Изобретение относится к обработке металлов давлением и предназначено для производства триметаллических прутковых и проволочных изделий волочением. Способ включает предварительное формирование на изделии захватки с заостренным и коническим участками и последующее волочение через конический канал монолитной волоки. Определяют предельную вытяжку из условия сохранения прочности составляющих слоев заготовки с учетом технологических особенностей производства триметаллической заготовки, прочностных характеристик каждого из слоев и относительной площади каждого из слоев, составляющих триметаллическую заготовку. В результате обеспечивается повышение качества протягиваемых триметаллических изделий.
Способ производства триметаллических прутковых и проволочных изделий, включающий предварительное формирование на изделии захватки с заостренным и коническим участками и последующее волочение через конический канал монолитной волоки, отличающийся тем, что волочение проводят с учетом предельной вытяжки, которую определяют из условия разрушения одного из слоев триметаллической заготовки по формуле: где d0, d1 - диаметры прутка или проволоки до и после деформации соответственно, м; σs1 - сопротивление деформации металла центрального слоя (сердечника) триметаллической заготовки, МПа; σs2 - сопротивление деформации металла промежуточного слоя, МПа; σs3 - сопротивление деформации металла внешнего слоя, МПа; F - площадь сечения триметаллической заготовки, м2; ƒ - коэффициент внешнего трения в зоне деформации при волочении; σq - напряжение противонатяжения, МПа; αв - угол волоки, °.
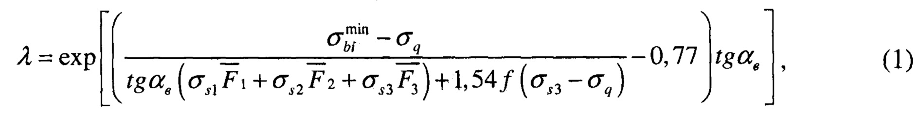
- предельное значение вытяжки при волочении;
- минимальный предел прочности на растяжение i-го слоя на выходе из волочильного инструмента, МПа;
- относительные площади сечения каждого из слоев, составляющих триметаллическую заготовку;
Изобретение относится к обработке металлов давлением и предназначено для производства триметаллических прутковых и проволочных изделий волочением. К триметаллическим изделиям в виде прутков проволоки относят изделия, включающие три слоя из разных металлов. Известно, что прутки и проволоку изготавливают по технологической схеме, совмещающей прокатку или прессование заготовки с последующим волочением заготовки через конические волоки. При деформировании в волочильном инструменте в заготовке возникает напряжение волочения, которое может приводить обрыву переднего конца заготовки (см. Перлин И.Л., Ерманок М.З. Теория волочения. - М.: Металлургия, 1971. - С. 17). Наиболее близким способом к заявленному изобретению по совокупности признаков является способ производства триметаллических прутковых и проволочных изделий, включающий предварительное формирование на изделии захватки с заостренным и коническим участками и последующее волочение через конический канал монолитной волоки. Способ определяет оптимальный угол рабочего канала волочильного инструмента, обеспечивающий минимальное усилие при волочении триметаллических прутковых и проволочных изделий (патент РФ №2492011 от 10.09.2013 г.). Данный способ выбран в качестве прототипа. Недостатком известного способа является то, что он не позволяет найти предельную деформацию при производстве триметаллических прутковых и проволочных изделий, которая при волочении определяется коэффициентом вытяжки. Признаки прототипа, совпадающие с признаками заявляемого решения, - предварительное формирование на изделии захватки с заостренным и коническим участками и последующее волочение через конический канал монолитной волоки. Задачей изобретения является определение предельной вытяжки, превышение которой приведет к разрушению одного из слоев, обладающего минимальным значением предела прочности на растяжение. Разрушение одного из слоев не допустимо, поскольку приведет к выводу из строя всю систему трехслойной конструкции прутка или проволоки. Поставленная задача была решена за счет того, что в известном способе производства триметаллических прутковых и проволочных изделий, включающем предварительное формирование на изделии захватки с заостренным и коническим участками и последующее волочение через конический канал монолитной волоки, согласно изобретению предельную вытяжку из условия разрушения одного из слоев определяют по формуле: где d0, d1 - диаметры прутка, или проволоки до и после деформации соответственно, м; σs1 - сопротивление деформации металла центрального слоя (сердечника) триметаллической заготовки, МПа; σs2 - сопротивление деформации металла промежуточного слоя, МПа; σs3 - сопротивление деформации металла внешнего слоя, МПа; F - площадь сечения триметаллическои заготовки, м2; ƒ - коэффициент внешнего трения в зоне деформации при волочении; σq - напряжение противонатяжения, МПа; αв - угол волоки, °. Признаки предлагаемого способа, отличительные от прототипа -определение предельной вытяжки из условия сохранения прочности триметаллической заготовки. В реальных условиях волочения напряжение волочения монометаллической заготовки определяется по формуле (см. Механика композиционных материалов и конструкций. 2010 - Том 16, №2. С. 191-196) где d0, d1 - внешний диаметр при волочении монометаллического прутка, или проволочной заготовки до и после деформации соответственно; αв - угол наклона образующей инструмента к оси волочения; αП - приведенный угол волоки tgα/II = 0,65tgσв; σs - среднее по зоне деформации сопротивление деформации притягиваемого материала; ƒ - коэффициент внешнего трения в очаге деформации при волочении; σq - напряжение противонатяжения, МПа, Триметаллическая заготовка состоит из трех слоев: центрального сердечника, промежуточного слоя и внешнего слоя. Напряжение, обеспечивающее деформацию центрального сердечника, полагая, что в формуле (2) f=0, будет равно где σs1 - сопротивление деформации металла центрального слоя заготовки. Напряжению волочения (3) соответствует усилие, затрачиваемое на деформацию сердечника где F1 - площадь сечения сердечника триметаллическои заготовки. Напряжение волочения промежуточного слоя триметаллическои заготовки в соответствии с формулой (2) при f=0 составит Напряжению волочения (5) соответствует усилие, затрачиваемое на деформацию промежуточного слоя где F2 - площадь сечения промежуточного слоя триметаллической заготовки. Для внешнего слоя, находящегося в контакте с волочильным инструментом, напряжение волочения составит где σs3 - сопротивление деформации металла внешнего слоя заготовки. Напряжение волочения (7) соответствует усилие, затрачиваемое на деформацию внешнего слоя триметаллическои заготовки где F3 - площадь сечения внешнего слоя триметаллическои заготовки. Общее усилие, необходимое для пластической деформации триметаллической заготовки, составит После подстановки соотношений (4), (6) и (8) в формулу (9), преобразований и перехода к среднему напряжению волочения триметаллической заготовки получим где Соотношение (10) определяет среднее по сечению напряжение волочения триметаллическои заготовки. При достижении напряжения (10) минимального значения предела прочности на растяжение i-го слоя произойдет разрыв i-го слоя. При этом условии прочность имеет вид где Уравнение (11) разрешается относительно λ. После преобразования получим значение λ, превышение которого приведет к разрушению i-ого слоя триметаллической заготовки, что равносильно разрушению всей триметаллической заготовки. где d0, d1 - диаметры прутка, или проволоки до и после деформации соответственно; σs1 - сопротивление деформации металла центрального слоя (сердечника) триметаллической заготовки; σs2 - сопротивление деформации металла промежуточного слоя; σs3 - сопротивление деформации металла внешнего слоя; F - площадь сечения триметаллической заготовки; ƒ - коэффициент внешнего трения в зоне деформации при волочении σq - напряжение противонатяжения, МПа. Пример реализации предлагаемого способа. Предлагаемый способ использован для волочения триметаллической заготовки низкотемпературного сверхпроводника, состоящего из медного сердечника, промежуточного сверхпроводникового ниобия и медной стабилизирующей оболочки. При этом геометрические и физические соотношения составляли: По формуле (1) предлагаемого способа определили λпр=1,37. Таким образом при превышении λпр=1,31 произойдет разрыв либо центрального слоя, либо наружного слоя триметаллической оболочки. 
- вытяжка при волочении;
- минимальный предел прочности на растяжение i-го слоя на выходе из волочильного инструмента, МПа;
- относительные площади сечения каждого из слоев составляющих триметаллическую заготовку;
- вытяжка при волочении;







- относительные площади сечения каждого из слоев.
- минимальное значение предела прочности на растяжение металла одного из слоев.
- предельное значение вытяжки при волочении;
- минимальный предел прочности на растяжение i-го слоя на выходе из волочильного инструмента;
- относительные площади сечения каждого из слоев составляющих триметаллическую заготовку;

σs1 = σs3 = 300 МПа; σs2 = 500 МПа. При волочении заготовки через волочильный инструмент с αв = 12°, при коэффициенте трения f=0,1 и противонатяжении σq=100 МПа. Напряжение волочения составило σs1 = σs3 = 350 МПа, σs2 = 550 МПа.