Изобретение относится к клеевой композиции, клеящему веществу, изделию и способу формирования связи между двумя субстратами. Клеевая композиция включает эпоксидсодержащий компонент, блокированный полиизоцианатный отверждающий агент и катализатор латентного отверждения. Блокированный полиизоцианатный отверждающий агент присутствует в количестве от 5 до 50% в расчете на общую массу клеевой композиции. Блокированный агент содержит блокирующую группу, полученную из блокирующего агента, содержащего альфа-гидроксиамид, сложный эфир или тиоэфир или их комбинацию. В другом варианте блокированный полиизоцианатный отвердитель представляет собой.Технический результат – разработка клея, обладающего ударной вязкостью, равной по меньшей мере 10 Н/мм. 5 н. и 19 з.п. ф-лы, 3 табл., 4 пр.
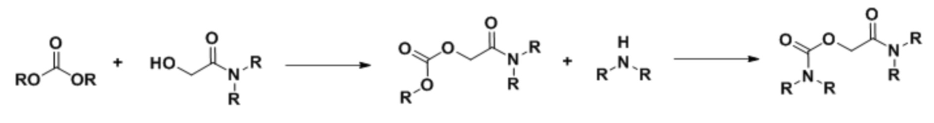
1. Клеевая композиция, содержащая: эпоксидсодержащий компонент; блокированный полиизоцианатный отверждающий агент, содержащий блокирующую группу, полученную из блокирующего агента, содержащего альфа-гидроксиамид, сложный эфир или тиоэфир или их комбинацию, присутствующий в количестве от 5 до 50% в расчете на общую массу клеевой композиции; и катализатор латентного отверждения. 2. Клеевая композиция по п. 1, отличающаяся тем, что эпоксидсодержащий компонент присутствует в количестве от 50 до 95 мас.% в расчете на общую массу композиции. 3. Клеевая композиция по п. 1, отличающаяся тем, что эпоксидсодержащий компонент содержит пластификатор с эпоксидным покрытием. 4. Клеевая композиция по п. 1, отличающаяся тем, что блокированный полиизоцианат содержит вторую блокирующую группу, полученную из блокирующего агента, содержащего спирт, фенольное соединение, третичный гидроксиламин, оксим, амин или их комбинацию. 5. Клеевая композиция по п. 1, отличающаяся тем, что блокирующий агент, содержащий альфа-гидроксиамид, сложный эфир или тиоэфир, включает соединение структуры: где X является N(R2), O, S; n равно от 1 до 4; когда n = 1 и X = N(R2), R является водородом, C1-C10 алкильной группой, арильной группой, простым полиэфиром, сложным полиэфиром, полиуретаном, гидрокси-алкильной группой или тио-алкильной группой; когда n = 1 и X = O или S, R является C1-C10 алкильной группой, арильной группой, простым полиэфиром, сложным полиэфиром, полиуретаном, гидрокси-алкильной группой или тио-алкильной группой; когда n = 2-4, R является многовалентной C1-C10 алкильной группой, многовалентной арильной группой, многовалентным простым полиэфиром, многовалентным сложным полиэфиром, многовалентным полиуретаном; при этом каждый R1 независимо является водородом, C1-C10 алкильной группой, арильной группой или циклоалифатической группой; каждый R2 независимо является водородом, C1-C10 алкильной группой, арильной группой, циклоалифатической группой, гидрокси-алкильной группой или тио-алкильной группой; и R и R2 вместе могут образовывать циклоалифатическую, гетероциклическую структуру. 6. Клеевая композиция по п. 1, отличающаяся тем, что блокирующий агент содержит альфа-гидроксиамидный блокирующий агент. 7. Клеевая композиция по п. 6, отличающаяся тем, что агент, блокирующий альфа-гидроксиамид, содержит алкил гликольамид и/или алкил лактамид. 8. Клеевая композиция по п. 7, отличающаяся тем, что алкил гликольамид или алкил лактамид включают соединение структуры: где R1 является водородом или метиловой группой; R2 является C1-C10алкильной группой и R3 является C1-C10 алкильной группой. 9. Клеевая композиция по п. 7, отличающаяся тем, что алкил гликольамид или алкил лактамид включает соединение структуры: где R1 является водородом или метиловой группой; R2 является C1-C10алкильной группой и R3 является водородом. 10. Клеевая композиция по п. 7, отличающаяся тем, что алкил гликольамид включает C1-C10моно-алкил гликольамид. 11. Клеевая композиция по п. 7, отличающаяся тем, что алкил лактамид включает C1-C10моно-алкил лактамид. 12. Клеевая композиция по п. 7, отличающаяся тем, что алкил лактамид содержит рацемический лактамид. 13. Клеевая композиция по п. 7, отличающаяся тем, что блокирующая группа, полученная из блокирующего агента альфа-гидроксиамида, сложного эфира или тиоэфира, составляет по меньшей мере 10% от общего количества блокированных изоцианатных групп блокированного полиизоцианата. 14. Клеевая композиция по п. 1, отличающаяся тем, что блокированный полиизоцианатный отверждающий агент имеет Mw от 250 до 10000, измеренный гель-проникающей хроматографией с использованием калибровочных стандартов полистирола. 15. Клеевая композиция по п. 1, отличающаяся тем, что вязкость клеевой композиции составляет от 102 мПа⋅с до 105 МПа⋅с (измерено с помощью реометра «Anton Paar Physica MCR 301» 25 мм параллельной пластиной и зазором 1 мм при следующих условиях сдвига: Кондиционирование: Вращение с градиентом скорости сдвига 0,1 с-1 в течение 60 секунд; Термическая обработка: Без сдвига в течение 240 секунд; Амплитудный тест: Колебания с логарифмически увеличивающейся деформацией от 0,01 до 10% за 90 секунд (данные измеряются каждые 3 секунды); Фаза сдвига: Колебания с 10%-ной деформацией (y) при 10 Гц в течение 120 секунд (данные измеряются каждые 10 секунд); Повторное кондиционирование: Вращение с градиентом скорости сдвига 0,1 с-1 в течение 60 секунд; Восстановленный режим: Колебания с 0,05%-ной деформацией в течение 120 секунд (данные измеряются каждые 10 секунд)). 16. Клеевая композиция по п. 1, отличающаяся тем, что дополнительно содержит эластомерные частицы. 17. Клеевая композиция по п. 16, отличающаяся тем, что эластомерные частицы имеют структуру ядро/оболочка. 18. Клеевая композиция по п. 1, отличающаяся тем, что клеевая композиция является однокомпонентной композицией. 19. Клеящее вещество, содержащее композицию по п. 1 в отвержденном состоянии. 20. Изделие, содержащее: первую подложку; вторую подложку; клеящее вещество, содержащее клеевую композицию по п. 1 в отвержденном состоянии, расположенную между первой и второй подложками. 21. Изделие по п. 20, отличающееся тем, что клеящее вещество имеет ударную вязкость, равную по меньшей мере 15 Н/мм, измеренную в соответствии с ISO 11343 по CEAST 9350. 22. Способ формирования связи между двумя субстратами, включающий: нанесение клеевой композиции по п. 1 на первую подложку; контактирование второй подложки с клеевой композицией таким образом, чтобы расположить клеевую композицию между первой подложкой и второй подложкой; и применение внешнего источника энергии для отверждения клеевой композиции. 23. Способ по п. 22, отличающийся тем, что отверждение включает термический нагрев до температуры по меньшей мере 80°С. 24. Клеевая композиция, содержащая: эпоксидсодержащий компонент; блокированный полиизоцианатный отвердитель в соответствии со структурой: где Y является остатком полиизоцианата; m больше или равно 1; р больше или равно 0; Х = N(R2), О, S; когда X = N(R2), R является водородом, C1-C10 алкильной группой, арильной группой, простым полиэфиром, сложным полиэфиром, полиуретаном, гидрокси-алкильной группой или тио-алкильной группой; когда X = O или S, R является C1-C10 алкильной группой, арильной группой, простым полиэфиром, сложным полиэфиром, полиуретаном, гидрокси-алкильной группой или тио-алкильной группой; каждый R1 независимо является водородом, C1-C10 алкильной группой, арильной группой или циклоалифатической группой; когда m больше или равно 2, R необязательно является многовалентной C1-C10 алкильной группой, многовалентной арильной группой, многовалентным простым полиэфиром, многовалентным сложным полиэфиром, многовалентным полиуретаном; каждый R2 независимо является водородом, C1-C10 алкильной группой, арильной группой, циклоалифатической группой, гидрокси-алкильной группой или тио-алкильной группой; R и R2 вместе могут образовывать циклоалифатическую, гетероциклическую структуру; и O-Z представляет остаток второго блокирующего агента; и катализатор латентного отверждения.
,


Область изобретения Настоящее изобретение относится к клеевым композициям и клеящим веществам. Область техники Структурные клеящие вещества используются в самых разных областях для склеивания двух или более материалов подложки. Например, структурные клеящие вещества могут быть использованы для склеивания автомобильных или промышленных компонентов. Настоящее изобретение относится к клеевым композициям, которые обеспечивают достаточную прочность соединения и легко наносятся для использования при склеивании материалов подложки. Раскрытие изобретения В данном документе раскрыта клеевая композиция, содержащая: эпоксид-содержащий компонент; блокированный полиизоцианатный отверждающий агент, содержащий блокирующую группу, полученную из блокирующего агента, содержащего альфа-гидро-ксиамид, сложный эфир или тиоэфир, или их комбинацию. Также здесь раскрыт способ формирования связи между двумя подложками, включающий: нанесение клея, содержащего эпоксидный компонент и блокированный полиизоцианатный отвердитель, содержащий блокирующую группу, полученную из блокирующего агента, содержащего альфа-гидроксиамид, сложный эфир или тиоэфир или их комбинацию; соприкосновение второй подложки с клеевой композицией так, чтобы клеевая композиция находилась между первой и второй подложкой; отверждение клеевой композиции. Также раскрыто клеящее вещество, образованное по меньшей мере частичным отверждением клеящего вещества, содержащего эпоксид-содержащий компонент и блокированный полиизоцианатный отвердитель, содержащий блокирующую группу, полученную из блокирующего агента, содержащего альфа-гидроксиамид, сложный эфир, или тиоэфир, или комбинацию вышеуказанных веществ. Кроме того, раскрыто изделие, содержащее первую подложку, вторую подложку и клеящее вещество, содержащее эпоксид-содержащий компонент и блокированный полиизоцианатный отвердитель, содержащий блокирующую группу, полученную из блокирующего агента, содержащего альфа-гидроксиамид, сложный эфир или тиоэфир, или их комбинацию. Подробное описание изобретения В целях пояснения подробного описания следует понимать, что изобретение может предполагать различные альтернативные варианты и последовательности этапов, за исключением случаев, если не указано иное. Кроме того, в любых рабочих примерах, если не указано иное, все числа, выражающие значения, суммы, проценты, диапазоны, поддиапазоны и дроби, могут читаться так, как если бы они предшествовали слову «около», даже если термин выражен не явно. Соответственно, если не указано иное, числовые параметры, изложенные в последующем изложении и прилагаемой формуле изобретения, являются приблизительными значениями, которые могут варьироваться в зависимости от желаемых свойств, которые должны быть получены посредством настоящего изобретения. По крайней мере, это не попытка ограничить применение теории эквивалентов к объему формулы изобретения, каждый числовой параметр должен истолковываться по меньшей мере с учетом чисел сообщаемых значащих цифр и путем применения простых методов округления. Если в данном документе описывается закрытый или открытый числовой диапазон, все числа, значения, количества, проценты, поддиапазоны и дроби, находящиеся внутри или охвачены числовым диапазоном, должны рассматриваться, как специально включенные в первоначальное раскрытие настоящей заявки, и принадлежащие к ней, словно эти числа, значения, суммы, проценты, поддиапазоны и дроби были явно отображены в полной мере. При том, что числовые диапазоны и параметры, определяющие объем изобретения, являются приблизительными, числовые значения, указанные в конкретных примерах, сообщаются с максимально возможной точностью. Однако любое числовое значение по своей природе содержит определенные ошибки, неизбежно возникающие в результате стандартного отклонения, обнаруженного при соответствующих тестовых измерениях. Используемый здесь термин множественное число, если не указано иное, может охватывать его единственное число, и наоборот, если не указано иное. Например, несмотря на то, что здесь делается ссылка на эпоксидную группу и блокирующую группу, можно использовать комбинацию (то есть множество) этих компонентов. Кроме того, в настоящей заявке использование «или» означает «и/или», если не указано иное, даже если "и/или" может быть явно использовано в определенных случаях. Используемые в настоящем документе термины «включающий», «вмещающий» и подобные им понимаются в контексте настоящей заявки, как синонимы термина «содержащий» и, следовательно, являются открытыми и не исключают наличия дополнительных неописанных или неотмеченных элементов, материалов, ингредиентов или стадий способов. В контексте данного, документа термин «состоящий из» понимается в контексте настоящей заявки для исключения присутствия любого неопределенного элемента, компонента или стадии способа. В контексте данного документа, термин «состоящий по существу из» понимается в контексте настоящей заявки, как включающий указанные элементы, материалы, ингредиенты или стадии способа «а также и те, которые не оказывают существенного влияния на основную и новую характеристику(и)» того, что было описано. Используемые здесь термины «на», «к», «наложен на», «применен к», «сформированный на», «нанесенный на», «отложенный на» означают сформированный, перекрытый, нанесенный или предоставленный, но не обязательно в контакте с поверхностью, клеевая композиция, «нанесенная» на подложку, не исключает наличия одного или более других промежуточных слоев покрытия того же или другого состава, расположенных между клеевой композицией и подложкой. Используемый в данном документе термин «конструкционный клей» означает клей, имеющий ударную вязкость по меньшей мере 10 Н/мм (измеренную в соответствии с ISO 11343 CEAST 9350). Используемый в данном документе термин «ароматический» относится к углеводороду, имеющему делокализованную сопряженную π-систему с чередующимися двойными и одинарными связями между атомами углерода, образующими одно или более копланарных углеводородных колец. Как определено в настоящем документе, «1K» или «однокомпонентная» клеевая композиция является композицией, в которой все ингредиенты могут быть предварительно смешаны, и храниться, и в которой реакционноспособные компоненты с трудностью реагируют в условиях окружающей среды или слегка термических условиях, но вместо этого реагируют только при активации внешнего источника энергии. При отсутствии активации внешнего источника энергии, композиция будет оставаться в значительной степени без реакции (с увеличением вязкости менее, чем на 100% при хранении при 25°C, в течение 90 дней, где вязкость измеряется с помощью реометра «Anton Paar Physica MCR 301» параллельной пластиной 25 мм, и зазором в 1 мм, при следующих условиях сдвига: Кондиционирование: Вращение с градиентом скорости сдвига 0,1 с-1 в течение 60 секунд; Термическая обработка: Без сдвига в течение 240 секунд; Амплитудный тест: Колебания с логарифмически увеличивающейся деформацией от 0,01 до 10% за 90 секунд (данные измеряются каждые 3 секунды); Фаза сдвига: Колебания с 10%-ной деформацией при 10 Гц в течение 120 секунд (данные измеряются каждые 10 секунд); Повторное кондиционирование: Вращение с градиентом скорости сдвига 0,1 с-1 в течение 60 секунд; Восстановительный режим: Колебания при 0,05% деформации в течение 120 секунд (данные измеряются каждые 10 секунд)). Внешние источники энергии, которые можно использовать для ускорения реакции отверждения (т.е. соединения эпоксидного компонента и отвердителя), включают, например, излучение (то есть актиновое излучение, такое как ультрафиолетовое излучение) и/или тепло. Как определено в настоящем документе, «2K» или «двухкомпонентная» клеевая композиция является композицией, в которой по меньшей мере часть реакционноспособных компонентов легко реагируют и отверждаются без активации внешнего источника энергии, в частности, в условиях окружающей среды или слегка термических условиях, в смешанном состоянии. Специалист в данной области техники понимает, что два компонента клеевой композиции хранятся отдельно друг от друга и смешиваются непосредственно перед нанесением клеевой композиции. Как дополнительно определено в данном документе, условия окружающей среды обычно относятся к условиям комнатной температуры и влажности или условиям температуры и влажности, которые обычно встречаются в области, в которой клеящее вещество наносится на подложку, например, при температуре от 20°С до 40°С и относительной влажности от 20% до 80%, в то время как слегка термические условия - это температуры, которые немного выше температуры окружающей среды, но обычно ниже температуры отверждения клеевой композиции (то есть, при температурах и условиях влажности, ниже которых реакционно-способные компоненты легко вступают в реакцию и отверждаются, например, при более 40°С и менее 100°С и при относительной влажности от 20 до 80%). Используемый в данном документе термин «полимер» предназначен для обозначения форполимеров, олигомеров, гомополимеров, сополимеров и их соединений или смесей. Используемый в данном документе термин «Mw» относится к средневесовой молекулярной массе и означает теоретическое значение, определенное методом гель-проникающей хроматографии относительно стандартов линейного полистирола, от 800 до 900000 Да, и может быть выполнено с использованием модуля разделения «Waters 2695», дифференциальным рефрактометром «Waters 2414». (Детектор RI). Тетрагидрофуран (ТГФ) использовали в качестве элюента при скорости потока 1 мл мин-1, а две колонки «PL Gel Mixed C» использовали для разделения при комнатной температуре. Используемый в данном документе термин «катализатор» означает вещество, которое увеличивает скорость химической реакции без какого-либо постоянного химического изменения. В контексте данного документа, если не указано иное, термин «по существу свободный» означает, что конкретный материал преднамеренно не добавляют в смесь или композицию и, соответственно, он присутствует только в качестве примеси в ничтожно малом количестве менее 1 мас. % в расчете на общую массу смеси или композиции. В контексте данного документа, если не указано иное, термин «полностью свободный» означает, что смесь или композиция, соответственно, не содержит конкретного материала, то есть смесь или композиция содержит 0% от веса такого материала. Настоящее изобретение относится к отверждающему компоненту, включающему, или в некоторых случаях состоящему из, или в некоторых случаях состоящему по существу из блокированного полиизоцианатного отверждающего агента, содержащего блокирующую группу, полученную из блокирующего агента, содержащего альфа-гидроксиамид, сложный эфир или тиоэфир, или их комбинации. Отверждающий компонент может реагировать с эпоксид-содержащим компонентом при активации от внешнего источника энергии, такого как, в частности, подача тепла при температуре по меньшей мере 100°C. Полиизоцианат может блокироваться описанной выше блокирующей группой при отсутствии внешнего источника энергии. При применении внешнего источника энергии, отверждающий компонент может реагировать с эпоксидо-содержащим компонентом в результате удаления блокирующей группы для полиизоцианата. В контексте данного документа, термин «блокированный полиизоцианат» означает полиизоцианат, в котором содержится по меньшей мере часть изоцианатных групп, которые блокированы блокирующей группой, представленной посредством реакции свободной изоцианатной группы с блокирующим агентом. Следовательно, блокированный полиизоцианат может содержать полиизоцианат, реагирующий с одним или более блокирующими агентами. В контексте данного документа, термин «блокирующий агент» относится к соединению, содержащему функциональную группу, реагирующую с изоцианатной группой, присутствующей в полиизоцианате, что приводит к связыванию остаточного фрагмента блокирующего агента с изоцианатной группой, вследствие чего он приобретает устойчивость к активным функциональным группам водорода при комнатной температуре (т.е. 23°С). Связанный остаточный фрагмент блокирующего агента, который обеспечивает стабильность активных водородных функциональных групп при комнатной температуре, называется «блокирующей группой». Блокирующие группы могут быть идентифицированы посредством ссылки на блокирующий агент, из которого они получены путем реакции с изоцианатной группой. Блокирующие группы можно удалить в специальных условиях, в частности, при повышенных температурах, вследствие чего из блокированных групп изоцианатов могут образовываться свободные группы изоцианатов. Таким образом, при повышенной температуре, реакция с блокирующим агентом может быть обращена вспять и, как следствие, ранее блокированная изоцианатная группа может свободно реагировать с активными водородными функциональными группами. В контексте данного документа, термин «полученный из» в отношении блокирующей группы блокированного полиизоцианата предназначен для обозначения присутствия остатка блокирующего агента в блокирующей группе и не предназначен для ограничения блокирующей группой, производимой реакцией изоцианатной группы полиизоцианата с блокирующим агентом. Соответственно, блокирующая группа по настоящему изобретению, являющаяся результатом процессов синтеза, которые не включают в себя прямую реакцию изоцианатной группы и блокирующего агента, согласно нижеприведенному объяснению, все равно будет считаться «полученной из» блокирующего агента. Указанный здесь термин «блокированный» полиизоцианат в совокупности относится к полностью блокированному полиизоцианату и по меньшей мере частично блокированному полиизоцианату. В контексте данного документа, термин «полностью блокированный полиизоцианат» относится к полиизоцианату, в котором каждая из изоцианатных групп блокирована блокирующей группой. В контексте данного документа, термин «по меньшей мере частично блокированный полиизоцианат» относится к полиизоцианату, в котором по меньшей мере часть изоцианатных групп блокирована блокирующей группой, в то время как оставшиеся изоцианатные группы вступают в реакцию с частью основной цепи полимера. Полиизоцианаты, которые можно использовать при получении блокированного полиизоцианата по настоящему изобретению, включают любой подходящий полиизоцианат, известный в данной области. Полиизоцианат является органическим соединением, содержащим по меньшей мере две, по меньшей мере три, по меньшей мере четыре или более изоцианатных функциональных групп. Например, полиизоцианат может содержать алифатические и/или ароматические полиизоцианаты. Следует понимать, что ароматический полиизоцианат будет иметь атом азота изоцианатной группы, ковалентно связанный с углеродом, присутствующим в ароматической группе, а алифатический полиизоцианат может содержать ароматическую группу, которая косвенно связана с изоцианатной группой через неароматическую углеводородную группу. Алифатические полиизоцианаты могут включать, например, (i) алкилен-изоцианаты, такие как триметилен диизоцианат, тетраметилен диизоцианат, пентаметилен диизоцианат, гексаметилен диизоцианат («HDI»), 1,2-пропилен диизоцианат, 1,2-бутилен диизоцианат, 2,3-бутилен диизоцианат, 1,3-бутилен диизоцианат, этилиден диизоцианат и бутилиден диизоцианат и (ii) циклоалкилен изоцианаты, такие как 1,3-циклопентан диизоцианат, 1,4-циклогексан диизоцианат, 1,2-циклогексан диизоцианат, изофорондиизоцианат, метилен-бис(4-циклогексил изоцианат) («HMDI»), циклотример 1,6-гексметилен диизоцианата (также известный, как изоциануратный тример HDI, коммерчески доступный как Desmodur N3300 от компании «Convestro» AG), и мета-тетраметил ксилилен диизоцианат (коммерчески доступен, как TMXDI® от компании «Allnex» SA). Ароматические полиизоцианаты могут включать, например, (i) изоцианаты арилена, такие как м-фенилен диизоцианат, п-фенилен диизоцианат, 1,5-нафталин диизоцианат и 1,4-нафталин диизоцианат и (ii) алкарилен-изоцианаты, такие как 4,4'-дифениленметан диизоцианат («MDI»), 2,4-толилен или 2,6-толилен диизоцианат («TDI») или их смеси, 4,4-толуидин диизоцианат и ксилилен диизоцианат. Триизоцианаты, такие как трифенилметан-4,4', 4''-триизоцианат, 1,3,5-триизоцианато-бензол и 2,4,6-триизоцианато-толуол, тетраизоцианаты, такие как 4,4'-дифенил диметил метан-2,2',5,5'-тетраизоцианат и полимеризованные полиизоцианаты, такие как димеры и тримеры толилен диизоцианата и тому подобное, также могут быть использованы. Можно использовать комбинации полиизоцианатов. Согласно настоящему изобретению блокированный полиизоцианатный отверждающий агент содержит блокирующую группу, полученную из блокирующего агента, содержащего альфа-гидроксиамид, сложный эфир или тиоэфир. В контексте данного документа, термин «альфа-гидроксиамид» относится к органическому соединению, имеющему по меньшей мере один альфа-гидроксиамидный фрагмент, который включает гидроксильную функциональную группу, ковалентно связанную с альфа-углеродом амидной группы. В контексте данного документа, термин «альфа-гидроксиэфир» относится к органическому соединению, имеющему по меньшей мере один альфа-гидроксиэфирный фрагмент, который включает гидроксильную функциональную группу, ковалентно связанную с альфа-углеродом сложноэфирной группы. В контексте данного документа, термин «альфа-гидрокситиоэфир» относится к органическому соединению, имеющему по меньшей мере один альфа-гидрокситиоэфирный фрагмент, который включает гидроксильную функциональную группу, ковалентно связанную с альфа-углеродом тиоэфирной группы. Блокирующий агент, содержащий альфа-гидроксиамид, сложный эфир или тиоэфир, может содержать соединение структуры (I): (I) где X является N(R2), O, S; n равно от 1 до 4; когда n=1 и X=N(R2), R является водородом, C1-C10 алкильной группой, арильной группой, простым полиэфиром, сложным полиэфиром, полиуретаном, гидроксиалкильной группой или тио-алкильной группой; когда n=1 и X=O или S, R является C1-C10 алкильной группой, арильной группой, простым полиэфиром, сложным полиэфиром, полиуретаном, гидроксиалкильной группой или тиоалкильной группой; когда n=2-4, R является многовалентной C1-C10 алкильной группой, многовалентной арильной группой, многовалентным простым полиэфиром, многовалентным сложным полиэфиром, многовалентным полиуретаном; каждый R1 независимо является водородом, C1-C10 алкильной группой, арильной группой или циклоалифатической группой; каждый R2 независимо является водородом, C1-C10 алкильной группой, арильной группой, циклоалифатической группой, гидроксиалкильной группой или тиоалкильной группой; а R и R2 вместе могут образовывать циклоалифатическую, гетероциклическую структуру. Циклоалифатическая гетероциклическая структура может включать, например, морфолин, пиперидин или пирролидин. Следует отметить, что R может быть водородом, только если X является N (R2). Используемый здесь термин «алкил» относится к углеводородной цепи, которая может быть линейной или разветвленной и может содержать одно или более углеводородных колец, которые не являются ароматическими. В контексте данного документа, термин «арил» относится к углеводороду, имеющему делокализованную сопряженную π-систему с чередующимися двойными и одинарными связями между атомами углерода, образующими одно или более копланарных углеводородных колец. В контексте данного документа, термин «циклоалифатический» относится к углеводороду, который содержит одно или более углеводородных колец, которые не являются ароматическими. В контексте данного документа, термин «простой полиэфир» относится к углеводородам, имеющим более одной эфирной группы, и может необязательно включать другие функциональные группы, такие как гидроксильные или аминогруппы. В контексте данного документа, термин «сложный полиэфир» относится к углеводородным соединениям, имеющим более одной сложноэфирной группы, и может необязательно включать другие функциональные группы, такие, как гидроксильные или аминогруппы. В контексте данного документа, термин «полиуретан» относится к углеводородным соединениям, имеющим более одной эфирной группы, и может необязательно включать другие функциональные группы, такие как гидроксильные или аминогруппы. В контексте данного документа, термин «гидроксиалкильная группа» относится к алкильной группе, имеющей гидроксильную функциональную группу. В контексте данного документа, термин «тиоалкильная группа» относится к алкильной группе, имеющей тиольную функциональную группу. Альфа-гидроксиамидный блокирующий агент может содержать замещенный гликоль амид. В контексте данного документа, термин «замещенный гликоль амид» относится к гликоль-амидному соединению, имеющему по меньшей мере один из атомов водорода, связанных с атомом азота, замещенным заместителем, таким как одновалентная органическая группа. Замещенный гликоль амид со ссылкой на структуру (I) включает соединение, где X является N(R2); R1 является водородом; каждый R2 независимо является водородом, C1-C10 алкильной группой, арильной группой, циклоалифатической группой, гидроксиалкильной группой или тиоалкильной группой; и R является C1-C10 алкильной группой, арильной группой, циклоалифатической группой, простым полиэфиром, сложным полиэфиром, полиуретаном, гидроксиалкильной группой или тиоалкильной группой. Соответственно, замещенный гликоль амид может включать алкил гликоль амид, арил гликоль амид, простой полиэфир гликоль амид, сложный полиэфир гликоль амид, полиуретан гликоль амид, гидроксиалкил гликоль амид или тиоалкил гликоль амид. Каждое из этих соединений может быть моно- или дизамещенным, как, в частности, в отношении алкил гликоль амида, моноалкил гликоль амида или диалкил гликоль амида. Конкретные неограничивающие примеры моноалкил гликоль амида включают, например, метил гликоль амид, этил гликоль амид, пропил гликоль амид, изопропил гликоль амид, бутил гликоль амид, пентил гликоль амид, гексил гликоль амид, гептил гликоль амид, октил гликоль амид, этил гексил гликоль амид, нонил гликоль амид, децил гликоль амид, и тому подобное, и конкретные примеры диалкил гликоль амида включают любой моналкил гликоль амид с дополнительным алкильным заместителем, такой как диметил гликоль амид, диэтил гликоль амид, дибутил гликоль амид, дипентил гликоль амид и другие. Кроме того, замещенный гликоль амидный блокирующий агент может содержать более одной гликоль амидной группы, такой как, в частности, применительно к Структуре (I), когда n больше 1. Следует понимать, что когда n равно 1, группа R является одновалентной, а когда n больше 1, группа R является многовалентной, такой как многовалентная C1-C10 алкильная группа, арильная группа, циклоалифатическая группа, простой полиэфир, сложный полиэфир или полиуретановый полимер. Альфа-гидроксиамидный блокирующий агент может альтернативно или дополнительно содержать замещенный лактамид. В контексте данного документа, термин «замещенный лактамид» относится к соединению лактамида, имеющему по меньшей мере один из атомов водорода, связанных с атомом азота, замещенным заместителем, таким, как одновалентная органическая группа. Замещенный лактамид со ссылкой на структуру (I) включает соединение, где X является N (R2); R1 является метилом; каждый R2 независимо является водородом, C1-C10 алкильной группой, арильной группой, циклоалифатической группой, гидроксиалкильной группой или тиоалкильной группой; и R является C1-C10 алкильной группой, арильной группой, циклоалифатической группой, простым полиэфиром, сложным полиэфиром, полиуретаном, гидроксиалкильной группой или тиоалкильной группой. Соответственно, замещенный лактамид может содержать алкил лактамид, ариллактамид, простой полиэфир лактамид, сложный полиэфир лактамид, полиуретан лактамид, гидроксиалкиллактамид или тиоалкил лактамид. Каждое из этих соединений может быть моно- или дизамещенным, как, в частности, в отношении алкил лактамида, моноалкил лактамида или диалкил лактамида. Неограничивающие конкретные примеры моноалкил лактамида включают метил лактамид, этил лактамид, пропил лактамид, изопропил лактамид, бутил лактамид, пентил лактамид, гексил лактамид, гептил лактамид, октил лактамид, этилгексил лактамид, нонил лактамид, децил лактамид и им подобные, и конкретные примеры диалкил лактамида включают диметиллактамид, диэтил лактамид, дипропил лактамид, дибутил лактамид, дипентил лактамид, дигексил лактамид и тому подобное. Кроме того, замещенный блокирующий лактамид агент может содержать более одной лактамидной группы, такой как, со ссылкой на структуру (I), когда n больше 1. Следует понимать, что когда n равно 1, группа R является одновалентной, а когда n больше 1, группа R является многовалентной, такой как многовалентная C1-C10 алкильная группа, арильная группа, циклоалифатическая группа, простой полиэфир, сложный полиэфир или полиуретановый полимер. Алкил гликоль амидная или алкил лактамидная блокирующая группа по настоящему изобретению может включать, например, соединение структуры: где R1 является водородом или метиловой группой; R2 является C1-C10 алкильной группой; и R3 является водородом, C1-C10 алкильной группой. Следует понимать, что R1 является метиловой группой в алкил лактамиде. Согласно настоящему изобретению блокирующий агент, который можно использовать для получения блокированного полиизоцианата, может быть блокирующим рацемическим лактамид агентом. В контексте данного документа, термин «рацемический лактамид» или «агент, блокирующий рацемический лактамид» относится к смеси стереоизомеров лактамида, которая может содержать от 20 до 80 мас. %, в частности, от 30 до 70 мас. %, в частности, от 40 до 60 мас. %, в частности, приблизительно 50 мас. % лактамида, имеющего стереоцентр R, и от 20 до 80 мас. %, в частности, от 30 до 70 мас. %, в частности, от 40 до 60 мас. %, в частности, приблизительно 50 мас. % лактамида, имеющего стереоцентр S, в расчете на общую массу смеси стереоизомеров лактамида. Соответственно, блокированный полиизоцианат может содержать блокирующую группу, полученную из рацемического лактамидного блокирующего агента, то есть блокирующие группы, полученные из лактамида(ов) смеси стереоизомеров лактамида. Для простоты, блокирующую группу, полученную из блокирующего рацемического лактамид агента, можно назвать «блокирующей рацемической лактамидной группой». Рацемический лактамид может быть получен путем взаимодействия мезо-лактида с алкил амином. Лактид имеет общую формулу 3,6-диметил-1,4-диоксан-2,5-дион и включает два стереоцентра метиловых заместителей. Как будет понятно специалистам в данной области техники, мезо-лактид не является хиральным и, следовательно, не является оптически активным, поскольку он включает один R-стереоцентр и один S-стереоцентр. Напротив, изомеры D-лактида и L-лактида будут включать в себя два или R или два S стереоцентра и могут образовывать исключительно лактамиды, имеющие или R или S стереоцентр соответственно. Соединение алкил амина не ограничено и может содержать любое подходящее соединение, содержащее первичную или вторичную аминогруппу. Например, алкил амин может содержать моноалкил или диалкил амин, имеющий общую формулу R1N(H)R2, где R1 является водородом или алифатической, циклоалифатической или ароматической группой и R2 является алифатической, циклоалифатической или ароматической группой. Алкильная группа может включать, например, метиловую, этиловую, пропиловую, изопропиловую, бутиловую, втор-бутиловую, пентиловую, гексиловую группы и другие подобные, а алкильная группа может быть замещена другими функциональными группами, такими как тиольные или гидроксильные функциональные группы, серная связь, эфирная связь или сложноэфирная связь и т.д. Например, замещенный моноалкиламин может включать полиэфирамин, такой как моноамины, доступный под торговым наименованием JEFFAMINE® от Huntsman Corporation. Диалкиламин содержит две алкильные группы и может содержать комбинации двух разных алкильных групп, в частности, например, метилэтиламин. Рацемический лактамид, полученный взаимодействием мезо-лактида и алкиламина, может давать два лактамидных соединения, одно из которых имеет стереоцентр R, а другое - стереоцентр S, и при этом каждое соединение содержит остаток алкиламина. Например, реакция мезо-лактида и бутиламина, проиллюстрированная ниже на схеме 1, приводит к появлению бутиллактамида, имеющего R-стереоцентр, и бутил-лактамида, имеющего S-стереоцентр, эти две молекулы могут вместе называться рацемическим бутил-лактамидом. Аналогичным образом, выбор другого алкиламина приведет к получению рацемического лактамида, имеющего алкильную группу выбранного амина. По существу, рацемический лактамид может содержать рацемический алкил лактамид или рацемический диалкил лактамид. Не ограничивающие примеры рацемического алкильных и диалкиловых лактамидов могут включать рацемический метил лактамид, рацемический этиловый лактамид, рацемической пропил лактамид, рацемической бутиловый лактамид, рацемической пропил лактамид, рацемической гексиловый лактамид, рацемической диметиловый лактамид, рацемической диэтил лактамид, рацемический дипропил лактамид, рацемический дибутил лактамид, рацемический дипропил лактамид, рацемический дигексил лактамид, рацемический метил этил лактамид, рацемический этил пропил лактамид, рацемический пропил бутил лактамид, рацемический бутил пропил лактамид, рацемический пропил гексил лактамид и рацемический циклогексил лактамид. Схема 1 Рацемический лактамид также может быть получен путем взаимодействия рацемической смеси алкил лактата с алкил амином. Алкил лактат имеет общую формулу X-2-гидроксипропаноат, где X является алкильной группой, такой как метил, этил, пропил, бутил, пентил, гексил и т.д. Каждая отдельная молекула алкил лактата будет иметь стереоцентр R или S, и рацемическая смесь в совокупности будет иметь приблизительно равную пропорцию R и S-изомеров, вследствие чего рацемическая смесь не является оптически активной. Использование рацемической смеси алкил лактата позволяет получить «рацемический лактамид», как определено в настоящем документе, при реакции с алкил амином. Например, реакция рацемической смеси этил лактата и метиламина, проиллюстрированной ниже на схеме 2, приводит к получению рацемической смеси метил лактамида, которая может упоминаться здесь как рацемический метил лактамид и побочный продукт этанол. Любой из перечисленных выше алкил аминов может реагировать с алкил лактатом с образованием рацемического лактамида. Схема 2 Неожиданно было обнаружено, что использование группы, блокирующей рацемический лактамид, приводит к образованию некристаллического блокированного полиизоцианата. В контексте данного документа, термин «некристаллический» блокированный полиизоцианат относится к блокированному полиизоцианату, который в статическом состоянии находится в жидком состоянии при комнатной температуре (например, 25°C) и остается в жидком состоянии при комнатной температуре на срок по меньшей мере 30 дней. Напротив, «кристаллический» блокированный полиизоцианат относится к блокированному полиизоцианату в форме твердых кристаллов при комнатной температуре или, если он в жидком состоянии при комнатной температуре, то он будет образовывать твердые кристаллы при комнатной температуре в течение периода менее 30 дней, в частности, менее 7 дней. Специалистам в данной области будет понятно, что по меньшей мере частично блокированный полиизоцианат благодаря его включению в основную цепь полимера также будет не кристаллическим. Следовательно, лактамид, полученный из хирального лактида или лактата и используемый в качестве блокирующего агента для блокирования изоцианатных групп по меньшей мере частично блокированного полиизоцианата, может образовывать некристаллический по меньшей мере частично блокированный полиизоцианат. Блокированный полиизоцианатный отвердитель, содержащий блокирующую группу, полученную из блокирующего агента, содержащего альфа-гидроксиамид, сложный эфир или тиоэфир, также может быть получен синтетическими способами, которые не включают в себя прямую реакцию изоцианатной группы с блокирующим агентом. Например, блокированный полиизоцианатный отверждающий агент, содержащий блокирующую группу, полученную из блокирующего агента, содержащего альфа-гидроксиамид, может быть получен двух-стадийным процессом синтеза, где на первой стадии полиизоцианат реагирует с альфа-гидроксиэфиром, а на второй стадии полученный продукт дополнительно подвергают взаимодействию с алкил амином. Примерный путь прохождения реакции представлен на нижеприведенной схеме 3, где полиизоцианат, обозначенный как R-NCO (где R является многовалентным органическим фрагментом, включающим по меньшей мере одну другую изоцианатную группу (не показано)), реагирует с альфа-гидроксиэфиром (где R является одновалентной органической группой) на первой стадии, и продукт реакции дополнительно взаимодействует с первичным или вторичным амином (RN(H)R, где каждый R индивидуально соответствует либо R, либо R2, как определено выше) для получения блокированного полиизоцианатного отвердителя согласно настоящему изобретению. Схема 3 Другой типичный альтернативный путь синтеза для получения блокированного полиизоцианатного отвердителя, включающего блокирующую группу, полученную из блокирующего агента, содержащего альфа-гидроксиамид, включает двух-стадийный процесс синтеза, в котором на первой стадии диалкил карбонат реагирует с альфа-гидроксиамидом, и второй этап, на котором полученный продукт дополнительно подвергают взаимодействию с алкил амином. Примерный путь реакции, обозначенный как схема 4, приведен ниже, где карбонат (в котором каждый R является индивидуально одновалентной органической группой) реагирует с альфа-гидроксиамидом (где каждый R индивидуально соответствует либо R, либо R2, как определено выше) на первой стадии, и продукт реакции далее взаимодействует с первичным или вторичным амином (где один R соответствует многовалентному органическому остатку, и один R соответствует водороду) с образованием блокированного полиизоцианатного отвердителя согласно настоящему изобретению. Схема 4 Блокирующий агент, содержащий альфа-гидроксиамид, сложный эфир или тиоэфир, может блокировать по меньшей мере 10% от общего количества блокированных изоцианатных групп блокированного полиизоцианата, в частности, по меньшей мере 50% от общего количества блокированных изоцианатных групп, в частности, по меньшей мере 65% от общего количества блокированных изоцианатных групп, в частности, по меньшей мере 80% от общего количества заблокированных изоцианатных групп, в частности, по меньшей мере 95% от общего количества блокированных изоцианатных групп, таких как 100% от общего количества блокированных изоцианатных групп. Блокирующий агент, содержащий альфа-гидроксиамид, сложный эфир или тиоэфир, может блокировать от 10 до 100% от общего количества блокированных изоцианатных групп блокированного полиизоцианата, в частности, от 50 до 100% от общего количества блокированных изоцианатных групп, в частности, от 65% до 100% от общего количества блокированных изоцианатных групп, в частности, от 80 до 100% от общего количества блокированных изоцианатных групп, в частности, от 95 до 100% от общего количества блокированных изоцианатных групп. В контексте данного документа, термин «общие блокированные изоцианатные группы» относится к изоцианатным группам полиизоцианата, которые блокированы блокирующей группой и в противном случае были бы разблокированы или свободны для реакции. Согласно настоящему изобретению, блокированный полиизоцианат может необязательно содержать вторую блокирующую группу и, в дополнение и отличие от блокирующей группы, полученной из блокирующего агента, включает альфа-гидроксиамид, сложный эфир или тиоэфир. В контексте данного документа, термин «вторая блокирующая группа» относится к одной или более дополнительных блокирующих групп, кроме того, к блокирующим группам, блокированным альфа-гидроксиамидным, сложноэфирным или тиоэфирным блокирующим агентом, и он не предназначен для ограничения количества различных блокирующих групп, присутствующих в блокированном полиизоцианате. Вторая блокирующая группа может содержать любую подходящую блокирующую группу, известную в данной области техники. Например, вторая блокирующая группа может быть получена из спирта или фенольного соединения в качестве блокирующего агента. Спирты, которые могут быть использованы в качестве блокирующего агента для второй блокирующей группы, включают алифатические, циклоалифатические и ароматические алкиловые моноспирты и фенольные соединения, такие как, в частности, низшие алифатические спирты, такие как метил, этил, хлорэтил, пропил, бутил, амил, гексил, гептил, октил или нонил спирты, 3,3,5-триметил гексанол, децил и лаурил спирты и т.п.; ароматические алкиловые спирты, такие как фенил карбинол, метил фенилкарбинол и т.п.; гликолевые соединения, такие как моноэтиловый эфир этил гликоля, монобутиловый эфир этилгликоля и т.п.; и гидроксикетоновые соединения, такие как гидроксиацетон и тому подобное. Фенольные соединения, которые могут быть использованы в качестве блокирующего агента для второй блокирующей группы, могут включать фенол, крезол, ксиленол, нитрофенол, хлор фенол, этил фенол, трет-бутил фенол и 2,5-ди-трет-бутил-4-гидрокситолуол. Небольшие количества даже более высокомолекулярных относительно нелетучих одноатомных спиртов могут быть использованы, при необходимости, в качестве пластификаторов в покрытиях настоящего изобретения. Вторая блокирующая группа также может быть получена из других блокирующих агентов, включающих третичные гидроксиламины, такие как диэтил этанол амин, оксимы, такие как оксим метил-этил кетона, оксим ацетона и оксим циклогексанона, и амины, такие как диизопропил амин, диэтил малонат («DEM») и диметил пиразол («DMP»). Вторая блокирующая группа также может быть получена из комбинации двух или более любых из вышеописанных блокирующих агентов. Вторая блокирующая группа, если она вообще присутствует, может блокировать по меньшей мере 0,1% от общего количества блокированных изоцианатных групп блокированного полиизоцианата и может блокировать не более 90% от общего количества блокированных изоцианатных групп, в частности, не более 50% от общего количества заблокированных изоцианатных групп, в частности, не более 35% от общего количества заблокированных изоцианатных групп, в частности, не более 20% от общего количества заблокированных изоцианатных групп, в частности, не более 5% от общего количества заблокированных изоцианатных групп. Вторая блокирующая группа, если она присутствует, может блокировать от 0,1 до 90% от общего количества блокированных изоцианатных групп блокированного полиизоцианата, в частности, от 0,1 до 50% от общего количества блокированных изоцианатных групп, в частности, от 0,1 до 35% от общего количества блокированных изоцианатных групп, в частности, от 0,1 до 20% от общего количества блокированных изоцианатных групп, в частности, от 0,1 до 5% от общего количества блокированных изоцианатных групп. Как упомянуто выше, блокированный полиизоцианат может быть полностью блокированным полиизоцианатом, в котором изоцианатные группы полиизоцианата блокированы одной или более блокирующих групп, рассмотренных выше. В соответствии с настоящим изобретением полностью блокированный полиизоцианат может иметь блокирующую группу, которая блокирует каждую изоцианатную группу полиизоцианата, т.е. 100% изоцианатных групп блокируются блокирующими группами, и никакие изоцианатные группы не остаются разблокированными или свободными для реакции. Однако блокированный полиизоцианат может иметь менее 100% блокированных изоцианатных групп, если композиция для покрытия остается стабильной дисперсией, согласно информации, изложенной в данном документе. Кроме того, блокированный полиизоцианат также может быть по меньшей мере частично блокированным полиизоцианатом, как обсуждалось выше. По меньшей мере частично блокированный полиизоцианат может быть частично блокирован одной или более блокирующих групп, рассмотренных выше, с остальными изоцианатными группами, прореагировавшими с основной цепью полимера, как описано в патенте США №3947338, в сб. 2, строка 65 - столбец 5, строка 33, цитируемая часть которого включена в настоящий документ посредством ссылки. В целях определения процентного содержания блокирующих групп, присутствующих только в блокированном полиизоцианате, изоцианатные группы, которые вступили в реакцию с основной цепью полимера, не должны включаться как часть общих блокированных изоцианатных групп блокированного полиизоцианата. Соответственно, блокированный полиизоцианат, содержащий, например, блокирующую группу, полученную из блокирующего агента, содержащего альфа-гидроксиамид, сложный эфир или тиоэфир, блокирующий 100% все изоцианатные группы блокированного полиизоцианата, включает по меньшей мере частично блокированный полиизоцианат, где блокирующая группа, полученная из блокирующего агента, включающая альфа-гидроксиамид, сложный эфир или тиоэфир, блокирует 100% изоцианатных групп, которые не реагируют с основной цепью полимера. По меньшей мере частично блокированный полиизоцианат может иметь блокирующую группу, которая блокирует каждую изоцианатную группу полиизоцианата, которая не прореагировала с основной цепью полимера, т.е. 100% все изоцианатные группы блокированы блокирующими группами, и таким путем не остается изоцианатных групп разблокированных или свободных для реакции. Однако по меньшей мере частично блокированный полиизоцианат также может иметь менее 100% всех блокированных изоцианатных групп, если композиция для покрытия остается стабильной дисперсией, как определено в настоящем документе. Блокированный полиизоцианат может быть выбран так, чтобы обеспечить композицию покрытия, которая отверждается при низких температурах. Как известно специалисту в данной области техники, температура, при которой композиция для покрытия отверждается, зависит от ряда факторов, включая, например, блокирующую группу(ы), используемую для блокирования полиизоцианата, соотношение блокирующих групп, используемых для блокирования полиизоцианата и любых катализаторов отверждения, присутствующих в дисперсии. Далее будет обсуждено то, что комбинация блокированного полиизоцианата, который обсуждался выше, и катализатора отверждения, который обсуждается ниже, приводит к получению композиции покрытия, которая отверждается при низких температурах благодаря неожиданному синергетическому эффекту. В контексте данного документа, термин «низкие температуры» в отношении отверждения композиции для покрытия относится к температурам 130°C или ниже. В контексте данного документа, термин «отверждение», «отвержденный» или подобные термины, используемые в данном документе касательно клеевой композиции, означают, что по меньшей мере часть компонентов, которые образуют клеевую композицию, сшиты для образования покрытия. Кроме того, отверждение клеевой композиции относится к воздействию на указанную композицию условий отверждения (например, повышенной температуры), приводящих к реакции реакционноспособных функциональных групп компонентов клеевой композиции, и приводящих к сшиванию компонентов композиции и формированию по меньшей мере частично отвержденного покрытия. В контексте данного документа, термин «по меньшей мере, частично отвержденный» по отношению к клеящему веществу относится к клеящему веществу, сформированному путем воздействия на клеящую композицию условий отверждения, вследствие чего химическая реакция по меньшей мере части реакционноспособных групп компонентов клеящего состава происходит с образованием клея. Клеевая композиция может считаться «по меньшей мере частично отвержденной», если она имеет ударное воздействие по меньшей мере 10 Н/мм (измерено в соответствии с ISO 11343 CEAST 9350). Композицию покрытия также можно подвергать условиям отверждения, вследствие чего достигается практически полное отверждение, и при этом дальнейшее отверждение не приводит к значительному дальнейшему улучшению свойств покрытия, таких как, например, характеристика повышенной ударопрочности. Блокированный полиизоцианатный отвердитель по настоящему изобретению может иметь следующую структуру: где Y является многовалентным органическим фрагментом; m больше или равно 1; p больше или равно 0; Х является N(R2), О, S; когда X=N(R2), R является водородом, C1-C10 алкильной группой, арильной группой, простым полиэфиром, сложным полиэфиром, полиуретаном, гидроксиалкильной группой или тиоалкильной группой; когда X=O или S, R является C1-C10 алкильной группой, арильной группой, простым полиэфиром, сложным полиэфиром, полиуретаном, гидроксиалкильной группой или тиоалкильной группой; каждый R1 независимо является водородом, C1-C10 алкильной группой, арильной группой или циклоалифатической группой; когда m больше или равно 2, R необязательно является многовалентной C1-C10 алкильной группой, многовалентной арильной группой, многовалентным простым полиэфиром, многовалентным сложным полиэфиром, многовалентным полиуретаном; каждый R2 независимо является водородом, C1-C10 алкильной группой, арильной группой, циклоалифатической группой, гидроксиалкильной группой или тиоалкильной группой; R и R2 вместе могут образовывать циклоалифатическую, гетероциклическую структуру; а O-Z представляет остаток второго блокирующего агента. В контексте данного документа, термин «многовалентный» относится к органическому фрагменту, имеющему два или более места связывания, через которые органический фрагмент ковалентно связывается с другими органическими фрагментами. Например, полиизоцианат является многовалентным, поскольку он включает две или более изоцианатных групп, через которые он ковалентно связывается с другими органическими фрагментами. Органический фрагмент может быть, например, алкильной группой, циклоалифатической группой, арильной группой, простым полиэфиром, сложным полиэфиром, полиуретаном и им подобным. В контексте данного документа, термин «одновалентный» относится к органическому фрагменту, имеющему одну точку связи, через которую органический фрагмент ковалентно связан с другим органическим фрагментом. Хотя термин «одновалентный» используется для обозначения органического фрагмента, имеющего только одну точку связывания, это не исключает присутствия других функциональных групп, через которые органический фрагмент может связываться с дополнительными органическими фрагментами, в частности, во время отверждения. Настоящее изобретение дополнительно относится к клеевой композиции, такой как однокомпонентная клеевая композиция, включающая, или, в некоторых случаях, состоящая, или, в некоторых случаях, состоящая по существу, из эпоксид-содержащего компонента; и компонента отверждения, описанного выше. Понятно, что отверждающий компонент выбирается так, чтобы химически реагировать с эпоксид-содержащим компонентом при активации от внешнего источника энергии. Полезные эпоксид-содержащие компоненты, которые можно использовать, включают полиэпоксиды, эпоксидные аддукты или их комбинации. Подходящие полиэпоксиды включают полиглицидиловые эфиры бисфенола A, такие как эпоксидные смолы Epon® 828 и 1001, и диэпоксиды бисфенола F, такие как Epon® 862, которые коммерчески доступны от компании «Hexion Specialty Chemicals, Inc». Другие полезные полиэпоксиды включают полиглицидиловые эфиры многоатомных спиртов, полиглицидиловые сложные эфиры поликарбоновых кислот, полиэпоксиды, полученные в результате эпоксидирования олефин ненасыщенного алициклического соединения, полиэпоксиды, содержащие оксиалкиленовые группы в молекуле эпоксидной смолы, и эпоксидноноволачные смолы. Другие не ограничивающие эпоксидные соединения включают эпоксидированные новолаки с бисфенолом А, эпоксидированные фенольные новолаки, эпоксидированный крезиловый новолак и триглицидил-п-аминофенол бисмалеимид. Другие подходящие эпоксид-содержащие компоненты включают эпоксидные аддукты, такие как эпоксидные сложные полиэфиры, образованные в качестве продукта реакции реагентов, включающих эпоксид-содержащее соединение, полиол и ангидрид, согласно описанию патента США №8796361, столбец 3, строка 42 до столбца 4, строка 65, цитируемая часть которой включена в настоящий документ посредством ссылки. Согласно настоящему изобретению, эпоксид-содержащий компонент может присутствовать в клеевой композиции в количестве по меньшей мере 50 мас. %, в расчете на общую массу композиции, в частности, по меньшей мере 60%, в частности, по меньшей мере 70%, и в некоторых случаях может присутствовать в клеевой композиции в количестве не более 95 мас. % в расчете на общую массу композиции, в частности, не более 90%, в частности, не более 80%. Согласно настоящему изобретению, эпоксидсодержащий компонент может присутствовать в клеевой композиции в количестве от 50% до 95% по массе в расчете на общую массу композиции, в частности, от 70% до 90% или от 60% до 80%. Согласно настоящему изобретению эпоксидная эквивалентная масса эпоксид-содержащего компонента клеевой композиции может составлять по меньшей мере 99 г/экв., в частности, по меньшей мере 180 г/экв., в частности, по меньшей мере 520 г/экв., в частности, по меньшей мере 1000 г/экв, а в некоторых случаях может быть не более 2000 г/экв, в частности, не более 1000 г/экв, в частности, не более 560 г/экв, в частности, не более 200 г/экв. Согласно настоящему изобретению, эквивалентная масса эпоксид-содержащего компонента клеевой композиции может составлять от 99 г/экв. до 2000 г/экв., в частности, от 180 г/экв. до 1000 г/экв., в частности, от 520 г/экв. до 560 г/экв. В контексте данного документа, термин «эквивалентная эпоксидная масса» определяется путем деления молекулярной массы эпоксид-содержащего компонента на количество эпоксидных групп, присутствующих в эпоксид-содержащем компоненте. Согласно настоящему изобретению, молекулярная масса (Mw) (согласно вышеприведенному описанию) эпоксид-содержащего компонента клеевой композиции может составлять по меньшей мере 198 г/моль, в частности, по меньшей мере 222 г/моль, в частности, по меньшей мере 370 г/моль, в частности, по меньшей мере 1000 г/моль, а в некоторых случаях не более 20000 г/моль, в частности, не более 4000 г/моль, в частности, не более 2000 г/моль, в частности, не более, чем 1100 г/моль, в частности, не более 400 г/моль, в частности, не более 300 г/моль. Согласно настоящему изобретению молекулярная масса эпоксид-содержащего компонента клеевой композиции может составлять от 198 г/моль до 20000 г/моль, в частности, от 222 г/моль до 4000 г/моль, в частности, от 370 г/моль до 2000 г/моль, в частности, от 1000 г/моль до 1100 г/моль. Клеевая композиция, согласно настоящему изобретению, может необязательно дополнительно содержать эластомерные частицы. В контексте данного документа, термин «эластомерные частицы» относится к частицам, имеющим температуру стеклования (Tg) от минус 70°C до 0°C. Эластомерные частицы могут иметь структуру ядро/оболочка. Подходящие эластомерные частицы ядро-оболочка могут состоять из бутадиенового каучука или других синтетических каучуков, таких как стирол-бутадиен и акрилонитрил-бутадиен и тому подобные, бутил акрилат и/или 2-этил гексил акрилат. Тип эластомерных частиц и их концентрация не ограничены при условии, что размер частиц попадает в указанный диапазон, как показано ниже. Согласно настоящему изобретению, средний размер эластомерных частиц может составлять, например, от 0,02 до 500 микрон (от 20 нм до 500 000 нм), сообщенный размер резиновых частиц, предоставленных компанией «Kanekea Texas Corporation», измеренный стандартными методами, известными в промышленности, такими как, например, согласно ISO 13320 и ISO 22412. Согласно настоящему изобретению эластомерные частицы могут быть необязательно включены в эпоксидную смолу-носитель для введения в клеевую композицию. Подходящие тонкодисперсные эластомерные частицы ядро-оболочка со средним размером частиц в диапазоне от 50 нм до 250 нм могут быть смешаны в массе с эпоксидной смолой, такой как ароматические эпоксиды, фенольная эпоксидная смола новолака, бисфенол А и/или диэпоксид бисфенола F и/или алифатические эпоксиды, которые включают циклоалифатические эпоксиды, в концентрациях от 5 до 40 мас. % частиц каучука в расчете на общую массу дисперсии каучука, в частности, от 20 до 35%. Требуемые эпоксидные смолы также могут включать смесь эпоксидных смол. При использовании, связующая эпоксидная смола может быть эпоксид-содержащим компонентом, в рамках настоящего изобретения, поэтому масса эпоксид-содержащего компонента, присутствующего в структурной клеевой композиции, включает массу связующей эпоксидной смолы. Типичные не ограничивающие коммерческие продукты эластомерных частиц со структурой ядро/оболочка, использующие частицы поли (бутадиенового) каучука, которые могут быть использованы в клеевой композиции, касательно настоящего изобретения, включают дисперсию поли (бутадиенового) каучука со структурой ядро/оболочка (25 мас. % каучука) в бисфеноле F (коммерчески доступен, как Kane Ace MX 136), дисперсию поли (бутадиен) каучука со структурой ядро/оболочка (33 мас. % резины) в Epon® 828 (коммерчески доступный, как Kane Ace MX 153), поли (бутадиен с ядром и оболочкой) каучуковая дисперсия (37 мас. % каучука) в бисфеноле А (коммерчески доступен, как Kane Ace MX 257) и дисперсию каучука с поли (бутадиеновой) резиновой оболочкой (37 мас. %) в бисфеноле F (коммерчески доступен, как Kane Ace MX) 267), все перечисленные компоненты доступны от компании «Kaneka Texas Corporation». Типичные не ограничивающие коммерческие продукты из эластомерных частиц со структурой сердцевина-оболочка, использующие частицы стирол-бутадиенового каучука, которые могут быть использованы в клеевой композиции, включают дисперсию стирол-бутадиенового каучука со структурой сердцевина-оболочка (33 мас. % каучука) в бисфеноле А с низкой вязкостью (коммерчески доступны как Kane Ace MX 113), дисперсия стирол-бутадиенового каучука со структурой сердцевина-оболочка (25 мас. % каучука) в бисфеноле A (коммерчески доступны как Kane Ace MX 125), дисперсия стирол-бутадиенового каучука со структурой сердцевина-оболочка, (25 мас. % каучука) в фенольной эпоксидной смоле новолака DEN™-438 (коммерчески доступны как Kane Ace MX 215), дисперсии стирол-бутадиенового каучука со структурой сердцевина-оболочка (25 мас. % по весу каучука) в многофункциональной эпоксидной смоле Araldite® MY-721 (коммерчески доступны как Kane Ace MX 416), дисперсия стирол-бутадиенового каучука со структурой сердцевина-оболочка (25 мас. % каучука) в многофункциональной эпоксидной смоле MY-0510 (коммерчески доступны как Kane Ace MX 451), дисперсия стирол-бутадиенового каучука со структурой сердцевина-оболочка (25% резины по массе) в Syna Epoxy 21 циклоалифатическая эпоксидная смола от копании Synasia (коммерчески доступны как Kane Ace MX 551) и дисперсия стирол-бутадиенового каучука со структурой сердцевина-оболочка (25% резины по массе) в полипропилен гликоле (MW 400) (коммерчески доступны как Kane Ace MX 715), каждый компонент доступен от компании «Kaneka Texas Corporation». Эластомерные частицы могут присутствовать в клеевой композиции в количестве по меньшей мере 1 мас. % в расчете на общую массу композиции, в частности, по меньшей мере 6%, в частности, по меньшей мере 11%, и в некоторых случаях могут присутствовать в композиции клеящего вещества в количестве не более 42 мас. % в расчете на общую массу композиции, в частности, не более 37%, в частности, не более 32%. Согласно настоящему изобретению эластомерные частицы могут присутствовать в клеевой композиции в количестве от 1 до 42 мас. % в расчете на общую массу композиции, в частности, от 6 до 37%, в частности, от 11 до 32%. Согласно настоящему изобретению отверждающий компонент, содержащий блокированный полиизоцианат в клеевой композиции, включает в себя отверждающий компонент, описанный выше, и поэтому повторно не изложен. Блокированный полиизоцианат может присутствовать в клеевой композиции, касательно настоящего изобретения, в количестве по меньшей мере 5 мас. %, в частности, по меньшей мере 10 мас. %, в частности, по меньшей мере 20 мас. %, и может присутствовать в количестве не более 50 мас. %, в частности, не более 40 мас. %, в частности, не более 30 мас. %, в расчете на общую массу клеевой композиции. Блокированный полиизоцианат может присутствовать в клеевой композиции в количестве от 5 до 50 мас. %, в частности, от 20 до 40 мас. % или от 10 до 30 мас. %, в расчете на общую массу клеевой композиции. Введение отверждающего компонента в количествах, указанных в настоящем документе, в клеящие композиции по настоящему изобретению может обеспечить улучшенные механические свойства соединения, образованного между двумя подложками, такие, как ударное воздействие. Касательно настоящего изобретения, клеевая композиция может необязательно дополнительно содержать катализатор латентного отверждения. В контексте данного документа, термин «катализатор латентного отверждения» относится к катализатору, который активируется внешним источником энергии. Подходящие катализаторы латентного отверждения могут включать амидоаминовые или полиамидные катализаторы, такие как, в частности, один из продуктов Ancamide®, доступных от компании «Air Products», аминовые, дигидразидные или дициандиамидные аддукты и комплексы, такие как, в частности, один из продуктов «Ajicure»®, доступный от компании «Ajinomoto Fine Techno Company», дициандиамид (A.K.A. Dyhard®), доступный от компании «Alz Chem», 3,4-дихлорфенил-N, N-диметилмочевина (A.K.A. Diuron), доступный от компании «Alz Chem», или их комбинации. Согласно настоящему изобретению, при использовании, катализатор скрытого отверждения может присутствовать в клеевой композиции в количестве по меньшей мере 0,1 мас. % в расчете на общую массу композиции, в частности, по меньшей мере 2%, в частности, по меньшей мере 5% и в некоторых случаях может присутствовать в клеевой композиции в количестве не более 10 мас. % в расчете на общую массу композиции, в частности, не более 5%, в частности, не более 2%. Согласно настоящему изобретению, когда используется вторичный латентный катализатор отверждения, он может присутствовать в клеевой композиции в количестве от 0,1 до 10 мас. % в расчете на общую массу композиции, в частности, от 2 до 5%. Согласно настоящему изобретению, клеящая композиция может необязательно дополнительно содержать растворитель, такой как спирт, метил изобутил кетон, метиловый эфир пропилен гликоля или пропиловый эфир пропилен гликоля. Растворитель может присутствовать в клеящей композиции в количестве от 1 до 5 мас. % в расчете на общую массу клеящей композиции. Альтернативно, согласно настоящему изобретению, клеящая композиция может быть практически свободной или в некоторых случаях полностью свободной от растворителя. Клеящая композиция, по существу, не содержит растворителя, если растворитель присутствует в количестве менее 2 мас. % в расчете на общую массу состава клеящей композиции. Согласно настоящему изобретению, усиливающие наполнители могут быть необязательно добавлены в клеевую композицию. Полезные армирующие наполнители, которые могут быть введены в клеевую композицию по настоящему изобретению для обеспечения улучшенных механических свойств, включают волокнистые материалы, такие, как стекловолокно, волокнистый диоксид титана, карбонат кальция, типа вискера (арагонит) и углеродное волокно (которое включает графит и углеродные нано трубки). Кроме того, стекловолокно, измельченное до 5 микрон или шире и до 50 микрон или длиннее, также может обеспечить дополнительную прочность на разрыв. Такие армирующие наполнители, если они используются, могут составлять от 0,5 до 25 мас. % в расчете на общую массу композиции. Необязательно, в соответствии с настоящим изобретением, вспомогательные клеящие вещества, тиксотропы, красители, оттенки и/или другие материалы также могут быть добавлены в клеевую композицию. Полезные тиксотропы, которые могут быть использованы, включают необработанный коллоидный диоксид кремния и обработанный коллоидный диоксид кремния, гидрированное касторовое масло, глину, органическую глину и комбинации выше приведенных веществ. Кроме того, могут быть использованы волокна, такие как синтетические волокна, например, Aramid волокно®, Kevlar® волокно, акриловые волокна, и/или синтетическое целлюлозное волокно. Полезные красители или оттенки могут включать красный железный пигмент, диоксид титана, карбонат кальция и фталоцианиновый синий и их комбинации. Полезные наполнители, которые можно использовать в сочетании с тиксотропами, могут включать неорганические наполнители, такие как неорганическая глина или диоксид кремния, и их комбинации. Подобные другие материалы, которые могут быть использованы, включают, например, оксид кальция, сажу, и их комбинации. Настоящее изобретение также относится к способу получения клеящей композиции, согласно выше приведенного описания, к способу, включающему, или в некоторых случаях состоящему из, или в некоторых случаях состоящему, по существу, из смешивания эпоксид-содержащего компонента и компонента отверждения, а также необязательно любого дополнительного компонента, если он используется, при температуре ниже 50°С, в частности, от 0°С до 50°С, в частности, от 25°С до 40°С. Настоящее изобретение также направлено на способ формирования связи между двумя подложками, включающий, или в некоторых случаях состоящий из, или в некоторых случаях состоящий, по существу, из нанесения клеевой композиции, согласно выше приведенному описанию, на первую подложку; взаимодействие второй подложки с клеевой композицией таким способом, чтобы клеевая композиция располагалась между первой подложкой и второй подложкой; и отверждение клеевой композиции, например, путем применения внешнего источника энергии. Клеевая композиция, описанная выше, может быть нанесена отдельно или как часть клеящей системы, которая может быть нанесена несколькими различными способами на ряд различных подложек. Клеящая система может содержать ряд одинаковых или разных склеивающих слоев, и может дополнительно содержать другие композиции покрытия, такие, как композиции для предварительной обработки и тому подобные. Клеящий слой обычно образуется, когда клеящая композиция, которая осаждается на подложке по меньшей мере частично отверждается способами, известными специалистам в данной области техники (например, путем воздействия теплового нагрева). Клеевая композиция может быть нанесена на поверхность подложки любым количеством различных способов, не ограничивающие примеры которых включают в себя кисти, валики, пленки, шарики, распылители и пистолеты-аппликаторы. После нанесения на подложку клеевая композиция может быть отверждена, в частности, спеканием и/или отверждением при повышенной температуре, в частности, при температуре по меньшей мере 80°C, в частности, по меньшей мере 100°C, в частности, по меньшей мере 120°C, в частности, по меньшей мере 125°C, в частности, по меньшей мере 130°C, а в некоторых случаях, при температуре не более 200°C, в частности, не более 180°C, в частности, не более 170°C, в частности, не более 165°C, а в некоторых случаях, при температуре от 80°C до 200°C, от 120°C до 180°C, от 125°C до 170°C, от 130°C до 165°C и в течение любого требуемого периода времени (например, от 5 минут до 1 часа), достаточного для по меньшей мере частичного отверждения клеевой композиции на подложке(ах). После нанесения клеевой композиции на подложку и частичного отверждения, связанная подложка(и) может быть проверена на ударное воздействие. Испытание на удар клином оценивает разрушение клеевого соединения. Удар клина измеряется в соответствии с ISO 11343. Приемлемое значение в автомобильной промышленности, например, может составлять по меньшей мере 10 Н/мм, в частности, по меньшей мере 15 Н/мм. После нанесения клеевой композиции на подложку и по меньшей мере частичного отверждения, связанная подложка(и) может демонстрировать воздействие клина по меньшей мере 15 Н/мм (измерено в соответствии с ISO 11343 с помощью CEAST 9350), в частности, по меньшей мере 16 Н/мм, в частности, по меньшей мере 17 Н/мм. Соответственно, неожиданным образом было обнаружено, что использование отверждающего компонента, содержащего блокированный полиизоцианатный отверждающий агент, в клеевой композиции настоящего изобретения приводит к улучшенным характеристикам прочности по сравнению с клеевой композицией, которая не содержит данный агент. Например, характеристика прочности при воздействии клинового удара может быть улучшена по меньшей мере на 50% по сравнению со сравниваемой клеевой композицией, которая не включает блокированный полиизоцианатный отвердитель, в частности, по меньшей мере 60%, в частности, по меньшей мере 75%, в частности, по меньшей мере 90%, в частности, по меньшей мере 100%. Как указано выше, изобретение в настоящем изложении относится к клеевым композициям, которые используются для соединения двух материалов подложки для широкого спектра потенциальных применений, в которых связь между материалами подложки обеспечивает особые механические свойства, связанные с прочностью соединения внахлест при сдвиге и/или Т-прочностью на отрыв. Клеевая композиция может быть нанесена на один или оба склеиваемых материала подложки, в частности, в качестве не ограничивающего примера, можно использовать компоненты автомобильной рамы. Части выровнены, и давление и/или распорки могут быть добавлены для контроля толщины соединения. Клеевая композиция может быть отверждена с использованием внешнего источника энергии, такого как печь (или другие термические средства) или с использованием актинического излучения (ультрафиолетовое излучение и т.д.). Подходящие материалы подложки, которые могут быть склеены клеевыми композициями, согласно настоящему изобретению, включают, но не ограничиваются, такими материалами, как металлы или металлические сплавы, стекло, природные материалы, такие как дерево, полимерные материалы, такие как твердые пластмассы, или композитные материалы. Клеящие вещества по настоящему изобретению особенно подходят для использования в различных автомобильных или промышленных отраслях. Иллюстрацией изобретения являются следующие примеры, которые не следует рассматривать, как ограничение изобретения, его деталями. Все части и процентные соотношения в примерах, а также во всем описании приведены по массе, если не указано иное. ПРИМЕРЫ Подготовка компонента отвердителя Пример 1 Заблокированный изоцианат был приготовлен из следующих компонентов: 1 Mondur MLQ является коммерчески доступным компонентом от компании «Covestro». 2 DBTDL является дилаурат дибутилом олова и коммерчески доступен от компании «Arkema Inc». 3 Epon 828 имеется в продаже от компании «Hexion Specialty Chemicals». 4 Тератан 1000 коммерчески доступен от компании «Invista». 5 Дибутил гликоль амид доступен от компании «PPG». Загрузку 1 добавляли в четырехгорлую колбу на 1000 мл, снабженную мешалкой из нержавеющей стали с приводом от двигателя, конденсатором с водяным охлаждением, азотной подушкой и нагревательным кожухом с термометром, соединенным через устройство контроля обратной связи по температуре. Реакционную смесь нагревали до 80°С. При 80°С загрузку 2 добавляли в реакционную смесь по каплям в течение 30 минут. После добавления, реакционную смесь выдерживали при 80°С до тех пор, пока не остановился эквивалент изоцианата (NCO EQ WT = 1200). Затем реакционную смесь охлаждали до 70°С и затем добавляли загрузку 3 в течение 1 часа. Реакционную смесь выдерживали при 70°С до тех пор, пока ИК-спектроскопия не показала отсутствие характерной полосы NCO (2269 см-1) с использованием Thermo Scientific Nicolet iS5 FT-IR. Продукт реакции выливали при 70°С. Mw блокированного изоцианата составлял 7402, как определено методом гель-проникающей хроматографии относительно стандартов линейного полистирена, от 800 до 900000 Да, и его можно выполнить с использованием модуля разделения Waters 2695 дифференциальным рефрактометром «Waters 2414 (детектор RI)». Тетрагидрофуран (ТГФ) использовали в качестве элюента при скорости потока 1 мл мин-1, а две колонки PL Gel Mixed C использовали для разделения при комнатной температуре. Пример 2 Заблокированный изоцианат был приготовлен из следующих компонентов: 1 Mondur MLQ является коммерчески доступным компонентом от компании «Covestro». 2 DBTDL является дилаурат дибутилом олова и коммерчески доступен от компании «Arkema Inc». 3 Epon 828 имеется в продаже от компании «Hexion Specialty Chemicals». 4 Тератан 1000 коммерчески доступен от компании «Invista». 5 Бутил гликоль амид доступен от компании «PPG». Загрузку 1 добавляли в четырехгорлую колбу на 1000 мл, снабженную мешалкой из нержавеющей стали с приводом от двигателя, конденсатором с водяным охлаждением, азотной подушкой и нагревательным кожухом с термометром, соединенным через устройство контроля обратной связи по температуре. Реакционную смесь нагревали до 80°С. При 80°С загрузку 2 добавляли в реакционную смесь по каплям в течение 30 минут. После добавления, реакционную смесь выдерживали при 80°С до тех пор, пока не остановился эквивалент изоцианата (NCO EQ WT = 1200,9). Затем реакционную смесь охлаждали до 70°С и затем добавляли загрузку 3 в течение 1 часа. Реакционную смесь выдерживали при 70°С до тех пор, пока ИК-спектроскопия не показала отсутствие характерной полосы NCO (2269 см-1) с использованием Thermo Scientific Nicolet iS5 FT-IR. Продукт реакции выливали при 70°С. Mw блокированного изоцианата составлял 7168, и был определен, как описано в Примере 1. Пример 3 Блокированный изоцианат был приготовлен из следующих компонентов: 1 Mondur MLQ является коммерчески доступным компонентом от компании «Covestro». 2 DBTDL является дилаурат дибутилом олова и коммерчески доступен от компании «Arkema Inc» 3 Epon 828 имеется в продаже от компании «Hexion Specialty Chemicals». 4 Terathane 1000 коммерчески доступен от компании «Invista». 5 Бутил лактамид доступен от компании «PPG». Загрузку 1 добавляли в четырех - горлую колбу на 1000 мл, снабженную мешалкой из нержавеющей стали с приводом от двигателя, конденсатором с водяным охлаждением, азотной подушкой и нагревательным кожухом с термометром, соединенным через устройство контроля обратной связи по температуре. Реакционную смесь нагревали до 80°С. При 80°С загрузку 2 добавляли в реакционную смесь по каплям в течение 30 минут. После добавления, реакционную смесь выдерживали при 80°С до тех пор, пока не остановился эквивалент изоцианата (NCO EQ WT = 1139,6). Затем реакционную смесь охлаждали до 70°С и затем добавляли загрузку 3 в течение 1 часа. Реакционную смесь выдерживали при 70°С до тех пор, пока ИК-спектроскопия не показала отсутствие характерной полосы NCO (2269 см-1) с использованием Thermo Scientific Nicolet iS5 FT-IR. Продукт реакции выливали при 70°С. Mw блокированного изоцианата составлял 7532, и был определен, как описано в Примере 1. Пример 4 Блокированный изоцианат был приготовлен из следующих компонентов: 1 Mondur TDS Grade E является коммерчески доступным от компании «Covestro». 2 DBTDL является дилаурат дибутилом олова и коммерчески доступен от компании «Arkema Inc». 3 Epon 828 имеется в продаже от компании «Hexion Specialty Chemicals». 4 Terathane 1000 коммерчески доступен от компании «Invista». 5 Бутил лактамид доступен от компании «PPG». Загрузку 1 добавляли в четырех - горлую колбу на 1000 мл, снабженную мешалкой из нержавеющей стали с приводом от двигателя, конденсатором с водяным охлаждением, азотной подушкой и нагревательным кожухом с термометром, соединенным через устройство контроля обратной связи по температуре. Реакционную смесь нагревали до 80°С. При 80°С загрузку 2 добавляли в реакционную смесь по каплям в течение 30 минут. После добавления, реакционную смесь выдерживали при 80°С до тех пор, пока не остановился эквивалент изоцианата (NCO EQ WT = 826,1). Затем реакционную смесь охлаждали до 70°С и затем добавляли загрузку 3 в течение 1 часа. Реакционную смесь выдерживали при 70°С до тех пор, пока ИК-спектроскопия не показала отсутствие характерной полосы NCO (2269 см-1) с использованием Thermo Scientific Nicolet iS5 FT-IR. Продукт реакции выливали при 70°С. Mw блокированного изоцианата составлял 5092, и был определен, как описано в Примере 1. Сравнительный Пример 5 Блокированный изоцианат был приготовлен из следующих компонентов: 1 Mondur TDS Grade E является коммерчески доступным от компании «Covestro». 2 DBTDL является дилаурат дибутилом олова и коммерчески доступен от компании «Arkema Inc». 3 Epon 828 имеется в продаже от компании «Hexion Specialty Chemicals». 4 Terathane 1000 коммерчески доступен от компании «Invista». 5Бутанол является коммерчески доступным от компании «BASF». Загрузку 1 добавляли в четырех - горлую колбу объемом 1000 мл, снабженную мешалкой из нержавеющей стали с приводом от двигателя, конденсатором с водяным охлаждением, азотной подушкой и нагревательным кожухом с термометром, соединенным через устройство контроля обратной связи по температуре. Реакционную смесь нагревали до 80°С. При 80°С загрузку 2 добавляли в реакционную смесь по каплям в течение 30 минут. После добавления, реакционную смесь выдерживали при 80°С до тех пор, пока не остановился эквивалент изоцианата (NCO EQ WT = 1149,1). Затем реакционную смесь охлаждали до 70°С и затем добавляли загрузку 3 в течение 1 часа. Реакционную смесь выдерживали при 70°С до тех пор, пока ИК-спектроскопия не показала отсутствие характерной полосы NCO (2269 см-1) с использованием Thermo Scientific Nicolet iS5 FT-IR. Продукт реакции выливали. Mw блокированного изоцианата составлял 5447, определенный, как описано в Примере 1. Приготовление клеевой композиции Композицию маточной смеси конструкционного клея готовили путем смешивания компонентов, перечисленных в таблице 1. Смешивание проводили в пластиковом контейнере при комнатной температуре от 20°С до 40°С с использованием асимметричного центробежного смесителя для формирования клеевой композиции «DAC600.1 FVZ Speedmixer»™. Таблица 1. Материалы Примеры клеящих веществ, с №1 по №6, готовили путем смешивания либо смолы Epon 828 (модифицированное клеящее вещество №1), либо изоцианата, блокированного гликоль амидом (модифицированные клеящие вещества №2-№6), с маточной смесью клеящего вещества (вышеприведенная), как указано в таблице 2, приведенной ниже. Смешивание проводили в пластиковом контейнере при температуре от 20°С до 40°С с помощью асимметричного центробежного смесителя для формирования клеевой композиции «DAC600 FVZ Speedmixer™». Испытание на ударную вязкость посредством режущего клина Адгезивные композиции были испытаны на ударную вязкость в соответствии с ISO 11343. Три образца были подготовлены для каждого условия испытаний. В качестве подложки использовалась холоднокатаная сталь (CRS) толщиной 0,73 мм (приобретенная у ACT Test Panels LLC), сформованная в испытательные образцы, согласно описанию в методе ISO. Клей был нанесен на приподнятый конец образца для испытания, площадью 20 мм × 30 мм. Толщина клея поддерживалась на уровне 0,25 мм с использованием стеклянных распорных шариков. Связующие узлы были зажаты вместе с помощью подпружиненных зажимов, а излишки клея были удалены с помощью шпателя. Образцы для испытаний были подвержены отверждению в печи при 135°C в течение 17 минут. Связи были протестированы с использованием модели Instron CEAST 9350, работающей при температуре окружающей среды. Данные приведены в Таблице 2 и демонстрируют, что включение заявляемого отвердителя (Примеры №2-№5) улучшает ударную вязкость по сравнению со сравнительным Примером №6, который значительно превзошел клеевые композиции, которые включали отвердитель, Примеры №2-№ 5. Таблица 2. Клеевые композиции * Смола Epon 828 от компании «Hexion» ** Отсутствие заметного сопротивления Измерения вязкости Вязкость клея измеряли с помощью реометра «Anton Paar Physica MCR 301» с параллельной пластиной 25 мм и зазором 1 мм. Условие сдвига для измерения было следующим: Кондиционирование: Вращение с градиентом скорости сдвига 0,1 с-1 в течение 60 секунд; Термическая обработка: Без сдвига в течение 240 секунд; Амплитудный тест: Колебания с логарифмически увеличивающейся деформацией от 0,01 до 10% за 90 секунд (данные измеряются каждые 3 секунды); Фаза сдвига: Колебания с 10% -ной деформацией (y) при 10 Гц в течение 120 секунд (данные измеряются каждые 10 секунд); Повторное кондиционирование: Вращение с градиентом скорости сдвига 0,1 с-1 в течение 60 секунд; Восстановительный режим: Колебания с 0,05% деформации в течение 120 секунд (данные измеряются каждые 10 секунд). Комплексная вязкость 17 * Al, измеренная при условии y = 0,05% (через 21 секунду), клей №2 была измерена для его начального значения через 3 дня при 40°C. Образцы кондиционировали до 35°C перед каждым измерением. Результаты этих измерений приведены в Таблице 3 и демонстрируют, что клеевая композиция по настоящему изобретению остается стабильной после трехдневного хранения при 40°C. Таблица 3. Вязкость (мПа⋅с) Аспекты изобретения Далее кратко изложены некоторые не ограничивающие аспекты настоящего изобретения: 1. Клеевая композиция, содержащая: эпоксид-содержащий компонент; а также блокированный полиизоцианатный отверждающий агент, содержащий блокирующую группу, полученную из блокирующего агента, содержащего альфа-гидроксиамид, сложный эфир или тиоэфир или их комбинацию. 2. Клеевая композиция по предыдущему Аспекту 1, в которой эпоксид-содержащий компонент присутствует в количестве от 50 до 95 мас. % в расчете на общую массу композиции. 3. Клеевая композиция по любому из предыдущих аспектов 1 или 2, в которой эпоксид-содержащий компонент содержит стабилизатор, покрытый эпоксидом. 4. Клеевая композиция по любому из предшествующих аспектов, в которой блокированный полиизоцианатный отвердитель присутствует в количестве от 5 до 50% в расчете на общую массу композиции. 5. Клеевая композиция по любому из предыдущих аспектов, в которой блокированный полиизоцианат содержит вторую блокирующую группу, полученную из блокирующего агента, содержащего спирт, фенольное соединение, третичный гидроксиламин, оксим, амин или их комбинацию. 6. Клеевая композиция по любому из предшествующих аспектов, в которой блокирующий агент, содержащий альфа-гидроксиамид, сложный эфир или тиоэфир, содержит соединение структуры: где X является N(R2), O, S; n равно 1-4; когда n = 1 и X = N(R2), R является водородом, C1-C10 алкильной группой, арильной группой, простым полиэфиром, сложным полиэфиром, полиуретаном, гидрокси-алкильной группой или тио-алкильной группой; когда n=1 и X=O или S, R является C1-C10 алкильной группой, арильной группой, простым полиэфиром, сложным полиэфиром, полиуретаном, гидроксиалкильной группой или тиоалкильной группой; когда n = 2-4, R является многовалентной алкильной группой, C1-C10, многовалентной арильной группой, многовалентным простым полиэфиром, многовалентным сложным полиэфиром, многовалентным полиуретаном; каждый R1, независимо, является водородом, C1-C10 алкильной группой, арильной группой или циклоалифатической группой; каждый R2 независимо является водородом, C1-C10 алкильной группой, арильной группой, циклоалифатической группой, гидроксиалкильной группой или тиоалкильной группой; и R и R2 вместе могут образовывать циклоалифатическую, гетероциклическую структуру. 7. Клеевая композиция по любому из предшествующих Аспектов, в которой блокирующий агент содержит альфа-гидроксиамидный блокирующий агент. 8. Клеевая композиция по Аспекту 7, в которой альфа-гидроксиамидный блокирующий агент включает алкил гликоль - амид и/или алкил лактамид. 9. Клеевая композиция по Аспекту 8, в которой алкил гликоламид или алкил лактамид содержат соединение структуры: где R1 является водородом или метиловой группой; R2 является C1-C10 алкильной группой; и R3 является C1-C10 алкильной группой. 10. Клеевая композиция по любому из Аспектов 8 или 9, в которой алкил гликоль амид или алкил лактамид включают соединение структуры: где R1 является водородом или метиловой группой; R2 является алкильной группой C1- C10; и R3 является водородом. 11. Клеевая композиция по любому из Аспектов 8-10, в которой алкил гликоль амид содержит моно-алкил гликоль амид C1-C10. 12. Клеевая композиция по любому из Аспектов 8-11, в которой алкил лактамид включает моно-алкил лактамид C1-C10. 13. Клеевая композиция по любому из Аспектов 8-12, в которой алкил лактамид включает рацемический лактамид. 14. Клеевая композиция по любому из Аспектов 8-13, в которой блокирующая группа, полученная из блокирующего агента альфа-гидроксиамида, сложного эфира или тиоэфира, включает по меньшей мере 10% от общего количества блокированных изоцианатных групп блокированного полиизоцианата. 15. Клеевая композиция по любому из предшествующих аспектов, в которой блокированный полиизоцианатный отверждающий агент имеет Mw от 250 до 10000, измеренный гель-проникающей хроматографией с использованием полистирольных калибровочных стандартов. 16. Клеевая композиция по любому из предыдущих аспектов, в которой вязкость клеевой композиции составляет от 102 мПа с до 105 МПа с (измерена с помощью реометра «Anton Paar Physica MCR 301», 25 мм параллельной пластиной и зазором 1 мм при следующих условиях сдвига: Кондиционирование: Вращение с градиентом скорости сдвига 0,1 с-1 в течение 60 секунд; Термическая обработка: Без сдвига в течение 240 секунд; Амплитудный тест: Колебания с логарифмически увеличивающейся деформацией от 0,01 до 10% за 90 секунд (данные измеряются каждые 3 секунды); Фаза сдвига: Колебания с 10%-ной деформацией (y) при 10 Гц в течение 120 секунд (данные измеряются каждые 10 секунд); Повторное кондиционирование: Вращение с градиентом скорости сдвига 0,1 с-1 в течение 60 секунд; Восстановительный режим: Колебания с 0,05% деформации в течение 120 секунд (данные измеряются каждые 10 секунд)). 17. Клеевая композиция по любому из предшествующих аспектов, дополнительно включающая эластомерные частицы. 18. Клеевая композиция по Аспекту 17, в которой эластомерные частицы имеют структуру ядро/оболочка. 19. Клеевая композиция по любому из предшествующих Аспектов, дополнительно включающая катализатор отверждения. 20. Клеевая композиция по любому из предыдущих аспектов, в которой клеевая композиция является однокомпонентной композицией. 21. Адгезив, содержащий композицию по любому из предшествующих Аспектов в отвержденном состоянии. 22. Изделие, содержащее: первую подложку; вторую подложку; адгезив, содержащий клеевую композицию по любому из Аспектов 1-20 в отвержденном состоянии, расположенный между первой и второй подложками. 23. Изделие по Аспекту 22, в котором клеящее вещество имеет ударную вязкость по меньшей мере 15 Н/мм (измерено в соответствии с ISO 11343 с помощью CEAST 9350). 24. Способ формирования связи между двумя субстратами, включающий: нанесение клеевой композиции по любому из аспектов 1-20 на первую подложку; связь второй подложки с клеевой композицией так, чтобы клеевая композиция располагалась между первой подложкой и второй подложкой; а также применение внешнего источника энергии для отверждения клеевой композиции. 25. Способ по Аспекту 24, в котором отверждение включает термический нагрев до температуры по меньшей мере 80°С. 26. Клеевая композиция, содержащая: эпоксид-содержащий компонент; а также блокированный полиизоцианатный отвердитель в соответствии со структурой: где Y является остатком полиизоцианата; m больше или равно 1; n больше или равно 0; Х=N(R2), О, S; когда X=N(R2), R является водородом, C1-C10 алкильной группой, арильной группой, простым полиэфиром, сложным полиэфиром, полиуретаном, гидрокси-алкильной группой или тио-алкильной группой; когда X=O или S, R является C1-C10 алкильной группой, арильной группой, простым полиэфиром, сложным полиэфиром, полиуретаном, гидрокси-алкильной группой или тио-алкильной группой; каждый R1 независимо является водородом, C1-C10 алкильной группой, арильной группой или циклоалифатической группой; когда m больше или равно 2, R необязательно является многовалентной C1-C10 алкильной группой, многовалентной арильной группой, многовалентным простым полиэфиром, многовалентным сложным полиэфиром, многовалентным полиуретаном; каждый R2 независимо является водородом, C1-C10 алкильной группой, арильной группой, циклоалифатической группой, гидрокси-алкильной группой или тио-алкильной группой; R и R2 вместе могут образовывать циклоалифатическую, гетероциклическую структуру; и O-Z представляет остаток второго блокирующего агента. Специалистам в данной области техники будет ясно, что многочисленные модификации и варианты возможны в свете вышеприведенного изложения, не отступая от широких изобретательских концепций, описанных и приведенных в качестве примера в данном документе. Соответственно, следует понимать, что вышеприведенное изложение является просто иллюстрацией различных примерных аспектов этой заявки и что квалифицированные специалисты могут легко сделать многочисленные модификации и изменения, которые находятся в пределах сущности и объема этой заявки и прилагаемой формулы изобретения.






Компоненты Весовые части Загрузка №1 Mondur MLQ1 100,6 DBTDL2 0,02 Epon 8283 106,0 Загрузка №2 Terathane 10004 200,0 Загрузка №3 Дибутил гликоль амид5 63,2 Компоненты Весовые части Загрузка №1 Mondur MLQ1 100,6 DBTDL2 0,02 Epon 8283 106,0 Загрузка №2 Terathane 10004 200,0 Загрузка №3 Бутил гликольамид5 44,2 Компоненты Весовые части Загрузка № 1 Mondur MLQ1 100,6 DBTDL2 0,02 Epon 8283 106,0 Загрузка № 2 Terathane 10004 200,0 Загрузка № 3 Бутил лактамид5 51,6 Компоненты Весовые части Загрузка №1 Mondur TDS Grade E1 69,6 DBTDL2 0,02 Epon 8283 106,0 Загрузка №2 Terathane 10004 200,0 Загрузка №3 Бутил лактамид5 65,7 Компоненты Весовые части Загрузка №1 Mondur TDS Grade E1 69,6 DBTDL2 0,02 Epon 8283 106,1 Загрузка №2 Terathane 10004 200,1 Загрузка №3 Бутанол5 24,1 Материалы Части KaneAce MX 153 доступен от компании «Kaneka Texas» 64,0 HyPox® DA323 Доступно в CVC Thermoset Specialties 14,0 Dyhard 100SF от компании «AlzChem» LLC. 4,5 Аджикюр PN 50 доступен от компании «A & CCatalysts, Inc». 1,3 Слюда DakotaPure™ 3000 от компании «Pacer Minerals» 2,7 Волластонит NYAD 400 доступен от компании «NYCO/Imers» 2,7 Общий вес 89,1 Модифицированный клей №1 №2 №3 №4 №5 №6 Адгезив концентрата окрашивающей смеси 89,1 89,1 89,1 89,1 89,1 89,1 Epon Resin 828* 10,0 Пример №1 10,0 Пример №2 10,0 Пример №3 10,0 Пример №4 10,0 Пример №5 10,0 Удар клина Н/мм 17,3 16,1 15,7 15,7 15,9 1,0** 40°C
ХранениеДень = 0
Вязкость, мПа⋅сДень = 3
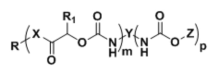
Вязкость, мПа⋅сКлей № 1 1,70E+05 1,95E+05 


