патент
№ RU 2817536
МПК G06T7/35

УСТРОЙСТВО СРАВНЕНИЯ ЦИФРОВЫХ ГИПЕРСПЕКТРАЛЬНЫХ АСТРОНОМИЧЕСКИХ ИЗОБРАЖЕНИЙ

Авторы:
Белов Павел Юрьевич Окунев Евгений Владимирович Жуков Александр Олегович
Все (7)
Номер заявки
2023128749
Дата подачи заявки
07.11.2023
Опубликовано
16.04.2024
Страна
RU
Как управлять
интеллектуальной собственностью
Чертежи 
1
Реферат

[213]

Использование: изобретение относится к области вычислительной техники и может быть использовано для аппаратного выявления различий в близких по контексту (по содержанию) графических изображениях. Сущность: устройство сравнения цифровых гиперспектральных астрономических изображений содержит блок ввода сигнала, эквивалентного значению глубины цвета - числу бит выделяемых для кодирования одной спектральной составляющей пикселя изображения; блок ввода сигнала, эквивалентного значению количества пикселей по ширине изображения; блок ввода сигнала, эквивалентного значению количества пикселей по высоте изображения; кнопку подачи положительного уровня сигнала (кнопка включения); блок памяти для одной спектральной составляющей первого изображения; блок памяти для одной спектральной составляющей второго изображения; блок ввода удвоенного единичного уровня сигнала; блок умножения - умножителя; два реле с замыкающим контактом; блок питания; триггерный счетчик; два блока вычитания - вычитателей; блок возведения в степень; блок ввода единичного уровня сигнала; блок сравнения - компаратор; блок возведения в квадрат - квадратор; реле с размыкающим контактом; блок сложения - сумматор; два блока деления - делители; блок вычисления квадратного корня; блок десятичного логарифмирования; блок умножения на 20; блок отображения - вывода численной меры схожести изображений и организации связей между ними позволяет вычислить меру пикового отношения уровня яркости пикселя к средневзвешенной попарной разности яркостей всех пикселей сравниваемых изображений. Технический результат: создание устройства вычисления меры пикового отношения уровня яркости пикселя к средневзвешенной попарной разности яркостей всех пикселей сравниваемых изображений, которая позволяет сравнить два гиперспектральных астрономических изображения с использованием количественной меры. Это позволяет получить не субъективную, а объективную оценку схожести. 1 ил., 1 табл.

Формула изобретения

Устройство сравнения цифровых гиперспектральных астрономических изображений, содержащее блок ввода сигнала, эквивалентного значению глубины цвета; блок ввода сигнала, эквивалентного значению количества пикселей по ширине изображения; блок ввода сигнала, эквивалентного значению количества пикселей по высоте изображения; кнопку подачи положительного уровня сигнала; блок памяти для одной спектральной составляющей первого изображения; блок памяти для одной спектральной составляющей второго изображения; блок ввода удвоенного единичного уровня сигнала; блок умножения - умножителя; два реле с замыкающим контактом; блок питания; триггерный счетчик; два блока вычитания; блок возведения в степень; блок ввода единичного уровня сигнала; блок сравнения; блок возведения в квадрат; реле с размыкающим контактом; блок сложения; два блока деления; блок вычисления квадратного корня; блок десятичного логарифмирования; блок умножения на 20; блок отображения - вывода численной меры схожести изображений, причем: выход 1 блока 1 ввода сигнала, эквивалентного значению глубины цвета, соединён с входом 2 триггерного счетчика 11 и входом 2 блока 13 возведения в степень; выход 1 блока 2 ввода сигнала, эквивалентного значению количества пикселей по ширине изображения, соединён с входом 1 блока 8 умножения; выход 1 блока 3 ввода сигнала, эквивалентного значению количества пикселей по высоте изображения, соединён с входом 2 блока 8 умножения; выход 1 кнопки 4 подачи положительного уровня сигнала, соединён с входом 1 реле с замыкающим контактом 9, входом 1 реле с замыкающим контактом 17 и с входом 1 реле с размыкающим контактом 19; выход 1 блока 5 памяти для одной спектральной составляющей первого изображения, соединён с входом 1 блока 12 вычитания; выход 1 блока 6 памяти для одной спектральной составляющей второго изображения, соединён с входом 2 блока 12 вычитания; выход 1 блока 7 ввода удвоенного единичного уровня сигнала, соединён с входом 1 блока 13 возведения в степень; выход 1 блока 8 умножения, соединён с входом 1 блока 16 сравнения и входом 1 блока 21 деления; выход 1 реле с замыкающим контактом 9, соединён с входом 1 триггерного счетчика 11; выход 1 блока 10 питания, соединён с входом 2 реле с замыкающим контактом 9; выход 1 триггерного счетчика 11, соединён с входом 2 блока 16 сравнения и входом 2 реле с замыкающим контактом 17; выход 1 блока 12 вычитания, соединён с входом 1 блока 18 возведения в квадрат; выход 1 блока 13 возведения в степень, соединён с входом 1 блока 14 вычитания; выход 1 блока 14 вычитания соединён с входом 2 блока 23 деления; выход 1 блока 15 ввода единичного уровня сигнала соединён с входом 2 блока 14 вычитания; выход 1 блока 16 сравнения соединён с входом 1 реле с замыкающим контактом 9, входом 1 реле с замыкающим контактом 17 и входом 1 реле с размыкающим контактом 19; выход 1 реле с замыкающим контактом 17 соединён с входом 1 блока 5 памяти для одной спектральной составляющей первого изображения и входом 1 блока 6 памяти для одной спектральной составляющей второго изображения; выход 1 блока 18 возведения в квадрат соединён с входом 1 блока 20 сложения; выход 1 реле с размыкающим контактом 19 соединён с входом 2 блока 21 деления; выход 1 блока 20 сложения соединён с входом 2 реле с размыкающим контактом 19; выход 1 блока 21 деления соединён с входом 1 блока 22 вычисления квадратного корня; выход 1 блока 22 вычисления квадратного корня соединён с входом 1 блока 23 деления; выход 1 блока 23 деления соединён с входом 1 блока 24 десятичного логарифмирования; выход 1 блока 24 десятичного логарифмирования соединён с входом 1 блока 25 умножения на 20; выход 1 блока 25 умножения на 20 соединён с входом 1 блока 26 отображения численной меры схожести изображений.

Описание

[1]

Изобретение относится к области вычислительной техники и может быть использовано для аппаратного выявления различий в близких по контексту (по содержанию) графических изображениях.

[2]

Основная идея изобретения состоит в создании устройства осуществляющего попиксельно сравнение двух изображений с использованием меры пикового отношения сигнала к шуму [1], реализованное на базе программируемой вентильной матрицы Xilinx серий Kintex-7.

[3]

Необходимость создания устройства обусловлена повсеместным использованием в технике сравнения изображений для решения широкого круга задач, например, таких как:

[4]

калибровка оптических измерительных устройств;

[5]

определение координат движущихся объектов с помощью сравнения радиолокационных карт местности;

[6]

обнаружение и сопоставление характерных особенностей на паре изображений, с целью выявления общих частей, фрагментов для дальнейшего построения панорамных изображений или реализации трехмерного стереоскопического технического зрения;

[7]

испытание и оценка работоспособности цифровых гиперспектральных приборов;

[8]

контроль доступа;

[9]

распознавание объектов в различных спектральных диапазонах;

[10]

самонаведение высокоточного оружия и др.

[11]

Из уровня техники известны способы и устройства аналоги [2 - 7], близкие по предназначению предлагаемого устройства.

[12]

В большинстве случаем описаны способы сравнения изображений, а не их конкретная аппаратная реализация, при этом в случае аппаратной реализации [6, 7] используется программное сравнение с использованием вычислительных средств или сравнение аналоговых изображений. Такие подходы плохо применимы в современных космических системах из-за высоких требований по надежности и производительности.

[13]

Известен способ [2] поиска объектов на цифровых изображениях, заключающийся в анализе цифрового представления изображения с целью определения областей расположения объектов. При этом по наличию характерных признаков выявляют области, содержащие объекты, сравнивают с базовым набором типовых изображений объектов и из изображений из базового набора формируют ряд подобия по убыванию степени похожести на предъявленное изображение, который используют в качестве идентификатора для организации процедуры поиска.

[14]

Недостатком известного способа [2] является трудоемкость, сложность и отсутствие аппаратной реализации сравнения изображений.

[15]

Известен способ [3] совмещения изображений, заключающийся в том, что для совмещения графической информации и пространственной синхронизации изображений применяется анализ перепадов яркости, полупрозрачное наложение одного изображения на другое.

[16]

Недостатком данного способа [3] является использование программных алгоритмов.

[17]

Известен способ [4] сравнения цифровых изображений, заключающийся в том, что получают первое дискретизованное и квантованное изображение сцены, затем получают второе дискретизованное и квантованное изображение той же сцены, после чего поэлементно сравнивают оба изображения и по результатам сравнения получают изображение сравнения, причем каждое из полученных дискретизованных и квантованных изображений преобразуют к многослойной структуре в виде набора слоев бинарных изображений соответственно уровням их квантования, при этом полученные бинарные составляющие одного из изображений инвертируют логической операцией НЕ, а затем оба полученных набора слоев бинарных изображений совмещают в общую структуру, после чего сортируют размещение единиц и нулей по уровням квантования, перемещая в полученном суммарном наборе слоев бинарных изображений значения единиц на нижние уровни, а затем формируют амплитуду сигнала изображения сравнения в соответствии с количеством единиц полученным для каждого элемента этого изображения.

[18]

Недостатком данного способа [4] является использование программных алгоритмов и отсутствие численной меры, характеризующей схожесть двух изображений в целом.

[19]

В литературе [5] отмечается, что значительная часть вычислительной мощности процессоров, входящих в системы технического зрения, расходуется на выполнение алгоритмов установления соответствия при обработке последовательностей кадров и стереопар, это делает использование аппаратной реализации процедуры сравнения ещё более востребованной.

[20]

В части аппаратной реализации известны устройства аналоги [6, 7].

[21]

Устройство-аналог [6] формирования эталонной карты местности для навигационных систем, которое содержит память 1, сумматор 2, регистр 3, памяти 4 первой группы, памяти 5 второй группы, блоки 6 сравнения группы, коммутаторы 7 группы, блок 8 элементов ИЛИ, дешифратор 9, элемент 10 задержки, счетчик 11, сумматор 12, элемент И 13, счетчик 14, формирователь 15 оценки коэффициента информативности, блок 16 задержки, память 17, генератор 18 тактовых импульсов, триггер 19, дешифратор 20.

[22]

Сущность устройства-аналога [6] заключается во введении в систему дополнительного блока оценки информативности, первым входом подключенного к выходу первого ЗУ, а выходом - к второму входу регистра, последовательно соединенных первого вентиля, сигнальным входом подключенного к выходу генератора тактовых импульсов, первого счетчика, первого дешифратора, входом подключенного также к адресному входу канала считывания первого ЗУ, первого блока задержки, входом подключенного также к входам синхронизации сумматора-накопителя и блока оценки информативности, второго счетчика, счетным входом подключенного также к установочному входу регистра, второго дешифратора, входом подключенного также к адресному входу канала записи второго ЗУ, RS-триггера, R-входом подключенного также к обнуляющим входам первого и второго счетчиков, S-входом - к шине "Пуск", а R-выходом - к управляющему входу первого вентиля, во введении N параллельных каналов, каждый из которых содержит последовательно соединенные блок сравнения, первым входом подключенный к выходу регистра, и второй вентиль, выходом подключенный к одному из N входов введенного блока ИЛИ, выход которого подключен к первому входу блока сложения, выход которого подключен к информационному входу второго ЗУ, а также второго блока задержки, входом подключенного к выходу регистра, а выходом - к второму входу блока сложения, N первых блоков памяти, выход каждого из которых подключен к второму входу соответствующего блока сравнения, и N вторых блоков памяти, выход каждого из которых подключен к сигнальному входу соответствующего вентиля.

[23]

В результате введения в систему указанных блоков и связей оценивают информативность опорных участков местности, сравнивают яркость каждого элемента эталонного радиолокационного изображения (ЭРЛИ) с набором из N значений яркостей, соответствующих разбиению ЭРЛИ на N однородных зон, и присваивают этому элементу код номера однородной зоны, яркость которой совпадает с яркостью указанного элемента. Окончательное формирование ЭРЛИ производят из кодов, содержащих информацию о яркости, информативности и номере однородной зоны опорных участков местности.

[24]

Устройство-аналог [6] не даёт численного значения меры схожести для всего изображения.

[25]

Наиболее близким по технической сущности и выбранным в качестве прототипа является устройство [7] ввода и сравнения телевизионных изображений.

[26]

Устройство-прототип [7] содержит телевизионный датчик 1, аналого-цифровой преобразователь 3, блок 4 управления начальным адресом памяти, блок 6 памяти, адресный блок 7, цифро-аналоговый преобразователь 9, распределитель 10, видеоконтрольный блок 11 и блок 12 управления режимом записи-считывания.

[27]

Технический результат достигается благодаря введению формирователя 2 видеосигнала, делителя 5 частоты, смесителя 8 и аналогового ключа 13.

[28]

Для решения поставленной задачи в устройство-прототип [7], содержащее телевизионный датчик, информационный выход которого соединен и информационным входом аналого-цифрового преобразователя, выход которого подключен к информационному входу блока памяти, выход которого соединен с информационным входом цифро-аналогового преобразователя, видеоконтрольный блок, блок управления начальным адресом памяти, выход которого подключен к информационному входу адресного блока, выход которого соединен с адресным входом блока памяти, блок управления режимом записи-считывания блока памяти и к информационному входу распределителя, первый и второй выходы которого соединены с первым и вторым установочными входами адресного блока, синхровыход телевизионного датчика соединен с синхровходами аналого-цифрового преобразователя, распределителя, блока управления режимом запись-считывания, видеоконтрольного блока введены аналоговый ключ, делитель частоты, смеситель и формирователь видеосигнала, выход которого подключен к информационному выходу телевизионного датчика, а выход через делитель частоты соединен с информационным входом аналогового ключа, управляющий вход которого подключен к синхровыходу телевизионного датчика, выходы цифро-аналогового преобразователя и аналогового ключа соединены с первым и вторым входами смесителя, выход которого подключен к информационному входу видеоконтрольного блока.

[29]

Недостатками устройства-прототипа [7] являются:

[30]

Использование на входе устройства аналоговых сигналов.

[31]

Отсутствие логарифмической численной меры, позволяющей оценить схожесть изображений в «разах».

[32]

Аналоговый принцип сравнения изображений.

[33]

Устаревшая элементная база.

[34]

В предлагаемом изобретении устраняются отмеченные недостатки.

[35]

Цель (технический результат) изобретения – создание устройства вычисления меры пикового отношения уровня яркости пикселя к средневзвешенной попарной разности яркостей всех пикселей сравниваемых изображений, которая позволяет сравнить два гиперспектральных астрономических изображения с использованием количественной меры. Это позволяет получить не субъективную, а объективную оценку схожести.

[36]

Поставленная цель достигается тем, что данное устройство за счетприменения:

[37]

блока ввода сигнала эквивалентного значению глубины цвета (числу бит выделяемых для кодирования одной спектральной составляющей пикселя изображения);

[38]

блока ввода сигнала эквивалентного значению количества пикселей по ширине изображения;

[39]

блока ввода сигнала эквивалентного значению количества пикселей по высоте изображения;

[40]

кнопки подачи положительного уровня сигнала (кнопка включения);

[41]

блока памяти для одной спектральной составляющей первого изображения;

[42]

блока памяти для одной спектральной составляющей второго изображения;

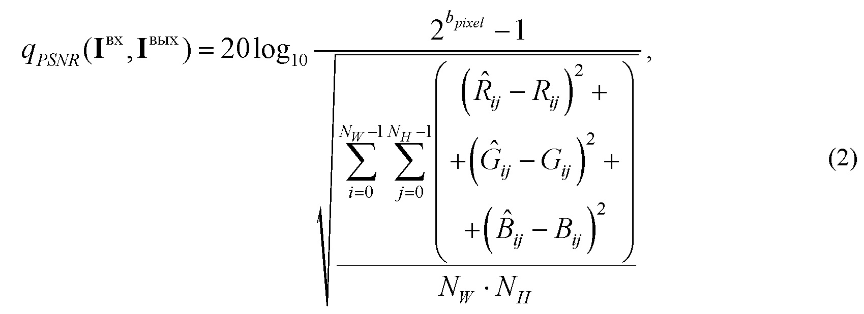
[43]

блока ввода удвоенного единичного уровня сигнала;

[44]

блока умножения (умножителя);

[45]

двух реле с замыкающим контактом;

[46]

блока питания;

[47]

триггерного счетчика;

[48]

двух блоков вычитания (вычитателей);

[49]

блока возведения в степень;

[50]

блока ввода единичного уровня сигнала;

[51]

блока сравнения (компаратора);

[52]

блока возведения в квадрат (квадратора);

[53]

реле с размыкающим контактом;

[54]

блока сложения (сумматора);

[55]

двух блоков деления (делителей);

[56]

блока вычисления квадратного корня;

[57]

блока десятичного логарифмирования;

[58]

блока умножения на 20;

[59]

блока отображения (вывода) численной меры схожести изображений, причем:

[60]

выход 1 блока 1 ввода сигнала эквивалентного значению глубины цвета, соединён с входом 2 триггерного счетчика 11 и входом 2 блока 13 возведения в степень;

[61]

выход 1 блока 2 ввода сигнала эквивалентного значению количества пикселей по ширине изображения, соединён с входом 1 блока 8 умножения;

[62]

выход 1 блока 3 ввода сигнала эквивалентного значению количества пикселей по высоте изображения, соединён с входом 2 блока 8 умножения;

[63]

выход 1 кнопки 4 подачи положительного уровня сигнала, соединён с входом 1 реле с замыкающим контактом 9, входом 1 реле с замыкающим контактом 17 и с входом 1 реле с размыкающим контактом 19;

[64]

выход 1 блока 5 памяти для одной спектральной составляющей первого изображения, соединён с входом 1 блока 12 вычитания;

[65]

выход 1 блока 6 памяти для одной спектральной составляющей второго изображения, соединён с входом 2 блока 12 вычитания;

[66]

выход 1 блока 7 ввода удвоенного единичного уровня сигнала, соединён с входом 1 блока 13 возведения в степень;

[67]

выход 1 блока 8 умножения, соединён с входом 1 блока 16 сравнения и входом 1 блока 21 деления;

[68]

выход 1 реле с замыкающим контактом 9, соединён с входом 1 триггерного счетчика 11;

[69]

выход 1 блока 10 питания, соединён с входом 2 реле с замыкающим контактом 9;

[70]

выход 1 триггерного счетчика 11, соединён с входом 2 блока 16 сравнения и входом 2 реле с замыкающим контактом 17;

[71]

выход 1 блока 12 вычитания, соединён с входом 1 блока 18 возведения в квадрат;

[72]

выход 1 блока 13 возведения в степень, соединён с входом 1 блока 14 вычитания;

[73]

выход 1 блока 14 вычитания, соединён с входом 2 блока 23 деления;

[74]

выход 1 блока 15 ввода единичного уровня сигнала, соединён с входом 2 блока 14 вычитания;

[75]

выход 1 блока 16 сравнения, соединён с входом 1 реле с замыкающим контактом 9, входом 1 реле с замыкающим контактом 17 и входом 1 реле с размыкающим контактом 19;

[76]

выход 1 реле с замыкающим контактом 17, соединён с входом 1 блока 5 памяти для одной спектральной составляющей первого изображения и входом 1 блока 6 памяти для одной спектральной составляющей второго изображения;

[77]

выход 1 блока 18 возведения в квадрат, соединён с входом 1 блока 20 сложения;

[78]

выход 1 реле с размыкающим контактом 19, соединён с входом 2 блока 21 деления;

[79]

выход 1 блока 20 сложения, соединён с входом 2 реле с размыкающим контактом 19;

[80]

выход 1 блока 21 деления, соединён с входом 1 блока 22 вычисления квадратного корня;

[81]

выход 1 блока 22 вычисления квадратного корня, соединён с входом 1 блока 23 деления;

[82]

выход 1 блока 23 деления, соединён с входом 1 блока 24 десятичного логарифмирования;

[83]

выход 1 блока 24 десятичного логарифмирования, соединён с входом 1 блока 25 умножения на 20;

[84]

выход 1 блока 25 умножения на 20, соединён с входом 1 блока 26 отображения численной меры схожести изображений.

[85]

Благодаря новой совокупности признаков за счёт дополнительного введения:

[86]

блока ввода сигнала эквивалентного значению глубины цвета (числу бит выделяемых для кодирования одной спектральной составляющей пикселя изображения);

[87]

блока ввода сигнала эквивалентного значению количества пикселей по ширине изображения;

[88]

блока ввода сигнала эквивалентного значению количества пикселей по высоте изображения;

[89]

блока ввода удвоенного единичного уровня сигнала;

[90]

блока умножения (умножителя);

[91]

реле с замыкающим контактом;

[92]

двух блоков вычитания (вычитателей);

[93]

блока возведения в степень;

[94]

блока ввода единичного уровня сигнала;

[95]

блока сравнения (компаратора);

[96]

блока возведения в квадрат (квадратора);

[97]

реле с размыкающим контактом;

[98]

блока сложения (сумматора);

[99]

блока деления (делителя);

[100]

блока вычисления квадратного корня;

[101]

блока десятичного логарифмирования;

[102]

блока умножения на 20, и организации связей между ними, производят вычисление меры пикового отношения уровня яркости пикселя к средневзвешенной попарной разности яркостей всех пикселей сравниваемых изображений.

[103]

Изобретение может найти широкое применение в системах формирования, приёма, обработки и отображения астрономических изображений, в целях определения согласованности работы стереосистем и выхода из строя одной из соседних спектральных составляющих гиперспектрального изображения.

[104]

Устройство реализует теоретические положения [1], в соответствии с которыми цифровые изображения подвергаются большому количеству разнообразных искажений, которые возникают во время генерации, обработки, сжатия, хранения, передачи и воспроизведения информации. Качество изображения зачастую определяется операторами посредством субъективной оценки. Однако субъективная оценка не может быть использована программно аппаратными комплексами в режиме близком к реальному времени. По этой причине необходимо использовать механизмы объективных качественных оценок, которые могут быть реализованы аппаратно. Объективная качественная оценка изображений выполняет множество функций в обработке изображений: калибровка оптических измерительных устройств; определение координат движущихся объектов с помощью сравнения радиолокационных карт местности; обнаружение и сопоставление характерных особенностей на паре изображений, с целью выявления общих частей, фрагментов для дальнейшего построения панорамных изображений или реализации трехмерного стереоскопического технического зрения; испытание и оценка работоспособности цифровых гиперспектральных приборов; контроль доступа; распознавание объектов в различных спектральных диапазонах; самонаведение высокоточного оружия и др.

[105]

Существующее многообразие мер и методов сравнения изображений, ставит перед выбором наиболее подходящего математического аппарата. Экспериментальная проверка показала, что наиболее часто применимой для данного класса задач, является мера качества изображения, описанная в [1].

[106]

Пиковое отношение сигнала к шуму

[107]

[108]

где – изображение до передачи (без искажений), в виде множества кортежей или первое изображение, которые формируют битовую матрицу, – изображение после передачи (с возможными искажениями) или второе изображение, в виде множества кортежей , которые формируют битовую матрицу), – количество пикселей по ширине изображения, – количество пикселей по высоте изображения, – количество бит для кодирования одного пикселя слоя изображения.

[109]

Для изображений с цветовой моделью RGB, выражение (1) примет вид:

[110]

[111]

где – размер изображения, – значения красной, зеленой и синей составлявших изображения оригинала, – значения красной, зеленой и синей составлявших восстановленного изображения, – количество бит для кодирования одного пикселя слоя изображения. В выражениях (1) и (2) числитель ассоциируется как пиковый сигнал (пиковая яркость), получаемый после передачи изображения, а суммарная разность в знаменателе является шумом или искажением (различием с эталоном).

[112]

Наряду с объективной оценкой качества передачи изображений и видео с использованием меры (1), при обработке изображений операторами может быть применена субъективная оценка с использованием меры , называемой средним оценочным мнением (MOS – Mean Option Scope).

[113]

Так как, субъективная оценка качества всегда опирается на впечатление наблюдателя, является дорогостоящей и очень трудоёмкой, то необходимо применение критериев соответствия субъективной и объективной оценок исходя из таблицы 1.

[114]

Таблица 1

[115]

Критерии соответствия оценок значениям

[116]

, [дБ], %Качество по шкале ITU
5 – прекрасное
4 – хорошее
3 – удовлетворительное
2 – плохое
1 – очень плохое

[117]

Устройство, реализующее указанные теоретические положения, представлено на фиг. 1.

[118]

Устройство сравнения цифровых гиперспектральных астрономических изображений содержит:

[119]

блок 1 ввода сигнала эквивалентного значению глубины цвета;

[120]

блок 2 ввода сигнала эквивалентного значению количества пикселей по ширине изображения;

[121]

блок 3 ввода сигнала эквивалентного значению количества пикселей по высоте изображения;

[122]

кнопку подачи положительного уровня сигнала 4;

[123]

блок 5 памяти для одной спектральной составляющей первого изображения;

[124]

блок 6 памяти для одной спектральной составляющей второго изображения;

[125]

блок 7 ввода удвоенного единичного уровня сигнала;

[126]

блок 8 умножения;

[127]

реле 9, 17с замыкающим контактом;

[128]

блок 10 питания;

[129]

триггерный счетчик 11;

[130]

блоки 12, 14 вычитания;

[131]

блок 13 возведения в степень;

[132]

блок 15 ввода единичного уровня сигнала;

[133]

блок 16 сравнения;

[134]

блок 18 возведения в квадрат;

[135]

реле с размыкающим контактом 19;

[136]

блок 20 сложения;

[137]

блоки 21, 23 деления;

[138]

блок 22 вычисления квадратного корня;

[139]

блок 24 десятичного логарифмирования;

[140]

блок 25 умножения на 20;

[141]

блок 26 отображения численной меры схожести изображений.

[142]

Функционирование устройства осуществляется следующим образом.

[143]

В блок 1 вводят сигнал, эквивалентный значению глубины цвета (числу бит выделяемых для кодирования одной спектральной составляющей пикселя изображения) .

[144]

В блок 2 вводят сигнал, эквивалентный значению количества пикселей по ширине изображения .

[145]

В блок 3 вводят сигнал, эквивалентный значению количества пикселей по высоте изображения .

[146]

На выходе кнопки подачи положительного уровня сигнала 4 при нажатии формируют положительный уровень сигнала.

[147]

В блок 5 вводят битовую матрицу для одного спектра первого изображения .

[148]

В блок 6 вводят битовую матрицу для одного спектра второго изображения .

[149]

В блок 7 вводят сигнал, эквивалентный значению удвоенного единичного уровня сигнала.

[150]

На вход 1 блока 5 памяти для одной спектральной составляющей первого изображения с выхода 1 реле с замыкающим контактом 17 и на вход 1 блока 6 памяти для одной спектральной составляющей второго изображения с выхода 1 реле с замыкающим контактом 17, подают сигнал, эквивалентный и на выходе 1 блока 5 памяти для одной спектральной составляющей первого изображения и выходе 1 блока 6 памяти для одной спектральной составляющей второго изображения, формируются сигналы эквивалентные соответственно и .

[151]

На вход 1 блока 8 умножения с выхода 1 блока 2 ввода сигнала эквивалентного значению количества пикселей по ширине изображения и на вход 2 блока 8 умножения с выхода 1 блока 3 ввода сигнала эквивалентного значению количества пикселей по высоте изображения, подают сигналы эквивалентные и соответственно, и на выходе 1 блока 8 умножения, формируется сигнал, эквивалентный .

[152]

В блоке питания 10 формируют питающее напряжения +5В.

[153]

На вход 1 реле с замыкающим контактом 9 с выхода 1 кнопки подачи положительного уровня сигнала 4 и на вход 2 реле с замыкающим контактом 9 с выхода 1 блока 10 питания, подают сигналы эквивалентные и соответственно, и на выходе 1 реле с замыкающим контактом 9, формируется сигнал, эквивалентный .

[154]

На вход 1 триггерного счетчика 11 с выхода 1 реле с замыкающим контактом 9 и на вход 2 триггерного счетчика 11 с выхода 1 блока 1 ввода сигнала эквивалентного значению глубины цвета, подают сигналы эквивалентные и соответственно, и на выходе 1 триггерного счетчика 11, формируется сигнал, эквивалентный .

[155]

На вход 1 блока 12 вычитания с выхода 1 блока 5 памяти для одной спектральной составляющей первого изображения и на вход 2 блока 12 вычитания с выхода 1 блока 6 памяти для одной спектральной составляющей второго изображения, подают сигналы эквивалентные и соответственно, и на выходе 1 блока 12 вычитания, формируется сигнал, эквивалентный .

[156]

На вход 1 блока 13 возведения в степень с выхода 1 блока 7 ввода удвоенного единичного уровня сигнала и на вход 2 блока 13 возведения в степень с выхода 1 блока 1 ввода сигнала эквивалентного значению глубины цвета, подают сигналы эквивалентные и соответственно, и на выходе 1 блока 13 возведения в степень, формируется сигнал, эквивалентный .

[157]

В блоке 15 формируют сигнал, эквивалентный единичному уровню сигнала.

[158]

На вход 1 блока 14 вычитания с выхода 1 блока 13 возведения в степень и на вход 2 блока 14 вычитания с выхода 1 блока 15 ввода единичного уровня сигнала, подают сигналы эквивалентные и 1 соответственно, и на выходе 1 блока 14 вычитания, формируется сигнал, эквивалентный .

[159]

На вход 1 блока 16 сравнения с выхода 1 блока 8 умножения и на вход 2 блока 16 сравнения с выхода 1 триггерного счетчика 11, подают сигналы эквивалентные и соответственно, и на выходе 1 блока 16 сравнения, формируется сигнал, эквивалентный 1 если и 0 в противном случае.

[160]

На вход 1 реле с замыкающим контактом 17 с выхода 1 блока 16 сравнения и на вход 2 реле с замыкающим контактом 17 с выхода 1 триггерного счетчика 11, подают сигналы эквивалентные (0 ИЛИ 1) и соответственно, и на выходе 1 реле с замыкающим контактом 17, формируется сигнал, эквивалентный (0 ИЛИ ).

[161]

На вход 1 блока 18 возведения в квадрат с выхода 1 блока 12 вычитания, подают сигнал, эквивалентный , и на выходе 1 блока 18 возведения в квадрат, формируется сигнал, эквивалентный .

[162]

На вход 1 блока 20 сложения с выхода 1 блока 18 возведения в квадрат, подают сигнал, эквивалентный , и на выходе 1 блока 20 сложения, формируется сигнал, эквивалентный .

[163]

На вход 1 реле с размыкающим контактом 19 с выхода 1 блока 16 сравнения и на вход 2 реле с размыкающим контактом 19 с выхода 1 блока 20 сложения, подают сигналы эквивалентные 1 если и 0 в противном случае и соответственно, и на выходе 1 реле с размыкающим контактом 19, формируется сигнал, эквивалентный 0, если , или в противном случае.

[164]

На вход 1 блока 21 деления с выхода 1 блока 8 умножения и на вход 2 блока 21 деления с выхода 1 реле с размыкающим контактом 19, подают сигналы эквивалентные и 0 если или в противном случае соответственно, и на выходе 1 блока 21 деления, формируется сигнал, эквивалентный 0 если или в противном.

[165]

На вход 1 блока 22 вычисления квадратного корня с выхода 1 блока 21 деления, подают сигнал, эквивалентный , и на выходе 1 блока 22 вычисления квадратного корня, формируется сигнал, эквивалентный .

[166]

На вход 1 блока 23 деления с выхода 1 блока 22 вычисления квадратного корня и на вход 2 блока 23 деления с выхода 1 блока 14 вычитания, подают сигналы эквивалентные и соответственно, и на выходе 1 блока 23 деления, формируется сигнал, эквивалентный .

[167]

На вход 1 блока 24 десятичного логарифмирования с выхода 1 блока 23 деления, подают сигнал, эквивалентный , и на выходе 1 блока 24 десятичного логарифмирования, формируется сигнал, эквивалентный .

[168]

На вход 1 блока 25 умножения на 20 с выхода 1 блока 24 десятичного логарифмирования, подают сигнал, эквивалентный , и на выходе 1 блока 25 умножения на 20, формируется сигнал, эквивалентный .

[169]

На вход 1 блока 26 отображения (вывода) численной меры схожести изображений с выхода 1 блока 25 умножения, подают сигнал, эквивалентный и производят его отображение на экране оператора.

[170]

Полученный сигнал, эквивалентен мере схожести изображений, определяемой как пиковое отношение максимальной яркости пикселя к средневзвешенной разности уровней яркостей.

[171]

Таким образом, использование предлагаемого устройства позволит определить численную меру схожести цифровых астрономических изображений и использовать её для выявления неисправностей или ошибок функционирования бинокулярных камер и гиперспектральных камер, а также при поиске избыточности в спектральных каналах и решении задач обнаружения.

[172]

При этом устраняются недостатки, присутствующие в прототипе [7], а именно:

[173]

Используют на входе устройства цифровые изображения.

[174]

Применяют логарифмическую численную меру, позволяющую оценить схожесть изображений в «разах».

[175]

Используют цифровой принцип сравнения изображений.

[176]

Используют современную элементную базу.

[177]

В описании изобретения представлена функциональная схема устройства, которое содержит:

[178]

блок ввода сигнала эквивалентного значению глубины цвета (числу бит выделяемых для кодирования одной спектральной составляющей пикселя изображения);

[179]

блок ввода сигнала эквивалентного значению количества пикселей по ширине изображения;

[180]

блок ввода сигнала эквивалентного значению количества пикселей по высоте изображения;

[181]

кнопку подачи положительного уровня сигнала;

[182]

блок памяти для одной спектральной составляющей первого изображения;

[183]

блок памяти для одной спектральной составляющей второго изображения;

[184]

блок ввода удвоенного единичного уровня сигнала;

[185]

блок умножения;

[186]

два реле с замыкающим контактом;

[187]

блок питания;

[188]

триггерный счетчик;

[189]

два блока вычитания;

[190]

блок возведения в степень;

[191]

блок ввода единичного уровня сигнала;

[192]

блок сравнения;

[193]

блок возведения в квадрат;

[194]

реле с размыкающим контактом;

[195]

блок сложения;

[196]

два блока деления;

[197]

блок вычисления квадратного корня;

[198]

блок десятичного логарифмирования;

[199]

блок умножения на 20;

[200]

блок отображения (вывода) численной меры схожести изображений, с организацией связей между ними.

[201]

Каждый из этих блоков, выполнен конструктивно в составе FPGA (Field-Programmable Gate Array, Программируемая Пользователем Вентильная Матрица, ППВМ). Как известно FPGA – это устройство, изначально содержащее в своём составе множество логических или арифметических блоков с возможностью гибкой коммутации, при этом изменение коммутации в соответствии с фиг. 1 приводит к формированию нового устройства, которое используется для достижения технического результата, который состоит в создании устройства вычисления меры пикового отношения уровня яркости пикселя к средневзвешенной попарной разности яркостей всех пикселей сравниваемых изображений, что позволяет сравнить два гиперспектральных астрономических изображения с использованием количественной меры.

[202]

Для конструктивного выполнения Устройства сравнения цифровых гиперспектральных астрономических изображений, используется FPGA Xilinx серий Kintex-7. Формирование заявленного устройства осуществляется с использованием среды проектирования Quartus II, где создаётся графическая схема устройства в полном соответствии с фиг. 1. При этом каждый из используемых в устройстве блоков реализуется соответственно делителем, умножителем, вычитателем, сумматором, компаратором, инвертором, реле, логорифматором и т.д. Все входящие в состав заявленного устройства функциональные блоки имеют реализацию в среде Quartus II, в виде элементарных арифметико-логических устройств или их производных, которые размещаются при проектировании на рабочей форме с организацией связей между ними в соответствии с фиг. 1.

[203]

После прошивки FPGA Kintex-7 получается новое устройство, в котором, каждый из входящих в его состав блоков (фиг. 1) выполнен конструктивно в составе вентильной матрицы.

[204]

Ввод исходных данных осуществляется посредством передачи сигнала, соответствующего десятичному представлению значения входного параметра, а отображение результата работы устройства производится в десятичном формате на TFT дисплее, подключенном к плате Kintex-7.

[205]

ИСТОЧНИКИ ИНФОРМАЦИИ

[206]

Шелухин, О. И. Потоковое видео в системах радиодоступа [Текст] / О. И. Шелухин, А. Н. Руднев ; под ред. профессора О. И. Шелухина. – М.: Горячая линия-Телеком, 2013. – 308 с.

[207]

Заявка на изобретение №2007130631/09, МПК G06K 9/54, опубл. 10.08.2007 г.

[208]

Аксенов, О. Ю.  Совмещение изображений [Текст] / О. Ю. Аксенов // Цифровая обработка сигналов, №3, 2005 г.

[209]

RU 2 673 396 С1, 2018.

[210]

Гришин, В. А. Снижение вычислительных затрат на процесс установления соответствия при обработке последовательностей кадров и стереопар [Текст] / В. А. Гришин // Цифровая обработка сигналов №1, 2010 г.

[211]

RU 2 022 355 С1, 1994.

[212]

RU 2 096 922 С1, 1997.

Как компенсировать расходы
на инновационную разработку
Похожие патенты