ЭДТК). После электрофореза гели сканировали с помощью инфракрасной системы визуализации Odyssey (LI-COR Biosciences, Линкольн, штат Небраска). Изображения анализировали и количественно измеряли соответствующие полосы РНК с помощью программного обеспечения Image Studio Lite версии 4.0 (LI-COR Biosciences, Линкольн, штат Небраска). Пример 65. Активность EIDD-02838 против Togaviridae Пример 66. Активность EIDD-02838 против Bunyaviridae Пример 67. Активность EIDD-02838 против Arenaviridae Пример 68. Активность EIDD-02838 против гриппа Пример 69. Активность EIDD-02838 против парагриппа и RSV Пример 70. Активность EIDD-02838 против Эбола Пример 71. Активность EIDD-02838 против Coronaviridae Пример 72. Активность EIDD-02838 против Flaviviridae Пример 73. Активность EIDD-02838 против Picornaviridae Пример 74. Активность EIDD-02749 против норовируса Пример 75. В 3-горлую круглодонную колбу объемом 2 л загружали 1-[(3R,4S,5R)-3,4-дигидрокси-5-(гидроксиметил)тетрагидрофуран-2-ил]пиримидин-2,4-дион (61,4 г, 251,43 ммоль) и ацетон (1400 мл). Полученную суспензию перемешивали при комнатной температуре и добавляли серную кислоту (2 мл). Перемешивание продолжали в течение ночи. Прозрачный бесцветный раствор гасили/доводили до щелочного рН с помощью 100 мл триметиламина. Неочищенный раствор концентрировали при пониженном давлении с получением бледно-желтого маслянистого вещества. Остаток растворяли в 600 мл EtOAc и промывали водой × 2, раствором бикарбоната × 2, водой, насыщенным солевым раствором × 2 и сушили над сульфатом натрия. Бесцветный раствор концентрировали при пониженном давлении с получением 1-[(3aR,6R,6aR)-6-(гидроксиметил)-2,2диметил-3а,4,6,6а-тетрагидрофуро[3,4-d][1,3]диоксол-4-ил]пиримидин-2,4-диона (45 г) в виде белого твердого вещества. В круглодонную колбу объемом 200 мл загружали 1-[(3aR,6R,6aR)-6-(гидроксиметил)-2,2-диметил-3а,4,6,6а-тетрагидрофуро[3,4-d][1,3]диоксол-4-ил]пиримидин-2,4-дион (2,36 г, 8,3 ммоль) и ДХМ (50 мл). Реакционную смесь перемешивали до образования раствора. Затем добавляли (2S)-2-(трет-бутоксикарбониламино)-3-метилбутановую кислоту (2,16 г, 9,96 ммоль) и N,N-диметилпиридин-4-амин (0,1 г, 0,8300 ммоль). Реакционную смесь охлаждали до 0°С на ледяной бане. Медленно добавляли раствор N,N'-дициклогексилкарбодиимида (2,06 г, 9,96 ммоль) в ДХМ. Реакционную смесь оставляли нагреваться до комнатной температуры. Контролировали по ТСХ (EtOAc). Примерно через 1 час образовался осадок (DCU), а через 3 часа не обнаруживалось исходное вещество. Твердые вещества отфильтровывали и промывали EtOAc. Фильтрат промывали водой, насыщенным солевым раствором, сушили над сульфатом натрия и концентрировали при пониженном давлении с получением белого смолистого вещества. Смолистое вещество растирали с эфиром и отфильтровывали для удаления твердого вещества. Фильтрат концентрировали при пониженном давлении с получением примерно 8 г густого вязкого маслянистого вещества. Продукт очищали с помощью СГХ, объединяли фракции 6-25 и концентрировали при пониженном давлении с получением [(3aR,6R,6aR)-4-(2,4-диоксопиримидин-1-ил)-2,2-диметил-3а,4,6,6а-тетрагидрофуро[3,4-d][1,3]диоксол-6-ил]метил-(2S)-2-(трет-бутоксикарбониламино)-3-метилбутаноата (3,8 г, 7,8592 ммоль, выход 94,667%) в виде белого вещества в форме твердой пены после высушивания in vacuo. 1,2,4-Триазол растворяли в безводном ацетонитриле и перемешивали при комнатной температуре 30 минут, реакционную смесь охлаждали до 0°С и по каплям добавляли POCI3, и продолжали перемешивать в течение 2 часов. Через 2 часа по каплям добавляли триэтиламин и продолжали перемешивание в течение 1 часа, реакционную смесь медленно доводили до комнатной температуры и добавляли полученный из уридина субстрат из представленной выше реакции в виде раствора в ацетонитриле. Реакционную смесь перемешивали при комнатной температуре в течение ночи. После завершения реакции растворитель удаляли при пониженном давлении и растворяли в ДХМ, и экстрагировали водой. Органический слой сушили над безводным сульфатом натрия и концентрировали при пониженном давлении. Неочищенный продукт очищали колоночной флэш-хроматографией. К раствору полученного субстрата в ацетонитриле (10 мл/г) по каплям добавляли 50% раствор гидроксиламина в воде и перемешивали при комнатной температуре в течение 2-3 часов. После завершения реакции растворитель удаляли при пониженном давлении и очищали неочищенный продукт колоночной флэш-хроматографией, используя гексан и EtOAc в качестве элюента. 1 г субстрата растворяли в 20 мл метанола и обрабатывали 2 мл конц. HCI (36%), и через 3-4 часа наблюдали завершение на 30%. Добавляли еще 5 мл конц. HCI и перемешивали в течение ночи. После завершения реакции растворитель удаляли и растворяли неочищенный продукт в минимальном количестве метанола, и по каплям добавляли к избытку диэтилового эфира при перемешивании, продукт выделялся из раствора, и его оставляли оседать, эфир декантировали и добавляли свежий эфир, перемешивали, осаждали и декантировали, тот же процесс повторяли два раза. После декантации эфира сушили твердое вещество на ротационном испарителе и под высоким вакуумом с получением сыпучего белого твердого вещества. Эфир был внедрен в твердое вещество, и его было трудно удалить. Твердое вещество растворяли в метаноле, выпаривали и сушили с получением бесцветной пены, которая все еще содержала метанол. Пену растворяли в воде и получали пурпурный раствор. Пурпурный раствор очищали обращенно-фазовой колоночной хроматографией ISCO, используя воду и ацетонитрил. Фракции, содержащие продукт, выпаривали при пониженном давлении и лиофилизировали с получением бесцветного твердого вещества. Пример 76. В 3-горлую круглодонную колбу объемом 1 л, оснащенную верхнеприводной мешалкой, датчиком температуры и капельной воронкой, загружали уридин (25 г, 102,38 ммоль) и этилацетат (500 мл). Белую суспензию перемешивали при комнатной температуре, добавляя к полученной смеси триэтиламин (71,39 мл, 511,88 ммоль) и DMAP (0,63 г, 5,12 ммоль). Суспензию охлаждали на ледяной бане и медленно добавляли к реакционной смеси изомасляный ангидрид (56,02 мл, 337,84 ммоль) в течение 5 минут. Во время добавления температура повысилась до 25°С. Полученную суспензию перемешивали при комнатной температуре и контролировали по ТСХ. Через 1 час получали прозрачный бесцветный раствор, и ТСХ показала отсутствие исходного вещества. Реакцию гасили 200 мл воды, перемешивали при комнатной температуре в течение 20 минут. Разделяли слои и промывали органический слой водой (2 × 100 мл), насыщенным водным раствором бикарбоната (100 мл × 2), 100 мл воды, насыщенным солевым раствором (100 мл × 2) и затем сушили над сульфатом натрия. Органический слой отфильтровывали и концентрировали фильтрат при пониженном давлении при 45°С с получением желтого маслянистого вещества. Полученное маслянистое вещество использовали на следующей стадии без дополнительной очистки. В 3-горлую колбу объемом 2 л, оснащенную отверстием для подачи аргона, верхнеприводной мешалкой и датчиком температуры, загружали 1Н-1,2,4-триазол (50,88 г, 736,68 ммоль), триэтиламин (114,17 мл, 818,54 ммоль) и MeCN (350 мл). Реакционную смесь перемешивали при комнатной температуре в течение 20 минут. Добавляли этилацетатный раствор (350 мл) [(2R,3R,4R)-5-(2,4-диоксопиримидин-1-ил)-3,4-бис(2-метилпропаноилокси)тетрагидрофуран-2-ил]метил-2-метилпропаноата (46,5 г, 102,32 ммоль) и охлаждали смесь до ниже, чем 5°С на ледяной бане. Перемешивание продолжали в течение 20 минут. Затем медленно добавляли оксихлорид фосфора (V) (14,35 мл, 153,48 ммоль) в атмосфере аргона при температуре менее 20°С в течение 15 минут. Реакцию контролировали по ТСХ (100% EtOAc), исходное вещество (Rf=0,89) было израсходовано менее чем за 2 часа, и наблюдали новое пятно, обусловленное продуктом (Rf=0,78). Реакцию гасили, используя 500 мл воды и 400 мл EtOAc. Погашенную реакционную смесь оставляли перемешиваться при комнатной температуре на 15 минут. Разделяли слои и промывали органический слой водой (2 × 100 мл), 200 мл 0,5 н. HCI и насыщенным солевым раствором (2 × 100 мл). Органический слой сушили над сульфатом натрия, фильтровали и концентрировали при пониженном давлении с получением [(2R,3R,4R)-3,4-бис(2-метилпропаноилокси)-5-[2-оксо-4-(1,2,4-триазол-1-ил)пиримидин-1-ил]тетрагидрофуран-2-ил]метил-2-метилпропаноата (49 г, 96,93 ммоль, выход 94,735%) в виде желтого маслянистого вещества. Неочищенный материал использовали на следующей стадии без дополнительной очистки. В круглодонную колбу объемом 500 мл загружали [(2R,3R,4R)-3,4-бис(2-метилпропаноилокси)-5-[2-оксо-4-(1,2,4-триазол-1-ил)пиримидин-1-ил]тетрагидрофуран-2-ил]метил-2-метилпропаноат (48,9 г, 96,73 ммоль), этилацетат (400 мл) и изопропиловый спирт (100 мл). Реакционную смесь перемешивали при комнатной температуре до полного растворения исходного вещества. Оранжевый раствор обрабатывали гидроксиламином (6,52 мл, 106,41 ммоль) и перемешивали полученный бледно-желтый раствор при комнатной температуре, и контролировали по ТСХ (EtOAc). Через 1 час наблюдали отсутствие исходного вещества. Реакцию гасили, используя 500 мл воды, и разделяли слои. Органический слой промывали, используя 100 мл воды, 100 мл × 2 насыщенного солевого раствора, и затем сушили над сульфатом натрия. Органический слой отфильтровывали и концентрировали при пониженном давлении с получением неочищенного продукта. Неочищенный продукт растворяли в 180 мл МТБЭ и оставляли охлаждаться до комнатной температуры. Добавляли затравочные кристаллы и ставили колбу в холодильник. Образовавшееся белое твердое вещество собирали фильтрованием, промывали минимальным количеством МТБЭ и сушили in vacuo с получением требуемого продукта. Пример 77. В круглодонную колбу объемом 1 л загружали уридин (25 г, 102,38 ммоль) и ацетон (700 мл). Реакционную смесь оставляли перемешиваться при комнатной температуре. Затем суспензию обрабатывали серной кислотой (0,27 мл, 5,12 ммоль). Продолжали перемешивание при комнатной температуре в течение 18 часов. Реакцию гасили, используя 100 мл триметиламина, и использовали на следующей стадии без дополнительной очистки. В круглодонную колбу объемом 1 л загружали реакционную смесь из предыдущей реакции. Затем добавляли триэтиламин (71,09 мл, 510,08 ммоль) и 4-диметиламинопиридин (0,62 г, 5,1 ммоль). Колбу охлаждали на ледяной бане и затем медленно добавляли 2-метилпропаноил-2-метилпропаноат (17,75 г, 112,22 ммоль). Реакционную смесь оставляли перемешиваться при комнатной температуре до завершения реакции. Реакционную смесь концентрировали при пониженном давлении и растворяли остаток в 600 мл этилацетата, и промывали насыщенным водным раствором бикарбоната × 2, водой × 2 и насыщенным солевым раствором × 2. Органический слой сушили над сульфатом натрия и концентрировали при пониженном давлении с получением прозрачного бесцветного маслянистого вещества. Неочищенный продукт использовали на следующей стадии без дополнительной очистки. В круглодонную колбу объемом 1 л загружали неочищенный продукт, полученный выше (36 г, 101,59 ммоль) и MeCN (406,37 мл). Реакционную смесь оставляли перемешиваться до полного растворения исходного вещества. Затем добавляли 1,2,4-триазол (50,52 г, 731,46 ммоль), затем добавляли N,N-диэтилэтанамин (113,28 мл, 812,73 ммоль). Реакционную смесь оставляли перемешиваться при комнатной температуре до полного растворения твердых веществ. Затем реакционную смесь охлаждали до 0°С на ледяной бане. Медленно добавляли оксихлорид фосфора (24,44 мл, 152,39 ммоль). Образовавшуюся суспензию оставляли перемешиваться в атмосфере аргона, медленно нагревая до комнатной температуры. Затем реакционную смесь оставляли перемешиваться до завершения реакции, по данным ТСХ (EtOAc). Затем реакцию гасили, добавляя 100 мл воды. Затем суспензия превращалась в раствор темного цвета, который затем концентрировали при пониженном давлении. Остаток растворяли в ДХМ и промывали водой и насыщенным солевым раствором. Затем сушили органический слой над сульфатом натрия, фильтровали и концентрировали при пониженном давлении. Продукт очищали хроматографией на силикагеле (2 колонки × 330 г). Все фракции, содержащие продукт, собирали и концентрировали при пониженном давлении. В круглодонную колбу объемом 500 мл загружали продукт из предыдущей стадии (11,8 г, 29,11 ммоль) и изопропиловый спирт (150 мл). Реакционную смесь оставляли перемешиваться при комнатной температуре до полного растворения твердых веществ. Затем добавляли гидроксиламин (1,34 мл, 43,66 ммоль) и продолжали перемешивание при комнатной температуре. После завершения реакции (ВЭЖХ) удаляли небольшое количество растворителя под высоким вакуумом при комнатной температуре. Оставшийся растворитель удаляли при пониженном давлении при 45°С. Полученный остаток растворяли в EtOAc и промывали водой и насыщенным солевым раствором. Органический слой сушили над сульфатом натрия, фильтровали и концентрировали при пониженном давлении с получением маслянистого вещества. При стоянии при комнатной температуре образовывались кристаллы. Кристаллы собирали фильтрованием, промывали эфиром × 3 и сушили in vacuo с получением продукта в виде белого твердого вещества. В круглодонную колбу объемом 200 мл загружали продукт из предыдущей стадии (6,5 г, 17,6 ммоль) и муравьиную кислоту (100 мл, 2085,6 ммоль). Реакционную смесь оставляли перемешиваться при комнатной температуре в течение ночи. Ход реакции контролировали по ВЭЖХ. Реакционную смесь концентрировали при пониженном давлении при 42°С с получением прозрачного бледно-розового маслянистого вещества. Затем добавляли 30 мл этанола. Затем удаляли растворитель при пониженном давлении. К твердому веществу добавляли МТБЭ (50 мл) и нагревали. Затем добавляли изопропиловый спирт и продолжали нагревание до полного растворения твердого вещества (5 мл). Затем оставляли раствор остывать и стоять при комнатной температуре. Примерно через 1 час начало образовываться твердое вещество. Твердое вещество собирали фильтрованием, промывали МТБЭ и сушили in vacuo с получением EIDD-2801 в виде белого твердого вещества. Фильтрат концентрировали при пониженном давлении с получением вязкого вещества, которое растворяли в небольшом количестве изопропилового спирта при нагревании. Раствор оставляли стоять при комнатной температуре в течение ночи. В колбе образовывалось твердое вещество, которое собирали фильтрованием, промывали изопропиловым спиртом и МТБЭ, и сушили in vacuo с получением дополнительного количества требуемого продукта. EIDD-2801 (25 г) растворяли в 250 мл изопропилового спирта при нагревании до 70°С с получением прозрачного раствора. Теплый раствор фильтровали через тонкий фильтр и переносили фильтрат в трехгорлую колбу объемом 2 л с верхнеприводной мешалкой. Его снова нагревали до 70°С, и в колбу медленно добавляли МТБЭ (250 мл). В прозрачный раствор вносили затравочные кристаллы и оставляли медленно остывать до комнатной температуры при перемешивании в течение 18 часов. Образовавшийся твердый EIDD-2801 отфильтровывали и промывали МТБЭ, и сушили при 50°С под вакуумом в течение 18 часов. Фильтрат концентрировали, снова растворяли в 50 мл изопропилового спирта и 40 мл МТБЭ при нагревании с получением прозрачного раствора, и оставляли стоять при комнатной температуре с получением второй партии EIDD-2801. Пример 78. Активность EIDD-02749 против норовируса Пример 79. Активность EIDD-02749 против Togaviridae Пример 80. Активность EIDD-02749 против Flaviviridae Пример 81. Активность EIDD-02749 против Picornaviridae Пример 82. Активность EIDD-02749 против респираторного вируса Пример 83. Активность EIDD-02749 против коронавируса Пример 84. Активность EIDD-02749 против Bunyaviridae Пример 85. Активность EIDD-02749 против Arenaviridae Пример 86. Активность EIDD-02749 против филовируса Пример 80. Цитотоксичность EIDD-02749 Пример 81. Синтез EIDD-027749-5'-монофосфата (EIDD-02986) В толстостенную круглодонную колбу объемом 350 мл для работы под давлением загружали 5'-(3-хлорбензоилокси)-4'-фтор-2',3'-O-изопропилиденуридин (4,1 г, 9,3 ммоль) и 7 н. раствор аммиака в метаноле (66 мл, 462 ммоль). Смесь перемешивали в течение 6 часов при комнатной температуре, после чего ТСХ показала полное расходование исходного вещества. Смесь концентрировали in vacuo и очищали полученный остаток колоночной хроматографией на силикагеле (40 г), элюируя градиентом метиленхлорид/метанол, с получением 4'-фтор-2',3'-O-изопропилиденуридина (2,5 г, 89%) в виде белого твердого вещества. 1Н ЯМР (400 МГц, хлороформ-d) δ 9,24 (с, 1Н), 7,23 (д, J=8,0 Гц, 1Н), 5,77 (д, J=8,0 Гц, 1Н), 5,72 (с, 1Н), 5,24 (дд, J=12,6, 6,5 Гц, 1Н), 5,07 (дд, J=6,4, 1,3 Гц, 1Н), 2,50 (с, 1Н), 1,59 (с, 3Н), 1,38 (с, 3Н). 19F ЯМР (376 МГц, хлороформ-d) δ-115,53 (дд, J=12,4, 8,8 Гц). Получали свежий раствор трис-триазолида в ацетонитриле посредством обработки по каплям смеси 1,2,4-триазола (468,91 мг, 6,79 ммоль) и триэтиламина (0,95 мл, 6,79 ммоль) в ацетонитриле (7,5 мл) оксихлоридом фосфора (0,21 мл, 2,27 ммоль) в течение 5 минут при минус 15°С. После перемешивания в течение еще 20 минут при минус 15°С удаляли осадок триэтиламмония на центрифуге и добавляли раствор трис-триазолида к ацетонитрильному раствору (7,5 мл) 4'-фтор-2',3'-O-изопропилиденуридина (225 мг, 0,74 ммоль) при минус 15°С. После перемешивания в течение 15 минут при минус 15°С смесь оставляли нагреваться до комнатной температуры и продолжали еще 1,5 часа. Смесь гасили, используя 50 мМ ТЕАВ (30 мл), перемешивали в течение 1 часа при комнатной температуре и концентрировали досуха in vacuo. Полученный остаток выпаривали вместе с водой (2 × 20 мл) и очищали ионообменной хроматографией на смоле DEAE-Sephadex А-25 (форма HCO3-), элюируя градиентом от 0 до 0,2 М (700 мл) водного раствора бикарбоната аммония в 10% этаноле. Фракции анализировали с помощью ТСХ (7:2:1 iPa:NH4OH:вода), и объединяли и концентрировали требуемые фракции. Продукт дополнительно очищали обращенно-фазовой хроматографией на системе CombiFlash, оснащенной колонкой С-18 (50 г), элюируя 0,01 М водным раствором бикарбоната аммония. Фракции, содержащие продукт, объединяли, замораживали и концентрировали лиофилизацией с получением 4'-фтор-2',3'-O-изопропилиденуридин-5'-O-фосфата (131 мг, 46%) в виде белого твердого вещества. 1Н ЯМР(400 МГц, D2O) δ 7,64 (д, J=8,0 Гц, 1Н), 6,08 (с, 1Н), 5,81 (д, J=7,8 Гц, 1Н), 5,21 (дд, J=12,4, 6,6 Гц, 1Н), 5,14 (д, J=6,5 Гц, 1Н), 4,02-3,73 (м, 2Н), 1,54 (с, 3Н), 1,36 (с, 3Н). 31Р ЯМР (162 МГц, D2O) δ 3,46. 19F ЯМР (376 МГц, D2O) δ-113,90 (к, J=12,4, 11,9 Гц). 4'-Фторуридин-5'-монофосфат (EIDD-02986) В круглодонную колбу объемом 50 мл загружали 4'-фтор-2',3'-O-изопропилиденуридин-5'-O-фосфат (171 мг, 0,43 ммоль), воду (0,5 мл) и уксусную кислоту (1,5 мл). Раствор охлаждали до 10°С и обрабатывали холодным 90% водным раствором трифторуксусной кислоты (3,3 мл, 43,15 ммоль). Через 5 минут смесь оставляли нагреваться до комнатной температуры и перемешивали еще 2 часа. Смесь концентрировали in vacuo, и полученное смолистое вещество выпаривали вместе с водой (5 × 10 мл), затем с метанолом (3 × 10 мл). Неочищенный продукт в виде раствора в метаноле (10 мл) отфильтровывали, концентрировали до объема примерно 4 мл и обрабатывали холодным раствором 1 М перхлората натрия в ацетоне (20 мл). Через 20 минут при 0°С собирали белый осадок на центрифуге. Белое твердое вещество промывали ацетоном (5 × 14 мл), растворяли в воде (4 мл) и концентрировали лиофилизацией с получением 4'-фторуридин-5'-монофосфата (EIDD-02986) (78 мг, 45%) в динатриевой форме. 1Н ЯМР (400 МГц, D2O) δ 7,75 (д, J=8,1 Гц, 1Н), 6,09 (с, 1Н), 5,92-5,82 (м, 1Н), 4,58-4,49 (м, 1 Н), 4,42 (дд, J=6,4, 1,9 Гц, 1Н), 4,11 (т, J=5,2 Гц, 3Н). 31Р ЯМР (162 МГц, D2O) δ-0,27. 19F ЯМР (376 МГц, D2O) δ-121,26(дт, J=19,1, 5,1 Гц). ЖХМС расч. для С9 Н11 FN2O9P [М-Н+]: 341,0; найдено: 340,9. Пример 82. Синтез EIDD-02749-5'-трифосфата (EIDD-02991) В трехгорлую круглодонную колбу объемом 2 л, которую продували аргоном и оснащали механической мешалкой, термометром, загружали 5'-дезокси-5'-йодуридин (80 г, 225,92 ммоль) и сухой метанол (500 мл). В атмосфере аргона обрабатывали белую суспензию 25% раствором (4,37 М) метоксида натрия в метаноле (103,4 мл, 451,85 ммоль). Полученный однородный раствор перемешивали при 60°С в течение 3 часов. Метанол удаляли in vacuo, а полученный остаток растворяли в безводном ацетонитриле (300 мл). После добавления уксусного ангидрида (70,2 мл, 743 ммоль) смесь нагревали до 60°С в течение 5 часов. После охлаждения до комнатной температуры смесь концентрировали in vacuo, а полученный остаток растворяли в этилацетате (500 мл) и обрабатывали насыщенным раствором бикарбоната натрия (100 мл). Органический слой отделяли, промывали насыщенным солевым раствором (100 мл), сушили и концентрировали досуха с получением 2',3'-ди-O-ацетил-4',5'-дидегидро-5'-дезоксиуридина (70 г, выход 99%). 1Н ЯМР (400 МГц, ДМСО-d6) δ 11,53 (д, J=1,9 Гц, 1Н), 7,75 (д, J=8,1 Гц, 1Н), 6,07 (д, J=4,3 Гц, 1Н), 5,92 (д, J=6,5 Гц, 1Н), 5,69 (дд, J=8,0, 1,8 Гц, 1Н), 5,63 (дд, J=6,4, 4,3 Гц, 1Н), 4,52 (т, J=1,9 Гц, 1Н), 4,28 (д, J=2,4 Гц, 1Н), 2,08 (с, 3Н), 2,04 (с, 3Н). В круглодонной колбе объемом 1 л обрабатывали раствор 2',3'-ди-O-ацетил-4',5'-дидегидро-5'-дезоксиуридина (70 г, 225,6 ммоль) в метаноле (350 мл) 30% раствором гидроксида аммония (85,3 мл, 2190,7 ммоль). Через 18 часов при комнатной температуре смесь концентрировали in vacuo и растворяли полученный остаток в 65:35:5 смеси ацетонитрил:изопропанол:метанол. Через 30 минут собирали белый осадок вакуумным фильтрованием и промывали ацетонитрилом и гексанами. Вторую партию выделяли концентрированием фильтрата и перемешиванием полученного твердого вещества с ацетонитрилом. Объединенные партии сушили под высоким вакуумом в течение 18 часов с получением 4',5'-дидегидро-5'-дезоксиуридина (35 г, выход 68%) в виде белого твердого вещества. 1Н ЯМР (400 МГц, ДМСО-d6) δ 11,44 (с, 1Н), 7,59 (д, J=8,1 Гц, 1Н), 5,96 (д, J=5,4 Гц, 1Н), 5,64 (д, J=8,1 Гц, 1Н), 5,60 (д, J=5,8 Гц, 1Н), 5,46 (д, J=5,7 Гц, 1Н), 4,38 (т, J=5,5 Гц, 1 Н), 4,33 (с, 1 Н), 4,24 (к, J=5,5 Гц, 1 Н), 4,17 (д, J=1,8 Гц, 1Н). В трехгорлую круглодонную колбу объемом 2 л загружали 4',5'-дидегидро-5'-дезоксиуридин (35 г, 154,7 ммоль) и безводный ацетонитрил (400 мл). Суспензию охлаждали до 0°С в атмосфере аргона и обрабатывали тригидрофторидом триэтиламина (12,6 мл, 77,4 ммоль), затем добавляли N-йодсукцинимид (45,3 г, 201,2 ммоль). Через 1 час при 0°С ТСХ (10% метанола в метиленхлориде) показала полное превращение. Смесь фильтровали под вакуумом в холодном состоянии. Выделенное твердое вещество последовательно промывали ацетонитрилом, дихлорметаном, гексанами и затем сушили под высоким вакуумом в течение 18 часов с получением 5'-дезокси-4'-фтор-5'-йодуридина (35 г, 61%). 1Н ЯМР (400 МГц, метанол-d4) δ 7,77 (д, J=8,1 Гц, 1Н), 6,05 (с, 1Н), 5,69 (д, J=8,1 Гц, 1Н), 4,43 (дд, J=18,2, 6,5 Гц, 1Н), 4,25 (д, J=6,6 Гц, 1Н), 3,85-3,63 (м, 2Н). 19F ЯМР (376 МГц, метанол-d4) δ-112,49 (ддд, J=20,9, 18,1, 6,1 Гц). В круглодонную колбу объемом 150 мл загружали 5'-дезокси-5'-йод-4'-фторуридин (2,6 г, 6,99 ммоль) и метиленхлорид (35 мл). После перемешивания в течение 20 минут при комнатной температуре суспензию охлаждали до 0°С и обрабатывали бензилхлорформиатом (4,49 мл, 31,44 ммоль), затем по каплям добавляли 1-метилимидазол (3,34 мл, 41,93 ммоль) в течение 10 минут. Смесь перемешивали еще 10 минут при 0°С и затем оставляли медленно нагреваться до комнатной температуры. Через 18 часов мутную смесь разбавляли метиленхлоридом (120 мл) и промывали 0,5 М раствором HCI (75 мл), водой (50 мл) и насыщенным солевым раствором (50 мл). Органический слой отделяли, сушили и концентрировали in vacuo. Полученный остаток очищали колоночной хроматографией на силикагеле (80 г), элюируя градиентом метиленхлорид/метанол. Чистые фракции объединяли и концентрировали in vacuo с получением 2',3'-ди-O-бензилоксикарбонил-5'-дезокси-4'-фтор-5'-йодуридина (4,2 г, выход 94%) в виде белого твердого вещества. 1Н ЯМР (400 МГц, CDCI3) δ 9,02 (с, 1 Н), 7,44-7,28 (м, 10Н), 7,14 (д, J=8,0 Гц, 1Н), 5,86-5,72 (м, 2Н), 5,69-5,57 (м, 2Н), 5,19 (д, J=4,3 Гц, 2Н), 5,09 (д, J=3,1 Гц, 2Н), 3,71-3,35(м, 2Н). 19F ЯМР (376 МГц, CDCI3) 5-107,06 (тд, J=18,6, 7,3 Гц). В круглодонную колбу объемом 100 мл загружали 55% раствор гидроксида тетрабутиламмония в воде (8,04 мл, 9,37 ммоль), доводили до рН 3,5, добавляя по каплям трифторуксусную кислоту (0,72 мл, 9,37 ммоль), поддерживая температуру ниже 25°С. Затем смесь обрабатывали метиленхлоридным раствором (15 мл) 2',3'-ди-O-бензилоксикарбонил-5'-дезокси-4'-фтор-5'-йодуридина (2 г, 3,12 ммоль), затем по частям добавляли 3-хлорпербензойную кислоту (3,6 г, 15,62 ммоль) в течение 30 минут. Через один час рН изменился до рН 1,4. Смесь снова доводили до рН 3,5, используя 1 н. раствор гидроксида натрия, и оставляли перемешиваться на 16 часов, после чего ТСХ (10% метанола в метиленхлориде) и ЖХМС показали полное превращение. Реакционную смесь гасили, медленно, по частям добавляя тиосульфат натрия (3,21 г, 20,31 ммоль), поддерживая температуру ниже 25°С. После перемешивания в течение 30 минут метиленхлоридный слой отделяли, а водный слой экстрагировали дополнительным количеством метиленхлорида (2 х 30 мл). Объединенные органические слои сушили над сульфатом натрия, концентрировали и очищали колоночной хроматографией на силикагеле (80 г), элюируя 60% смесью этилацетата в гексанах, затем на второй силикагелевой колонке (80 г), элюируя градиентом метиленхлорид/метанол, с получением 2',3'-ди-O-бензилоксикарбонил-4'-фторуридина (1,05 г, выход 63%) в виде белого твердого вещества. 1Н ЯМР (400 МГц, CDCI3) δ 9,30 (с, 1Н), 7,39-7,29 (м, 10Н), 7,21 (д, J=8,1 Гц, 1 Н), 5,83 (дд, J=17,8, 7,0 Гц, 1Н), 5,77-5,71 (м, 2Н), 5,61 (дд, J=7,0, 2,4 Гц, 1Н), 5,17 (д, J=4,8 Гц, 2Н), 5,09 (с, 2Н), 3,86 (к, J=5,8, 4,9 Гц, 2Н), 3,06 (с, 1Н). 19F ЯМР (376 МГц, CDCI3) δ-121,03 (дт, J=17,7, 4,6 Гц). 4'-Фторуридин-5'-O-трифосфат (EIDD-02991) В круглодонную колбу объемом 10 мл загружали 2',3'-ди-O-бензилоксикарбонил-4'-фторуридин (348 мг, 0,66 ммоль) и безводный триметилфосфат (3,5 мл). После перемешивания в течение 20 минут при комнатной температуре раствор охлаждали до 0°С и обрабатывали 1-метилимидазолом (115 мкл, 1,44 ммоль), затем по каплям добавляли оксихлорид фосфора (122 мкл, 1,31 ммоль) в течение 40 минут. Смесь продолжали перемешивать при 0°С в течение 3,5 часа, после чего ТСХ (10% метанола в ДХМ, а затем 7:2:1 iPa:NH4OH:вода) показала полное фосфорилирование. Смесь обрабатывали трибутиламином (0,94 мл, 3,94 ммоль), трис(тетрабутиламмоний)пирофосфатом (887 мг, 0,98 ммоль) и безводным ДМФА (1,5 мл). Через 1 час при комнатной температуре реакционную смесь гасили 100 мМ раствором ТЕАВ (20 мл), перемешивали в течение 1 часа, дегазировали посредством принудительного закачивания аргона (3х) и обрабатывали 10% палладием на углероде (100 мг). После охлаждения на ледяной бане смесь продували водородом (2х), затем энергично перемешивали при атмосферном давлении водорода в течение 30 минут. Смесь продували аргоном и затем фильтровали под вакуумом через слой целита. Палладий промывали водой (2 × 20 мл). Объединенные фильтраты промывали эфиром (4 × 60 мл) и затем концентрировали in vacuo при 25°С. Остаток выпаривали вместе с водой (2 × 25 мл) и очищали колоночной хроматографией на смоле DEAE-Sephadex GE А-25 (10 мм × 130 мм), элюируя градиентом от 100 мМ до 500 мМ ТЕАВ (900 мл). Чистые фракции, по данным ТСХ (8:1:1 NH4OH:iPrOH:вода), объединяли и концентрировали in vacuo при температуре бани, настроенной на 25°С. Полученное твердое вещество растворяли в метаноле (1 мл) и обрабатывали насыщенным раствором перхлората натрия в ацетоне (10 мл). Полученный белый осадок собирали на центрифуге и промывали ацетоном (5×5 мл). Твердое вещество растворяли в воде (1 мл), замораживали и лиофилизировали с получением 4'-фторуридин-5'-О-трифосфата (3,14 мг, выход 0,81%) в тетранатриевой форме. 1Н ЯМР (400 МГц, D2O) δ 7,77 (д, J=8,0 Гц, 1Н), 6,15 (д, J=1,9 Гц, 1Н), 5,91 (д, J=8,1 Гц, 1Н), 4,72-4,57 (м, 1Н), 4,41 (д, J=6,3 Гц, 1Н). 4,30 (ддд, J=10,2, 6,3, 3,0 Гц, 1Н). 4.17 (дт. J=10,8, 5,0 Гц, 1Н). 31Р ЯМР (162 МГц, D2O) δ-7,81 (д),-11,84 (д, J=19,2 Гц),-22,23 (т). 19F ЯМР (376 МГц, D2O) δ-121,09 (неразрешенный дт, J=19,2 Гц). ЖХМС расч. для C9 H13FN2O15P3 [М-Н+]: 500,9; найдено: 500,8. Пример 83. Синтез EIDD-02749-5'-изобутилового эфира (EIDD-02947) В грушевидную колбу объемом 25 мл, содержащую 1-[(3aS,4S)-4-фтор-4-(гидроксиметил)-2,2-диметил-6,6а-дигидро-3аН-фуро[3,4-d][1,3]диоксол-6-ил]пиримидин-2,4-дион (0,1 г, 0,33 ммоль) и DMAP (2,0 мг, 0,02 ммоль), добавляли EtOAc (1,1 мл) с получением бесцветного раствора. Колбу вакуумировали и наполняли аргоном. Затем добавляли Et3N (083,12 мл, 0,83 ммоль), затем изомасляный ангидрид (0,07 мл, 0,4 ммоль). Реакционный раствор оставляли перемешиваться при комнатной температуре в течение ночи. После перемешивания в течение ночи ТСХ показала отсутствие исходного вещества. Реакционный раствор переносили в делительную воронку и добавляли воду. Водный слой отделяли и еще раз экстрагировали ДХМ. Объединенные органические слои сушили (Na2SO4), фильтровали и концентрировали in vacuo. Неочищенный материал очищали хроматографией на колонке ISCO (12 г), элюируя от 100% гексанов до 80% EtOAc в гексанах, с получением [(3aS,4S)-6-(2,4-диоксопиримидин-1-ил)-4-фтор-2,2-диметил-6,6а-дигидро-3аН-фуро[3,4-d][1,3]диоксол4-ил]метил-2-метилпропаноата (0,11 г, 89%) в виде белого стекловидного вещества. В грушевидную колбу объемом 25 мл, содержащую [(3aS,4S)-6-(2,4-диоксопиримидин-1-ил)-4-фтор-2,2-диметил-6,6а-дигидро-3аН-фуро[3,4-d][1,3]диоксол-4-ил]метил-2-метилпропаноат (0,11 г, 0,3000 ммоль), добавляли 95% муравьиную кислоту (12 мл, 0,3 ммоль) с получением бесцветного раствора. После перемешивания при комнатной температуре в течение 3,5 часа удаляли растворитель in vacuo. Затем добавляли воду и целит, концентрировали in vacuo. Неочищенный материал очищали хроматографией на колонке ISCO (12 г), элюируя от 100% ДХМ до 15% МеОН в ДХМ, с получением продукта, содержащего некоторое количество примесей. Полученный материал повторно очищали хроматографией на колонке ISCO (12 г), элюируя от 100% гексанов до 100% EtOAc, с получением [(2S,3S)-5-(2,4-диоксопиримидин-1-ил)-2-фтор-3,4-дигидрокситетрагидрофуран-2-ил]метил-2-метилпропаноата (EIDD-02947) (7,8 мг, выход 8%) после лиофилизации в течение ночи, в виде белого рыхлого вещества. 1Н ЯМР (400 МГц, метанол-d4) δ 7,59 (д, J=8,1 Гц, 1Н), 5,87 (д, J=2,1 Гц, 1Н), 5,69 (д, J=8,1 Гц, 1Н), 4,51 (дд, J=19,2, 6,9 Гц, 1Н), 4,44 - 4,34 (м, 2Н), 4,28 (дд, J=11.9. 8,1 Гц, 1Н), 2,72 -2,53 (м, 1Н), 1.17 (дд. J=7,0. 4.8 Гц. 6Н). 19F ЯМР (376 МГц, метанол-d4) δ-123,39 (дт, J=19,1, 8,0 Гц). 13С ЯМР (101 МГц, CD3OD) δ 176,24, 164,59, 150,18, 142,88, 142,80, 116,65, 114,36, 101,82, 101,62, 95,71, 95,46, 70,98, 70,88, 70,27, 70,07, 61,44, 61,02, 33,66, 33,51, 17,90, 17,84, 17,80. Пример 84. Синтез EIDD-02749-5'-L-валинового эфира (EIDD-02971) В грушевидную колбу объемом 25 мл, содержащую 1-[(3aS,4S,6R,6aR)-4-фтор-4-(гидроксиметил-2,2-диметил-6,6а-дигидро-3аН-фуро[3,4-d][1,3]диоксол-6-ил]пиримидин-2,4-дион (0,15 г, 0,5 ммоль), Boc-L-валин (0,13 г, 0,6 ммоль) и DMAP (0,01 г, 0,05 ммоль), добавляли сухой ДХМ (2 мл) с получением бесцветного раствора. Реакционный сосуд вакуумировали и наполняли аргоном. Добавляли сразу весь DCC (0,12 г, 0,6 ммоль) с получением белой суспензии. После перемешивания в течение ночи белую суспензию отфильтровывали через целит и промывали твердое вещество ДХМ. В фильтрат добавляли целит и затем концентрировали фильтрат in vacuo. Неочищенный материал очищали хроматографией на колонке ISCO (24 г), элюируя от 100% гексанов до 100% EtOAc, с получением [(3aS,4S,6R,6aR)-6-(2,4-диоксопиримидин-1-ил)-4-фтор-2,2-диметил-6,6а-дигидро-3аН-фуро[3,4-d][1,3]диоксол-4-ил]метил-(2S)-2-(трет-бутоксикарбониламино)-3-метилбутаноата (0,158 г, 63%). В грушевидную колбу объемом 10 мл, содержащую [(3aS,4S,6R,6aR)-6-(2,4-диоксопиримидин-1-ил)-4-фтор-2,2-диметил-6,6а-дигидро-3aH-фуро[3,4-d][1,3]диоксол-4-ил]метил-(2S)-2-(трет-бутоксикарбониламино)-3-метилбутаноат (50 мг, 0,1 ммоль), добавляли изопропилацетат (1,3 мл) в атмосфере аргона с получением бесцветного раствора. Полученную смесь охлаждали до 0°С и затем по каплям добавляли 5-6 н. HCI в IPA (0,05 мл). Через 1,5 часа ТСХ показала, в основном, исходное вещество. Затем добавляли дополнительное количество 5-6 н. HCI в IPA (0,05 мл) и оставляли смесь в холодильнике на ночь. На следующий день в колбе образовалось немного твердого вещества. Твердое вещество отфильтровывали через среднепористый стеклокерамический фильтр и промывали Et2O. Поскольку твердое вещество было гигроскопичным, его растворяли в МеОН и концентрировали in vacuo. Полученный ранее маточный раствор содержал добавленные твердые вещества, которые отфильтровывали, растворяли в МеОН и объединяли с полученным ранее раствором. После концентрирования in vacuo получали продукт, содержащий примеси. Продукт снова растворяли в EtOH и растирали с Et2O. После перемешивания в течение некоторого времени смесь отфильтровывали и растворяли твердые вещества в EtOH. Затем добавляли дополнительное количество Et2O и отфильтровывали твердое вещество после перемешивания. Наконец, твердые вещества растворяли в МеОН, концентрировали in vacuo, растворяли в воде и лиофилизировали в течение ночи с получением хлорида [(1S)-1-[[(2S,3S,4R,5R)-5-(2,4-диоксопиримидин-1-ил)-2-фтор-3,4-дигидрокситетрагидрофуран-2-ил]метоксикарбонил]-2-метил-пропил]аммония (EIDD-02971) (11 мг, 30%) в виде светло-желтого твердого вещества. Пример 85. Синтез EIDD-02749-2',3',5'-изо6утирилтриэфира (EIDD-02954) В круглодонную колбу объемом 50 мл, содержащую 1-[(2R,3R,4S,5S)-5-фтор-3,4-дигидрокси-5-(гидроксиметил)тетрагидрофуран-2-ил]пиримидин-2,4-дион (68 мг, 0,26 ммоль) и DMAP (6,3 мг, 0,05 ммоль), добавляли EtOAc (2,6 мл) с получением суспензии. Колбу вакуумировали и наполняли аргоном. Затем добавляли Et3N (0,18 мл, 1,3 ммоль). Колбу охлаждали до 0°С и по каплям добавляли изомасляный ангидрид (0,15 мл, 0,91 ммоль). Через 15 минут полученный бесцветный раствор оставляли перемешиваться при комнатной температуре. Через 3,5 часа ТСХ показала отсутствие исходного вещества. Затем по каплям добавляли воду. После перемешивания в течение 5 минут реакционную смесь переносили в делительную воронку и добавляли дополнительное количество EtOAc. Органический слой отделяли, сушили (Na2SO4), фильтровали и концентрировали in vacuo с целитом. Неочищенный материал очищали хроматографией на колонке ISCO (24 г), элюируя от 100% гексанов до 100% EtOAc, с получением [(2S,3S,4R,5R)-5-(2,4-диоксопиримидин-1-ил)-2-фтор-3,4-бис(2-метилпропаноилокси)тетрагидрофуран-2-ил]метил-2-метилпропаноата (EIDD-02954) (0,1 г, 82%) в виде белого твердого вещества. 1Н ЯМР (400 МГц, метанол-d4) δ 7,62 (д, J=8,0 Гц, 1Н), 5,93-5,78 (м, 2Н), 5,69 (д, J=7,9 Гц, 1Н), 5,64 (дд, J=7,2, 2,1 Гц, 1Н). 4,35 (дд, J=7,8, 3,5 Гц, 2Н), 2,68- 2,57 (м, 3Н), 1,26-1,07 (м, 18Н). 19F ЯМР (376 МГц, метанол-d4) δ-120,16 (дт, J=19,6, 7,8 Гц). Пример 86. Синтез 4'-фтор-4-тиоуридина: Получение 2',3',5'-три-O-(трет-бутилдиметилсилил)-4'-фторуридина К раствору 4'-фторуридина (500 мг, 1,9 ммоль) в ДМФА (20 мл), помещенному в круглодонную колбу объемом 100 мл, добавляли TBDMSCI (1,2 г, 7,6 ммоль) и имидазол (650 мг, 9,5 ммоль) в инертной атмосфере при 0°С и продолжали перемешивать при комнатной температуре. После завершения реакционную смесь концентрировали при пониженном давлении и растворяли неочищенный продукт в дихлорметане, и промывали насыщенным водным раствором NaHCO3, затем насыщенным солевым раствором. Объединенные органические слои сушили над Na2SO4, фильтровали и концентрировали при пониженном давлении. Остаток очищали хроматографией. Продукт получали в виде бесцветного пенистого вещества (выход 58%). Получение 2',3',5'-три-O-(трет-бутилдиметилсилил)-4'-фтор-4-тиоуридина К раствору 2',3',5'-три-O-(трет-бутилдиметилсилил)-4'-фторуридина (600 мг, 1 ммоль) в безводном ТГФ (20 мл) добавляли реагент Лавессона (свежий, приобретенный в продаже) (590 мг, 1,5 ммоль) и карбонат калия (29 мг, 0,2 ммоль) и кипятили реакционную смесь с обратным холодильником в течение 5 часов. После завершения реакционную смесь концентрировали при пониженном давлении и очищали неочищенный продукт колоночной хроматографией. Продукт получали в виде бесцветного пенистого вещества (выход 52%). Получение 4'-фтор-4-тиоуридина К раствору 2',3',5'-три-O-(трет-бутилдиметилсилил)-4'-фтор-4-тиоуридина (250 мг, 0,41 ммоль) в безводном тетрагидрофуране (5 мл) добавляли 1 М раствор тетрабутиламмония фторида (2 мл) и перемешивали при комнатной температуре в течение 5 часов. После завершения реакционную смесь концентрировали при пониженном давлении и очищали неочищенный продукт колоночной хроматографией на силикагеле. 1Н ЯМР 400 МГц, CD3OD, δ 7,77 (1Н, д, J=8 Гц), 6,06 (1Н, д, J=4 Гц), 5,69 (1 Н, д, J=8 Гц), 4,42 (1Н, дд, J=6,4 Гц, 20 Гц), 4,25 (1Н, дд, 6,4 Гц, 2,4 Гц), 3,73 (2Н, м); 19F ЯМР 376 МГц δ-123,57, (1F, дт, J=18,8 Гц, 3,7 Гц). Пример 87. Синтез 1'-дейтеро-4'-фторуридина a) Получение 1-дейтеро-2,3-O-изопропилиден-D-рибофуранозы К раствору 2,3-O-изопропилиден-D-рибонолактона (3 г, 16 ммоль) в 9:1 смеси (ТГФ: Н20) (50 мл), помещенному в круглодонную колбу объемом 250 мл, медленно, по частям добавляли NaBD4 (1 г, 24 ммоль) при 0°C при непрерывном перемешивании. После завершения реакционную смесь гасили ацетоном и перемешивали при комнатной температуре еще 30 минут. Реакционную смесь разбавляли избытком этил ацетата (100 мл) и промывали насыщенным водным раствором NH4CI, затем насыщенным водным раствором NaHCO3 и насыщенным солевым раствором. Объединенные органические слои сушили над Na2SO4, фильтровали и концентрировали при пониженном давлении. Остаток очищали хроматографией. Продукт получали в виде бесцветного маслянистого вещества (выход 65%). b) Получение 1,5-ди-O-ацетил-1-дейтеро-2,3-O-изопропилиден-D-рибофуранозы К раствору 1-дейтеро-2,3-O-изопропилиден-D-рибофуранозы (1,9 г, 10 ммоль) в ДХМ (50 мл) добавляли уксусный ангидрид (2,4 мл, 25 ммоль), триметиламин (4,2 мл, 30 ммоль) и DMAP (195 мг, 1,6 ммоль) при 0°С. Продолжали перемешивание при комнатной температуре. После завершения реакционную смесь промывали насыщенным водным раствором NH4CI, затем насыщенным водным раствором NaHCO3 (дважды) и насыщенным солевым раствором. Объединенные органические слои сушили над Na2SO4, фильтровали и концентрировали при пониженном давлении. Остаток очищали хроматографией. Продукт получали в виде бесцветного сиропообразного вещества (выход 70%). c) Получение 1,2,3,5-тетра-O-ацетил-1-дейтеро-D-рибофуранозы 1,5-Ди-O-ацетил-1-дейтеро-2,3-O-изопропилиден-D-рибофуранозу (2 г, 7,2 ммоль) растворяли в 80% уксусной кислоте (50 мл) в круглодонной колбе объемом 100 мл и перемешивали при 50°С в течение 12 часов. После завершения реакционную смесь концентрировали при пониженном давлении и дважды выпаривали вместе с толуолом. Неочищенный продукт растворяли в пиридине (20 мл). Добавляли уксусный ангидрид (1,7 мл, 18 ммоль) и DMAP (122 мг, 1 ммоль) при 0°С и продолжали перемешивание при комнатной температуре. После завершения реакционную смесь концентрировали при пониженном давлении и растворяли неочищенный продукт в дихлорметане, и промывали 5% водным раствором HCI, затем насыщенным водным раствором NaHCO3 и насыщенным солевым раствором. Объединенные органические слои сушили над Na2SO4, фильтровали и концентрировали при пониженном давлении. Остаток очищали хроматографией. Продукт получали в виде сиропообразного вещества, которое кристаллизовалось при стоянии (выход 62% за 2 стадии). d) Получение 2',3',5'-три-O-ацетил-1'-дейтероуридина К суспензии урацила (670 мг, 6 ммоль) в HMDS (10 мл) в круглодонной колбе объемом 100 мл добавляли каталитическое количество сульфата аммония и кипятили с обратным холодильником при 126°С в инертной атмосфере в течение 12 часов. Реакционную смесь охлаждали и концентрировали при пониженном давлении. Остаток сушили под высоким вакуумом и добавляли безводный ацетонитрил, соединение 1,2,3,5-тетра-O-ацетил-1-дейтеро-D-рибофуранозу (950 мг, 3 ммоль) в ацетонитриле и тетрахлорид олова (350 мкл, 3 ммоль). Реакционную смесь кипятили с обратным холодильником в инертной атмосфере в течение 5 часов. После завершения реакционную смесь гасили твердым NaHCO3 и целитом и перемешивали при комнатной температуре в течение 30 минут. Добавляли несколько капель насыщенного водного раствора NaHCO3 и продолжали перемешивание в течение 2-3 часов. Образовавшийся белый осадок отфильтровывали и промывали ДХМ, фильтрат концентрировали при пониженном давлении и очищали колоночной хроматографией. Продукт получали в виде бесцветного твердого вещества (выход 50%). e) Получение 5'-дезокси-1 '-дейтеро-5'-йодуридина К раствору 2',3',5'-три-O-ацетил-1'-дейтероуридина (745 мг, 2 ммоль) в метаноле (10 мл) добавляли 7 н. раствор аммиака в метаноле и перемешивали при комнатной температуре. После завершения реакционную смесь концентрировали при пониженном давлении. Неочищенный продукт растирали с этилацетатом и помещали полученное твердое вещество в круглодонную колбу объемом 100 мл, и суспендировали в ТГФ. Добавляли трифенилфосфин (786 мг, 3 ммоль) имидазол (200 мг, 3 ммоль) и йод (600 мг, 2,3 ммоль) и перемешивали при комнатной температуре в течение 8 часов. После завершения реакционную смесь концентрировали при пониженном давлении и перемешивали остаток с изопропанолом. Образовавшееся бесцветное твердое вещество отфильтровывали и сушили (выход 45%). f) Получение соединения 2',3'-ди-O-ацетил-1'-дейтеро-5'-дезокси-4',5'-дидегидроуридина К раствору 5'-дезокси-1'-дейтеро-5'-йодуридина (530 мг, 1,5 ммоль) в метаноле добавляли метоксид натрия, 25% по массе в метаноле (325 мкл), и перемешивали при 65°С в инертной атмосфере. После завершения реакционную смесь концентрировали при пониженном давлении. Неочищенный продукт растворяли в MeCN (10 мл) и обрабатывали уксусным ангидридом (425 мкл, 4,5 ммоль) и DMAP (20 мг, 0,15 ммоль), и перемешивали при комнатной температуре в течение 12 часов. После завершения реакционную смесь гасили насыщенным водным раствором NaHCO3, разбавляли ДХМ, промывали насыщенным водным раствором NaHCO3 и насыщенным солевым раствором. Объединенные органические слои сушили над Na2SO4, фильтровали и концентрировали при пониженном давлении. Остаток очищали хроматографией с получением продукта в виде бесцветного твердого вещества. g) Получение соединения 2',3'-ди-O-ацетил-1'-дейтеро-5'-дезокси-5'-йод-4'-фторуридина К раствору соединения 2',3'-ди-O-ацетил-1'-дейтеро-5'-дезокси-4',5'-дидегидроуридина (460 мг, 2 ммоль) в безводном ацетонитриле (5 мл) в круглодонной колбе объемом 50 мл добавляли тригидрофторид триэтиламина (162 мкл, 1 ммоль) и N-йодсукцинимид (2,6 ммоль) при 0°С. Через 60 минут реакционную смесь медленно нагревали до комнатной температуры. После завершения реакционную смесь концентрировали при пониженном давлении и очищали колоночной хроматографией. h) Получение соединения 2',3'-ди-O-ацетил-1'-дейтеро-5'-м-хлорбензоат-4'-фторуридина К раствору 2',3'-ди-O-ацетил-1'-дейтеро-5'-дезокси-5'-фтор-4'-йодуридина (460 мг, 1 ммоль) в 5:1 смеси (ДХМ:H2O) (50 мл) в круглодонной колбе объемом 100 мл добавляли гидросульфат тетрабутиламмония (370 мг, 1,1 ммоль) и двухосновный фосфат калия (260 мг, 1,5 ммоль) и охлаждали реакционную смесь до 0°С. Медленно, по частям добавляли мета-хлорпербензойную кислоту (860 мг, 4 ммоль) и оставляли реакционную смесь нагреваться до комнатной температуры, и продолжали энергичное перемешивание еще 12 часов. После завершения реакционную смесь гасили водным раствором Na2SO3 и разбавляли ДХМ (30 мл). Органический слой отделяли и промывали насыщенным водным раствором NaHCO3 и насыщенным солевым раствором. Объединенные органические слои сушили над Na2SO4, фильтровали и концентрировали при пониженном давлении. Остаток очищали хроматографией. i) Получение 1'-дейтеро-4'-фторуридина К раствору 2',3'-ди-O-ацетил-1'-дейтеро-5'-м-хлорбензоат-4'-фторуридина (250 мг, 0,5 ммоль) в метаноле (10 мл) добавляли 7 н. раствор аммиака в метаноле (2 мл) и перемешивали при комнатной температуре. После завершения реакционную смесь концентрировали при пониженном давлении и очищали колоночной хроматографией. Пример 88. Синтез 4'-фторкарбауридина К суспензии соединения карбауридина (2,5 г, 10 ммоль) в безводном ацетоне (200 мл) добавляли 2,2-диметоксипропан (1,2 мл, 10 ммоль) и концентрированную серную кислоту (200 мкл, 2 ммоль) при 0°С в инертной атмосфере и продолжали перемешивание при комнатной температуре. После завершения реакционную смесь гасили NaHCO3, перемешивали в течение 30 минут и отфильтровывали. Фильтрат концентрировали при пониженном давлении и очищали остаток колоночной хроматографией. К раствору синтезированного выше ацетонида (1,4 г, 5 ммоль) в ТГФ (1 00 мл) в круглодонной калбе объемом 250 мл добавляли трифенилфосфин (2 г, 7,5 ммоль), имидазол (500 мг, 7,5 ммоль) и йод (1,4 г, 5,5 ммоль) при 0°С в инертной атмосфере и перемешивали при комнатной температуре в течение 8 часов. После завершения реакционную смесь концентрировали при пониженном давлении и растворяли остаток в изопропаноле (100 мл), и перемешивали при комнатной температуре. Образовавшееся бесцветное твердое вещество отфильтровывали и сушили. К раствору йодсодержащего соединения, синтезированного выше (1 г, 2,5 ммоль) в метаноле, добавляли метоксид натрия, 25% по массе в метаноле (1,1 мл, 5 ммоль) и перемешивали при 65°С в инертной атмосфере. После завершения реакционную смесь концентрировали при пониженном давлении. Неочищенный продукт растворяли в ДХМ (100 мл) и фильтровали через слой целита. Фильтрат концентрировали при пониженном давлении и очищали остаток колоночной хроматографией. К раствору алкенового продукта, полученного выше (800 мг, 3 ммоль), в безводном ДХМ (50 мл) в круглодонной колбе объемом 100 мл добавляли фторид серебра (950 мг, 7,5 ммоль), затем по каплям добавляли йод (1,5 г, 6 ммоль) в ТГФ. После добавления реакционную смесь оставляли медленно нагреваться до комнатной температуры и перемешивали еще 30 минут при комнатной температуре. После завершения реакционную смесь фильтровали через слой целита и промывали фильтрат насыщенным водным раствором Na2S2O3, затем насыщенным водным раствором NaHCO3 и насыщенным солевым раствором. Объединенные органические слои сушили над Na2SO4, фильтровали и концентрировали при пониженном давлении. Остаток очищали хроматографией. К раствору полученного выше соединения (610 мг, 1,5 ммоль) в 5:1 смеси (ДХМ:H2O) (50 мл) в круглодонной колбе объемом 100 мл добавляли гидросульфат тетрабутиламмония (560 мг, 1,65 ммоль) и двухосновный фосфат калия (400 мг, 2,3 ммоль). Реакционную смесь охлаждали до 0°С. Медленно, по частям добавляли м-хлорпербензойную кислоту (1,0 г, 6 ммоль) и оставляли реакционную смесь нагреваться до комнатной температуры. Энергичное перемешивание продолжали еще 12 часов. После завершения реакционную смесь гасили водным раствором Na2SO3 и разбавляли ДХМ (50 мл). Органический слой отделяли и промывали насыщенным водным раствором NaHCO3 и насыщенным солевым раствором. Объединенные органические слои сушили над Na2SO4, фильтровали и концентрировали при пониженном давлении. Остаток очищали хроматографией. Полученное выше соединение (450 мг, 1 ммоль) растворяли в 80% уксусной кислоте (20 мл) и перемешивали при 50°С в течение 12 часов. После завершения реакционную смесь концентрировали при пониженном давлении и дважды выпаривали вместе с безводным толуолом. Остаток растворяли в метаноле (20 мл) и обрабатывали 7 н. раствором аммиака в метаноле (2 мл), и перемешивали при комнатной температуре. После завершения реакционную смесь концентрировали при пониженном давлении и очищали колоночной хроматографией с получением конечного требуемого продукта. Пример 89. Синтез 4'-фтор-2-тиоуридина: Получение 4-О-(2,6-диметилфенил)-2',3'-ди-О-ацетил-5'-О-(4-хлорбензоил)-4'-фторуридина 2',3'-ди-O-ацетил-5'-O-(4-хлорбензоил)-4'-фторуридин (1 г, 2 ммоль) растворяли в безводном дихлорметане (30 мл) в круглодонной колбе объемом 100 мл. Добавляли Et3N (542 мкл, 3,75 ммоль), 2,4,6-триизопропилбензолсульфонилхлорид (690 мг, 2,26 ммоль) и 4-(диметиламино)пиридин (62 мг, 0,5 ммоль) при 0°С в инертной атмосфере при непрерывном перемешивании при комнатной температуре. После завершения реакции добавляли 2,6-диметилфенол (300 мг, 2,45 ммоль), Et3N (3,45 мл, 25 ммоль) и 1,4-диазабицикло[2,2,2]октан (23 мг, 0,2 ммоль) при 0°С в инертной атмосфере при непрерывном перемешивании при комнатной температуре в течение 3-4 часов. Реакционную смесь разбавляли дихлорметаном (30 мл) и один раз промывали насыщенным раствором NaHCO3 (водным) и дважды насыщенным солевым раствором. Объединенные органические экстракты сушили над Na2SO4, фильтровали и концентрировали при пониженном давлении. Остаток очищали колоночной хроматографией. Продукт получали в виде бесцветного твердого вещества (выход 53%). Получение 4-O-(2,6-диметилфенил)-4'-фторуридина К раствору 4-O-(2,6-диметилфенил)-2',3'-ди-O-ацетил-5'-O-(4-хлорбензоил)-4'-фторуридина (600 мг) в безводном метаноле (6 мл) в круглодонной колбе объемом 25 мл добавляли 1 мл 7 н. раствора аммиака в метаноле и перемешивали при комнатной температуре в течение 8 часов. После завершения реакционную смесь концентрировали при пониженном давлении и получали неочищенный продукт в виде бесцветного твердого вещества (выход 88%). Получение 4-O-(2,6-диметилфенил)-2',3',5'-три-O-(трет-бутилдиметилсилил)-4'-фторуридина К раствору 4-O-(2,6-диметилфенил)-4'-фторуридина (720 мг) в безводном ДМФА (10 мл) в круглодонной колбе объемом 50 мл добавляли трет-бутилдиметилсилилхлорид (1185 мг, 7,8 ммоль) и имидазол (670 мг, 9,8 ммоль) при 0°С в инертной атмосфере при непрерывном перемешивании при комнатной температуре в течение 12 часов. После завершения реакционную смесь концентрировали при пониженном давлении и растворяли неочищенный продукт в ДХМ, и промывали насыщенным водным раствором NaHCO3 и насыщенным солевым раствором. Объединенные органические экстракты сушили над Na2SO4, фильтровали и концентрировали при пониженном давлении. Остаток очищали колоночной хроматографией с получением бесцветного пенистого вещества (выход 71%). Получение 4-O-(2,6-диметилфенил)-2',3',5'-три-O-(трет-бутилдиметилсилил)-4'-фтор-2-тиоуридина К раствору 4-O-(2,6-диметилфенил)-2',3',5'-три-O-(трет-бутилдиметилсилил)-4'-фторуридина (750 мг, 1 ммоль) в безводном толуоле (20 мл) добавляли реагент Лавессона (свежий, приобретенный в продаже) (590 мг, 1,5 ммоль) и карбонат калия (29 мг, 0,2 ммоль) и кипятили реакционную смесь с обратным холодильником в течение 8 часов. После завершения реакционную смесь концентрировали при пониженном давлении и очищали неочищенный продукт колоночной хроматографией. Продукт получали в виде бесцветного пенистого вещества (выход 74%). Получение 2',3',5'-три-O-(трет-бутилдиметилсилил)-4'-фтор-2-тиоуридина К раствору 4-O-(2,6-диметилфенил)-2',3',5'-три-O-(трет-бутилдиметилсилил)-4'-фтор-2-тиоуридина (500 мг, 0,68 ммоль) в ацетонитриле (10 мл) добавляли 1,1,3,3-тетраметилгуанидин (260 мкл, 2 ммоль) и син-о-нитробензальдоксим (343 мг, 2 ммоль) и перемешивали при комнатной температуре в течение 5 часов. После завершения смесь концентрировали при пониженном давлении. Неочищенный продукт растворяли в дихлорметане и промывали насыщенным водным раствором NaHCO3 и насыщенным солевым раствором. Объединенные органические слои сушили над Na2SO4, фильтровали и концентрировали при пониженном давлении. Остаток очищали хроматографией. Продукт получали в виде бесцветного пенистого вещества (выход 67%). Получение 4'-фтор-2-тиоуридина К раствору 2',3',5'-три-O-(трет-бутилдиметилсилил)-4'-фтор-2-тиоуридина (270 мг, 0,43 ммоль) в безводном тетрагидрофуране (5 мл) добавляли 1 М раствор тетрабутиламмония фторида (2 мл) и перемешивали при комнатной температуре в течение 5 часов. После завершения реакционную смесь концентрировали при пониженном давлении и очищали неочищенный продукт колоночной хроматографией на силикагеле. Продукт получали в виде грязновато-белого твердого вещества (выход 74%). 1Н ЯМР 400 МГц, CD3OD, δ 8,11 (1 Н, д, J=8 Гц), 6,84 (1Н, с), 5,94 (1Н, д, J=8 Гц), 4,26 (2Н, м), 3,78 (2Н, м); 13С ЯМР 100 МГц δ 176,49, 159,90, 140,78, 119,46, 117,16, 107,34, 95,08, 72,83, 68,59, 59,80; 19F ЯМР 376 МГц δ-122,77, (1 F, д, J=18,8 Гц); ЖХМС: [М+1]+ 279,0. Пример 90. Протокол определения стабильности в плазме Экспериментальное соединение инкубировали в трех экземплярах при 1,00 мкМ в объединенной плазме человека обоих полов (BiolVT, К2ЭДТА), в объединенной плазме самцов мышей CD-1 (BiolVT, К2ЭДТА), в объединенной плазме самцов крыс Спрага-Доули (BiolVT, литий-гепарин). Инкубацию проводили в 13 × 100 мм стеклянных пробирках для культур. Образцы помещали на водяную баню в шейкере, настроенном на 37°С, и встряхивали при 150 об/мин. Параллельно проводили эксперимент с прокаином, бенфлуорексом или эналаприлом (по 1 мкМ каждого) в качестве положительного контроля активности в плазме человека, мышей или крыс, соответственно. Брали аликвоты по 100 мкл в следующие моменты времени: 0, 5, 15, 30, 60 и 120 минут. Эти аликвоты смешивали с 400 мкл 100% ацетонитрила в конических микроцентрифужных полипропиленовых пробирках объемом 1,7 мл. Образцы встряхивали на вортексе в течение примерно 10 секунд, и затем осветляли центрифугированием (2 минуты при 15000g). Надосадочные растворы анализировали с помощью ЖХ-МС/МС. ВЭЖХ разделение проводили на системе Agilent 1200 (Agilent Technologies, Санта-Клара, штат Калифорния, США), оснащенной колоночным термостатом, УФ лампой и бинарным насосом. Для разделения использовали колонку Thermo Hypercarb PGC (150 × 4,6 мм, 5 мкм) (ThermoFisher, Уолтем, штат Массачусетс, США). Подвижная фаза А состояла из 100 мМ аммоний-бикарбонатного буфера в воде марки «для ВЭЖХ» (рН 10), а подвижная фаза В состояла из неразбавленного ацетонитрила. Использовали градиент 0-85% В за 3 минуты, затем для разделения использовали 0% В в течение 4 минут. Масс-спектрометрический анализ проводили на масс-спектрометре Triple Quad 5500 (АВ Sciex, Фармингем, штат Массачусетс, США), используя ионизацию электрораспылением (ИЭР) в отрицательном режиме, в режиме мониторинга множественных реакций (MRM). Анализ данных проводили с помощью программного обеспечения Analyst (АВ Sciex, Фармингем, штат Массачусетс, США). Концентрации аналита рассчитывали по стандартной кривой. Период полувыведения (t1/2) рассчитывали построением кривой зависимости натурального логарифма концентрации аналита от времени и определения наклона данной линии. Предполагая кинетику первого порядка, константа скорости выведения, k, имеет отрицательное значение (-) угла наклона построенной кривой (In [мкМ] от времени). Период полувыведения (t1/2) (мин)=-0,693/ (угол наклона). Пример 91. Протокол определения стабильности в микросомах печени Экспериментальное соединение инкубировали в трех экземплярах при 1,00 мкМ в 100 мМ фосфатном буфере (рН 7,4), с кофакторами I фазы (НАДФН-регенирирующая система) и 0,5 мг (общего белка) из объединенных микросом печени человека обоих полов (BiolVT), из объединенных микросом печени самцов мышей CD-1 (XenoTech) или из объединенных микросом печени самцов крыс Спрага-Доули (BiolVT). Инкубацию проводили в 13 × 100 мм стеклянных пробирках для культур. Образцы помещали на водяную баню в шейкере, настроенном на 37°С, и встряхивали при 150 об/мин. Параллельно в качестве положительного контроля проверяли верапамил (1 мкМ). ВЭЖХ разделение проводили на системе Agilent 1200 (Agilent Technologies, Санта-Клара, штат Калифорния, США), оснащенной колоночным термостатом, УФ лампой и бинарным насосом. Для разделения использовали колонку Thermo Hypercarb PGC (150 × 4,6 мм, 5 мкм) (ThermoFisher, Уолтем, штат Массачусетс, США). Подвижная фаза А состояла из 100 мМ аммоний-бикарбонатного буфера в воде марки «для ВЭЖХ» (рН 10), а подвижная фаза В состояла из неразбавленного ацетонитрила. Использовали градиент 0-85% В за 3 минуты, затем для разделения использовали 0% В в течение 4 минут. Масс-спектрометрический анализ проводили на масс-спектрометре Triple Quad 5500 (АВ Sciex, Фармингем, штат Массачусетс, США), используя ионизацию электрораспылением (ИЭР) в отрицательном режиме, в режиме мониторинга множественных реакций (MRM). Анализ данных проводили с помощью программного обеспечения Analyst (АВ Sciex, Фармингем, штат Массачусетс, США). Концентрации аналита рассчитывали по стандартной кривой. Период полувыведения (t1/2) рассчитывали построением кривой зависимости натурального логарифма концентрации аналита от времени и определения наклона данной линии. Предполагая кинетику первого порядка, константа скорости выведения, k, имеет отрицательное значение (-) угла наклона построенной кривой (In [мкМ] от времени). Период полувыведения (t1/2) (мин)=-0,693/ (угол наклона). Пример 92. Протокол определения рН-стабильности Экспериментальное соединение в метаноле, воде, 0,1 н. HCI, PBS или в буфере с рН9 помещали в автоматический пробоотборник для ВЭЖХ, настроенный на 25°С или 4°С. Образцы вводили в прибор ЖХ-МС/МС в следующие моменты времени: 0, 1, 2, 3, 4, 6 и 24 часа. ВЭЖХ разделение проводили на системе Agilent 1200 (Agilent Technologies, Санта-Клара, штат Калифорния, США), оснащенной колоночным термостатом, УФ лампой и бинарным насосом. Для разделения использовали колонку Thermo Hypercarb PGC (100 × 4,6 мм, 5 мкм) (ThermoFisher, Уолтем, штат Массачусетс, США). Подвижная фаза А состояла из 25 мМ аммоний-бикарбонатного буфера в воде марки «для ВЭЖХ» (рН 9,4), а подвижная фаза В состояла из неразбавленного ацетонитрила. Исходные условия подвижной фазы, 5% В, выдерживали в течение одной минуты. В течение следующих 7 минут использовали градиент 5-60% В, затем использовали повторное уравновешивание колонки. Масс-спектрометрический анализ проводили на масс-спектрометре QTRAP 5500 (АВ Sciex, Фармингем, штат Массачусетс, США), используя ионизацию электрораспылением (ИЭР) в отрицательном режиме, в режиме мониторинга множественных реакций (MRM), и УФ при 260 нм. Анализ данных проводили с помощью программного обеспечения Analyst (АВ Sciex, Фармингем, штат Массачусетс, США). Стабильность определяли по % изменению площади УФ пика относительно образцов в нулевой момент времени. Пример 93. Стабильность EIDD-02749 в растворителях и буферах Стабильность EIDD-02749 в растворителях и в кислотных, нейтральных и основных буферах представлена на фиг. 1-5. Пример 94. Стабильность пролекарств EIDD-02749 Пример 95. Концентрации EIDD-02991 в клетках Huh-7 Концентрации EIDD-02991 в клетках Huh-7, инкубированных с EIDD-02749, EIDD-02947, EIDD-02954 или EIDD-02971, представлены на фиг. 6. Пример 96. Концентрации EIDD-02991 в клетках Vero Концентрации EIDD-02991 в клетках Vero, инкубированных с EIDD-02749, EIDD-02947, EIDD-02954 или EIDD-02971, представлены на фиг. 7. Пример 83. Протокол испытания ФК у мышей Самок мышей ICR (CD-1) (поставляемых компанией Envigo) возрастом от 7 до 8 недель акклиматизировали к условиям их содержания в течение по меньшей мере трех дней до введения дозы. Мышей взвешивали по меньшей мере один раз до введения дозы для определения объема дозы. Экспериментальное соединение растворяли в стерильном солевом растворе в концентрации 1 мг/мл для IP введения доз. Для перорального введения доз экспериментальное соединение суспендировали в 10 мМ растворе цитрата тринатрия/0,5% Tween 80 в воде. Для IP введения доз мышам вводили дозу в объеме 10 мл/кг, и для РО введения доз мышам вводили дозу в объеме 10 мл/кг. Образцы крови брали у мышей, которым вводили дозу через желудочный зонд, перед введением доз, через 0,25, 0,50, 1, 2, 3, 4, 8 и 24 часа после введения дозы. Образцы крови брали у мышей, которым вводили дозу посредством интраперитонеальной инъекции, перед введением доз, через 0,08, 0,25, 0,50, 1, 2, 3, 4 и 8 часов после введения дозы. Образцы крови брали посредством забора ретроорбитальной крови под изофлурановой анестезией в литий-гепариновые пробирки Microtainer, центрифугировали при 2000 × g в течение 10 минут при 5°С и переносили плазму в свежие пробирки, и хранили при минус 80°С до переработки для количественного измерения методом ЖХ-МС/МС. Аликвоты плазмы мышей по 50 мкл экстрагировали, используя 950 мкл ацетонитрила, содержащего EIDD-2216 в качестве внутреннего стандарта. Образцы осветляли центрифугированием при 20000 × g при 4°С в течение 10 минут. Осветленные надосадочные растворы переносили в пробирки для ВЭЖХ анализа. Образцы выдергивали при 4°С в автоматическом пробоотборнике Leap Pal (СТС Analytics AG, Цвинген, Швейцария). ВЭЖХ разделение проводили на системе Agilent 1200 (Agilent Technologies, Санта-Клара, штат Калифорния, США), оснащенной колоночным термостатом, УФ лампой и бинарным насосом. Для разделения использовали колонку Agilent SB-Phenyl (150 × 4,6 мм, 5 мкм) (Agilent technologies, Санта-Клара, штат Калифорния, США). Подвижная фаза А состояла из 100 мМ аммоний-формиатного буфера в воде марки «для ВЭЖХ», а подвижная фаза В состояла из чистого ацетонитрила. В течение первой 1 минуты изократической стадии использовали 5% подвижной фазы В, затем в течение 1,5 минуты - градиент до 100% подвижной фазы В, которую выдерживали в течение 1,5 минуты, затем возвращались к исходным условиям за 1,5 минуты. Масс-спектрометрический анализ проводили на масс-спектрометре QTRAP 5500 (АВ Sciex, Фармингем, штат Массачусетс, США), используя ионизацию электрораспылением (ИЭР) в отрицательном режиме, в режиме мониторинга множественных реакций (MRM). Анализ данных проводили с помощью программного обеспечения Analyst (АВ Sciex, Фармингем, штат Массачусетс, США). ФК параметры рассчитывали с помощью инструмента для некомпартментного анализа Phoenix WinNonLin 6.4 (Build 6.4.0.768) (Certara, Принстон, штат Нью-Джерси, США). Биодоступность рассчитывали посредством сравнения воздействия (AUCinf) после перорального введения дозы с воздействием после интраперитонеального введения дозы. Пример 84. Результаты ФК EIDD-02749 у мышей Диаграммы ФК EIDD-02749 у мышей CD-1 представлены на фиг. 8. Параметры ФК представлены ниже в таблице. Пример 85. Протокол испытания переносимости у мышей Мышей AG129 возрастом от 6 до 10 недель акклиматизировали к условиям их содержания в течение по меньшей мере трех дней до введения дозы. Мышей ежедневно взвешивали, а также ежедневно проверяли заболеваемость и смертность. Для перорального введения доз экспериментальное соединение суспендировали в 10 мМ растворе цитрата тринатрия/0,5% Tween 80 в воде. Мышам, которым вводили РО дозы, вводили дозы в объеме 10 мл/кг. Мышам вводили РО дозы 10, 30 и 100 мг/кг QD в течение 10 дней. Пример 86. Переносимость EIDD-02749 у мышей AG129 Результаты переносимости EIDD-02749 у мышей AG129 представлены на фиг. 9.















, 









.














,
.














, 








































































































































































































































































































































































































































































































































может быть составлен в лекарственную форму и введен в комбинации со вторым противовирусным агентом, выбранным из:

может быть составлен в лекарственную форму и введен в комбинации со вторым противовирусным агентом, выбранным из: 

может быть составлен в лекарственную форму и введен в комбинации со вторым противовирусным агентом, выбранным из WO 2016/106050 или WO 2017/156380.
может быть составлен в лекарственную форму и введен в комбинации со вторым противовирусным агентом, выбранным из WO 2016/106050 или WO 2017/156380.

могут быть объединены с 

,
могут быть объединены с 

,


,


,


,
могут быть объединены с 

,
могут быть объединены с 

,
могут быть объединены с 





или его фармацевтическая или физиологическая соль может присутствовать в комбинации с
или его фармацевтической или физиологической солью в плазме или цельной крови хозяина.
или его фармацевтическая или физиологическая соль может присутствовать в
или его фармацевтической или физиологической солью в плазме или цельной крови хозяина.
или его фармацевтическая или физиологическая соль может присутствовать в
или его фармацевтической или физиологической солью в плазме или цельной крови хозяина.
или его фармацевтическая или физиологическая соль может присутствовать в
или его фармацевтической или физиологической солью в плазме или цельной крови хозяина.
или его фармацевтическая или физиологическая соль может присутствовать в
или его фармацевтической или физиологической солью в плазме или цельной крови хозяина.
или его фармацевтическая или физиологическая соль может присутствовать в комбинации с
или его фармацевтической или физиологической солью в плазме или цельной крови хозяина.
или его фармацевтическая или физиологическая соль может присутствовать в
или его фармацевтической или физиологической солью в плазме или цельной крови хозяина.
или его фармацевтическая или физиологическая соль может присутствовать в
или его фармацевтической или физиологической солью в плазме или цельной крови хозяина.
можно вводить в комбинации с 
можно вводить в комбинации с 




















































































