В изобретении предложены пегилированные липосомы и способы их получения и применения. Липосома содержит холестерин; непегилированный нейтральный липид; пегилированный липид, причем средняя молекулярная масса ПЭГ в пегилированном липиде составляет приблизительно 2000 дальтон; и агонист TLR4 и агонист TLR7/8, причем указанный агонист TLR4 представляет собой GLA (глюкопиранозил-липидный адъювант) и агонист TLR7/8 представляет собой 3M-052. Пегилированные липосомы стабильны и способны доставлять агент для формирования иммунного ответа, например агент для применения для получения вакцин, терапевтического или диагностического применения. Также предложены композиции и способы, относящиеся к получению пегилированных липосом и применению пегилированных липосом для стимуляции иммунного ответа. 4 н. и 12 з.п. ф-лы, 15 ил., 7 табл., 2 пр.
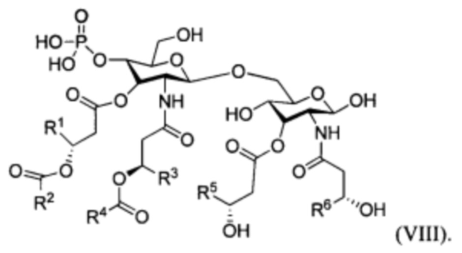
1. Липосома для стимуляции иммунного ответа или индукции ответа Th1-клеток у субъекта, содержащая: (a) холестерин; (b) непегилированный нейтральный липид; (c) пегилированный липид, причем средняя молекулярная масса ПЭГ в пегилированном липиде составляет приблизительно 2000 дальтон; и (d) агонист TLR4 и агонист TLR7/8, причем указанный агонист TLR4 представляет собой GLA (глюкопиранозил-липидный адъювант) и агонист TLR7/8 представляет собой 3M-052. 2. Липосома по п. 1, отличающаяся тем, что липидный компонент указанного пегилированного липида включает нейтральный липид. 3. Липосома по любому из пп. 1, 2, отличающаяся тем, что липидный компонент указанного пегилированного липида представляет собой DSPE, DPPC, DOPC, DLPC, DMPC, DSPC, POPC, DPPE или DMPE. 4. Липосома по любому из пп. 1-3, отличающаяся тем, что непегилированный нейтральный липид представляет собой DPPC, DOPC, DLPC, DMPC, DSPC, POPC, DPPE или DMPE. 5. Липосома по любому из пп. 1-4, отличающаяся тем, что (a) указанная липосома стабильна в течение по меньшей мере 1 месяца при температуре от приблизительно 2°C до приблизительно 8°C; и/или (b) коэффициент полидисперсности липосомы сохраняется на уровне приблизительно 0,3 или менее; и/или (с) размер липосомы меньше или приблизительно равен 450 нм. 6. Липосома по любому из пп. 1-5, отличающаяся тем, что молярный процент (мол. %) пегилированного липида в липосоме находится в диапазоне от приблизительно 1 мол. % до приблизительно 25 мол. %, мол. % холестерина в липосоме находится в диапазоне от приблизительно 1 мол. % до приблизительно 50 мол. % и мол. % непегилированного липида в липосоме находится в диапазоне от приблизительно 45 мол. % до приблизительно 98 мол. %. 7. Липосома по любому из пп. 1-6, отличающаяся тем, что молярное соотношение между липидами непегилированный нейтральный липид:холестерин:пегилированный липид составляет приблизительно 9,8:5,7:0,8 или приблизительно 18:5,5:3. 8. Липосома по любому из пп. 1-7, отличающаяся тем, что указанный по меньшей мере один агонист TLR4 включает GLA. 9. Липосома по п. 8, отличающаяся тем, что GLA представляет собой синтетический GLA формулы или фармацевтически приемлемую соль указанного соединения; или синтетический GLA формулы (VI) или фармацевтически приемлемую соль указанного соединения, где R1, R3, R5 и R6представляют собой C11-C20алкил; и R2 и R4 представляют собой C12-C20алкил, предпочтительно R1, R3, R5 и R6представляют собой C11алкил; и R2 и R4представляют собой C13алкил. 10. Липосома по любому из пп. 1-9, отличающаяся тем, что содержание GLA по меньшей мере приблизительно в два раза больше, чем 3M-052, по массе. 11. Композиция, содержащая липосому по любому из пп. 1-10 и антиген. 12. Композиция по п. 11, отличающаяся тем, что антиген включает H5N1. 13. Композиция по п. 11, отличающаяся тем, что антиген включает LecA. 14. Способ стимуляции иммунного ответа у субъекта или индукции ответа Th1-клеток у субъекта, включающий введение указанному субъекту липосомы по любому из пп. 1-10, посредством чего стимулируется иммунный ответ или индуцируется ответ Th1-клеток у субъекта. 15. Способ по п. 14, отличающийся тем, что иммунный ответ представляет собой неспецифический иммунный ответ или что иммунный ответ представляет собой антигенспецифический иммунный ответ. 16. Способ получения пегилированной липосомы по любому из пп. 1-10, включающий: (a) смешивание непегилированного нейтрального липида, пегилированного липида и холестерина в органическом растворителе; (b) выпаривание указанного органического растворителя, посредством чего получают липидную пленку; (c) регидратацию липидной пленки в буфере; и (d) обработку ультразвуком, микрофлюидизацию или экструдирование регидратированного продукта из этапа (c).
(VI)
ПЕРЕКРЕСТНАЯ ССЫЛКА НА РОДСТВЕННЫЕ ЗАЯВКИ [0001] Настоящая заявка испрашивает приоритет на основании предварительной заявки на патент США №62/337328, поданной 16 мая 2016 г., описание которой настоящим полностью включено в данную заявку посредством ссылки. ПОЛОЖЕНИЕ ОТНОСИТЕЛЬНО ИССЛЕДОВАНИЙ ИЛИ РАЗРАБОТОК, ФИНАНСИРУЕМЫХ ИЗ ФЕДЕРАЛЬНОГО БЮДЖЕТА [0002] Настоящее изобретение было выполнено при государственной поддержке по контракту № HHSO100201000039C, размещенному Управлением перспективных биомедицинских исследований и разработок (BARDA) в составе Аппарата помощника министра по вопросам готовности и реагирования (ASPR) Министерства здравоохранения и социального обеспечения США, и по гранту №5R21AI109118 и контракту №. HHSN272200800045C, размещенному Национальным институтом по изучению аллергических и инфекционных заболеваний в составе Национальных институтов здравоохранения Департамента социального обеспечения и здравоохранения. Правительство имеет определенные права на данное изобретение. УРОВЕНЬ ТЕХНИКИ [0003] Системы доставки на основе липосом были разработаны для таких биомолекул как лекарственные средства и визуализирующие агенты. Такие липосомы дают преимущества, такие как более длительная стабильность в кровотоке, приводящая к улучшенному представлению иммунной системе, контролируемое высвобождение биомолекулы и универсальность, позволяющая заключать в них как гидрофобные, так и гидрофильные биомолекулы. Для того чтобы продлить время полужизни липосом в кровотоке необходимо, чтобы они были экранированы от обычных механизмов клиренса, включая взаимодействия с белками сыворотки и фагоцитами. Было разработано множество подходов для улучшения экранирования липосом от иммунной системы, включая пегилирование липосом (липосомы, содержащие полиэтиленгликоль (ПЭГ)). Липосомы, содержащие ПЭГ и другие сополимеры, разработанные для экранирования липосомы от макрофагов, в данной области назвали "липосомами-невидимками". Дополнительно к экранирующим свойствам, пегилирование может влиять на стабильность препарата липосом путем ограничения, но не исключения, слияния липосом при длительном хранении. Для того чтобы избежать таких слияний, ореол из ПЭГ должен создать достаточно толстый слой, чтобы стерически экранировать поверхность липосомы. [0004] Молекулярную массу ПЭГ традиционно считают важным фактором для эффективного экранирования поверхности. Пегилированные липосомы, покрытые ПЭГ с более низкими молекулярными массами, неэффективно экранировались. Например, когда пегилированные липосомы с ПЭГ массой 750 дальтон сравнивали с непегилированными липосомами, не наблюдали различия (Mori и др., FEBS Lett, 1991). Более длительное присутствие в кровотоке и уменьшение поглощения фагоцитами наблюдали, только когда молекулярную массу ПЭГ повышали до более 5000 дальтон. [0005] Липосомы также оценивали как средства доставки субъединичных белковых вакцин и адъювантов. Липосомы являются привлекательными носителями для доставки вакцин благодаря возможности подстраивать состав липосом, чтобы добиться желательной концентрации, заряда, размера и распределения липидов или нацеливания антигена и адъюванта. Оценивали множество систем на основе липосом, включая анионные, катионные и нейтральные липосомы, тем не менее, не все липосомы получают одинаково. Многие составы с липосомами на основе катионных липидов токсичны. Многие нейтральные липосомы нестабильны ex vivo и либо увеличиваются в размере с течением времени, либо распадаются сразу после получения. Ограничения анионных липосом связано с зарядом, который влияет на их способность доставлять различные антигены и сливаться с клеточными мембранами. Другие липосомы содержат синтетические липиды или блок-сополимеры, которые могут оказывать влияние на саму иммунную систему. Составы липосом на основе холестерина идеальны тем, что холестерин является природным компонентом мембран клеток человека, и при комбинировании с другими колипидами, такими как метилсульфат N-(1-(2,3-диолеоилокси)пропил)-N,N,N-триметиламмония (DOTAP) и 1,2-диолеоил-sn-глицеро-3-фосфохолин (DOPC), холестерин образует стабильные катионные наночастицы диаметром приблизительно 100-200 нм с подходящими коэффициентами полидисперсности, равными приблизительно 0,3. Используют различные стратегии для улучшения липосомальных составов для их применения в качестве вакцинных составов, включая стратегии пегилирования. На сегодняшний день не разработан точный состав, который бы преодолевал проблемы, связанные со стабильностью и токсичностью известных липосом, а также мог эффективно улучшать качество иммунного ответа (обзор см. в Carstens и др. Vaccine 29, 2011; Kaur и др. Journal of Controlled Release, 2012; Schwendener, Ther Adv Vaccines, 2014; Nag и Awasthi, Pharmaceutics, 2013; Vartak и Sucheck, Vaccines, 2016; Fan и др., Journal of Controlled Release, 2015; Schmidt и др., Pharmaceutics, 2016). [0006] Таким образом, существует потребность в разработке пегилированных липосом, которые стабильны, пригодны для производства, совместимы с антигенами и адъювантами на основе липидов, и имеют малый размер, для получения вакцин, лекарственных и диагностических средств. В области вакцин существует особая потребность в сочетании таких липосом с адъювантами, которые могут усиливать иммунный ответ, и разработка таких липосом может быть полезна, например, для вакцинаций от гриппа, кишечных заболеваний (таких как амебиаз), туберкулеза, ВИЧ, рака и гепатита. В данной заявке предложены композиции и связанные с ними способы. [0007] Все источники, цитированные в данной заявке, включая заявки на патент и публикации патентов, полностью включены в данную заявку посредством ссылки, как если бы каждый отдельный источник был конкретно и отдельно указан как включенный посредством ссылки. КРАТКОЕ ОПИСАНИЕ ИЗОБРЕТЕНИЯ [0008] Согласно настоящему изобретению предложены пегилированные липосомы, составы и композиции, содержащие пегилированные липосомы, и способы получения и применения пегилированных липосом. Пегилированные липосомы являются подходящими для получения вакцин, лекарственных и диагностических средств. [0009] Пегилированные липосомы содержат по меньшей мере холестерин, непегилированный нейтральный липид и пегилированный липид, при этом средняя молекулярная масса компонента ПЭГ в пегилированном липиде составляет приблизительно 5000 дальтон или менее. Пегилированные липосомы стабильны и способны доставлять агент для формирования иммунного ответа. Пегилирование липосом, при котором молекулярная масса пегилированного липида составляет приблизительно 5000 дальтон или менее, обеспечивает стабильность липосомы и позволяет ее доставку к иммунным клеткам для формирования иммунного ответа. В данной заявке размер пегилированных липосом, присутствующих в указанной композиции, находится в диапазоне от приблизительно 1 нм до приблизительно 450 нм, и указанный размер остается стабильным при изменяющихся температурах и с течением времени. Пегилированные липосомы стабильны, и практически не наблюдают их агрегацию, или наблюдают пониженную агрегацию, и их можно подвергнуть конечному этапу стерилизации перед распределением по флаконам. Пегилированные липосомы, предложенные в данной заявке, могут дополнительно содержать агонист TLR и/или некоторый агент, например, агент для применения для получения вакцин, терапии или диагностики. Также предложены композиции и способы, связанные с получением и применением пегилированных липосом для стимуляции иммунного ответа. [0010] В одном аспекте настоящего изобретения предложена липосома, содержащая: (а) холестерин; (b) непегилированный нейтральный липид и (с) пегилированный липид, при этом средняя молекулярная масса ПЭГ в пегилированном липиде составляет приблизительно 5000 дальтон или менее. В некоторых вариантах реализации средняя молекулярная масса ПЭГ в пегилированном липиде находится в диапазоне от приблизительно 750 дальтон до приблизительно 5000 дальтон. В некоторых вариантах реализации средняя молекулярная масса ПЭГ в пегилированном липиде составляет приблизительно 2000 дальтон или менее. В некоторых вариантах реализации средняя молекулярная масса ПЭГ в пегилированном липиде составляет приблизительно 750 дальтон. В некоторых вариантах реализации липидный компонент указанного пегилированного липида содержит нейтральный липид. В некоторых вариантах реализации липидный компонент указанного пегилированного липида содержит алкильную цепь С14, алкильную цепь С16 или алкильную цепь С18. В некоторых вариантах реализации липидный компонент указанного пегилированного липида представляет собой 1,2-дистеароил-sn-глицеро-3-фосфоэтаноламин (DSPE), 1,2-дипальмитоил-sn-глицеро-3-фосфохолин (DPPC), DOPC, дилинолеоилфосфатидилхолин (DLPC), 1,2-димиристоил-sn-глицеро-3-фосфохолин (DMPC), дистеароилфосфатидилхолин (DSPC), пальмитоилолеоилфосфатидилхолин (РОРС), 1,2-дипальмитоил-sn-глицеро-3-фосфоэтаноламин (DPPE) или димиристоилфосфатидилэтаноламин (DMPE). В некоторых вариантах реализации липидный компонент указанного пегилированного липида представляет собой DSPE. В некоторых вариантах реализации липидный компонент указанного пегилированного липида представляет собой DPPE. В некоторых вариантах реализации непегилированный нейтральный липид содержит алкильную цепь С14, алкильную цепь С16 или алкильную цепь С18. В некоторых вариантах реализации непегилированный нейтральный липид представляет собой DPPC, DOPC, DLPC, DMPC, DSPC, РОРС, DPPE или DMPE. В некоторых вариантах реализации непегилированный нейтральный липид представляет собой DPPC. В некоторых вариантах реализации указанная липосома стабильна. В некоторых вариантах реализации указанная липосома стабильна в течение по меньшей мере 1 месяца при температуре от приблизительно 2°С до приблизительно 8°С. В некоторых вариантах реализации указанная липосома стабильна в течение по меньшей мере 1 месяца при температуре, равной приблизительно 25°С. В некоторых вариантах реализации указанная липосома стабильна в течение по меньшей мере 1 месяца при температуре, равной приблизительно 37°С. В некоторых вариантах реализации коэффициент полидисперсности липосомы сохраняется на уровне приблизительно 0,3 или менее. В некоторых вариантах реализации размер липосомы меньше или приблизительно равен 450 нм. В некоторых вариантах реализации размер липосомы сохраняется на уровне, меньшем или приблизительно равном 450 нм. В некоторых вариантах реализации размер липосомы находится в диапазоне от приблизительно 50 нм до приблизительно 300 нм. В некоторых вариантах реализации коэффициент полидисперсности липосомы меньше или приблизительно равен 0,3. В некоторых вариантах реализации молярный процент (мол. %) пегилированного липида в липосоме находится в диапазоне от приблизительно 1 мол. % до приблизительно 25 мол. %. В некоторых вариантах реализации мол. % пегилированного липида в липосоме находится в диапазоне от приблизительно 1 мол. % до приблизительно 10 мол. %. В некоторых вариантах реализации мол. % пегилированного липида в липосоме составляет приблизительно 5 мол. %. В некоторых вариантах реализации мол. % холестерина в липосоме находится в диапазоне от приблизительно 1 мол. % до приблизительно 50 мол. %. В некоторых вариантах реализации мол. % холестерина в липосоме составляет приблизительно 50 мол. %. В некоторых вариантах реализации мол. % непегилированного липида в липосоме находится в диапазоне от приблизительно 45 мол. % до приблизительно 98 мол. %. В некоторых вариантах реализации мол. % непегилированного липида в липосоме составляет приблизительно 45 мол. %. В некоторых вариантах реализации молярное соотношение между липидами непегилированный нейтральный липид:холестерин:пегилированный липид составляет приблизительно 9,8:5,7:0,8. В некоторых вариантах реализации молярное соотношение между липидами непегилированный нейтральный липид:холестерин:пегилированный липид составляет приблизительно 18:5,5:3. В некоторых вариантах реализации липосома дополнительно содержит по меньшей мере один агонист TLR. В некоторых вариантах реализации агонист TLR включает агонист TLR2, агонист TLR3, агонист TLR4, агонист TLR5, агонист TLR6, агонист TLR7, агонист TLR8, агонист TLR7/8 или агонист TLR9. В некоторых вариантах реализации агонист TLR включает TLR4, SLA, GLA, 3D-MPL, R837 или R848. В некоторых вариантах реализации агонист TLR включает гидрофобный хвост. В некоторых вариантах реализации агонист TLR включает агонист TLR7/8. В некоторых вариантах реализации агонист TLR включает агонист TLR7. В некоторых вариантах реализации агонист TLR включает агонист TLR8. В некоторых вариантах реализации агонист TLR7/8 включает имидазохинолин или содержащее имидазохинолин соединение. В некоторых вариантах реализации агонист TLR7/8 включает 3М-052. В некоторых вариантах реализации агонист TLR7/8 включает R848. В некоторых вариантах реализации агонист TLR включает агонист TLR4. В некоторых вариантах реализации агонист TLR4 включает 3D-MPL. В некоторых вариантах реализации агонист TLR4 включает GLA. В некоторых вариантах реализации агонист TLR4 включает синтетический глюкопиранозил-липидный адъювант (GLA) формулы (V). В некоторых вариантах реализации агонист TLR4 включает синтетический GLA формулы (VI). [0011] В некоторых вариантах реализации агонист TLR4 включает синтетический GLA формулы: или фармацевтически приемлемую соль указанного соединения. В некоторых вариантах реализации липосома содержит агонист TLR4 и агонист TLR7/8. В некоторых вариантах реализации липосома содержит GLA и 3М-052. В некоторых вариантах реализации липосома дополнительно содержит по меньшей мере один агент. В некоторых вариантах реализации указанный агент включает полипептид, полинуклеотид, антиген, адъювант, диагностический агент, терапевтический агент или организм. В некоторых вариантах реализации агент включает антиген. В некоторых вариантах реализации антиген представляет собой связанный с амебиазом антиген. В некоторых варианты реализации антиген включает LecA. В некоторых вариантах реализации антиген включает связанный с гриппом антиген. В некоторых вариантах реализации антиген включает H5N1. В некоторых вариантах реализации антиген включает связанный с туберкулезом антиген. В некоторых вариантах реализации антиген включает ID91. В некоторых вариантах реализации антиген включает ID93. В некоторых варианты реализации антиген включает антиген из BCG. В некоторых вариантах реализации антиген включает родственный вирусу гепатита антиген. В некоторых вариантах реализации антиген включает антиген гепатита В. В некоторых вариантах реализации антиген включает антиген гепатита С. В некоторых вариантах реализации антиген включает связанный с ВИЧ антиген. В некоторых вариантах реализации антиген включает связанный с раком антиген. [0012] В близком аспекте настоящего изобретения предложена композиция, содержащая любую из липосом, предложенных в данной заявке. В некоторых вариантах реализации указанная композиция содержит фармацевтически приемлемый носитель, вспомогательное вещество или разбавитель. В некоторых вариантах реализации композиция представляет собой вакцину. В некоторых вариантах реализации композиция является терапевтической. В некоторых вариантах реализации композиция является диагностической. [0013] В другом аспекте настоящего изобретения предложен способ стимуляции иммунного ответа у субъекта, включающий введение указанному субъекту любой из липосом, описанных в данной заявке, или любой из композиций, содержащих липосомы, описанные в данной заявке, посредством чего стимулируется иммунный ответ у субъекта. В другом аспекте настоящего изобретения предложен способ индукции ответа Th1-клеток у субъекта, включающий введение указанному субъекту любой из липосом, описанных в данной заявке, или любой из композиций, содержащих липосомы, описанные в данной заявке, посредством чего вызывается ответ Th1-клеток у субъекта. В некоторых вариантах реализации иммунный ответ представляет собой неспецифический иммунный ответ. В некоторых вариантах реализации иммунный ответ представляет собой антиген-специфический иммунный ответ. В некоторых вариантах реализации иммунный ответ включает системный иммунный ответ. В некоторых вариантах реализации иммунный ответ включает мукозальный иммунный ответ (иммунный ответ слизистых оболочек). В некоторых вариантах реализации мукозальный иммунный ответ включает иммунный ответ слизистой кишечника, кала или влагалища. В некоторых вариантах реализации композицию применяют для лечения или предотвращения рака. В некоторых вариантах реализации композицию применяют в качестве вакцины. В некоторых вариантах реализации композицию применяют для повышения защитного иммунитета против вызывающего грипп вируса. В некоторых вариантах реализации композицию применяют для повышения защитного иммунитета против вызывающего амебиаз организма. В некоторых вариантах реализации композицию применяют для повышения защитного иммунитета против Entamoeba histolytica. В некоторых вариантах реализации композицию применяют для повышения защитного иммунитета против гриппа. В некоторых вариантах реализации композицию применяют для повышения защитного иммунитета против амебиаза. В некоторых вариантах реализации путь введения указанной композиции пероральный, топический, парентеральный, сублингвальный, буккальный, ректальный, вагинальный, внутривенный, внутрикожный, трансдермальный, интраназальный, внутрислизистый или подкожный. В некоторых вариантах реализации путь введения интраназальный. [0014] В другом аспекте настоящего изобретения предложен способ стимуляции системного иммунного ответа и мукозального иммунного ответа у субъекта, включающий интраназальное введение субъекту любой из липосом, предложенных в данной заявке, или любой из композиций, содержащих липосомы, предложенные в данной заявке. В некоторых вариантах реализации указанный способ включает введение липосомы, которая содержит агонист TLR4 и агонист TLR7/8. В некоторых вариантах реализации указанный способ включает введение липосомы, которая содержит GLA и 3М-052. В некоторых вариантах реализации мукозальный иммунный ответ включает иммунный ответ слизистой кишечника, кала или влагалища. В некоторых вариантах реализации мукозальный иммунный ответ отдален от назальной полости. [0015] В любом из способов, описанных в данной заявке, липосому или композицию можно вводить вместе с коадъювантом - ретиноевой кислотой. [0016] В любом из способов, описанных в данной заявке, липосому или композицию вводят человеку. [0017] В любом из способов, описанных в данной заявке, липосому или композицию вводят не относящемуся к человеку млекопитающему. В некоторых вариантах реализации указанное не относящееся к человеку млекопитающее представляет собой собаку, корову или лошадь. [0018] В другом аспекте настоящего изобретения предложен способ получения любой из пегилированных липосом, предложенных в данной заявке, включающий: (а) смешивание непегилированного нейтрального липида, пегилированного липида и холестерина в органическом растворителе; (b) выпаривание указанного органического растворителя, посредством чего получают липидную пленку; (с) регидратацию липидной пленки в буфере; и (d) обработку ультразвуком, микрофлюидизацию или экструдирование регидратированного продукта из этапа (с). В некоторых вариантах реализации этап (а) дополнительно включает смешивание с агонистом TLR. В некоторых вариантах реализации органический растворитель представляет собой хлороформ. В некоторых вариантах реализации регидратированный продукт из этапа (с) разрушают ультразвуком, а затем подвергают микрофлюидизации. В некоторых вариантах реализации указанный способ дополнительно включает смешивание агента с пегилированной липосомой. В некоторых вариантах реализации агент включает антиген. [0019] Данные и другие аспекты настоящего изобретения будут очевидны после ознакомления со следующим подробным описанием и прикрепленными фигурами. Кроме того, в данной заявке представлены различные противопоставленные материалы, в которых более подробно описаны некоторые аспекты настоящего изобретения, и, следовательно, их описания полностью включены в данную заявку посредством ссылки. КРАТКОЕ ОПИСАНИЕ ФИГУР [0020] На фигурах 1A-1D изображены физические свойства и свойства стабильности различных составов. На фиг. 1A изображен диаметр частиц с течением времени при 5°С. На фиг. 1B изображен коэффициент полидисперсности с течением времени при 5°С. На фиг. 1С изображен диаметр частиц с течением времени при 37°С. На фиг. 1D изображен коэффициент полидисперсности с течением времени при 37°С. [0021] На фиг. 2 показан ответ IgG1 и IgG2a на различные составы, который определили с помощью твердофазного иммуноферментного анализа (ELISA). На фигуре представлено сравнение титров IgG1 и IgG2a в плазме после иммунизации мышей различными составами антигена LecA, смешанного с соответствующим адъювантом. [0022] На фигурах 3А-D изображен ответ LecA-специфичных цитокинов. [0023] На фигурах 4А- В изображены ответ IgA в слизистой оболочке и способность ингибировать прилипание до проведения антигенной стимуляции. Мышей иммунизировали LecA с адъювантом GLA-3М-052-липосома, применяя смешанную схему приема: интраназальное (недели 0 и 4) и подкожное (неделя 2) введение. Мыши в указанных группах получали еженедельную интраперитонеальную инъекцию 150 мг полностью транс-ретиноевой кислоты (РК). Образцы кала собирали через три недели после третьей иммунизации. На фиг. 4А каловые супернатанты разбавлены в 120 раз и титр IgA к лектину до антигенной стимуляции определен с помощью ELISA; на фиг. 4В способность IgA в кале ингибировать прилипание трофозоитов к клеткам млекопитающих определяли in vitro, применяя описанный анализ ингибирования прилипания. [0024] На фигурах 5А-В изображена опосредованная вакциной защита с применением модели амебиаза кишечника у мышей. Адъювант GLA-3M-052-липосома давал умеренную защиту при испытании с провокацией слепой кишки. Мышей, которых иммунизировали, используя гетерологичную схему приема, провоцировали введением внутрь слепой кишки Е. histolytica через четыре недели после заключительной иммунизации. Мышей умерщвляли через неделю после провокации и анализировали в содержимом слепой кишки (фиг. 5А) антигенную нагрузку, применяя ELISA, и (фиг. 5В) живые амебы путем культивирования, как меру стерильного иммунитета. Количество инфицированных мышей из всех провоцированных указано над каждой колонкой. Результаты двух независимых, но идентичных испытаний были объединены. [0025] На фиг. 6 изображен ответ IgG в плазме на указанные составы. [0026] На фиг. 7 изображен ответ IgA в кале на указанные составы. На данной фигуре видно, что увеличение длины ПЭГ усиливает ответ IgA в слизистой оболочке. [0027] На фигурах 8А-В представлено влияние пути доставки на иммунизацию, при этом наиболее высокие титры IgG2a и IgA получили при схеме приема с только и/н (интраназальным) введением. Липосома + адъювант вызывали сильный мукозальный и системный иммунный ответ Th1-клеток: IgA к LecA в кишечнике (фиг. 8В). [0028] На фигурах 9А-В представлено влияние пути доставки на иммунизацию. Схема приема с только и/н введением приводила к образованию эквивалентных или больших титров IFN-γ и IL-17 по сравнению с другими схемами приема. Липосома + адъювант вызывали сильный мукозальный и системный иммунный ответ Th1-клеток: IFN-γ (фиг. 9А) и IL-17 (фиг. 9В). [0029] На фигурах 10А-В представлен (а) диаметр частиц и (b) коэффициент полидисперсности по размерам для типичных составов 3М-052 при 5°С в течение 6 месяцев. Планки погрешностей представляют стандартное отклонение по трем отдельным анализам размера частиц для одной партии состава в каждый момент времени. Содержание 3М-052 не измеряли в данных партиях, но оценили, что оно составляет 0,04 мг/мл, на основе последующих партий, произведенных с помощью такого же процесса. [0030] На фигурах 11А-Н представлено, что у мышей, иммунизированных 3М-052, выявили повышенную выживаемость после провокации H5N1. Животных однократно иммунизировали белком рГА (A/VN/1203/04) в комбинации с адъювантами, как указано. Через двадцать один день после иммунизации животных провоцировали 106 бляшкообразующими единицами (БОЕ) A/VN/1203/04 (H5N1, клада 1). Ежедневно отслеживали выживаемость (фиг. 11А) и потерю массы тела животными (фиг. 11В, 11С). Через 3 дня (фиг. 11D) и 7 дней (фиг. 11Е) после провокации мышей умерщвляли и определяли титры вируса в их легких путем анализа бляшек. Кроме того, интактные легкие взвешивали в день 7 после провокации для обобщения (11F) и оценивали возникновение в них макропатологии (фиг. 11G). Значимость определяли с помощью логарифмического рангового критерия Кокса-Мантеля (А) или с помощью однофакторного дисперсионного анализа (фигуры 11D-11G) (**р<0,005, ***р<0,0005, ****р<0,0001). На фиг. 11Н показан титр вируса в легких. [0031] На фигурах 12А-D представлены ответы CD4 Т-клеток у мышей, иммунизированных составами с адъювантами 3М-052. Животных однократно иммунизировали белком рГА (A/VN/1203/04) в комбинации с адъювантами, как указано. Через семь дней после иммунизации в спленоцитах из умерщвленных мышей (n=5/группу) анализировали стимуляцию цитокинов после стимуляции рГА. Определяли паттерны секреции цитокинов IFN-γ (I), TNFα (Т) и IL-2 (2), чтобы исследовать индукцию ответа Th1 CD4+ Т-клеток. Также определяли относительный процент полифункциональных Т-клеток. Значимость между группами определяли с помощью однофакторного дисперсионного анализа (*р<0,05, **р<0,005). [0032] На фигурах 13А-Н представлена защита хорьков от провокации гомологичным H5N1 после однократной иммунизации. Самцов хорьков Фитч однократно иммунизировали расщепленной вакциной H5N1 (H5N1, Sanofi Pasteur) в комбинации с составами адъювантов 3М-052 и провоцировали через 21 день после иммунизации 106 БОЕ A/VN/1203. В течение до 14 дней контролировали выживаемость животных (фиг. А, Е), потерю массы тела (фиг. В, F) и клинические показатели (фиг. С, G). Кроме того, собирали назальные смывы, чтобы оценить титр вируса (фиг. D, Н). Для обоих составов 3М-052-ЭС и 3М-052-липосомальный адъювант выявили эффективную защиту после однократного применения в данной модели, характеризуемую более быстрым клиренсом вируса из назальных смывов, снижением потери массы тела и клинических показателей и 100% выживаемостью. [0033] На фигурах 14А-F изображена индукция нейтрализующего вирус титра композициями адъювантов 3М-052. Самцов хорьков Фитч однократно иммунизировали расщепленной H5N1 вакциной (SP-H5, Sanofi Pasteur) в комбинации с составами адъювантов 3М-052. Через двадцать один день после иммунизации кровь собирали из всех животных и анализировали наличие нейтрализующих вирус антител, применяя анализ нейтрализации псевдотипа ретровируса. Включение 3М-052 в составы адъювантов привело к значимому (однофакторный дисперсионный анализ) повышению нейтрализующего титра против как гомологичного вируса клады 1 (фиг. A, D), так и штамма вируса клады 2 (фиг. В, Е) и штамма клады 2.2 (фиг. С, F). На фигурах 15А-В представлена защита хорьков от провокации гетерологичным H5N1 после однократной иммунизации. Самцов хорьков Фитч однократно иммунизировали расщепленной вакциной H5N1 (H5N1, Sanofi Pasteur) в комбинации с составами адъювантов 3М-052 и провоцировали через 21 день после иммунизации 106 БОЕ А/лебедь-кликун/Монголия/244/05. Собирали назальные смывы, чтобы оценить титр вируса. Адъюванты 3М-052-ЭС вызывали более быстрый клиренс вируса, при этом титры не детектировались в день 5. Для составов 3М-052-липосомальный адъювант выявляли титр по день 3, клиренс наступал ко дню 5. ПОДРОБНОЕ ОПИСАНИЕ ИЗОБРЕТЕНИЯ [0034] В настоящей заявке предложены, среди прочего, составы пегилированных липосом, композиции, содержащие пегилированные липосомы, и способы получения и применения пегилированных липосом. Авторы настоящего изобретения при составлении композиции нерастворимого агониста Toll-подобного рецептора (TLR) разработали состав липосом, который оказался неожиданно универсальным для включения различных лигандов TLR и/или антигенов, при этом сохраняя стабильность, и который эффективно усиливал иммунный ответ при смешивании с антигеном. Авторы настоящего изобретения обнаружили, что смешивание с данными липосомами разнообразия различных антигенов приводило к получению составов антиген-липосома, которые можно вводить млекопитающему. Указанные составы липосом содержат холестерин, непегилированный нейтральный липид и пегилированный липид, при этом средняя молекулярная масса ПЭГ в пегилированном липиде составляет приблизительно 5000 дальтон или менее, предпочтительно от приблизительно 750 до приблизительно 5000 дальтон, или от 750 до приблизительно 2000 дальтон. Применение пегилированных липидов обеспечивает стабильность и позволяет доставку и выработку/стимуляцию/модификацию иммунного ответа. В некоторых предпочтительных вариантах реализации непегилированный нейтральный липид представляет собой DPPC и пегилированный липид представляет собой пегилированный DSPE или DPPE. В некоторых особенно предпочтительных вариантах реализации липосомы дополнительно содержат агонист Toll-подобного рецептора (TLR) и необязательно антиген. [0035] Также предложены композиции (такие как композиции вакцины, фармацевтические композиции), содержащие пегилированные липосомы, описанные в данной заявке. Указанные композиции пригодны для выработки/стимуляции/модификации иммунного ответа у субъекта. В некоторых вариантах реализации композиция, описанная в данной заявке, дополнительно содержит один или более антигенов и/или агонистов TLR. [0036] Авторы настоящего изобретения также обнаружили, при составлении эмульсий типа масло в воде на основе сквалена нерастворимого Toll-подобного рецептора 3М-052, что эмульсии, в состав которых входил фосфатидилхолин яйца или РОРС вместо DMPC, позволяли получить более высокий выход Toll-подобного рецептора после обработки. Кроме того, добавление первоначального этапа смешивания для комбинирования Toll-подобного рецептора с фосфатидилхолином яйца или РОРС в хлороформе дополнительно повышало выход Toll-подобного рецептора. В настоящей заявке также предложены, среди прочего, эмульсии типа масло в воде на основе сквалена, содержащие сквален, ненасыщенный фосфатидилхолин и Toll-подобный рецептор (например, нерастворимый Toll-подобный рецептор), и способы получения таких эмульсий путем смешивания Toll-подобного рецептора с ненасыщенным фосфатидилхолином в хлороформе. I. Определения [0037] Следующие термины имеют приведенные ниже значения, если не указано иначе. Любые термины, для которых не даны определения, имеют известные в данной области значения. [0038] В настоящем описании термины "приблизительно" и "состоящий по существу из" означают ±20% от указанного диапазона, значения или структуры, если не указано иначе. [0039] Использование альтернативы (например, "или") следует понимать означающим либо одну, либо обе, либо любую комбинацию перечисленных альтернатив. [0040] В данной заявке термины "содержат", "имеют" и "включают" используют синонимично, указанные термины и их варианты нужно истолковывать как неограничивающие. [0041] В данной заявке и в прилагаемой формуле изобретения формы единственного числа включают ссылку на множественное число, если только в контексте явно не указано противоположное. [0042] Термин "макромолекула" в данной заявке относится к большим молекулам, примерами которых, не ограничиваясь перечисленными, являются пептиды, белки, олигонуклеотиды и полинуклеотиды биологического или синтетического происхождения. [0043] Термины "полипептид", "пептид" и "белок" в данной заявке используют взаимозаменяемо по отношению к полимерам аминокислот любой длины. Указанный полимер может быть линейным или разветвленным, он может содержать модифицированные аминокислоты и может прерываться не относящимися к аминокислотам молекулами. В объем указанных терминов также входит полимер аминокислот, который был модифицирован в природе или путем вмешательства; например, путем образования дисульфидной связи, гликозилирования, липидирования, ацетилирования, фосфорилирования или с помощью любой другой манипуляции или модификации, такой как конъюгирование с метящим компонентом. Также в объем данного определения входят, например, полипептиды, содержащие один или более аналогов аминокислот (включая, например, неприродные аминокислоты и т.д.), а также другие модификации, известные в данной области. [0044] Термин "выделенный" означает молекулу, которую удалили из природного окружения. [0045] "Очищенный" означает, что повысили чистоту указанной молекулы, так что она находится в более чистом виде, чем в котором она присутствует в природном окружении и/или после исходного синтеза и/или амплификации в лабораторных условиях. Чистота является относительным термином и не обязательно означает абсолютную чистоту. [0046] Термины "полинуклеотид" или "нуклеиновая кислота", используемые взаимозаменяемо в данной заявке, относятся к полимерам нуклеотидов любой длины, включая ДНК и РНК. Указанные нуклеотиды могут представлять собой дезоксирибонуклеотиды, рибонуклеотиды, модифицированные нуклеотиды или основания, и/или их аналоги, или любой субстрат, который можно включить в состав полимера с помощью ДНК- или РНК-полимеразы, или путем синтетической реакции. Полинуклеотид может содержать модифицированные нуклеотиды, такие как метилированные нуклеотиды и их аналоги. Модификацию структуры нуклеотида, если она присутствует, можно придать до или после сборки полимера. [0047] "Олигонуклеотид" в данной заявке в общем смысле относится к коротким, как правило, однонитевым, обычно, синтетическим полинуклеотидам, длина которых, как правило, но не обязательно, меньше, чем приблизительно 200 нуклеотидов. Термины "олигонуклеотид" и "полинуклеотид" не являются взаимно исключающими. Приведенное выше описание полинуклеотидов в равной степени и полностью применимо к олигонуклеотидам. [0048] Термин "индивид" или "субъект" представляет собой любое млекопитающее. Млекопитающие включают, но не ограничены перечисленными: людей, приматов, сельскохозяйственных животных, спортивных животных, комнатных животных (таких как кошки, собаки, лошади) и грызунов. [0049] "Алкил" представляет собой линейный или разветвленный насыщенный углеводород. Например, алкильная группа может содержать от 1 до 30 атомов углерода (т.е., (C1-С30)алкил), или от 1 до 20 атомов углерода (т.е., (С1-С20)алкил), или от 1 до 10 атомов углерода (т.е., (С1-С10)алкил), или от 1 до 8 атомов углерода (т.е., (С1-С8)алкил), или от 1 до 6 атомов углерода (т.е., (С1-С6)алкил), или от 1 до 4 атомов углерода (т.е., (С1-С4)алкил). В объем данного термина входят, в качестве примера, линейные и разветвленные гидрокарбильные группы, такие как метил (СН3-), этил (СН3СН2-), н-пропил (СН3СН2СН2-), изопропил ((СН3)2СН-), н-бутил (СН3СН2СН2СН2-), изобутил ((СН3)2СНСН2-), втор-бутил ((СН3)(СН3СН2)СН-), трет-бутил ((СН3)3С-), н-пентил (СН3СН2СН2СН2СН2-), неопентил ((СН3)3ССН2-) и н-гексил (СН3(СН2)5-). [0050] "Гало" или "галоген" относится к фтору, хлору, брому и йоду. [0051] "Гидрокси" или "гидроксил" относится к группе -ОН. [0052] "Алкоксил" относится к группе -О-алкил, где алкил такой, как описан в данной заявке. Алкоксил включает, в качестве примера, метоксил, этоксил, н-пропоксил, изопропоксил, н-бутоксил, трет-бутоксил, втор-бутоксил, н-пентоксил и тому подобные молекулы. [0053] Термины "сложный эфир карбоновой кислоты" или "карбоксильный сложный эфир" относятся к группам -С(О)О-алкил и содержащий заместители -С(О)О-алкил, где алкил и содержащий заместители алкил такие, как описано в данной заявке. [0054] Для осуществления настоящего изобретения будут использовать, если не указано иначе, обычные методики молекулярной биологии, рекомбинантной ДНК, биохимии и химии, которые находятся в рамках компетенции в данной области. Такие методики полностью объяснены в литературе. См., например, Molecular Cloning A Laboratory Manual, 2ое изд., Sambrook и др., ред., Cold Spring Harbor Laboratory Press: (1989); DNA Cloning, тома I и II (D. N. Glover, ред., 1985); Oligonucleotide Synthesis (M. J. Gait, ред., 1984); Mullis и др., патент США номер 4683195; Nucleic Acid Hybridization (В. D. Hames и S. J. Higgins, ред. 1984); В. Perbal, A Practical Guide To Molecular Cloning (1984); научный труд, Methods in Enzymology (Academic Press, Inc., Нью-Йорк); и в Ausubel и др., Current Protocols in Molecular Biology, John Wiley and Sons, Балтимор, Мэриленд (1989). [0055] В данной заявке "нерастворимый в воде" относится к соединению, которое не растворяется или растворяется на незначительном уровне, когда указанное соединение смешивают с водой, например, при смешивании с водой при комнатной температуре, например, между или между приблизительно 25°С и 50°С. II. Пегилированные липосомы. [0056] В настоящем изобретении предложены пегилированные липосомы, содержащие по меньшей мере холестерин, непегилированный нейтральный липид и пегилированный липид, при этом средняя молекулярная масса компонента ПЭГ в пегилированном липиде составляет приблизительно 5000 дальтон или менее. Пегилированные липосомы, предложенные в данной заявке, могут дополнительно содержать агент, например, агент для применения для получения вакцин, терапии или диагностики. Пегилированные липосомы, предложенные в данной заявке, могут дополнительно содержать агонист TLR, например, для применения в упомянутой выше вакцине, терапии или диагностики. Описание каждого отдельного компонента пегилированных липосом и свойства пегилированных липосом приведены ниже. А. Пегилированные липиды. [0057] Пегилированные липосомы, предложенные в данной заявке, содержат пегилированные липиды (липиды, связанные с полиэтиленгликолем (ПЭГ)), при этом средняя молекулярная масса ПЭГ в пегилированном липиде составляет приблизительно 5000 дальтон или менее. Пришли к выводу, что применение таких липидов, связанных с ПЭГ, в комбинации с нейтральным непегилированным липидом и холестерином придает стабильность в противном случае нейтральной липосоме, которая не содержит пегилированных липидов. Применение таких пегилированных липидов обеспечивает длительную стабильность структуры пегилированной липосомы и позволяет эффективную стимуляцию иммунного ответа. Свойства ПЭГ в пегилированном липиде [0058] В вариантах реализации, предложенных в данной заявке, средняя молекулярная масса ПЭГ в пегилированном липиде составляет приблизительно 5000 дальтон или менее. В некоторых вариантах реализации средняя молекулярная масса ПЭГ в пегилированном липиде составляет приблизительно 2000 дальтон или менее. В конкретных вариантах реализации средняя молекулярная масса ПЭГ находится в диапазоне от приблизительно 750 дальтон до приблизительно 5000 дальтон. В конкретных вариантах реализации средняя молекулярная масса ПЭГ находится в диапазоне от приблизительно 750 дальтон до приблизительно 2000 дальтон. В некоторых вариантах реализации средняя молекулярная масса ПЭГ находится в диапазоне от приблизительно 750 до 1000; от 750 до 1500; от 750 до 2000; от 750 до 2500; от 750 до 3000; от 750 до 3500; от 750 до 4000; от 750 до 4500; или 750 до 5000 дальтон. В некоторых вариантах реализации средняя молекулярная масса ПЭГ находится в диапазоне от приблизительно 4500 до 5000; от 4000 до 5000; от 3500 до 5000; от 3000 до 5000; от 2500 до 5000; от 2000 до 5000; от 1500 до 5000; от 1000 до 5000; или от 750 до 5000 дальтон. В некоторых вариантах реализации средняя молекулярная масса ПЭГ находится в диапазоне от приблизительно 500 до 1000; от 500 до 750; или от 750 до 1000 дальтон. В некоторых вариантах реализации средняя молекулярная масса ПЭГ находится в диапазоне от приблизительно 1500 до 2500; от 1500 до 2000; или от 2000 до 2500 дальтон. В некоторых вариантах реализации средняя молекулярная масса ПЭГ находится в диапазоне от приблизительно 4500 до 5500; от 4500 до 5000; или от 2000 до 5000 дальтон. [0059] В одном типичном варианте реализации пегилированный липид содержит ПЭГ-750. В другом типичном варианте реализации пегилированный липид содержит ПЭГ-1000. В другом типичном варианте реализации пегилированный липид содержит ПЭГ-1500. В другом типичном варианте реализации пегилированный липид содержит ПЭГ-2000. В другом типичном варианте реализации пегилированный липид содержит ПЭГ-2500. В другом типичном варианте реализации пегилированный липид содержит ПЭГ-3000. В другом типичном варианте реализации пегилированный липид содержит ПЭГ-3500. В другом типичном варианте реализации пегилированный липид содержит ПЭГ-4000. В другом типичном варианте реализации пегилированный липид содержит ПЭГ-4500. В другом типичном варианте реализации пегилированный липид содержит ПЭГ-5000. Свойства липида в пегилированном липиде [0060] В данной заявке предполагается, что липидный компонент указанного пегилированного липида может включать любой липид (который включает фосфолипиды), который может связываться с компонентами холестерином и непегилированным нейтральным липидом с образованием стабильной структуры липосомы. [0061] В таблице 1 представлены лишь некоторые из перечня типичных липидов, которые можно соединить с ПЭГ для применения в настоящем изобретении. [0062] В некоторых вариантах реализации липидный компонент указанного пегилированного липида представляет собой фосфолипид или липид типа соли четвертичного аммония. В некоторых вариантах реализации липидный компонент указанного пегилированного липида представляет собой фосфолипид, который является фосфатидилхолином или фосфоглицеридом. В некоторых вариантах реализации липидный компонент указанного пегилированного липида включает любую из следующих молекул: где X- представляет собой противоион щелочного металла и Y+ представляет собой противоион галогенида. [0063] В некоторых вариантах реализации липидный компонент указанного пегилированного липида содержит C10-20 алкильную цепь. В некоторых вариантах реализации липидный компонент указанного пегилированного липида содержит С2-18 алкильную цепь. В некоторых вариантах реализации липидный компонент указанного пегилированного липида содержит алкильную цепь С14, алкильную цепь С16 или алкильную цепь С18. [0064] В некоторых вариантах реализации липидный компонент указанного пегилированного липида анионный. В некоторых вариантах реализации липидный компонент указанного пегилированного липида катионный. В некоторых вариантах реализации липидный компонент указанного пегилированного липида в целом нейтрально заряжен. В некоторых вариантах реализации липидный компонент указанного пегилированного липида представляет собой цвиттер-ион. [0065] В некоторых типичных вариантах реализации липидный компонент указанного пегилированного липида представляет собой DPPC, DOPC, DLPC, DMPC, DSPC, РОРС, DSPE, DPPE или DMPE. В одном типичном варианте реализации липидный компонент указанного пегилированного липида представляет собой DSPE. В другом типичном варианте реализации липидный компонент указанного пегилированного липида представляет собой DPPE. В другом типичном варианте реализации липидный компонент указанного пегилированного липида представляет собой DMPE. [0066] В любом из вариантов реализации, описанных в данной заявке, липидный компонент указанного пегилированного липида может представлять собой DLPE. [0067] В некоторых вариантах реализации молярный процент (мол. %) пегилированного липида в липосоме находится в диапазоне от приблизительно 1 мол. % до приблизительно 25 мол. %. В некоторых вариантах реализации молярный процент (мол. %) пегилированного липида в липосоме составляет приблизительно 1 мол. %, 2 мол. %, 3 мол. %, 4 мол. %, 5 мол. %, 6 мол. %, 7 мол. %, 8 мол. %, 9 мол. %, 10 мол. %, 11 мол. %, 12 мол. %, 13 мол. %, 14 мол. %, 15 мол. %, 16 мол. %, 17 мол. %, 18 мол. %, 19 мол. %, 20 мол. %, 21 мол. %, 22 мол. %, 23 мол. %, 24 мол. % или даже приблизительно 25 мол. %. В типичном варианте реализации мол. % пегилированного липида в липосоме составляет приблизительно 5 мол. %. В другом типичном варианте реализации мол. % пегилированного липида в липосоме составляет приблизительно 10 мол. %. В другом типичном варианте реализации мол. % пегилированного липида в липосоме составляет приблизительно 15 мол. %. В другом типичном варианте реализации мол. % пегилированного липида в липосоме составляет приблизительно 20 мол. %. В другом типичном варианте реализации мол. % пегилированного липида в липосоме составляет приблизительно 25 мол. %. Типичные пегилированные липиды [0068] В некоторых вариантах реализации пегилированный липид в пегилированной липосоме представляет собой DSPE-ПЭГ-750, DSPE-ПЭГ-1000, DSPE-ПЭГ-1500, DSPE-ПЭГ-2000, DSPE-ПЭГ-2500, DSPE-ПЭГ-3000, DSPE-ПЭГ-3500, DSPE-ПЭГ-4000, DSPE-ПЭГ-4500 или DSPE-ПЭГ-5000. [0069] В некоторых вариантах реализации пегилированный липид в пегилированной липосоме представляет собой DPPE-ПЭГ-750, DPPE-ПЭГ-1000, DPPE-ПЭГ-1500, DPPE-ПЭГ-2000, DPPE-ПЭГ-2500, DPPE-ПЭГ-3000, DPPE-ПЭГ-3500, DPPE-ПЭГ-4000, DPPE-ПЭГ-4500 или DPPE-ПЭГ-5000. [0070] В некоторых вариантах реализации пегилированный липид в пегилированной липосоме представляет собой DMPE-ПЭГ-750, DMPE-ПЭГ-1000, DMPE-ПЭГ-1500, DMPE-ПЭГ-2000, DMPE-ПЭГ-2500, DMPE-ПЭГ-3000, DMPE-ПЭГ-3500, DMPE-ПЭГ-4000, DMPE-ПЭГ-4500 или DMPE-ПЭГ-5000. [0071] В некоторых вариантах реализации пегилированный липид в пегилированной липосоме представляет собой DPPC-ПЭГ-750, DPPC-ПЭГ-1000, DPPC-ПЭГ-1500, DPPC-ПЭГ-2000, DPPC-ПЭГ-2500, DPPC-ПЭГ-3000, DPPC-ПЭГ-3500, DPPC-ПЭГ-4000, DPPC-ПЭГ-4500 или DPPC-ПЭГ-5000. [0072] В некоторых вариантах реализации пегилированный липид в пегилированной липосоме представляет собой DOPC-ПЭГ-750, DOPC-ПЭГ-1000, DOPC-ПЭГ-1500, DOPC-ПЭГ-2000, DOPC-ПЭГ-2500, DOPC-ПЭГ-3000, DOPC-ПЭГ-3500, DOPC-ПЭГ-4000, DOPC-ПЭГ-4500 или DOPC-ПЭГ-5000. [0073] В некоторых вариантах реализации пегилированный липид в пегилированной липосоме представляет собой DLPC-ПЭГ-750, DLPC-ПЭГ-1000, DLPC-ПЭГ-1500, DLPC-ПЭГ-2000, DLPC-ПЭГ-2500, DLPC-ПЭГ-3000, DLPC-ПЭГ-3500, DLPC-ПЭГ-4000, DLPC-ПЭГ-4500 или DLPC-ПЭГ-5000. [0074] В некоторых вариантах реализации пегилированный липид в пегилированной липосоме представляет собой DMPC-ПЭГ-750, DMPC-ПЭГ-1000, DMPC-ПЭГ-1500, DMPC-ПЭГ-2000, DMPC-ПЭГ-2500, DMPC-ПЭГ-3000, DMPC-ПЭГ-3500, DMPC-ПЭГ-4000, DMPC-ПЭГ-4500 или DMPC-ПЭГ-5000. [0075] В некоторых вариантах реализации пегилированный липид в пегилированной липосоме представляет собой РОРС-ПЭГ-750, РОРС-ПЭГ-1000, РОРС-ПЭГ-1500, РОРС-ПЭГ-2000, РОРС-ПЭГ-2500, РОРС-ПЭГ-3000, РОРС-ПЭГ-3500, РОРС-ПЭГ-4000, РОРС-ПЭГ-4500 или РОРС-ПЭГ-5000. [0076] В некоторых вариантах реализации пегилированный липид в пегилированной липосоме представляет собой DSPC-ПЭГ-750, DSPC-ПЭГ-1000, DSPC-ПЭГ-1500, DSPC-ПЭГ-2000, DSPC-ПЭГ-2500, DSPC-ПЭГ-3000, DSPC-ПЭГ-3500, DSPC-ПЭГ-4000, DSPC-ПЭГ-4500 или DSPC-ПЭГ-5000. В. Непегилированные нейтральные липиды [0077] Пегилированные липосомы, предложенные в данной заявке, также содержат непегилированные нейтральные липиды (нейтральные липиды, не связанные с полиэтиленгликолем (ПЭГ)). В данной заявке предполагается, что компонент непегилированный нейтральный липид в липосоме включает любой нейтральный липид (который включает нейтральные фосфолипиды), который несет в целом нейтральный заряд, или представляет собой цвиттер-ион, который может связываться с компонентом пегилированный липидом с образованием стабильной структуры липосомы. [0078] В данной заявке непегилированный нейтральный липид в целом нейтрально заряжен. В некоторых вариантах реализации непегилированный нейтральный липид представляет собой цвиттер-ион. Компонент нейтральный непегилированный липид в пегилированной липосоме в некоторых вариантах реализации может сделать пегилированную липосому в целом нейтрально заряженной. [0079] В некоторых вариантах реализации компонент пегилированной липосомы непегилированный нейтральный липид содержит С10-20 алкильную цепь. В некоторых вариантах реализации компонент непегилированный нейтральный липид содержит С12-18 алкильную цепь. В некоторых вариантах реализации компонент непегилированный нейтральный липид содержит алкильную цепь С14, алкильную цепь С16 или алкильную цепь С18. [0080] В некоторых вариантах реализации непегилированный нейтральный липид представляет собой DPPC, DOPC, DLPC, DMPC, DSPC, РОРС, DPPE или DMPE. [0081] В некоторых вариантах реализации молярный процент (мол. %) непегилированного нейтрального липида в липосоме находится в диапазоне от приблизительно 45 мол. % до приблизительно 98 мол. %. В некоторых вариантах реализации молярный процент (мол. %) непегилированного нейтрального липида в липосоме составляет приблизительно 45 мол. %, 50 мол. %, 55 мол. %, 60 мол. %, 65 мол. %, 70 мол. %, 75 мол. %, 80 мол. %, 85 мол. %, 90 мол. %, 95 мол. %, или даже приблизительно 98 мол. %. В типичном варианте реализации мол. % непегилированного нейтрального липида в липосоме составляет приблизительно 45 мол. %. [0082] В типичном варианте реализации молярное соотношение между липидами непегилированным нейтральным липидом и пегилированным липидом составляет 9,8:0,8. В типичном варианте реализации молярное соотношение между липидами непегилированным нейтральным липидом и пегилированным липидом составляет 18:3. [0083] В типичном варианте реализации молярное соотношение между липидами непегилированным нейтральным липидом DPPC и пегилированным липидом DPPE-ПЭГ-2000 составляет 9,8:0,8. В типичном варианте реализации молярное соотношение между липидами непегилированным нейтральным липидом DPPC и пегилированным липидом DPPE-ПЭГ-750 составляет 9,8:0,8. В типичном варианте реализации молярное соотношение между липидами непегилированным нейтральным липидом DPPC и пегилированным липидом DPPE-ПЭГ-750 составляет 18:3. С. Холестерин [0084] Пегилированные липосомы, предложенные в данной заявке, содержат холестерин (который включает содержащие холестерин соединения). [0085] В некоторых вариантах реализации мол. % холестерина в пегилированной липосоме находится в диапазоне от приблизительно 1 мол. % до приблизительно 50 мол. %, от приблизительно 5 мол. % до приблизительно 50 мол. %, от приблизительно 10 мол. % до приблизительно 50 мол. %, от приблизительно 20 мол. % до приблизительно 50 мол. %, от приблизительно 25 мол. % до приблизительно 50 мол. %, от приблизительно 5 мол. % до приблизительно 10 мол. %, от приблизительно 5 мол. % до приблизительно 20 мол. %, от приблизительно 5 мол. % до приблизительно 25 мол. %, от приблизительно 10 мол. % до приблизительно 20 мол. %, от приблизительно 10 мол. % до приблизительно 25 мол. %, от приблизительно 20 мол. % до приблизительно 30 мол. %, от приблизительно 20 мол. % до приблизительно 40 мол. %, или даже от приблизительно 1 мол. % до приблизительно 10 мол. %. В некоторых вариантах реализации мол. % холестерина в пегилированной липосоме составляет приблизительно 50 мол. %. В некоторых вариантах реализации мол. % холестерина в пегилированной липосоме составляет приблизительно 45 мол. %. В некоторых вариантах реализации мол. % холестерина в пегилированной липосоме составляет приблизительно 40 мол. %. В некоторых вариантах реализации мол. % холестерина в пегилированной липосоме составляет приблизительно 35 мол. %. В некоторых вариантах реализации мол. % холестерина в пегилированной липосоме составляет приблизительно 30 мол. %. В некоторых вариантах реализации мол. % холестерина в пегилированной липосоме составляет приблизительно 25 мол. %. В некоторых вариантах реализации мол. % холестерина в пегилированной липосоме составляет приблизительно 20 мол. %. В некоторых вариантах реализации мол. % холестерина в пегилированной липосоме составляет приблизительно 15 мол. %. В некоторых вариантах реализации мол. % холестерина в пегилированной липосоме составляет приблизительно 10 мол. %. В некоторых вариантах реализации мол. % холестерина в пегилированной липосоме составляет приблизительно 5 мол. %. [0086] В некоторых вариантах реализации молярное соотношение между липидами холестерином, непегилированным нейтральным липидом и пегилированным липидом составляет приблизительно 5,7:9,8:0,8. В некоторых вариантах реализации молярное соотношение между липидами холестерином, непегилированным нейтральным липидом и пегилированным липидом составляет приблизительно 5,5:18:3. [0087] В некоторых вариантах реализации молярное соотношение между липидами холестерином, непегилированным нейтральным липидом DPPC и пегилированным липидом DPPE-ПЭГ-2000 составляет приблизительно 5,7:9,8:0,8. В некоторых вариантах реализации молярное соотношение между липидами холестерином, непегилированным нейтральным липидом DPPC и пегилированным липидом DPPE-ПЭГ-750 составляет приблизительно 5,7:9,8:0,8. В некоторых вариантах реализации молярное соотношение между липидами холестерином, непегилированным нейтральным липидом DPPC и пегилированный липидом DPPE-ПЭГ-750 составляет приблизительно 5,5:18:3. D. Агонисты TLR [0088] В данной заявке описано, что пегилированные липосомы, описанные в данной заявке, могут содержать один или более агонистов Toll-подобного рецептора (агонистов TLR). Toll-подобные рецепторы (TLR) включают трансмембранные рецепторы на поверхности клеток врожденной иммунной системы, которые придают способность клеткам-хозяевам на ранней фазе распознавать различные консервативные микробные молекулярные структуры, например, которые могут присутствовать в или на большом количестве инфекционных патогенов. Индукцию опосредованной TLR передачи сигнала для стимуляции запуска иммунных ответов с помощью врожденной иммунной системы можно осуществить с помощью агонистов TLR, которые вовлекают TLR на поверхности клетки. Например, липополисахарид (LPS) может представлять собой агонист TLR, действующий через TLR2 или TLR4 (Tsan и др., 2004 J. Leuk. Biol, 76:514; Tsan и др., 2004 Am. J. Physiol. Cell Phsiol, 286:C739; Lin и др., 2005 Shock 24:206); поли(инозин-цитидин) (поли(I:С)) может представлять собой агонист TLR, действующий через TLR3 (Salem и др., 2006 Vaccine 24:5119); последовательности CpG (олигодезоксинуклеотиды, содержащие неметилированный цитозин-гуанозин или "CpG" динуклеотидные мотивы, например, CpG 7909, Cooper и др., 2005 AIDS 19:1473; CpG 10101 Bayes и др. Methods Find Exp Clin Pharmacol 27:193; Vollmer и др. Expert Opinion on Biological Therapy 5:673; Vollmer и др., 2004 Antimicrob. Agents Chemother. 48:2314; Deng и др., 2004 J. Immonol, 173:5148) могут представлять собой агонисты TLR, действующие через TLR9 (Andaloussi и др., 2006 Glia 54:526; Chen и др., 2006 J. Immonol, 177:2373); пептидогликаны могут представлять собой агонист TLR2 и/или TLR6 (Soboll и др., 2006 Biol. Reprod, 75:131; Nakao и др., 2005 J. Immonol, 174:1566); 3М003 (4-амино-2-(этоксиметил)-α,α-диметил-6,7,8,9-тетрагидро-1Н-имидазо(4,5-с)хинолин-1-этанол гидрат, мол. масса 318 Да из 3М Pharmaceuticals, Сент-Пол, Миннесота, который также является источником сходных соединений 3М001 и 3М002; Gorden и др., 2005 J. Immonol, 174:1259) может представлять собой агонист TLR7 (Johansen 2005 Clin. Exp. Allerg, 35:1591) и/или агонист TLR8 (Johansen 2005); флагеллин может представлять собой агонист TLR5 (Feuillet и др., 2006 Proc. Nat. Acad. Sci. USA 103:12487); и антигены гепатита С могут действовать как агонисты TLR через TLR7 и/или TLR9 (Lee и др., 2006 Proc. Nat. Acad. Sci. USA 103:1828; Horsmans и др., 2005 Hepatol, 42:724). Известны другие агонисты TLR (например, Schirmbeck и др., 2003 J. Immonol, 171:5198), и их можно применять согласно некоторым описанным в настоящей заявке вариантам реализации. [0089] В различных вариантах реализации агонист TLR может представлять собой агонист TLR2, агонист TLR3, агонист TLR4, агонист TLR5, агонист TLR6, агонист TLR7, агонист TLR8, агонист TLR7/8, агонист TLR9, комбинации перечисленных агонистов. Агонисты TLR7/8 [0090] В данной заявке предложены агонисты TLR7/8, которые можно применять в композициях, описанных в данной заявке. В данной заявке "агонист TLR7/8" относится к агонисту, который влияет на его биологические активности посредством взаимодействия с TLR7, TLR8 или обоими. Такие биологические активности включают, но не ограничены индукцией опосредованной TLR7 и/или TLR8 передачей сигнала для усиления иммунных ответов посредством врожденной иммунной системы. В некоторых вариантах реализации TLR представляет собой имидазохинолин, содержащее имидазохинолин соединение или аминное производное имидазохинолина (см., например, патент США номер 4689338 (Gerster)), но также известны другие классы соединений (см., например, патент США номер 5446153 (Lindstrom и др.); патент США номер 6194425 (Gerster и др.); и патент США номер 6110929 (Gerster и др.); и международную публикацию номер WO 2005/079195 (Hays и др.)). [0091] В некоторых вариантах реализации агонист TLR7/8, который применяют в композициях, описанных в данной заявке, включает производное имидазохинолина, такое как описанное в Shi и др. (ACS Med. Chem. Lett., 2012, 3(6), стр. 501-504), содержание которой полностью включено в данную заявку посредством ссылки. [0092] В некоторых вариантах реализации агонист TLR7/8 включает имидазохинолин или содержащее имидазохинолин соединение. В некоторых вариантах реализации имидазохинолин представляет собой имихимод (обозначают IMQ или R837) - модификатор иммунного ответа. В некоторых вариантах реализации имидазохинолин представляет собой резихимод (R848) - лекарственное средство, которое действует как модификатор иммунного ответа (Tomai MA, Miller RL, Lipson KE, Kieper WC, Zarraga IE, Vasilakos JP (October 2007). "Resiquimod and other immune response modifiers as vaccine adjuvants". Expert Review of Vaccines 6 (5): 835-47.) В некоторых вариантах реализации агонист TLR 7/8 представляет собой CL075. [0093] Например, в некоторых вариантах реализации агонист TLR7/8 представляет собой соединение со следующей структурой формулы (I): или фармацевтически приемлемую соль указанного соединения, где: R11 выбран из группы, состоящей из водорода и C1-6 алкила, где указанный C1-6 алкил возможно содержит в качестве заместителей одну или более групп, выбранных из группы, состоящей из галогена, гидроксила и C1-6 алкоксила; R12 выбран из группы, состоящей из водорода и сложного эфира карбоновой кислоты; и R13 выбран из группы, состоящей из водорода и C1-6 алкила, где указанный C1-6 алкил возможно содержит в качестве заместителей одну или более групп, выбранных из группы, состоящей из галогена, гидроксила и C1-6 алкоксила. [0094] В некоторых вариантах реализации формулы (I) R11 представляет собой водород. В некоторых вариантах реализации R11 представляет собой C1-6 алкил. В некоторых вариантах реализации R11 представляет собой метил, этил, н-пропил или н-бутил. В некоторых вариантах реализации R11 представляет собой н-бутил. В некоторых вариантах реализации R11 представляет собой C1-6 алкил, который содержит в качестве заместителя C1-6 алкоксил. В некоторых вариантах реализации R11 представляет собой -СН2-O-СН2-СН3. [0095] В некоторых вариантах реализации формулы (I) R12 представляет собой водород. В некоторых вариантах реализации R12 представляет собой сложный эфир карбоновой кислоты. В некоторых вариантах реализации R12 представляет собой -C(O)O-C1-4 алкил. В некоторых вариантах реализации R12 представляет собой -С(O)O-СН3. [0096] В некоторых вариантах реализации формулы (I) R13 представляет собой C1-6 алкил. В некоторых вариантах реализации R13 представляет собой C2-4 алкил. В некоторых вариантах реализации R13 представляет собой -СН2-СН(СН3)2. [0097] В некоторых вариантах реализации R13 представляет собой C1-6 алкил, который содержит в качестве заместителей галоген, гидроксил или C1-6 алкоксил. В некоторых вариантах реализации R13 представляет собой C1-6 алкил, который содержит в качестве заместителя гидроксил. В некоторых вариантах реализации R13 представляет собой С2-4 алкил, который содержит в качестве заместителя гидроксил. В некоторых вариантах реализации R13 представляет собой -СН2-С(СН3)2OH. [0098] В некоторых вариантах реализации агонист TLR7/8 представляет собой соединение со следующей структурой формулы (II): или фармацевтически приемлемую соль указанного соединения, где: R11 выбран из группы, состоящей из водорода и C1-6 алкила, где указанный C1-6 алкил возможно содержит в качестве заместителей одну или более групп, выбранных из группы, состоящей из галогена, гидроксила и C1-6 алкоксила; R12 выбран из группы, состоящей из водорода и сложного эфира карбоновой кислоты; и R13a выбран из группы, состоящей из водорода и гидроксила. [0099] В некоторых вариантах реализации формулы (II) R11 представляет собой водород. В некоторых вариантах реализации R11 представляет собой C1-6 алкил. В некоторых вариантах реализации R11 представляет собой метил, этил, н-пропил или н-бутил. В некоторых вариантах реализации R11 представляет собой н-бутил. В некоторых вариантах реализации R11 представляет собой C1-6 алкил, который содержит в качестве заместителя C1-6 алкоксил. В некоторых вариантах реализации R11 представляет собой -СН2-O-СН2-СН3. [00100] В некоторых вариантах реализации формулы (II) R12 представляет собой водород. В некоторых вариантах реализации R12 представляет собой сложный эфир карбоновой кислоты. В некоторых вариантах реализации R12 представляет собой -С(O)O-С1-4алкил. В некоторых вариантах реализации R12 представляет собой -С(O)O-СН3 [00101] В некоторых вариантах реализации формулы (II) R13a представляет собой гидроксил. В некоторых вариантах реализации R13a представляет собой водород. [00102] В некоторых вариантах реализации агонист TLR7/8 представляет собой соединение со следующей структурой формулы (III): или фармацевтически приемлемую соль указанного соединения, где: R11 выбран из группы, состоящей из водорода и C1-6 алкила, где указанный C1-6 алкил возможно содержит в качестве заместителей одну или более групп, выбранных из группы, состоящей из галогена, гидроксила и C1-6 алкоксила; R12 выбран из группы, состоящей из водорода и сложного эфира карбоновой кислоты; и R13b представляет собой C1-6 алкил, возможно содержащий в качестве заместителя одну или более групп, выбранных из группы, состоящей из галогена, гидроксила, C1-6 алкоксила и ациламина. [00103] В некоторых вариантах реализации формулы (III) R11 представляет собой водород. В некоторых вариантах реализации R11 представляет собой C1-6 алкил. В некоторых вариантах реализации R11 представляет собой метил, этил, н-пропил или н-бутил. В некоторых вариантах реализации R11 представляет собой н-бутил. В некоторых вариантах реализации R11 представляет собой C1-6 алкил, который содержит в качестве заместителя C1-6 алкоксил. В некоторых вариантах реализации R11 представляет собой -CH2-O-CH2-СН3. [00104] В некоторых вариантах реализации формулы (III) R12 представляет собой водород. В некоторых вариантах реализации R12 представляет собой сложный эфир карбоновой кислоты. В некоторых вариантах реализации R12 представляет собой -С(O)O-С1-4алкил. В некоторых вариантах реализации R12 представляет собой -С(O)O-СН3. [00105] В некоторых вариантах реализации формулы (III) R13b представляет собой С2-4 алкил, который содержит в качестве заместителей ациламин. В некоторых вариантах реализации R13b представляет собой -(СН2)4-ациламин. В некоторых вариантах реализации R13b представляет собой -(CH2)4-NH-C(O)-C1-25 алкил. В некоторых вариантах реализации R13bпредставляет собой -(CH2)4-NH-C(O)-C15-25 алкил. В некоторых вариантах реализации R13b представляет собой -(CH2)4-NH-C(O)-C15-20 алкил. В некоторых вариантах реализации R13bпредставляет собой -(CH2)4-NH-C(O)-C17 алкил. [00106] В некоторых вариантах реализации агонист TLR7/8 представляет собой соединение со следующей структурой формулы (IV): или фармацевтически приемлемую соль указанного соединения, где: R10 выбран из группы, состоящей из водорода и C1-6 алкила; и R11b представляет собой С1-6 алкил, возможно содержащий в качестве заместителей одну или более групп, выбранных из группы, состоящей из галогена, гидроксила, C1-6 алкоксила и ациламина. [00107] В некоторых вариантах реализации формулы (IV) R10 представляет собой водород. В некоторых вариантах реализации R10 представляет собой C1-6 алкил. В некоторых вариантах реализации R10 представляет собой метил, этил, н-пропил или н-бутил. В некоторых вариантах реализации R10 представляет собой н-бутил. [00108] В некоторых вариантах реализации формулы (IV) R11b представляет собой C2-4 алкил, который содержит в качестве заместителя ациламин. В некоторых вариантах реализации R11b представляет собой -(СН2)4-ациламин. В некоторых вариантах реализации R11bпредставляет собой -(CH2)4-NH-C(O)-C1-25 алкил. В некоторых вариантах реализации R11b представляет собой -(CH2)4-NH-C(O)-C15-25 алкил. В некоторых вариантах реализации R11bпредставляет собой -(CH2)4-NH-C(O)-C15-20 алкил. В некоторых вариантах реализации R11b представляет собой -(CH2)4-NH-C(O)-C17 алкил. [00109] В некоторых вариантах реализации агонист TLR7/8 представляет собой соединение с любой из следующих структур или фармацевтически приемлемые соли указанных соединений: [00110] В некоторых вариантах реализации агонист TLR7/8 представляет собой соединение следующей структуры или фармацевтически приемлемые соли указанного соединения: [0111] В некоторых типичных вариантах реализации агонист TLR7/8, который применяют в композициях в данной заявке, включает N-(4-{(4-амино-2-бутил-1Н-имидазо(4,5-с)хинолин-1-ил)окси}бутил)октадеканамид) - 3М-052, описанный в патенте США номер 9242980. Агонисты TLR4 [0112] В данной заявке предложены агонисты TLR4, которые можно применять в композициях, описанных в данной заявке. В некоторых вариантах реализации агонист TLR4, который применяют в композициях в данной заявке, включает глюкопиранозил-липидный адъювант (GLA), такой как описанный в публикациях патентов США под номерами US 2007/021017, US 2009/045033, US 2010/037466 и US 2010/0310602, содержания которых полностью включены в данную заявку посредством ссылки. [0113] Например, в некоторых вариантах реализации агонист TLR4 представляет собой синтетический адъювант GLA со следующей структурой формулы (V): или фармацевтически приемлемую соль указанного соединения, где: L1, L2, L3, L4, L5 и L6 одинаковы или различны и независимо представляют собой -O-, -NH-или -(СН2)-; L7, L8, L9 и L10 одинаковы или различны и независимо отсутствуют или представляют собой -С(=O)-; Y1 представляет собой кислотную функциональную группу; Y2 и Y3 одинаковы или различны и независимо представляют собой -ОН, -SH или кислотную функциональную группу; Y4 представляет собой -ОН или -SH; R1, R3, R5 и R6 одинаковы или различны и независимо представляют собой C8-13 алкил; и R2 и R4 одинаковы или различны и независимо представляют собой С6-11 алкил. [0114] В некоторых вариантах реализации синтетической структуры GLA R1, R3, R5 и R6 представляют собой C10 алкил; и R2 и R4 представляют собой C8 алкил. В некоторых вариантах реализации R1, R3, R5 и R6 представляют собой C11 алкил; и R2 и R4 представляют собой С9 алкил. [0115] Например, в некоторых вариантах реализации агонист TLR4 представляет собой синтетический адъювант GLA со следующей структурой формулы (VI): [0116] В конкретном варианте реализации R1, R3, R5 и R6 представляют собой С11-С20 алкил; и R2 и R4 представляют собой C12-C20 алкил. [0117] В другом конкретном варианте реализации GLA отвечает описанной выше формуле, в которой R1, R3, R5 и R6 представляют собой С11 алкил; и R2 и R4 представляют собой С13 алкил. [0118] В другом конкретном варианте реализации GLA отвечает описанной выше формуле, в которой R1, R3, R5 и R6 представляют собой C10 алкил; и R2 и R4 представляют собой C8 алкил. [0119] В другом конкретном варианте реализации GLA отвечает описанной выше формуле, в которой R1, R3, R5 и R6 представляют собой С11-С20 алкил; и R2 и R4 представляют собой С9-С20 алкил. В некоторых вариантах реализации R1, R3, R5 и R6 представляют собой С11 алкил; и R2 и R4 представляют собой С9 алкил. [0120] В некоторых вариантах реализации агонист TLR4 представляет собой синтетический адъювант GLA со следующей структурой формулы (VII): [0121] В некоторых вариантах реализации описанной выше структуры GLA R1, R3, R5 и R6 представляют собой С11-С20 алкил; и R2 и R4 представляют собой С9-С20 алкил. В некоторых вариантах реализации R1, R3, R5 и R6 представляют собой C11 алкил; и R2 и R4 представляют собой С9 алкил. [0122] В некоторых вариантах реализации агонист TLR4 представляет собой синтетический адъювант GLA со следующей структурой формулы (VIII): [0123] В некоторых вариантах реализации описанной выше структуры GLA R1, R3, R5 и R6 представляют собой С11-С20 алкил; и R2 и R4 представляют собой С9-С20 алкил. В некоторых вариантах реализации R1, R3, R5 и R6 представляют собой C11 алкил; и R2 и R4 представляют собой С9 алкил. [0124] В некоторых вариантах реализации агонист TLR4 представляет собой синтетический адъювант GLA со следующей структурой формулы (IX): [0125] В некоторых вариантах реализации описанной выше структуры GLA R1, R3, R5 и R6 представляют собой С11-С20 алкил; и R2 и R4 представляют собой С9-С20 алкил. В некоторых вариантах реализации R1, R, R5 и R6 представляют собой С11 алкил; и R2 и R4 представляют собой С9 алкил. [0126] В некоторых вариантах реализации агонист TLR4 представляет собой синтетический адъювант GLA со следующей структурой: [0127] В некоторых вариантах реализации агонист TLR4 представляет собой синтетический адъювант GLA со следующей структурой: [0128] В некоторых вариантах реализации агонист TLR4 представляет собой синтетический адъювант GLA со следующей структурой: [0129] В другом варианте реализации аттенуированное производное липида A (ALD) входит в состав композиций, описанных в данной заявке. ALD представляют собой подобные липиду А молекулы, которые изменили или сконструировали таким образом, что полученная молекула вызывает меньшие или отличные от таковых для липида А нежелательные явления. Данные нежелательные явления включают пирогенность, местные реакции Шварцмана и токсичность, которую оценивают в анализе 50% летальной дозы для куриных эмбрионов (CELD50). ALD, пригодные согласно настоящему описанию, включают монофосфорил-липид A (MPL) и 3-деацилированный монофосфорил-липид A (3D-MPL). MPL и 3D-MPL известны, и нет необходимости их подробно описывать в данной заявке. См., например, патент США номер 4436727, в котором описан монофосфорил-липид А и его производство. В патенте США номер 4912094 и свидетельстве о произведенной повторной экспертизе на патентоспособность В1 патента США номер 4912094 описан 3-деацилированный монофосфорил-липид А и способ его производства. Также см., например, GB 2220211 и WO 92/116556. 3-де-O-ацилированный монофосфорил-липид А известен из GB 2220211 (Ribi). Химически он представляет собой смесь 3-де-O-ацилированного монофосфорил-липида А с 4, 5 или 6 агитированными цепями, и его производит Ribi Immunochem Montana. Одна форма 3-де-O-ацилированного монофосфорил-липида А описана в заявке на международный патент № WO 92/116556. Описания каждого из данных патентов в отношении MPL и 3D-MPL включены в данную заявку посредством ссылки. [0130] В описанных выше соединениях агониста TLR4 общий заряд можно определить по функциональным группам в молекуле. Например, фосфатная группа может быть отрицательно заряженной или нейтральной в зависимости от ионизированного состояния фосфатной группы. Типичные варианты реализации с агонистом TLR [0131] В некоторых вариантах реализации агонист TLR связывается с липидным бислоем пегилированной липосомы. [0132] В некоторых вариантах реализации агонист TLR заключен в пегилированную липосому. [0133] В некоторых вариантах реализации агонист TLR представляет собой такой агонист, который нарушит структуру непегилированной липосомы. [0134] В некоторых вариантах реализации агонист TLR содержит гидрофобный хвост. В некоторых вариантах реализации гидрофобный хвост агониста TLR связывается с липидным бислоем пегилированной липосомы. [0135] В некоторых вариантах реализации агонист TLR включает TLR4, SLA, GLA, MPL, 3D-MPL, R848, R837 или их комбинации. [0136] В некоторых вариантах реализации агонист TLR включает агонист TLR4. [0137] В некоторых вариантах реализации агонист TLR включает агонист TLR7/8. [0138] В некоторых вариантах реализации агонист TLR включает агонист TLR7. [0139] В некоторых вариантах реализации агонист TLR включает агонист TLR8. [0140] В некоторых вариантах реализации агонист TLR включает имидазохинолин. [0141] В некоторых вариантах реализации агонист TLR включает 3М-052. [0142] В некоторых вариантах реализации агониет TLR включает комбинацию агониста TLR4 и агониста TLR 7/8. В некоторых вариантах реализации пегилированная липосома содержит 3М-052 и GLA. Е. Агенты [0143] Пегилированные липосомы, предложенные в данной заявке, могут дополнительно содержать один или более агентов, при этом указанный агент может представлять собой полипептид, полинуклеотид, антиген, адъювант, диагностический агент, терапевтический агент, организм, геном или вирус. В некоторых вариантах реализации пегилированная липосома содержит два или более агентов. [0144] В некоторых вариантах реализации агент связан с пегилированной липосомой. В некоторых вариантах реализации агент связан с пегилированной липосомой путем обмена лигандами и/или путем электростатического (на основе заряда) взаимодействия. [0145] В некоторых вариантах реализации агент может составлять приблизительно от 0,01 до 1% от массы пегилированной липосомы. Полипептиды [0146] В некоторых вариантах реализации агент представляет собой полипептид. В некоторых вариантах реализации полипептид представляет собой полноразмерный белок или его фрагмент. В некоторых вариантах реализации полипептид представляет собой пептид. В некоторых вариантах реализации полипептид представляет собой слитый белок. В некоторых конкретных вариантах реализации слитый белок способен вызывать иммунный ответ после введения индивиду. В некоторых вариантах реализации полипептид представляет собой антиген, дополнительно описанный ниже. Антигены [0147] В одном варианте реализации агент включает антиген. [0148] В некоторых вариантах реализации полипептидный антиген вовлечен или получен из аллергии, рака или инфекционного заболевания. [0149] В некоторых вариантах реализации композиции, описанные в данной заявке, пригодны для целей вакцинации и предложены в виде вакцинных составов (вакцинных композиций). [0150] Антиген может представлять собой любой целевой эпитоп, молекулу (включая биомолекулу), молекулярный комплекс (включая молекулярные комплексы, которые содержат биомолекулы), субклеточный комплекс, клетку или ткань, против которых необходимо вызвать или усилить иммунореактивность у субъекта. Часто, термин антиген будет относиться к интересующему полипептидному антигену. Тем не менее, антиген в данной заявке также может относиться к рекомбинантной конструкции, которая кодирует интересующий полипептидный антиген (например, экспрессионной конструкции). В некоторых вариантах реализации антиген может представлять собой, или его можно получить, или он может вступать в иммунологические перекрестные реакции с инфекционным патогеном и/или эпитопом, биомолекулой, клеткой или тканью, которые связаны с инфекцией, раком, аутоиммунным заболеванием, аллергией, астмой или любым другим состоянием, при котором будет желательна или полезна стимуляция антиген-специфического иммунного ответа. [0151] В некоторых вариантах реализации предложен антиген, который получен из по меньшей мере одного инфекционного патогена, такого как бактерия, вирус или гриб, включая актинобактерию, такую как М. tuberculosis или М. leprae или другую микобактерию; такую бактерию как представитель рода сальмонелл, нейссерий, боррелий, хламидий или бордетелл; вирус, такой как вирус простого герпеса, вирус иммунодефицита человека (ВИЧ), вирус иммунодефицита кошек (FIV), цитомегаловирус, вирус варицелла-зостер, вирус гепатита, вирус Эпштейна-Барр (EBV), респираторно-синцитиальный вирус, вирус папилломы человека (HPV) и цитомегаловирус; ВИЧ, такой как ВИЧ-1 или ВИЧ-2; гриб, такой как аспергилл, бластомицеты, кокцидиоиды и пневмоцисты, или дрожжи, включая виды кандида, такие как С. albicans, С. glabrata, С. krusei, С. lusitaniae, С. tropicalis и С. parapsilosis; паразит, такой как простейшее, например, виды плазмодиев, включая Р. falciparum, P. vivax, P. malariae и P. ovale; или другой паразит, такой как один или более из Acanthamoeba, Entamoeba histolytica, Angiostrongylus, Schistosoma mansonii, Schistosoma haematobium, Schistosoma japonicum, Cryptosporidium, Ancylostoma, Entamoeba histolytica, Entamoeba coli, Entamoeba dispar, Entamoeba hartmanni, Entamoeba polecki, Wuchereria bancrofti, лямблии и лейшмании. В конкретных вариантах реализации антиген может быть получен из антигенов или связен с антигенами, вовлеченными в туберкулез, грипп, амебиаз, ВИЧ, гепатит или лейшманиоз. [0152] В некоторых вариантах реализации антиген представляет собой связанный с амебиазом антиген. В некоторых вариантах реализации антиген представляет собой вызывающий амебиаз антиген. В некоторых вариантах реализации антиген получен из вызывающего амебиаз организма. В некоторых вариантах реализации антиген получен из Entamoeba histolytica. В одном варианте реализации антиген включает LecA. В одном варианте реализации антиген представляет собой LecA. [0153] В некоторых вариантах реализации антиген представляет собой связанный с гриппом антиген. В некоторых вариантах реализации антиген представляет собой вызывающий грипп антиген. В некоторых вариантах реализации антиген получен из вызывающего грипп вируса. В одном варианте реализации антиген включает H5N1. В одном варианте реализации антиген включает H5N1. [0154] Например, в некоторых вариантах реализации антигены получены из Borrelia sp., указанные антигены могут включать нуклеиновую кислоту, полученный из патогена антиген или антигенные препараты, рекомбинантно полученный белок или пептиды и химерные слитые белки. Одним таким антигеном является OspA. OspA может представлять собой полностью зрелый белок в липидированной форме благодаря его биосинтезу в клетке-хозяине (Lipo-OspA) или, в качестве альтернативы, может представлять собой нелипидированное производное. Такие нелипидированные производные включают нелипидированный слитый белок NS1-OspA, который содержит первую 81 N-концевую аминокислоту неструктурного белка (NS1) вируса гриппа и полноразмерный белок OspA, и другой белок MDP-OspA представляет собой нелипидированную форму OspA, несущую 3 дополнительные N-концевые аминокислоты. [0155] В некоторых вариантах реализации антиген получен из вируса, такого как ВИЧ-1 (такой как tat, nef, gp120 или gp160), вирусы герпеса человека, такой как gD или его производные или немедленно ранний белок, такой как ICP27 из HSV1 или HSV2, цитомегаловирус (особенно, человека) (такой как gB или его производные), ротавирус (включая живые аттенуированные вирусы), вирус Эпштейна-Барр (такой как gp350 или его производные), вирус варицелла-зостер (такой как gpI, II и IE63), или из вируса гепатита, такого как вирус гепатита В (например, поверхностный антиген вируса гепатита В или его производное), вирус гепатита А, вирус гепатита С и вирус гепатита Е, или из других вирусных патогенов, таких как парамиксовирусы: респираторно-синцитиальный вирус (такой как F- и G-белки или их производные), вирус парагриппа, вирус кори, вирус свинки, вирусы папилломы человека (например, HPV6, 11, 16, 18 и т.д.), флавивирусы (например, вирус желтой лихорадки, вирус денге, вирус клещевого энцефалита, вирус японского энцефалита) или вирус гриппа (целый живой или инактивированный вирус, расщепленный вирус гриппа, выращенный в яйцах или клетках MDCK, или целые виросомы вируса гриппа (описанные в Gluck, Vaccine, 1992, 10, 915-920) или очищенные или рекомбинантные белки из них, такие как белки ГА, NP, NA или М, или их комбинации). [0156] В некоторых других вариантах реализации антиген получен из одного или более бактериальных патогенов, таких как Neisseria spp, включая N. gonorrhea и N. meningitidis (например, капсульные полисахариды и их конъюгаты, связывающие трансферрин белки, связывающие лактоферрин белки, РИС, адгезины); S. pyogenes (например, белки М или их фрагменты, протеаза С5А, липотейхоевые кислоты), S. agalactiae, S. mutans: Н. ducreyi; Moraxella spp, включая M. catarrhalis, также известную как Branhamella catarrhalis (например, высоко- и низкомолекулярные адгезины и инвазины); Bordetella spp, включая В. pertussis (например, пертактин, коклюшный токсин или его производные, филаментный гемагглютинин, аденилатциклаза, фимбрии), В. parapertussis и В. bronchiseptica; Mycobacterium spp., включая М. tuberculosis (например, ESAT6, антиген 85А, -В или -С), М. bovis, М. leprae, М. avium, М. paratuberculosis, М. smegmatis; Legionella spp, включая L. pneumophila; Escherichia spp, включая энтеротоксическую E. coli (например, факторы колонизации, термолабильный токсин или его производные, термостабильный токсин или его производные), энтерогеморрагическую Е. coli, энтеропатогенную Е. coli (например, токсин, подобный шига-токсину, или его производные); Vibrio spp, включая V. cholera (например, холерный токсин или его производные); Shigella spp, включая S. sonnei, S. dysenteriae, S. flexnerii; Yersinia spp, включая Y. enterocolitica (например, белок Yop), Y. pestis, Y. pseudotuberculosis; Campylobacter spp, включая С. jejuni (например, токсины, адгезины и инвазины) и С. coli; Salmonella spp, включая S. typhi, S. paratyphi, S. choleraesuis, S. enteritidis; Listeria spp., включая L. monocytogenes; Helicobacter spp, включая H. pylori (например, уреаза, каталаза, вакуолизирующий токсин); Pseudomonas spp, включая P. aeruginosa; Staphylococcus spp., включая S. aureus, S. epidermidis; Enterococcus spp., включая E. faecalis, E. faecium; Clostridium spp., включая С. tetani (например, столбнячный токсин и его производное), С. botulinum (например, ботулинический токсин и его производное), С. difficile (например, токсины клостридий А или В и их производные); Bacillus spp., включая В. anthracis (например, ботулинический токсин и его производные); Corynebacterium spp., включая С. diphtheriae (например, дифтерийный токсин и его производные); Borrelia spp., включая В. burgdorferi (например, OspA, OspC, DbpA, DbpB), В. garinii (например, OspA, OspC, DbpA, DbpB), B. afzelii (например, OspA, OspC, DbpA, DbpB), B. andersonii (например, OspA, OspC, DbpA, DbpB), B. hermsii; Ehrlichia spp., включая E. equi и агент гранулоцитарного эрлихиоза человека; Rickettsia spp, включая R. rickettsii; chlamydia spp. включая С. trachomatis (например, MOMP, связывающие гепарин белки), С. pneumoniae (например, МОМР, связывающие гепарин белки), С. psittaci; Leptospira spp., включая L. interrogans; Treponema spp., включая Т. pallidum (например, редкие белки наружной мембраны), Т. denticola, Т. hyodysenteriae; или другие бактериальные патогены. [0157] В некоторых других вариантах реализации антиген получен из одного или более паразитов (см., например, John, D.T. и Petri, W.A., Markell and Voge's Medical Parasitology-9ое изд., 2006, WB Saunders, Филадельфия; Bowman, D.D., Georgis' Parasitology for Veterinarians, 8oe изд., 2002, WB Saunders, Филадельфия), таких как Plasmodium spp., включая P. falciparum; Toxoplasma spp., включая Т. gondii (например, SAG2, SAG3, Tg34); Entamoeba spp., включая E. histolytica; Babesia spp., включая В. microti; Trypanosoma spp., включая Т. cruzi; Giardia spp., включая G. lamblia; Leshmania spp., включая L. major; Pneumocysts spp., включая P. carinii; Trichomonas spp., включая Т. vaginalis; или из гельминта, способного инфицировать млекопитающего, например, при инфекции: (i) нематодами (включая, но не ограничиваясь перечисленными: Enterobius vermicularis, Ascaris lumbricoides, Trichuris trichuria, Necator americanus, Ancylostoma duodenale, Wuchereria bancrofti, Brugia malayi, Onchocerca volvulus, Dracanculus medinensis, Trichinella spiralis и Strongyloides stercoralis); (ii) трематодами (включая, но не ограничиваясь перечисленными: Schistosoma mansoni, Schistosoma haematobium, Schistosoma japonicum, Schistosoma mekongi, Opisthorchis sinensis, Paragonimus sp, Fasciola hepatica, Fasciola magna, Fasciola gigantica); и (iii) цестодами (включая, но не ограничиваясь перечисленными: Taenia saginata и Taenia solium). В некоторых вариантах реализации антиген получен из Schisostoma spp., Schistosoma mansonii, Schistosoma haematobium и/или Schistosoma japonicum, или получен из дрожжей, таких как Candida spp., включая С. albicans; Cryptococcus spp., включая С. neoformans. [0158] Другие специфические антигены получают из М. tuberculosis, например, Th Ra12, Tb Н9, Tb Ra35, Tb38-1, Erd 14, DPV, MTI, MSL, mTTC2 и hTCC1 (WO 99/51748). Белки из M. tuberculosis также включают слитые белки и их варианты, в которых по меньшей мере два, три, или четыре или более полипептидов М. tuberculosis соединили в белок большего размера. Некоторые слитые белки включают Ra12-TbH9-Ra35, Erd14-DPV-MTI, DPV-MTI-MSL, Erd14DPV-MTI-MSL-mTCC2, Erd14-DPV-MTI-MSL, DPV-MTI-MSL-mTCC2, TbH9-DPV-MTI (WO 99151748). Другие антигены, которые можно применять, включают антигены, комбинацию антигенов и слитые белки, описанные в US 2010/0129391 и WO 2008/124647. В одном типичном варианте реализации указанный слитый белок представляет собой ID93. В одном типичном варианте реализации слитый белок представляет собой ID91. [0159] Другие специфические антигены получают из хламидий, и они включают, например, высокомолекулярный белок HWMP (WO 99/17741), ORF3 (ЕР 366412) и предполагаемые мембранные белки (Pmps). Другие антигены хламидий можно выбрать из группы, описанной в WO 99128475. Некоторые антигены можно получить из Streptococcus spp, включая S. pneumoniae (например, капсульные полисахариды и их конъюгаты, PsaA, PspA, стрептолизин, связывающие холин белки и белковый антиген пневмолизин (Biochem Biophys Acta, 1989, 67, 1007; Rubins и др., Microbial Pathogenesis, 25, 337-342), и его мутантные детоксифицированные производные (WO 90/06951; WO 99/03884). Другие бактериальные вакцины содержат антигены, полученные из Haemophilus spp., включая Н. influenzae типа В (например, PRP и его конъюгаты), нетипируемый Н. influenzae, например, ОМР26, высокомолекулярные адгезины, Р5, Р6, белок D и липопротеин D, и фимбрин и полученные из фимбрина пептиды (патент США №5843464) или их многокопийные варианты или слитые белки. [0160] Другие специфические антигены получают из гепатита В. Производные поверхностного антигена гепатита В хорошо известны в данной области и включают, среди прочего, антигены PreS1, Pars2 S, описанный в заявках на европейский патент ЕР-А414 374; ЕР-А-0304 578 и ЕР 198474. В одном аспекте антиген представляет собой gp120 из ВИЧ-1, особенно при экспрессии в клетках СНО. В дополнительном варианте реализации антиген представляет собой gD2t. [0161] В других вариантах реализации антиген получают из вируса папилломы человека (HPV), который считают вызывающим генитальные бородавки (HPV 6 или HPV 11 и другие), и вирусов HPV, вызывающих рак шейки матки (HPV16, HPV18 и другие). Конкретные антигены включают частицы L1 или капсомеры и слитые белки, содержащие один или более антигенов, выбранных из белков Е6, Е7, L1 и L2 HPV 6 и HPV 11. Некоторые формы слитого белка включают L2E7, описанный в WO 96/26277, и белок D(1/3)-E7, описанный в GB 9717953.5 (РСТ/ЕР 98/05285). Дополнительные возможные антигены включают антигены из HPV 16 или 18. Например, мономеры антигена L1 или L2, или антигены L1 или L2, представленные вместе в виде подобной вирусу частицы (VLP), или отдельный белок L1, представленный отдельно в структуре VLP или капсомера. Такие антигены, подобные вирусам частицы и капсомер по существу известны. См., например, WO 94/00152, WO 94/20137, WO 94/05792 и WO 93/02184. [0162] В других вариантах реализации антиген представляет собой слитый белок. Слитые белки можно включать в состав VLP отдельно или в виде слитых белков, таких как Е7, Е2 или F5, например; в конкретных вариантах реализации предложена VLP, содержащая слитые белки L1E7 (WO 96/11272). Конкретные антигены HPV 16 включают ранние белки Е6 или F7, слитые с носителем - белком D с образованием слитого белка D-E6 или Е7 из HPV 16, или их комбинации; или комбинации Е6 или Е7 с L2 (WO 96/26277). В качестве альтернативы ранние белки Е6 и Е7 HPV 16 или 18 могут присутствовать в одной молекуле, например, слитом белке D-E6/E7. Композиции могут необязательно содержать любой или оба белка Е6 и Е7 из HPV 18, например, в виде слитого белка D-E6 или D-E7 или слитого белка D-E6/E7. Композиции могут дополнительно содержать антигены из других штаммов HPV, например, из штаммов HPV 31 или 33. [0163] Антигены также можно получить из паразитов, которые вызывают малярию. Например, антигены из Plasmodia falciparum включают RTS,S и TRAP. RTS представляет собой гибридный белок, содержащий по существу полноразмерную С-концевую часть белка циркумспорозоита (CS) Р. falciparum, связанную посредством четырех аминокислот части preS2 поверхностного антигена гепатита В с поверхностным (S) антигеном вируса гепатита В. Его полноразмерная структура описана в заявке на международный патент № РСТ/ЕР 92/02591, опубликованной как WO 93/10152, испрашивающей приоритет на основании заявки на патент Великобритании №9124390.7. Когда RTS экспрессируют в дрожжах, его получают в виде липопротеиновой частицы, и когда его экспрессируют совместно с антигеном S из HBV, то получают смешанную частицу, известную как RTS.S. [0164] Антигены TRAP описаны в заявке на международный патент № PCT/GB 89/00895, опубликованной как WO 90/01496. В некотором варианте реализации настоящего изобретения предложена вакцина от малярии, в которой антигенная композиция содержит комбинацию антигенов RTS,S и TRAP. Другие антигены плазмодий, которые являются вероятными кандидатами в компоненты многоступенчатой вакцины от малярии, представляют собой MSP1, АМА1, MSP3, ЕВА, GLURP, RAP1, RAP2, секвестрин, PfEMP1, Pf332, LSA1, LSA3, STARP, SALSA, PfEXP1, Pfs25, Pfs28, PFS27125, Pfs16, Pfs48/45, Pfs230 из P. faciparum и их аналоги в Plasmodium spp. [0165] В одном варианте реализации антиген получен из клетки рака, что может быть полезно для иммунотерапевтического лечения рака. Например, антиген может представлять собой антиген отторжения опухоли, такой как рак предстательной железы, молочной железы, колоректальный рак, рак легкого, рак поджелудочной железы, рак почки или меланома. Примеры полученных из рака или клетки рака антигенов включают MAGE 1, 3 и MAGE 4 или другие антигены MAGE, такие как описанные в WO 99/40188, PRAME, BAGE, Lage (также известный как NY Eos 1), SAGE и HAGE (WO 99/53061) или GAGE (Robbins и Kawakami, 1996 Current Opinions in Immunology 8, стр. 628-636; Van den Eynde и др., International Journal of Clinical & Laboratory Research (1997 и 1998); Correale и др. (1997), Journal of the National Cancer Institute 89, стр. 293). Данные лишь некоторые из примеров раковых антигенов экспрессируются в широком диапазоне типов опухолей, таких как меланома, карцинома легкого, саркома и карцинома мочевого пузыря. См., например, патент США №6544518. [0166] Другие опухолеспецифические антигены включают, но не ограничены опухолеспецифическими или связанными с опухолью ганглиозидами, такими как GM2 и GM3 или их конъюгатами с белками-носителями; или аутологичным пептидным гормоном, таким как полноразмерный гонадотропин-высвобождающий гормон (GnRH, WO 95/20600) - короткий пептид длиной 10 аминокислот, пригодный для лечения многих видов рака. В другом варианте реализации используют антигены предстательной железы, такие как простатический специфический антиген (ПСА), простатическая кислая фосфатаза (ПКФ), антиген стволовых клеток предстательной железы (АСКП) (например, Proc. Nat. Acad. Sci. USA 95(4) 1735-1740 1998), простатический специфический мембранный антиген (ПСМА) или, в одном варианте реализации, антиген, известный как простаза (например, Nelson, и др., Proc. Natl. Acad. Sci. USA (1999) 96: 3114-3119; Ferguson, и др. Proc. Natl. Acad. Sci. USA 1999. 96, 3114-3119; WO 98/12302; патент США номер 5955306; WO 98/20117; патенты США номер 5840871 и 5786148; WO 00/04149. Другие простатические специфические антигены известны из WO 98/137418 и WO/004149. Еще один антиген представляет собой эпителиальный антиген простаты с шестью трансмембранными доменами (ШТЭАП) (PNAS 96 14523 14528 7-12 1999). [0167] Другие опухолеассоциированные антигены, пригодные в контексте настоящего изобретения, включают: Plu-1 (J Biol. Chem 274 (22) 15633-15645, 1999), HASH-1, HasH-2, крипто (cripto) (Salomon и др. Bioessays 199, 21: 61-70, патент США номер 5654140) и криптин (criptin) (патент США №5981215). Кроме того, антигены, особенно подходящие для вакцин для терапии рака, также включают тирозиназу и сурвивин. [0168] В других вариантах реализации агенты, применяемые в композициях согласно настоящему изобретению, включают антигены, связанные с респираторными заболеваниями, такими как заболевания, вызванные или обостренные бактериальной инфекцией (например, пневмококковой), для профилактики и терапии таких состояний, как хроническая обструктивная болезнь легких (ХОБЛ). ХОБЛ определяют физиологически по наличию необратимой или частично обратимой обструкции дыхательных путей у пациентов с хроническим бронхитом и/или эмфиземой (Am J Respir Crit Care Med. 1995, ноябрь; 152(5 Pt 2): S77-121). Обострения ХОБЛ часто вызываются бактериальной (например, пневмококковой) инфекцией (Clin Microbiol Rev. 2001, апрель; 14(2): 336-63). Полинуклеотиды. [0169] В некоторых вариантах реализации агент представляет собой полинуклеотид. Полинуклеотид включает, но не ограничен ДНК, РНК, аптамером и олигонуклеотидом. В некоторых вариантах реализации полинуклеотид представляет собой ДНК. В некоторых вариантах реализации полинуклеотид представляет собой РНК. В некоторых вариантах реализации ДНК или РНК одноцепочечная или двухцепочечная. В некоторых вариантах реализации полинуклеотид представляет собой некодирующую РНК. В некоторых вариантах реализации полинуклеотид представляет собой кодирующую РНК. В некоторых вариантах реализации РНК выбрана из группы, состоящей из репликона РНК, мРНК, тРНК, миРНК, кшРНК и микроРНК. [0170] В некоторых вариантах реализации полинуклеотид кодирует полипептид. В некоторых вариантах реализации полинуклеотид кодирует полипептид, который представляет собой антиген или содержит антиген. В некоторых вариантах реализации полипептид, кодируемый указанным полинуклеотидом, представляет собой слитый белок. В некоторых вариантах реализации полипептид, кодируемый указанным полинуклеотидом, представляет собой LecA. В некоторых вариантах реализации полипептид, кодируемый указанным полинуклеотидом, представляет собой H5N1. В некоторых вариантах реализации полипептид, кодируемый указанным полинуклеотидом, представляет собой ID93. [0171] В некоторых вариантах реализации полинуклеотид представляет собой репликон. В некоторых вариантах реализации репликон представляет собой плазмиду, космиду, бакмиду, фаг или вирус, который способен реплицироваться, по большей части, под собственным контролем. В некоторых вариантах реализации репликон представляет собой РНК или ДНК. В некоторых вариантах реализации репликон является одноцепочечным или двухцепочечным. В некоторых вариантах реализации репликон получен из РНК-вируса. Адъюванты [0172] В некоторых вариантах реализации пегилированные липосомы, предложенные в данной заявке, дополнительно содержат адъювант или их можно вводить вместе с коадъювантом. В некоторых вариантах реализации адъювант выбран из группы, состоящей из ретиноевой кислоты (РК), AS-2, монофосфорил-липида А, 3-де-О-ацилированного монофосфорил-липида A, IFA, QS21, CWS, ТОМ, AGP, содержащих CpG олигонуклеотидов, агонистов Toll-подобного рецептора (TLR), Leif, сапонинов, миметиков сапонинов, биологического и синтетического липида А, имихимода, гардихимода, резиквимода, поли(I:С), флагеллина, GLA, SLA, стингина (stingin) и комбинаций перечисленных адъювантов. Организмы [0173] В некоторых вариантах реализации пегилированные липосомы, предложенные в данной заявке, содержат организм. Например, Entamoeba histolytica, вызывающий грипп вирус или бактерию Mycobacterium tuberculosis, которая вызывает туберкулез (ТБ). На сегодняшний день, вакцинация живыми бактериями является наиболее эффективным способом индукции защитного иммунитета против туберкулеза. Наиболее распространенной микобактерией, используемой для данной цели, является бацилла Кальмета-Герена (BCG) - авирулентный штамм Mycobacterium bovis. Таким образом, в некоторых вариантах реализации композиция содержит пегилированную липосому и микобактерию. [0174] В некоторых вариантах реализации агент представляет собой вирус или геном вируса. Таким образом, в данных вариантах реализации пегилированные липосомы содержат вирус или геном вируса. F. Типичные пегилированные липосомы. [0175] В некоторых вариантах реализации молярное соотношение между липидами непегилированный нейтральный липид : холестерин : пегилированный липид в пегилированной липосоме согласно настоящему изобретению составляет приблизительно 9,8:5,7:0,8. [0176] В некоторых вариантах реализации молярное соотношение между липидами непегилированный нейтральный липид:холестерин:пегилированный липид в пегилированной липосоме согласно настоящему изобретению составляет приблизительно 18:5,5:3. [0177] В некоторых вариантах реализации молярное соотношение между липидами непегилированный нейтральный липид ОРРС : холестерин : пегилированный липид DPPE-ПЭГ-750 в пегилированной липосоме согласно настоящему изобретению составляет приблизительно 9,8:5,7:0,8. [0178] В некоторых вариантах реализации молярное соотношение между липидами непегилированный нейтральный липид ОРРС : холестерин : пегилированный липид DPPE-ПЭГ-2000 в пегилированной липосоме согласно настоящему изобретению составляет приблизительно 9,8:5,7:0,8. [0179] В некоторых вариантах реализации молярное соотношение между липидами непегилированный нейтральный липид ОРРС : холестерин : пегилированный липид DPPE-ПЭГ-750 в пегилированной липосоме согласно настоящему изобретению составляет приблизительно 18:5,5:3. [0180] В некоторых вариантах пегилированная липосома содержит GLA, холестерин, непегилированный нейтральный липид и пегилированный липид, при этом компонент ПЭГ представляет собой ПЭГ-2000. [0181] В некоторых вариантах пегилированная липосома содержит GLA, холестерин, непегилированный нейтральный липид и пегилированный липид, при этом компонент ПЭГ представляет собой ПЭГ-750. [0182] В некоторых вариантах пегилированная липосома содержит антиген LecA, GLA, холестерин, непегилированный нейтральный липид и пегилированный липид, при этом компонент ПЭГ представляет собой ПЭГ-2000. [0183] В некоторых вариантах реализации пегилированная липосома содержит антиген LecA, GLA, холестерин, непегилированный нейтральный липид и пегилированный липид, при этом компонент ПЭГ представляет собой ПЭГ-750. [0184] В некоторых вариантах пегилированная липосома содержит антиген H5N1, GLA, холестерин, непегилированный нейтральный липид и пегилированный липид, при этом компонент ПЭГ представляет собой ПЭГ-2000. [0185] В некоторых вариантах реализации пегилированная липосома содержит антиген H5N1, GLA, холестерин, непегилированный нейтральный липид и пегилированный липид, при этом компонент ПЭГ представляет собой ПЭГ-750. [0186] В некоторых вариантах пегилированная липосома содержит антиген ID93, GLA, холестерин, непегилированный нейтральный липид и пегилированный липид, при этом компонент ПЭГ представляет собой ПЭГ-2000. [0187] В некоторых вариантах реализации пегилированная липосома содержит антиген ID93, GLA, холестерин, непегилированный нейтральный липид и пегилированный липид, при этом компонент ПЭГ представляет собой ПЭГ-750. [0188] В некоторых вариантах пегилированная липосома содержит антиген ID91, GLA, холестерин, непегилированный нейтральный липид и пегилированный липид, при этом компонент ПЭГ представляет собой ПЭГ-2000. [0189] В некоторых вариантах реализации пегилированная липосома содержит антиген ID91, GLA, холестерин, непегилированный нейтральный липид и пегилированный липид, при этом компонент ПЭГ представляет собой ПЭГ-750. [0190] В некоторых вариантах пегилированная липосома содержит 3М-052, холестерин, непегилированный нейтральный липид и пегилированный липид, при этом компонент ПЭГ представляет собой ПЭГ-2000. [0191] В некоторых вариантах пегилированная липосома содержит 3М-052, холестерин, непегилированный нейтральный липид и пегилированный липид, при этом компонент ПЭГ представляет собой ПЭГ 750. [0192] В некоторых вариантах пегилированная липосома содержит 3М-052 и GLA, холестерин, непегилированный нейтральный липид и пегилированный липид, при этом компонент ПЭГ представляет собой ПЭГ-2000. [0193] В некоторых вариантах пегилированная липосома содержит 3М-052 и GLA, холестерин, непегилированный нейтральный липид и пегилированный липид, при этом компонент ПЭГ представляет собой ПЭГ-750. [0194] В некоторых вариантах пегилированная липосома содержит антиген LecA, 3М-052 и GLA, холестерин, непегилированный нейтральный липид и пегилированный липид, при этом компонент ПЭГ представляет собой ПЭГ-2000. [0195] В некоторых вариантах пегилированная липосома содержит антиген LecA, 3М-052 и GLA, холестерин, непегилированный нейтральный липид и пегилированный липид, при этом компонент ПЭГ представляет собой ПЭГ-750. [0196] В некоторых вариантах пегилированная липосома содержит антиген H5N1, 3М-052 и GLA, холестерин, непегилированный нейтральный липид и пегилированный липид, при этом компонент ПЭГ представляет собой ПЭГ-2000. [0197] В некоторых вариантах пегилированная липосома содержит антиген H5N1, 3М-052 и GLA, холестерин, непегилированный нейтральный липид и пегилированный липид, при этом компонент ПЭГ представляет собой ПЭГ-750. [0198] В некоторых вариантах пегилированная липосома содержит связанный с туберкулезом антиген, связанный с ВИЧ антиген, связанный с раком антиген, связанный с амебиазом антиген, связанный с гриппом антиген или связанный с гепатитом антиген, агонист TLR, холестерин, непегилированный нейтральный липид и пегилированный липид, при этом компонент ПЭГ представляет собой ПЭГ-2000. [0199] В некоторых вариантах пегилированная липосома содержит связанный с туберкулезом антиген, связанный с ВИЧ антиген, связанный с раком антиген, связанный с амебиазом антиген, связанный с гриппом антиген или связанный с гепатитом антиген, агонист TLR, холестерин, непегилированный нейтральный липид и пегилированный липид, при этом компонент ПЭГ представляет собой ПЭГ-750. [0200] В некоторых вариантах пегилированная липосома содержит связанный с туберкулезом антиген, связанный с ВИЧ антиген, связанный с раком антиген, связанный с амебиазом антиген, связанный с гриппом антиген или связанный с гепатитом антиген, GLA, холестерин, непегилированный нейтральный липид и пегилированный липид, при этом компонент ПЭГ представляет собой ПЭГ-2000. [0201] В некоторых вариантах пегилированная липосома содержит связанный с туберкулезом антиген, связанный с ВИЧ антиген, связанный с раком антиген, связанный с амебиазом антиген, связанный с гриппом антиген или связанный с гепатитом антиген, GLA, холестерин, непегилированный нейтральный липид и пегилированный липид, при этом компонент ПЭГ представляет собой ПЭГ-750. [0202] В некоторых вариантах пегилированная липосома содержит связанный с туберкулезом антиген, связанный с ВИЧ антиген, связанный с раком антиген, связанный с амебиазом антиген, связанный с гриппом антиген или связанный с гепатитом антиген, 3М-052, холестерин, непегилированный нейтральный липид и пегилированный липид, при этом компонент ПЭГ представляет собой ПЭГ-2000. [0203] В некоторых вариантах пегилированная липосома содержит связанный с туберкулезом антиген, связанный с ВИЧ антиген, связанный с раком антиген, связанный с амебиазом антиген, связанный с гриппом антиген или связанный с гепатитом антиген, 3М-052, холестерин, непегилированный нейтральный липид и пегилированный липид, при этом компонент ПЭГ представляет собой ПЭГ-750. III. Физико-химические свойства пегилированных липосом. А. Размер [0204] В данной заявке размер пегилированной липосомы находится в диапазоне от приблизительно 1 нм до 450 нм, и ее можно считать пегилированной нанолипосомой. Такие нанолипосомы можно производить и стерилизовать фильтрацией. Более того, при доставке in vivo таких нанолипосом, содержащих агент (например, антиген и/или адъювант), обычно не обнаруживают или реже обнаруживают депо-эффект. Более того возможна доставка in vivo таких нанолипосом, содержащих агент (например, антиген и/или адъювант), в дренирующие лимфатические узлы, что позволяет представление антигенпредставляющим клеткам и выработку эффективного иммунного ответа Th1-клетками. [0205] В некоторых вариантах реализации размер пегилированной липосомы можно оценить с помощью известных в данной области методик, включая, но не ограничиваясь перечисленными: рентгеновскую и лазерную дифракцию, динамическое рассеяние света (DLS), CryoEM или Malvern Zetasize. В некоторых вариантах реализации размер пегилированной липосомы относится к Z-среднему диаметру. [0206] В некоторых вариантах реализации размер пегилированной липосомы находится в диапазоне от приблизительно 50 нм до 75 нм. В некоторых вариантах реализации размер пегилированной липосомы находится в диапазоне от приблизительно 50 нм до 100 нм. В некоторых вариантах реализации размер пегилированной липосомы находится в диапазоне от приблизительно 50 нм до 150 нм. В некоторых вариантах реализации размер пегилированной липосомы находится в диапазоне от приблизительно 50 нм до 200 нм. В некоторых вариантах реализации размер пегилированной липосомы находится в диапазоне от приблизительно 50 нм до 300 нм. В некоторых вариантах реализации размер пегилированной липосомы находится в диапазоне от приблизительно 20 нм до 100 нм. В некоторых вариантах реализации размер пегилированной липосомы находится в диапазоне от приблизительно 20 нм до 50 нм. В некоторых вариантах реализации размер пегилированной липосомы находится в диапазоне от приблизительно 10 нм до 200 нм. В некоторых вариантах реализации размер пегилированной липосомы находится в диапазоне от приблизительно 10 нм до 100 нм. В некоторых вариантах реализации размер пегилированной липосомы находится в диапазоне от приблизительно 10 нм до 50 нм. В некоторых вариантах реализации размер пегилированной липосомы составляет приблизительно 1 нм, составляет приблизительно 5 нм, составляет приблизительно 10 нм, составляет приблизительно 15 нм, составляет приблизительно 20 нм, составляет приблизительно 25 нм, составляет приблизительно 30 нм, составляет приблизительно 35 нм, составляет приблизительно 40 нм, составляет приблизительно 45 нм, составляет приблизительно 50 нм, составляет приблизительно 55 нм, составляет приблизительно 60 нм, составляет приблизительно 65 нм, составляет приблизительно 70 нм, составляет приблизительно 75 нм, составляет приблизительно 80 нм, составляет приблизительно 85 нм, составляет приблизительно 90 нм, составляет приблизительно 95 нм, составляет приблизительно 100 нм, составляет приблизительно 105 нм, составляет приблизительно 110 нм, составляет приблизительно 115 нм, составляет приблизительно 120 нм, составляет приблизительно 125 нм, составляет приблизительно 130 нм, составляет приблизительно 135 нм, составляет приблизительно 140 нм, составляет приблизительно 145 нм, составляет приблизительно 150 нм, составляет приблизительно 155 нм, составляет приблизительно 160 нм, составляет приблизительно 165 нм, составляет приблизительно 170 нм, составляет приблизительно 175 нм, составляет приблизительно 180 нм, составляет приблизительно 185 нм, составляет приблизительно 190 нм, составляет приблизительно 195 нм или составляет приблизительно 200 нм. В некоторых вариантах реализации размер пегилированной липосомы не больше чем приблизительно 1 нм, не больше чем приблизительно 5 нм, не больше чем приблизительно 10 нм, не больше чем приблизительно 15 нм, не больше чем приблизительно 20 нм, не больше чем приблизительно 25 нм, не больше чем приблизительно 30 нм, не больше чем приблизительно 35 нм, не больше чем приблизительно 40 нм, не больше чем приблизительно 45 нм, не больше чем приблизительно 50 нм, не больше чем приблизительно 55 нм, не больше чем приблизительно 60 нм, не больше чем приблизительно 65 нм, не больше чем приблизительно 70 нм, не больше чем приблизительно 75 нм, не больше чем приблизительно 80 нм, не больше чем приблизительно 85 нм, не больше чем приблизительно 90 нм, не больше чем приблизительно 95 нм, не больше чем приблизительно 100 нм, не больше чем приблизительно 105 нм, не больше чем приблизительно 110 нм, не больше чем приблизительно 115 нм, не больше чем приблизительно 120 нм, не больше чем приблизительно 125 нм, не больше чем приблизительно 130 нм, не больше чем приблизительно 135 нм, не больше чем приблизительно 140 нм, не больше чем приблизительно 145 нм, не больше чем приблизительно 150 нм, не больше чем приблизительно 155 нм, не больше чем приблизительно 160 нм, не больше чем приблизительно 165 нм, не больше чем приблизительно 170 нм, не больше чем приблизительно 175 нм, не больше чем приблизительно 180 нм, не больше чем приблизительно 185 нм, не больше чем приблизительно 190 нм, не больше чем приблизительно 195 нм или не больше чем приблизительно 199 нм. [0207] В предпочтительных вариантах реализации в данной заявке предложено, что пегилированную липосому можно фильтровать через фильтр с диаметром пор по меньшей мере 0,45 микрон. В некоторых вариантах реализации пегилированную липосому можно фильтровать через фильтр с диаметром пор меньше чем 0,45 микрон. В типичном варианте реализации пегилированную липосому можно фильтровать через фильтр с диаметром пор 0,20 или 0, 22 микрон. В. Стабильность. [0208] Пегилированные липосомы, предложенные в данной заявке, стабильны, позволяя простоту применения, возможность производства, транспортируемость и хранение. Авторы настоящего изобретения обнаружили, что пегилирование липосомы способствует стабильности липосомы. Физико-химические свойства пегилированной липосомы, включая, но не ограничиваясь ее размером, сохраняются с течением времени при различных температурах и при различных условиях. [0209] В некоторых вариантах реализации пегилированная липосома проявляет пониженную агрегацию или отсутствие агрегации по сравнению с липосомой в отсутствие пегилированного липида. В некоторых вариантах реализации пегилированная липосома или композиция, состоящая из пегилированных липосом, не агрегирует, проявляет небольшую агрегацию или отсутствие агрегации, проявляет пониженную агрегацию или не проявляет общее увеличение среднего размера с течением времени по сравнению с исходным размером. [0210] Стабильность пегилированной липосомы можно измерить с помощью методик, хорошо известных специалистам в данной области. В некоторых вариантах реализации стабильность наблюдают визуально. Визуальное наблюдение может включать наблюдение частиц, хлопьевидности или агрегатов. В некоторых вариантах реализации стабильность определяют по размеру пегилированной липосомы и необязательно выражают в виде изменения размера с течением времени, или при различных температурах, или при некоторых условиях. В некоторых вариантах реализации стабильность определяют путем оценки % агрегации пегилированных липосом в композиции. В некоторых вариантах реализации стабильность оценивают по способности пегилированной липосомы проходить через фильтр определенного размера, например, через фильтр с диаметром пор 0,20, 0, 22 или 0,45 микрон. В некоторых вариантах реализации стабильность определяют по рН. В некоторых вариантах реализации стабильность определяют путем измерения коэффициента полидисперености (PdI), например, с применением методики динамического рассеяния света (DLS). [0211] В некоторых вариантах реализации Z-средний диаметр пегилированной липосомы увеличивается менее чем на 50%, менее чем на 40%, менее чем на 30%, менее чем на 25%, менее чем на 20%, менее чем на 15%, менее чем на 12%, менее чем на 10%, менее чем на 7%, менее чем на 5%, менее чем на 3%, менее чем на 1% за анализируемый период времени. [0212] В некоторых вариантах реализации пегилированная липосома стабильна при 0 - 8°С. В некоторых вариантах реализации пегилированная липосома стабильна при 0°С, 1°С, 2°С, 3°С, 4°С, 5°С, 6°С, 7°С или 8°С в течение по меньшей мере 1 минуты, в течение по меньшей мере 5 минут, в течение по меньшей мере 10 минут, в течение по меньшей мере 15 минут, в течение по меньшей мере 20 минут, в течение по меньшей мере 25 минут, в течение по меньшей мере 30 минут, в течение по меньшей мере 35 минут, в течение по меньшей мере 40 минут, в течение по меньшей мере 45 минут, в течение по меньшей мере 50 минут, в течение по меньшей мере 55 минут, в течение по меньшей мере 1 часа, в течение по меньшей мере 2 часов, в течение по меньшей мере 6 часов, в течение по меньшей мере 12 часов, в течение по меньшей мере 18 часов, в течение по меньшей мере 24 часов, в течение по меньшей мере 48 часов, в течение по меньшей мере 72 часов, в течение по меньшей мере 1 недели, в течение по меньшей мере 2 недель, в течение по меньшей мере 3 недель, в течение по меньшей мере 1 месяца, в течение по меньшей мере 2 месяцев, в течение по меньшей мере 3 месяцев, в течение по меньшей мере 4 месяцев, в течение по меньшей мере 5 месяцев, в течение по меньшей мере 6 месяцев, в течение по меньшей мере 7 месяцев, в течение по меньшей мере 8 месяцев, в течение по меньшей мере 9 месяцев, в течение по меньшей мере 10 месяцев, в течение по меньшей мере 11 месяцев, в течение по меньшей мере 1 года, в течение по меньшей мере 2 лет или в течение по меньшей мере 5 лет. В одном типичном варианте реализации пегилированная липосома стабильна в течение по меньшей мере 1 месяца при температуре от приблизительно 2°С до приблизительно 8°С. В другом типичном варианте реализации пегилированная липосома стабильна в течение по меньшей мере 1 месяца при температуре от приблизительно 4°С до приблизительно 8°С. В другом типичном варианте реализации пегилированная липосома стабильна в течение по меньшей мере 6 месяцев при температуре от приблизительно 4°С до приблизительно 8°С. В другом типичном варианте реализации пегилированная липосома стабильна в течение по меньшей мере 1 года при температуре от приблизительно 4°С до приблизительно 8°С. [0213] В некоторых вариантах реализации пегилированная липосома стабильна при 8 - 20°С. В некоторых вариантах реализации пегилированная липосома стабильна при 8 - 20°С в течение по меньшей мере 1 минуты, в течение по меньшей мере 5 минут, в течение по меньшей мере 10 минут, в течение по меньшей мере 15 минут, в течение по меньшей мере 20 минут, в течение по меньшей мере 25 минут, в течение по меньшей мере 30 минут, в течение по меньшей мере 35 минут, в течение по меньшей мере 40 минут, в течение по меньшей мере 45 минут, в течение по меньшей мере 50 минут, в течение по меньшей мере 55 минут, в течение по меньшей мере 1 часа, в течение по меньшей мере 2 часов, в течение по меньшей мере 6 часов, в течение по меньшей мере 12 часов, в течение по меньшей мере 18 часов, в течение по меньшей мере 24 часов, в течение по меньшей мере 48 часов, в течение по меньшей мере 72 часов, в течение по меньшей мере 1 недели, в течение по меньшей мере 2 недель, в течение по меньшей мере 3 недель, в течение по меньшей мере 1 месяца, в течение по меньшей мере 2 месяцев, в течение по меньшей мере 3 месяцев, в течение по меньшей мере 4 месяцев, в течение по меньшей мере 5 месяцев, в течение по меньшей мере 6 месяцев, в течение по меньшей мере 7 месяцев, в течение по меньшей мере 8 месяцев, в течение по меньшей мере 9 месяцев, в течение по меньшей мере 10 месяцев, в течение по меньшей мере 11 месяцев, в течение по меньшей мере 1 года, в течение по меньшей мере 2 лет или в течение по меньшей мере 5 лет. В одном типичном варианте реализации пегилированная липосома стабильна в течение по меньшей мере 1 месяца при температуре от приблизительно 8°С до приблизительно 20°С. В другом типичном варианте реализации пегилированная липосома стабильна в течение по меньшей мере 1 месяца при температуре от приблизительно 8°С до приблизительно 20°С. В другом типичном варианте реализации пегилированная липосома стабильна в течение по меньшей мере 6 месяцев при температуре от приблизительно 8°С до приблизительно 20°С. В другом типичном варианте реализации пегилированная липосома стабильна в течение по меньшей мере 1 года при температуре от приблизительно 8°С до приблизительно 20°С. [0214] В некоторых вариантах реализации пегилированная липосома стабильна при 20 - 30°С. В некоторых варианты реализации пегилированная липосома стабильна при 25°С в течение по меньшей мере 1 минуты, в течение по меньшей мере 5 минут, в течение по меньшей мере 10 минут, в течение по меньшей мере 15 минут, в течение по меньшей мере 20 минут, в течение по меньшей мере 25 минут, в течение по меньшей мере 30 минут, в течение по меньшей мере 35 минут, в течение по меньшей мере 40 минут, в течение по меньшей мере 45 минут, в течение по меньшей мере 50 минут, в течение по меньшей мере 55 минут, в течение по меньшей мере 1 часа, в течение по меньшей мере 2 часов, в течение по меньшей мере 6 часов, в течение по меньшей мере 12 часов, в течение по меньшей мере 18 часов, в течение по меньшей мере 24 часов, в течение по меньшей мере 48 часов, в течение по меньшей мере 72 часов, в течение по меньшей мере 1 недели, в течение по меньшей мере 2 недель, в течение по меньшей мере 3 недель, в течение по меньшей мере 1 месяца, в течение по меньшей мере 2 месяцев, в течение по меньшей мере 3 месяцев, в течение по меньшей мере 4 месяцев, в течение по меньшей мере 5 месяцев, в течение по меньшей мере 6 месяцев, в течение по меньшей мере 7 месяцев, в течение по меньшей мере 8 месяцев, в течение по меньшей мере 9 месяцев, в течение по меньшей мере 10 месяцев, в течение по меньшей мере 11 месяцев, в течение по меньшей мере 1 года, в течение по меньшей мере 2 лет или в течение по меньшей мере 5 лет. В одном типичном варианте реализации пегилированная липосома стабильна в течение по меньшей мере 1 месяца при температуре, равной приблизительно 25°С. В другом типичном варианте реализации пегилированная липосома стабильна в течение по меньшей мере 6 месяцев при температуре приблизительно 25°С. В другом типичном варианте реализации пегилированная липосома стабильна в течение по меньшей мере 1 года при температуре приблизительно 25°С. [0215] В некоторых вариантах реализации пегилированная липосома стабильна при 30 - 40°С. В некоторых вариантах реализации пегилированная липосома стабильна при 30°С, 31°С, 32°С, 33°С, 34°С 35°С, 36°С, 37°С, 38°С, 39°С или 40°С в течение по меньшей мере 1 минуты, в течение по меньшей мере 5 минут, в течение по меньшей мере 10 минут, в течение по меньшей мере 15 минут, в течение по меньшей мере 20 минут, в течение по меньшей мере 25 минут, в течение по меньшей мере 30 минут, в течение по меньшей мере 35 минут, в течение по меньшей мере 40 минут, в течение по меньшей мере 45 минут, в течение по меньшей мере 50 минут, в течение по меньшей мере 55 минут, в течение по меньшей мере 1 часа, в течение по меньшей мере 2 часов, в течение по меньшей мере 6 часов, в течение по меньшей мере 12 часов, в течение по меньшей мере 18 часов, в течение по меньшей мере 24 часов, в течение по меньшей мере 48 часов, в течение по меньшей мере 72 часов, в течение по меньшей мере 1 недели, в течение по меньшей мере 2 недель, в течение по меньшей мере 3 недель, в течение по меньшей мере 1 месяца, в течение по меньшей мере 2 месяцев, в течение по меньшей мере 3 месяцев, в течение по меньшей мере 4 месяцев, в течение по меньшей мере 5 месяцев, в течение по меньшей мере 6 месяцев, в течение по меньшей мере 7 месяцев, в течение по меньшей мере 8 месяцев, в течение по меньшей мере 9 месяцев, в течение по меньшей мере 10 месяцев, в течение по меньшей мере 11 месяцев, в течение по меньшей мере 1 года, в течение по меньшей мере 2 лет или в течение по меньшей мере 5 лет. В одном типичном варианте реализации пегилированная липосома стабильна в течение по меньшей мере 1 месяца при температуре, равной приблизительно 37°С. [0216] В некоторых вариантах реализации пегилированная липосома стабильна при 40 - 62°С. В некоторых вариантах реализации пегилированная липосома стабильна при 40 - 62°С в течение по меньшей мере 1 минуты, в течение по меньшей мере 5 минут, в течение по меньшей мере 10 минут, в течение по меньшей мере 15 минут, в течение по меньшей мере 20 минут, в течение по меньшей мере 25 минут, в течение по меньшей мере 30 минут, в течение по меньшей мере 35 минут, в течение по меньшей мере 40 минут, в течение по меньшей мере 45 минут, в течение по меньшей мере 50 минут, в течение по меньшей мере 55 минут, в течение по меньшей мере 1 часа, в течение по меньшей мере 2 часов, в течение по меньшей мере 6 часов, в течение по меньшей мере 12 часов, в течение по меньшей мере 18 часов, в течение по меньшей мере 24 часов, в течение по меньшей мере 48 часов, в течение по меньшей мере 72 часов, в течение по меньшей мере 1 недели, в течение по меньшей мере 2 недель, в течение по меньшей мере 3 недель, в течение по меньшей мере 1 месяца. [0217] В одном типичном варианте реализации пегилированная липосома стабильна при 4 -8°С в течение по меньшей мере одного года. В другом типичном варианте реализации пегилированная липосома стабильна при 25°С в течение по меньшей мере одного года. [0218] В некоторых вариантах реализации пегилированная липосома стабильна после 1-5 циклов замораживания/размораживания. В некоторых вариантах реализации пегилированная липосома стабильна после 1, после 2, после 3, после 4 или после 5 циклов замораживания/размораживания. [0219] В некоторых вариантах реализации коэффициент полидисперсности пегилированной липосомы сохраняется на уровне приблизительно 0,3 или менее. В некоторых вариантах реализации коэффициент полидисперсности пегилированной липосомы сохраняется на уровне приблизительно 0,25 или менее. В некоторых вариантах реализации коэффициент полидисперсности пегилированной липосомы сохраняется на уровне приблизительно 0,2 или менее. IV. Способы получения пегилированных липосом [0220] Предложенный в данной заявке способ получения пегилированной липосомы включает (a) смешивание непегилированного нейтрального липида, пегилированного липида и холестерина в органическом растворителе; (b) выпаривание указанного органического растворителя, посредством чего получают липидную пленку; (c) регидратацию липидной пленки в буфере; и (d) воздействие источника входящего потока высокой энергии (например, обработка ультразвуком, микрофлюидизация, экструдирование) на регидратированный продукт из этапа (с). В некоторых вариантах реализации воздействие источника высокой энергии включает микрофлюидизацию. В некоторых вариантах реализации воздействие источника высокой энергии включает обработку ультразвуком. В некоторых вариантах реализации воздействие источника высокой энергии включает экструдирование. В некоторых вариантах реализации органический растворитель представляет собой хлороформ или смесь хлороформ/метанол/вода. В некоторых вариантах реализации этап (а) дополнительно включает смешивание агониста TLR с другими компонентами. [0221] В типичном варианте реализации DPPC, холестерин и DPPE-ПЭГ-750 комбинируют с различными количествами 3М-052 в органическом растворителе (хлороформе или смеси хлороформ/метанол/вода). Органический растворитель затем выпаривают. Полученную в результате этого липидную пленку регидратируют в буфере и разрушают ультразвуком до тех пор, пока состав не станет светопроницаемым с отсутствием больших видимых частиц. Можно производить более крупные партии (100 мл) пегилированных липосом, как описано выше, но с более краткосрочной обработкой ультразвуком с последующей гомогенизацией с большим усилием сдвига. [0222] В некотором варианте реализации полученную пегилированную липосому смешивают с агентом (например, антигеном). V. Композиции, содержащие пегилированные липосомы [0223] В данной заявке предложены составы, композиции и фармацевтические композиции, содержащие пегилированные липосомы, описанные в данной заявке. [0224] В некоторых вариантах реализации композиция, содержащая пегилированную липосому, дополнительно содержит фармацевтически приемлемый носитель, вспомогательное вещество или разбавитель. [0225] Композиции, описанные в данной заявке, можно вводить субъекту для любой из целей вакцинации, терапии или диагностики. [0226] Фармацевтические композиции, как правило, включают композиции, описанные в данной заявке, и могут дополнительно содержать один или более компонентов, описанных в данной заявке, которые выбраны из антигена, дополнительных агонистов или рекомбинантной экспрессионной конструкции, в комбинации с фармацевтически приемлемым носителем, вспомогательным веществом или разбавителем. [0227] В вариантах реализации, предложенных в данной заявке, фармацевтическую композицию можно фильтровать через фильтр с диаметром пор 0,45 микрон. В некоторых вариантах реализации фармацевтическую композицию можно фильтровать через фильтр с диаметром пор 0,20 микрон. В некоторых вариантах реализации фармацевтическую композицию можно фильтровать через фильтр с диаметром пор 0,22 микрона. [0228] В одном варианте реализация в настоящем изобретении предложена фармацевтическая композиция, содержащая пегилированную липосому, которая содержит агонист TLR7/8 или агонист TLR4. Такую композицию можно применять для "монотерапии", в которой агонист TLR7/8 или агонист TLR 4, описанный в данной заявке, входит в состав композиции, и в указанной композиции по существу отсутствуют другие антигены, и ее вводят субъекту для того, чтобы стимулировать иммунный ответ, например, неспецифический иммунный ответ или антиген-специфический иммунный ответ, с целью диагностики, лечения или предотвращения заболевания или другого состояния, такого как инфекция некоторым организмом. [0229] В других вариантах реализации фармацевтическая композиция представляет собой композицию вакцины, которая содержит как композиции, описанные в данной заявке, так и антиген и может дополнительно содержать один или более компонентов, предложенных в данной заявке, в комбинации с фармацевтически приемлемым носителем, вспомогательным веществом или разбавителем. Типичные носители обычно нетоксичны для реципиентов в используемых дозировках и концентрациях. [0230] В терапевтических вариантах реализации, предложенных в данной заявке, вводят дозировку от приблизительно 1 мкг/кг до приблизительно 1 мг/кг терапевтической фармацевтической композиции. Для специалистов в данной области будет очевидно, что количество и частота введения будут зависеть от ответа субъекта. [0231] В вариантах реализации на основе вакцин, предложенных в данной заявке, будут вводить приблизительно по 1 мкг - 25 мкг агента (например, адъюванта или антигена) на введение. Для специалистов в данной области будет очевидно, что количество и частота введения будет зависеть от ответа субъекта. [0232] "Фармацевтически приемлемые носители" для применения в терапии хорошо известны в фармацевтической области и описаны, например, в Remingtons Pharmaceutical Sciences, Mack Publishing Co. (A.R. Gennaro, ред., 1985). Например, можно применять стерильный солевой раствор и фосфатно-солевой буферный раствор при физиологическом рН. В состав фармацевтической композиции могут входить консерванты, стабилизаторы, красители и даже ароматизирующие агенты. Например, можно добавить бензоат натрия, сорбиновую кислоту и эфиры пара-гидроксибензойной кислоты в качестве консервантов. Id. в 1449. Кроме того, можно применять антиоксиданты и суспендирующие агенты. Id. [0233] "Фармацевтически приемлемая соль" относится к солям соединений согласно настоящему изобретению, полученным путем комбинирования таких соединений и органической или неорганической кислоты (соли присоединения кислоты) или органического или неорганического основания (соли присоединения основания). Композиции согласно настоящему изобретению можно применять либо в форме свободного основания, либо в форме соли, при этом считают, что обе формы входят в объем настоящего изобретения. [0234] Фармацевтические композиции могут находиться в любой форме, которая позволяет введение указанной композиции пациенту. Например, композиция может находиться в форме твердого вещества, жидкости или газа (аэрозоля). Обычные пути введения включают, без ограничения, пероральный, топический, парентеральный, сублингвальный, буккальный, ректальный, вагинальный, внутривенный, внутрикожный, трансдермальный, интраназальный, внутрислизистый или подкожный пути. Термин парентеральный в данной заявке включает ионтофоретическое (например, патенты США №7033598; 7018345; 6970739), сонофоретическое (например, патенты США №4780212; 4767402; 4948587; 5618275; 5656016; 5722397; 6322532; 6018678), тепловое (например, патенты США №5885211; 6685699), пассивное трансдермальное введение (например, патенты США №3598122; 3598123; 4286592; 4314557; 4379454; 4568343; 5464387; заявка на патент США №2232892; патенты США №6871477; 6974588; 6676961), введение микроиглами (например, патенты США №6908453; 5457041; 5591139; 6033928), а также подкожные инъекции, методики внутривенной, внутримышечной, внутристернальной, внутрикавернозной, интратекальной, интрамеатальной, внутриуретральной инъекции или инфузии. В некотором варианте реализации композицию, описанную в данной заявке (включая вакцинную и фармацевтическую композиции), вводят внутрикожно с помощью методики, выбранной из ионтофореза, микрокавитации, сонофореза или введения микроиглами. [0235] Фармацевтическую композицию можно составить таким образом, чтобы обеспечить биодоступность входящих в ее состав активных ингредиентов после введения указанной композиции субъекту. Композиции, которые будут вводить субъекту, находятся в форме одной или более единиц дозы, где, например, таблетка может представлять собой одну единицу дозы, а контейнер с одним или более соединениями согласно настоящему изобретению в форме аэрозоля может содержать множество единиц дозы. [0236] Для перорального введения может присутствовать вспомогательное вещество и/или связующее вещество. Примерами являются сахароза, каолин, глицерин, крахмал декстрины, альгинат натрия, карбоксиметилцеллюлоза и этилцеллюлоза. Могут присутствовать красящие и/или ароматизирующие агенты. Можно использовать покрывающую оболочку. [0237] Композиция может находиться в форме жидкости, например, эликсира, сиропа, раствора, эмульсии или суспензии. Жидкость может быть предназначена для перорального введения или для доставки путем инъекции, в качестве двух примеров. Если композиции предназначены для перорального введения, то они могут содержать один или более подслащивающих агентов, консервантов, красителей/окрашивающих веществ и усилителей вкуса. В состав композиции, предназначенной для введения путем инъекции, можно включить одно или более поверхностно-активных веществ, консервантов, смачивающих агентов, диспергирующих агентов, суспендирующих агентов, буферов, стабилизаторов и изотонических агентов. [0238] Жидкая фармацевтическая композиция, используемая в данной заявке либо в форме раствора, либо в форме суспензии, либо в другой подобной форме, может содержать один или более из следующих носителей или вспомогательных веществ: стерильные разбавители, такие как вода для инъекции, солевой раствор, предпочтительно физиологический солевой раствор, раствор Рингера, изотонический хлорид натрия, нелетучие масла, такие как сквален, сквалан, минеральное масло, моноолеат маннида, холестерин и/или синтетические моно- или диглицериды, которые могут служить в качестве растворителя или суспендирующей среды, полиэтиленгликоли, глицерин, пропиленгликоль или другие растворители; антибактериальные агенты, такие как бензиловый спирт или метилпарабен; антиоксиданты, такие как аскорбиновая кислота или бисульфит натрия; хелатирующие агенты, такие как этилендиаминтетрауксусная кислота; буферы, такие как ацетаты, цитраты или фосфаты, и агенты для регулировки тоничности, такие как хлорид натрия или декстроза. [0239] В другом варианте реализации композиция согласно настоящему изобретению составлена таким образом, что ее можно переводить в аэрозольное состояние. [0240] Также может потребоваться включить в состав фармацевтической композиции другие компоненты, такие как носители для доставки, включая, но не ограничиваясь перечисленными: соли алюминия, эмульсии типа вода в масле, биоразлагаемые масляные носители, эмульсии типа масло в воде, биоразлагаемые микрокапсулы и липосомы. Примеры дополнительных иммуностимулирующих веществ (коадъювантов) для применения в таких носителях также описаны выше и могут включать N-ацетилмурамил-L-аланин-D-изоглутамин (MDP), глюкан, IL-12, GM-CSF, интерферон гамма и IL-12. [0241] Хотя в фармацевтических композициях согласно настоящему изобретению можно использовать любой подходящий носитель, известный средним специалистам в данной области, тип носителя будет изменяться в зависимости от способа введения и необходимости продолжительного высвобождения. Для парентерального введения, такого как подкожная инъекция, носитель может включать воду, солевой раствор, спирт, жир, воск или буфер. Для перорального введения можно использовать любой из описанных выше носителей или твердый носитель, такой как маннит, лактоза, крахмал, стеарат магния, сахарин натрия, тальк, целлюлоза, глюкоза, сахароза и карбонат магния. Биоразлагаемые микросферы (например, полимолочный галактид) также можно использовать в качестве носителей для фармацевтических композиций согласно настоящему изобретению. Подходящие биоразлагаемые микросферы описаны, например, в патентах США №4897268 и 5075109. В этом отношении, предпочтительно, чтобы микросфера была больше приблизительно 25 микрон. [0242] Фармацевтические композиции также могут содержать разбавители, такие как буферы, антиоксиданты, такие как аскорбиновая кислота, полипептиды, белки, аминокислоты, углеводы, включая глюкозу, сахарозу или декстрины, хелатирующие агенты, такие как ЭДТА, глутатион и другие стабилизаторы и вспомогательные вещества. Нейтральный буферный солевой раствор или солевой раствор, смешанный с неспецифическим сывороточным альбумином, являются примерами подходящих разбавителей. Например, продукт может находиться в форме лиофилизата, в качестве разбавителей применяют подходящие растворы вспомогательных веществ (например, сахарозу). [0243] Фармацевтическая композиция может быть предназначена для топического введения, в данном случае носитель может, соответственно, включать раствор, эмульсию, мазь или гелевую основу. Основа, например, может содержать один или более из следующих компонентов: петролатум, ланолин, полиэтиленгликоли, пчелиный воск, минеральное масло, разбавители, такие как вода и спирт, и эмульгаторы и стабилизаторы. В фармацевтической композиции для топического введения могут присутствовать загустители. Если композиция предназначена для трансдермального введения, то она может включать трансдермальный пластырь или устройство для ионтофореза. Топические составы могут содержать антиген (например, композиция вакцины с GLA-антигеном) или GLA (например, композиция с иммунологическим адъювантом; GLA доступен от Avanti Polar Lipids, Inc., Алабастер, Алабама; например, номер продукта 699800) в концентрации от приблизительно 0,1 до приблизительно 10% массы/объем (массы на единицу объема). [0244] Композиция может быть предназначена для ректального введения, например, в форме суппозитория, который может таять в прямой кишке и высвобождать лекарственное средство. Композиция для ректального введения может содержать маслянистую основу в качестве подходящего не вызывающего раздражения вспомогательного вещества. Такие основы включают, без ограничения, ланолин, масло какао и полиэтиленгликоль. В способах согласно настоящему изобретению фармацевтические композиции/адъюванты можно вводить путем применения вкладыша(-ей), гранулы(гранул), состава(-ов) с контролируемым временем высвобождения, пластыря(-ей) или состава(-ов) с быстрым высвобождением. VI. Способы применения пегилированных липосом [0245] В настоящей заявке предложен способ стимуляции иммунного ответа у субъекта, включающий введение любой из пегилированных липосом или композиций, содержащих пегилированные липосомы, предложенных в данной заявке. Пегилированные липосомы и композиции можно применять для вакцинации, терапии и диагностики. [0246] В одном варианте реализации композицию, содержащую пегилированные липосомы, применяют для лечения или предотвращения рака. [0247] В некоторых вариантах реализации фармацевтическая композиция, содержащая пегилированную липосому, предложенную в настоящей заявке, представляет собой композицию вакцины, и ее применяют в качестве вакцины. В некоторых вариантах реализации композиции, описанные в данной заявке, применяют для стимуляции иммунного ответа у субъекта (включая неспецифический ответ и антиген-специфический ответ). В некоторых вариантах реализации иммунный ответ включает системный иммунный ответ. В некоторых вариантах реализации иммунный ответ включает мукозальный иммунный ответ. [0248] В одном варианте реализации композицию, содержащую пегилированные липосомы, применяют для повышения защитного иммунитета против вызывающего грипп вируса. [0249] В одном варианте реализации композицию, содержащую пегилированные липосомы, применяют для повышения защитного иммунитета против вызывающего амебиаз организма. [0250] В одном варианте реализации композицию, содержащую пегилированные липосомы, применяют для повышения защитного иммунитета против Entamoeba histolytica. [0251] В одном варианте реализации композицию, содержащую пегилированные липосомы, применяют для повышения защитного иммунитета против гриппа. [0252] В одном варианте реализации композицию, содержащую пегилированные липосомы, применяют для повышения защитного иммунитета против амебиаза. [0253] В одном варианте реализации композицию, содержащую пегилированные липосомы, применяют для стимуляции как системного иммунного ответа (характеризуемого иммунным ответом IgG), так и мукозального иммунного ответа (характеризуемого иммунным ответом IgA) у субъекта, осуществляя интраназальное введение любой из композиций, содержащих пегилированные липосомы, предложенных в данной заявке. В одном варианте реализации композицию, содержащую пегилированные липосомы, применяют для стимуляции как системного иммунного ответа, так и мукозального иммунного ответа у субъекта, осуществляя интраназальное введение пегилированной липосомы, содержащей агонист TLR4 и агонист TLR7/8. В сходном варианте реализации композицию, содержащую пегилированные липосомы, применяют для стимуляции как системного иммунного ответа, так и мукозального иммунного ответа у субъекта, осуществляя интраназальное введение пегилированной липосомы, содержащей GLA и 3М-052. Неожиданно, авторы настоящего изобретения обнаружили, что интраназальное введение композиции, содержащей пегилированную липосому, может вызывать местный мукозальный ответ (в полости носа), вызывать системный иммунный ответ и вызывать отдаленный мукозальный ответ (например, мукозальный ответ в кале, кишечнике и/или влагалище). [0254] В вариантах реализации, предложенных в данной заявке, субъект представляет собой млекопитающее (например, животное, включая сельскохозяйственных животных (коров, свиней, коз, лошадей и т.д.), комнатных животных (кошек, собак и т.д.) и грызунов (крыс, мышей и т.д.), или человека). В одном варианте реализации субъект представляет собой человека. В другом варианте реализации субъект представляет собой не относящееся к человеку млекопитающее. В другом варианте реализации указанное не относящееся к человеку млекопитающее представляет собой собаку, корову или лошадь. VII. Наборы и промышленные изделия [0255] В некоторых вариантах реализации также предложены наборы, содержащие описанные в данной заявке пегилированные липосомы и композиции, которые могут быть предложены в одном или более контейнерах. В одном варианте реализации все компоненты указанных композиций находятся вместе в одном контейнере, но не предполагается, что варианты реализации настоящего изобретения этим ограничены, и они также предполагают наличие двух или более контейнеров, в которых, например, композиция иммунологического адъюванта отделена и не контактирует с компонентом антигеном. В качестве неограничивающей теории полагают, что в некоторых случаях можно полезно осуществить введение содержащей только пегилированные липосомы композиции в качестве композиции иммунологического адъюванта, тогда как в других случаях такое введение можно полезно отделить по времени и/или в пространстве (например, введение в различные анатомические области) от введения антигена, тогда как в других дополнительных случаях полезно осуществить введение указанному субъекту композиции вакцины, описанной в данной заявке и содержащей как антиген, так и композицию адъюванта, а также необязательно другие описанные в данной заявке компоненты. [0256] В некоторых вариантах реализации один флакон из указанного набора содержит композицию, содержащую пегилированные липосомы, а второй флакон из указанного набора содержит агент. В некоторых вариантах реализации набор содержит третий флакон, содержащий необязательный агент. [0257] Наборы согласно настоящему изобретению могут дополнительно содержать инструкции по применению, описанному в данной заявке, или инструкции по смешиванию материалов, содержащихся во флаконах. В некоторых вариантах реализации материал во флаконе сухой или лиофилизированный. В некоторых вариантах реализации материал во флаконе жидкий. [0258] Контейнер согласно таким вариантам реализации набора может представлять собой любой подходящий контейнер, сосуд, флакон, ампулу, пробирку, чашку, коробку, бутылку, флакон, банку, миску, лунку однолуночного или многолуночного устройства, емкость, бак или тому подобные контейнеры или другое устройство, в которое описанные в данной заявке композиции можно поместить, хранить и/или транспортировать, и получить доступ для удаления содержимого. Обычно такой контейнер может быть сделан из материала, который подходит для предполагаемого применения и из которого можно легко извлечь находящееся в нем содержимое. Лишь некоторые из примеров таких контейнеров включают стеклянные и/или пластиковые закупоренные или с возможностью многократного закупоривания пробирки и ампулы, включая содержащие резиновую перегородку или другие средства закупоривания, которые подходят для извлечения содержимого с помощью иглы и шприца. Такие контейнеры, например, могут быть сделаны из стекла или химически совместимого пластика или смолы, которые могут быть сделаны или могут быть покрыты материалом, который позволяет эффективное извлечение материала из контейнера и/или защищает материал, например, от разрушающих условий, таких как ультрафиолетовый свет или перепады температур, или от включения нежелательных примесей, включая микробные примеси. Указанные контейнеры предпочтительно стерильны или поддаются стерилизации и сделаны из материалов, которые будут совместимы с любым носителем, вспомогательным веществом, растворителем, средой или тому подобными веществами, которые можно применять для суспендирования или растворения описанных в данной заявке композиций вакцин, и/или композиций иммунологических адъювантов, и/или антигенов, и/или конструкций для рекомбинантной экспрессии, и т.д. VIII. Типичные варианты реализации [0259] В первом варианте реализации в настоящем изобретении предложена, среди прочего, липосома, содержащая холестерин; непегилированный нейтральный липид и пегилированный липид, при этом средняя молекулярная масса ПЭГ в пегилированном липиде составляет приблизительно 5000 дальтон или менее. [0260] Согласно настоящему изобретению во втором варианте реализации также предложена любая из липосом согласно 1ому варианту реализации, отличающаяся тем, что средняя молекулярная масса ПЭГ в пегилированном липиде находится в диапазоне от приблизительно 750 дальтон до приблизительно 5000 дальтон; липосомы согласно первому варианту реализации, отличающиеся тем, что средняя молекулярная масса ПЭГ в пегилированном липиде составляет приблизительно 2000 дальтон или менее; или липосомы согласно первому варианту реализации, отличающиеся тем, что средняя молекулярная масса ПЭГ в пегилированном липиде составляет приблизительно 750 дальтон. [0261] Согласно настоящему изобретению в третьем варианте реализации предложена любая из липосом согласно 1ому или 2ому варианту реализации, отличающаяся тем, что липидный компонент указанного пегилированного липида включает нейтральный липид; отличающаяся тем, что липидный компонент указанного пегилированного липида содержит алкильную цепь С14, алкильную цепь С16 или алкильную цепь С18; отличающаяся тем, что липидный компонент указанного пегилированного липида представляет собой DSPE, DPPC, DOPC, DLPC, DMPC, DSPC, POPC, DPPE или DMPE; отличающаяся тем, что липидный компонент указанного пегилированного липида представляет собой DSPE; или отличающаяся тем, что липидный компонент указанного пегилированного липида представляет собой DPPE. [0262] Согласно настоящему изобретению в четвертом варианте реализации предложена любая из липосом согласно 1ому, 2ому или 3ему вариантам реализации, отличающаяся тем, что непегилированный нейтральный липид содержит алкильную цепь С14, алкильную цепь С16 или алкильную цепь С18; отличающаяся тем, что непегилированный нейтральный липид представляет собой DPPC, DOPC, DLPC, DMPC, DSPC, РОРС, DPPE или DMPE; или отличающаяся тем, что непегилированный нейтральный липид представляет собой DPPC. [0263] Согласно настоящему изобретению в пятом варианте реализации предложена любая из липосом согласно 1ому, 2ому 3ему или 4ому вариантам реализации, отличающаяся тем, что указанная липосома стабильна; отличающаяся тем, что липосома стабильна в течение по меньшей мере 1 месяца при температуре от приблизительно 2°С до приблизительно 8°С; отличающаяся тем, что липосома стабильна в течение по меньшей мере 1 месяца при температуре, равной приблизительно 25°С; или отличающаяся тем, что липосома стабильна в течение по меньшей мере 1 месяца при температуре, равной приблизительно 37°С. [0264] Согласно настоящему изобретению в шестом варианте реализации предложена любая из липосом согласно 1ому, 2ому 3ему, 4ому или 5ому вариантам реализации, отличающаяся тем, что коэффициент полидисперсности указанной липосомы сохраняется на уровне приблизительно 0,3 или менее. [0265] Согласно настоящему изобретению в седьмом варианте реализации предложена любая из липосом согласно 1ому, 2ому 3ему, 4ому 5ому или 6ому вариантам реализации, отличающаяся тем, что размер указанной липосомы меньше или приблизительно равен 450 нм; отличающаяся тем, что размер липосомы сохраняется на уровне, меньшем или приблизительно равном 450 нм; или отличающаяся тем, что размер липосомы находится в диапазоне от приблизительно 50 нм до приблизительно 300 нм. [0266] Согласно настоящему изобретению в восьмом варианте реализации предложена любая из липосом согласно 1ому, 2ому 3ему, 4ому 5ому, 6ому или 7ому вариантам реализации, отличающаяся тем, что молярный процент (мол. %) пегилированного липида в указанной липосоме находится в диапазоне от приблизительно 1 мол. % до приблизительно 25 мол. %; отличающаяся тем, что мол. % пегилированного липида в липосоме находится в диапазоне от приблизительно 1 мол. % до приблизительно 10 мол. %; или отличающаяся тем, что мол. % пегилированного липида в липосоме составляет приблизительно 5 мол. %. [0267] Согласно настоящему изобретению в девятом варианте реализации предложена любая из липосом согласно 1ому, 2ому 3ему, 4ому 5ому, 6ому, 7ому или 8ому варианту реализации, отличающаяся тем, что мол. % холестерина в указанной липосоме находится в диапазоне от приблизительно 1 мол. % до приблизительно 50 мол. %; или отличающаяся тем, что мол. % холестерина в липосоме составляет приблизительно 50 мол. %. [0268] Согласно настоящему изобретению в десятом варианте реализации предложена любая из липосом согласно 1ому, 2ому 3ему, 4ому 5ому, 6ому, 7ому или 8ому или 9ому варианту реализации, отличающаяся тем, что мол. % непегилированного липида в указанной липосоме находится в диапазоне от приблизительно 45 мол. % до приблизительно 98 мол. % или отличающаяся тем, что мол. % непегилированного липида в липосоме составляет приблизительно 45 мол. %. [0269] Согласно настоящему изобретению в одиннадцатом варианте реализации предложена любая из липосом согласно 1ому, 2ому 3ему, 4ому 5ому, 6ому, 7ому или 8ому, 9ому или 10ому варианту реализации, отличающаяся тем, что молярное соотношение между липидами непегилированный нейтральный липид:холестерин:пегилированный липид составляет приблизительно 9,8:5,7:0,8 или отличающийся тем, что молярное соотношение между липидами непегилированный нейтральный липид:холестерин:пегилированный липид составляет приблизительно 18:5,5:3. [0270] Согласно настоящему изобретению в двенадцатом варианте реализации предложена любая из липосом согласно 1ому, 2ому, 3ему, 4ому, 5ому, 6ому, 7ому, 8ому, 9ому, 10ому или 11ому вариантам реализации, отличающаяся тем, что указанная липосома дополнительно содержит по меньшей мере один агонист TLR; отличающаяся тем, что липосома содержит агонист TLR2, агонист TLR3, агонист TLR4, агонист TLR5, агонист TLR6, агонист TLR7, агонист TLR8, агонист TLR7/8 или агонист TLR9; отличающаяся тем, что липосома содержит агонист TLR4, SLA, GLA, 3D-MPL, R837 или R848; отличающаяся тем, что липосома содержит агонист TLR с гидрофобным хвостом; отличающаяся тем, что липосома содержит агонист TLR7/8; отличающаяся тем, что липосома содержит агонист TLR7, отличающаяся тем, что липосома содержит агонист TLR8; отличающаяся тем, что липосома содержит агонист TLR7/8, включающий имидазохинолин или содержащее имидазохинолин соединение; отличающаяся тем, что липосома содержит 3М-052; отличающаяся тем, что липосома содержит R848; отличающаяся тем, что липосома содержит агонист TLR4; отличающаяся тем, что липосома содержит 3D-MPL; отличающаяся тем, что липосома содержит GLA; отличающаяся тем, что липосома содержит синтетический GLA формулы (V), предложенной в данной заявке, или его фармацевтически приемлемую соль и любой из соответствующих вариантов реализации формулы (V) или его фармацевтически приемлемую соль; отличающаяся тем, что липосома содержит синтетический GLA формулы (VI), предложенной в данной заявке, или его фармацевтически приемлемую соль и любой из соответствующих вариантов реализации формулы (VI) или его фармацевтически приемлемую соль; или отличающаяся тем, что липосома содержит синтетический GLA формулы: или фармацевтически приемлемую соль указанного соединения; отличающаяся тем, что липосома содержит агонист TLR4 и агонист TLR7/8; отличающаяся тем, что липосома содержит любой из агонистов TLR4 или TLR7/8, описанных в данной заявке; или отличающаяся тем, что липосома содержит GLA и 3М-052. [0271] Согласно настоящему изобретению в тринадцатом варианте реализации предложена любая из липосом согласно 1ому, 2ому, 3ему, 4ому, 5ому, 6ому, 7ому, 8ому, 9ому, 10ому, 11ому или 12ому вариантам реализации, отличающаяся тем, что указанная липосома содержит по меньшей мере один агент; отличающаяся тем, что липосома содержит по меньшей мере один агент, который включает полипептид, полинуклеотид, антиген, адъювант, диагностический агент, терапевтический агент или организм; отличающаяся тем, что липосома содержит по меньшей мере один агент, который включает антиген; отличающаяся тем, что липосома содержит по меньшей мере один агент, который включает антиген и отличающаяся тем, что указанный антиген включает связанный с амебиазом антиген, LecA, связанный с гриппом антиген, H5N1, связанный с туберкулезом антиген, ID91, ID93, антиген из BCG, родственный вирусу гепатита антиген, антиген гепатита В, антиген гепатита С, связанный с ВИЧ антиген или связанный с раком антиген. [0272] Согласно настоящему изобретению в четырнадцатом варианте реализации предложена композиция, содержащая любую из липосом согласно 1ому, 2ому, 3ему, 4ому, 5ому, 6ому, 7ому, 8ому, 9ому, 10ому, 11ому, 12ому или 13ому вариантам реализации, или композиция, содержащая любую из липосом согласно 1ому, 2ому, 3ему, 4ому, 5ому, 6ому, 7ому, 8ому, 9ому, 10ому, 11ому, 12ому или 13ому вариантам реализации и фармацевтически приемлемый носитель, вспомогательное вещество или разбавитель. Композиция может представлять собой, например, вакцину, терапевтическую или диагностическую композицию. [0273] Согласно настоящему изобретению в пятнадцатом варианте реализации предложен способ стимуляции иммунного ответа у субъекта, включающий введение указанному субъекту липосомы или композиции согласно любому из 1ого, 2ого, 3его, 4ого, 5ого, 6ого, 7ого, 8ого, 9ого, 10ого, 11ого, 12ого 13ого или 14ого вариантов реализации, посредством чего стимулируется иммунный ответ у субъекта. Иммунный ответ может представлять собой, например, неспецифический иммунный ответ; антиген-специфический иммунный ответ; системный иммунный ответ; мукозальный иммунный ответ; или иммунный ответ слизистой кишечника, кала или влагалища. Указанные композиции можно применять, например, для лечения или предотвращения рака; в качестве вакцины; для повышения защитного иммунитета против вызывающего грипп вируса; для повышения защитного иммунитета против вызывающего амебиаз организма; для повышения защитного иммунитета против Entamoeba histolytica; для повышения защитного иммунитета против гриппа; или для повышения защитного иммунитета против амебиаза. Путь введения указанной композиции может быть пероральным, топическим, парентеральным, сублингвальным, буккальным, ректальным, вагинальным, внутривенным, внутрикожным, трансдермальным, интраназальным, внутрислизистым или подкожным. Липосому или композицию можно вводить вместе с коадъювантом - ретиноевой кислотой. Указанный субъект может представлять собой, например, человека или не относящегося к человеку млекопитающего. [0274] Согласно настоящему изобретению в шестнадцатом варианте реализации предложен способ индукции ответа Th1-клеток у субъекта, включающий введение указанному субъекту липосомы или композиции согласно любому из 1ого, 2ого, 3его, 4ого, 5ого, 6ого, 7ого, 8ого, 9ого, 10ого, 11ого, 12ого 13ого или 14ого вариантов реализации, посредством чего вызывается ответ Th1-клеток у субъекта. Иммунный ответ может представлять собой, например, неспецифический иммунный ответ, антиген-специфический иммунный ответ, системный иммунный ответ, мукозальный иммунный ответ, или иммунный ответ слизистой кишечника, кала или влагалища. Указанные композиции можно применять, например, для лечения или предотвращения рака, в качестве вакцины; для повышения защитного иммунитета против вызывающего грипп вируса; для повышения защитного иммунитета против вызывающего амебиаз организма; для повышения защитного иммунитета против Entamoeba histolytica; для повышения защитного иммунитета против гриппа; или для повышения защитного иммунитета против амебиаза. Путь введения указанной композиции может быть пероральным, топическим, парентеральным, сублингвальным, буккальным, ректальным, вагинальным, внутривенным, внутрикожным, трансдермальным, интраназальным, внутрислизистым или подкожным. Липосому или композицию можно вводить вместе с коадъювантом - ретиноевой кислотой. Указанный субъект может представлять собой, например, человека или не относящегося к человеку млекопитающего. [0275] Согласно настоящему изобретению в семнадцатом варианте реализации предложен способ стимуляции системного иммунного ответа и мукозального иммунного ответа у субъекта, включающий интраназальное введение субъекту липосомы или композиции согласно любому из 1ого, 2ого, 3его, 4ого, 5ого, 6ого, 7ого, 8ого, 9ого, 10ого, 11ого, 12ого 13ого или 14ого вариантов реализации. Мукозальный иммунный ответ может включать, например, иммунный ответ слизистой кишечника, кала или влагалища. Мукозальный иммунный ответ может быть, например, отдален от полости носа. Липосому или композицию можно вводить вместе с коадъювантом - ретиноевой кислотой. Указанный субъект может представлять собой, например, человека или не относящегося к человеку млекопитающего. [0276] Согласно настоящему изобретению в восемнадцатом варианте реализации предложен способ получения любой из пегилированных липосом, описанных в данной заявке, включающий: а) смешивание непегилированного нейтрального липида, пегилированного липида и холестерина в органическом растворителе; b) выпаривание указанного органического растворителя, посредством чего получают липидную пленку; с) регидратацию липидной пленки в буфере; и обработку ультразвуком, микрофлюидизацию или экструдирование регидратированного продукта из этапа с). Этап а) может дополнительно включать этап смешивания с агонистом TLR. Органический растворитель может представлять собой, например, хлороформ. Регидратированный продукт из этапа (с) можно, например, разрушить ультразвуком, а затем подвергнуть микрофлюидизации. Указанный способ может дополнительно включать смешивание агента с пегилированной липосомой. Агент может представлять собой любой из агентов, описанных в данной заявке. [0277] Согласно настоящему изобретению в девятнадцатом варианте реализации предложена эмульсия типа масло в воде на основе сквалена, содержащая агонист TLR, сквален и ненасыщенный фосфатидилхолин. В таких вариантах реализации эмульсии, в производстве которых использовали ненасыщенный фосфатидилхолин по сравнению с насыщенным фосфолипидом, например, DMPC, приводили к более высокому выходу агониста TLR, т.е., к более высокой концентрации агониста TLR в конечном составе при начальной одинаковой исходной концентрации агониста TLR. [0278] Согласно настоящему изобретению в двадцатом варианте реализации предложена эмульсия типа масло в воде на основе сквалена, содержащая агонист TLR, сквален и ненасыщенный фосфатидилхолин, отличающаяся тем, что сквален присутствует в концентрации от приблизительно 30 до приблизительно 40 мг/мл и ненасыщенный фосфатидилхолин присутствует в концентрации от приблизительно 5 до приблизительно 10 мг/мл. [0279] Согласно настоящему изобретению в двадцать первом варианте реализации предложена эмульсия типа масло в воде на основе сквалена, оптимизированная для составления композиции с агонистом TLR, обычно с агонистом TLR, который нерастворим в воде (незначительная растворимость в воде), содержащая агонист TLR, сквален и ненасыщенный фосфатидилхолин (например, фосфатидилхолин из яйца), при этом сквален присутствует в концентрации приблизительно 34 мг/мл и ненасыщенный фосфатидилхолин присутствует в концентрации от приблизительно 7-8 мг/мл или приблизительно 7,6 мг/мл. [0280] Согласно настоящему изобретению в двадцать втором варианте реализации предложена любая из эмульсий согласно 19ому, 20ому или 21ому варианту реализации, необязательно дополнительно содержащая коэмульгирующий агент, регулятор тоничности и буферное вещество. В любом из вариантов реализации, описанных в данной заявке, коэмульгирующий агент может представлять собой, например, неионный линейный триблок-сополимер, такой как полоксамер (например, полоксамер 188). В любом из вариантов реализации, описанных в данной заявке, регулятор тоничности может представлять собой, например, полиол, такой как маннит или глицерин. В любом из вариантов реализации, описанных в данной заявке, буферный агент может представлять собой, например, фосфатное буферное вещество, такое как, например, аммоний-фосфатный буфер. Коэмульгирующий агент, когда он присутствует в указанной эмульсии, предпочтительно присутствует в эмульсии при концентрации от 0,1 до приблизительно 2 мг/мл, более предпочтительно при концентрации приблизительно 0,5 мг/мл, наиболее предпочтительно при концентрации приблизительно 0,36 мг/мл. Регулятор тоничности, когда он присутствует в указанной эмульсии, присутствует в количестве, достаточном чтобы вызвать осмолярность указанной композиции, равную приблизительно 250-350 мосм/кг, предпочтительно 270-315 мосм/кг. [0281] Согласно настоящему изобретению в двадцать третьем варианте реализации предложена любая из эмульсий согласно 19ому, 20ому, 21ому или 22ому варианту реализации, отличающаяся тем, что агонист TLR (а) синтетический, (b) нерастворимый в воде, (с) представляет собой имидазохинолин или содержащее имидазохинолин соединение, (d) содержит гидрофобный хвост, (е) представляет собой 3М-052, или для которой справедлива любая комбинация перечисленных вариантов. Указанные эмульсии могут дополнительно содержать по меньшей мере один агент; при этом указанный по меньшей мере один агент может представлять собой полипептид, полинуклеотид, антиген, адъювант, диагностический агент, терапевтический агент или организм. Примеры агентов включают, например, связанный с амебиазом антиген, LecA, связанный с гриппом антиген, H5N1, связанный с туберкулезом антиген, ID91, ID93, антиген из BCG, родственный вирусу гепатита антиген, антиген гепатита В, антиген гепатита С, связанный с ВИЧ антиген или связанный с раком антиген. [0282] Согласно настоящему изобретению в двадцать четвертом варианте реализации предложен способ получения эмульсий согласно 19ому, 20ому, 21ому, 22ому и 23ему вариантам реализации, включающий комбинирование агониста TLR с ненасыщенным фосфатидилхолином в органическом растворителе. Любой органический растворитель, способный растворить как агонист TLR, так и ненасыщенный фосфатидилхолин, подходит для применения, включая, например, этанол, DMF и хлороформ. Указанный способ может дополнительно включать этап (а) удаления хлороформа с помощью любого подходящего способа, включая выпаривание, с получением липидной пленки, (b) добавления сквалена к высушенной липидной пленке и (с) и смешивания полученной смеси, например, путем обработки ультразвуком (например, на водяной бане при 60°С), или микрофлюидизации, или простого перемешивания. [0283] Согласно настоящему изобретению в двадцать пятом варианте реализации предложены фармацевтические композиции, содержащие любую из эмульсий согласно 19ому, 20ому, 21ому, 22ому и 23ему вариантам реализации; и фармацевтически приемлемый носитель. [0284] Согласно настоящему изобретению в двадцать шестом варианте реализации предложен способ стимуляции иммунного ответа у субъекта, включающий введение субъекту любой из эмульсий согласно 19ому, 20ому, 21ому, 22ому и 23ему вариантам реализации или фармацевтических композиций согласно 25ому варианту реализации. Иммунный ответ может представлять собой, например, иммунный ответ Th1-клеток; неспецифический иммунный ответ, антиген-специфический иммунный ответ, системный иммунный ответ, мукозальный иммунный ответ, или иммунный ответ слизистой кишечника, кала или влагалища. Указанные эмульсии или композиции можно применять, например, для лечения или предотвращения рака, в качестве вакцины; для повышения защитного иммунитета против вызывающего грипп вируса; для повышения защитного иммунитета против вызывающего амебиаз организма; для повышения защитного иммунитета против Entamoeba histolytica; для повышения защитного иммунитета против гриппа; или для повышения защитного иммунитета против амебиаза. Путь введения указанной композиции может быть пероральным, топическим, парентеральным, сублингвальным, буккальным, ректальным, вагинальным, внутривенным, внутрикожным, трансдермальным, интраназальным, внутрислизистым или подкожным. Липосому или композицию можно вводить вместе с коадъювантом - ретиноевой кислотой. Указанный субъект может представлять собой, например, человека или не относящегося к человеку млекопитающего. [0285] Следующие примеры предложены с целью иллюстрирования, но не с целью ограничения. ПРИМЕРЫ Пример 1. Получение состава и тестирование содержащих лиганд TLR липосом для вакцин от амебиаза Материалы и методы Составы с адъювантами, антиген LecA [0286] Все адъюванты были получены в Исследовательском институте инфекционных заболеваний (IDRI, Сиэтл, Вашингтон) и предложены в виде 2Х или 5Х концентрированных составов для смешивания с антигеном непосредственно перед инъекцией. [0287] Антиген LecA производили в TECHLAB (Блэксберг, Виргиния), как описано (Barroso L, Abhyankar М, Noor Z, Read K, Pedersen K, White R, и др. Expression, purification, and evaluation of recombinant LecA as a candidate for an amebic colitis vaccine. Vaccine. 2014;32(10): 1218-). Глюкопиранозил-липидный адъювант (GLA), 1,2-дипальмитоил-sn-глицеро-3-фосфохолин (DPPC), 1,2-дистеароил-sn-глицеро-3-фосфоэтаноламин-N-(метокси(полиэтиленгликоль)-750) (DSPE-ПЭГ-750) и 1,2-дистеароил-sn-глицеро-3-фосфоэтаноламин-N-(метокси(полиэтиленгликоль)-2000) (DSPE-ПЭГ-2000) получили от Corden Pharma (Листаль, Швейцария) или Avanti Polar Lipids (Алабастер, Алабама). 3М-052 был любезно предоставлен 3М Drug Delivery Systems (Сент-Пол, Миннесота). Холестерин и буферные соли приобрели у J.T. Baker (Сан-Франциско, Калифорния). GLA, используемый в примерах, отвечает структуре формулы (VI), где R1, R3, R5 и R6 представляют собой С11 алкил; и R2 и R4 представляют собой С13 алкил. [0288] Составы пегилированных липосом получали путем комбинирования DPPC, холестерина, ОБРЕ-ПЭГ-750 или ОРРЕ-ПЭГ-2000, и 3М-052 и/или GLA в хлороформе. Молярное соотношение между липидами составляло 9,8:5,7:0,8 (DPPC:холестерин:пегилированный липид). Органический растворитель затем выпаривали из указанных составов в течение по меньшей мере 12 ч, применяя роторный испаритель. Тонкую липидную пленку регидратировали в 25 мМ аммоний-фосфатном буфере (рН ~5,7) и обрабатывали ультразвуком на водяной бане Crest Powersonic CP230D (Трентон, Нью-Джерси) при ~60°С в течение до 30 мин. Состав затем подвергали микрофлюидизации при 10000-30000 фунтах/кв. дюйм с 5-6 пропусканиями при установке 10°С на устройстве для охлаждения рециркулирующей воды. Липосомы фильтровали через полиэфирсульфоновый фильтр с двойной мембраной с диаметром пор 0,8/0,2 мкм и хранили при 5°С, температуре окружающей среды, 37°С или 60°С. Альтернативой микрофлюидизации является обработка ультразвуком. [0289] Эмульсии типа сквален в воде получали с помощью микрофлюидизации (M110P, Microfluidics Corp) при 30000 фунтах/кв, дюйм по существу как описано (Fox и др. Vaccine 2013, 31:5848). Адсорбированные на алюминии составы получали путем смешивания водного липидного компонента указанной суспензии GLA на основе пегилированного липида или водного раствора CpG 1826 с алгидрогелем® (Brenntag Biosector), как описано ранее (Fox и др. J Pharm Sci 2012, 101:4357 и Fox и др.) Измерения физико-химической стабильности [0290] Размеры частиц эмульсии и липосомы измеряли с помощью динамического рассеяния света после разведения в воде 1:100. Краткосрочную (≤24 ч) физико-химическую совместимость смеси антиген-адъювант оценивали путем отслеживания размера частиц, внешнего вида и первичной структуры антигена незамедлительно после смешивания и через 4 и 24 ч после смешивания, при этом смеси хранили при 5°С и температуре окружающей среды. Антиген сначала разбавляли в солевом растворе до 0,1 мг/мл, а затем смешивали 1:1 по объему с составом липосомального адъюванта. Размер частиц измеряли, как описано выше, за исключением того, что готовили одну кювету вместо трех. Проводили электрофорез в полиакриламидном геле с додецилсульфатом натрия (ЭФ в ПААГ/ДСН) путем смешивания 50 мкл образца с 50 мкл 4х восстанавливающего буфера для образца и 100 мкл 20% ДСН. Образец грели при 90°С в течение 5 мин и хранили при -20°С, после чего повторно грели в течение 1 мин при 90°С и загружали на полиакриламидный гель с Трис-глициновым подвижным буфером на 65 м при 180 В, а затем окрашивали кумасси бриллиантовым синим. [0291] Применяя способ высокоэффективной жидкостной хроматографии (ВЭЖХ), определяли концентрацию 3М-052 путем детектирования поглощения УФ на 320 нм и определяли концентрацию GLA путем детектирования заряженного аэрозоля. Способ ВЭЖХ был описан ранее (Misquith A, Fung М, Dowling QM, Guderian JA, Vedvick TS, Fox СВ. In vitro evaluation of TLR4 agonist activity: formulation effects. Coll Surf B: Biointerfaces. 2014; 113:312-9). Концентрации адъюванта считали находящимися в пределах нормы, если измеренные значения были в рамках +/- 20% от целевой концентрации. Размер частиц липосом и полидисперсность размера оценивали, применяя Zetasizer Nano-S или -ZS от Malvern Instruments (Вустершир, Великобритания). Состав разбавляли в 100 раз в воде высшей степени очистки (18,2 мОм) в полистироловой одноразовой кювете емкостью 1,5 мл. Для каждого состава получали три отдельные кюветы. Затем проводили все измерения размера по три раза для каждой кюветы. В редких случаях частицы пыли приводили к очевидным отклонениям измерений: в таких случаях измерение в сомнительной кювете отбрасывали из серии измерений. Концентрацию лиганда TLR, размер частиц и внешний вид регулярно контролировали, как указано. Иммунизации [0292] Самцов мышей CBA/J в возрасте от четырех до шести недель приобрели у Jackson Labs. Немеченый антиген LecA очищали в TechLab Inc. (Блэксберг, Виргиния) и применяли по 5 мкг антигена для каждой иммунизации каждой мыши. Все исследования на мышах проводили строго в соответствии с нормами Институционального комитета по содержанию и использованию лабораторных животных (IACUC). Для подкожной иммунизации в область шеи смешивали LecA с соответствующим адъювантом (таблица 1) и доводили объем до 100 мкл солевым раствором для инъекций. Интраназальные иммунизации проводили под анестезией и обычно использовали по 10 мкл смеси антиген-адъювант на ноздрю. Соблюдали двухнедельный интервал между успешными иммунизациями для всех схем приема. Для экспериментов, включающих еженедельное введение дозы полностью транс-ретиноевой кислоты (РК), каждая мышь получала интраперитонеально 150 мкг полностью транс-ретиноевой кислоты (Sigma), растворенной в конечном объеме 50 мкл ДМСО. Исходный раствор РК хранили при -80°С с защитой от света. Все адъюванты хранили при 4°С и составы получали асептическим способом непосредственно перед иммунизацией. Измерение иммуногенности [0293] Титры антител измеряли с помощью ELISA, используя 96-луночные планшеты, покрытые 0,5 мкг лектина на лунку. Образцы плазмы разбавляли соответствующим образом и измеряли титры антиген-специфических подтипов IgG, используя разбавленные 1:10000 конъюгированные с пероксидазой хрена детектирующие антитела козы к IgG1 и IgG2a мыши (Southern Biotechnology). Супернатанты кала получали, как описано (Guo X, Barroso L, Becker SM, Lyerly DM, Vedvick TS, Reed SG и др.). Защита от амебиаза кишечника с помощью рекомбинантной вакцины передавалась с Т-клетками и опосредовалась интерфероном гамма (Infect Immun. 2009, сентябрь; 77(9):3909-18). Вкратце, только что собранные образцы кала ресуспендировали (5 мкл разбавителя на мг кала) в ФБР, содержащем коктейль ингибиторов протеаз (Roche), и интенсивно перемешивали в течение 5 минут. Нерастворимый материал удаляли посредством двух последовательных этапов центрифугирования при 3000 об/мин и 12000 об/мин и хранили супернатант при -20°С. Соответствующим образом разбавленные супернатанты кала использовали для ELISA и конъюгированные с пероксидазой хрена антитела козы к IgA мыши при разведении 1:5000 использовали в качестве вторичного антитела. Единицы антител определяли, используя стандартные кривые. [0294] Для измерения внеклеточных цитокинов спленоциты повторно стимулировали 50 мкг/мл LecA в течение 72 ч и анализировали супернатанты с помощью мультиплексной системы на основе суспензионных чипов, применяя гранулы Luminex (BioRad) (Guo X, Barroso L, Becker SM, Lyerly DM, Vedvick TS, Reed SG, и др. Protection against intestinal amebiasis by a recombinant vaccine is transferable by T cells and mediated by gamma interferon (Infect Immun. 2009, сентябрь; 77(9):3909-18). Образцы анализировали неразбавленными в соответствии с инструкциями производителя и измеряли в пикограммах на миллилитр супернатанта. Условия культивирования и эксперименты по провокации [0295] Трофозоиты, исходно полученные из НМ1: IMSS (Американская коллекция типовых культур (АТСС)), последовательно пропущенные через слепые кишки мышей, использовали для экспериментов по провокации. Трофозоиты поддерживали в среде трипсин-дрожжевой экстракт-железо (TYI-S-33), дополненной 2% витаминов Diamond, 13% термоинактивированной бычьей сыворотки (Gemini Labs) и 100 ед/мл пенициллина плюс 100 мкг/мл стрептомицина (Invitrogen) (Diamond LS, Harlow DR, Cunnick CC. A new medium for the axenic cultivation of Entamoeba histolytica and other Entamoeba. Trans R Soc Trop Med Hyg. 1978; 72(4):431-2). Мышей из иммунизированной и контрольной групп провоцировали внутрь слепой кишки через четыре недели после конечной иммунизации двумя миллионами трофозоитов в 150 мкл среды после лапаротомии (Houpt Е, Barroso L, Lockhart L, Wright R, Cramer C, Lyerly D, и др. Prevention of intestinal amebiasis by vaccination with the Entamoeba histolytica Gal/GalNac lectin. Vaccine. 2004, январь, 26; 22(5-6):611-7). Мышей умерщвляли через неделю после провокации. Слепые кишки промывали 1 мл ФБР, 300 мкл смыва со слепой кишки культивировали в бульоне TYI-S-33 в течение до пяти дней и 200 мкл использовали для анализа ELISA антигенной нагрузки. Эффективность вакцины рассчитывали как 100×(1-(% вакцинированных мышей с инфекцией)/ (% подвергнутых ложной иммунизации мышей с инфекцией) (Guo X, Barroso L, Becker SM, Lyerly DM, Vedvick TS, Reed SG, и др. Protection against intestinal amebiasis by a recombinant vaccine is transferable by T cells and mediated by gamma interferon. Infect Immun. 2009 г, сентябрь; 77(9):3909-18; Soong CJ, Kain КС, Abd-Alla M, Jackson TF, Ravdin JI. A recombinant cysteine-rich section of the Entamoeba histolytica galactose-inhibitable lectin is efficacious as a subunit vaccine in the gerbil model of amebic liver abscess. J Infect Dis. 1995, март; 171(3):645-51). Детектирование калового антигена [0296] Каловый антиген в содержимом слепой кишки детектировали, применяя набор Е. his II ELISA (TechLab Inc., Блэксберг, Виргиния). Оптическую плотность при 450 нм на ≥0,05 выше, чем у отрицательного контроля, считали положительным результатом. Стандартную кривую получали, применяя очищенный LecA. Анализ прилипания [0297] Клетки яичника китайского хомячка (СНО) выращивали в среде α-МЕМ и трофозоиты Е. histolytica выращивали, как описано выше. Трофозоиты Е. histolytica предварительно инкубировали с десятикратным разведением каловых супернатантов из контрольной или иммунизированной групп на льду в течение 1 ч. Трофозоиты и клетки СНО затем смешивали при соотношении 1:20 и продолжали инкубацию в течение 90 мин на льду в полистироловых пробирках с круглым дном. Непосредственно перед подсчетом с помощью микроскопа пробирки быстро встряхивали на вортексе и подсчитывали клетки на гемоцитометре. Прилипание измеряли как количество трофозоитов, к которым прилипло по меньшей мере 3 клетки СНО, и регистрировали как % образования розеток. Каждый образец анализировали в трех повторах и подсчитывали минимум 100 амеб (Barroso L, Abhyankar М, Noor Z, Read К, Pedersen К, White R, и др. Expression, purification, and evaluation of recombinant LecA as a candidate for an amebic colitis vaccine. Vaccine. 2014, февраль, 26; 32(10): 1218-24; Ravdin JI, Guerrant RL. Role of adherence in cytopathogenic mechanisms of Entamoeba histolytica. Study with mammalian tissue culture cells and human erythrocytes. J Clin Invest. 1981, ноябрь; 68(5): 1305-13). Статистический анализ [0298] Все анализы проводили, применяя программное обеспечение Graph Pad Prism. Соотношения инфицированных и неинфицированных мышей из исследований с провокацией анализировали, применяя точный критерий Фишера. Различия в антигенных нагрузках, титрах антител и ингибировании прилипания анализировали, применяя критерий Манна-Уитни. Результаты Физико-химическая стабильность. [0299] Стабильность липосом отслеживали по динамическому рассеянию света (размер частиц и полидисперсность размера), внешнему виду и ВЭЖХ (концентрация GLA и 3М-052). Выявили лишь небольшие изменения или отсутствие изменений в значениях размера частиц и полидисперсности размера за 12 месяцев хранения при 5°С, хотя значения полидисперсности для липосом, содержащих Б8РЕ-ПЭГ-2000, были значительно выше, чем значения полидисперсности для липосом, содержащих DSPE-ПЭГ-750 (фиг. 1А). Внешний вид липосом был одинаково светопроницаемым и гомогенным и не изменялся с течением времени. Во время хранения при 37°С липосом, содержащих DSPE-ПЭГ-2000, наблюдали большие изменения размера частиц и полидисперсности размера с течением времени по сравнению с липосомами, содержащими DSPE-ПЭГ-750 (фиг. 1С - 1D). Концентрации GLA и 3М-052 не изменились за 12 месяцев в образцах, которые хранили при 5°С. При 37°С скорость утраты GLA была выше, чем таковая для 3М-052, при этом утрата GLA составляла >40% после 6 месяцев хранения, при этом не наблюдали детектируемой утраты 3М-052. [0300] Для того чтобы оценить краткосрочную (≤24 ч) совместимость адъюванта и антигена LecA после смешивания, исходный раствор антигена разбавляли в солевом растворе, а затем смешивали 1:1 в объемном отношении с адъювантом, чтобы имитировать планируемую процедуру смешивания для исследований по иммунизации in vivo, описанных ниже. У составов наблюдали светопроницаемый, гомогенный внешний вид до и после смешивания с антигеном. В целом, наблюдали незначительные изменения (<15%) или отсутствие изменений размера частиц в течение 24 ч после смешивания с антигеном при хранении при 5°С либо при температуре окружающей среды, хотя у липосом, содержащих DSPE-ПЭГ-2000, выявили незначительно большую склонность к увеличению размера по сравнению с липосомами, содержащими ПЭГ меньшей длины (DSPE-ПЭГ-750). В целом, присутствие GLA, 3М-052 или обоих агонистов вместе, похоже, не влияло на результаты совместимости размера частиц. Аналогичным образом, значения полидисперсности размера незначительно изменялись, хотя полидисперсность была выше для липосом, содержащих DSPE-ПЭГ-2000, по сравнению с липосомами, содержащими DSPE-ПЭГ-750. Анализ методом ЭФ в ПААГ/ДСН смесей антиген-адъювант не выявил изменений в первичной структуре антигена в любой момент времени или при любом условии хранения в течение 24 ч независимо от состава липосом, показав однородную отдельную полосу около ожидаемой молекулярной массы. В совокупности полученные результаты свидетельствуют о том, что для смеси антиген-адъювант наблюдают приемлемую краткосрочную совместимость по меньшей мере вплоть до 24 ч при 5°С или температуре окружающей среды. Оценка иммуногенности и выбор состава липосом [0301] Используя в качестве иммуногена рекомбинантный адгезии LecA Е. histolytica, проводили скрининг адъювантов, которые смогли бы вызвать сбалансированный иммунный ответ. Получали адъюванты, содержащие синтетические агонисты TLR, как показано в таблице 2, и оценивали их способность вызывать антиген-специфический гуморальный ответ. [0302] Каждый из данных адъювантов состоит из фармацевтически приемлемых компонентов и подходит для клинических исследований. Для составов с эмульсией и липосомами продемонстрировали средний размер частиц 65-130 нм в зависимости от конкретного состава и способа обработки, тогда как содержащие алюминий составы содержали микрочастицы. Получали девять составов путем смешивания адъювантов с очищенным немеченым белком LecA и иммунизировали мышей подкожно. По пять мышей на группу иммунизировали три раза подкожно с 2-недельным интервалом антигеном LecA, смешанным с соответствующим адъювантом. Образцы плазмы, собранные через неделю после заключительной иммунизации, разбавляли в 256000 раз и анализировали в них продукцию IgG1 и IgG2a с помощью ELISA. Уровень *IgG2a, вызванный составом LecA с адъювантом GLA 3М-052-липосома был статистически значимым по сравнению со всеми другими группами, за исключением ЕМ014 (GLA-CpG-ЭС) и 3М-052-эмульсии. Титры подклассов IgG в плазме определяли с помощью ELISA (фиг. 2). На фиг. 2 показано, что для состава липосом, содержащего смесь GLA (агонист TLR-4) и 3М-052 (агонист TLR-7/8) (обозначен GLA-3M-052-LS), выявили сбалансированный ответ IgG и выбрали его для дальнейшего исследования. [0303] Далее исследовали способность GLA-3M-052-LS вызывать продукцию антиген-специфического цитокина, свидетельствующую об опосредованном клетками иммунном ответе. Спленоциты повторно стимулировали LecA in vitro и анализировали супернатанты культур. LecA с адъювантом GLA-3М-052-липосома вызывал сильные ответы IFN-γ и IL-17, которые являются маркерами защиты в модели на мышах (фиг. 3А - 3D). В частности, мышей умерщвляли через неделю после третьей иммунизации и повторно стимулировали спленоциты LecA в течение 72 ч. Продукцию внеклеточных IFN-γ, IL-17, IL-2 и IL-4 детектировали в супернатанте культуры с помощью Luminex и выразили в виде пг/мл. *=р<0,05; **=р<0,001. [0304] Кроме того, в мононуклеарных клетках периферической крови (МКПК) только из группы LecA с адъювантом GLA-3M-052-липосома выявили умеренное, но статистически значимое внутриклеточное окрашивание IFN-γ. [0305] Также исследовали возможность совместного использования полностью транс-ретиноевой кислоты (РК) в качестве коадъюванта. Мыши в соответствующих группах получали еженедельную инъекцию РК. Схема приема с содействием РК дополнительно повышала уровни IFN-γ и IL-17 (также см. фиг. 3А - 3D). В обеих (адъювант + LecA) и (адъювант + LecA + РК) группах формировался эквивалентный ответ IL-2; тогда как схема приема с содействием РК приводила к немного более сильному ответу IL-4. [0306] Поскольку вакцина на основе липосом также подходит для мукозальной иммунизации, использовали смешанную мукозально/парентеральную схему иммунизации для последующих экспериментов, чтобы проверить ее способность вызывать антиген-специфический ответ IgA в кишке. Ответ IgA в слизистой оболочке и его способность ингибировать прилипание [0307] Мышей примировали интраназальной иммунизацией, а затем подкожной и интраназальной повторной иммунизацией. Мыши в группах с содействием РК получали еженедельную инъекцию РК. На фиг. 4а показано, что LecA с адъювантом вызывал сильный ответ IgA в слизистой оболочке, который был антиген-специфическим. Добавление РК помогло повысить титр IgA. Прилипание трофозоитов Е. histolytica к целевым клеткам является первичным и ключевым этапом в начале инфекции. [0308] Для того чтобы оценить, является ли IgA в слизистой защитным по природе, исследовали in vitro его способность блокировать прилипание паразитов к клеткам СНО. Предварительная инкубация трофозоитов с каловыми супернатантами из иммунизированных мышей значительно уменьшала их способность к прилипанию (фиг. 4b). У суспензий кала в схемах приема (адъювант + LecA) или (адъювант + LecA + РК) выявили сравнимую способность ингибировать прилипание. Таким образом, LecA с адъювантом вызывал ответ in vitro высоким титром IgA кишки, который был защитным. Состав нанолипосом, содержащий синергичные агонисты TLR, обладает способностью защищать от паразитарной провокации кишечника. [0309] Исследовали способность адъюванта GLA-3М-052-липосома защищать от провокации Е. histolytica, применяя модель амебиаза кишечника у мышей. Мышей из контрольной и экспериментальной иммунизированной групп провоцировали внутрь слепой кишки вирулентным штаммом Е. histolytica и собирали слепые кишки через неделю после провокации, чтобы оценить антигенную нагрузку (фиг. 5а), а также присутствие живых паразитов (фиг. 5b). LecA с адъювантом значительно уменьшал антигенную нагрузку по сравнению с контрольными мышами, и такое уменьшение было еще более явным при применении РК в качестве коадъюванта. У указанного адъюванта при данной схеме приема выявили умеренную эффективность, составляющую 34%. Тем не менее, добавление РК в схему приема по существу повышало эффективность до 69,2% (таблица 3). Формула, применяемая для расчета эффективности вакцины, была следующей: [0310] Эффективность = 100×(1-(% вакцинированных мышей с инфекцией)/(% подвергнутых ложной иммунизации мышей с информацией). [0311] Эффективность для группы адъювант + LecA=100×(1-46/69,2)=100×(1-0,66)=34% [0312] Полученные результаты подтверждают, что состав нанолипосом, содержащий смесь синтетических синергичных агонистов TLR, обладает способностью вызывать антиген-специфический защитный ответ, и он совместим с иммунизацией с содействием микронутриентов. Влияние длины ПЭГ На фиг. 6-7 показано, что более сильные ответы наблюдали для составов с ПЭГ-2000 по сравнению с составами с ПЭГ-750. На фиг. 6 показаны сбалансированные титры IgG2a и IgG1 для группы GLA-3M-052 ПЭГ-2000+LecA; также наблюдали более высокие титры для данной группы по сравнению с группой GLA-3M-052 ПЭГ-750+LecA. На фиг. 7 исследовали влияние длины ПЭГ на ответ IgA в слизистой кала. На фиг. 7 показано, что ответ IgA в кале для группы GLA-3M-052 ПЭГ-2000+LecA был больше, чем для группы GLA-3M-052 ПЭГ-750+LecA. Таким образом, увеличение длины ПЭГ в липосоме повышает ответ IgA в слизистой оболочке. Влияние пути доставки [0313] Исследовали, влияет ли путь доставки при иммунизации на иммунные ответы. На фиг. 8А - В изображено влияние пути доставки на иммунизацию, при этом наиболее высокие титры IgG2a и IgA получили при схеме приема с только и/н (интраназальным) введением. Липосома + адъювант вызывали сильный мукозальный и системный иммунный ответ Th1 IgA кишки против LecA (16В). [0314] На фиг. 9А - 9В дополнительно изображены пути доставки. При схеме приема с только интраназальным введением образовывалось эквивалентное или большее количество IFN-γ и IL-17 по сравнению с другими схемами приема. Схема приема с введением LecA + липосома + адъювант только в слизистую вызывала сильный мукозальный и системный иммунный ответ Th1 IFN-γ (9А - В, таблица 4). Не ожидали, что интраназальная доставка вызовет IgA ответ (системный ответ). Это показало, что мукозальная доставка GLA и 3М-052 в составе липосомы с LecA вызывала системный иммунный ответ. Полученные результаты демонстрируют, что немукозальное введение указанной композиции вызывает сильный системный иммунный ответ, о чем свидетельствуют соотношения IgG2a/IgG1. Не ожидали, что введение указанной композиции интраназально на поверхность слизистой вызывает не только местный ответ слизистой в носовых ходах, но также и отдаленный ответ слизистой кишечника (кала). Обсуждение результатов [0315] Важным результатом данного исследования было выявление адъюванта нанолипосомы, содержащего синтетические агонисты TLR, которые были способны вызывать системный, а также мукозальный иммунный ответ. Система адъюванта на основе липосом, содержащая агонисты TLR4 (GLA) и TLR7/8 (3М-052), вызывала сбалансированный гуморальный и сильный цитокиновый ответ. GLA представляет собой синтетический лиганд TLR4, который входит в состав платформ на основе липидов, используемых в различных клинических испытаниях в фазах 1 и 2. 3М-052 представляет собой синтетический лиганд TLR7/8, используемый в перспективных доклинических разработках (Fox и др. Immunopotentiators in Modern Vaccines, 2ое изд, в печати; Smirnov и др. Vaccine 2011, 29:5434; Zhao и др. J Immunother Cancer 2014, 2:12; Singh и др. J Immunol 2014, 193:4722). Липосомальный состав с GLA и 3М-052 подходил для смешанной мукозально/парентеральной схемы иммунизации, а также вызывал сильный ответ IgA в слизистой оболочке. У иммунизированных мышей, которых провоцировали Е. histolytica, выявили существенное снижение антигенной нагрузки. Состав нанолипосом с GLA 3М-052 был совместим с применением полностью транс-ретиноевой кислоты в качестве коадъюванта, и такая схема приема дополнительно повышала эффективность защиты и уровни IgA в слизистой. Пример 2. Получение составов 3М-052 адъювантов и их тестирование для вакцин от гриппа Материалы и методы Получение составов материалов и производство [0316] 3М-052 синтезировали у себя в 3М Company. R848 был предоставлен 3М или приобретен у Axxora Life Sciences Inc. (Сан-Диего, Калифорния). Синтетический 1,2-дипальмитоил-sn-глицеро-3-фосфохолин (DPPC), 1,2-димиристоил-sn-глицеро-3-фосфохолин (DMPC), 1,2-диолеоил-зп-глицеро-3-фосфохолин (DOPC), 1,2-дигексадеканоил-sn-глицеро-3-фосфо-(1'-рац-глицерин) (DPPG), 1,2-дипальмитоил-3-триметиламмоний-пропан (DPTAP), 1,2-дипальмитоил-5п-глицеро-3-фосфоэтаноламин-N-(метокси(полиэтиленгликоль)-750) (DPPE-ПЭГ-750) и фосфатидилхолин из яйца (ФХ) приобрели у Avanti polar lipids Inc (Алабастер, Алабама) или Lipoid LLC (Ньюарк, Нью-Джерси). Сквален получали от Sigma (Сент-Луис, Миссури). Холестерин, фосфат аммония одноосновный и фосфат аммония двухосновный приобрели у J.T. Baker (Сан-Франциско, Калифорния). Полоксамер 188 и глицерин приобрели у Spectrum Chemical (Гардина, Калифорния). Фосфатно-солевой буферный раствор (1 × ФБР) при рН 7,2 приобрели у Invitrogen (Гранд Айленд, Нью-Йорк). [0317] Небольшие партии (≤20 мл) составов пегилированных липосом получали путем комбинирования DPPC, холестерина и DPPE-ПЭГ-750 с различными количествами 3М-052 в органическом растворителе (хлороформ или смесь хлороформ/метанол/вода). Органический растворитель затем выпаривали, применяя Genevac EZ-2. Липидную пленку регидратировали в ФБР (рН 7,2) или 25 мМ аммоний-фосфатном буфере (рН 5,7) и обрабатывали ультразвуком на водяной бане для обработки ультразвуком Crest powersonic CP230D (Трентон, Нью-Джерси) при ~60°С в течение ~2-3 часов или до тех пор, пока составы не становились светопроницаемыми с отсутствием больших видимых частиц. Такой же процедуры придерживались для нейтральных липосом (DOPC, холестерин), анионных липосом (DPPC, холестерин, DPPG) и катионных липосом (DPPC, холестерин, DPTAP). Соотношения масс компонентов липосом описаны далее: пегилированные (18:5,5:3, DPPC:хол:DPPE-ПЭГ-750), нейтральные (20:5, DOPC:хол), анионные (18:5:2, DPPC:хол:DPPG), катионные (18:5:2, DPPC:хол:DPTAP). Более крупные партии (100 мл) пегилированных липосом производили, как описано выше, но с более кратковременной обработкой ультразвуком с последующей гомогенизацией с большим усилием сдвига (Microfluidizer М110Р) с 12 непрерывными пропусканиями при 30000 фунтах/кв.дюйм. [0318] Липосомы, содержащие R848, получали путем производства концентрированной композиции пегилированных липосом, как описано выше, за исключением того, что липосомы сначала гидратировали раствором 75 мМ сульфата аммония. После обработки ультразвуком при 60°С ~ 1 ч использовали колонку PD-10 (GE Healthcare), чтобы заменить внешний буфер липосом на 0,9% солевой раствор. Липосомы, теперь с солевым раствором во внешнем буфере и с сульфатом аммония внутри, смешивали с солевым раствором, содержащим R848, и инкубировали в течение 1 ч при 60°С. Наконец, липосомы пропускали через другую колонку PD-10, чтобы удалить не заключенный в липосомы R848. [0319] Стабильные эмульсии типа масло в воде (СЭ) получали путем растворения 3М-052 в хлороформе с DMPC или ФХ из яйца. Хлороформ затем удаляли, применяя роторный испаритель. Сквален затем добавляли к высушенной липидной пленке и стеклянный контейнер помещали на водяную баню для обработки ультразвуком при 60°С на ~1 ч. Данную смесь назвали масляной фазой. В качестве альтернативы масляную фазу получали путем диспергирования 3М-052 непосредственно в сквалене и DMPC (без ФХ из яйца или хлороформа). Затем добавляли водную фазу в масляную фазу с получением конечной концентрации 25 мМ аммоний-фосфатного буфера, 0,037% (по массе) полоксамера 188 и 1,8% (в объемном отношении) глицерина (изотонический агент), 4% в объемном отношении сквалена, 7,6 мг/мл DMPC или ФХ из яйца, и различные количества 3М-052. Некоторые эмульсии также содержали 0,02% в объемном отношении α-токоферола. Неочищенную эмульсию получали путем обработки ультразвуком указанной смеси на водяной бане при 60°С в течение дополнительных 10-15 минут. Конечную эмульсию получали путем пропускания неочищенной эмульсии через гомогенизатор с большим усилием сдвига (Microfluidizer M110P) 12 раз без перерыва при 30000 фунтах/кв.дюйм. [0320] Получали эмульсии с R848 путем производства концентрированной эмульсии, описанной выше, и ее смешивания с сухим порошком R848 или с раствором R848 в аммоний-фосфатном буфере. Эмульсии и липосомы фильтровали через мембрану с диаметром пор 0,2 мкм перед проведением описанных ниже экспериментов in vivo. Определение характеристик состава [0321] Концентрации 3М-052 и R848 оценивали после разбавления каждого состава в 20 раз в растворе 98% этанол/2% HCl в кювете. Анализировали поглощение света образцами на ~322 нм в спектрофотометре Hitachi U-3900H (Токио, Япония). Размер частиц оценивали, применяя Zetasizer Nano-S, -ZS или -APS от Malvern Instruments (Вустершир, Великобритания). Составы разбавляли в 100 раз в воде высшей степени очистки в одноразовой полистироловой кювете емкостью 1,5 мл. Для каждого состава подготовили по три отдельные кюветы. Затем проводили все измерения размера по три раза для каждой кюветы. Дзета-потенциалы измеряли, применяя Malvern Zetasizer Nano-ZS. Объединяли 50 мкл каждого состава с 950 мкл воды высшей степени очистки в одноразовой капиллярной кювете (Malvern Instruments, DTS1070). Для каждого полученного образца проводили девять измерений (один образец на состав). Исходные растворы вируса и вакцины [0322] Все антигены вакцины, используемые в данном исследовании, получали из вируса гриппа А/Вьетнам/1203/04 (VN1203). Рекомбинантный белок ГА (рГА), используемый в исследованиях на мышах иммуногенности и провокации, получали от Protein Sciences Corp.Для иммунизации хорьков и исследований их провокации получали расщепленную вакцину VN1203 качества, подходящего для клинического применения, от Sanofi Pasteur. [0323] Исходные растворы вируса для исследований провокации мышей и хорьков получали путем прививки оплодотворенных куриных яиц в возрасте 10 дней исходными растворами H5N1, как описано. Осветленную аллантоиновую жидкость фильтровали и хранили при -80°С до момента применения. Титры вируса определяли с помощью анализа образования бляшек на клетках MDCK (АТСС CCL-34), применяя стандартные анализы, как описано. Анализ стимуляции цельной крови хорьков [0324] Цельную кровь собирали из самцов хорьков Фитч и инкубировали с соединениями агониста TLR, включая имихимод (TLR7), агонист TLR7/8 CL057 (Invivogen) и синтетический агонист TLR4 - GLA. После инкубации собирали РНК как из стимулированных образцов, так и из контролей с солевым раствором, применяя набор для выделения РНК из цельной крови (Qiagen). Уровни РНК TLR7, TLR8, IL-1β и IL-8 определяли с помощью ПЦР в реальном времени. Изменения уровней экспрессии наносили на график в виде кратности изменения уровней РНК по сравнению с образцами крови, стимулированными солевым раствором. Исследования по провокации мышей [0325] Для исследований по провокации мышей группы самок мышей С57В1/6 в возрасте 6-8 недель иммунизировали рекомбинантным белком ГА H5N1 (штамм VN1203, Protein Sciences Corp.), в комбинации с адъювантом, как указано. Все иммунизации проводили внутримышечным путем в общем объеме 100 мкл, разделенном поровну между обеими ногами. Через двадцать один день после иммунизации мышей провоцировали 1×106 БОЕ A/VN/1203/05 (H5N1 клады 1). Начиная с первого дня после провокации отслеживали потерю массы тела всеми животными и наблюдали за признаками тяжелой инфекции. Животных, у которых обнаружили потерю массы тела >25% от массы тела в день 0, умерщвляли. Исследования по провокации хорьков [0326] Самцов хорьков Фитч (Mustela putoris fero, Triple F Farms, Сейр, Пенсильвания) использовали для всех исследований по иммунизации и провокации. Иммунизацию хорьков осуществляли путем инъекции 250 мкл в четырехглавую мышцу. Все животные получали 0,5 мкг расщепленной вакцины А/Вьетнам/1203/04 H5N1 (Sanofi Pasteur), полученной из государственных пандемических запасов. Через 21 день после иммунизации собирали образцы сыворотки для определения титров антител. [0327] Провокацию начинали путем закапывания 1×105 - 5×105 БОЕ вируса в легкое в объеме 50 мкл (25 мкл/ноздрю). После инфекции за животными наблюдали и взвешивали их ежедневно, чтобы отследить вызванную вирусом заболеваемость. Любое животное, потерявшее 25% от массы тела до провокации, умерщвляли. Анализ образования бляшек [0328] Титры вируса получали путем анализа образования бляшек на клетках Мадин-Дарби почек собак (MDCK). Вкратце, клетки высевали за 24 часа до начала анализа в 6-луночные планшеты при концентрации 1×106 клеток/лунку в модифицированную по способу Дульбекко среду Игла (DMEM), дополненную 10% фетальной бычьей сывороткой (FBS) и пенициллином/стрептомицином. В начале анализа, конфлюэнтные монослои MDCK промывали три раза DMEM, чтобы удалить FBS. Готовили серийные разведения образцов назальных смывов, добавляли их к монослоям в объеме 100 мкл и инкубировали при 37°С в течение 60 минут. После инкубации на монослои наносили 2 мл 0,8% агарозы (SeaKem) в среде 1 × L-15 (Lonza). После 48-72 часов инкубации проводили количественный анализ бляшек после окрашивания кристаллическим фиолетовым (BD). Анализ ингибирования гемагглютинации (АИГ) [0329] Анализы ингибирования гемагглютинина проводили, следуя протоколу ВОЗ (52). Инактивированные формалином антигены H5N1 получали из Национального института биологических стандартов и контроля (NIBSC). Все клетки анализировали, применяя промытые 1% красные кровяные клетки (эритроциты, RBC) лошади (Lampire). Анализ микронейтрализации [0330] Титры нейтрализующих антител определяли, применяя псевдотипированные лентивирусные частицы. Вкратце, псевдотипированные частицы получали путем одновременной трансфекции клеток 293Т плазмидами, экспрессирующими H5N1 и ГА, и 3 плазмидами упаковки лентивируса: pDR8.74 (55), pRSV-Rev и HR'-CMV-Luc, которая упакована в вирусные частицы и кодирует трансген люциферазы под контролем немедленно-раннего промотора CMV. Исходные растворы вируса титровали в черных 96-луночных планшетах с плоским дном (Corning), на которые за 24 часа до этого высевали 5×103 клеток MDCK/лунку в модифицированную по способу Дульбекко среду Игла (DMEM) + 10% фетальной бычьей сыворотки (FBS). Перед титрованием вируса клетки трижды промывали 200 мкл DMEM, чтобы удалить FBS, и наносили на них приготовленные серийные разведения исходных растворов вируса. После инкубации в течение 72 часов, чтобы позволить экспрессию трансгена, определяли уровни люциферазы в трансдуцированных клетках, применяя аналитическую систему BrightGlo luciferase (Promega), следуя инструкциям производителя. [0331] Для анализа нейтрализации приготовленные серийные разведения сыворотки после иммунизации смешивали при соотношении 1:1 с разбавленными исходными растворами вируса, содержащими 1×104 относительных единиц люциферазы (RLU). Смеси вируса и сыворотки инкубировали при 37°С в течение 1 часа и добавляли в планшеты, содержащие промытые клетки MDCK, как описано выше. Нейтрализующие титры определяли после оценки уровня экспрессии люциферазы во всех трансдуцированных клетках. Титр антитела IC90 определяли как наибольшее разведение сыворотки, для которого наблюдали уменьшение уровней люциферазы в 10 раз по сравнению с трансдуцированными вектором контрольными клетками. Чипы ГА [0332] Чипы ГА, содержащие белки ГА вируса гриппа, были описаны ранее (56). В данном исследовании использовали чипы второго поколения, которые содержали 278 белков ГА из различных штаммов гриппа (Sinobiological). Для иммунного анализа после вакцинации чипы сначала блокировали ФБР + 1% фетальная бычья сыворотка + 0,1% Tween-20, промывали три раза буфером для промывки Protein Array Wash Buffer (ArrayIt) и инкубировали с 300 мкл разведения 1:100 сывороток мышей после иммунизации в течение 1 часа при встряхивании. После первичной инкубации чипы промывали 5 раз буфером для промывки и инкубировали с конъюгированными с флуорофором вторичными антителами к IgG2c (Jackson Immonoresearch, артикул: 115-495-208) и IgG1 (Life Technologies, артикул: A21123) при разведении 1:2000. После инкубации в течение 30 минут при комнатной температуре чипы промывали буфером для ополаскивания Rinse Buffer (Arrayit) и анализировали, применяя устройство для сканирования чипов 400 В от Molecular Dynamics. После сканирования проводили анализ, применяя программное обеспечение для анализа результатов Tableau. ELISA [0333] Конечные титры ГА-специфических IgG, IgG1 и IgG2c определяли через семь дней и двадцать один день после иммунизации. Полистироловые 384-луночные планшеты с высокой связывающей способностью покрывали рекомбинантным ГА VN1203 (Protein Sciences Corp.) (2 мкг/мл) в 0,1 М бикарбонатном буфере для покрытия в течение 2,5 часов при комнатной температуре. Планшеты промывали три раза 0,1% ФБР-Tween 20 до и после блокирующей инкубации в течение двух часов с 0,05% ФБР-Tween 20 + 1% БСА при комнатной температуре. Готовят серийные разведения сывороток мышей в 0,05% ФБР-Tween 20 + 0,1% БСА, применяя Nanonscreen NSX-1536, инкубировали в течение ночи при 4°С и промывали пять раз. Планшеты инкубировали в течение 1 часа на качалке с конъюгированными с HRP антителами к IgGT, IgG1 или IgG2c мыши (Southern Biotechnologies). После пяти промывок планшеты проявляли на роботизированном устройстве Nanoscreen, применяя субстрат тетраметилбензидин SureBlue (Kirkegaard & Perry Laboratories). Ферментативную реакцию останавливали с помощью 1 N H2SO4, применяя роботизированное устройство Multipette Sagian. Планшеты прочитывали на 450-570 нм, применяя спектрофотометр для прочтения планшетов Synergy ELISA (Biotek) и программное обеспечение Gen5. Окрашивание внутриклеточных цитокинов [0334] Для того чтобы провести количественный анализ специфических ответов Т-клеток на вакцину, спленоциты выделяли из пяти мыши на группу после вакцинации. Эритроциты лизировали, применяя лизирующий буфер Red Blood Cell Lysis Buffer (eBioscience) и ресуспендировали в cRPMI 1640 (10% FBS, 1% пенициллин/стрептомицин; 0,1% 2-меркаптоэтанол). Клетки высевали при концентрации 107 клеток/лунку в 96-луночные планшеты и стимулировали в течение 2 часов средой или антигеном рГА (10 мкг/мл) при 37°С. Добавляли GolgiPlug (BD Biosciences) 1:50 и инкубировали клетки в течение дополнительных 8 часов при 37°С. Клетки промывали и окрашивали их поверхность мечеными флуорохромом антителами при разведении 1:100 в 1% БСА-ФБР против CD4 (клон RM4-5), CD8 (клон 53-6.7), CD44 (клон IM7) и В220 (RA3-6B2) (BioLegend и eBioscience) в присутствии внтитела против CD 16/32 (клон 93) в течение 15 минут в темноте при комнатной температуре. Клетки фиксировали и пермеабилизировали (делали проницаемыми) с помощью Cytofix/Cytoperm (BD Biosciences) в течение 30 минут при комнатной температуре в темноте. Клетки промывали Perm/Wash (BD Biosciences) и окрашивали мечеными флуорохромом антителами, чтобы детектировать внутриклеточные цитокины, как описано далее: IFN-γ (клон XMG-1.2), IL-2 (JES6-5H4), TNF (МР6-ХТ22), IL-5 (клон TRFK5) и IL-10 (клон JES5-16E3) (BioLegend и eBioscience). Окрашивание проводили в течение 15 минут при комнатной температуре в темноте. Клетки промывали, ресуспендировали в 1% БСА-ФБР и фильтровали, применяя 96-луночный фильтрационный планшет из ПП/ПЭ с диаметром пор фильтров 30-40 мкм (Pall Corp). Накапливали до 106 событий на проточном цитометре с четырьмя лазерами LSR Fortessa (BD Biosciences). Результаты анализировали с помощью программного обеспечения Flow Jo (Treestar). Результаты [0335] Липосомы на основе DPPC, модифицированные анионными, катионными или пегилированными фосфолипидами, и нейтральные липосомы на основе DOPC получали с помощью методики тонких пленок с последующей обработкой ультразвуком. Липосомы производили с высокой концентрацией 3М-052, равной 1 мг/мл, чтобы выявить какую-либо склонность к несовместимости с различными композициями липосом. После получения двух отдельных партий для каждой липосомы для пегилированной липосомы и липосомы DOPC продемонстрировали светопроницаемый внешний вид и наименьший размер частиц и полидисперсность после обработки ультразвуком (таблица 5). [0336] Пегилированную липосому выбирали для дополнительной оценки стабильности и оценки in vivo. Указанные пегилированные липосомы были отрицательно заряжены (таблица 6), наиболее вероятно благодаря анионной фосфатной группе DPPE-ПЭГ-750. [0337] Для указанных липосом продемонстрировали незначительное изменение или отсутствие изменения размера частиц в течение по меньшей мере 6 месяцев при 5°С (фиг. 10А-10В). В целом, не наблюдали явной потери 3М-052 во время производства. [0338] Составы эмульсии типа масло в воде на основе сквалена (ЭС) 3М-052 производили с помощью микрофлюидизации, получая капли размером <100 нм с низкой полидисперсностью и длительной стабильностью размера частиц (фиг. 10А-10В). Значения дзета-потенциалов эмульсий были немного отрицательными (таблица 6). Неожиданно, эмульсии, произведенные с ФХ из яйца вместо DPMC, привели к более высокому выходу 3М-052 после обработки. Более того, добавление первоначального этапа смешивания с комбинированием 3М-052 и ФХ из яйца в хлороформе дополнительно повышало выход 3М-052 по сравнению с обработкой ультразвуком сухого порошка в сквалене/ФХ из яйца без хлороформа. Таким образом, изменения композиции эмульсии и процедуры обработки оказывали значительное влияние на включение 3М-052 в конечный состав. См. таблицу 7 ниже. Состав 3М-052, комбинированный с ГА H5N1, защищал мышей от летальной провокации H5N1 после однократной иммунизации [0339] После демонстрации стабильности составов с адъювантом 3М-052 (фиг. 10А и В) исследовали способность данного агониста TLR усиливать ГА-специфические ответы на вакцину. 3М-052 в составе либо пегилированных липосом, либо эмульсии сквалена типа масло в воде (ЭС) смешивали с рекомбинантным белком ГА вируса гриппа H5N1 (А/Вьетнам/1203/штамм 04 (VN1203), Protein Sciences Corp., Мериден, Коннектикут) и применяли для иммунизации групп мышей C57Bl/6 (N=20/группу) внутримышечным путем. Через двадцать один день после однократной иммунизации всех мышей провоцировали интраназально 1000 LD50 VN1203. За десятью животными следили в течение 14 дней, чтобы определить вызванную вирусом заболеваемость, измеряемую по потере массы тела, а также смертность. В липосомальном составе адъювант 3М-052 предотвращал вызванную вирусом заболеваемость: 100% животных, получивших рГ5 + 3М-052-липосомы, выжили по сравнению с 50% животных, получивших рГ5 или рГ5 в комбинации с липосомами отдельно (фиг. 11А). У мышей, иммунизированных рГ5 + 3М-052-липосомами, не выявили потери массы тела, тогда как животные, получившие рГ5 в комбинации или без липосом, теряли массу в течение 11 дней после провокации (фиг. 11В). У животных, получивших составы на основе эмульсий, выявили соответствующую выживаемость как с 3М-052, так и без него (фиг. 11А), что согласуется с известной эффективностью эмульсий в качестве адъювантов для вакцин от гриппа. Тем не менее, у животных, получивших эмульсии в комбинации с агонистами TLR 7/8, выявили меньшую потерю массы тела за период острой инфекции по сравнению с животными, получившими рГ5 + ЭС (фиг. 11С). [0340] Дополнительно к животным, у которых отслеживали выживаемость, 5 животных/группу умерщвляли в дни 4 и 7 после провокации для измерения/наблюдения вызванной гриппом патологии в легком и определения титров вируса в легком. Через 4 дня после провокации у животных, которых иммунизировали составами с рГ5 + адъювант 3М-052, наблюдали значительно сниженные титры вируса в легком по сравнению с неиммунизированными контролями. У животных, иммунизированных составом рГ5 + 3М-052-липосомы, не смогли обнаружить какой-либо титр вируса в данный момент времени (фиг. 11D). В день 7 у животных, получивших составы с адъювантами на основе 3М-052, наблюдали минимальные титры вируса по сравнению с рГ5 отдельно. Для обоих составов на основе липосом и ЭС добавление 3М-052 приводило к значительному снижению титра по сравнению с таким же составом без TLR (фиг. 11Е). Дополнительно к сниженным титрам вируса у животных, которых иммунизировали составами с рГ5 + адъювант 3М-052, выявили значительно меньшие массы легких (фиг. 11F) и меньшие показатели патологии легких (фиг. 11G). В совокупности данные результаты демонстрируют способность 3М-052 защищать мышей даже от клинических осложнений летальной провокации вирусом птичьего гриппа. На фиг. 11Н показан титр вируса в легком. Составы с адъювантом 3М-052 вызывают ответ Th1 CD4 Т-клеток у мышей [0341] Для того чтобы исследовать корреляты защиты для содержащих 3М-052 составов с адъювантами, исследовали ответы CD4 Т-клеток, вызванные после иммунизации рГ5 в комбинации с адъювантами. После однократной иммунизации исследовали продукцию цитокинов CD4+ Т-клетками. Низкие, но детектируемые уровни положительных по Th1-цитокинам (IFNγ/TNFα/IL-2) клеток можно было продемонстрировать у животных, иммунизированных составами с адъювантом 3М-052 (фиг. 12А - С). Канонические Th1 CD+ Т-клетки можно было наблюдать для всех составов с адъювантами, которые проявили себя как защитные для животных. В соответствии с предшествующей работой, полученные результаты демонстрируют способность 3М-052 вызывать смещенный в сторону Th1 клеточный ответ у мышей после вакцинации низкими уровнями антигена. Составы с адъювантом 3М-052 вызывают расширенный перекрестно-субтипический гуморальный ответ на ГА H5N1 [0342] Наблюдали индукцию Th1 CD4 Т-клеток (IFNγ+TNFα+IL-2+) после иммунизации составами адъювантов 3М-052 (фиг. 12). Применяя чип второго поколения с высокой плотностью белков ГА, исследовали способность 3М-052 расширять гуморальный ответ, вызванный антигеном рГ5 клады 1. Чип ГА, который применяли в данном исследовании, содержал 278 отдельных белков ГА, включая по меньшей мере одного представителя из подтипов ГА 1-16. Исследовали способность обоих антител IgG1 и IgG2c связываться с белками ГА из различных подтипов. Добавление адъювантов повышало уровень антитела, индуцированного после повторной иммунизации. Для адъювантов в ЭС и липосоме выявили повышенное связывание с белками подтипа Н5 и преобладающие ответы IgG1. Добавление 3М-052 в любой из составов приводило к значительному расширению гуморального ответа, со связыванием с широким диапазоном подтипов ГА, а также к индукции перекрестно реагирующих антител IgG2c (результаты не представлены). [0343] При исследовании штаммов Н5 на чипе явно продемонстрировали ответ перекрестного связывания клады после иммунизации составами с 3М-052. У иммунизированных как 3М-052-липосомами, так и 3М-052-ЭС животных выявили повышенные уровни антитела IgG2c, которое связывалось с белками из множества клад вируса H5N1. Напротив, уровни IgG1 не зависели от присутствия 3М-052. Для того чтобы подтвердить результаты, полученные на чипах ГА, определяли конечный титр антител в сыворотке мышей после иммунизации с помощью ELISA, применяя ГА VN1203 в качестве антигена покрытия. Результаты, наблюдаемые при анализе ELISA сыворотки, отражали результаты, наблюдаемые на чипе ГА (результаты не представлены). Агонисты TLR7/8 увеличивают уровень мРНК рецептора и цитокина в цельной крови хорьков [0344] Для того чтобы подтвердить, что имидазохинолины способны стимулировать сродные рецепторы TLR у хорьков, проводили анализ стимуляции цельной крови. Цельную кровь из самцов хорьков Фитч собирали и стимулировали либо имидазохинолинами, либо синтетическим агонистом TLR4 - глюкопиранозил-липидом A (GLA). Способность молекул агониста стимулировать мРНК как цитокинов, так и рецептора TLR исследовали с помощью ПЦР в реальном времени. Стимуляция цельной крови обоими 100 мкМ R848 (известным в других видах агонист TLR7/8, 3М) и 100 мкМ CL075 (известным в других видах агонист TLR8, Invivogen) приводила к значительному повышению уровней мРНК IL-1В, IL-8, TLR7 и TLR8. Данный результат демонстрирует способность имидазохинолинов стимулировать рецепторы хорьков и позволяет предположить, что у хорьков активны оба TLR7 и TLR8, которые могут играть роль в данной модели заболевания гриппом. Составы с адъювантами 3М-052 повышают (в комбинации с антигенами H5N1) защиту от провокации хорьков H5N1 после однократной иммунизации [0345] Учитывая многообещающие результаты у мышей и подтверждение того, что имидазохинолины могут стимулировать TLR хорьков, исследовали способность содержащих 3М-052 адъювантов защищать хорьков от летальной провокации H5N1 после однократной иммунизации. Для данных исследований, адъюванты нейтральные липосомы и ЭС с 3М-052 и без него комбинировали с вакциной с расщепленным вирусом H5N1 (Sanofi), полученной из VN1203 (SP-H5). Данный антиген был выбран, так как он на сегодняшний день включен в государственные пандемические запасы Соединенных Штатов и был исследован в условиях клиники в предшествующих испытаниях. Вкратце, после исследования по подбору дозы с антигеном H5N1 отдельно (результаты не представлены), группы по 4-6 хорьков иммунизировали внутримышечным путем 0,5 мкг SP-H5, смешанного с адъювантами, как указано (фиг. 13). Через двадцать один день после иммунизации хорьков провоцировали интраназально 106БОЕ A/VN/1203/04 и отслеживали в течение 14 дней потерю массы тела, клинические показатели и выживаемость. Кроме того, собирали назальные смывы каждый второй день, начиная с дня один после провокации. В одном исследовании 3М-052/ЭС полностью защищал животных от провокации по сравнению с животными, иммунизированными SP-H5 + ЭС (фиг. 13А). 3М-052/ЭС также снижал вызванную вирусом заболеваемость по сравнению с ЭС отдельно: животные, иммунизированные SP-H5 + 3М-052/ЭС, не теряли массу тела после провокации (фиг. 13В), и у них наблюдали лишь минимальные клинические показатели на всем протяжении инфекции (фиг. 13С). Аналогичные результаты наблюдали во втором эксперименте после иммунизации животных липосомальными составами адъюванта. 3М-052-липосомы защищали 100% животных от провокации (фиг. 13Е). Аналогично составам на основе ЭС, животные, иммунизированные SP-H5 + 3М-052-липосомы, не теряли массу тела (фиг. 13F), и у них были незначительные клинические показатели (фиг. 13G). Пожалуй, наиболее важно, что исследование титров вируса в легких показало, что 3М-052 как в ЭС, так и в липосомальных составах способен уменьшать распространение вируса в назальных смывах: у животных, иммунизированных 3М-052/ЭС (фиг. 13D) или 3М-052/липосомы (фиг. 13Н), выявили значительное снижение титров вируса уже через 3 дня после провокации по сравнению с другими адъювантами или контрольными животными. В обоих случаях вирус устранялся до недетектируемых уровней ко дню 5 у всех животных, получивших адъюванты 3М-052. Составы с адъювантом 3М-052 вызывают нейтрализующий гуморальный ответ с перекрестным связыванием клады у хорьков. [0346] На основании обширного ГА-специфического гуморального ответа, который наблюдали у мышей, и наблюдаемой сильной защиты от гомологичного вируса у хорьков, напрямую исследовали титры нейтрализующих антител, индуцированных после иммунизации различными составами с адъювантами с применением псевдотипированного лентивирусного вектора ГА H5N1, содержащего трансген люциферазы. Вкратце, приготовленные серийные разведения образцов сыворотки инкубировали с лентивирусными частицами, содержащими на поверхности белки ГА и NA H5N1. Смеси сыворотка-вирус инкубировали на конфлюэнтных монослоях клеток MDCK. После инкубации, позволяющей экспрессию трансгена люциферазы, упакованного в вирус, определяли нейтрализующую способность образцов сыворотки путем количественного анализа экспрессии гена люциферазы. В соответствии с повышенной выживаемостью, наблюдаемой в данных исследованиях, адъюванты 3М-052/ЭС и 3М-052/липосомы повышали нейтрализующие титры IC90 в сыворотке через 21 день после однократной инъекции (фиг. 14А, D). Кроме того, оба состава значительно повышали нейтрализующие титры против вирусов клады 2: наблюдали повышенные титры IC90 против А/Индонезия/5/05 (клада 2.1) и А/Лебедь-кликун/Монголия/244/05 (клада 2.2) (фиг. 14В-F). Данное открытие согласуется со способностью составов с 3М-052 индуцировать титры нейтрализующих антител обширного действия к дрейфующим штаммам гриппа. 3М-052-ЭС вызывает защитный перекрестный ответ на кладу [0347] Учитывая нейтрализующие титры, которые наблюдали против А/Лебедь-кликун/Монголия/244/05 после иммунизации антигенами VN1203, исследовали способность составов с 3М-052 снижать репликацию вируса в легком после вакцинации антигеном VN1203. Как и в предыдущих исследованиях, хорьков иммунизировали однократно SP-H5 в комбинации с составами с 3М-052 и провоцировали через 21 день 5×105 БОЕ вируса. У животных, которые получили 3М-052/липосомы, выявили умеренное уменьшение распространения вируса с течением времени; у животных, которые получили 3М-052/липосомы, не обнаружили вирус через 5 дней после провокации, тогда как у других животных, которые получили липосомы или антиген отдельно, обнаружили вирус в данный момент времени (фиг. 15В). Напротив, животные, которые получили 3М-052-ЭС, быстро устраняли вирус, при этом не обнаруживали бляшек через 3 дня после провокации, тогда как у животных, которые получили SP-H5 + ЭС, выявили детектируемые титры вируса вплоть до дня 5 (фиг. 15А). Обсуждение результатов [0348] Представленные здесь результаты демонстрируют защиту мышей и хорьков после провокации высокой дозой (1000 LD50) вирусов H5N1, когда животных иммунизировали составами с агонистом TLR7/8 - 3М-052. 3М-052 включали в любой из указанных составов, и данные составы были стабильны в течение длительных периодов. Обнаружили, что новый состав пегилированных липосом с 3М-052 повышает выживаемость и снижает титр вируса в легком в комбинации с низкой дозой (100 нг) рекомбинантного антигена на основе ГА. Кроме того, исследовали состав, который содержал 3М-052 и DMPC или ФХ из яйца в эмульсии типа масло в воде сквалена, и показали повышенную выживаемость и пониженный титр вируса в легком при применении данного состава в комбинации с рГА. Наблюдали индукцию Th1 CD4+ Т-клеток у животных, иммунизированных 3М-052. В соответствии с индукцией Th1 CD4+ Т-клеток, наблюдали повышение уровня антител IgG2c у иммунизированных 3М-052 животных. Способность содержащих 3М-052 составов с адъювантами вызывать защиту как от гомологичных, так и от гетерологичных штаммов вируса, а также более длительная стабильность составов с адъювантами 3М-052 свидетельствуют о том, что данные составы подходят для создания запасов. Более того, продемонстрировали совместимость данных адъювантов с препандемическими антигенами вакцин, включенными на сегодняшний день в национальные запасы, и показали, что комбинированная вакцина способна защищать хорьков как от соответствующего штамма вируса, так и от дрейфующих изолятов. Пример 3. Универсальность пегилированных липосом [0349] Для того чтобы проверить универсальность состава пегилированных липосом, добавляли дополнительные липиды к основному составу из холестерина, непегилированного нейтрального липида и пегилированного липида. Добавление одного или более дополнительных нейтральных липидов и одного или более дополнительных катионных липидов не влияло отрицательно на стабильность или эффективность полученного состава липосом (результаты не представлены).




























