Изобретение относится к ветеринарии и может быть использовано для обнаружения дисбиоза кишечника у птиц. Предложено применение молекулы, которая характеризуется молекулярной формулой C12H25O3N5 и молекулярной массой 287,20, в качестве маркера для обнаружения дисбиоза кишечника у птиц. Изобретение обеспечивает новый диагностический маркер, подходящий для обнаружения дисбиоза кишечника у птиц, представляющий собой молекулу, которая характеризуется молекулярной формулой C12H25O3N5 и молекулярной массой 287,20. 3 з.п. ф-лы, 5 табл., 1 пр.
1. Применение молекулы, которая характеризуется молекулярной формулой C12H25O3N5 и молекулярной массой 287,20, в качестве маркера для обнаружения дисбиоза кишечника у птиц. 2. Применение по п. 1, где молекулу, которая характеризуется молекулярной формулой C12H25O3N5 и молекулярной массой 287,20, обнаруживают и/или количественно оценивают с помощью LC-MS. 3. Применение по п. 1, где молекулу, которая характеризуется молекулярной формулой C12H25O3N5 и молекулярной массой 287,20, обнаруживают и/или количественно оценивают с помощью ферментативного анализа. 4. Применение по п. 1, где молекулу, которая характеризуется молекулярной формулой C12H25O3N5 и молекулярной массой 287,20, обнаруживают и/или количественно оценивают с помощью LC в сочетании с пред- или послеколоночной дериватизацией и с флуоресцентным или УФ-детектированием.
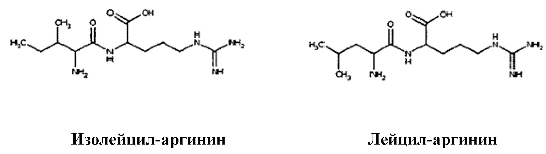
Настоящее изобретение относится к способу обнаружения дисбиоза кишечника у птиц Уровень техники изобретения Здоровое состояние кишечника является крайне важным для здоровья и продуктивности сельскохозяйственных птиц. Желудочно-кишечный тракт (ЖКТ) птиц содержит сложную микробную экосистему, содержащую триллионы микроорганизмов. Эти микроорганизмы распределены по различным нишам, выполняя различные функции, в том числе ферментацию продуктов. Разнообразие микроорганизмов в ЖКТ зависит от участка пищеварения, состояния здоровья и возраста птиц. В нормальных условиях активность, вызывающая заболевания (дисбиоз), и активность, обеспечивающая защиту от заболеваний (пробиоз), являются идеально сбалансированными. Однако даже незначительное нарушение нормальной микробиоты кишечника может приводить к дисбалансу взаимоотношений хозяин-микроорганизм. Это состояние, при котором дисбаланс оказывает неблагоприятное воздействие на хозяина, известно как дисбиоз (дисбактериоз). Дисбиоз является вредным для хозяина, приводя к воспалению и повреждению слизистой оболочки, что предрасполагает их к патологическим состояниям, таким как инфекция, вызванная Ducatelle et al. в работе “Biomarkers for monitoring intestinal health in poultry: present status and future perspectives”, VETERINARY RESEARCH, vol. 49, № 1, 8 мая 2018 г. представляют обзор биомаркеров, связанных со здоровым состоянием кишечника, которые являются общеизвестными в данной области техники, такие как D-лактат в крови и печени и бутират в содержимом слепой кишки/фекалиях. Кроме того, нарушение микробиоты, например, вследствие лечения антибиотиками, способствует росту патогенных бактерий, таких как С учетом вышеизложенного и для обеспечения возможности своевременного и целенаправленного принятия мер в отношении дисбиоза кишечника у птиц возникла острая необходимость в обеспечении быстрого и надежного неинвазивного способа Краткое описание настоящего изобретения В настоящем изобретении предусмотрен способ обнаружения дисбиоза кишечника у птиц Кроме того, настоящее изобретение относится к применению изолейцил-аргинина (C12H25O3N5, Mw= 287,20) или его изомеров в качестве маркеров для обнаружения дисбиоза кишечника у птиц, для исключения необходимости в мерах по изменению рациона или терапевтических мерах, которые следует принимать в отношении дисбиоза кишечника у птиц, или для контроля эффективности диетических или терапевтических мер, которые принимают в отношении дисбиоза кишечника у птиц. Наконец, в настоящем изобретении предусмотрен основанный на масс-спектрометрии способ обнаружения дисбиоза кишечника у птиц Ключевые аспекты настоящего изобретения подробно описаны далее. Подробное описание изобретения Авторы настоящего изобретения неожиданно обнаружили, что изолейцил-аргинин (C12H25O3N5, Mw = 287,20) или его изомеры представляют собой диагностический маркер, подходящий для обнаружения дисбиоза кишечника у птиц. Соответственно, предусмотрен способ обнаружения дисбиоза кишечника у птиц C12H25O3N5 представляет собой димерную аминокислоту, встречающуюся в форме четырех возможных изомеров: Поскольку каждый из этих изомеров может выполнять функцию биомаркера для обнаружения дисбиоза кишечника у птиц, термин «изолейцил-аргинин», используемый в контексте настоящего изобретения, включает все четыре изомера, изображенные выше. При использовании в контексте настоящего изобретения кишечный дисбиоз представляет собой термин, обозначающий микробный дисбаланс или дезадаптацию в желудочно-кишечном тракте, как определено выше. Неповрежденный контроль представляет собой эталонный образец, представляющий подтвержденный неповрежденный желудочно-кишечный тракт. В качестве примера эталонный образец может быть получен в рамках испытания на животных от контрольного животного, не подвергнутого обработке, которого проверяли с помощью патологических, гистопатологических и/или других измерений и не обнаружили признаков дисбиоза. Способ по настоящему изобретению может применяться либо для отдельного субъекта-птицы, либо для группы или популяции птиц, например, для популяции птиц, встречающейся в животноводстве. Субъект-птица, подлежащая тестированию, предпочтительно является домашней птицей. Предпочтительной домашней птицей в соответствии с настоящим изобретением являются куры, индейки, утки и гуси. Домашняя птица может иметь характеристики, оптимальные для получения поголовья молодняка. Данный тип домашней птицы также называется родительскими и прародительскими животными. Предпочтительными родительскими и прародительскими животными, соответственно, являются (пра)родительские бройлеры, (пра)родительские утки, (пра)родительские индейки и (пра)родительские гуси. Домашняя птица в соответствии с настоящим изобретением также может быть выбрана из декоративной птицы и пернатой дичи. Предпочтительной декоративной птицей или пернатой дичью являются павлины, фазаны, куропатки, цесарки, перепела, глухари, гуси, голуби и лебеди. Кроме того, предпочтительной домашней птицей в соответствии с настоящим изобретением являются страусы и попугаи. Наиболее предпочтительной домашней птицей в соответствии с настоящим изобретением являются бройлеры. Предпочтительно, материал образца птиц представляет собой или содержит материал экскрементов, в частности, фекалии птиц. Материал образца кишечника, полученный от отдельной птицы, может быть выбран из группы, состоящей из образцов содержимого кишечника, образцов экскрементов организма и их растворов или суспензий, и из материалов, загрязненных экскрементами организма. Термин «содержимое кишечника» следует понимать как содержимое тонкой кишки, содержимое толстой кишки и/или содержимое слепой кишки. Способы получения таких образцов содержимого кишечника известны в данной области техники. Используемые в контексте настоящего изобретения образцы экскрементов организма представляют собой фекалии или экскременты из слепой кишки. Материалы, загрязненные экскрементами организма, представляют собой, например, образцы пыли, мазковые образцы, образцы помета, образцы жидкого навоза, образцы меха, образцы перьев и образцы кожи. В целом термин «помет» следует понимать как смесь экскрементов животного с материалом подстилки. Используемый в контексте данного варианта осуществления термин «образцы помета» относится к выделенным экскрементам отдельного животного. Кроме того, в контексте данного варианта осуществления термин «образцы жидкого навоза» относится к образцу экскрементов, содержащему фекалии и мочу отдельного животного. Образцы от отдельных животных также можно отбирать непосредственно у животного, например, с помощью тампонов. В качестве альтернативы и особенно в случае индивидуального содержания животных материал образца можно собирать с пола загона, клетки или настила. Материал образца должен быть обозначен в соответствии с исследуемым животным. В одном варианте осуществления материал образца кишечника, применяемый для определения того, страдает ли отдельное животное дисбиозом, представляет собой фекалии. Для определенных вариантов применения также применим анализ образцов содержимого кишечника, например, образцов из тонкой кишки, образцов из толстой кишки и/или образцов из слепой кишки. В альтернативном варианте осуществления способ применяют для определения того, страдает ли популяция птиц дисбиозом. В этом случае материал образца представляет собой объединенный образец, полученный от популяции птиц, подлежащей тестированию. Материал образца птиц предпочтительно представляет собой или содержит объединенные фекалии птиц, полученные от поголовья птиц. Популяция животных предпочтительно представляет собой поголовье птиц. Поголовье птиц в соответствии с настоящим изобретением предпочтительно представляет собой поголовье домашних птиц. Предпочтительная домашняя птица указана выше. Соответственно, способ по настоящему изобретению является особенно подходящим для определения состояния здоровья популяции птиц посредством массового тестирования. Используемый в данном документе термин «массовое тестирование» относится к способу тестирования, в котором материал образца представляет собой объединенный образец от популяции животных. «Объединенный образец» в контексте данного варианта осуществления следует понимать как смешанный образец из выбранных произвольным образом отдельных образцов, при этом один образец отобран с помощью одного или более увлажненных тканевых тампонов на палочке, или объединенные образцы получены из отдельных свежих образцов, отобранных произвольным образом из ряда мест в помещении или в месте, где содержится популяция животных или поголовье животных. Перед проведением анализа образца может потребоваться гомогенизация материала образца. Подходящие методики гомогенизации известны в данной области техники. При использовании в контексте настоящего изобретения термин «образцы помета» означает смешанные выделенные экскременты в загоне, клетке или на настиле. Кроме того, в контексте данного варианта осуществления термин «образцы жидкого навоза» относится к смешанным образцам экскрементов, содержащим фекалии и мочу. Такие образцы помета могут быть, например, отобраны от популяции животных с помощью методики с использованием бахил или с помощью захватов-щипцов для мусора в различных местах в загоне. Бахилы для сбора образцов с пола, обладающие достаточными поглощающими свойствами для впитывания влаги, являются особенно подходящими для отбора объединенных образцов у животных. Трубчатые марлевые чулки также приемлемы. В случае популяции животных, которых содержат в клетках или с напольным содержанием, образцы экскрементов могут быть отобраны с помощью ленточного транспортера. Подходящие значения объема образца составляют, например, от 0,05 мл до 20 мл или от 0,1 до 20 мл, в частности от 0,2 до 10 мл, предпочтительно от 0,5 до 5 мл. Подходящие значения массы образца составляют, например от 0,05 г до 20 г или от 0,1 до 20 г, в частности от 0,2 до 10 г, предпочтительно от 0,5 до 5 г. Объединенные образцы отражают количество изолейцил-аргинина (C12H25O3N5, Mw = 287,20), присутствующего в популяции животных. Изолейцил-аргинин (C12H25O3N5, Mw = 287,20) или его изомеры можно обнаруживать и/или количественно оценивать с помощью LC-MS. В качестве альтернативы, изолейцил-аргинин (C12H25O3N5, Mw = 287,20) или его изомеры можно обнаруживать и/или количественно оценивать с помощью ферментативного анализа. Изолейцил-аргинин (C12H25O3N5, Mw = 287,20) или его изомеры также можно обнаруживать и/или количественно оценивать с помощью жидкостной хроматографии (LC) в сочетании с пред- или послеколоночной дериватизацией и с флуоресцентным или УФ-детектированием. Таким образом, можно применять множество альтернативных протоколов пред- или послеколоночной дериватизации, такие как нингидридрин, о-фталевый альдегид (OPA), фенил-изотиоцианат (PITC), 4-(диметиламино)азобензол-4'-сульфонила (DABSYL) хлорид, 5-(диметиламино)нафталин-1-сульфонила (DANSYL) хлорид или 6-аминохинолил-N-гидроксисукцинимидилкарбамат (AQC), включая УФ- или (в основном) флуоресцентное детектирование. В соответствии с вышеизложенным, настоящее изобретение также направлено на применение изолейцил-аргинина (C12H25O3N5, Mw = 287,20) или его изомеров в качестве маркеров для обнаружения дисбиоза кишечника у птиц. В настоящем изобретении представлены вышеуказанные способы выявления дисбиоза и, соответственно, определения его степени. Это позволяет фермеру принимать компетентное решение в плане того, следует ли принимать меры по улучшению состояния здоровья кишечника. Соответственно, способы в соответствии с настоящим изобретением можно применять для исключения необходимости мер по изменению рациона или терапевтических мер, которые следует принимать в отношении дисбиоза кишечника у птиц, или, в качестве альтернативы, для контроля эффективности диетических или терапевтических мер, которые принимают против дисбиоза кишечника у птиц. Меры, направленные в отношении развития и/или прогрессирования дисбиоза, включают скармливание или введение веществ для укрепления здоровья, таких как зоотехнические кормовые добавки или терапевтические средства. Выражение «введение» или связанные с ним выражения включают пероральное введение. Пероральное введение может осуществляться с помощью питьевой воды, зонда для перорального введения, распыляемого аэрозоля или корма для животных. Термин «зоотехническая кормовая добавка» относится к любой добавке, используемой для положительного воздействия на продуктивность здоровых животных или используемой для положительного воздействия на внутреннюю среду организма. Примерами зоотехнических кормовых добавок являются усилители перевариваемости, т. е. вещества, которые при скармливании животным повышают перевариваемость рациона за счет воздействия на целевые кормовые материалы; стабилизаторы кишечной микрофлоры; микроорганизмы или другие вещества с химически установленным составом, которые при скармливании животным проявляют положительный эффект в отношении микрофлоры кишечника; или вещества, которые положительно воздействуют на внутреннюю среду организма. Предпочтительно лечебно-профилактические вещества выбраны из группы, состоящей из пробиотических средств, пребиотических средств, лекарственных средств на основе растительного сырья, органических/жирных кислот, цеолитов, бактериофагов и бактериолитических ферментов или любых их комбинаций. Настоящее изобретение также относится к основанному на масс-спектрометрии способу обнаружения дисбиоза кишечника у птиц, при этом способ предусматривает анализ материала образца птиц на содержание изолейцил-аргинина или его изомеров (C12H25O3N5, масса/заряд = 144,61, Mw = 287,20), при этом присутствие и/или повышенный уровень указанного биомаркера указывает на дисбиоз кишечника у птиц. Предпочтительно материал образца птиц представляет собой объединенный образец фекалий. Вариантами применения способов в соответствии с настоящим изобретением являются, например, (i) содействие диагностированию и/или прогнозированию дисбиоза кишечника у птиц; (ii) контроль прогрессирования или повторного возникновения дисбиоза кишечника у птиц или (iii) содействие в оценке эффективности лечения популяции животных, которую подвергают лечению, или в отношении которой предполагается проведение лечения. Варианты применения способов в соответствии с настоящим изобретением, в частности, способствуют предотвращению снижения показателей продуктивности животных, таких как, например, прирост массы тела и конверсия корма. Далее настоящее изобретение проиллюстрировано неограничивающими примерами и иллюстративными вариантами осуществления. Примеры Способы 1. Протокол экстракции для метаболического фингерпринтинга фекалий бройлеров Отвесить 100 мг фекалий в пересчете на сухой вес в пробирке объемом 15 мл. Добавить 2 мл ледяного 80% раствора MeOH. Добавить 100 мкл 100 нг·мкл^−1 валина-d8 (внутренний стандарт). Перемешивать на вортекс-мешалке в течение 1 мин. и вращать в течение 2 мин. Центрифугировать при 1000 об./мин. в течение 10 мин. (при комнатной температуре). Перенести надосадочную жидкость в пробирку объемом 15 мл. С применением шприца объемом 1 мл с иглой перенести надосадочную жидкость на PA фильтр с размером пор 0,45 мкм. Собрать фильтрат в пробирку Эппендорфа объемом 1,5 мл. Разбавить (1:3, т. е., одна часть фильтрата, 2 части H2O) фильтрат сверхчистой H2O и перемешивать на вортекс-мешалке в течение 15 секунд. Перенести 125 мкл фильтрата во флакон для LC-MS. 2. Жидкостная хроматография Хроматографическое разделение осуществляли на насосной системе Accela UHPLC (Thermo Scientific), оснащенной колонкой Acquity HSS T3 (150 × 2,1, 1,8 мкм, Waters). Подвижная фаза состояла из 0,1% раствора муравьиной кислоты в воде и 0,1% раствора муравьиной кислоты в ацетонитриле, применяемых для градиентного элюирования целевых соединений (таблица 1). Хроматографическое разделение данных соединений осуществляли в течение 18 минут при расходе 0,4 мл·мин^−1 и температуре термостата колонки, составляющей 45°C. Применяли программу градиента элюирования в способе LC-MS с применением 0,1% раствора муравьиной кислоты в воде (растворитель A) и 0,1% раствора муравьиной кислоты в ацетонитриле (растворитель B). 3. Масс-спектрометрия Применяемый масс-спектрометр ExactiveTM Orbitrap с полным сканированием и высоким разрешением (Thermo Fisher Scientific) был оснащен источником HESI-II. Масс-спектрометрический анализ выполняли в режиме переключения полярности, таким образом чередовали режим положительной и отрицательной ионизации от сканирования к сканированию. Это позволяло получать данные о положительных и отрицательных ионах во время каждого одиночного цикла. Точные масс-спектры получали в диапазоне сканирования масса/заряд 50-800 Да при разрешении по массе 100000 FWHM. Остальные инструментальные параметры представлены в таблице 2. Оптимизация этих параметров была основана на стандартной смеси, содержащей аналитические стандарты 115 полярных метаболитов. Примеры Цыплят-бройлеров инфицировали Таблица образцов помета для метаболомических анализов от инфицированных, неинфицированных, инфицированных непатогенными штаммами, пораженных кокцидиозом и дисбиозом цыплят-бройлеров Образцы экстрагировали и анализировали с помощью LC-MS, как подробно описано в разделе «Материалы и способы» выше. Испытания и полевые исследования привели к обнаружению метаболита C12H25O3N5 с высокой точной массой, соответствующей 144,6056 масса/заряд, и временем удерживания (RT), составляющим 1,49 мин., в качестве маркера дисбиоза у цыплят-бройлеров. В частности, данный метаболит характеризовался более высоким содержанием в образцах помета, полученных от птиц с дисбиозом. Данный метаболит либо отсутствовал, либо его содержание было намного ниже в образцах от здоровых птиц и птиц с NE. Результаты представлены ниже. Рассматривали три группы птиц: (1) здоровые птицы, (2) птицы с дисбиозом и (3) птицы, страдающие некротическим энтеритом. Интегрированные площади пиков (условные единицы), полученные для биомаркера метаболита в различных образцах помета, классифицировали как некротический энтерит (NE), дисбактериоз или здоровый. Фрагментационный анализ dd-MS2/dd-SIM Разрешение 17500 Мишень AGC 2 e5 Максимальное время инъекции 80 мс Изоляционное окно 2,0 масса/заряд NCE: 20; 35; 60 Минимальная мишень AGC 1 e4 Активатор верхушки от 2 до 5 с Динамическое исключение 10,0 с На основании профиля фрагментации, изолейцил-аргинин является наиболее вероятной структурой C12H25O3N5. Однако нельзя исключать, что другие диаминокислоты (лейцил-аргинин, аргинил-изолейцин и аргинил-лейцин) соответствуют фактической природе C12H25O3N5.





