Изобретение относится к области оценки качества лубоволокнистых материалов и может быть использовано при расчете изгибной жесткости лубяных волокон при их квалиметрии и стандартизации. Прядь располагают на опорах круглого сечения диаметра 2R при межцентровом расстоянии 2L с последующим прогибом на постоянную величину Δ. Изгибную жесткость EJ, в зависимости от возникающего усилия F, рассчитывают численным методом, используя форму изогнутой оси пряди в виде зависимости: f - коэффициент трения пряди о поверхность опор; ϕ - угол между вертикалью и радиусом опоры, проведенным из центра ее сечения к точке касания пряди с поверхностью опоры; R - радиус закругления опоры. При условиях касания оси пряди к поверхности опор в точках, имеющих координаты yB=Δ-R(1-cosϕ) и xB=L-Rsinϕ и чтобы касательные к оси пряди и к точке контакта на поверхности опор совпадали и располагались под углом ϕ к координатной оси X. Обеспечивается упрощение анализа и повышение точности при определении изгибной жесткости волокна. 2 ил.
Способ определения изгибной жесткости лубяного волокна, включающий подготовку пробы, ее расположение на двух опорах, прогиб посредством приложения усилия и определение изгибной жесткости с использованием математической зависимости, вытекающей из нелинейной теории изгиба, отличающийся тем, что пробу в виде пряди определенной длины и массы перед испытанием располагают на опорах круглого сечения известного диаметра 2R при межцентровом расстоянии 2L с последующим прогибом на постоянную величину Δ, путем приложения усилия в точке А по середине пробы в зоне между опорами, а изгибную жесткость EJ, в зависимости от возникающего усилия F, рассчитывают численным методом, используя форму изогнутой оси пряди в виде зависимости: f - коэффициент трения пряди о поверхность опор; ϕ - угол между вертикалью и радиусом опоры, проведенным из центра ее сечения к точке касания пряди с поверхностью опоры; R - радиус закругления опоры, причем определение изгибной жесткости EJ при расчетах численным методом осуществляют на основе поиска одновременного выполнения двух условий, одно из которых требует касания оси пряди к поверхности опор в точках контакта, имеющих линейные координаты yB=Δ-R(1-cosϕ) и xB=L-Rsinϕ в осях координат, исходящих из точки А, а другое условие требует чтобы касательные к оси пряди и к точке контакта на поверхности опор совпадали и располагались под углом ϕ к координатной оси X, расположенной параллельно линии, соединяющей центры опор.
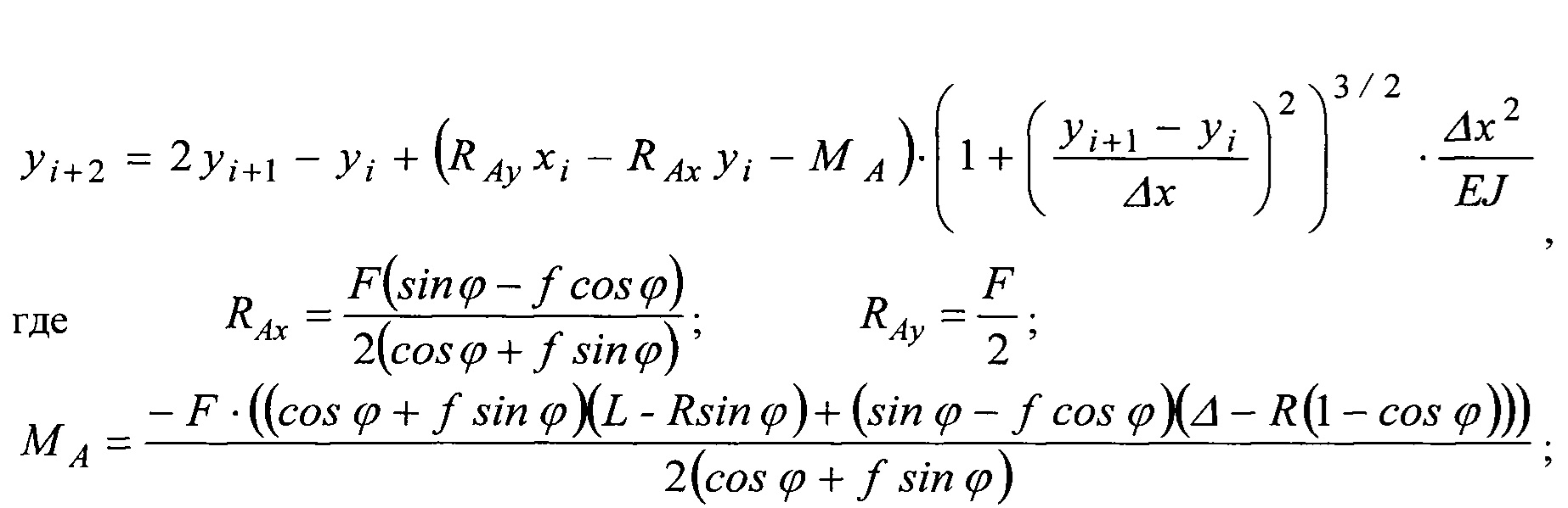
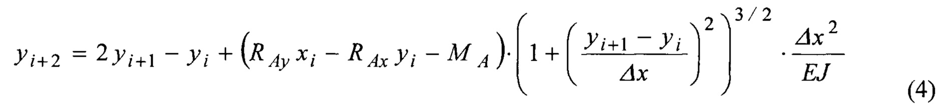
Изобретение относится к области оценки качества лубоволокнистых материалов и может быть использовано при расчете изгибной жесткости лубяных волокон при их квалиметрии и стандартизации. Известен метод определения гибкости волокна или луба лубяных культур путем определения стрелы прогиба консольных концов волокнистой пробы, закрепленной в зажиме по ее середине [1]. Однако этот метод требует значительных затрат по времени и не обеспечивает необходимую точность анализа, так как фиксация показаний по совокупности концов волокон является весьма затруднительной и зависимой от субъективных факторов. Известен способ оценки гибкости волокна или луба лубяных культур с использованием устройства [2], включающий подготовку пробы и ее испытание на основе прогиба относительно ряда опор. Недостатком этого способа является неэффективное определение изгибной жесткости волокна, так как не учитывается фактический угол обхвата каждой из используемых для прогиба волокна опор. Это обстоятельство снижает точность получаемых результатов изгибной жесткости. Известен способ определения изгибной жесткости волокна, включающий подготовку пробы, ее расположение на двух опорах, прогиб посредством приложения усилия и определение изгибной жесткости с использованием математической зависимости [3], которая вытекает из нелинейной теории изгиба [4]. Основным недостатком известного способа [3] является неопределенность при вычислении угла наклона а составляющей силы реакции на прядь со стороны опор к вертикали. Этот угол связан с углом δ0, который определяет направление оси абсцисс по отношению к направлению силы Р в начальной точке. Из-за этой неопределенности расчет изгибной жесткости становится неэффективным. Не правильное определение угла а будет приводить к ошибкам при определении силы реакции с учетом усилия, которое обеспечивает прогиб пряди. Из-за этого формируется ошибка, которая будет влиять на величину изгибной жесткости. Кроме этого, известный способ [3] является трудоемким, требующим определения ряда параметров: высоту изгиба нити, реакцию опоры Rx, угол наклона силы N1 к вертикали. Однако способ [3] по своей технической сущности и достигаемому эффекту наиболее близок к заявляемому и поэтому предлагается в качестве прототипа. Задачей изобретения является упрощение анализа и повышение точности при определении изгибной жесткости волокна. Поставленная задача достигается тем, что в указанном способе определения изгибной жесткости волокна, включающем подготовку пробы ее расположение на двух опорах, прогиб посредством приложения усилия и определение изгибной жесткости с использованием математической зависимости, вытекающей из нелинейной теории изгиба, согласно изобретению, пробу в виде пряди определенной длины и массы перед испытанием располагают на опорах круглого сечения известного диаметра 2R при межцентровом расстоянии 2L с последующим прогибом на постоянную величину Δ, путем приложения усилия по середине пробы в зоне между опорами в точке А, а изгибную жесткость EJ, в зависимости от возникающего усилия F, рассчитывают численным методом, используя форму изогнутой оси пряди в виде зависимости: f - коэффициент трения пряди о поверхность опор; ϕ - угол между вертикалью и радиусом опоры, проведенным из центра ее сечения к точке касания пряди с поверхностью опоры; R - радиус закругления опоры, причем определение изгибной жесткости EJ при расчетах численным методом осуществляют на основе поиска одновременного выполнения двух условий, одно из которых требует касания оси пряди к поверхности опор в точках контакта, имеющих линейные координаты ув=Δ-R(1-cosϕ) и xB=L-Rsinϕ в осях координат, исходящих из точки А, а другое условие требует чтобы касательные к оси пряди и к точке контакта на поверхности опор совпадали и располагались под углом ϕ к координатной оси X, расположенной параллельно линии, соединяющей центры опор. Испытание пробы в виде пряди волокна определенной длины и массы перед испытанием и расположение ее на опорах круглого сечения известного диаметра 2R при межцентровом расстоянии 2L с последующим прогибом на постоянную величину Δ, путем приложения усилия по середине пробы в зоне между опорами в точке А, позволяет минимизировать количество параметров, требующих определения и замеров в процессе испытания. Постоянные значения перечисленных элементов испытания упрощают его и положительно влияют на точность получаемого результата. Расчет изгибной жесткости EJ, в зависимости от возникающего усилия F, с применением численного метода, используя форму изогнутой оси пряди в виде зависимости: f - коэффициент трения пряди о поверхность опор; ϕ - угол между вертикалью и радиусом опоры, проведенным из центра ее сечения к точке касания пряди с поверхностью опоры; R - радиус закругления опоры, позволяет решить нелинейное известное уравнение, согласно [3], а именно: где EJ - изгибная жесткость пряди. Это уравнение определяет форму изогнутой оси при больших погибах и кривизне испытываемой пряди. Определение изгибной жесткости EJ при расчетах численным методом путем поиска одновременного выполнения двух условий, позволяет, используя, например, итерационный метод оптимизации, проводить расчеты при небольших затратах времени. Указанные два условия следующие: одно из них требует касания оси пряди поверхности опор в точках контакта, имеющих линейные координаты ув=Δ-R(1-cosϕ) и хВ=L-Rsinϕ в осях координат, исходящих из точки А, а другое условие требует, чтобы касательные к оси пряди и к точке контакта на поверхности опор совпадали и располагались под углом ϕ к координатной оси X, расположенной параллельно линии, соединяющей центры опор. Изобретение поясняется чертежами. На фиг. 1 представлена схема нагружения пряди при трехточечном прогибе. На фиг. 2 представлена часть пряди, лежащую справа от сечения А, с указанием формируемого угла ϕ и искомых координат ув и хв. Представление для анализа части пряди, лежащей справа от сечения А позволительно, исходя из наличия в схеме оси симметрии (ось у), что допускает расчеты изгибной жесткости осуществлять применительно к указанной части пряди. Способ определения изгибной жесткости лубяного волокна реализуется следующим образом. Перед проведением анализа необходимо знать коэффициент трения волокна о поверхность опоры (это осуществляют, например, посредством проведения предварительного эксперимента с использованием известного метода [5]). Далее прядь волокна определенной длины и массы симметрично укладывается на две опоры круглого сечения, имеющих радиус закругления R (положение 1, см. фиг. 1). Центры сечения опор расположены на расстоянии 2L. Точки контакта пряди с поверхностью опор в исходном положении находятся на касательных, которые параллельны линии, соединяющей центры сечения опор. После укладки на опоры в средней части пряди (в т.А) начинают прикладывать усилие путем прогиба пряди пластиной 2. Прогиб осуществляют на постоянную величину Δ. По достижению этого прогиба фиксируют возникающую нагрузку F. Исходя из схемы, представленной на фиг. 1 при прогибе пряди точки контакта смещаются от исходного положения в т.В. В этих точках формируются реакции N, направления действия которых, по отношению к вертикалям из центров сечения опор составляют угол ϕ. В точках контакта В из-за возникающих реакций N действуют силы трения Fтр. Расчет изгибной жесткости пряди волокна EI осуществляют следующим образом. Зная значение силы F, соответствующее прогибу пряди Δ, определяем неизвестные силы реакции N и силы трения Fтр: Поскольку в схеме нагружения имеется ось симметрии (ось у), то для дальнейшего исследования по определению изгибной жесткости, рассмотриваем только часть пряди, лежащую справа от сечения А. При этом часть пряди АВ можно считать жестко заделанной в сечении А (фиг. 2). Из уравнений равновесия участка пряди АВ определим силы реакций в заделке: В полученном выражении (2) величина угла ϕ зависит от параметров L, r, R и Δ, и является неизвестной величиной. Расчеты проводим, исходя из того, что при определении изгибной жесткости пряди, когда она имеет достаточно большую кривизну, ее прогибы нельзя считать малыми. Поэтому для определения формы ее изогнутой оси используем уравнение (1), принятое согласно [3]: где EJ - изгибная жесткость пряди. Аналитическое решение уравнения (1) осуществить проблематично, так как оно является нелинейным. Поэтому данное уравнение решаем иным способом - численно, используя, например, метод Эйлера [6], согласно которому: Подставив (3) в уравнение (1), получим: Использование выражения (4) при определении изгибной жесткости EI пряди в условиях больших прогибов (большой кривизны) весьма затруднительно. Это объясняется тем, что требуется подбор двух условий соприкосновения прогнутой пряди поверхности опор. Одно условие должно обеспечивать, что точки контакта В имеет координаты: xB=L-Rsinϕ и yB=Δ-R(1-cosϕ). Второе условие должно обеспечивать совпадение в т.В двух касательных, одна из которых была касательной к пряди, а другая к поверхности опоры. Совпадение касательных будет обеспечиваться при углах их наклона от вертикали равных ϕ. При расчетах принимаем во внимание, что при использовании численных методов требуется определение начального приближения для искомых EJ и ϕ. В качестве требуемого начального приближения EJ0 используем результат оценки этой величины, принятый в настоящее время по способу [1]. Согласно ему, прогиб Δ консольно закрепленного образца формируется вследствие действия на длине Расчет изгибной жесткости осуществляем на основе применения без градиентного симплекс-метода Нелдера-Мида [7]. Он основан на последовательном перемещении из начальной зоны посредством деформировании (путем отражения, растяжения и сжатия) n-мерного симплекса в направлении точки экстремума с помощью итерационной процедуры. Пример конкретной реализации предлагаемого способа определения изгибной жесткости лубяного волокна. Для анализа подготовили пробу льняного волокна длиной 7 см и массой 0,11 г. Принимаем на основе предварительно проведенных опытов значение коэффициента трения льняного волокна о стеклянную поверхность, который равен 0,1. Расстояние между центрами опор составляет 2,8 см. Подготовленную пробу располагаем на двух стеклянных опорах, имеющих радиус закругления 0,42 см. Прогиб пряди осуществили на величину 0,4 см. При таком прогибу сформировалась сила F=8,954 г. После перевода всех параметров в систему СИ и после расчета всех параметров, входящих в (4), а также с применением алгоритма Нелдера-Мида, получили значение изгибной жесткости EJ=1,7⋅10-5 Н⋅м2. Использование предлагаемого способа позволит упростить анализ и повысить точность получаемых результатов. Реализация данного способа не требует значительных затрат и поэтому возможна в условиях практики. Источники информации 1. Городов В.В., Лазарева С.Е., Лунев И.Я. и др. Испытания лубоволокнистых материалов. М., Легкая индустрия, 1969, 208 с. 2. Авт. свид. СССР №1442913 «Устройство для оценки волокна или луба лубяных культур», автор: Пашин Е.Л. Опубл. 07.12.1988 г., бюл. №45. 3. Патент РФ №2535133 «Способ определения жесткости текстильной нити при изгибе», авторы Гречухин А.П., Селиверстов В.Ю. Опубл. 10.12.2014 г., бюл. 34. 4. Попов Е.П. Теория и расчет гибких упругих стержней / Е.П. Попов - М.: Наука. Гл. ред. физ. - мат. лит, 1986. - 296 с. 5. Определение коэффициента трения скольжения: метод, указания к выполнению лабораторной работы №3 студентам направлений 271101, 230400.62, 120700.62, 270800.62, 221700.62, 022000.62 // Нижегор. гос .архитектур.-строит. ун-т; сост. Коган Л.П., Комаров Ю.П - Н.Новгород, ННГАСУ, 2012. - 22 с. 6. Белоглазкина М.В., Егоров Е.Н., Левин Ю.И. Численные решения уравнений: учебн.-метод, пособие. - Саратов, госуд. унив.-т им. Н.Г. Чернышевского, 2008. - 27 с. 7. Nelder, John A.; R. Mead (1965). "A simplex method for function minimization". Computer Journal. 7 (4): pp. 308-313.







распределенной силы тяжести
где m - масса консоли, g - ускорение свободного падения. Тогда, для схемы нагружения по известному способу [1] используем в качестве начальных условий следующие зависимости: