Микромеханический акселерометр содержит основание, чувствительный элемент, состоящий из двухплечевого маятника, изготовленного из монокристаллического кремния, стеклянную обкладку, внешнюю рамку с площадками крепления к стеклянной обкладке, соединенную с двухплечевым маятником через упругие торсионы. В основании сформированы пьедесталы, сформированы упругодеформируемые ячейки, соединенные с внешней рамкой через балки. Балки сформированы и соединены с внешними углами внешней рамки. На двух сторонах внешней рамки с обеих сторон поперечной оси в местах сопряжения упругих торсионов и площадок крепления к стеклянной обкладке симметрично сформированы крестообразные сквозные щели. Повышается точность акселерометра. 3 ил.
Микромеханический акселерометр с высокой устойчивостью к термомеханическим напряжениям, содержащий основание, чувствительный элемент, состоящий из двухплечевого маятника, изготовленного из монокристаллического кремния, стеклянную обкладку, внешнюю рамку с площадками крепления к стеклянной обкладке, соединенную с двухплечевым маятником через упругие торсионы, отличающийся тем, что в основании сформированы пьедесталы, сформированы упругодеформируемые ячейки, соединенные с внешней рамкой через балки, причем балки сформированы и соединены с внешними углами внешней рамки, на двух сторонах внешней рамки с обеих сторон поперечной оси в местах сопряжения упругих торсионов и площадок крепления к стеклянной обкладке симметрично сформированы крестообразные сквозные щели.
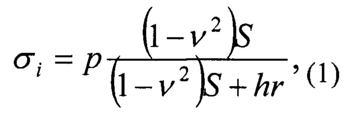
Изобретение относится к измерительной технике и может применяться в микромеханических акселерометрах, микромеханических датчиках угловых скоростей. Известно устройство, где чувствительный элемент (ЧЭ) датчика, изготовленный из монокристаллического кремния и боросиликатного стекла, закреплен на основании при помощи клея-герметика [1]. Недостатком данного устройства является то, что механические напряжение, возникающие в стеклянной подложке и кремниевом кристалле - маятнике с внешней рамкой приводят к значительным погрешностям микромеханического акселерометра. При воздействии температуры в стеклянной подложке генерируется относительно большое напряжение. Это механическое напряжение приводит к погрешностям акселерометра, которое не могут быть компенсированы алгоритмически из-за временной зависимости переходного процесса. Другим недостатком является то, что наличие клея-герметика на стеклянной подложке, обращенной к приклеиваемой поверхности - основанию микромеханического акселерометра также создает напряжение. Такие напряжения зависят от температуры и увеличивают смещение нулевого сигнала микромеханического акселерометра и, следовательно, уменьшает точность микромеханического акселерометра. Известен чувствительный элемент микромеханического акселерометра, содержащий двухплечевой маятник из монокристаллического кремния, стеклянную обкладку и внешнюю рамку с площадками крепления к стеклянной обкладке, упругие торсионы, соединенные с маятником и внешней рамкой, ось симметрии инерционной массы совмещена с осью, проходящей через крестообразные торсионы. Площадки крепления расположены в непосредственной близости упругие торсионов. Внешняя рамка одновременно выполняет роль жесткого каркаса чувствительного элемента, при этом соединение чувствительного элемента с неподвижным основанием акселерометра осуществляется через обратную сторону стеклянной обкладки [2]. Анодное соединение стеклянной подложки с монокристаллическим кремниевым чувствительным элементом осуществляется при повышенной температуре. После остывания конструкции «стеклянная подложка-монокристаллический кремниевый двухплечевой маятник с внешней рамкой, соединенные через упругие торсионы» происходит частичная деформация внешней рамки чувствительного элемента. Эта деформация передается на упругие торсионы. Это существенным образом влияет на стабильность механических характеристик упругих торсионов. Возможные напряжения, возникающие при изменении температуры от точек крепления внешней рамки к упругим торсионам оценивается следующей зависимостью: где v - коэффициент Пуассона; r - расстояние от точки приложения сосредоточенной силы до заданного сечения; S - площадь контакта упоров; h - толщина внешней рамки. Таким образом, чувствительность конструкции к контактным напряжениям определяется площадью контакта и удаленностью места заделки упругого подвеса от силового контакта. Таким образом, недостатком известного устройства является нестабильность смещения нуля вследствие высокого уровня контактных напряжений, возникающих в местах фиксации площадок крепления к стеклянной подложки и передающихся на упругий торсион. Другим недостатком известного устройства является высокая погрешность при воздействии положительных и отрицательных температур. Так как чувствительный элемент закреплен на основании корпуса микромеханического акселерометра, то возникающие напряжения от воздействия положительных или отрицательных температур передается от основания через стеклянную обкладку на внешнюю рамку и соответственно на упругие торсионы. Вследствие этого упругие торсионы деформируются, и в результате происходит смещение маятника при отсутствии воздействия ускорения. Таким образом, происходит температурное смещение нулевого сигнала, а это снижает точность акселерометра. Известен чувствительный элемент микромеханического акселерометра, содержащий двухплечевой маятник из монокристаллического кремния, стеклянную обкладку и внешнюю рамку с площадками крепления к стеклянной обкладке, упругие торсионы, соединенные с двухплечевым маятником и внешней рамкой, ось симметрии инерционной массы совмещена с осью, проходящей через упругие торсионы, дополнительно сформирована прокладка, закрепленная с обратной стороны к стеклянной обкладке через ножки, сформированные на прокладке, расположенные соосно с площадками крепления к стеклянной обкладке на внешней рамке, с другой стороны прокладки сформирована опора крепления к основанию, расположенная в центре симметрии прокладки и соединенная с ножками через жесткие растяжки [3]. Недостатками данного устройства является трудоемкость точного позиционирования дополнительной прокладки относительно конструкции двухплечевого маятника, соединенного с внешней рамкой, расположенных с другой стороны стеклянной обкладки. Таким образом, при установке на основание рассовмещение конструкции двухплечевого маятника и дополнительно сформированной прокладки, закрепленных на стеклянной обкладке с противоположных сторон при действии температурных факторов приводит деформации конструкции ЧЭ. Следовательно, напряженное состояние все-таки передается на упругие торсионы тем самым вызывая смещение нулевого сигнала. Еще одним недостатком является анодное соединение структуры кремний - стекло -кремний. Так, трудно позиционировать электроды на такой структуре, а также подобрать режимы анодного соединения. Задачей, на решение которой направлено изобретение, является увеличение точности. Для достижения этого в микромеханическом акселерометре с высокой устойчивостью к термомеханическим напряжениям, содержащем основание, чувствительный элемент состоящим из двухплечевого маятника изготовленного из монокристаллического кремния, стеклянную обкладку, внешнюю рамку с площадками крепления к стеклянной обкладке, соединенную с двухплечевым маятником через упругие торсионы, согласно изобретению, в основании сформированы пьедесталы, сформированы упруго-деформируемые ячейки, соединенные с внешней рамкой через балки, причем балки сформированы и соединены с внешними углами внешней рамки, на двух сторонах внешней рамки с обеих сторон поперечной оси в местах сопряжения упругих торсионов и площадок крепления к стеклянной обкладке симметрично сформированы крестообразные сквозные щели. Признаком, отличающим предложенный датчик от известного является то, что в основании сформированы пьедесталы, сформированы упруго-деформируемые ячейки, соединенные с внешней рамкой через балки, причем балки сформированы и соединены с внешними углами внешней рамки, на двух сторонах внешней рамки с обеих сторон поперечной оси в местах сопряжения упругих торсионов и площадок крепления к стеклянной обкладке симметрично сформированы крестообразные сквозные щели. Сформированные пьедесталы в теле основания со стороны закрепления чувствительного элемента через упруго-деформируемые ячейки обеспечивают прочное соединение при воздействии вибраций и ударов. Причем обеспечивается развязка чувствительного элемента от основания, на которое воздействуют внешние вредные факторы. Причем для точной и устойчивой установки чувствительного элемента на пьедестале, в них сформированы пазы. В пазы наносится клей-герметик. Таким образом, при такой установке чувствительного элемента на основании обеспечивается точное позиционирование чувствительного элемента, а также сводится к минимуму разрушение чувствительного элемента при сборке тем самым, повышая, качество и увеличивается выход годных изделий при изготовлении микромеханических акселерометров. Как известно после анодного соединения кремниевой внешней рамки и стеклянной обкладки формируются внутренние напряжения, которые воздействуют на упругие торсионы тем самым, уменьшают точность микромеханического акселерометра. Кроме того, воздействие внешних факторов - отрицательные и положительные температуры вызывают напряжения, которые переходят в деформацию упругих торсионов, приводящие к смещению двухплечевого маятника при отсутствии действия ускорения. Сформированные на двух сторонах внешней рамки с обеих сторон поперечной оси в местах сопряжения упругих торсионов и площадок крепления к стеклянной обкладке симметрично крестообразные сквозные щели обеспечивают минимально напряженное состояние, действующее на упругий торсион после анодной сварки со стеклянной обкладкой, а также минимизируют деформации, действующие при воздействии отрицательных и положительных температур. Сформированные упруго-деформируемые ячейки выполняют функцию буфера от воздействия напряжений, возникающих от неподвижного основания микромеханического акселерометра на внешнюю рамку, соединенную с двухплечевым маятником с помощью упругих торсионов. Упруго-деформируемые ячейки и балки, сформированные во внешних углах внешней рамки и соединенные с внутренними углами исключают паразитные силы и моменты после сборки всего чувствительного элемента, действующие со стороны основания датчика при воздействии вредных внешних факторов и обеспечивают минимизацию возникающих напряжений и, следовательно, минимально влияют на упругий торсион, за счет чего уменьшается нестабильность смещения нуля и, как следствие, повышается точность микромеханического акселерометра. Так при воздействии возмущающих факторов, в частности плюсовых и минусовых температур, конструкция чувствительного элемента будет минимально деформирована. Таким образом, остаточные деформации, передающиеся, на упругий торсион сведены к минимуму. А это уменьшает уход крутизны преобразователя перемещений, уменьшает температурное смещение нулевого сигнала, уменьшает температурную погрешность. Причем балки сформированы таким образом, чтобы исключить их деформацию по перекрестным осям относительно измерительной оси, обеспечивая лишь деформацию на предельно высоких ускорениях по измерительной оси. Это обеспечивает защиту при вибрациях и ударах. На внешней рамке с обеих сторон поперечной оси симметрично сформированы крестообразные образные сквозные щели. Это минимизирует потери и повышает точность прибора. Одновременно крестообразные сквозные щели уменьшают влияние внешних факторов таких как температура, вибрация и тем самым способствуют увеличению точности датчика. Именно сформированные в местах сопряжения упругих торсионов и площадок крепления, сквозные крестообразные щели, обеспечивающие минимальную нестабильность нулевого сигнала и минимальную температурную погрешность. Предложенный микромеханический акселерометр с высокой устойчивостью к термомеханическим напряжениям иллюстрируется чертежами, представленными на фиг. 1, фиг. 2, фиг. 3, где: 1 - двухплечевой маятник, 2 - упругий торсион, 3 - внешняя рамка, 4 - упруго-деформируемые ячейки, 5 - балки, 6 - пьедесталы, 7 - основание, 8 - пазы, 9 - площадки крепления к стеклянной обкладке, 10 - стеклянная обкладка, 11 - плата электронного преобразователя, 12 - гермовыводы, 13 - крестообразные щели, 14 - кожух. На фиг. 1 представлен основной вид микромеханического акселерометра с высокой устойчивостью к термомеханическим напряжениям, На фиг. 2 изображен кристалл чувствительного элемента, сформированного из монокристаллического кремния. На фиг. 3 изображен пример выполнения основания со сформированными пьедесталами. Микромеханический акселерометр с высокой устойчивостью к термомеханическим напряжениям содержит двухплечевой маятник 1, соединенный с внешней рамкой 3 через упругие торсионы 2. Внешняя рамка 3 соединена с упруго-деформируемыми ячейками 4 через балки 5. Площадки крепления к стеклянной обкладке 9 сформированы на внешней рамке 3. В основании 7 известным способом сформированы пьедесталы 6. Площадки крепления к стеклянной обкладке 9 предназначены дл закрепления на стеклянной обкладке 10 двухплечевого маятника 1, через внешнюю рамку 3. На поверхности пьедесталов 6 сформированы пазы 8. Например, со всех сторон пьедесталов 6. На основании 7 в центре закреплена плата электронного преобразователя 11. В основании 7, например, сбоку размещены гермовыводы 12, предназначенные для подачи электрического питания на плату электронного преобразователя 11 и передачи сигнала об измеряемом сигнале - линейном ускорении внешним потребителям. Для защиты от атмосферных воздействий сборка известным способом закрывается кожухом 14. Микромеханический акселерометр с высокой устойчивостью к термомеханическим напряжениям работает следующим образом. При действии линейного ускорения двухплечевой маятник 1 отклоняется от своего нейтрального положения упругие торсионы 2 закручиваются на определенный угол. Возникающий дисбаланс дифференциального емкостного преобразователя перемещений, реализованный на стеклянной обкладке 7 со сформированными на ней электродами (не показано) и проводящем двухплечевом маятнике 1 пропорционален величине измеряемого ускорения и передается на плату электронного преобразователя 11 и далее после преобразования через гермовыводы 12 внешнему потребителю. При воздействии плюсовых и минусовых температур возникает деформация, которая воздействует от основания на упруго-деформируемые ячейки 4. Сформированные упруго-деформируемые ячейки 4 выполняют функцию буфера от воздействия напряжений, возникающих от основания 7 микромеханического акселерометра на внешнюю рамку 3, соединенную с двухплечевым маятником 1 с помощью упругих торсионов 2. Упруго-деформируемые ячейки 4 и балки 5, сформированные во внешних углах внешней рамки исключают паразитные силы и моменты, действующие на чувствительный элемент, со стороны основания датчика при воздействии вредных внешних факторов и обеспечивают минимизацию возникающих напряжений и, следовательно, минимально влияют на упругий торсион, за счет чего уменьшается нестабильность смещения нуля и, как следствие, повышается точность микромеханического акселерометра. Таким образом, остаточные деформации, передающиеся, на упругий торсион сведены к минимуму. А это уменьшает уход крутизны преобразователя перемещений, уменьшает температурное смещение нулевого сигнала, уменьшает температурную погрешность. Причем балки сформированы таким образом, чтобы исключить их деформацию по перекрестным осям относительно измерительной оси, обеспечивая лишь деформацию на предельно высоких ускорениях по измерительной оси. Это обеспечивает защиту при вибрациях и ударах. Минимальную нестабильность нулевого сигнала и температурную погрешность обеспечивает наличие площадок крепления к стеклянной обкладке 9, расположенные на двух сторонах и симметрично ее продольной оси. Дополнительно в местах сопряжения внешней рамки 3 и площадок крепления к стеклянной обкладке 9 сформированы крестообразные сквозные щели 13, которые препятствуют влиянию напряженного состояния от стеклянной обкладки 10 при воздействии положительных и отрицательных температур, а также прочих вредных деформаций. Чувствительный элемент микромеханического акселерометра изготавливается из монокристаллического кремния с ориентацией пластины <100>÷<110> методом анизотропного травления и из стекла, например, марки ЛК - 5 с соединением кремниевого узла и стеклянной подложки методом анодной посадки. Проведенные макетные испытания показали положительный эффект предлагаемого устройства и по технологии, и по точности. Источники информации: 1. Паршин В.А., Харитонов В.И. Особенности технологии мультисенсорных датчиков с нелегированными упругими подвесами //Датчики и системы. 2002. №2. С. 22-24. 2. Патент РФ №2251702 3. Патент РФ №154439 - прототип.