Заявленное изобретение относится к фотограмметрии и может быть использовано при дистанционном зондировании Земли. Сущность предлагаемого способа заключается в осуществлении следующих этапов, а именно: размещение летательных аппаратов-марок (ЛАМ) между фотографируемой местностью и летательным аппаратом дистанционного зондирования Земли (ЛАДЗЗ); фотографирование местности и ЛАМ на фоне этой местности с одновременной фиксацией момента времени фотографирования, приемом и записью данных от радионавигационных систем (РНС) на ЛАДЗ и каждом ЛАМ; передача на устройство обработки изображения местности данных о моменте фотографирования, данных от РНС; преобразование данных от РНС в данные местоположения (координаты) ЛАДЗ в момент фотографирования и в данные местоположения (координаты) не менее четырех ЛАМ в момент фотографирования; вычисление элементов внешнего ориентирования снимка. Технический результат применения способа заключается в определении элементов внешнего ориентирования снимка местности (объекта) без использования наземной планово-высотной основы.
Способ определения элементов внешнего ориентирования снимка по изображениям летательных аппаратов: - размещение летательных аппаратов-марок (ЛАМ) между фотографируемой местностью и летательным аппаратом дистанционного зондирования Земли (ЛАДЗЗ); - фотографирование местности и ЛАМ на фоне этой местности с одновременной фиксацией момента времени фотографирования, приемом и записью данных от радионавигационных систем (РНС) на ЛАДЗ и каждом ЛАМ; - передача на устройство обработки изображения местности данных о моменте фотографирования, данных от РНС; - преобразование данных от РНС в данные местоположения (координаты) ЛАДЗ в момент фотографирования и в данные местоположения (координаты) не менее четырех ЛАМ в момент фотографирования; - вычисление элементов внешнего ориентирования снимка.
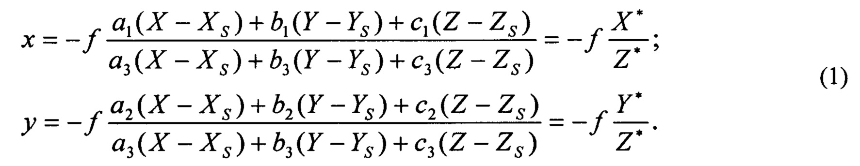
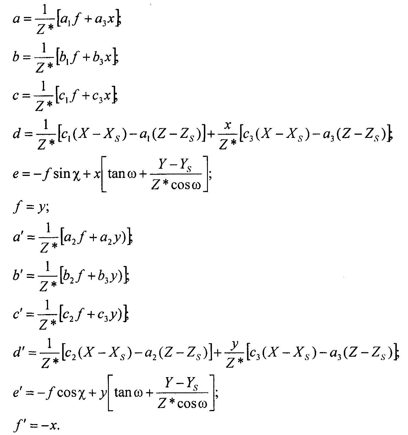
Заявленное изобретение относится к фотограмметрии, может быть использовано при дистанционном зондировании Земли, картографировании местности, определении координат точек местности. Известен способ RU 2152625 С2 (Научно-производственное объединение прикладной механики), 10.07.2000. Способ позволяет определять ориентацию объектов по навигационным радиосигналам космических аппаратов спутниковых радионавигационных систем, при котором каждые из четырех (пяти) антенно-приемных устройств двухбазового интерферометра со взаимно ортогональными базами, установленные на объектах, принимают навигационные радиосигналы. Указанный способ включает сложную математическую обработку данных от космических аппаратов спутниковых радионавигационных систем принятых четырьмя (пятью) антенно-приемными устройствами, что усложняет реализацию способа и одновременно снижает оперативность определения элементов внешнего ориентирования. Также известен способ RU 2597024 С1 (Андронов В.Г., Емельянов С.Г.), 10.09.2016, состоящий в измерении на интервале съемки значений углов тангажа, крена и рыскания и составляющих угловой скорости космического аппарата гироинерциальными датчиками и получения значений координат и составляющих скорости движения космического аппарата в моменты бортовых измерений. Наличие сложного математического аппарата и необходимости получения совместных гироскопических и координатных определений снижает оперативность определения элементов внешнего ориентирования, одновременно усложняет реализацию способа. Кроме того известен способ определения угловых элементов внешнего ориентирования снимка [Способ определения угловых элементов внешнего ориентирования снимка: пат. 2704540 Рос. Федерация: МПК G01C 11/02, G01C 1/00 / Чернов И.В.; заявитель и патентообладатель Чернов И.В. - №2019102111; заявл. 25.01.19; опубл. 29.10.19, Бюл. №31], включающий: фотографирование объекта, местности; прием данных от спутниковых радионавигационных систем (РНС) и преобразование их в данные местоположения фазовых центров антенн, которые расположены соосно с линией направления съемки; расчет продольного и поперечного угла наклона снимка по прямоугольным геодезическим координатам фазовых центров антенн приема сигналов навигационных систем. Элементы внешнего ориентирования (ЭВО) снимков позволяют выполнить определения координат местности для ее картографирования. Для повышения точности реализации способа-прототипа необходимо увеличивать расстояние межу антеннами приемников РНС. Чем больше будет расстояние между антеннами на мачте, тем точнее будут определены элементы внешнего ориентирования снимка и как следствие точнее будет выполнено определение координат местности. Наиболее близким по существу заявляемого изобретения является способ фотограмметрического определения координат точек местности на недоступной территории [Способ фотограмметрического определения координат точек местности на недоступной территории / Нечипас Ю.П., Левадный Ю.В., Телеш В.А. // Навигация и гидрография. - 2018. -№53. - С. 34-39] (далее способ-прототип), включающий: полевую планово-высотную подготовку (ПВП) доступной территории; одновременное фотографирование доступной и недоступной территории и определение координат точки фотографирования по сигналам РНС; определение ЭВО; определение координат определяемых точек недоступной территории. Способ-прототип имеет существенный недостаток, состоящий в необходимости выполнения полевой ПВП и видимости из точки фотографирования доступной территории (территории на которой выполнена полевая ПВП). Заявленное изобретение предназначено для определения ЭВО снимка местности (объекта) по изображениям летательных аппаратов-марок (ЛАМ) на снимке и их геодезическим координатам. Технический результат применения способа выражается в определении ЭВО снимка местности (объекта) без использования наземной ПВП. Технический результат применения способа достигается тем, что во время фотографирования, между фотографируемой местностью (объектом) и летательным аппаратом дистанционного зондирования Земли (ЛАДЗЗ) помещаются ЛАМ и используя сигналы РНС, определяют координаты местоположения ЛАМ и ЛАДЗЗ в момент фотографирования, а также в данные о моменте времени фотографирования. Данные положения ЛАМ в момент фотографирования используются также как точки ПВП, по которым определяются ЭВО снимка. В итоге способ позволяет определять координаты точек местности, создавать планы и карты без использования полевой ПВП (определение ЭВО по точкам полевой ПВП включает определение путем инструментальных измерений на местности координат этих точек (путем проведения полевых работ на местности, это трудоемкие и не всегда реализуемые работы). Реализация способа. ЛАДЗЗ и ЛАМ оборудуются приемниками сигналов РНС; хронографами (часами) с возможностью коррекции по сигналам РНС и устройствами дистанционного зондирования Земли; устройствами обработки, хранения и передачи: данных сигналов РНС, моментов фотографирования и изображений местности. Для реализации способа предлагается следующая последовательность действий: - размещение ЛАМ, между фотографируемой местностью и ЛАДЗЗ; - получение изображения (фотографирование) местности и ЛАМ на фоне этой местности с одновременной фиксацией момента времени фотографирования, приемом и записью данных от РНС на ЛАДЗ и каждом ЛАМ; - передача на устройство обработки: изображения местности, данных о моменте фотографирования, данных от РНС; - преобразование данных от РНС в данные местоположения ЛАМ и ЛАДЗ (координаты ЛАМ p1{Χ1, Υ1, Ζ1}, …, pn{Xn, Υn, Ζn} и координаты ЛАДЗ S{XS, YS, ZS}, где n - число ЛАМ отображенных на снимке) в момент фотографирования (n≥4); - вычисление элементов внешнего ориентирования снимка. Вычисление элементов внешнего ориентирования снимка выполняются по формулам обратной фотограмметрической засечки (ОФЗ) где x и y - измеренные координаты изображения ЛАМ на снимке (плоские координаты); ƒ - фокусное расстояние снимка; Χ,Υ,Ζ- координаты ЛАМ в момент фотографирования в геодезической системе координат; XS, YS, ZS - координаты точки фотографирования в геодезической системе координат; Для приведения уравнений вида (1) к линейному виду пользуются известным приемом разложения их в ряд Тейлора с сохранением только членов первого порядка малости. Для разложения зависимостей (1) в ряд Тейлора необходимы приближенные значения ЭВО фотоснимка. Обозначим их через (XS)0, (YS)0, (ZS)0, (α)0, (ω)0, (κ)0. В процессе решения ОФЗ ищут поправки к приближенным значениям ЭВО фотоснимка, которые обозначают как δXS, δYS, δΖS, δα, δω, δκ. В результате разложения зависимостей (1) в ряд Тейлора, получают линейные уравнения: где (х) и (у) - вычисленные координаты изображения ЛАМ на снимке с использованием приближенных значений ЭВО. Вычисленные координаты (х) и (у) будут отличаться от измеренных χ и у. Обозначают: С учетом принятых обозначений, составляют уравнения поправок: где значения коэффициентов уравнений поправок, являются частными производными зависимостей (1) по соответствующим аргументам (ЭВО фотоснимка): Одна опорная точка позволяет составить два уравнения с весами рх и ру и шестью неизвестными. Для решения задачи необходимо 4 опорные точки (необходимо обеспечить избыточность измерений). Систему уравнений (3) решают под основным условием метода наименьших квадратов: Таким образом, будут получены элементы внешнего ориентирования снимка, позволяющие вычислять геодезические координаты всех точек местности (объекта) отображенных на снимке.




