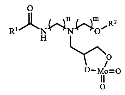
Изобретение относится к молибдатному сложному эфиру, представленному следующей формулой: В указанной формуле: R1 представляет углеводородную цепь, содержащую от 11 до 21 атомов углерода, R2 представляет либо атом водорода, либо углеводородную цепь, содержащую от 1 до 20 атомов углерода, и m и n независимо составляют от 1 до 5. Также предложены соединение, используемое в качестве присадки к смазочному маслу, смазочные композиции и способ получения молибдатного сложного эфира. Предложенное соединение молибдена является эффективным, когда используется в смазочной композиции в количестве, достаточном для создания концентрации около 50-5000 млн-1 молибдена в смазочной композиции, относительно сокращения трения и износа, в то же время обеспечивая улучшенную защиту от коррозии меди и свинца. 5 н. и 4 з.п. ф-лы, 7 табл., 15 пр.
1. Молибдатный сложный эфир, представляемый следующей формулой: где R1 представляет углеводородную цепь, содержащую от 11 до 21 атомов углерода, R2 представляет либо атом водорода, либо углеводородную цепь, содержащую от 1 до 20 атомов углерода, и m и n независимо составляют от 1 до 5. 2. Молибдатный сложный эфир по п. 1, образованный из одного из следующих соединений: N-[2-[(2,3-дигидроксипропил)(2-гидроксиэтил)амино]этил]-алканамида; N-[2-[(2,3-дигидроксипропил)(2-гидроксиэтил)амино]этил]-изостеарамида; N-[2-[(2,3-дигидроксипропил)(2-гидроксиэтил)амино]этил]-кокоамида; N-[2-[(2,3-дигидроксипропил)(2-гидроксиэтил)амино]этил]-олеамида; N-[3-[(2,3-дигидроксипропил)(3-алкилоксипропил)амино]пропил]-алканамида; N-[3-[(2,3-дигидроксипропил)(3-алкилоксипропил)амино]пропил]-изостеарамида; N-[3-[(2,3-дигидроксипропил)(3-алкилоксипропил)амино]пропил]-кокоамида; и N-[3-[(2,3-дигидроксипропил)(3-алкилоксипропил)амино]пропил]-олеамида. 3. Соединение, используемое в качестве присадки к смазочному маслу и полученное реакцией (a) карбоновой кислоты, содержащей от 12 до 22 атомов углерода, или метилового эфира карбоновой кислоты, которая содержит от 12 до 22 атомов углерода, или этилового эфира карбоновой кислоты, которая содержит от 12 до 22 атомов углерода, с (b) одним из (i) 2-аминоэтилэтаноламина, (ii) алкилоксипропил-1,3-диаминопропана, (iii) алкилоксиэтил-1,3-диаминопропана, и (iv) алкилоксипропил-1,2-диаминоэтана; и (c) глицидола; (d) с последующей реакцией с источником молибдена. 4. Смазочная композиция, включающая основное количество смазочной базовой текучей среды и молибдатный сложный эфир, представляемый следующей формулой: где R1 представляет углеводородную цепь, содержащую от 11 до 21 атомов углерода, R2 представляет либо атом водорода, либо углеводородную цепь, содержащую от 1 до 20 атомов углерода, и m и n независимо составляют от 1 до 5, причем молибдатный сложный эфир присутствует в количестве, достаточном для создания концентрации около 50-5000 млн-1 молибдена в смазочной композиции. 5. Смазочная композиция по п. 4, в которой молибдатный сложный эфир присутствует в количестве, достаточном для создания концентрации около 50-1000 млн-1 молибдена. 6. Смазочная композиция, включающая основное количество смазочной базовой текучей среды и соединения, полученного реакцией (a) карбоновой кислоты, содержащей от 12 до 22 атомов углерода, или метилового эфира карбоновой кислоты, которая содержит от 12 до 22 атомов углерода, или этилового эфира карбоновой кислоты, которая содержит от 12 до 22 атомов углерода, с (b) одним из (i) 2-аминоэтилэтаноламина, (ii) алкилоксипропил-1,3-диаминопропана, (iii) алкилоксиэтил-1,3-диаминопропана, и (iv) алкилоксипропил-1,2-диаминоэтана; и (c) глицидола; (d) с последующей реакцией с источником молибдена. 7. Смазочная композиция по п. 4, где молибдатный сложный эфир образован из одного из следующих соединений: N-[2-[(2,3-дигидроксипропил)(2-гидроксиэтил)амино]этил]-алканамида; N-[2-[(2,3-дигидроксипропил)(2-гидроксиэтил)амино]этил]-изостеарамида; N-[2-[(2,3-дигидроксипропил)(2-гидроксиэтил)амино]этил]-кокоамида; N-[2-[(2,3-дигидроксипропил)(2-гидроксиэтил)амино]этил]-олеамида; N-[3-[(2,3-дигидроксипропил)(3-алкилоксипропил)амино]пропил]-алканамида; N-[3-[(2,3-дигидроксипропил)(3-алкилоксипропил)амино]пропил]-изостеарамида; N-[3-[(2,3-дигидроксипропил)(3-алкилоксипропил)амино]пропил]-кокоамида; и N-[3-[(2,3-дигидроксипропил)(3-алкилоксипропил)амино]пропил]-олеамида. 8. Способ получения молибдатного сложного эфира, включающий стадии реакции (a) карбоновой кислоты или сложного эфира, с (b) одним из (i) 2-аминоэтилэтаноламина, (ii) алкилоксипропил-1,3-диаминопропана, (iii) алкилоксиэтил-1,3-диаминопропана, и (iv) алкилоксипропил-1,2-диаминоэтана; и (c) глицидола; (d) с последующей реакцией с источником молибдена, где молибдатный сложный эфир представлен следующей формулой: где R1 представляет углеводородную цепь, содержащую от 11 до 21 атомов углерода, R2 представляет либо атом водорода, либо углеводородную цепь, содержащую от 1 до 20 атомов углерода, и m и n независимо составляют от 1 до 5. 9. Способ по п. 8, в котором молибдатный сложный эфир образован из одного из следующих соединений: N-[2-[(2,3-дигидроксипропил)(2-гидроксиэтил)амино]этил]-алканамида; N-[2-[(2,3-дигидроксипропил)(2-гидроксиэтил)амино]этил]-изостеарамида; N-[2-[(2,3-дигидроксипропил)(2-гидроксиэтил)амино]этил]-кокоамида; N-[2-[(2,3-дигидроксипропил)(2-гидроксиэтил)амино]этил]-олеамида; N-[3-[(2,3-дигидроксипропил)(3-алкилоксипропил)амино]пропил]-алканамида; N-[3-[(2,3-дигидроксипропил)(3-алкилоксипропил)амино]пропил]-изостеарамида; N-[3-[(2,3-дигидроксипропил)(3-алкилоксипропил)амино]пропил]-кокоамида; и N-[3-[(2,3-дигидроксипропил)(3-алкилоксипропил)амино]пропил]-олеамида.


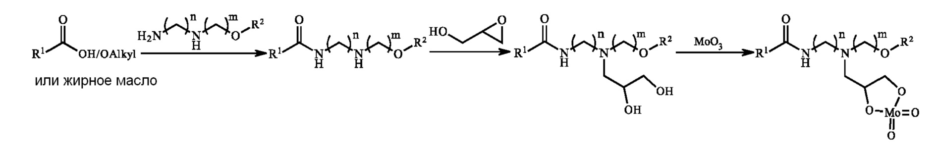
УРОВЕНЬ ТЕХНИКИ Настоящее изобретение относится к разработке менее коррозионно-активных, высокоэффективных молибденорганических соединений с вариантами применения в качестве добавок к смазочным маслам. Смазочные масла, содержащие эти соединения, продемонстрировали улучшенные эксплуатационные характеристики в отношении снижения трения, защиты от износа, и коррозии меди и свинца, в частности, для использования в маслах дизельных двигателей и двигателей легковых автомобилей, где требуются высокоэффективные, более долговечные присадки в плане окислительной и гидролитической стабильности. Класс соединений в настоящем изобретении может быть представлен следующей формулой: где R1 представляет углеводородную цепь, и R2 представляет либо атом водорода, либо углеводородную цепь. Группа R1 составлена ненасыщенной, и/или насыщенной, и/или разветвленной углеводородной цепью, содержащей от 1 до 21 атома углерода. Предпочтительно, чтобы группа R1 была ненасыщенной или разветвленной. Кроме того, предпочтительно, чтобы группа R1 была как насыщенной, так и разветвленной. Также предпочтительно, чтобы R1 была составлена углеводородной цепью, содержащей от 11 до 21 атома углерода. Группа R2 может представлять собой атом водорода или линейную, циклическую или разветвленную углеводородную цепь, содержащую от 1 до 20 атомов углерода. Число метиленовых спейсерных групп (n и m) в каждом случае независимо составляет от 1 до 5. Предпочтительно, чтобы число метиленовых спейсерных групп (n и m) в каждом случае независимо составляло 2 или 3. Предпочтительные молибденорганические соединения получают реакцией либо Патентный документ GB796732 описывает получение молибденорганических соединений в качестве продукта реакции альфа- или бета-алкандиола и источника молибдена, и применение этих соединений в качестве ингибиторов коррозии и антиоксидантов в композициях смазочных масел, главным образом образованных из минеральных масел. Соединения соответствующего изобретению класса химически отличаются и не относятся к классу, описанному в патентном документе GB796732. Кроме того, патентный документ GB796732 не рассматривает описанные примеры в отношении их роли в плане улучшения фрикционных характеристик и/или защиты от износа. Патентный документ US20170044456 описывает смазочную композицию, которая является менее коррозионно-активной в отношении меди и свинца, для применения в композициях масел дизельных двигателей с тяжелым режимом работы, которая позволяет использовать молибденорганическое соединение. Смазочная композиция, обсуждаемая в патентном документе US20170044456, представляет собой состав раствора против коррозии меди и свинца, включающий объединение не содержащего серу молибденорганического соединения, содержащего серу молибденорганического соединения и специального ингибитора коррозии на основе триазола. Представляемое здесь изобретение значительно отличается в том плане, что соответствующие изобретению примеры представляют добавки, которые по своей природе являются менее агрессивными по отношению к меди и свинцу, чем сравнительные органические и/или металлоорганические добавки. Примеры лигандов, используемых для получения соединений этого класса, приведены в патентных документах DE1061966 и JP35012097. Однако ни патентный документ DE1061966, ни патентный документ JP35012097 не описывает любые последующие реакции этих лигандов с любыми металлами, в том числе с молибденом. Кроме того, не обсуждаются ни варианты получения примеров как ненасыщенных, так и разветвленных Патентный документ DE 1061966 описывает получение 2,3-дигидроксисоединений, имеющих отношение к лигандам согласно настоящему изобретению, введением в реакцию промежуточного алкиламида, СУЩНОСТЬ ИЗОБРЕТЕНИЯ Традиционные органические модификаторы трения, такие как моноолеат глицерина, чувствительны как к окислению, так и к гидролизу, когда их используют в качестве добавок в вариантах применения моторных масел. В результате этого такие добавки и продукты их разложения могут приводить к эрозии при работе и/или коррозии (то есть, меди и/или свинца). Раскрытое здесь изобретение соответствует уровню снижения трения традиционными присадками или превосходит его, в то же время обеспечивая значительные улучшения в отношении коррозии меди и свинца, как определено в стандартном методе испытания для оценки коррозионной активности масла дизельных двигателей при 135ºС (Standard Test Method for Evaluation of Corrosiveness of Diesel Engine Oil at 135 °C (HTCBT)) согласно стандарту ASTM D6594. Кроме того, молибденорганические соединения являются многофункциональными присадками к смазочным маслам, обеспечивающими улучшенные характеристики антиоксидантной активности, снижения трения и защиты от износа. На основе результатов испытаний фрикционных характеристик, защиты от износа и коррозии, которые изложены ниже, были продемонстрированы соответствующие изобретению примеры для представления нового класса добавок, способных соответствовать фрикционным характеристикам и износостойкости традиционных добавок или превышать их, в то же время со снижением серьезности наблюдаемой коррозии меди и свинца. Этот соответствующий изобретению класс соединений является особенно применимым как в моторном масле легковых автомобилей, так и при использовании в моторных маслах дизельных двигателей с тяжелым режимом работы, где требуются высокоэффективный, более долговечный модификатор трения и/или противоизносные добавки, в плане окислительной и гидролитической стабильности. Соответствующий изобретению класс соединений может быть получен согласно следующей Общей Реакционной Схеме: В первой стадии содержащее карбонильную группу соединение, такое как карбоновая кислота, сложный эфир карбоновой кислоты, или триглицерид, вводят в реакцию со смешанным первичным/вторичным аминосодержащим соединением с образованием вторичного амида. Во второй стадии вторичный амид как интермедиат вводят в реакцию дополнительно с глицеролом для получения 2,3-дигидроксипропильного аддукта. Вторая стадия может быть проведена в присутствии протонного растворителя, такого как метанол или этанол, для улучшения эффективности реакции. В третьей стадии глицидольный аддукт вводят в реакцию с источником молибдена, таким как триоксид молибдена, в присутствии воды. Реакционная смесь, содержащая молибденовый комплекс, может быть разбавлена технологическим маслом с образованием конечного молибденорганического продукта. Как обрисовано выше, соединения класса согласно настоящему изобретению также могут быть описаны как продукты реакции органического лиганда и источника молибдена, проводимой в присутствии воды. Содержащий молибденорганическое соединение продукт может быть разбавлен технологическим маслом. Относительные соотношения органического лиганда, источника молибдена и технологического масла могут варьировать так, что конечный молибденорганический продукт содержит между 0,5 и 15,0% молибдена по весу. Более предпочтительно, молибденорганический продукт содержит между 2,0 и 10,0% молибдена по весу. Органический лиганд может быть описан как продукты реакций карбоновой кислоты, или сложного эфира, или триглицерида, смешанного первичного/вторичного аминосодержащего соединения и глицидола. Неограничивающие примеры органического лиганда, используемого для получения молибденорганических соединений согласно настоящему изобретению, включают следующие: ПОДРОБНОЕ ОПИСАНИЕ ИЗОБРЕТЕНИЯ Нижеследующая трехстадийная методика представляет собой общий, показательный пример получения класса соединений, описываемых в настоящем изобретении: 664 ммол олеиновой кислоты добавляют в 3-горлую колбу, оснащенную датчиком температуры, механической мешалкой и дистилляционной ловушкой (насадкой Дина-Старка), снабженной обратным холодильником. В колбу добавляют 664 ммол 2-аминоэтилэтаноламина, и проводят реакцию в атмосфере азота. Реакционную смесь нагревают до 150ºС, и образующуюся воду собирают в дистилляционной ловушке. После нагревания в течение приблизительно 6 часов реакционную смесь охлаждают, и полученный амид в качестве продукта используют непосредственно в следующей стадии без очистки. 271 ммол продукта из предыдущей стадии помещают в 3-горлую колбу, оснащенную датчиком температуры и механической мешалкой. В колбу добавляют 275 мл этанола, и присоединяют обратный холодильник. Получают раствор, состоящий из 258 ммол глицидола в 70 мл этанола, и переносят в капельную воронку, с впускным каналом для азота поверх обратного холодильника. Реакцию проводят в атмосфере азота, и реакционную смесь нагревают до кипения с обратным холодильником (приблизительно при 80ºС). Раствор глицидола добавляют в колбу по каплям в течение 30 минут. После завершения добавления реакционную смесь кипятят с обратным холодильником в течение дополнительных 6 часов. Реакционную смесь концентрируют с использованием роторного испарителя, пока весь этанол не будет удален, с образованием 2,3-дигидроксипропильного аддукта. Продукт из предыдущей стадии добавляют в 3-горлую колбу, оснащенную датчиком температуры и механической мешалкой. Добавляют воду, и проводят реакцию в атмосфере азота, и нагревают до 100°С. Добавляют триоксид молибдена, и реакционную смесь нагревают, пока весь молибден не будет поглощен. Добавляют небольшое количество пеногасителя, и реакционную смесь нагревают до 135°С в вакууме для удаления воды. Затем добавляют технологическое масло к реакционной смеси, которую слегка перемешивают перед горячим фильтрованием через слой диатомовой земли, с образованием конечного молибденорганического продукта. При проведении вышеуказанных реакций могут быть использованы самые разнообразные исходные материалы, как изображено в Общей Реакционной Схеме I. В первой стадии используют карбонилсодержащий компонент, такой как карбоновая кислота, сложный эфир карбоновой кислоты, или триглицерид. Для карбоновых кислот группа R1, состоящая из атомов углерода от 1 до 21, может быть линейной, циклической или разветвленной насыщенной углеводородной группой, или ненасыщенной и/или полиненасыщенной углеводородной группой, или представлять собой их смеси. Для сложных эфиров карбоновых кислот группа R1, состоящая из атомов углерода от 1 до 21, может быть линейной, циклической или разветвленной насыщенной углеводородной группой, или ненасыщенной и/или полиненасыщенной углеводородной группой, или их смесей. Для триглицеридов группа R1, состоящая из атомов углерода от 1 до 21, может быть линейной, циклической или разветвленной насыщенной углеводородной группой, или ненасыщенной и/или полиненасыщенной углеводородной группой, или представлять собой их смеси. Для реакции карбоновой кислоты или сложного эфира карбоновой кислоты с первичным аминосодержащим соединением стехиометрическое отношение реакции обычно составляет 1,0 моль карбоновой кислоты или сложного эфира карбоновой кислоты к 1,0 молю первичного аминосодержащего соединения, для получения желательного вторичного амида. Могут быть использованы небольшие избытки карбоновой кислоты или сложного эфира карбоновой кислоты, или первичного аминосодержащего соединения, но, как правило, это не является ни необходимым, ни предпочтительным. Предпочтительные сложные эфиры карбоновых кислот представляют собой метиловые сложные эфиры жирных кислот (FAME) и этиловые сложные эфиры жирных кислот, также называемые биодизелем. Источники биодизеля представляют собой жирные масла, описанные ниже. Для реакции триглицерида с первичным аминосодержащим соединением стехиометрическое отношение реакции может варьировать так, что 1,0 моль триглицерида реагирует с количеством от 1,0 до 3,0 молей первичного аминосодержащего соединения, с образованием желательного вторичного амида и/или смеси желательного вторичного амида с соответствующими моно- и диалкилглицератами. Углеродные цепи в вышеуказанных примерах карбонилсодержащих соединений могут быть образованы из жирных масел, таких как кокосовое масло, гидрированное кокосовое масло, рыбий жир, гидрированный рыбий жир, талловое масло, гидрированное талловое масло, кукурузное масло, рапсовое масло, масло из семян хлопчатника, оливковое масло, пальмовое масло, арахисовое масло, сафлоровое масло, кунжутное масло, подсолнечное масло, масло канолы, или соевое масло. Для смешанного первичного/вторичного аминосодержащего соединения группа R21 может представлять атом водорода или линейную, циклическую или разветвленную углеводородную цепь, содержащую от 1 до 20 атомов углерода, или их смеси, и число метиленовых спейсерных групп (n и m) может варьировать в каждом случае независимо от 1 до 5. В конечной стадии источник молибдена может представлять собой триоксид молибдена, молибденовую кислоту или молибдатную соль (например, молибдат аммония, тетрагидрат гептамолибдата аммония, или молибдат натрия). Предпочтительно, чтобы источником молибдена был триоксид молибдена. Нижеследующие примеры были получены с использованием приведенной выше типичной методики: Пример 1 (Ex. 1) Методика получения органического лиганда, Пример 2 (Ex. 2) Методика получения органического лиганда, Пример 3 (Ex. 3) Методика получения органического лиганда, Пример 4 (Ex. 4) Методика получения органического лиганда, Пример 5 (Ex. 5) Методика получения органического лиганда, Пример 6 (Ex. 6) Методика получения органического лиганда, Пример 7 (Ex. 7) Методика получения органического лиганда, Пример 8 (Ex. 8) Методика получения органического лиганда, Пример 9 (Ex. 9) Методика получения органического лиганда, Нижеследующие соединения включены в раскрытое здесь изобретение в качестве сравнительных примеров: Сравнительный Пример 1 (CEx. 1) Моноолеат глицерина (HiTEC® 7133 от фирмы Afton Chemical) Сравнительный Пример 2 (CEx. 2) Сравнительное молибденорганическое соединение, содержащее 2,3% молибдена, получили, как описано в патентном документе US4889647. Индивидуальные соединения из соответствующего изобретению класса молекул могут быть использованы в качестве присадок к смазочным маслам для снижения трения и/или дополнительной защиты от износа, при дозировке от 0,01 до 5,00 вес.% добавки как части всей смазочнной композиции, предпочтительно около 0,08-3,00%, более предпочтительно около 0,08-2,00%, еще более предпочтительно около 0,10-1,00%; или от около 50 млн-1 до 5000 млн-1, предпочтительно около 50-1000 млн-1, и более предпочтительно около 60-900 млн-1, в расчете на количество молибдена в добавке, вводимой в смазочный материал. Кроме того, эти соединения могут быть использованы в комбинации с другими добавками, такими как диспергаторы, моющие средства, модификаторы вязкости, антиоксиданты, другие модификаторы трения, противоизносные агенты, ингибиторы коррозии, ингибиторы ржавления, соли жирных кислот (мыла), и противозадирные присадки. Диспергаторы, которые могут быть использованы, включают диспергаторы на основе ди-сукцинимида полиизобутилена, диспергаторы на основе моно-сукцинимида полипропилена, диспергаторы на основе ди-сукцинимида полипропилена, диспергаторы на основе моно-сукцинимида этилен/пропиленового сополимера, диспергаторы на основе ди-сукцинимида этилен/пропиленового сополимера, диспергаторы Манниха, сополимеры диспергатора, антиоксиданта и олефина, диспергаторы на основе этилен/пропиленового сукцинимида с низкой молекулярной массой, карбоксильные диспергаторы, аминные диспергаторы, борированные диспергаторы, и содержащие молибден диспергаторы. Моющие средства, которые могут быть использованы, включают нейтральные детергенты на основе сульфоната кальция, нейтральные детергенты на основе сульфоната магния, детергенты на основе высокощелочного сульфоната кальция, детергенты на основе высокощелочного сульфоната магния, нейтральные детергенты на основе фената кальция, нейтральные детергенты на основе фената магния, детергенты на основе высокощелочного фената кальция, детергенты на основе высокощелочного фената магния, нейтральные детергенты на основе салицилата кальция, нейтральные детергенты на основе салицилата магния, детергенты на основе высокощелочного салицилата кальция, детергенты на основе высокощелочного салицилата магния, детергенты на основе сульфоната натрия, и детергенты на основе сульфоната лития. Может быть использован полимерный модификатор индекса вязкости любого типа. Примеры включают полимеры на основе олефиновых сополимеров (OCP), полиалкилметакрилаты (PAMA), полиизобутилены (PIB), блок-сополимеры стирола (такие как сополимеры стирола и изопрена, сополимеры стирола и бутадиена), и сополимеры этилена и альфа-олефина. Могут быть использованы дополнительные модификаторы трения на основе молибдена для дополнения или усиления совокупной эффективности соединений класса согласно настоящему изобретению. Примеры типов альтернативных модификаторов трения, которые могут быть применены, включают моноядерные дитиокарбаматы молибдена, биядерные дитиокарбаматы молибдена, триядерные дитиокарбаматы молибдена, сульфированные оксимолибдендитиокарбаматы, содержащие серу и молибден соединения, фосфородитиоаты молибдена, сульфированные оксимолибдендитиофосфаты, тиомолибдаты тетраалкиламмония, ксантаты молибдена, тиоксантаты молибдена, соли окситиомолибдат-имидазолия, и четвертичные соли окситиомолибдата аммония. Типичные дозировки модификаторов трения на основе молибдена варьируют от 50 млн-1 до 800 млн-1 вводимого молибдена в конечную смазочную композицию. Предпочтительно, чтобы такие добавки, как моноолеат глицерина и органические модификаторы трения, образованные из жирных масел и диэтаноламина, не присутствовали, поскольку, как будет продемонстрировано, органические модификаторы трения этих типов имеют высокую коррозионную активность в отношении меди и свинца, как определено стендовым испытанием высокотемпературной коррозии (HTCBT, стандарт ASTM D6594). Предпочтительные противоизносные добавки, которые могут быть использованы, включают первичный и/или вторичный диалкилдитиофосфат цинка (ZDDP), трифенилфосфоротиоаты, соли диалкилфосфорной кислоты с амином, соли моноалкилфосфорной кислоты с амином, диалкилдитиофосфатсукцинаты, дитиофосфорные сложные эфиры карбоновых кислот, триалкилборатные сложные эфиры, производные боратных сложных эфиров жирных кислот, и метиленбис(дибутилдитиокарбаматы). Предпочтительные антиоксиданты, которые могут быть применены, включают динонилдифениламин, монононилдифениламин, диоктилдифениламин, монооктилдифениламин, бутилоктилдифениламин, монобутилдифениламин, дибутилдифениламин, нонилированный фенил-альфа-нафтиламин, октилированный фенил-альфа-нафтиламин, додецилированный фенил-альфа-нафтиламин, 2,6-ди-трет-бутилфенол, бутилированный гидрокситолуол, 4,4-метиленбис(2,6-ди-трет-бутилфенол), октадецил-3-[3,5-ди-трет-бутил-4-гидроксифенил]пропионат, изотридецил-3-[3,5-ди-трет-бутил-4-гидроксифенил]пропионат, 2-этилгексил-3-[3,5-ди-трет-бутил-4-гидроксифенил]пропионат, изооктил-3-[3,5-ди-трет-бутил-4-гидроксифенил]пропионат, и тиодиэтилен-бис-[3-(3,5-ди-трет-бутил-4-гидроксифенил]пропионат]. Предпочтительные ингибиторы коррозии и ржавления, которые могут быть применены, включают этоксилированные фенолы, алкенилянтарные кислоты, полиалкиленгликоли, производные бензотриазола, производные толутриазола, производные триазола, производные димеркаптотиадиазола, производные жирных кислот и 4,5-дигидро-1Н-имидазола, нейтральные динонилнафталинсульфонаты кальция, нейтральные динонилнафталинсульфонаты цинка, и нейтральные сульфонаты щелочноземельных металлов. Предпочтительные противозадирные присадки, которые могут быть использованы, включают сульфированный изобутилен, сульфированные альфа-олефины, фосфаты алифатических аминов, фосфаты ароматических аминов, производные димеркаптотиадиазола, диалкилдитиокарбаматы цинка, диалкилдитиокарбаматы диалкиламмония, и диалкилдитиокарбаматы сурьмы. Уровни дозировки для всех вышеупомянутых добавок могут значительно варьировать в зависимости от варианта применения, растворимости добавки, типа базовой текучей среды, и конечных требований в отношении технических характеристик текучей среды. Типичные уровни дозирования обычно варьируют от 0,05 вес.% до 10,00 вес.%, в расчете на тип конечного обработанного смазочного материала. Базовые текучие среды могут включать основанные на нефти или синтетические обрабатываемые материалы, которые входят в классификацию базовых сырьевых материалов Американского нефтяного института (API) как Группа I, Группа II, Группа III, Группа IV, и Группа V. Синтетические текучие среды включают поли-альфа-олефины, полиолы, сложные эфиры, смазочные материалы на биологической основе, и любые их комбинации. Смазочное базовое масло или текучая среда присутствует в количестве по меньшей мере 80% всей смазочной композиции. Примеры типов конечных смазочнных материалов, которые могут быть получены с использованием добавок согласно настоящему изобретению, включают моторные масла бензиновых двигателей, моторные масла дизельных двигателей с тяжелым режимом работы, моторные масла работающих на природном газе двигателей, моторные масла среднескоростных дизелей (магистральных или морских), моторные масла внедорожников, моторные масла двухтактных и четырехтактных двигателей мотоциклов, моторные масла гибридных транспортных средств, тракторные масла, масла гоночных автомобилей, гидравлические текучие среды, текучие среды для автоматических и механических коробок передач, масла для промышленных и распределительных шестерен, и консистентные смазки. Результаты оценок работоспособности в соответствующих изобретению примерах и сравнительнвх примерах описаны в Примерах 10-13. В Примерах 10-12 соответствующие изобретению и сравнительные материалы были примешаны в моторное масло для легкового автомобиля SAE 0W-20 (0W-20 PCMO), при дозировках, указанных в Таблицах 1-6. Это масло было полностью сформировано, за исключением того, что оно не содержало органический или металлоорганический модификатор трения (FM). В Примере 13 продукты соответствующих изобретению и сравнительных примеров были примешаны в промышленное CK-4, эквивалентное SAE 15W-40 моторное масло для дизельных двигателей с тяжелым режимом работы (15W-40 HDDEO) при дозировках, указанных в Таблице 7. Пример 10 Испытание трибологических характеристик с SRV Для сбора данных характеристик, приведенных в Таблице 1, следовали методу испытания, описанному в стандарте ASTM D5707 (Standard Test Method for Measuring Friction and Wear Properties of Lubricating Grease Using a High-Frequency, Linear-Oscillation (SRV) Test Machine («Стандартный метод тестирования с использованием высокочастотной, с линейным колебанием (SRV) испытательной машины»)). Результаты четко показывают, что все соответствующие изобретению примеры обеспечивают улучшенные защиту от износа и фрикционные характеристики, сравнительно с эталонным маслом 0W-20 PCMO, которое не содержит органический или металлоорганический модификатор трения. Кроме того, все четыре примера согласно изобретению соответствуют фрикционным характеристикам или превосходят их для примера CEx. 1, традиционного органического модификатора трения, в то же время обеспечивая лучшую защиту от износа, что подтверждается степенями износа, составляющими на величину между 9-27% ниже для соответствующих изобретению примеров сравнительно с CEx. 1. Кроме того, оба соответствующих изобретению примера Ex. 1 и Ex. 7 обеспечивают более низкое трение, чем в среднем CEx. 2, при дозировках, которые вводят такое же количество молибдена. Таблица 1: испытание трибологических характеристик с SRV (стандарт ASTM D5707) Пример 11 Испытание трибологических характеристик на четырехшариковой машине трения Для сбора данных характеристик, приведенных в Таблице 2, следовали методу испытания, описанному в стандарте ASTM D4172 B (Standard Test Method for Wear Preventive Characteristics of Lubricating Fluid (Four-Ball Method)) («Стандартный метод тестирования характеристик предотвращения износа смазочной текучей среды (четырехшариковый метод)»)). По результатам испытания четырехшариковым методом четыре соответствующих изобретению примера показывают благоприятное снижение среднего коэффициента трения, сравнительно с эталонным маслом 0W-20 PCMO, не содержащим модификатор трения. В дополнение, все примеры согласно изобретению соответствуют или значительно улучшают защиту от износа сравнительно с эталонным маслом 0W-20 PCMO, как показано диаметрами пятен износа. Согласно этому методу испытания, соответствующий изобретению Ex. 8 обеспечивает трение и характеристики износа, эквивалентные обоим сравнительным примерам. Таблица 2:испытание трибологических характеристик на 4-шариковой машине трения (стандарт ASTM D4172 B) Пример 12 Испытание трибологических характеристик на минитяговой машине Минитяговую машину (MTM) использовали для оценки фрикционных характеристик смазочных материалов в граничном и в смешанном режиме смазки (кривая Штрибека) с использованием конфигурации «шарик на диске». MTM состоит из вращающегося шарика из стали марки 52100, прижатого к независимо вращающемуся диску из стали марки 52100, погруженным в смазочнный материал. Эксплуатационные условия настраивают независимым регулированием скоростей вращения валов, которые приводят в действие шарик и диск, чтобы получить конкретную комбинацию скорости качения и скольжения для соотношения «качение-скольжение», а также регулированием контактного усилия и температуры масляной ванны. Параметры метода испытания, использованные для сбора данных фрикционных характеристик, приведенных в Таблицах 3-6, из минитяговой машины (MTM), являются следующими: нагрузка 35 Н (~1 ГПа), 50%-ное отношение «скольжение:качение», скорость пробега от 3000 мм/сек до 10 мм/сек, сталь марки 52100. Для каждой композиции построили три кривых Штрибека при 40°C, 60°C, 80°C, 100°C, 120°C, и 140°C. Для каждой температуры регистрировали среднее значение из трех пробегов. Данные в Таблице 3 относятся к коэффициентам трения для каждого масла в режиме граничной смазки. Согласно данным, все четыре примера согласно изобретению обеспечивают улучшенную граничную смазку при температурах 100°С или около таких, сравнительно с эталонным маслом 0W-20 PCMO, не содержащим органические или металлоорганические модификаторы трения. В частности, пример Ex. 1 согласно изобретению обеспечивает улучшение режима граничной смазки при температурах ниже 80ºС. В дополнение, как соответствует, так и слегка улучшает фрикционную характеристику сравнительных примеров при температурах 100ºС или выше. Таблица 4 содержит результаты для коэффициентов Штрибека, полученных для масел при каждой температуре. При температурах 100°С или выше все примеры согласно изобретению значительно улучшали фрикционные характеристики масла, сравнительно с эталонным маслом 0W-20 PCMO. Подобно данным фрикционных характеристик в режиме граничной смазки, масло, содержащее соответствующий изобретению пример Ex. 1, проявляет значительно более низкие коэффициенты Штрибека, чем каждая другая добавка модификатора трения, по оценке при температурах от 100-140°С, и его техническая характеристика является второй только относительно примера CEx. 2 при 80°C. Эти результаты показывают, что пример Ex. 1 согласно изобретению улучшает фрикционные характеристики не только в режиме граничной смазки, но также в смешанных или упругогидродинамических режимах. Таблица 3: испытание трибологических характеристик на MTM * Зарегистрированные коэффициенты представляют средние значения из трех опытов. Граничный коэффициент представляет собой коэффициент трения при скорости 10 мм/сек. Таблица 4: испытание трибологических характеристик на MTM *Коэффициенты Штрибека рассчитывают с использованием интегрирования кривой Штрибека при каждой индивидуальной температуре. Данные в Таблице 5 относятся к коэффициентам трения в режиме граничной смазки для масел, содержащих как пример Ex. 3, так и пример Ex. 9 согласно изобретению. Для этого исследования дозировки добавок варьировали для введения между 60 и 900 млн-1 молибдена к конечную текучую среду. Согласно данным, оба соответствующих изобретению примера обеспечивают улучшенную граничную смазку при температурах 80°С или выше, сравнительно с эталонным маслом 0W-20 PCMO, не содержащим органические или металлоорганические модификаторы трения. Небольшие улучшения коэффициента граничного трения наблюдались для обоих примеров согласно изобретению даже при самой низкой дозировке (60 млн-1 Mo). Значительные снижения граничного трения были получены, когда дозировка молибдена составляла между 200-600 млн-1. Композиции, содержащие соответствующий изобретению Ex. 3, продемонстрировали исключительные улучшения действия в особенности при самых высоких температурах и дозировках. Например, композиции, содержащие 750-900 млн-1 молибдена, имели коэффициенты граничного трения, на 50% более низкие, чем у эталонного масла без любого модификатора трения, при рабочей температуре 140°С. Таблица 6 приводит результаты коэффициентов Штрибека, полученных для масел при каждой температуре и дозировке. Опять же, данные показывают, что композиции, содержащие любой из соответствующих изобретению примеров, при всех дозировках обеспечивает более низкое трение при температурах 80°С или выше, сравнительно с эталонным маслом 0W-20 PCMO, не содержащим модификатор трения. В частности, соответствующий изобретению пример Ex. 3 последовательно показывал более низкие коэффициенты Штрибека при всех дозировках, когда температура составляла 60°С или выше. В отношении коэффициентов граничного трения, значительные улучшения в плане трения, как подтверждается более низкими коэффициентами Штрибека, были показаны для композиций, содержащих по меньшей мере 450 млн-1 молибдена (общая дозировка 0,74 вес.%). В дополнение, эта совокупная дозировка приблизительно эквивалентна той, какую используют для сравнительного органического модификатора трения, примера CEx. 1 (смотри результаты для CEx. 1 при 0,80 вес.% в Таблице 4). Обе композиции, содержащие 450 млн-1 Mo из любого из Ex. 3 или Ex. 9, постоянно превосходят пример CEx. 1 при любой оцениваемой рабочей температуре. Кроме того, дополнительные улучшения наблюдались, когда дозировка молибдена была повышенной. В частности, при 120-140°С коэффициент Штрибека для композиции, содержащей 750 млн-1 Mo из примера Ex. 3 согласно изобретению, был приблизительно на 55% ниже, чем у эталонного масла, не содержащего ни органический, ни металлоорганический модификатор трения. Данные в Таблицах 5 и 6 опять же показывают, что примеры согласно изобретению представляют собой эффективные модификаторы трения на протяжении широкого диапазона дозировок и температур, и в режимах как граничной, так и смешанной смазки. Таблица 5: испытание трибологических характеристик на MTM при различных дозировках *Зарегистрированные коэффициенты Штрибека представляют средние значения из трех опытов. Граничный коэффициент представляет собой коэффициент трения при скорости 10 мм/сек. Таблица 6:испытание трибологических характеристик на MTM при различных дозировках *Коэффициенты Штрибека рассчитывают с использованием интегрирования кривой Штрибека при каждой индивидуальной температуре. Пример 13 Испытание коррозии меди и свинца стендовым испытанием высокотемпературной коррозии (HTCBT). Для сбора данных о коррозии меди и свинца, приведенных в Таблице 7, следовали методу испытания, описанному для стандарта ASTM D6594 (Standard Test Method for Evaluation of Corrosiveness of Diesel Engine Oil at 135 °C («Стандартный метод испытания для оценки коррозионной активности масла дизельного двигателя при 135ºС»)). Для масел категории API CK-4 и эквивалентных масел, предельные значения для прохождения теста HTCBT составляют максимально 20 млн-1 для меди, максимально 120 млн-1 для свинца, и максимум 3 оценки меди. Согласно приведенным в Таблице 7 данным ясно, что введение добавки CEx. 1 в качестве органического модификатора трения в 15W-40 имело результатом теста HDDEO значительную степень коррозии как меди, так и свинца. Композиция, содержащая CEx. 1, который представляет собой добавку только на сложноэфирной основе, не действует в отношении коррозии меди, и вообще не действует в отношении коррозии свинца. Альтернативно, CEx. 2 представляет собой молибденорганическую добавку с органическим компонентом, включающим смесь соединений как на амидной основе, так и на сложноэфирной основе. Для For CEx. 2 теперь масло проходит тест на коррозию меди при низкой дозировке молибдена. При более высокой дозировке CEx.2 обеспечивает общую степень действия добавки, эквивалентную примеру CEx. 1. В то время как CEx. 2 все еще вообще не действует в отношении коррозии как меди, так и свинца, наблюдаемые значения для свинца были снижены более чем на 60%. Примеры согласно изобретению представляют собой молибденорганические добавки с органическим компонентом, включающим лиганды только на амидной основе. Когда соответствующий изобретению пример Ex. 1 сравнивают с CEx. 2, Ex. 1 проявляет значительные снижения коррозии как меди, так и свинца. Пример Ex. 1 проходит тест HTCBT для меди как при низких, так и при высоких дозировках, и проходит тест для свинца при более низкой дозировке. Для обеих дозировок соответствующий изобретению пример Ex. 1 представляет приблизительно 67%-ное сокращение коррозии свинца, сравнительно с примером CEx. 2. Соответствующий изобретению Ex. 2 представляет двухкратное повышение содержания молибдена в добавке, по сравнению с Ex. 1. Результаты теста HTCBT для Ex. 2 показывают значения уверенного прохождения испытания для меди и свинца при обеих дозировках. Эти улучшения еще больше проявлялись для примера Ex. 3 согласно изобретению, который представляет трехкратное увеличение содержания молибдена по сравнению с примером Ex. 1. Опять же, результаты теста HTCBT показывают значительное снижение значений коррозии как меди, так и свинца. При более высокой дозировке молибдена результаты для свинца из примера Ex. 3 составляют величину более, чем на 90% ниже, чем для CEx. 2, и более, чем на 96% ниже, чем для CEx. 1. Наконец, соответствующий изобретению пример Ex. 9 представляет молибденорганическое соединение, содержащее полностью насыщенный органический лиганд на амидной основе. Результаты теста HTCBT для Ex. 9 показывают, что эта добавка не вносит вклад во всю коррозию меди, как подтверждено эквивалентными значениями для меди и оценкой сравнительно с эталонным маслом. В дополнение, композиции, содержащие Ex. 9, проявляют только очень умеренные повышения значений для свинца при обеих дозировках. Результаты показывают, что Ex. 9, и до меньшей степени Ex. 2 и 3, могут быть использованы при более высоких дозировках для введения большего количества молибдена, если желательно в отношении характеристик трения или износа. Таблица 7: испытание коррозии меди и свинца в тесте HTCBT (стандарт ASTM D6594) *Значения для меди и свинца представляют собой среднюю величину из по меньшей мере двух опытов. Если проведенные дважды опыты дают различные оценки для меди, приведены обе оценки. Результаты тестирования фрикционных характеристик, защиты от износа и коррозии демонстрируют, что соответствующие изобретению примеры представляют новый класс добавок, способных соответствовать или превышать характеристики трения и износа традиционных добавок, в то же время значительно сокращая серьезность наблюдаемой коррозии меди и свинца.

Добавка Дозировка (вес.%) Mo в масле (млн-1) Объем износа (мкм3) Средний коэффициент трения 0W-20 PCMO 0 0 54055 0,144 +CEx. 1 0,80 0 41699 0,132 +CEx. 2 0,78 180 28845 0,127 +Ex. 1 0,82 180 38141 0,122 +Ex. 6 0,90 180 3147 0,133 +Ex. 7 0,82 180 30163 0,116 +Ex. 8 0,82 180 31351 0,131 Добавка Дозировка (вес.%) Mo в масле (млн-1) Диаметр пятна износа (мм) Средний коэффициент трения 0W-20 PCMO 0 0 0,45 0,099 +CEx. 1 0,80 0 0,34 0,062 +CEx. 2 0,78 180 0,35 0,066 +Ex. 1 0,82 180 0,43 0,075 +Ex. 6 0,90 180 0,34 0,075 +Ex. 7 0,82 180 0,45 0,083 +Ex. 8 0,82 180 0,35 0,063 Граничный коэффициент трения* при заданной температуре Добавка Дозировка (вес.%) Mo в масле (млн-1) 40°C 60°C 80°C 100°C 120°C 140°C 0W-20 PCMO 0 0 0,076 0,094 0,113 0,128 0,127 0,128 +CEx. 1 0,80 0 0,091 0,095 0,090 0,090 0,088 0,077 +CEx. 2 0,78 180 0,084 0,098 0,097 0,092 0,086 0,086 +Ex. 1 0,82 180 0,093 0,102 0,100 0,091 0,085 0,082 +Ex. 6 0,90 180 0,101 0,108 0,105 0,100 0,096 0,089 +Ex. 7 0,82 180 0,083 0,114 0,114 0,106 0,098 0,088 +Ex. 8 0,82 180 0,108 0,119 0,114 0,105 0,098 0,091 Коэффициент Штрибека* при заданной температуре Добавка Дозировка (вес.%) Mo в масле (млн-1) 40°C 60°C 80°C 100°C 120°C 140°C 0W-20 PCMO 0 0 0,135 0,141 0,167 0,219 0,268 0,278 +CEx. 1 0,80 0 0,142 0,156 0,168 0,180 0,191 0,181 +CEx. 2 0,78 180 0,135 0,142 0,157 0,172 0,183 0,190 +Ex. 1 0,82 180 0,150 0,152 0,161 0,160 0,167 0,174 +Ex. 6 0,90 180 0,155 0,162 0,174 0,186 0,200 0,208 +Ex. 7 0,82 180 0,134 0,158 0,173 0,183 0,186 0,184 +Ex. 8 0,82 180 0,163 0,173 0,188 0,198 0,206 0,208 Коэффициент граничного трения* при заданной температуре Добавка Дозировка (вес.%) Mo в масле (млн-1) 40°C 60°C 80°C 100°C 120°C 140°C 0W-20 PCMO 0 0 0,076 0,094 0,113 0,128 0,127 0,128 +Ex. 3 0,10 60 0,072 0,090 0,103 0,107 0,108 0,112 +Ex. 3 0,33 200 0,072 0,089 0,097 0,100 0,093 0,094 +Ex. 3 0,74 450 0,088 0,096 0,097 0,096 0,089 0,085 +Ex. 3 0,98 600 0,098 0,100 0,098 0,091 0,077 0,072 +Ex. 3 1,23 750 0,087 0,096 0,098 0,090 0,078 0,069 +Ex. 3 1,48 900 0,092 0,105 0,098 0,088 0,075 0,063 +Ex. 9 0,10 60 0,086 0,106 0,111 0,111 0,112 0,114 +Ex. 9 0,32 200 0,086 0,100 0,103 0,100 0,096 0,104 +Ex. 9 0,71 450 0,079 0,087 0,093 0,092 0,088 0,081 +Ex. 9 0,95 600 0,090 0,105 0,106 0,099 0,092 0,085 +Ex. 9 1,19 750 0,098 0,106 0,105 0,099 0,092 0,084 +Ex. 9 1,43 900 0,084 0,094 0,100 0,096 0,090 0,083 Коэффициент Штрибека* при заданной температуре Добавка Дозировка (вес.%) Mo в масле (млн-1) 40°C 60°C 80°C 100°C 120°C 140°C 0W-20 PCMO 0 0 0,135 0,141 0,167 0,219 0,268 0,278 +Ex. 3 0,10 60 0,127 0,134 0,153 0,176 0,218 0,257 +Ex. 3 0,33 200 0,129 0,135 0,150 0,170 0,187 0,216 +Ex. 3 0,74 450 0,135 0,136 0,137 0,143 0,148 0,154 +Ex. 3 0,98 600 0,142 0,141 0,140 0,136 0,129 0,126 +Ex. 3 1,23 750 0,134 0,132 0,132 0,127 0,121 0,119 +Ex. 3 1,48 900 0,140 0,147 0,147 0,142 0,136 0,127 +Ex. 9 0,10 60 0,137 0,150 0,170 0,200 0,239 0,260 +Ex. 9 0,32 200 0,139 0,144 0,155 0,169 0,191 0,232 +Ex. 9 0,71 450 0,131 0,128 0,132 0,137 0,146 0,152 +Ex. 9 0,95 600 0,140 0,142 0,146 0,148 0,149 0,158 +Ex. 9 1,19 750 0,149 0,152 0,156 0,168 0,176 0,175 +Ex. 9 1,43 900 0,134 0,133 0,138 0,142 0,144 0,144 Добавка Дозировка (вес.%) Mo в масле (млн-1) Cu
(млн-1)*Оценка
Cu*Pb
(млн-1)*15W-40 HDDEO 0 0 6,0 1b 7,5 +CEx. 1 0,75 0 40,0 2e 925,0 +CEx. 2 0,43 100 15,5 1b/2c 196,0 0,87 200 104,0 2c 365,5 +Ex. 1 0,45 100 8,0 1b 63,0 0,91 200 12,0 1b 125,5 +Ex. 2 0,24 100 7,5 1b 42,0 0,49 200 10,5 1b 85,0 +Ex. 3 0,16 100 13,5 2e 23,5 0,33 200 6,0 1b 33,5 +Ex. 9 0,16 100 5,5 1b 18,0 0,32 200 6,5 1b 33,0