Изобретение может быть использовано при производстве чернил, содержащих микрокапсулированные термохромные пигменты. Термохромная пигментная композиция содержит краситель, представляющий собой электронодонорное органическое соединение, электроноакцепторное соединение и соединение формулы (I),где n=0-2 и m=5-19. Предложены также применение соединения формулы (I), микрокапсулированный термохромный пигмент, композиция чернил и пишущий инструмент. Изобретение обеспечивает высокий цветовой контраст между окрашенным и обесцвеченным состояниями красителя. 5 н. и 6 з.п. ф-лы, 1 ил., 4 табл., 3 пр.
1. Термохромная пигментная композиция, содержащая: (А) по меньшей мере один краситель, представляющий собой электронодонорное органическое соединение, (B) по меньшей мере одно электроноакцепторное соединение и (С) по меньшей мере одно соединение формулы (I) где n = 0-2 и m = 5-19. 2. Композиция по п. 1, в которой соединение формулы (I) выбрано из следующих соединений: или 3. Композиция по п. 1 или 2, содержащая: (А) по меньшей мере один краситель, представляющий собой электронодонорное органическое соединение, в количестве от 1 до 10% по массе; (B) по меньшей мере одно электроноакцепторное соединение в количестве от 1 до 20% по массе и (С) по меньшей мере одно соединение формулы (I) в количестве от 70 до 98% по массе. 4. Композиция по п. 3, содержащая: (А) по меньшей мере один краситель, представляющий собой электронодонорное органическое соединение, в количестве от 2 до 4% по массе; (B) по меньшей мере одно электроноакцепторное соединение в количестве от 4 до 10% по массе и (С) по меньшей мере одно соединение формулы (I) в количестве от 86 до 94% по массе. 5. Композиция по одному из пп. 1-4, в которой соединение (А) выбрано из группы, включающей: 3-(4-диэтиламино-2-этоксифенил)-3-(1-этил-2-метилиндол-3-ил)-4-азафталид (Blue 63), 2'-(дибензиламино)-6'-(диэтиламино)флуоран, N,N-диметил-4-[2-[2-(октилокси)фенил]-6-фенилпиридин-4-ил]анилин (Yellow CK37), 7-(4-диэтиламино-2-гексилоксифенил)-7-(1-этил-2-метил-1H-индол-3-ил)-7H-фуро[3,4-b]пиридин-5-он (Blue 203), 2-(2,4-диметилфениламино)-3-метил-6-диэтиламинофлуоран (Black 15) и 3,3-бис(1-бутил-2-метилиндол-3-ил)-3Н-изобензофуран-1-он (Red 40). 6. Композиция по одному из пп. 1-5, в которой соединение (В) выбрано из группы, включающей: 2,2-бис(4-гидрокси-3-метилфенил)пропан (Bisphenol С), 4-гексил-1,3-дигидроксибензол (4-гексилрезорцинол), 4,4'-циклогексилиденбисфенол (BPZ), 4,4'-(гексафторизопропилиден)дифенол (Bisphenol AF), 4,4'-(1-фенилэтилиден)бисфенол, 2,2'-дигидроксибифенил, 4,4'-(1,4-фенилендиизопропилиден) бисфенол, 1,1-бис(4-гидрокси-3-метилфенил)циклогексан, 9,9-бис(4-гидроксифенил)флуорен, 4,4'-(1,3-фенилендиизопропилиден)бисфенол, 1,1,1-трис(4-гидроксифенил)этан, 4,4'-(2-этилгексилиден)дифенол, α,α,α'-трис(4-гидроксифенил)-1-этил-4-изопропилбензол. 7. Применение соединения следующей формулы (I): где n = 0-2 и m = 5-19, в качестве реакционной среды в термохромной пигментной композиции. 8. Микрокапсулированный термохромный пигмент, содержащий композицию по одному из пп. 1-6. 9. Композиция чернил, содержащая микрокапсулированный термохромный пигмент по п. 8. 10. Пишущий инструмент, содержащий композицию чернил по п. 9. 11. Пишущий инструмент по п. 10, выбранный из ручек, в частности из ручек со стираемыми чернилами при трении.
,

,
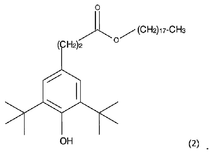
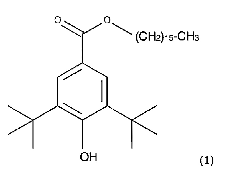
ОБЛАСТЬ ТЕХНИКИ, К КОТОРОЙ ОТНОСИТСЯ ИЗОБРЕТЕНИЕ Настоящее изобретение относится к новой термохромной пигментной композиции, содержащей в качестве реакционной среды соединение формулы (I). Настоящее изобретение относится также к микрокапсулированным термохромным пигментам, содержащим термохромную пигментную композицию согласно изобретению, к композициям чернил, содержащим такие микрокапсулированные термохромные пигменты, и, наконец, к пишущим инструментам, содержащим такие композиции чернил. УРОВЕНЬ ТЕХНИКИ И ОБЪЕКТЫ ИЗОБРЕТЕНИЯ Термохромные пигментные композиции обладают способностью к обратимому обесцвечиванию, связанному с изменением температуры. Эти композиции находят применение в тех случаях, когда маркировка чернилами требует многократного стирания. Термохромный эффект чернил обусловлен взаимодействием следующих трех соединений: (A) по меньшей мере одного красителя или лейкокрасителя, представляющего собой электронодонорное органическое соединение, (B) по меньшей мере одного электроноакцепторного соединения или проявителя цвета и (C) по меньшей мере одного соединения, подходящего для проведения обратимой реакции приема/отдачи электронов между соединениями (А) и (В), или агента, регулирующего изменение температуры. Изменения температуры приводит к обратимому окрашиванию или обесцвечиванию чернил. Таким образом, нагревание будет приводить к выцветанию чернил, а охлаждение - к их проявлению. Эти изменения происходят согласно графику на фиг. 1. На этом графике Т3 обозначает температуру, при которой начинается выцветание чернил, Т4 обозначает температуру полного выцветания чернил, а TG обозначает промежуточную температуру между Т3 и Т4. А при охлаждении Т2 обозначает температуру, при которой начинает проявляться цвет, T1 обозначает температуру полного проявления цвета чернил, а TH обозначает промежуточную температуру между T1 и Т2. Шириной гистерезиса при изменении цвета (ΔН) называют интервал между TH и TG. Неожиданно авторы изобретения обнаружили новую термохромную пигментную композицию, содержащую в качестве соединения (С), по меньшей мере одно соединение формулы (I), у которого интервал между температурой плавления и температурой кристаллизации оптимально соответствует интервалу между температурой обесцвечивания и температурой восстановления цвета этих соединений. При использовании в термохромных пигментных композициях в качестве агента, регулирующего изменение температуры, соединение формулы (I) согласно изобретению проявляет множество преимуществ: оно имеет превосходные гистерезисные характеристики и чрезвычайно высокий цветовой контраст между окрашенным состоянием и обесцвеченным состоянием. Термохромная пигментная композиция согласно настоящему изобретению обладает также антиоксидантными свойствами и/или устойчивостью к ультрафиолетовому излучению, причем эти свойства присущи соединению формулы (I) как таковому и оно не нуждается в дополнительном введении антиоксидантов и/или средств защиты от УФ-излучения. ОПИСАНИЕ ИЗОБРЕТЕНИЯ Согласно своему первому аспекту настоящее изобретение относится к термохромной пигментной композиции, содержащей: (A) по меньшей мере один краситель, представляющий собой электронодонорное органическое соединение, (B) по меньшей мере одно электроноакцепторное соединение и (C) по меньшей мере одно соединение, имеющее следующую формулу (I): где n=0-2 и m=5-19, предпочтительно m=7-19, но более предпочтительно m=11-17. Как известно, соединения формулы (I) применяли в качестве антиоксидантов и УФ-стабилизаторов, но никогда еще не использовали в качестве соединения (С), т.е. в качестве реакционной среды, подходящей для проведения обратимой реакции приема/отдачи электронов между красителем, представляющим собой электронодонорное органическое соединение, (А) и электроноакцепторным соединением (В) в термохромных пигментных композициях. К своему удивлению авторы изобретения обнаружили, что соединение формулы (I) согласно изобретению имеет температуру плавления и температуру кристаллизации, оптимально подходящие для использования в качестве соединения (С) или агента, регулирующего изменение температуры, в термохромных пигментных композициях. Таким образом, изобретение также относится к применению соединения формулы (I): где n=0-2 и m=5-19, предпочтительно m=7-19, но более предпочтительно m=11-17, в качестве реакционной среды, подходящей для проведения обратимой реакции приема/отдачи электронов между красителем, представляющим собой электронодонорное органическое соединение, (А) и электроноакцепторным соединением (В) в термохромных пигментных композициях. Преимущественно соединение формулы (I), присутствующее в термохромной пигментной композиции согласно изобретению, выбирают из следующих соединений: или Процентное содержание соединений (А), (В) и (С) зависит от природы и концентрации каждого из этих соединений. Краситель (А), представляющий собой электронодонорное органическое соединение, может содержаться в количестве, составляющем от 1% до 10%, предпочтительно от 1% до 6%, еще более предпочтительно от 2% до 4% от общей массы термохромной пигментной композиции. Электроноакцепторное соединение (В) может содержаться в количестве, составляющем от 1% до 20%, предпочтительно от 1 до 14%, еще более предпочтительно от 4 до 10% от общей массы термохромной пигментной композиции. Соединения (С) формулы (I), выступающего в качестве реакционной среды, может содержаться в количестве, составляющем от 70% до 98%, предпочтительно от 80% до 98%, еще более предпочтительно от 86% до 94% от общей массы термохромной пигментной композиции. Таким образом, термохромная пигментная композиция согласно изобретению может содержать: (A) по меньшей мере один краситель, представляющий собой электронодонорное органическое соединение, в количестве, составляющем от 1% до 10%, предпочтительно от 1% до 6%, более предпочтительно от 2% до 4% по массе, (B) по меньшей мере одно электроноакцепторное соединение в количестве, составляющем от 1% до 20%, предпочтительно от 1% до 14%, более предпочтительно от 4% до 10% по массе и (C) по меньшей мере одно соединение формулы (I) количестве, составляющем от 70% до 98%, предпочтительно от 80% до 98%, более предпочтительно от 86% до 94% по массе. В соответствии с предпочтительным вариантом осуществления термохромная пигментная композиция согласно изобретению содержит: (A) по меньшей мере один краситель, представляющий собой электронодонорное органическое соединение, в количестве, составляющем от 2% до 4% по массе, (B) по меньшей мере одно электроноакцепторное соединение в количестве, составляющем от 4% до 10% по массе и (C) по меньшей мере одно соединение формулы (I) в количестве, составляющем от 86% до 94% по массе.. Преимущественно термохромная пигментная композиция согласно изобретению имеет ширину гистерезиса при изменения цвета (ΔН) после капсулирования от 20°C до 80°C, предпочтительно от 30°C до 80°C, более предпочтительно от 40°C до 70°C. В качестве красителя (А), представляющего собой электронодонорное органическое соединение, можно привести такие общеизвестные соединения, как дифенилметанфталиды, фенилиндолилфталиды, индолилфталиды, дифенилметаназафталиды, фенилиндолилаза-фталиды, флуораны, стирилхинолины и лактоны диазаргодамина, примеры которых приведены ниже, но не только эти соединения. Таким образом, краситель (А), представляющий собой электронодонорное органическое соединение, можно выбрать из группы, включающей: 3-(4-диэтиламино-2-этоксифенил)-3-(1-этил-2-метилиндол-3-ил)-4-азафталид (Blue 63, CAS №69898-40-4), 3,3-бис(п-диметиламинофенил)-6-диметиламинофталат (CAS №1552-42-7), 2'-хлор-6'-(диэтиламино)-3'-метилфлуоран (CAS №21121-62-0), 6'-(диэтиламино)-1',3'-диметил-флуоран (CAS №21934-68-9), 6'-(диэтиламино)-1',3'-диметилфлуоран (CAS №21934-68-9), 2-хлор-6-(диэтиламино)фтороран (CAS №26567-23-7), 3-диэтиламинобензофлуоран (CAS №26628-47-7), 3',6'-бис(диэтиламино)-2-(4-нитрофенил)спиро[изоиндол-1,9'-ксантен]-3-он (CAS №29199-09-5), 2-фениламино-3-метил-6-диэтиламинофлуоран (CAS №29512-49-0), 2'-(дибензиламино)-6'-(диэтиламино)флуоран (CAS №34372-72-0), 2-(2,4-диметилфениламино)-3-метил-6-диэтиламинофлуоран (Black 15, CAS №36431-22-8), 3-(1,2-диметил-3-индолил)-3-[4-(диэтиламино)-2-метилфенил]фталид (CAS №36499-49-7), 3',6'-диметоксифлуоран (CAS №36886-76-7), 3,3-бис(1-бутил-2-метилиндол-3-ил)-3Н-изобензофуран-1-он (Red 40, CAS №50292-91-6), 3,3-бис-(2-метил-1-октил-1Н-индол-3-ил)-3Н-изобензофуран-1-он (CAS №:50292-95-0), 2'-анилино-6'-[этил(п-толил)амино]-3'-метилспиро[изобензофуран-1(3Н), 9'-[9Н]ксантен]-3-он (CAS №59129-79-2), 3-(4-диэтиламино-2-этоксифенил)-3-(1-этил-2-метилиндол-3-ил)-4-азафталид (CAS №69898-40-0), 3-(N-этил-н-изопентиламино)-6-метил-7-анилинофлуорен (CAS №70516-41-5), 3-[4-(диэтиламино)фенил]-3-(1-этил-2-метил-1Н-индол-3-ил)фталид (CAS №75805-17-3), 2'-(2-хлоранилино)-6'-(дибутиламино)флуоран (CAS №82137-81-3), 2-фениламино-3-метил-6-дибутиламинофлуоран (CAS №89331-94-2), 3-(1-бутил-2-метил-1Н-индол-3-ил)-6-(диметиламино)-3-[4-(диметиламино) фенил-1(3Н)-изобензофуран (CAS №92453-31-1), 7-(4-диэтиламино-2-гексилоксифенил)-7-(1-этил-2-метил-1Н-индол-3-ил)-7Н-фуро[3,4-b]пиридин-5-он (Blue 203, CAS №98660-18-5), 7,7-бис[4-диэтиламино)-2-этоксифенил]фуро[3,4-b]пиридин-5-он (CAS №:132467-74-4), N,N-диметил-4-[2-[2-(октилокси)фенил]-6-фенилпиридин-4-ил]анилин (Yellow CK37, CAS №144190-25-0), 3-(2,2-бис(1-этил-2-метилиндол-3-ил)винил)-3-(4-диэтиламинофенил)фталид (CAS №148716-90-9). Предпочтительно краситель (А), представляющий собой электронодонорное органическое соединение, выбирают из группы, включающей: 3-(4-диэтиламино-2-этоксифенил)-3-(1-этил-2-метилиндол-3-ил)-4-азафталид (Blue 63, CAS №69898-40-4), 2'-(дибензиламино)-6'-(диэтиламино)флуоран (CAS №34372-72-0), N,N-диметил-4-[2-[2-(октилокси)фенил]-6-фенилпиридин-4-ил]анилин (Yellow СК37, CAS №144190-25-0), 7-(4-диэтиламино-2-гексилоксифенил)-7-(1-этил-2-метил-1Н-индол-3-ил)-7Н-фуро[3,4-b]пиридин-5-он (Blue 203, CAS №98660-18-5), 2-(2,4-диметилфениламино)-3-метил-6-диэтиламинофлуоран (Black 15, CAS №36431-22-8) и 3,3-бис(1-бутил-2-метилиндол-3-ил)-3Н-изобензофуран-1-он (Red 40, CAS №50292-91-6). В качестве электроноакцепторного соединения (В) можно привести такие соединения, имеющие активный протон, как соединения, имеющие фенольную гидроксильную группу (монофенолы или полифенолы), их производные, которые имеют такие заместители, как алкильная группа, арильная группа, ацильная группа, алкоксикарбонильная группа, карбоксигруппа, ее сложные эфиры, амидогруппа или атом галогена, и поликонденсационные фенолоальдегидные смолы, такие как бисфенолы или трисфенолы, но не только эти соединения. В описании настоящего изобретения термины «алкил» и «арил» использованы в следующих значениях: - Алкил: насыщенная алифатическая углеводородная группа с прямой или разветвленной цепью углеродных атомов С1-С20, предпочтительно С1-С12, более предпочтительно С1-С6, еще более предпочтительно в С1-С4. Термин «разветвленный» означает, что линейная алкильная группа содержит по меньшей мере одну низшую алкильную группу, такую как метил или этил. В качестве алкильной группы можно упомянуть, например, метильную группу, этильную группу, н-пропильную группу, изопропильную группу, н-бутильную группу, трет-бутильную группу и н-пентильную группу; - Арил: любая функциональная группа или заместитель, образованная, по меньшей мере одним ароматическим кольцом; ароматическое кольцо представляет собой любую моно- или полициклическую плоскость, имеющую делокализованную π-систему, в которой каждый атом в кольце имеет p-орбиталь, причем указанные p-орбитали перекрывают друг друга; такими арильными группами являются фенил, бифенил, нафталин и антрацен. Арильные группы согласно изобретению предпочтительно содержат от 4 до 12 атомов углерода, более предпочтительно от 5 до 6 атомов углерода. Еще более предпочтительно, арильная группа согласно изобретению представляет собой фенил. Таким образом, электроноакцепторное соединение (В) можно выбрать из группы, включающей: 2,2-бис(4-гидрокси-3-метилфенил)пропан ( Предпочтительно электроноакцепторное соединение (В) выбирают из группы, включающей: 2,2-бис(4-гидрокси-3-метилфенил)пропан ( Термохромную пигментную композицию согласно изобретению получают путем растворения соединений (А) и (В) в соединении (С) формулы (I), как определено выше, с последующим перемешиванием до гомогенной состояния с использованием такого смесителя, как гомогенизатор или диспергатор. Соединениям (А) и (В), смешанным с соединением (С) формулы (I), как определено выше, можно придавать форму микрокапсул. При этом термохромную пигментную композицию согласно изобретению инкапсулируют в микрокапсулы с образованием микрокапсулированных термохромных пигментов. Такие микрокапсулированные термохромные пигменты составляют другой объект изобретения. Они обладают теми преимуществами, что устойчивы к механическим воздействиям, нерастворимы в воде, а следовательно, могут диспергироваться в воде, и меньшей скоростью агломерации. Температура плавления (или температура обесцвечивания Т4) микрокапсулированного термохромного пигмента согласно изобретению может составлять от 20°C до 80°C, предпочтительно от 30°C до 80°C, еще более предпочтительно от 40°C до 70°C. Температура кристаллизации (или температура восстановления цвета Т1) микрокапсулированного термохромного пигмента согласно изобретению может составлять от -40°C до 20°C, предпочтительно от -30°C до 10°C, еще более предпочтительно от -20°C до 0°C. Микрокапсулы, содержащие термохромную пигментную композицию согласно изобретению, имеют средний диаметр в диапазоне от 0,5 мкм до 30 мкм, предпочтительно от 1 мкм до 10 мкм, еще более предпочтительно от 3 мкм до 5 мкм. Этот средний диаметр соответствует гранулометрическому составу d90 и означает, что 90% от всего объема занимают микрокапсулы меньшего размера, чем указанное значение для d90. Этот средний диаметр можно определять путем лазерной гранулометрии с использованием системы Zetasizer Nano ZS фирмы Malvern. Используемые процессы микрокапсулирования включают, но не ограничиваются ими, такие обычные способы, как: - химические процессы, которые основаны на образовании in situ покрытия микрокапсул, например, путем полимеризации или межфазной поликонденсации, причем эти способы являются предпочтительными, - физико-химические процессы, такие как разделение фаз или коацервация, испарение - экстракция растворителя, термическая желатинизация эмульсии (расплав), или механические процессы, такие как распыление/сушка (распылительная сушка), желатинизация или замораживание капель, нанесение покрытия в псевдоожиженном слое (распылительное нанесение покрытия). Микрокапсулы, содержащие термохромную пигментную композицию согласно изобретению, преимущественно имеют покрытие на основе аминоформальдегидной смолы, предпочтительно на основе меламиноформальдегидной смолы, мочевиноформальдегидной смолы или бензогуанаминоформальдегидной смолы. Микрокапсулы, содержащие термохромную пигментную композицию согласно изобретению, предпочтительно получают полимеризацией in situ меламиноформальдегидной смолы. Еще одним объектом изобретения является композиция чернил, содержащая микрокапсулированный термохромный пигмент согласно изобретению. Микрокапсулированный термохромный пигмент согласно изобретению содержится в композиции чернил в количестве, составляющем от 5% до 50% от общей массы композиции чернил. Композиция чернил по изобретению также в основном состоит из воды. Преимущественно, вода содержится в количестве, составляющем от 40% до 80% от общей массы композиции чернил. Кроме того, она может содержать один или несколько растворителей, смешивающихся с водой. Таким образом, композиция чернил согласно изобретению может содержать органический или водный растворитель, предпочтительно водный растворитель. Композиция чернил согласно изобретению может содержать также одну или несколько специфических добавок, которые могут играть разные роли в зависимости от предполагаемого конечного назначения. Они могут предназначаться для печатной краски, предназначенной для трафаретной печати, офсетной печати, глубокой печати, для нанесения аэрозольного покрытия, электростатического покрытия, гальванического покрытия, накатного покрытия, краски для струйной печати, чернил для пишущих инструментов, таких как шариковые ручки, кисти, маркеры, цветные карандаши. Композицию чернил согласно изобретению можно также добавлять к композиции из термопластичной или термореактивной смолы, предназначенной для изготовления формованных изделий. К растворителям, которые можно добавлять к композиции чернил согласно изобретению, относятся вода и полярные растворители, смешивающиеся с водой, такие как: - спирты: линейные или разветвленные спирты С1-С15, такие как изопропанол, бутанол, изобутанол, пентанол, бензиловый спирт; глицерин; диглицерин; полиглицерин; - сложные эфиры, такие как этилацетат или пропилацетат; - сложные эфиры карбонатов, такие как пропиленкарбонат или этиленкарбонат; - кетоны, такие как метилизобутилкетон (МИК), ацетон или циклогексанон; - гликоли, такие как этиленгликоль, диэтиленгликоль, триэтиленгликоль, пропиленгликоль, полиэтиленгликоль, монометиловый эфир этиленгликоля, 1,3-бутиленгликоль, тио-диэтиленгликоль; - амиды, такие как диметилацетамид или диметилформамид и - их смеси. Растворитель или растворители содержатся в количестве, составляющем от 5% до 20% от общей массы композиции чернил. К упомянутым выше добавкам относятся: - реологические модификаторы (реофлюидифицирующий агент), способные создавать желеобразующий эффект, такие как ксантановая камедь или гуммиарабик; - пеногасители, такие как водные дисперсии модифицированного полисилоксана (MOUSSEX® производства фирмы Synthron); - регуляторы рН, такие как гидроксид натрия, триэтаноламин, - поверхностно-активные вещества, такие как полиэфиры полиолов (TERGITOL™ производства фирмы Dow), - биоциды, такие как изотиазолиноны (ACTICIDE® производства фирмы Thor), - антикоррозийные средства, такие как бензотриазол; - смазочные материалы; - диспергаторы; - коалесцирующие агенты; - сшивающие агенты; - смачивающие агенты; - пластификаторы; - антиоксиданты; - УФ-стабилизаторы. Еще одним объектом изобретения являются пишущим инструментам, содержащим чернильную композицию согласно изобретению. Эти инструменты обычно имеют корпус, содержащий чернильную композицию согласно изобретению, и необязательно фрикционный элемент. Пишущий инструмент согласно изобретению преимущественно выбирают из группы, включающей: шариковые ручки, чернильные карандаши и мелки, но более предпочтительно выбирают шариковые ручки со стираемыми чернилами при трении. Фрикционный элемент пишущего инструмента предпочтительно представляет собой резинку. Носителями, на которые можно наносить композицию согласно изобретению, являются бумага, волокно, кожа, пластик, стекло, металл, дерево, бетон. Помимо использования по вышеупомянутому назначению, изобретение охватывает также использование по другому назначению, которое станет понятным из последующего описания, которое относится к применению соединений формулы (I) согласно изобретению в качестве агента для регулирования изменения температуры в термохромных пигментных композициях согласно изобретению и их характеристики. ПРИМЕРЫ Пример 1 Получение термохромной пигментной композиции Термохромную пигментную композицию получают, смешивая 2,2 массовые части 3-(4-диэтиламино-2-этоксифенил)-3-(1-этил-2-метилиндол-3-ил)-4-азафталида (соединения (A), CAS №69898-40-4), 2,2 массовые части 4,4'-(гексафторизопропилиден)дифенола (соединения (В1), CAS №1478-61-1), 2,2 массовые части 2,2-бис(4-гидрокси-3-метилфенил) пропана (соединения (В2), CAS №79-97-0) и 93,3 массовые части соединения формулы (I) согласно изобретению (соединение (1)) (соединение (С)): Полученную смесь нагревают при перемешивании при температуре 110°C в течение 1 часа до полной солюбилизации соединений (А), (В1) и (В2) в соединении (С). Получение микрокапсулированного термохромного пигмента 7,2 массовых частей водного раствора сополимера малеинового ангидрида и метилвинилового эфира (раствор, содержащий сополимер в количестве, составляющем 33% от общей массы раствора) нейтрализуют 8,8 массовыми частями водного раствора гидроксида натрия (1,0 М раствор). Нейтрализованный раствор разбавляют 38,4 массовыми частями воды, и смесь эмульгируют в гомогенизаторе при скорости не менее 15 м/с. Добавляют 27,8 массовых частей полученной выше термохромной пигментной композиции и полученную эмульсию выдерживают при температуре 80°C в течение 30 мин. Затем к смеси добавляют по каплям 17,8 массовых частей форполимера меламиноформальдегидной смолы (водный раствор, содержащий форполимер в количестве, составляющем 50% от общей массы раствора). Потом реакционную среду нагревают до температуры 90°C и перемешивают со скоростью, по меньшей мере 15 м/с в течение 4 часов. Получают суспензию, состоящую из микрокапсул термохромного пигмента, диспергированных в водном растворителе, при этом микрокапсулы имеют распределение частиц d90 диаметра 3,6 мкм, определенный с помощью системы Zetasizer Nano ZS компании Malvert при освещении с длиной волны 632 нм. Полученные термохромные пигментные микрокапсулы обладают способностью переходить от синего цвета к бесцветному при температуре выше 62°C с эффектом цветного гистерезиса. Получение композиции чернил 10,5 массовых частей глицерина (сорастворителя) нагревают при температуре 30°C при перемешивании лопастной мешалкой. Затем добавляют 0,2 массовой части бензотриазола (антикоррозионного средства) и 0,2 массовой части водного раствора, содержащего 1,2-бензизотиазолин-3-он в количестве, составляющем 2,5% по массе, и 2-метил-4-изотиазолин-3-он (биоцид) в количестве, составляющем 2,5% по массе. Смесь перемешивают до полной солюбилизации добавки. Медленно добавляют 0,5 массовой части ксантановой камеди (реологического модификатора) в течение 15 минут. После диспергирования реологического модификатора добавляют 28,6 массовых частей дистиллированной воды. Полученную композицию чернил перемешивают в течение 3 часов, а затем добавляют 60 весовых частей водной дисперсии микрокапсулированного термохромного пигмента, полученного выше (водную дисперсию, содержащую микрокапсулированный термохромный пигмент в количестве, составляющем 30% от массы дисперсии). Затем синие чернила диспергируют в диспергаторе со скоростью, по меньшей мере 15 м/с в течение 30 минут. Перед впрыскиванием в чернильные картриджи композицию чернил дегазируют при пониженном давлении. Пример 2 Получение термохромной пигментной композиции Термохромную пигментную композицию получают, смешивая 2,2 массовые части 3-(4-диэтиламино-2-этоксифенил)-3-(1-этил-2-метилиндол-3-ил)-4-азафталида (соединения (А), CAS №69898-40-4), 2,1 массовые части 2,2-бис(4-гидрокси-3-метилфенил)пропана (соединение (B1), CAS №79-97-0), 2,1 массовые части 4,4'-(1,3-фенилендиизопропилиден)бисфенола (соединение (В2), CAS №13595-25-0), 93,8 массовые части соединения формулы (I) согласно изобретению (соединение (2)) (соединение (С)). Полученную смесь нагревают при перемешивании при температуре 110°C в течение 1 часа до полной солюбилизации соединений (А), (В1) и (В2) в соединении (С). Получение микрокапсулированного термохромного пигмента 7,4 массовых частей водного раствора сополимера малеинового ангидрида и метилвинилового эфира (раствор, содержащий сополимер в количестве, составляющем 33% от общей массы раствора) нейтрализуют 10,2 массовыми частями водного раствора гидроксида натрия (1,0 М раствор). Нейтрализованный раствор разбавляют 40,3 массовыми частями воды и смесь эмульгируют в гомогенизаторе со скоростью не менее 15 м/с. Добавляют 25,3 массовых частей полученной выше термохромной пигментной композиции и полученную эмульсию выдерживают при температуре 80°C в течение 30 минут. Затем к смеси добавляют по каплям 16,8 массовых частей форполимера меламиноформальдегидной смолы (водный раствор, содержащий форполимер в количестве, составляющем 50% от общей массы раствора). Затем реакционную среду нагревают до температуры 90°C и перемешивают со скоростью не менее 15 м/с в течение 4 часов. Получают суспензию, состоящую из микрокапсул термохромного пигмента, диспергированных в водном растворителе, при этом микрокапсулы имеют распределение частиц d90 диаметра 3,9 мкм, определенный с использованием системы Zetasizer Nano ZS компании Malvern при освещении с длиной волны 632 нм. Полученные термохромные пигментные микрокапсулы обладают способностью переходить от синего цвета к бесцветному при температуре выше 55°C с эффектом цветного гистерезиса. Получение композиции чернил 10,6 массовых частей глицерина (сорастворителя) нагревают при температуре 30°C при перемешивании лопастной мешалкой. Затем добавляют 0,2 массовой части бензотриазола (антикоррозионного средства) и 0,2 массовой части водного раствора, содержащего 1,2-бензизотиазолин-3-он в количестве, составляющем 2,5% по массе, и 2-метил-4-изотиазолин-3-он(биоцид) в количестве, составляющем 2,5% по массе, 0,5 массовой части водной дисперсии полисилоксанового сополимера (водной дисперсии, содержащей полимер в количестве, составляющем 50% от массы дисперсии) (пеногаситель) и 0,5 массовой части полиэфира полиола (поверхностно-активного вещества). Смесь перемешивают до полной солюбилизации добавок. Медленно добавляют 0,5 массовой части ксантановой камеди (реологический модификатор) в течение 15 минут. После диспергирования реологического модификатора добавляют 27,0 массовых частей дистиллированной воды. Полученную композицию чернил перемешивают в течение 3 часов, а затем добавляют 60 массовых частей водной дисперсии микрокапсулированного термохромного пигмента, полученного выше (водную дисперсию, содержащую микрокапсулированный термохромный пигмент в количестве, составляющем 30% от массы дисперсии). Значение рН в композиции чернил доводят до рН=8 с помощью 0,5 массовой части триэтаноламина. Затем синие чернила диспергируют в диспергаторе со скоростью, по меньшей мере 15 м/сек в течение 30 минут. Перед впрыскиванием в чернильные картриджи композицию чернил дегазируют при пониженном давлении. Определение температуры обесцвечивания и восстановления цвета у микрокапсулированного термохромного пигмента, полученнго в Примерах 1 и 2 Температуры перехода полученных микрокапсулированных термохромных пигментов измеряют с использованием дифференциальной сканирующей калориметрии (ДСК) на приборе ТА Instruments Q20 в диапазоне температур от -50°C до 100°C при скоростях охлаждения/нагревания 20°C/мин. Измеренные значения температуры приведены ниже в табл. 1. Измерению подвергали следующие температуры: T1 - температура полного восстановления цвета, Т2 - температура частичного восстановления цвета, Т3 - температура частичного обесцвечивания, Т4 - температура полного обесцвечивания, ΔН = ширина гистерезиса = TG-TH. Пример 3 Несколько термохромных пигментных композиций согласно изобретению были подвергнуты испытанию для определения оптимальных процентных соотношений между соединениямий (А), (В) и (С), обеспечивающих полное обесцвечивание композиций. Термохромные пигментные композиции изготовляли путем перемешивания соединений (А), (В) и (С) при температуре 110°C в течение 1 часа до полной солюбилизации соединений (А) и (В) в соединении (С). Состав различных подвергшихся испытанию композиций 1-9 термохромных пигментов приведен ниже в таблице 2. Термохромный эффект различных термохромных пигментных композиций оценивали визуально путем повышения температуры до 65°C. Полученные результаты приведены ниже в таблице 3. Оказывается, чем больше процентное содержание соединения (1) в термохромной пигментной композиции, тем легче обесцвечиваются термохромные пигментные композиции и становятся бесцветными. КОНТРОЛЬНЫЙ ПРИМЕР 1 Термохромную пигментную композицию согласно изобретению, содержащую соединение формулы (I) согласно изобретению (соединение (1)) в качестве соединения (С): сравнивают с термохромной пигментной композицией, в которой соединение (1) было заменено на додецилпарабен, соединение, имеющее сходную структуру, но не содержащее трет-бутильных групп -С(СН3)3. Термохромные пигменты композиций получали путем смешивания соединений (А), (В) и (С) при температуре 110°C в течение 1 часа до полной солюбилизации соединений (А) и (В) в соединении (С). Состав термохромных пигментных композиций приведен ниже в Таблице 4. Для проверки термохромного эффекта каплю термохромной пигментной композиции наносили на предметное стекло микроскопа. Затем пластину нагревали до температуры выше температуры плавления соединения (С). Визуальное наблюдение проводили путем сравнения интенсивности цвета на пластине, нагретой до температуры выше температуры плавления соединения (С), и на пластине, находящейся при комнатной температуре. При 20°C две композиции, содержащие соединение (1) и додецилпарабен, окрашены в синий цвет. При 90°C композиция согласно изобретению, содержащая соединение (1), полностью обесцвечивается (становится бесцветной), тогда как сравнительная композиция, содержащая додецилпарабен, остается окрашенной в синий цвет. В сравнительной композиции додецилпарабен играет роль проявителя цвета из-за отсутствия стерических препятствий вблизи 4-фенола.



С, CAS №79-97-0), 4-гексил-1,3-дигидроксибензол (4-гексилрезорцинол, CAS №136-77-6), 4,4'-циклогекси-лиденбисфенол (BPZ, CAS №843-55-0), 4,4'-(гексафторизопропилиден)дифенол (
AF, CAS No: 1478-61-1), 4,4'-(1-фенилэтилиден)бисфенол (CAS №1571-75-1), 2,2'-дигидроксибифенил (CAS №1806-29-7), 4,4'-этилиденбисфенол (CAS №:2081-08-5), 4,4'-(1,4-фенилендиизопропилиден)бисфенол (CAS №2167-51-3), 1,1-бис(4-гидрокси-3-метилфенил) циклогексан (CAS №2362-14-3), 9,9-бис(4-гидроксифенил)флуорен (CAS №3236-71-3), 4,4'-(1,3-фенилендиизопропилиден)бисфенол (CAS №13595-25-0), 1,1,1-трис(4-гидроксифенил)этан (CAS №27955-94-8), 4,4'-(2-этилгексилиден)дифенол (CAS №74462-02-5), α,α,α'-трис(4-гидроксифенил)-1-этил-4-изопропилбензол (CAS №110726-28-8), 4-(1,1,3,3-тетраметилбутил)фенол (CAS №140-66-9), 4-гидроксидифениловый эфир (CAS №831-82-3), бис(2-гидрокси-1-нафтил)метан (CAS №1096-84-0), 4-(метилсульфонил)фенол (CAS №14763-60-1), 4-гидроксифенил-4'-изопропоксифенилсульфон (CAS №95235-30-6), 4,4'-дигидроксибифенил (CAS №92-88-6), 4-гидроксибифенил (CAS №92-69-3), 4-4-(метилсульфонил)фенол (CAS №: 14763-60-1), 4-гидроксифенил-4'-изопропоксифенилсульфон (CAS: 95235-30-6), 4,4'-дигидроксибифенил (n-CAS: 92-88-6) 4-4-(метилсульфонил)фенол (CAS №:14763-60-1), 4-гидроксифенил-4'-изопропоксифенилсульфон (CAS №95235-30-6), 4,4'-дигидроксибифенил (CAS №92-88-6), 4-гидроксибифенил (CAS №92-69-3), п-гидроксикумен (CAS №99-89-8), 2,4-дигидро-ксибензофенон (CAS №131-56-6), монометиловый эфир гидрохинона (EHQ, CAS №150-76) -5), 3-н-пентадецилфенол (CAS №501-24-6), 4-(2-фенилизопропил)фенол (CAS №599-64-4), 5-хлор-2-(2,4-дихлорфенокси)фенол (CAS №3380-34-5), N-(п-толуолсульфонил)-N'-(3-(п-толуолсульфонилокси)фенил)мочевина (CAS №232938-43-1), 2,2-бис(3,5-дибром-4-гидроксифенил)пропан (CAS №79-94-7), 4,4'-изопропилидендифенол (CAS №80-05-7) и 4,4'-сульфонилдифенол, (BPS, CAS №80-09-1).
С, CAS №79-97-0), 4-гексил-1,3-дигидроксибензол (4-гексилрезорцинол, CAS №136-77-6), 4,4'-циклогекси-лиденби-сфенол (BPZ, CAS №843-55-0), 4,4'-(гексафторизопропилиден)дифенол (
AF, CAS №1478-61-1), 4,4'-(1-фенилэтилиден)бисфенол (CAS №1571-75-1), 2,2'-дигидроксибифенил (CAS №1806-29-7), 4,4'-(1,4-фенилендиизопропилиден)бисфенол (CAS №2167-51-3), 1,1-бис(4-гидрокси-3-метилфенил)циклогексан (CAS №2362-14-3), 9,9-бис(4-гидроксифенил)флуорен (CAS №3236-71-3), 4,4'-(1,3-фенилендиизопропилиден)бисфенол (CAS №13595-25-0), 1,1,1-трис(4-гидроксифенил)этан (CAS №27955-94-8), 4,4'-(2-этилгексилиден)дифенол (CAS №74462-02-5) и α,α,α'-трис(4-гидрокси-фенил)-1-этил-4-изопропилбензол (CAS №110726-28-8).







